A Glimepiride-Metformin Multidrug Crystal: Synthesis, Crystal Structure Analysis, and Physicochemical Properties
Abstract
1. Introduction
2. Results and Discussion
2.1. The Characterization of Crystal Structure
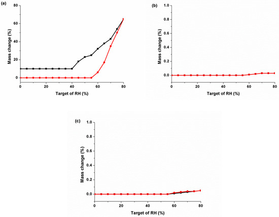
2.2. The Characterization of Physicochemical Properties
3. Materials and Methods
3.1. Materials
3.2. Solvent Evaporation Method
3.3. The Characterization of the Crystal Structure
3.3.1. Powder X-ray Diffraction (PXRD)
3.3.2. Thermogravimetric Analysis (TGA)
3.3.3. Differential Scanning Calorimetry (DSC)
3.3.4. Single Crystal X-Ray Data Collection and Structure Determinations
3.3.5. Fourier-Transform Infrared (FT-IR)
3.3.6. Polarized Optical Microscopy (POM)
3.4. The Characterization of Physicochemical Properties
3.4.1. Dissolution Rate
3.4.2. Dynamic Vapor Sorption (DVS)
4. Conclusions
Supplementary Materials
Author Contributions
Funding
Conflicts of Interest
References
- Morphy, J.R.; Harris, C.J. Designing Multi-Target Drugs, 1st ed.; The Royal Society of Chemistry: Cambridge, UK, 2012; pp. 11–13. [Google Scholar]
- Thipparaboina, R.; Kumar, D.; Chavan, R.B.; Shastri, N.R. Multidrug co-crystals: Towards the development of effective therapeutic hybrids. Drug Discov. Today 2016, 21, 481–490. [Google Scholar] [CrossRef] [PubMed]
- Steiner, T. The hydrogen bond in the solid state. Angew. Chem. Int. Ed. Engl. 2002, 41, 49–76. [Google Scholar] [CrossRef]
- Desiraju, G.R.; Vittal, J.J.; Ramanan, A. Crystal Engineering: A Textbook, 1st ed.; World Scientific: Singapore, 2011; pp. 55–58. [Google Scholar]
- Almarsson, Ö.; Zaworotko, M.J. Crystal engineering of the composition of pharmaceutical phases. Do pharmaceutical co-crystals represent a new path to improved medicines? Chem. Commun. 2004, 17, 1889–1896. [Google Scholar] [CrossRef] [PubMed]
- Childs, S.L.; Chyall, L.J.; Dunlap, J.T.; Smolenskaya, V.N.; Stahly, B.C.; Stahly, G.P. Crystal Engineering Approach To Forming Cocrystals of Amine Hydrochlorides with Organic Acids. Molecular Complexes of Fluoxetine Hydrochloride with Benzoic, Succinic, and Fumaric Acids. J. Am. Chem. Soc. 2004, 126, 13335–13342. [Google Scholar] [CrossRef] [PubMed]
- Almarsson, Ö.; Peterson, M.L.; Zaworotko, M.J. The A to Z of pharmaceutical cocrystals: A decade of fast-moving new science and patents. Pharm. Pat. Anal. 2012, 1, 313–327. [Google Scholar] [CrossRef]
- Remenar, J.F.; Morissette, S.L.; Peterson, M.L.; Moulton, B.; MacPhee, J.M.; Guzmán, H.R.; Almarsson, Ö. Crystal Engineering of Novel Cocrystals of a Triazole Drug with 1,4-Dicarboxylic Acids. J. Am. Chem. Soc. 2003, 125, 8456–8457. [Google Scholar] [CrossRef]
- Inzucchi, S.E.; Bergenstal, R.M.; Buse, J.B.; Diamant, M.; Ferrannini, E.; Nauck, M.; Matthews, D.R. Management of hyperglycemia in type 2 diabetes, 2015: A patient-centered approach: Update to a position statement of the American Diabetes Association and the European Association for the Study of diabetes. Diabetes Care 2015, 38, 140–149. [Google Scholar] [CrossRef]
