Synthesis and Cytotoxic Activity of New 1,3,4-Thiadiazole Thioglycosides and 1,2,3-Triazolyl-1,3,4-Thiadiazole N-glycosides
Abstract
1. Introduction
2. Results and Discussion
2.1. Chemistry
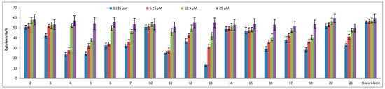
2.2. Cytotoxic Activity
3. Experimental
3.1. Synthesis
General Procedures
3.2. Synthesis of 5-[(4-arylidine)amino]-[1,3,4]thiadiazole-2-thiol (2,3)
3.2.1. 5-((4-Methoxybenzylidene)amino)-1,3,4-thiadiazole-2(3H)-thione (2)
3.2.2. 5-((4-(Dimethylamino)benzylidene)amino)-1,3,4-thiadiazole-2(3H)-thione (3)
3.3. Synthesis of 4-(((5-((O-acetylglycopyranosyl)thio)-1,3,4-thiadiazol-2-yl)imino)methyl)-4-substituted aniline (4–7)
3.3.1. (5-(2,3,4,6-Tetra-O-acetyl-β-d-galactopyranosyl)thio-[1,3,4]thiadiazol-2-yl)-(4- methoxy-benzylidene)amine (4)
3.3.2. (5-(2,3,4-Tri-O-acetyl-β-d-xylopyranosyl)thio-[1,3,4]thiadiazol-2-yl)-(4-methoxy-benzylidene)amine (5)
3.3.3. (4-Dimethylaminobenzylidene)-(5-(2,3,4,6-tetra-O-acetyl-β-d-galactopyranosyl) thio-[1,3,4]thiadiazol-2-yl)-amine (6)
3.3.4. (4-Dimethylamino-benzylidene)-(5-(2,3,4-tri-O-acetyl-β-d-xylopyranosyl)thio-[1,3,4]thiadiazol-2-yl)-amine (7)
3.4. Synthesis of 4-(((5-((glycopyranosyl)thio)-1,3,4-thiadiazol-2-yl)imino)methyl)-N,N-dimethylaniline (8–11)
3.4.1. (5-(β-d-Galactopyranosyl)sulfanyl-[1,3,4]thiadiazol-2-yl)-(4-methoxy-benzylidene)-amine (8)
3.4.2. (5-(β-d-Xylopyranosyl)sulfanyl-[1,3,4]thiadiazol-2-yl)-(4-methoxybenzylidene)-amine (9)
3.4.3. (4-Dimethylamino-benzylidene)-(5-(β-d-Galactopyranosyl)thio-[1,3,4]thiadiazol-2-yl)-amine (10)
3.4.4. (4-Dimethylaminobenzylidene)-(5-(β-d-xylopyranosyl)thio-[1,3,4]thiadiazol-2-yl)-amine (11)
3.5. Synthesis of (4-substituted-benzylidene)-(5-prop-2-ynylsulfanyl-[1,3,4]thiadiazol-2-yl)-amine (12, 13)
3.5.1. (4-Methoxybenzylidene)-(5-prop-2-ynylsulfanyl-[1,3,4]thiadiazol-2-yl)-amine (12)
3.5.2. (4-Dimethylaminobenzylidene)-(5-prop-2-ynylsulfanyl-[1,3,4]thiadiazol-2-yl)-amine (13)
3.6. [5-(1-(O-acetyl-β-d-glycopyranosyl)-1H-[1,2,3]triazol-4-ylmethylsulfanyl)-[1,3,4]thiadiazol-2-yl]-(4-methoxy-benzylidene)-amine (14–17)
3.6.1. [5-(1-(2,3,4,6-Tetra-O-acetyl-β-d-glucopyranosyl)-1H-[1,2,3]triazol-4-ylmethylsulfanyl)-[1,3,4]thiadiazol-2-yl]-(4-methoxybenzylidene)amine (14)
3.6.2. [5-(1-(2,3,4,6-Tri-O-acetyl-β-d-xylopyranosyl)-1H-[1,2,3]triazol-4-ylmethylsulfanyl)-[1,3,4]thiadiazol-2-yl]-(4-methoxybenzylidene)amine (15)
3.6.3. (4-Dimethylaminobenzylidene)-[5-(1-(2,3,4,6-tetra-O-acetyl-β-d-glucopyranosyl)-1H-[1,2,3]triazol-4-ylmethylsulfanyl)-[1,3,4]thiadiazol-2-yl]amine (16)
3.6.4. (4-Dimethylaminobenzylidene)-[5-(1-(2,3,4-tri-O-acetyl-β-d-xylopyranosyl)-1H-[1,2,3]triazol- 4-ylmethylsulfanyl)-[1,3,4]thiadiazol-2-yl]amine (17)
