The Comprehensive Evaluation of Safflowers in Different Producing Areas by Combined Analysis of Color, Chemical Compounds, and Biological Activity
Abstract
1. Introduction
2. Results and Discussion
2.1. Color Measurements and Classification of Safflower
2.2. Analysis of Chromaticity-Related Characteristic Components from Safflower
2.2.1. Selection of Chromaticity-Related Characteristic Components from Safflower
2.2.2. Optimization of UPLC-QTRAP®/MS2 Conditions
2.2.3. Method Validation
2.2.4. Application to the Analysis of Real Samples
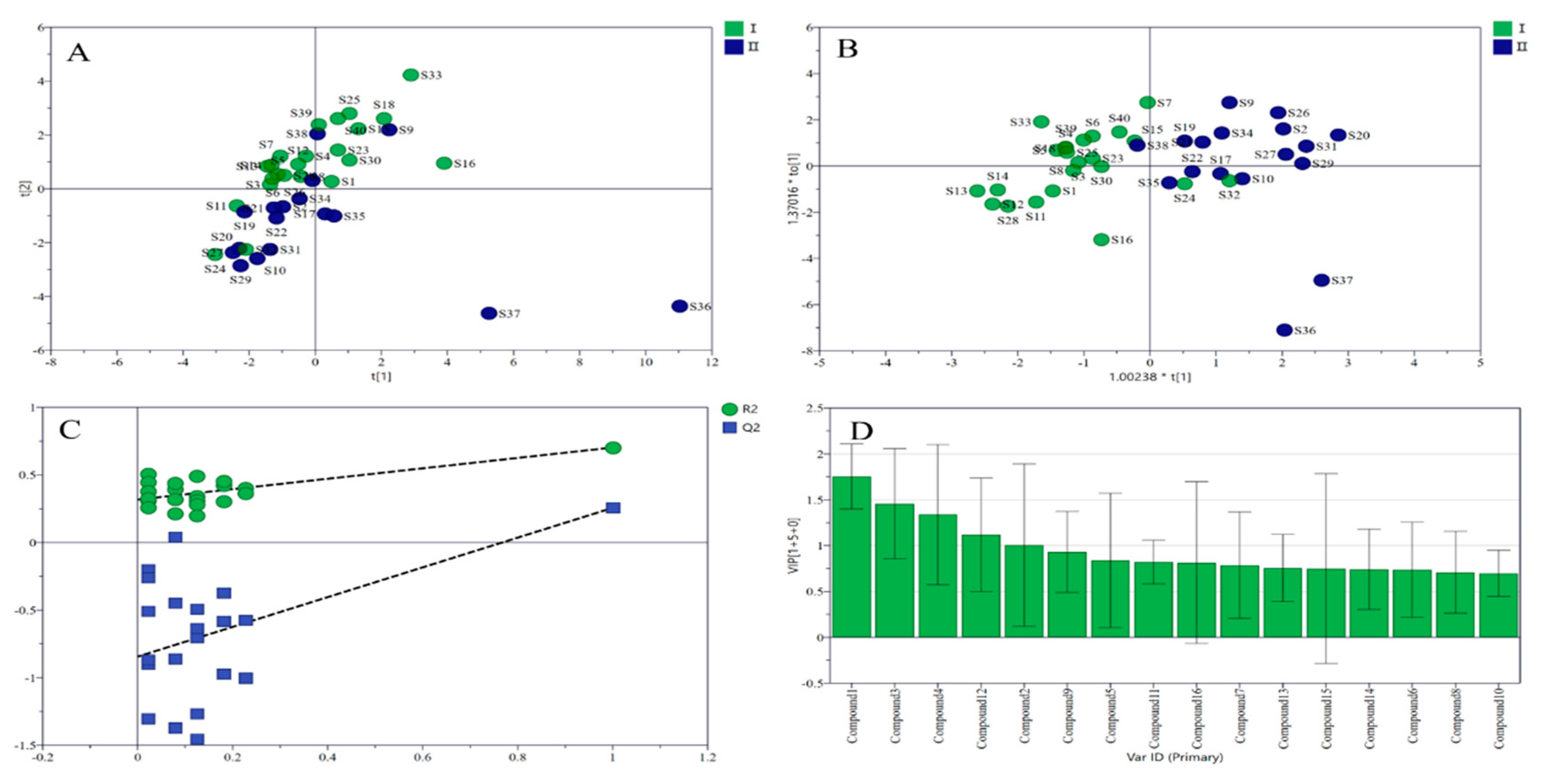
2.3. Chemometrics Classification of Safflower Samples from Different Production Areas Based on the Chromaticity-Related Characteristic Components
2.4. Anti-Thrombotic Evaluation of Two Types of Safflower in Zebrafish
2.5. The Relationship of Color Measurements, Chemical Detection, and Anti-Thrombotic Analysis of Safflower
3. Material and Methods
3.1. Chemicals and Reagents
3.2. Plant Materials
3.3. Color Measurements
3.4. Quantitative Determination of 16 Compounds
3.4.1. Preparation of Sample Solution
3.4.2. Preparation of Standard Solution
3.4.3. UPLC-QTRAP®/MS2 Conditions
3.4.4. Validation of UPLC-QTRAP®/MS2 Method
3.5. Anti-Thrombotic of Two Types of Safflower in Zebrafish
3.6. Statistical Analysis
4. Conclusions
Supplementary Materials
Author Contributions
Funding
Acknowledgments
Conflicts of Interest
References
- Nie, J.; Xiao, L.; Zheng, L.; Du, Z.; Liu, D.; Zhou, J.; Xiang, J.; Hou, J.; Wang, X.; Fang, J. An integration of UPLC-DAD/ESI-Q-TOF MS, GC-MS, and PCA analysis for quality evaluation and identification of cultivars of Chrysanthemi Flos (Juhua). Phytomedicine 2019, 59, 152803. [Google Scholar] [CrossRef] [PubMed]
- Schweiggert, R.M. Perspective on the ongoing replacement of artificial and animal-based dyes with alternative natural pigments in foods and beverages. J. Agric. Food Chem. 2018, 66, 3074–3081. [Google Scholar] [CrossRef] [PubMed]
- Kumar, S.; Ambreen, H.; Murali, T.V.; Bali, S.; Agarwal, M.; Kumar, A.; Goel, S.; Jagannath, A. Assessment of genetic diversity and population structure in a global reference collection of 531 accessions of Carthamus tinctorius L. (safflower) using AFLP markers. Plant Mol. Biol. Rep. 2015, 33, 1299–1313. [Google Scholar] [CrossRef]
- Delshad, E.; Yousefi, M.; Sasannezhad, P.; Rakhshandeh, H.; Ayati, Z. Medical uses of Carthamus tinctorius L. (safflower): A comprehensive review from Traditional medicine to modern medicine. Electron. Physician 2018, 10, 6672–6681. [Google Scholar] [CrossRef] [PubMed]
- Yao, D.; Wang, Z.; Miao, L.; Wang, L. Effects of extracts and isolated compounds from safflower on some index of promoting blood circulation and regulating menstruation. J. Ethnopharmacol. 2016, 191, 264–272. [Google Scholar] [CrossRef] [PubMed]
- Qu, C.; Pu, Z.J.; Zhou, G.S.; Wang, J.; Zhu, Z.H.; Yue, S.J.; Li, J.P.; Shang, L.L.; Tang, Y.P.; Shi, X.Q.; et al. Comparative analysis of main bio-active components in the herb pair Danshen-Honghua and its single herbs by ultra-high performance liquid chromatography coupled to triple quadrupole tandem mass spectrometry. J. Sep. Sci. 2017, 40, 3392–3401. [Google Scholar] [CrossRef]
- Golkar, P.; Arzani, A.; Rezaei, A.M. Inheritance of flower colour and spinelessness in safflower (Carthamus tinctorius L.). J. Genetics 2010, 89, 259–262. [Google Scholar] [CrossRef]