- Adak, T.; Samadi, A.; Ünal, A.Z.; Sabuncuoğlu, S. A reappraisal on metformin. Regul. Toxicol. Pharmacol. 2018, 92, 324–332. [Google Scholar] [CrossRef]
- Kris, P.; Arini, S.; Samsirun, H.; Dian, S.; Zulkifli, A. Glimepiride monotherapy in achieving good blood glucose control in type-2 diabetes mellitus: A prospective observational study. Med. J. Indones. 2009, 18, 172–179. [Google Scholar]
- Maruthur, N.M.; Tseng, E.; Hutfless, S.; Wilson, L.M.; Suarez-Cuervo, C.; Berger, Z.; Bolen, S. Diabetes medications as monotherapy or metformin-based combination therapy for type 2 diabetes. Ann. Intern. Med. 2016, 164, 740–751. [Google Scholar] [CrossRef]
- Childs, S.L.; Chyall, L.J.; Dunlap, J.T.; Coates, D.A.; Stahly, B.C.; Stahly, G.P. A Metastable Polymorph of Metformin Hydrochloride: Isolation and Characterization Using Capillary Crystallization and Thermal Microscopy Techniques. Cryst. Growth Des. 2004, 4, 441–449. [Google Scholar] [CrossRef]
- Hariharan, M.; Rajan, S.S.; Srinivasan, R. Structure of metformin hydrochloride. Acta Cryst. 1989, C45, 911–913. [Google Scholar] [CrossRef]
- Heather, D.L.; Julia, A.B. Glimepiride. Drugs 1998, 55, 563–584. [Google Scholar]
- Jakobsen, D.; Frokjaer, S.; Larsen, C.; Niemann, H.; Buur, A. Application of isothermal microcalorimetry in preformulation. I. Hygroscopicity of drug substances. Int. J. Pharm. 1997, 156, 67–77. [Google Scholar] [CrossRef]
- Varshosaz, J.; Talari, R.; Mostafavi, S.A.; Nokhodchi, A. Dissolution enhancement of gliclazide using in situ micronization by solvent change method. Powder Technol. 2008, 187, 222–230. [Google Scholar] [CrossRef]
- Cinčić, D.; Friščić, T.; Jones, W. A cocrystallisation-based strategy to construct isostructural solids. New J. Chem. 2008, 32, 1776–1781. [Google Scholar] [CrossRef]
- Aitipamula, S.; Vangala, V.R.; Chow, P.S.; Tan, R.B.H. Cocrystal Hydrate of an Antifungal Drug, Griseofulvin, with Promising Physicochemical Properties. Cryst. Growth Des. 2012, 12, 5858–5863. [Google Scholar] [CrossRef]
- Dolomanov, O.V.; Bourhis, L.J.; Gildea, R.J.; Howard, J.A.K.; Puschmann, H. OLEX2: A complete structure solution, refinement and analysis program. J. Appl. Cryst. 2009, 42, 339–341. [Google Scholar] [CrossRef]
- Sheldrick, G.M. A short history of SHELX. Acta. Cryst. 2007, A64, 112–122. [Google Scholar]
- Sheldrick, G.M. Crystal structure refinement with SHELXL. Acta. Cryst. 2015, C71, 3–8. [Google Scholar]
- Jain, A.C.; Adeyeye, M.C. Hygroscopicity, phase solubility and dissolution of various substituted sulfobutylether β-cyclodextrins (SBE) and danazol-SBE inclusion complexes. Int. J. Pharm. 2001, 212, 177–186. [Google Scholar] [CrossRef]
Sample Availability: Samples of the compounds are not available from the authors. |