3.7. Synthesis of [5-(1-(β-d-glycopyranosyl)-1H-[1,2,3]triazol-4-ylmethylsulfanyl)-[1,3,4]thiadiazol-2-yl]-(4-methoxybenzylidene)amine (18–21)
3.7.1. [5-(1-(β-d-glucopyranosyl)-1H-[1,2,3]triazol-4-ylmethylsulfanyl)-[1,3,4]thiadiazol-2-yl]-(4-methoxybenzylidene)amine (18)
3.7.2. [5-(1-(β-d-xylopyranosyl)-1H-[1,2,3]triazol-4-ylmethylsulfanyl)-[1,3,4]thiadiazol-2-yl]-(4-methoxybenzylidene)amine (19)
3.7.3. (4-Dimethylaminobenzylidene)-[5-(1-(β-d-glucopyranosyl)-1H-[1,2,3]triazol-4-ylmethyl sulfanyl)-[1,3,4]thiadiazol-2-yl]amine (20)
3.7.4. (4-Dimethylamino-benzylidene)-[5-(1-(β-d-xylopyranosyl)-1H-[1,2,3]triazol-4-ylmethyl sulfanyl)-[1,3,4]thiadiazol-2-yl]-amine (21)
3.8. Materials of the Cell Lines Assay
3.9. MTT Cytotoxic Assay
4. Conclusions
Author Contributions
Funding
Acknowledgments
Conflicts of Interest
References
- Kolb, H.C.; Sharpless, K.B. The growing impact of click chemistry on drug discovery. Drug Discov. Today 2003, 8, 1128–1137. [Google Scholar] [CrossRef]
- Bourne, Y.; Kolb, H.C.; Radie, Z.; Sharpless, K.B.; Taylor, P.; Marchot, P. Freeze-frame inhibitor captures acetylcholinesterase in a unique conformation. Proc. Natl. Acad. Sci. USA 2004, 101, 1449–1454. [Google Scholar] [CrossRef] [PubMed]
- El-Sayed, W.A.; Abdel-Rahman, A.A.-H. Copper-catalyzed Synthesis and Antimicrobial Activity of Disubstituted 1,2,3-Triazoles Starting from 1-Propargyluracils and Ethyl (4-azido-1,2,3-trihydroxybutyl)furan-3-carboxylate. Z. Naturforsch. B 2010, 65, 57–66. [Google Scholar] [CrossRef]
- Broggi, J.; Joubert, N.; Aucagne, V.; Berteina-Raboin, S.; Diez-Gonzalez, S.; Nolan, S.; Topalis, D.; Deville-Bonne, D.; Balzarini, J.; Neyts, J.; et al. Alkyne-Azide Click Chemistry Mediated Carbanucleosides Synthesis. Nucleosides Nucleotides Nucleic Acids 2007, 26, 1391–1394. [Google Scholar] [CrossRef] [PubMed]
- El-Sayed, W.A.; El-Essawy, F.A.; Ali, O.M.; Nasr, B.S.; Abdalla, M.M.; Abdel-Rahman, A.A.-H. Synthesis and antiviral Evaluation of new 2,5-Disbstituted 1,3,4-Oxadiazole Derivatives and Their Acyclic Nucleoside Analogs. Monatsh. Chem. 2010, 141, 1021–1028. [Google Scholar] [CrossRef]
- Zhu, R.; Wang, M.; Xia, Y.; Qu, F.; Neyts, J.; Peng, L. Arylethynyltriazole acyclonucleosides inhibit hepatitis C virus replication. Bioorg. Med. Chem. Lett. 2008, 18, 3321–3327. [Google Scholar] [CrossRef]
- Dutta, S.; Ji Gupta, S.A.; Sen, K. Silver trifluoromethanesulfonate and metallic copper mediated syntheses of 1,2,3-triazole-O- and triazolyl glycoconjugates: Consecutive glycosylation and cyclization under one-pot condition. Tetrahedr. Lett. 2016, 57, 3086–3090. [Google Scholar] [CrossRef]