- Kazuma, K.; Takahashi, T.; Sato, K.; Takeuchi, H.; Matsumoto, T.; Okuno, T. Quinochalcones and flavonoids from fresh florets in different cultivars of Carthamus tinctorius L. Biosci. Biotechnol. Biochem. 2000, 64, 1588–1599. [Google Scholar] [CrossRef]
- Mohammadi, M.; Tavakoli, A. Effect of harvest time of spring safflower (Carthamus tinctorius L.) florets on the production of red and yellow pigments. Qual. Assur. Saf. Crops Foods 2015, 7, 581–588. [Google Scholar] [CrossRef]
- Ren, C. The effect of light intensity on safflower quality and preliminary study of its mechanism. Master’s Thesis, Chengdu University of Traditional Chinese Medicine, Chengdu, China, July 2018. [Google Scholar]
- Xu, M.; Du, C.; Zhang, N.; Shi, X.; Wu, Z.; Qiao, Y. Color spaces of safflower (Carthamus tinctorius L.) for quality assessment. J. Tradit. Chin. Med. Sci. 2016, 3, 168–175. [Google Scholar] [CrossRef]
- Tu, Y.; Li, D.; Fan, L.; Jia, X.; Guo, D.; Xin, H.; Guo, M. DOXC-class 2-oxoglutarate-dependent dioxygenase in safflower: Gene characterization, transcript abundance, and correlation with flavonoids. Biochem. Systematics Ecol. 2018, 80, 14–20. [Google Scholar] [CrossRef]
- Wei, B.; Wang, R.; Hou, K.; Wang, X.; Wu, W. Predicting the current and future cultivation regions of Carthamus tinctorius L. using MaxEnt model under climate change in China. Global Ecol. Conservation 2018, 16, e00477. [Google Scholar] [CrossRef]
- Zhou, G.; Pang, H.; Tang, Y.; Yao, X.; Ding, Y.; Zhu, S.; Guo, S.; Qian, D.; Shen, J.; Qian, Y.; et al. Hydrophilic interaction ultra-performance liquid chromatography coupled with triple-quadrupole tandem mass spectrometry (HILIC-UPLC-TQ-MS/MS) in multiple-reaction monitoring (MRM) for the determination of nucleobases and nucleosides in ginkgo seeds. Food Chem. 2014, 150, 260–266. [Google Scholar] [CrossRef] [PubMed]
- Yao, X.; Zhou, G.; Tang, Y.; Pang, H.; Qian, Y.; Guo, S.; Mo, X.; Zhu, S.; Su, S.; Qian, D.; et al. Direct determination of underivatized amino acids from Ginkgo biloba leaves by using hydrophilic interaction ultra high performance liquid chromatography coupled with triple quadrupole mass spectrometry. J. Sep. Sci. 2013, 36, 2878–2887. [Google Scholar] [CrossRef] [PubMed]
- Guo, S.; Duan, J.A.; Tang, Y.P.; Zhu, Z.H.; Qian, Y.F.; Yang, N.Y.; Shang, E.X.; Qian, D.W. Characterization of nucleosides and nucleobases in fruits of Ziziphus jujuba by UPLC-DAD-MS. J. Agric. Food Chem. 2010, 58, 10774–10780. [Google Scholar] [CrossRef] [PubMed]
- Fan, L.; Zhao, H.Y.; Xu, M.; Zhou, L.; Guo, H.; Han, J.; Wang, B.R.; Guo, D.A. Qualitative evaluation and quantitative determination of 10 major active components in Carthamus tinctorius L. by high-performance liquid chromatography coupled with diode array detector. J. Chromatogr. A 2009, 1216, 2063–2070. [Google Scholar] [CrossRef] [PubMed]
- Jia-Xi, L.; Chun-Xia, Z.; Ying, H.; Meng-Han, Z.; Ya-Nan, W.; Yue-Xin, Q.; Jing, Y.; Wen-Zhi, Y.; Miao-Miao, J.; De-An, G. Application of multiple chemical and biological approaches for quality assessment of Carthamus tinctorius L. (safflower) by determining both the primary and secondary metabolites. Phytomedicine 2019, 58, 152826. [Google Scholar] [CrossRef]
