Synthesis, Characterization and Solubility Determination of 6-Phenyl-pyridazin-3(2H)-one in Different Pharmaceutical Solvents
Abstract
:1. Introduction
2. Results and Discussion
2.1. Characterization and Identification of PPD
2.2. Characterization of Solid Phases of PPD
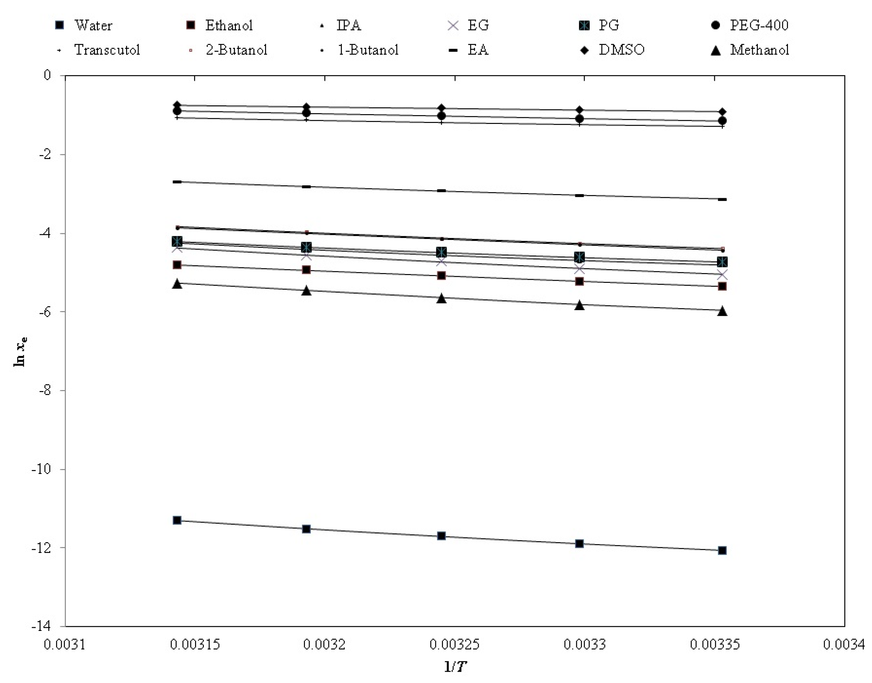
2.3. Measured Solubilities of PPD
2.4. Solubility Parameters for PPD and Various Pharmaceutical Solvents
2.5. Theoretical/Ideal Solubilities of PPD
2.6. Activity Coefficients and Solute-Solvent Molecular Interactions
2.7. Thermodynamic Models for Solubility Correlation
2.8. Thermodynamic Parameters for PPD Dissolution
3. Materials and Methods
3.1. Materials
3.2. Synthesis of Compound PPD
3.3. Characterization and Identification of PPD
3.4. Quantification of PPD in Solubility Samples
3.5. Characterization of Solid Phases of Pure and Equilibrated PPD
3.6. Measurement of PPD Solubility in Pharmaceutical Solvents
4. Conclusions
Supplementary Materials
Author Contributions
Funding
Acknowledgments
Conflicts of Interest
References
- Imran, M.; Nayeem, N. Synthesis and antihypertensive activity of some novel pyridazinones. Orient. J. Chem. 2016, 32, 267–274. [Google Scholar] [CrossRef]
- Imran, M.; Abida, A. 6-(4-Aminophenyl)-4,5-dihydro-3(2H)-pyridazinone-an important chemical moiety for development of cardioactive agents: A review. Trop. J. Pharm. Sci. 2016, 15, 1579–1590. [Google Scholar] [CrossRef]
- Asif, M.; Anita, S. Synthesis of new derivative of 2-[2-(1H-indol-1-yl)ethyl]-6-phenyl-4,5-dihydropyridazin-3(2H)-one. Ovidius. Univ. Ann. Chem. 2011, 22, 98–101. [Google Scholar]
- Dobariya, T.D.; Multani, P.J. Development and validation of methods for estimation of pimobendan in pharmaceutical dosage form. Int. J. ChemTech. Res. 2013, 5, 2154–2164. [Google Scholar]
- Nieminen, M.S.; Fruhwald, S.; Heunks, L.M.A.; Suominen, P.K.; Gordon, A.C.; Kivikko, M.; Pollesello, P. Levosimendan: Current data, clinical use and future development. Heart Lung Vessel 2013, 5, 227–245. [Google Scholar] [PubMed]
- Bansal, R.; Thota, S. Pyridazin-3(2H)-ones: The versatile pharmacophore of medicinal significance. Med. Chem. Res. 2013, 22, 2539–2552. [Google Scholar] [CrossRef]
- Wang, T.; Dong, Y.; Wang, L.; Xiang, B.; Chen, Z.; Qu, L. Design, synthesis and structure-activity relationship studies of 6-phenyl-4,5-dihydro-3(2H)-pyridazinone derivatives as cardiotonic agents. Arzneimittelforschung 2008, 58, 569–573. [Google Scholar] [PubMed]
- Sircar, I. Substituted 6-Phenyl-3(2H)-Pyridazinones Useful as Cardiotonic Agents. US Patent 4404203, 13 September 1983. [Google Scholar]