- Zhang, S.-Y.; Fu, D.-J.; Yue, X.-X.; Liu, Y.-C.; Song, J.; Sun, H.-H.; Liu, H.-M.; Zhang, Y.-B. Design, Synthesis and Structure-Activity Relationships of Novel Chalcone-1,2,3-triazole-azole Derivates as Antiproliferative Agents. Molecules 2016, 21, 653. [Google Scholar] [CrossRef]
- Ruddarraju, R.R.; Murugulla, A.C.; Kotla, R.; Tirumalasetty, M.C.B.; Wudayagiri, R.; Donthabakthuni, S.; Maroju, R.; Baburao, K.; Parasa, L.S. Design, synthesis, anticancer, antimicrobial activities and molecular docking studies of theophylline containing acetylenes and theophylline containing 1,2,3-triazoles with variant nucleoside derivatives. Eur. J. Med. Chem. 2016, 123, 379–396. [Google Scholar] [CrossRef]
- Dondoni, A.; Marra, A. C-Glycoside Clustering on Calix [4]arene, Adamantane, and Benzene Scaffolds through 1,2,3-Triazole Linkers. J. Org. Chem. 2006, 71, 7546–7557. [Google Scholar] [CrossRef]
- Hota, S.; Kashyap, S. “Click Chemistry” Inspired Synthesis of pseudo-Oligosaccharides and Amino Acid Glycoconjugates. J. Org. Chem. 2006, 71, 364–367. [Google Scholar] [CrossRef] [PubMed]
- Mohamed, A.M.; Al-Qalawi, H.R.M.; El-Sayed, W.A.; Arafa, W.A.A.; Alhumaimmis, M.S.; Hassan, A.K. Anticancer activity of newly synthesized triazolopyrimidine derivatives and their nucleoside analogs. Acta Pol. Pharm. 2015, 72, 307–318. [Google Scholar] [PubMed]
- Carvalho, I.; Andrade, P.; Campo, V.L.; Guedes, P.M.; Sesti-Costa, R.; Silva, J.S.; Schenkman, S.; Dedola, S.; Hill, L.; Rejzek, M.; et al. ‘Click chemistry’ synthesis of a library of 1,2,3-triazole-substituted galactose derivatives and their evaluation against Trypanosoma cruziand its cell surface trans-sialidase. Bioorg. Med. Chem. 2010, 18, 2412–2427. [Google Scholar] [CrossRef] [PubMed]
- Agalave, S.G.; Maujan, S.R.; Pore, V.S. Click chemistry: 1,2,3-triazoles as pharmacophores. Chem. Asian J. 2011, 6, 2696–2718. [Google Scholar] [CrossRef] [PubMed]
- Li, Y.; Geng, J.; Liu, Y.; Yu, S.; Zhao, G. Thiadiazole-A Promising Structure in Medicinal Chemistry. Chem. Med. Chem. 2013, 8, 27–41. [Google Scholar] [CrossRef] [PubMed]
- Hu, Y.; Li, C.Y.; Wang, X.M.; Yang, Y.H.; Zhu, H.L. 1,3,4-Thiadiazole: Synthesis, Reactions, and Applications in Medicinal, Agricultural, and Materials Chemistry. Chem. Rev. 2014, 114, 5572–5610. [Google Scholar] [CrossRef]
- Matysiak, J. Biological and Pharmacological Activities of 1,3,4-Thiadiazole Based Compounds. Mini-Rev. Med. Chem. 2015, 15, 762–775. [Google Scholar] [CrossRef]
- Haider, S.; Alam, M.S.; Hamid, H. 1,3,4-Thiadiazoles: A Potent Multi Targeted Pharmacological Scaffold. Eur. J. Med. Chem. 2015, 92, 156–177. [Google Scholar] [CrossRef]
- Aliabadi, A. 1,3,4-Thiadiazole Based Anticancer Agents. Anti-Cancer Agents. Med. Chem. 2016, 16, 1301–1314. [Google Scholar]