- Boué, S.M.; Carter-Wientjes, C.H.; Shih, B.Y.; Cleveland, T.E. Identification of flavone aglycones and glycosides in soybean pods by liquid chromatography–tandem mass spectrometry. J. Chromatogr. A 2003, 991, 61–68. [Google Scholar]
- Borghesi, E.; Gonzalez-Miret, M.L.; Escudero-Gilete, M.L.; Malorgio, F.; Heredia, F.J.; Melendez-Martinez, A.J. Effects of salinity stress on carotenoids, anthocyanins, and color of diverse tomato genotypes. J. Agric. Food Chem. 2011, 59, 11676–11682. [Google Scholar] [CrossRef]
- Cebadera-Miranda, L.; Dominguez, L.; Dias, M.I.; Barros, L.; Ferreira, I.; Igual, M.; Martinez-Navarrete, N.; Fernandez-Ruiz, V.; Morales, P.; Camara, M. Sanguinello and Tarocco (Citrus sinensis [L.] Osbeck): Bioactive compounds and colour appearance of blood oranges. Food Chem. 2019, 270, 395–402. [Google Scholar] [CrossRef]
- Cesa, S.; Carradori, S.; Bellagamba, G.; Locatelli, M.; Casadei, M.A.; Masci, A.; Paolicelli, P. Evaluation of processing effects on anthocyanin content and colour modifications of blueberry (Vaccinium spp.) extracts: Comparison between HPLC-DAD and CIELAB analyses. Food Chem. 2017, 232, 114–123. [Google Scholar] [CrossRef] [PubMed]
- Mohd Jusoh, Y.M.; Chin, N.L.; Yusof, Y.A.; Abdul Rahman, R. Bread crust thickness measurement using digital imaging and L a b colour system. J. Food Engin. 2009, 94, 366–371. [Google Scholar] [CrossRef]
- Jain, A.K. Data clustering: 50 years beyond K-means. Pattern Recogn. Lett. 2010, 31, 651–666. [Google Scholar] [CrossRef]
- Tu, Y.; He, B.; Gao, S.; Guo, D.; Jia, X.; Dong, X.; Guo, M. CtACO1 Overexpression Resulted in the Alteration of the Flavonoids Profile of Safflower. Molecules 2019, 24, 1128. [Google Scholar] [CrossRef] [PubMed]
- Tu, Y.; Liu, F.; Guo, D.; Fan, L.; Zhu, Z.; Xue, Y.; Gao, Y.; Guo, M. Molecular characterization of flavanone 3-hydroxylase gene and flavonoid accumulation in two chemotyped safflower lines in response to methyl jasmonate stimulation. BMC Plant Biol 2016, 16, 132. [Google Scholar] [CrossRef] [PubMed]
- Pejin, B.; Iodice, C.; Tommonaro, G.; Sabovljevic, M.; Bianco, A.; Tesevic, V.; Vajs, V.; De Rosa, S. Sugar composition of the moss Rhodobryum ontariense (Kindb.) Kindb. Nat. Prod. Res. 2012, 26, 209–215. [Google Scholar] [CrossRef] [PubMed]
- Si, W.; Yang, W.; Guo, D.; Wu, J.; Zhang, J.; Qiu, S.; Yao, C.; Cui, Y.; Wu, W. Selective ion monitoring of quinochalcone C-glycoside markers for the simultaneous identification of Carthamus tinctorius L. in eleven Chinese patent medicines by UHPLC/QTOF MS. J. Pharm. Biomed. Anal. 2016, 117, 510–521. [Google Scholar] [CrossRef]
- Sant’Anna, V.; Gurak, P.D.; Ferreira Marczak, L.D.; Tessaro, I.C. Tracking bioactive compounds with colour changes in foods–A review. Dyes Pigments 2013, 98, 601–608. [Google Scholar] [CrossRef]
- Li, S.; Lin, H.; Qu, C.; Tang, Y.; Shen, J.; Li, W.; Yue, S.; Kai, J.; Shang, G.; Zhu, Z.; et al. Urine and plasma metabonomics coupled with UHPLC-QTOF/MS and multivariate data analysis on potential biomarkers in anemia and hematinic effects of herb pair Gui-Hong. J. Ethnopharmacol. 2015, 170, 175–183. [Google Scholar] [CrossRef] [PubMed]
- Guo, D.; Xue, Y.; Li, D.; He, B.; Jia, X.; Dong, X.; Guo, M. Overexpression of CtCHS1 Increases Accumulation of Quinochalcone in Safflower. Front. Plant Sci. 2017, 8, 1409. [Google Scholar] [CrossRef] [PubMed]