- Wu, J.; Kang, S.; Yuan, Q.; Luo, L.; Ma, J.; Shi, Q.; Yang, S. N-Substituted 5-chloro-6-phenylpyridazin-3(2H)-ones: Synthesis, insecticidal activity against Plutella xylostella (L.) and SAR study. Molecules 2012, 17, 9413–9420. [Google Scholar] [CrossRef] [PubMed]
- Siddiqui, A.A.; Mishra, R.; Shaharyar, M. Synthesis, characterization and antihypertensive activity of pyridazinone derivatives. Eur. J. Med. Chem. 2010, 45, 2283–2290. [Google Scholar] [CrossRef]
- Malinka, W.; Redzicka, A.; Jastrzebska-Wiesek, M.; Filipek, B.; Dybała, M.; Karczmarzyk, Z.; Urbanczyk-Lipkowska, Z.; Kalicki, P. Derivatives of pyrrolo[3,4-d] pyridazinone, a new class of analgesic agents. Eur. J. Med. Chem. 2011, 46, 4992–4999. [Google Scholar] [CrossRef]
- Sukuroglu, M.; Ergun, B.C.; Unlu, M.; Sahin, M.F.; Kupeli, E.; Yesilada, E.; Banoglu, E. Synthesis, analgesic, and anti-inflammatory activities of [6-(3,5-dimethyl-4-chloropyrazole-1-yl)-3(2H)-pyridazinon-2-yl] acetamides. Arch. Pharm. Res. 2005, 5, 509–517. [Google Scholar] [CrossRef]
- Singh, J.; Saini, V.; Kumar, A.; Bansal, R. Synthesis, molecular docking and biological evaluation of some newer 2-substituted-4-(benzo[d][1,3]dioxol-5-yl)-6-phenylpyridazin-3(2H)-ones as potential anti-inflammatory and analgesic agents. Bioorg. Chem. 2017, 71, 201–210. [Google Scholar] [CrossRef] [PubMed]
- Yamada, T.; Nobuhara, Y.; Yamaguchi, A.; Ohki, M. Pyridazinones. 1. Synthesis and antisecretory and antiulcer activities of thioamide derivatives. J. Med. Chem. 1982, 25, 975–982. [Google Scholar] [CrossRef] [PubMed]
- Sonmej, M.; Berber, L.; Akbas, B. Synthesis, antibacterial and antifungal activity of some new pyridazinone metal complexes. Eur. J. Med. Chem. 2005, 41, 101–105. [Google Scholar] [CrossRef] [PubMed]
- Shakeel, F.; Bhat, M.A.; Haq, N. Solubility of (2Z)-N-cyclohexyl-2-(3-hydroxybenzylidine) hydrazine carbothioamide in different pure solvents at (298.15 to 338.15) K. J. Chem. Eng. Data 2014, 59, 2126–2130. [Google Scholar] [CrossRef]
- Shakeel, F.; Haq, N.; Radwan, A.A.; Alanazi, F.K.; Alsarra, I.A. Solubility and solvation behavior of N′-(1-(N-(methyl) benzylaminomethyl)-2-oxoindolin-3-ylidene)-2-(benzyloxy) benzohydrazide in (PEG 400 + water) mixtures. J. Mol. Liq. 2016, 216, 1225–1230. [Google Scholar] [CrossRef]
- Shakeel, F.; Bhat, M.A.; Haq, N. Solubility and dissolution thermodynamics of (2Z)-N-cyclohexyl-2-(3-hydroxybenzylidine) hydrazine carbothioamide in 2-(2-ethoxyethoxy) ethanol + water mixtures at (298.15 to 338.15) K. J. Mol. Liq. 2014, 197, 381–385. [Google Scholar] [CrossRef]
