Synthesis and Evaluation of Novel Biased μ-Opioid-Receptor (μOR) Agonists
Abstract
1. Introduction
2. Results and Discussion
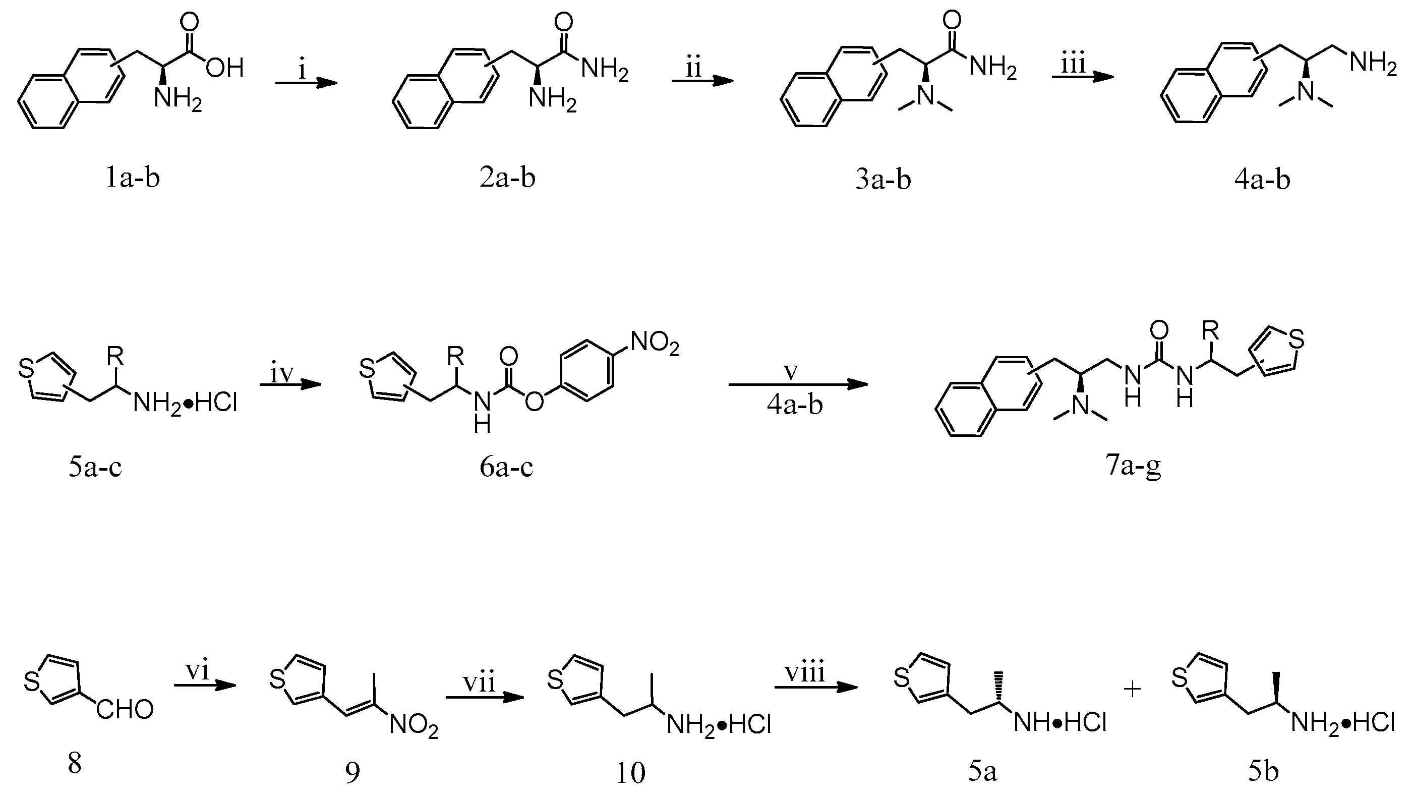
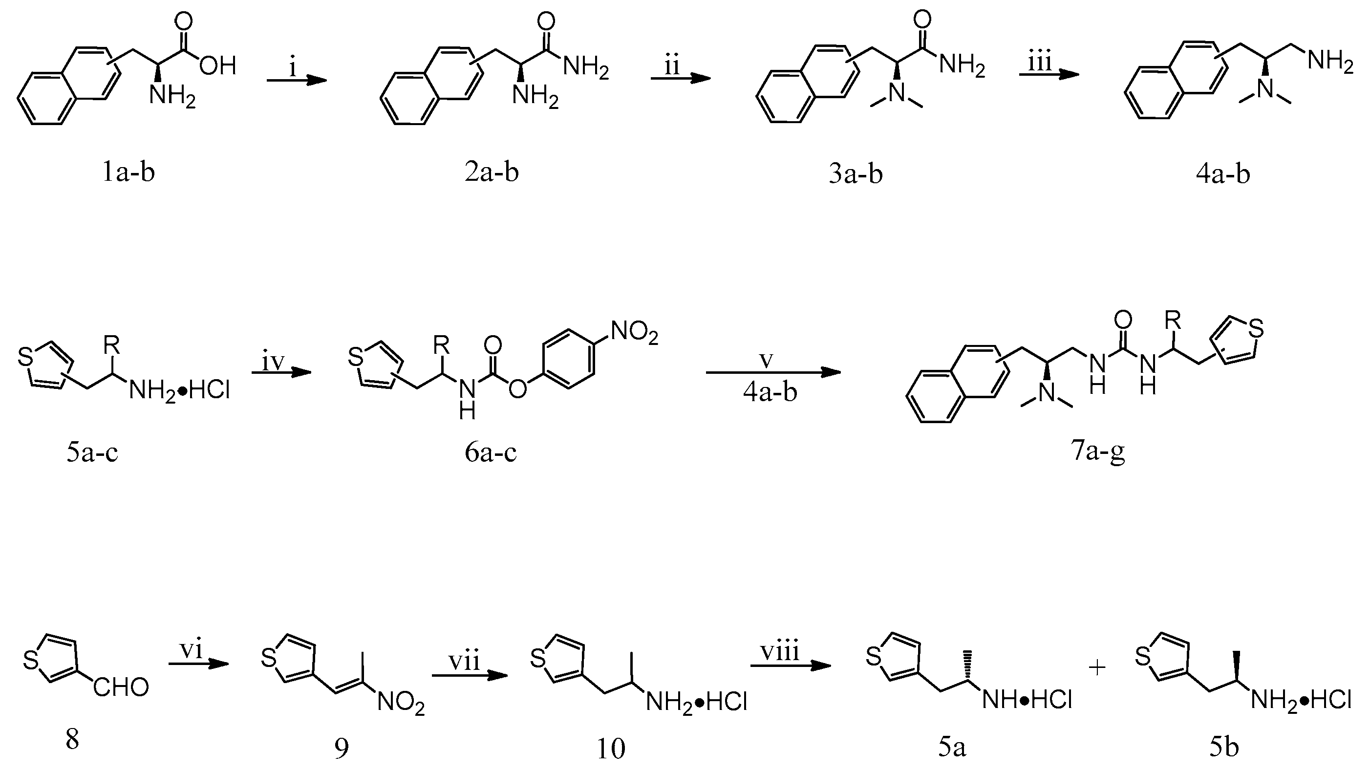
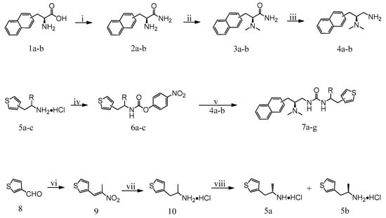
2.1. Synthesis
2.2. The Selective Gi-Biased μOR Agonist Activities and the β-Arrestin Recruitment Assay In Vitro
2.2.1. μOR Gi/o-Mediated cAMP Inhibition
2.2.2. β-Arrestin Recruitment Assay
2.3. Analgesic Activities of the Novel Compounds in a Formalin Injection Nociception Assay
2.4. Analgesic Activities of the Novel Compounds in the Writhing Test
2.5. Discussion
3. Experimental Section
3.1. General Information
3.2. Chemistry
3.2.1. Synthesis 2a and 2b
3.2.2. Synthesis of 3a and 3b
3.2.3. Synthesis of 4a and 4b
3.2.4. Synthesis of 6a–c
3.2.5. Synthesis of 9
3.2.6. Synthesis of 10
3.2.7. Synthesis of 5a and 5b
3.2.8. Synthesis of 7a–g
3.3. μOR Gi/o-Mediated cAMP Inhibition
3.4. β-Arrestin Recruitment Assay
3.5. Formalin Injection Assay
3.6. Analgesic Activitiesin the Writhing Test
4. Conclusions
Author Contributions
Funding
Conflicts of Interest
References
- Raehal, K.M.; Walker, J.K.; Bohn, L.M. Morphine side effects in beta-arrestin 2 knockout mice. J. Pharmacol. Exp. Ther. 2005, 314, 1195–1201. [Google Scholar] [CrossRef] [PubMed]
- Dewire, S.M.; Yamashita, D.S.; Rominger, D.H.; Liu, G.; Cowan, C.L.; Graczyk, T.M.; Chen, X.T.; Pitis, P.M.; Gotchev, D.; Yuan, C. AG protein-biased ligand at the μ-opioid receptor is potently analgesic with reduced gastrointestinal and respiratory dysfunction compared with morphine. J. Pharmacol. Exp. Ther. 2013, 344, 708–717. [Google Scholar] [CrossRef] [PubMed]