- Mahapatra, D.K.; Bharti, S.K. Therapeutic potential of chalcones as cardiovascular agents. Life Sci. 2016, 148, 154–172. [Google Scholar] [CrossRef] [PubMed]
- Qi, Y.; Zhao, X.; Liu, H.; Wang, Y.; Zhao, C.; Zhao, T.; Zhao, B.; Wang, Y. Identification of a quality marker (Q-marker) of Danhong Injection by the zebrafish thrombosis model. Molecules 2017, 22, 1443. [Google Scholar] [CrossRef] [PubMed]
- Li, Q.; Fan, J.-Y.; Han, J.-Y. Chinese herbal remedies affecting thrombosis and hemostasis: A review. World J. Tradit. Chin. Med. 2015, 1, 38–49. [Google Scholar] [CrossRef]
- Qu, C.; Wang, L.Y.; Lin, H.; Shang, E.X.; Tang, Y.P.; Yue, S.J.; Jin, Y.; Tao, W.W.; Li, S.P.; Hua, Y.Q.; et al. Hierarchical identification of bioactive components in a medicinal herb by preparative high-performance liquid chromatography and selective knock-out strategy. J. Pharm. Biomed. Anal. 2017, 135, 206–216. [Google Scholar] [CrossRef] [PubMed]
- Yue, S.; Tang, Y.; Xu, C.; Li, S.; Zhu, Y.; Duan, J.A. Two new quinochalcone C-glycosides from the florets of Carthamus tinctorius. Int. J. Mol. Sci. 2014, 15, 16760–16771. [Google Scholar] [CrossRef] [PubMed]
- Yue, S.-J.; Tang, Y.-P.; Wang, L.-Y.; Tang, H.; Li, S.-J.; Liu, P.; Su, S.-L.; Duan, J.-A. Separation and evaluation of antioxidant constituents from Carthamus tinctorius. Zhongguo zhongyao zazhi = Chin. J. Chin. Mater. Med. 2014, 39, 3295–3300. [Google Scholar]
- Mazur, S.P.; Nes, A.; Wold, A.B.; Remberg, S.F.; Aaby, K. Quality and chemical composition of ten red raspberry (Rubus idaeus L.) genotypes during three harvest seasons. Food Chem. 2014, 160, 233–240. [Google Scholar] [CrossRef] [PubMed]
- Yan, B.; Xu, W.; Su, S.; Zhu, S.; Zhu, Z.; Zeng, H.; Zhao, M.; Qian, D.; Duan, J.A. Comparative analysis of 15 chemical constituents in Scutellaria baicalensis stem-leaf from different regions in China by ultra-high performance liquid chromatography with triple quadrupole tandem mass spectrometry. J. Sep. Sci. 2017, 40, 3570–3581. [Google Scholar] [CrossRef]
- Pejin, B.; Vujisic, L.; Sabovljevic, M.; Tesevic, V.; Vajs, V. Preliminary Data on Essential Oil Composition of the Moss Rhodobryum ontariense (Kindb.) Kindb. Cryptogam. Bryol. 2011, 32, 113–117. [Google Scholar] [CrossRef]
- Pejin, B.; Bianco, A.; Newmaster, S.; Sabovljevic, M.; Vujisic, L.; Tesevic, V.; Vajs, V.; De Rosa, S. Fatty acids of Rhodobryum ontariense (Bryaceae). Nat. Prod. Res. 2012, 26, 696–702. [Google Scholar] [CrossRef]
- Zhu, X.Y.; Liu, H.C.; Guo, S.Y.; Xia, B.; Song, R.S.; Lao, Q.C.; Xuan, Y.X.; Li, C.Q. A Zebrafish Thrombosis Model for Assessing Antithrombotic Drugs. Zebrafish 2016, 13, 335–344. [Google Scholar] [CrossRef] [PubMed]
- Chen, Y.; Chen, P.D.; Bao, B.H.; Shan, M.Q.; Zhang, K.C.; Cheng, F.F.; Cao, Y.D.; Zhang, L.; Ding, A.W. Anti-thrombotic and pro-angiogenic effects of Rubia cordifolia extract in zebrafish. J. Ethnopharmacol. 2018, 219, 152–160. [Google Scholar] [CrossRef] [PubMed]
- Sun, Y.; Xu, D.P.; Qin, Z.; Wang, P.Y.; Hu, B.H.; Yu, J.G.; Zhao, Y.; Cai, B.; Chen, Y.L.; Lu, M.; et al. Protective cerebrovascular effects of hydroxysafflor yellow A (HSYA) on ischemic stroke. Eur. J. Pharmacol. 2018, 818, 604–609. [Google Scholar] [CrossRef] [PubMed]
- Yu, L.; Duan, Y.; Zhao, Z.; He, W.; Xia, M.; Zhang, Q.; Cao, X. Hydroxysafflor Yellow A (HSYA) Improves Learning and Memory in Cerebral Ischemia Reperfusion-Injured Rats via Recovering Synaptic Plasticity in the Hippocampus. Front. Cell Neurosci. 2018, 12, 371. [Google Scholar] [CrossRef] [PubMed]