- Shakeel, F.; Bhat, M.A.; Haq, N. Solubility of N-(4-chlorophenyl)-2-(pyridin-4-ylcarbonyl)-hydrazinecarbothioamide (isoniazid analogue) in Transcutol + water cosolvent mixtures at (298.15 to 338.15) K. J. Chem. Eng. Data 2014, 59, 1727–1732. [Google Scholar] [CrossRef]
- Imran, M.; Haq, N.; Alanazi, F.K.; Alsarra, I.A.; Shakeel, F. Solubility and thermodynamics of 6-phenyl-4,5-dihydropyridazin-3(2H)-one in various neat solvents at different temperatures. J. Mol. Liq. 2017, 238, 455–461. [Google Scholar] [CrossRef]
- Shakeel, F.; Imran, M.; Haq, N.; Alanazi, F.K.; Alsarra, I.A. Solubility and thermodynamic/solvation behavior of 6-phenyl-4,5-dihydropyridazin-3(2H)-one in different (Transcutol + water) mixtures. J. Mol. Liq. 2017, 230, 511–517. [Google Scholar] [CrossRef]
- Imran, M. Solubility and thermodynamics of 6-phenyl-4,5-dihydropyridazin-3(2H)-one in various (PEG 400 + water) mixtures. Z. Phys. Chem. 2019, 233, 273–287. [Google Scholar] [CrossRef]
- Hansen, C.M. Hansen Solubility Parameters: A Sser’s Handbook, 2nd ed.; Taylor and Francis Group; CRC Press: Boca Raton, FL, USA, 2007; p. 544. [Google Scholar]
- Kitak, T.; Dumicic, A.; Planinsek, O.; Sibanc, R.; Srcic, S. Determination of solubility parameters of ibuprofen and ibuprofen lysinate. Molecules 2015, 20, 21549–21568. [Google Scholar] [CrossRef] [PubMed]
- Alshehri, S.; Haq, N.; Shakeel, F. Solubility, molecular interactions and mixing thermodynamic properties of piperine in various pure solvents at different temperatures. J. Mol. Liq. 2018, 250, 63–70. [Google Scholar] [CrossRef]
- Ruidiaz, M.A.; Delgado, D.R.; Martínez, F.; Marcus, Y. Solubility and preferential solvation of indomethacin in 1,4-dioxane + water solvent mixtures. Fluid Phase Equilibria 2010, 299, 259–265. [Google Scholar] [CrossRef]
- Hildebrand, J.H.; Prausnitz, J.M.; Scott, R.L. Regular and Related Solutions; Van Nostrand Reinhold: New York, NY, USA, 1970. [Google Scholar]
- Manrique, Y.J.; Pacheco, D.P.; Martínez, F. Thermodynamics of mixing and solvation of ibuprofen and naproxen in propylene glycol + water cosolvent mixtures. J. Solut. Chem. 2008, 37, 165–181. [Google Scholar] [CrossRef]
- Apelblat, A.; Manzurola, E. Solubilities of o-acetylsalicylic, 4-aminosalicylic, 3,5-dinitrosalicylic and p-toluic acid and magnesium-dl-aspartate in water from T = (278–348) K. J. Chem. Thermodyn. 1999, 31, 85–91. [Google Scholar] [CrossRef]