- Soergel, D.G.; Subach, R.A.; Burnham, N.; Lark, M.W.; James, I.E.; Sadler, B.M.; Skobieranda, F.; Violin, J.D.; Webster, L.R. Biased agonism of the μ-opioid receptor by TRV130 increases analgesia and reduces on-target adverse effects versus morphine: A randomized, double-blind, placebo-controlled, crossover study in healthy volunteers. Pain 2014, 155, 1829–1835. [Google Scholar] [CrossRef] [PubMed]
- Kingwell, K. Pioneering biased ligand offers efficacy with reduced on-target toxicity. Nat. Rev. Drug Discovery 2015, 14, 809. [Google Scholar] [CrossRef] [PubMed]
- Vaidehi, N.; Kenakin, T. The role of conformational ensembles of seven transmembrane receptors in functional selectivity. Curr. Opin. Pharmacol. 2010, 10, 775–781. [Google Scholar] [CrossRef] [PubMed]
- Violin, J.D.; Crombie, A.L.; Soergel, D.G.; Lark, M.W. Biased ligands at G-protein-coupled receptors: Promise and progress. Trends Pharmacol. Sci. 2014, 35, 308–316. [Google Scholar] [CrossRef] [PubMed]
- Manglik, A.; Lin, H.; Aryal, D.K.; Mccorvy, J.D.; Dengler, D.; Corder, G.; Levit, A.; Kling, R.C.; Bernat, V.; Hübner, H. Structure-based discovery of opioid analgesics with reduced side effects. Nature 2016, 537, 185. [Google Scholar] [CrossRef] [PubMed]
- Violin, J.D.; Lefkowitz, R.J. Beta-arrestin-biased ligands at seven-transmembrane receptors. Trends Pharmacol. Sci. 2007, 28, 416–422. [Google Scholar] [CrossRef] [PubMed]
- Bohn, L.M.; Lefkowitz, R.J.; Gainetdinov, R.R.; Peppel, K.; Caron, M.G.; Lin, F.T. Enhanced Morphine Analgesia in Mice Lacking β-Arrestin 2. Science 1999, 286, 2495–2498. [Google Scholar] [CrossRef] [PubMed]
- Dohlman, H.G. Thematic Minireview Series: New Directions in G Protein-coupled Receptor Pharmacology. J. Biol. Chem. 2015, 290, 19469–19470. [Google Scholar] [CrossRef] [PubMed]