Sample Availability: Samples of the compounds hydroxysafflor yellow A and anhydrosafflor yellow B are available from the authors. |






| No | L* | a* | b* | Chroma | Hue Angle | Classification | No | L* | a* | b* | Chroma | Hue Angle | Classification |
|---|---|---|---|---|---|---|---|---|---|---|---|---|---|
| S1 | 47.3 | 33.3 | 47.7 | 58.2 | 55.1 | I | S21 | 33.6 | 28.4 | 35.5 | 45.5 | 51.4 | II |
| S2 | 38.3 | 29.0 | 35.1 | 45.5 | 50.4 | II | S22 | 42.0 | 29.6 | 36.5 | 47.0 | 51.0 | II |
| S3 | 46.7 | 33.0 | 43.3 | 54.5 | 52.7 | I | S23 | 47.5 | 34.3 | 47.0 | 58.1 | 53.8 | I |
| S4 | 46.8 | 31.8 | 43.8 | 54.1 | 54.0 | I | S24 | 39.7 | 32.1 | 44.6 | 55.0 | 54.2 | I |
| S5 | 48.1 | 33.2 | 55.6 | 64.7 | 59.1 | I | S25 | 47.3 | 32.4 | 46.5 | 56.7 | 55.1 | I |
| S6 | 48.3 | 31.6 | 47.4 | 56.9 | 56.3 | I | S26 | 37.0 | 29.4 | 40.5 | 50.1 | 54.1 | II |
| S7 | 43.2 | 31.9 | 42.3 | 53.0 | 53.0 | I | S27 | 36.0 | 27.4 | 29.0 | 39.8 | 46.6 | II |
| S8 | 46.1 | 31.4 | 43.1 | 53.3 | 53.9 | I | S28 | 49.2 | 34.5 | 48.5 | 59.5 | 54.5 | I |
| S9 | 44.6 | 31.1 | 38.6 | 49.5 | 51.1 | II | S29 | 36.3 | 27.8 | 32.0 | 42.4 | 49.1 | II |
| S10 | 38.5 | 29.3 | 38.2 | 48.1 | 52.5 | II | S30 | 45.7 | 32.7 | 43.5 | 54.5 | 53.1 | I |
| S11 | 48.9 | 33.3 | 48.9 | 59.2 | 55.7 | I | S31 | 30.9 | 25.1 | 25.9 | 36.0 | 45.9 | II |
| S12 | 48.9 | 33.5 | 48.4 | 58.8 | 55.3 | I | S32 | 39.5 | 32.5 | 42.7 | 53.7 | 52.7 | I |
| S13 | 48.9 | 32.7 | 46.7 | 57.0 | 55.0 | I | S33 | 53.5 | 20.4 | 54.1 | 57.8 | 69.3 | I |
| S14 | 48.8 | 33.6 | 48.0 | 58.5 | 55.0 | I | S34 | 42.5 | 31.8 | 40.2 | 51.2 | 51.6 | II |
| S15 | 46.8 | 32.7 | 44.9 | 55.6 | 53.9 | I | S35 | 42.7 | 26.7 | 36.3 | 45.1 | 53.6 | II |
| S16 | 40.4 | 31.1 | 42.5 | 52.6 | 53.9 | I | S36 | 43.4 | 22.4 | 37.2 | 43.5 | 58.9 | II |
| S17 | 40.4 | 29.6 | 38.0 | 48.1 | 52.1 | II | S37 | 49.7 | 19.6 | 37.2 | 42.0 | 62.2 | II |
| S18 | 50.9 | 26.3 | 49.3 | 55.9 | 61.9 | I | S38 | 44.2 | 29.0 | 39.9 | 49.3 | 54.0 | II |
| S19 | 43.2 | 27.5 | 37.6 | 46.5 | 53.8 | II | S39 | 43.0 | 29.9 | 41.1 | 50.8 | 53.9 | I |
| S20 | 35.9 | 27.0 | 29.0 | 39.6 | 47.0 | II | S40 | 45.1 | 28.8 | 41.4 | 50.4 | 55.1 | I |
| Compound | tR (min) | Ion mode | MRM Transition | DP | EP | CE | CXP | |
|---|---|---|---|---|---|---|---|---|
| 1 | hydroxysafflor yellow A | 3.04 | [M − H]− | 611.06 > 490.8 | −105 | −10 | −36 | −53 |
| 2 | safflomin C | 12.20 | [M − H]− | 613.125 > 286.9 | −40 | −10 | −45 | −10 |
| 3 | anhydrosafflor yellow B | 8.80 | [M − H]− | 1043.122 > 448.9 | −5 | −10 | −40 | −10 |
| 4 | kaempferol | 12.99 | [M − H]− | 284.89 > 117 | −155 | −10 | −56 | −13 |
| 5 | kaempferol-3-O-glucoside | 8.86 | [M − H]− | 447.109 > 283.8 | −120 | −10 | −32 | −10 |
| 6 | kaempferol-3-O-rutinoside | 8.40 | [M − H]− | 593.003 > 284.9 | −120 | −10 | −44 | −29 |
| 7 | kaempferol-3-O-β-sophoroside | 5.78 | [M + H]+ | 611.8 > 286.9 | 56 | 10 | 31 | 20 |
| 8 | 6-hydroxykaempferol | 12.31 | [M + H]+ | 303.933 > 168.8 | 186 | 10 | 47 | 14 |
| 9 | 6-hydroxykaempferol-3-O-β-d-glucoside | 5.66 | [M + H]+ | 466.271 > 304.1 | 66 | 10 | 21 | 32 |
| 10 | 6-hydroxykaempferol-3,6-di-O-β-d-glucoside | 4.68 | [M + Na]+ | 649.805 > 347 | 106 | 10 | 45 | 34 |