- Manzurola, E.; Apelblat, A. Solubilities of L-glutamic acid, 3-nitrobenzoic acid, acetylsalicylic, p-toluic acid, calcium-L-lactate, calcium gluconate, magnesium-dl-aspartate, and magnesium-l-lactate in water. J. Chem. Thermodyn. 2002, 34, 1127–1136. [Google Scholar] [CrossRef]
- Shakeel, F.; Haq, N.; Alshehri, S.; Ibrahim, M.A.; Elzayat, E.M.; Altamimi, M.A.; Alanazi, F.K.; Alsarra, I.A. Solubility, thermodynamic properties and solute-solvent molecular interactions of luteolin in various pure solvents. J. Mol. Liq. 2018, 255, 43–50. [Google Scholar] [CrossRef]
- Ahmad, A.; Raish, M.; Alkharfy, K.M.; Alsarra, I.A.; Khan, A.; Ahad, A.; Jan, B.L.; Shakeel, F. Solubility, solubility parameters and solution thermodynamics of thymoquinone in different mono solvents. J. Mol. Liq. 2018, 272, 912–918. [Google Scholar] [CrossRef]
- Holguín, A.R.; Rodríguez, G.A.; Cristancho, D.M.; Delgado, D.R.; Martínez, F. Solution thermodynamics of indomethacin in propylene glycol + water mixtures. Fluid Phase Equilibria 2012, 314, 134–139. [Google Scholar] [CrossRef]
- Krug, R.R.; Hunter, W.G.; Grieger, R.S. Enthalpy-entropy compensation. 2. Separation of the chemical from the statistic effect. J. Phys. Chem. 1976, 80, 2341–2351. [Google Scholar] [CrossRef]
- Panigrahi, M.; Grabda, M.; Kozak, D.; Dorai, A.; Shibata, E.; Kawamura, J.; Nakamura, T. Liquid–liquid extraction of neodymium ions from aqueous solutions of NdCl3 by phosphonium-based ionic liquids. Sep. Purif. Technol. 2016, 171, 263–269. [Google Scholar] [CrossRef]
- Arunkumar, D.; Panigrahi, M.; Kozak, D.; Grabda, M.; Shibata, E.; Nakamura, T.; Kawamura, J. Effect of paramagnetic metal ions on 1H diffusion in tryhexyltetradecylphosphonium benzoate ionic liquid. ECS Trans. 2016, 75, 567–573. [Google Scholar]
- Grabda, M.; Panigrahi, M.; Oleszek, S.; Kozak, D.; Eckerte, F.; Shibata, E.; Nakamura, T. COSMO-RS screening for efficient ionic liquid extraction solvents for NdCl3 and DyCl3. Fluid Phase Equilibria 2014, 383, 134–143. [Google Scholar] [CrossRef]
- Higuchi, T.; Connors, K.A. Phase-solubility techniques. Adv. Anal. Chem. Instrum. 1965, 4, 117–122. [Google Scholar]
- Anwer, M.K.; Muqtader, M.; Iqbal, M.; Ali, R.; Almutairy, B.K.; Alshetaili, A.; Alshahrani, S.M.; Aldawsari, M.F.; Alalaiwe, A.; Shakeel, F. Estimating the solubility, solution thermodynamics, and molecular interaction of aliskiren hemifumarate in alkylimidazolium based ionic liquids. Molecules 2019, 24, 2807. [Google Scholar] [CrossRef] [PubMed]
| Sample Availability: Samples of the compounds are available from the authors. | 




| S | xe | ||||
|---|---|---|---|---|---|
| T = 298.2 K | T = 303.2 K | T = 308.2 K | T = 313.2 K | T = 318.2 K | |
