Synthesis of Pluri-Functional Amine Hardeners from Bio-Based Aromatic Aldehydes for Epoxy Amine Thermosets
Abstract
1. Introduction
2. Experimental
2.1. Materials and Methods
2.2. Characterization Techniques
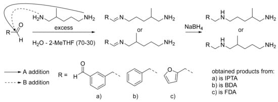
2.3. Synthesis of Amine Hardeners
2.4. Amine Hydrogen Equivalent Weight (AHEW or HEW) Calculation
| ∫PhCOPh: | integration of the benzophenone protons; |
| ∫amine: | integration of the protons of the amine functions; |
| Hamine: | number of protons of the amine functions; |
| HPhCOPh: | number of protons of the benzophenone; |
| mamine: | weight of the amine product; |
| mPhCOPh: | weight of benzophenone; |
| MPhCOPh: | molecular weight of benzophenone. |
2.5. Synthesis of Epoxy Thermosets
3. Results and Discussion
3.1. Hardeners Synthesis
3.2. Thermoset Syntheses
4. Conclusions
Supplementary Materials
Author Contributions
Funding
Conflicts of Interest
Abbreviations
References
- Graffius, G.C.; Jocher, B.M.; Zewge, D.; Halsey, H.M.; Lee, G.; Bernardoni, F.; Bu, X.; Hartman, R.; Regalado, E.L. Generic gas chromatography-flame ionization detection method for quantitation of volatile amines in pharmaceutical drugs and synthetic intermediates. J. Chromatogr. A 2017, 1518, 70–77. [Google Scholar] [CrossRef] [PubMed]
- Liu, Y.-J.; Hu, C.-Y.; Lo, S.-L. Direct and indirect electrochemical oxidation of amine-containing pharmaceuticals using graphite electrodes. J. Hazard. Mater. 2019, 366, 592–605. [Google Scholar] [CrossRef] [PubMed]
- Wang, X.; Yang, H.; Zhou, B.; Wang, X.; Xie, Y. Effect of oxidation on amine-based pharmaceutical degradation and N-Nitrosodimethylamine formation. Water Res. 2015, 87, 403–411. [Google Scholar] [CrossRef] [PubMed]
- Peng, J.-B.; Wu, F.-P.; Xu, C.; Qi, X.; Ying, J.; Wu, X.-F. Direct synthesis of benzylic amines by palladium-catalyzed carbonylative aminohomologation of aryl halides. Commun. Chem. 2018, 1, 29. [Google Scholar] [CrossRef]
- Legnani, L.; Prina-Cerai, G.; Delcaillau, T.; Willems, S.; Morandi, B. Efficient access to unprotected primary amines by iron-catalyzed aminochlorination of alkenes. Science 2018, 362, 434–439. [Google Scholar] [CrossRef] [PubMed]
- Asokan, A.; Cho, M.J. Cytosolic Delivery of Macromolecules. 3. Synthesis and Characterization of Acid-Sensitive Bis-Detergents. Bioconjug. Chem. 2004, 15, 1166–1173. [Google Scholar] [CrossRef] [PubMed]
- Hernández, A.; Martró, E.; Matas, L.; Jiménez, A.; Ausina, V. Mycobactericidal and tuberculocidal activity of Korsolex® AF, an amine detergent/disinfectant product. J. Hosp. Infect. 2005, 59, 62–66. [Google Scholar] [CrossRef] [PubMed]
- Wolk, A.; Rosenthal, M.; Neuhaus, S.; Huber, K.; Brassat, K.; Lindner, J.K.N.; Grothe, R.; Grundmeier, G.; Bremser, W.; Wilhelm, R. A Novel Lubricant Based on Covalent Functionalized Graphene Oxide Quantum Dots. Sci. Rep. 2018, 8, 5843. [Google Scholar] [CrossRef]
- Sarazen, M.L.; Sakwa-Novak, M.A.; Ping, E.W.; Jones, C.W. Effect of Different Acid Initiators on Branched Poly (propylenimine) Synthesis and CO2 Sorption Performance. ACS Sustain. Chem. Eng. 2019, 7, 7338–7345. [Google Scholar] [CrossRef]
- Froidevaux, V.; Negrell, C.; Caillol, S.; Pascault, J.-P.; Boutevin, B. Biobased Amines: From Synthesis to Polymers; Present and Future. Chem. Rev. 2016, 116, 14181–14224. [Google Scholar] [CrossRef]
- Nair, C.P.R. Advances in addition-cure phenolic resins. Prog. Polym. Sci. 2004, 29, 401–498. [Google Scholar] [CrossRef]
- Kiskan, B. Adapting benzoxazine chemistry for unconventional applications. React. Funct. Polym. 2018, 129, 76–88. [Google Scholar] [CrossRef]