| 11 | 6-hydroxykaempferol-3,6,7-tri-O-β-d-glucoside | 2.70 | [M + H]+ | 789.891 > 303.9 | 61 | 10 | 41 | 34 |
| 12 | quercetin | 12.56 | [M − H]− | 300.859 > 150.8 | −90 | −10 | −28 | −17 |
| 13 | rutin | 6.41 | [M − H]− | 609.048 > 300 | −150 | −10 | −52 | −33 |
| 14 | luteoloside | 7.22 | [M − H]− | 447.045 > 284.8 | −80 | −10 | −36 | −31 |
| 15 | apigenin | 12.95 | [M + H]+ | 270.989 > 153.1 | 171 | 10 | 49 | 14 |
| 16 | quercetin-3-O-β-d-glucoside | 6.88 | [M − H]− | 461.98 3 > 298.9 | −115 | −10 | −32 | −31 |
| No | Compound Number | |||||||||||||||
|---|---|---|---|---|---|---|---|---|---|---|---|---|---|---|---|---|
| 1 | 2 | 3 | 4 | 5 | 6 | 7 | 8 | 9 | 10 | 11 | 12 | 13 | 14 | 15 | 16 | |
| S1 | 12.542 | 0.423 | 8.601 | 0.172 | 0.072 | 0.475 | 0.013 | 0.000 | 0.309 | 0.208 | 1.014 | 0.125 | 0.183 | 0.006 | 0.035 | 0.140 |
| S2 | 7.279 | 0.225 | 2.975 | 0.166 | 0.070 | 0.437 | 0.019 | 0.000 | 0.384 | 0.219 | 1.095 | 0.049 | 0.065 | 0.009 | 0.037 | 0.044 |
| S3 | 14.583 | 0.277 | 4.351 | 0.138 | 0.061 | 0.501 | 0.013 | 0.098 | 0.332 | 0.159 | 0.701 | 0.034 | 0.074 | 0.006 | 0.034 | 0.041 |
| S4 | 15.525 | 0.336 | 6.179 | 0.149 | 0.080 | 0.629 | 0.018 | 0.091 | 0.372 | 0.234 | 0.998 | 0.039 | 0.080 | 0.005 | 0.034 | 0.030 |
| S5 | 11.456 | 0.265 | 4.989 | 0.142 | 0.055 | 0.628 | 0.020 | 0.101 | 0.335 | 0.135 | 0.669 | 0.029 | 0.100 | 0.005 | 0.000 | 0.039 |
| S6 | 12.316 | 0.239 | 4.482 | 0.129 | 0.065 | 0.536 | 0.023 | 0.097 | 0.361 | 0.180 | 0.826 | 0.023 | 0.068 | 0.006 | 0.032 | 0.017 |
| S7 | 11.803 | 0.256 | 4.361 | 0.151 | 0.065 | 0.503 | 0.025 | 0.099 | 0.411 | 0.180 | 0.984 | 0.028 | 0.056 | 0.004 | 0.000 | 0.025 |
| S8 | 13.968 | 0.286 | 5.310 | 0.141 | 0.085 | 0.605 | 0.017 | 0.000 | 0.375 | 0.226 | 0.998 | 0.045 | 0.116 | 0.006 | 0.034 | 0.053 |
| S9 | 13.611 | 0.240 | 5.812 | 0.165 | 0.259 | 0.580 | 0.023 | 0.096 | 0.576 | 0.444 | 1.378 | 0.059 | 0.074 | 0.006 | 0.000 | 0.112 |
| S10 | 8.548 | 0.183 | 2.575 | 0.247 | 0.060 | 0.429 | 0.011 | 0.000 | 0.215 | 0.119 | 0.599 | 0.097 | 0.090 | 0.006 | 0.037 | 0.038 |
| S11 | 15.204 | 0.188 | 5.437 | 0.147 | 0.061 | 0.450 | 0.004 | 0.000 | 0.263 | 0.128 | 0.504 | 0.019 | 0.080 | 0.004 | 0.035 | 0.048 |
| S12 | 19.278 | 0.279 | 7.429 | 0.165 | 0.085 | 0.605 | 0.007 | 0.000 | 0.391 | 0.152 | 0.908 | 0.025 | 0.119 | 0.006 | 0.033 | 0.086 |
| S13 | 17.615 | 0.245 | 7.250 | 0.131 | 0.073 | 0.527 | 0.008 | 0.000 | 0.382 | 0.169 | 0.756 | 0.012 | 0.089 | 0.004 | 0.033 | 0.042 |
| S14 | 15.912 | 0.283 | 6.935 | 0.151 | 0.079 | 0.568 | 0.006 | 0.000 | 0.332 | 0.135 | 0.661 | 0.019 | 0.101 | 0.005 | 0.000 | 0.064 |
| S15 | 17.714 | 0.363 | 7.098 | 0.222 | 0.202 | 0.454 | 0.010 | 0.000 | 0.629 | 0.315 | 1.152 | 0.048 | 0.060 | 0.007 | 0.000 | 0.136 |
| S16 | 18.580 | 0.303 | 6.679 | 0.197 | 0.143 | 1.070 | 0.018 | 0.091 | 0.485 | 0.181 | 1.480 | 0.074 | 0.208 | 0.033 | 0.035 | 0.132 |
| S17 | 11.124 | 0.225 | 3.561 | 0.185 | 0.090 | 0.536 | 0.015 | 0.096 | 0.310 | 0.220 | 0.939 | 0.095 | 0.143 | 0.013 | 0.033 | 0.080 |
| S18 | 13.795 | 0.582 | 10.157 | 0.180 | 0.121 | 0.631 | 0.010 | 0.093 | 0.555 | 0.330 | 1.170 | 0.059 | 0.111 | 0.007 | 0.033 | 0.122 |
| S19 | 8.689 | 0.200 | 3.439 | 0.142 | 0.061 | 0.472 | 0.015 | 0.095 | 0.270 | 0.137 | 0.672 | 0.031 | 0.059 | 0.002 | 0.033 | 0.033 |
| S20 | 6.605 | 0.171 | 2.215 | 0.236 | 0.056 | 0.357 | 0.011 | 0.096 | 0.195 | 0.093 | 0.664 | 0.051 | 0.049 | 0.004 | 0.036 | 0.023 |