- El-Sayed, W.A.; Metwally, M.A.; Nada, D.S. Abdel-Rahman A.A.-H. Synthesis and Antimicrobial Activity of New Substituted 5-(Pyridine-3-yl)-1,3,4-thiadiazoles and Their Sugar Derivatives. J. Heterocycl. Chem. 2013, 50, 194–201. [Google Scholar] [CrossRef]
- Zhang, K.; Wang, P.; Xuan, L.N.; Fu, X.Y.; Jing, F.; Li, S.; Liu, Y.M.; Chen, B.Q. Synthesis and Antitumor Activities of Novel Hybrid Molecules Containing 1,3,4-Oxadiazole and 1,3,4-Thiadiazole Bearing Schiff Base Moiety. Bioorg. Med. Chem. Lett. 2014, 24, 5154–5156. [Google Scholar] [CrossRef] [PubMed]
- Yadagiri, B.; Gurrala, S.; Bantu, R.; Nagarapu, L.; Polepalli, S.; Srujana, G.; Jain, N. Synthesis and Evaluation of Benzosuberone Embedded with 1,3,4-Oxadiazole, 1,3,4-Thiadiazole and 1,2,4-Triazole Moieties as New Potential Anti Proliferative Agents. Bioorg. Med. Chem. Lett. 2015, 25, 2220–2224. [Google Scholar] [CrossRef] [PubMed]
- Li, Y.J.; Qin, Y.J.; Makawana, J.A.; Wang, Y.T.; Zhang, Y.Q.; Zhang, Y.L.; Yang, M.R.; Jiang, A.Q.; Zhu, H.L. Synthesis, Biological Evaluation and Molecular Modeling of 1,3,4-Thiadiazol-2-amide Derivatives as Novel Antitubulin Agents. Bioorg. Med. Chem. 2014, 22, 4312–4322. [Google Scholar] [CrossRef] [PubMed]
- Guan, P.; Wang, L.; Hou, X.; Wan, Y.; Xu, W.; Tang, W.; Fang, H. Improved Antiproliferative Activity of 1,3,4-Thiadiazole-Containing Histone Deacetylase (HDAC) Inhibitors by Introduction of the Heteroaromatic Surface Recognition Motif. Bioorg. Med. Chem. 2014, 22, 5766–5775. [Google Scholar] [CrossRef] [PubMed]
- Hosseinzadeh, L.; Khorand, A.; Aliabadi, A. Discovery of 2-Phenyl-N-(5-(trifluoromethyl)-1,3,4-thiadiazol-2-yl)acetamide Derivatives as Apoptosis Inducers via the Caspase Pathway with Potential Anticancer Activity. Arch. Pharm. Chem. Life Sci. 2013, 346, 812–818. [Google Scholar] [CrossRef] [PubMed]
- Jordheim, L.P.; Durantel, D.; Zoulim, F.; Dumontet, C. Advances in the development of nucleoside and nucleotide analogues for cancer and viral diseases. Nat. Rev. Drug. Disc. 2013, 12, 447–464. [Google Scholar] [CrossRef] [PubMed]
- Zi, C.-T.; Li, G.-T.; Li, Y.; Zhou, J.; Ding, Z.-T.; Jiang, Z.-H.; Hu, J.-M. Synthesis and Anticancer Activity of 4β-Triazole-podophyllotoxin Glycosides. Nat. Prod. Bioprospect. 2015, 5, 83–90. [Google Scholar] [CrossRef]
- Flefel, E.M.; El-Sayed, W.A.; El-Sofany, W.I.; Mohamed, A.M.; Awad, H.M. Synthesis and Anticancer Activity of New 1-Thia-4-azaspiro[4,5]decane, Their Derived Thiazolopyrimidine and 1,3,4-Thiadiazole Thioglycosides. Molecules 2017, 22, 170. [Google Scholar] [CrossRef]