| Empirical Formula | C28H47N9O6S |
|---|---|
| Formula weight | 637.80 |
| Temperature/K | 293 |
| Crystal system | monoclinic |
| Space group | P21/c |
| a/Å | 30.9830 |
| b/Å | 8.91714 |
| c/Å | 11.8813 |
| α/° | 90 |
| β/° | 98.8439 |
| γ/° | 90 |
| Volume/Å3 | 3243.53 |
| Z | 4 |
| ρcalcg/cm3 | 1.306 |
| μ/mm−1 | 1.344 |
| F(000) | 1368.0 |
| Crystal size/mm3 | 0.14 × 0.11 × 0.1 |
| Radiation | CuKα (λ = 1.54184) |
| 2θ range for data collection/° | 10.332 to 134.158 |
| Index ranges | −37 ≤ h ≤ 33, −10 ≤ k ≤ 10, −11 ≤ l ≤ 14 |
| Reflections collected | 12812 |
| Independent reflections | 5796 [Rint = 0.0317, Rsigma = 0.0421] |
| Data/restraints/parameters | 5796/0/442 |
| Goodness-of-fit on F2 | 1.025 |
| Final R indexes [I > 2σ (I)] | R1 = 0.0470, wR2 = 0.1237 |
| Final R indexes [all data] | R1 = 0.0611, wR2 = 0.1368 |
| Largest diff. peak/hole/e Å−3 | 0.31/−0.34 |
| CCDC no. | 1954033 |
| D-H...A | d(D-H)/Å | d(H...A)/Å | d(D...A)/Å | D-H-A/° |
|---|---|---|---|---|
| N(2)-H(2A)...O(1) | 0.83 (3) | 2.18 | 2.841 | 137 |
| N(3)-H(3A)...O(5) | 0.88 | 2.00 | 2.720 | 138 |
| O(6)-H(6C)...N(1) 1 | 0.88 | 2.12 | 2.988 | 166 |
| N(5)-H(5A)...O(6) | 0.84 | 2.14 | 2.988 | 178 |
| N(5)-H(5B)...N(7) 2 | 0.91 | 2.19 | 3.083 | 167 |
| N(6)-H(6A)...O(1) 2 | 0.86 | 2.26 | 3.086 | 161 |
| N(6)-H(6B)...O(3) 1 | 0.93 | 1.89 | 2.758 | 154 |
| N(8)-H(8C)...O(6) 3 | 0.84 | 2.24 | 2.982 | 148 |
| N(8)-H(8D)...O(2) 4 | 0.87 | 2.07 | 2.863 | 152 |
| O(6)-H(6D)...O(3) 5 | 0.84 | 2.19 | 3.022 | 173 |
© 2019 by the authors. Licensee MDPI, Basel, Switzerland. This article is an open access article distributed under the terms and conditions of the Creative Commons Attribution (CC BY) license (http://creativecommons.org/licenses/by/4.0/).
Share and Cite
Bian, X.; Jiang, L.; Gan, Z.; Guan, X.; Zhang, L.; Cai, L.; Hu, X. A Glimepiride-Metformin Multidrug Crystal: Synthesis, Crystal Structure Analysis, and Physicochemical Properties. Molecules 2019, 24, 3786. https://doi.org/10.3390/molecules24203786
Bian X, Jiang L, Gan Z, Guan X, Zhang L, Cai L, Hu X. A Glimepiride-Metformin Multidrug Crystal: Synthesis, Crystal Structure Analysis, and Physicochemical Properties. Molecules. 2019; 24(20):3786. https://doi.org/10.3390/molecules24203786
Chicago/Turabian StyleBian, Xufei, Lan Jiang, Zongjie Gan, Xiaoshu Guan, Li Zhang, Linhong Cai, and Xiangnan Hu. 2019. "A Glimepiride-Metformin Multidrug Crystal: Synthesis, Crystal Structure Analysis, and Physicochemical Properties" Molecules 24, no. 20: 3786. https://doi.org/10.3390/molecules24203786
APA StyleBian, X., Jiang, L., Gan, Z., Guan, X., Zhang, L., Cai, L., & Hu, X. (2019). A Glimepiride-Metformin Multidrug Crystal: Synthesis, Crystal Structure Analysis, and Physicochemical Properties. Molecules, 24(20), 3786. https://doi.org/10.3390/molecules24203786