| S21 | 8.745 | 0.329 | 3.913 | 0.198 | 0.074 | 0.562 | 0.014 | 0.097 | 0.323 | 0.111 | 0.759 | 0.046 | 0.059 | 0.004 | 0.039 | 0.023 |
| S22 | 10.158 | 0.273 | 4.006 | 0.202 | 0.062 | 0.626 | 0.009 | 0.091 | 0.244 | 0.112 | 0.709 | 0.049 | 0.086 | 0.006 | 0.037 | 0.034 |
| S23 | 15.730 | 0.343 | 7.145 | 0.190 | 0.098 | 0.617 | 0.010 | 0.093 | 0.562 | 0.241 | 1.025 | 0.052 | 0.102 | 0.005 | 0.033 | 0.062 |
| S24 | 8.232 | 0.150 | 2.559 | 0.184 | 0.038 | 0.438 | 0.007 | 0.000 | 0.158 | 0.094 | 0.397 | 0.038 | 0.061 | 0.004 | 0.036 | 0.023 |
| S25 | 17.862 | 0.377 | 8.845 | 0.171 | 0.101 | 0.643 | 0.009 | 0.099 | 0.493 | 0.264 | 1.176 | 0.040 | 0.114 | 0.005 | 0.000 | 0.094 |
| S26 | 8.295 | 0.299 | 4.204 | 0.169 | 0.089 | 0.574 | 0.019 | 0.095 | 0.421 | 0.226 | 1.229 | 0.050 | 0.075 | 0.005 | 0.037 | 0.037 |
| S27 | 7.625 | 0.159 | 2.332 | 0.232 | 0.056 | 0.353 | 0.012 | 0.000 | 0.198 | 0.111 | 0.655 | 0.051 | 0.051 | 0.005 | 0.037 | 0.032 |
| S28 | 17.452 | 0.238 | 7.022 | 0.162 | 0.074 | 0.562 | 0.004 | 0.000 | 0.442 | 0.153 | 0.745 | 0.028 | 0.104 | 0.007 | 0.032 | 0.049 |
| S29 | 5.806 | 0.178 | 2.333 | 0.252 | 0.051 | 0.430 | 0.009 | 0.000 | 0.218 | 0.109 | 0.592 | 0.067 | 0.051 | 0.004 | 0.044 | 0.031 |
| S30 | 15.171 | 0.306 | 7.633 | 0.200 | 0.111 | 0.752 | 0.015 | 0.097 | 0.446 | 0.199 | 1.162 | 0.065 | 0.122 | 0.004 | 0.033 | 0.099 |
| S31 | 7.495 | 0.304 | 2.746 | 0.292 | 0.088 | 0.360 | 0.013 | 0.000 | 0.267 | 0.117 | 0.755 | 0.109 | 0.061 | 0.004 | 0.041 | 0.045 |
| S32 | 7.678 | 0.175 | 2.196 | 0.188 | 0.056 | 0.465 | 0.010 | 0.000 | 0.238 | 0.118 | 0.572 | 0.043 | 0.063 | 0.012 | 0.039 | 0.020 |
| S33 | 13.284 | 0.757 | 14.124 | 0.227 | 0.126 | 0.707 | 0.008 | 0.096 | 0.738 | 0.314 | 1.351 | 0.055 | 0.083 | 0.003 | 0.032 | 0.090 |
| S34 | 9.598 | 0.288 | 4.077 | 0.207 | 0.079 | 0.631 | 0.019 | 0.094 | 0.327 | 0.184 | 0.982 | 0.053 | 0.078 | 0.003 | 0.036 | 0.039 |
| S35 | 9.160 | 0.308 | 4.245 | 0.185 | 0.083 | 0.568 | 0.015 | 0.095 | 0.352 | 0.227 | 0.789 | 0.083 | 0.161 | 0.010 | 0.039 | 0.121 |
| S36 | 5.855 | 0.301 | 4.242 | 0.394 | 0.488 | 1.157 | 0.013 | 0.094 | 0.698 | 0.504 | 0.907 | 0.417 | 0.352 | 0.024 | 0.039 | 0.609 |
| S37 | 3.619 | 0.186 | 3.642 | 0.331 | 0.318 | 0.906 | 0.007 | 0.094 | 0.390 | 0.285 | 0.681 | 0.307 | 0.301 | 0.012 | 0.041 | 0.296 |
| S38 | 14.954 | 0.370 | 7.559 | 0.182 | 0.124 | 0.500 | 0.009 | 0.000 | 0.517 | 0.185 | 1.146 | 0.028 | 0.057 | 0.011 | 0.000 | 0.071 |
| S39 | 16.308 | 0.359 | 8.346 | 0.182 | 0.104 | 0.567 | 0.011 | 0.095 | 0.504 | 0.164 | 1.045 | 0.021 | 0.073 | 0.007 | 0.000 | 0.054 |
| S40 | 16.456 | 0.441 | 9.403 | 0.180 | 0.135 | 0.513 | 0.011 | 0.092 | 0.561 | 0.198 | 1.276 | 0.032 | 0.062 | 0.011 | 0.033 | 0.011 |
| No | Location | No | Location |
|---|---|---|---|
| S1 | Hefei City, Anhui Province | S21 | Huocheng County, Xinjiang Uygur Autonomous Region |
| S2 | Jiuquan City, Gansu Province | S22 | Jimsar County, Xinjiang Uygur Autonomous Region |
| S3 | Jinhe Village, Jiuquan City, Gansu Province | S23 | Jimsar County, Xinjiang Uygur Autonomous Region |
| S4 | Jinhe Village, Jiuquan City, Gansu Province | S24 | Jimsar County, Xinjiang Uygur Autonomous Region |
| S5 | Nanqu Village, Yumen City, Gansu Province | S25 | Jimsar County, Xinjiang Uygur Autonomous Region |