- Bohn, L.M.; Gainetdinov, R.R.; Lin, F.; Lefkowitz, R.J.; Caron, M.G. μ-Opioid receptor desensitization by β-arrestin-2 determines morphine tolerance but not dependence. Nature 2000, 408, 720. [Google Scholar] [CrossRef] [PubMed]
- Schneider, J.P.; Kirsh, K.L. Defining clinical issues around tolerance, hyperalgesia, and addiction: A quantitative and qualitative outcome study of long-term opioid dosing in a chronic pain practice. J. Opioid. Manag. 2010, 6, 385–395. [Google Scholar] [CrossRef] [PubMed]
- Irwin, J.J.; Sterling, T.; Mysinger, M.M.; Bolstad, E.S.; Coleman, R.G. ZINC: A Free Tool to Discover Chemistry for Biology. J. Chem. Inf. Model. 2012, 52, 1757–1768. [Google Scholar] [CrossRef] [PubMed]
- Kingwell, K. Analgesia: Screening for cleaner pain relief. Nat. Rev. Drug Discovery 2016, 15, 677. [Google Scholar] [CrossRef] [PubMed]
- Veneroni, O.; Maj, R.; Calabresi, M.; Faravelli, L.; Fariello, R.G.; Salvati, P. Anti-allodynic effect of NW-1029, a novel Na+ channel blocker, in experimental animal models of inflammatory and neuropathic pain. Pain 2003, 102, 17–25. [Google Scholar] [CrossRef]
- De Souza, E.T.; de Lira, D.P.; de Queiroz, A.C.; da Silva, D.J.; de Aquino, A.B.; Mella, E.A.; Lorenzo, V.P.; de Miranda, G.E.; de Araujo-Junior, J.X.; Chaves, M.C.; et al. The antinociceptive and anti-inflammatory activities of caulerpin, a bisindole alkaloid isolated from seaweeds of the genus Caulerpa. Mar. Drugs 2009, 7, 689–704. [Google Scholar] [CrossRef] [PubMed]
| Sample Availability: Samples of the compounds 7a–g are available from the authors. | 