- El-Sayed, W.A.; Fathi, N.M.; Gad, W.A.; El-Ashry, E.S.H. Synthesis, and Antiviral Evaluation Of Some 5-N-Arylaminomethyl-2-glycosylsulphanyl-1,3,4-oxadiazoles and their analogues against Hepatitis A and Herpes simplex viruses. J. Carbohydr. Chem. 2008, 27, 357–372. [Google Scholar] [CrossRef]
- El-Sayed, W.A.; Abdel Megeid, R.E.; Abbas, H.S. Synthesis and Antimicrobial Activity of New 1-[(tetrazol-5-yl)methyl]indole Derivatives, their 1,2,4-Triazole Thioglycosides and Acyclic Analogs. Arch. Pharm. Res. 2011, 34, 1085–1096. [Google Scholar] [CrossRef]
- Flefel, E.M.; Tantawy, W.A.; El-Sayed, W.A.; Sayed, H.H.; Fathy, N.M. Synthesis and Anticancer Activity of New Substituted Pyrazoles and Their Derived 1,2,4-Triazoles and Their Sugar Derivatives. J. Heterocycl. Chem. 2013, 50, 344–350. [Google Scholar] [CrossRef]
- El-Sayed, W.A.; El-Sofany, W.I.; Hussein, H.A.; Fathi, N.M. Synthesis and Anticancer Activity of New [(Indolyl)pyrazolyl] -1,3,4-oxadiazole thioglycosides and Acyclic Nucleoside Analogs. Nucleosides Nucleotides Nucleic Acids 2017, 46, 474–495. [Google Scholar] [CrossRef] [PubMed]
- El-Sayed, W.A.; Rashad, A.E.; Awad, S.M.; Ali, M.M. Synthesis and in vitro Anti-tumor Activty of some New Substituted thiopyrimidines through Radical Balance Regulation. Nucleosides Nucleotides Nucleic Acids 2009, 28, 261–274. [Google Scholar] [CrossRef] [PubMed]
- Kassem, A.F.; Abbas, E.M.H.; El-Kady, D.S.; Awad, H.M.; El-Sayed, W.A. Design, Synthesis and Anticancer Activity of New Thiazole-Tetrazole or Triazole Hybrid Glycosides Targeting CDK-2 via Structure-Based Virtual Screening. Mini-Rev. Med. Chem. 2019, 19, 933–948. [Google Scholar] [CrossRef] [PubMed]
- Mansour, A.K.; Ibrahim, Y.A.; Khalil, N.S.A.M. Selective synthesis and structure of 6-arylvinyl-2- and 4-glucosyl-1,2,4-triazines of expected interesting biological activity. Nucleosides Nucleotides Nucleic Acids 1999, 18, 2256–2283. [Google Scholar] [CrossRef]
- El-Sayed, W.A.; Khalaf, H.S.; Mohamed, S.F.; Hssien, H.A.; Kutkat, O.M.; Amr, A.E.-G. Synthesis and Antiviral Activity of 1,2,3-Triazole Glycosides Based Substituted Pyridine Via Click Cycloaddition. Russ. J. Gen. Chem. 2017, 87, 2444–2453. [Google Scholar] [CrossRef]
- Saman, E.; Claeyssens, M.; Kersters-Hilderson, H.; De Bruyne, C.K. Azido compounds as potential affinity labels for glycosidases. Carbohydr. Res. 1973, 30, 207–210. [Google Scholar] [CrossRef]
- Adesoye, O.G.; Mills, I.N.; Temelkoff, D.P.; Jackson, J.A.; Norris, P. Synthesis of a d-Glucopyranosyl Azide: Spectroscopic Evidence for Stereochemical Inversion in the SN2 Reaction. J. Chem. Educ. 2012, 89, 943–945. [Google Scholar] [CrossRef]
- Hassan, A.S.; Mady, M.F.; Awad, H.M.; Hafez, T.S. Synthesis and antitumor activity of some new pyrazolo [1, 5-a] pyrimidines”. Chin. Chem. Lett/ 2017, 28, 388–393. [Google Scholar] [CrossRef]