| S6 | Nanqu Village, Yumen City, Gansu Province | S26 | Jimsar County, Xinjiang Uygur Autonomous Region |
| S7 | Nanqu Village, Yumen City, Gansu Province | S27 | Emin County, Tacheng City, Xinjiang Uygur Autonomous Region |
| S8 | Dongqu Village, Yumen City, Gansu Province | S28 | Emin County, Tacheng City, Xinjiang Uygur Autonomous Region |
| S9 | Yumen county, Yumen City, Gansu Province | S29 | Yumin County, Tacheng City, Xinjiang Uygur Autonomous Region |
| S10 | Luoyang City, Henan Province | S30 | Urumqi City, Xinjiang Uygur Autonomous Region |
| S11 | Qixia District, Nanjing City, Jiangsu Province | S31 | Huocheng County, Xinjiang Uygur Autonomous Region |
| S12 | Qixia District, Nanjing City, Jiangsu Province | S32 | Yining County, Xinjiang Uygur Autonomous Region |
| S13 | Qixia District, Nanjing City, Jiangsu Province | S33 | Yutian County, Xinjiang Uygur Autonomous Region |
| S14 | Qixia District, Nanjing City, Jiangsu Province | S34 | Emin County, Tacheng City, Xinjiang Uygur Autonomous Region |
| S15 | Yongxin Couty, Jian City, Jiangxi Province | S35 | Lijiang City, Yunnan Province |
| S16 | Jianyang City, Sichuan Province | S36 | Yongsheng County, Yunnan Province |
| S17 | Xichang City, Sichuan Province | S37 | Yongsheng County, Yunnan Province |
| S18 | Chabuchar County, Xinjiang Uygur Autonomous Region | S38 | Suzhou District, Jiuquan City, Gansu Province |
| S19 | Yutian County, Xinjiang Uygur Autonomous Region | S39 | Suzhou District, Jiuquan City, Gansu Province |
| S20 | Huocheng County, Xinjiang Uygur Autonomous Region | S40 | Suzhou District, Jiuquan City, Gansu Province |
© 2019 by the authors. Licensee MDPI, Basel, Switzerland. This article is an open access article distributed under the terms and conditions of the Creative Commons Attribution (CC BY) license (http://creativecommons.org/licenses/by/4.0/).
Share and Cite
Pu, Z.-J.; Yue, S.-J.; Zhou, G.-S.; Yan, H.; Shi, X.-Q.; Zhu, Z.-H.; Huang, S.-L.; Peng, G.-P.; Chen, Y.-Y.; Bai, J.-Q.; et al. The Comprehensive Evaluation of Safflowers in Different Producing Areas by Combined Analysis of Color, Chemical Compounds, and Biological Activity. Molecules 2019, 24, 3381. https://doi.org/10.3390/molecules24183381
Pu Z-J, Yue S-J, Zhou G-S, Yan H, Shi X-Q, Zhu Z-H, Huang S-L, Peng G-P, Chen Y-Y, Bai J-Q, et al. The Comprehensive Evaluation of Safflowers in Different Producing Areas by Combined Analysis of Color, Chemical Compounds, and Biological Activity. Molecules. 2019; 24(18):3381. https://doi.org/10.3390/molecules24183381
Chicago/Turabian StylePu, Zong-Jin, Shi-Jun Yue, Gui-Sheng Zhou, Hui Yan, Xu-Qin Shi, Zhen-Hua Zhu, Sheng-Liang Huang, Guo-Ping Peng, Yan-Yan Chen, Ji-Qing Bai, and et al. 2019. "The Comprehensive Evaluation of Safflowers in Different Producing Areas by Combined Analysis of Color, Chemical Compounds, and Biological Activity" Molecules 24, no. 18: 3381. https://doi.org/10.3390/molecules24183381
APA StylePu, Z.-J., Yue, S.-J., Zhou, G.-S., Yan, H., Shi, X.-Q., Zhu, Z.-H., Huang, S.-L., Peng, G.-P., Chen, Y.-Y., Bai, J.-Q., Wang, X.-P., Su, S.-L., Tang, Y.-P., & Duan, J.-A. (2019). The Comprehensive Evaluation of Safflowers in Different Producing Areas by Combined Analysis of Color, Chemical Compounds, and Biological Activity. Molecules, 24(18), 3381. https://doi.org/10.3390/molecules24183381