| Compound | Substituted Position of the -CH2- in the A Ring | Substituted Position of the -CH2- in the B Ring | R and Configuration of Chiral Carbon Atom b | EC50(nM) | %Max Response (100 μM) | 
|---|---|---|---|---|---|
| 7a | 1 | 3′ | CH3 (S) | 455.6 | 60 | 
| 7b | 2 | 3′ | CH3 (S) | 91.14 | 80 | 
| 7c | 2 | 3′ | CH3 (R) | >100,000 | - | 
| 7d | 1 | 3′ | H | 203.4 | 50 | 
| 7e | 2 | 3′ | H | 82.43 | 60 | 
| 7f | 1 | 2′ | H | 1448 | 40 | 
| 7g | 2 | 2′ | H | 242.8 | 60 | 
| PZM21 | - | - | - | 52.41 | 60 | 
| DAMGO | - | - | - | 8.17 | 100 | 

| Compound | Substituted Position of the -CH2- in the A Ring | Substituted Position of the -CH2- in the B Ring | R and Configuration of Chiral Carbon Atom b | EC50 (μM) | %Max Response (100 μM) | 
|---|---|---|---|---|---|
| 7a | 1 | 3′ | CH3 (S) | N.A.a | 0 | 
| 7b | 2 | 3′ | CH3 (S) | 0.7239 | 50 | 
| 7d | 1 | 3′ | H | 1.621 | 70 | 
| 7e | 2 | 3′ | H | 1.128 | 25 | 
| 7g | 2 | 2′ | H | 2.162 | 12 | 
| PZM21 | - | - | - | N.A.a | 0 | 
| DAMGO | - | - | - | 1.237 | 100 | 

| Compound | Substituted Position of the -CH2- in the A Ring | Substituted Position of the -CH2- in the B Ring | R and Configuration of Chiral Carbon Atom b | %Analgesia (20 mg/kg) | %Analgesia (40 mg/kg) | 
|---|---|---|---|---|---|
| 7a | 1 | 3′ | CH3 (S) | 53.7 ± 17.8 ** | 76.9 ± 19.1 ** | 
| 7b | 2 | 3′ | CH3 (S) | 82.4 ± 15.8 ** | 96.7 ± 3.4 ** | 
| 7c | 2 | 3′ | CH3 (R) | 79.6 ± 17.2 ** | 53.5 ± 19.9 ** | 
| 7d | 1 | 3′ | H | 100 ** | 100 ** | 
| 7e | 2 | 3′ | H | 84.1 ± 12.5 ** | 92.3 ± 12.9 ** | 
| 7f | 1 | 2′ | H | 69.6 ± 21.7 ** | 86.7 ± 9.0 ** | 
| 7g | 2 | 2′ | H | 89.8 ± 10.6 ** | 91.7 ± 7.4 ** | 
| PZM21 | - | - | - | 77.9 ± 14.6 ** | 92.8 ± 11.2 ** | 