- Emam, A.N.; Loutfy, S.A.; Mostafa, A.A.; Awad, H.M.; Mohamed, M.B. Cyto-toxicity, biocompatibility and cellular response of carbon dots–plasmonic based nano-hybrids for bioimaging”. RSC Adv. 2017, 7, 23502–23514. [Google Scholar] [CrossRef]
- El-Sayed, W.A.; Khalaf, H.S.; Osman, D.A.A.; Abbas, H.S.; Ali, M.M. Synthesis and Anticancer Activity of New Pyrazolyl and Oxadiazolyl Glycosides Based on Theinopyrimidine Nucleus and Their Acyclic Analogs. Acta Pol. Pharm Drug Res. 2017, 74, 1739–1751. [Google Scholar]
Sample Availability: Samples of the compounds are available from the authors. |





| Compound Code | IC50 (µM) ± SD | |
|---|---|---|
| HCT-116 | MCF-7 | |
| 2 | 12.2 ± 1.3 | 17.2 ± 2.1 |
| 3 | 15.6 ± 2.1 | 16.1 ± 1.9 |
| 4 | 20.7 ± 2.4 | 31.4 ± 3.8 |
| 5 | 22.5 ± 3.1 | 23.8 ± 2.9 |
| 6 | 19.2 ± 2.5 | 22.4 ± 3.1 |
| 7 | 19.7 ± 2.1 | 23.2 ± 3.1 |
| 10 | 14.4 ± 2.1 | 21.7 ± 2.3 |
| 11 | 22.2 ± 3.1 | 34.4 ± 4.1 |
| 12 | 17.6 ± 2.3 | 24.3 ± 2.7 |
| 13 | 23.5 ± 2.7 | 24.2 ± 3.1 |
| 14 | 15.3 ± 1.9 | 19.3 ± 2.1 |
| 15 | 15.9 ± 2.2 | 20.3 ± 2.9 |
| 16 | 21.0 ± 3.1 | 20.7 ± 2.5 |
| 17 | 18.2 ± 2.5 | 22.4 ± 2.8 |
| 18 | 18.3 ± 2.2 | 22.5 ± 2.5 |
| 20 | 12.1 ± 1.4 | 17.3 ± 1.9 |
| 21 | 19.2 ± 2.5 | 21.5 ± 2.8 |
| Doxorubicin | 12.3 ± 1.9 | 20.5 ± 2.1 |
© 2019 by the authors. Licensee MDPI, Basel, Switzerland. This article is an open access article distributed under the terms and conditions of the Creative Commons Attribution (CC BY) license (http://creativecommons.org/licenses/by/4.0/).
Share and Cite
Alminderej, F.M.; Elganzory, H.H.; El-Bayaa, M.N.; Awad, H.M.; El-Sayed, W.A. Synthesis and Cytotoxic Activity of New 1,3,4-Thiadiazole Thioglycosides and 1,2,3-Triazolyl-1,3,4-Thiadiazole N-glycosides. Molecules 2019, 24, 3738. https://doi.org/10.3390/molecules24203738
Alminderej FM, Elganzory HH, El-Bayaa MN, Awad HM, El-Sayed WA. Synthesis and Cytotoxic Activity of New 1,3,4-Thiadiazole Thioglycosides and 1,2,3-Triazolyl-1,3,4-Thiadiazole N-glycosides. Molecules. 2019; 24(20):3738. https://doi.org/10.3390/molecules24203738
Chicago/Turabian StyleAlminderej, Fahad M., Hussein H. Elganzory, Mohamed N. El-Bayaa, Hanem M. Awad, and Wael A. El-Sayed. 2019. "Synthesis and Cytotoxic Activity of New 1,3,4-Thiadiazole Thioglycosides and 1,2,3-Triazolyl-1,3,4-Thiadiazole N-glycosides" Molecules 24, no. 20: 3738. https://doi.org/10.3390/molecules24203738
APA StyleAlminderej, F. M., Elganzory, H. H., El-Bayaa, M. N., Awad, H. M., & El-Sayed, W. A. (2019). Synthesis and Cytotoxic Activity of New 1,3,4-Thiadiazole Thioglycosides and 1,2,3-Triazolyl-1,3,4-Thiadiazole N-glycosides. Molecules, 24(20), 3738. https://doi.org/10.3390/molecules24203738