| Water | 5.75 × 10−6 | 6.91 × 10−6 | 8.37 × 10−6 | 1.00 × 10−5 | 1.26 × 10−5 | 
| Methanol | 2.59 × 10−3 | 3.00 × 10−3 | 3.57 × 10−3 | 4.29 × 10−3 | 5.18 × 10−3 | 
| Ethanol | 4.75 × 10−3 | 5.42 × 10−3 | 6.19 × 10−3 | 7.22 × 10−3 | 8.22 × 10−3 | 
| EG | 6.43 × 10−3 | 7.51 × 10−3 | 8.96 × 10−3 | 1.05 × 10−2 | 1.27 × 10−2 | 
| IPA | 8.15 × 10−3 | 9.13 × 10−3 | 1.06 × 10−2 | 1.23 × 10−2 | 1.44 × 10−2 | 
| PG | 8.74 × 10−3 | 9.93 × 10−3 | 1.13 × 10−2 | 1.27 × 10−2 | 1.50 × 10−2 | 
| 1-Butanol | 1.19 × 10−2 | 1.36 × 10−2 | 1.59 × 10−2 | 1.84 × 10−2 | 2.11 × 10−2 | 
| 2-Butanol | 1.23 × 10−2 | 1.41 × 10−2 | 1.61 × 10−2 | 1.88 × 10−2 | 2.18 × 10−2 | 
| EA | 4.37 × 10−2 | 4.79 × 10−2 | 5.42 × 10−2 | 6.01 × 10−2 | 6.81 × 10−2 | 
| Transcutol | 2.76 × 10−1 | 2.90 × 10−1 | 3.06 × 10−1 | 3.25 × 10−1 | 3.46 × 10−1 | 
| PEG-400 | 3.19 × 10−1 | 3.38 × 10−1 | 3.62 × 10−1 | 3.89 × 10−1 | 4.12 × 10−1 | 
| DMSO | 4.03 × 10−1 | 4.19 × 10−1 | 4.38 × 10−1 | 4.55 × 10−1 | 4.73 × 10−1 | 
| xidl | 5.50 × 10−2 | 6.10 × 10−2 | 6.75 × 10−2 | 7.45 × 10−2 | 8.22 × 10−1 | 
| S | γi | ||||
|---|---|---|---|---|---|
| T = 298.2 K | T = 303.2 K | T = 308.2 K | T = 313.2 K | T = 318.2 K | |
| Water | 9570.00 | 8840.00 | 8070.00 | 7430.00 | 6550.00 | 
| Methanol | 21.23 | 20.30 | 18.86 | 17.35 | 15.87 | 
| Ethanol | 11.58 | 11.24 | 10.90 | 10.32 | 10.00 | 
| EG | 8.55 | 8.12 | 7.53 | 7.08 | 6.45 | 
| IPA | 6.75 | 6.68 | 6.34 | 6.06 | 5.70 | 
| PG | 6.29 | 6.14 | 5.94 | 5.85 | 5.47 | 
| 1-Butanol | 4.59 | 4.46 | 4.23 | 4.04 | 3.89 | 
| 2-Butanol | 4.44 | 4.30 | 4.17 | 3.95 | 3.77 | 
| EA | 1.27 | 1.25 | 1.24 | 1.23 | 1.20 | 
| Transcutol | 0.19 | 0.21 | 0.22 | 0.22 | 0.23 | 
| PEG-400 | 0.17 | 0.18 | 0.18 | 0.19 | 0.19 | 
| DMSO | 0.13 | 0.14 | 0.15 | 0.16 | 0.17 | 
| S | A | B | C | R2 | RMSD (%) | Overall RMSD (%) | 
|---|---|---|---|---|---|---|
| Water | −203.37 | 8364.17 | 30.54 | 0.9994 | 0.91 | |
| Methanol | −521.60 | 20,859.30 | 78.22 | 0.9997 | 0.74 | |
| Ethanol | −160.38 | 4887.72 | 24.33 | 0.9992 | 0.57 | |
| EG | −411.70 | 15,922.29 | 62.00 | 0.9998 | 0.76 | |
| IPA | −494.39 | 20,155.48 | 74.06 | 0.9995 | 0.87 | 0.62 | 
| PG | −382.75 | 15,208.33 | 57.39 | 0.9986 | 0.95 | |
| 1-Butanol | −131.04 | 3505.05 | 20.15 | 0.9993 | 0.62 | |
| 2-Butanol | −269.06 | 9860.43 | 40.65 | 0.9995 | 0.42 | |
| EA | −320.51 | 12,771.75 | 48.18 | 0.9995 | 0.63 | |
| Transcutol | −203.37 | 8364.17 | 30.54 | 0.9994 | 0.27 | |
| PEG-400 | −49.63 | 1173.90 | 7.81 | 0.9980 | 0.56 | |
| DMSO | −25.60 | 488.77 | 4.04 | 0.9992 | 0.16 | 
| S | a | b | R2 | RMSD (%) | Overall RMSD (%) | 