| Compound | Substituted Position of the -CH2- in the A Ring | Substituted Position of the -CH2- in the B Ring | R and Configuration of Chiral Carbon Atom b | Start Time of Writhing (s) | %Analgesia | 
|---|---|---|---|---|---|
| 7a | 1 | 3′ | CH3 (S) | 307 | 60.6 ± 10.5 ** | 
| 7b | 2 | 3′ | CH3 (S) | 525 | 65.1 ± 13.4 ** | 
| 7c | 2 | 3′ | CH3 (R) | 261 | 27.1 ± 10.6 ** | 
| 7d | 1 | 3′ | H | 891 | 92.7 ± 9.7 ** | 
| 7e | 2 | 3′ | H | 320 | 42.4 ± 13.4 ** | 
| 7f | 1 | 2′ | H | 317 | 44.4 ± 8.6 ** | 
| 7g | 2 | 2′ | H | 334 | 50.3 ± 10.5 ** | 
| PZM21 | - | - | - | 254 | 45.7 ± 15.0 ** | 
© 2019 by the authors. Licensee MDPI, Basel, Switzerland. This article is an open access article distributed under the terms and conditions of the Creative Commons Attribution (CC BY) license (http://creativecommons.org/licenses/by/4.0/).
Share and Cite
Ma, M.; Sun, J.; Li, M.; Yu, Z.; Cheng, J.; Zhong, B.; Shi, W. Synthesis and Evaluation of Novel Biased μ-Opioid-Receptor (μOR) Agonists. Molecules 2019, 24, 259. https://doi.org/10.3390/molecules24020259
Ma M, Sun J, Li M, Yu Z, Cheng J, Zhong B, Shi W. Synthesis and Evaluation of Novel Biased μ-Opioid-Receptor (μOR) Agonists. Molecules. 2019; 24(2):259. https://doi.org/10.3390/molecules24020259
Chicago/Turabian StyleMa, Mengjun, Jialin Sun, Menghua Li, Zixing Yu, Jingchao Cheng, Bohua Zhong, and Weiguo Shi. 2019. "Synthesis and Evaluation of Novel Biased μ-Opioid-Receptor (μOR) Agonists" Molecules 24, no. 2: 259. https://doi.org/10.3390/molecules24020259
APA StyleMa, M., Sun, J., Li, M., Yu, Z., Cheng, J., Zhong, B., & Shi, W. (2019). Synthesis and Evaluation of Novel Biased μ-Opioid-Receptor (μOR) Agonists. Molecules, 24(2), 259. https://doi.org/10.3390/molecules24020259
 
        
 
       