|---|---|---|---|---|---|
| Water | 0.22 | −3669.00 | 0.9970 | 1.54 | |
| Methanol | 5.10 | −3304.80 | 0.9960 | 1.70 | |
| Ethanol | 3.44 | −2623.30 | 0.9985 | 0.74 | |
| EG | 5.76 | −3228.70 | 0.9974 | 1.44 | |
| IPA | 4.30 | −2724.80 | 0.9947 | 1.69 | |
| PG | 3.70 | −2521.30 | 0.9953 | 1.45 | 1.16 | 
| 1-Butanol | 4.67 | −2715.70 | 0.9990 | 0.82 | |
| 2-Butanol | 4.62 | −2693.10 | 0.9979 | 1.29 | |
| EA | 3.94 | −2113.70 | 0.9961 | 1.14 | |
| Transcutol | 2.30 | −1072.50 | 0.9940 | 0.75 | |
| PEG-400 | 3.00 | −1238.00 | 0.9977 | 0.70 | |
| DMSO | 1.63 | −759.30 | 0.9991 | 0.77 | 
| S | ΔsolH0/kJ·mol−1 | ΔsolG0/kJ·mol−1 | ΔsolS0/J·mol−1·K−1 | R2 | 
|---|---|---|---|---|
| Water | 30.54 | 29.92 | 2.00 | 0.9971 | 
| Methanol | 27.51 | 14.39 | 42.59 | 0.9962 | 
| Ethanol | 21.84 | 12.99 | 28.70 | 0.9986 | 
| EG | 26.88 | 12.06 | 48.08 | 0.9975 | 
| IPA | 22.68 | 11.61 | 35.93 | 0.9949 | 
| PG | 20.99 | 11.46 | 30.92 | 0.9954 | 
| 1-Butanol | 22.60 | 10.60 | 38.97 | 0.9990 | 
| 2-Butanol | 22.42 | 10.53 | 38.59 | 0.9980 | 
| EA | 17.59 | 7.46 | 32.89 | 0.9962 | 
| Transcutol | 8.93 | 3.01 | 19.20 | 0.9942 | 
| PEG-400 | 10.31 | 2.59 | 25.04 | 0.9978 | 
| DMSO | 6.32 | 2.11 | 13.64 | 0.9992 | 
© 2019 by the authors. Licensee MDPI, Basel, Switzerland. This article is an open access article distributed under the terms and conditions of the Creative Commons Attribution (CC BY) license (http://creativecommons.org/licenses/by/4.0/).
Share and Cite
Shakeel, F.; Imran, M.; Haq, N.; Alshehri, S.; Anwer, M.K. Synthesis, Characterization and Solubility Determination of 6-Phenyl-pyridazin-3(2H)-one in Different Pharmaceutical Solvents. Molecules 2019, 24, 3404. https://doi.org/10.3390/molecules24183404
Shakeel F, Imran M, Haq N, Alshehri S, Anwer MK. Synthesis, Characterization and Solubility Determination of 6-Phenyl-pyridazin-3(2H)-one in Different Pharmaceutical Solvents. Molecules. 2019; 24(18):3404. https://doi.org/10.3390/molecules24183404
Chicago/Turabian StyleShakeel, Faiyaz, Mohd Imran, Nazrul Haq, Sultan Alshehri, and Md. Khalid Anwer. 2019. "Synthesis, Characterization and Solubility Determination of 6-Phenyl-pyridazin-3(2H)-one in Different Pharmaceutical Solvents" Molecules 24, no. 18: 3404. https://doi.org/10.3390/molecules24183404
APA StyleShakeel, F., Imran, M., Haq, N., Alshehri, S., & Anwer, M. K. (2019). Synthesis, Characterization and Solubility Determination of 6-Phenyl-pyridazin-3(2H)-one in Different Pharmaceutical Solvents. Molecules, 24(18), 3404. https://doi.org/10.3390/molecules24183404
 
        




 
       