- Evsyukov, S.E.; Pohlmann, T.; Stenzenberger, H.D. m-Xylylene bismaleimide: A versatile building block for high-performance thermosets. Polym. Adv. Technol. 2015, 26, 574–580. [Google Scholar] [CrossRef]
- Sarva, S.S.; Deschanel, S.; Boyce, M.C.; Chen, W. Stress–strain behavior of a polyurea and a polyurethane from low to high strain rates. Polymer 2007, 48, 2208–2213. [Google Scholar] [CrossRef]
- Carré, C.; Ecochard, Y.; Caillol, S.; Averous, L. From the synthesis of biobased cyclic carbonate to polyhydroxyurethanes: A promising route towards renewable NonIsocyanate Polyurethanes. ChemSusChem 2019, 12, 3410–3430. [Google Scholar] [CrossRef] [PubMed]
- Roy, M.; Wilsens, C.H.R.M.; Leoné, N.; Rastogi, S. Use of Bis(pyrrolidone)-Based Dicarboxylic Acids in Poly(ester–amide)-Based Thermosets: Synthesis, Characterization, and Potential Route for Their Chemical Recycling. ACS Sustain. Chem. Eng. 2019, 7, 8842–8852. [Google Scholar] [CrossRef]
- Li, M.; Guan, Q.; Dingemans, T.J. High-Temperature Shape Memory Behavior of Semicrystalline Polyamide Thermosets. ACS Appl. Mater. Interfaces 2018, 10, 19106–19115. [Google Scholar] [CrossRef] [PubMed]
- Lee, J.Y.; Jang, J. IR study on the character of hydrogen bonding in novel liquid crystalline epoxy resin. Polym. Bull. 1997, 38, 447–454. [Google Scholar] [CrossRef]
- Ding, C.; Matharu, A.S. Recent Developments on Biobased Curing Agents: A Review of Their Preparation and Use. ACS Sustain. Chem. Eng. 2014, 2, 2217–2236. [Google Scholar] [CrossRef]
- Auvergne, R.; Caillol, S.; David, G.; Boutevin, B.; Pascault, J.-P. Biobased Thermosetting Epoxy: Present and Future. Chem. Rev. 2014, 114, 1082–1115. [Google Scholar] [CrossRef]
- Mora, A.-S.; Tayouo, R.; Boutevin, B.; David, G.; Caillol, S. Vanillin-derived amines for bio-based thermosets. Green Chem. 2018, 20, 4075–4084. [Google Scholar] [CrossRef]
- Mićović, I.V.; Ivanović, M.D.; Piatak, D.M.; Bojić, V.D. A Simple Method for Preparation of Secondary Aromatic Amines. Synthesis 1991, 1991, 1043–1045. [Google Scholar] [CrossRef]
- Alinezhad, H.; Tajbakhsh, M.; Zamani, R. Efficient and Mild Procedure for Reductive Methylation of Amines Using N-Methylpiperidine Zinc Borohydride. Synth. Commun. 2006, 36, 3609–3615. [Google Scholar] [CrossRef]
- Ranu, B.C.; Majee, A.; Sarkar, A. One-Pot Reductive Amination of Conjugated Aldehydes and Ketones with Silica Gel and Zinc Borohydride. J. Org. Chem. 1998, 63, 370–373. [Google Scholar] [CrossRef]
- McGonagle, F.I.; MacMillan, D.S.; Murray, J.; Sneddon, H.F.; Jamieson, C.; Watson, A.J.B. Development of a solvent selection guide for aldehyde-based direct reductive amination processes. Green Chem. 2013, 15, 1159–1165. [Google Scholar] [CrossRef]
- Sato, S.; Sakamoto, T.; Miyazawa, E.; Kikugawa, Y. One-pot reductive amination of aldehydes and ketones with α-picoline-borane in methanol, in water, and in neat conditions. Tetrahedron 2004, 60, 7899–7906. [Google Scholar] [CrossRef]
- Morales, S.; Guijarro, F.G.; García Ruano, J.L.; Cid, M.B. A General Aminocatalytic Method for the Synthesis of Aldimines. J. Am. Chem. Soc. 2014, 136, 1082–1089. [Google Scholar] [CrossRef] [PubMed]
- Bornadel, A.; Bisagni, S.; Pushpanath, A.; Montgomery, S.L.; Turner, N.J.; Dominguez, B. Technical Considerations for Scale-Up of Imine-Reductase-Catalyzed Reductive Amination: A Case Study. Org. Process Res. Dev. 2019, 23, 1262–1268. [Google Scholar] [CrossRef]
- France, S.P.; Howard, R.M.; Steflik, J.; Weise, N.J.; Mangas-Sanchez, J.; Montgomery, S.L.; Crook, R.; Kumar, R.; Turner, N.J. Identification of Novel Bacterial Members of the Imine Reductase Enzyme Family that Perform Reductive Amination. ChemCatChem 2018, 10, 510–514. [Google Scholar] [CrossRef]
- Wetzl, D.; Gand, M.; Ross, A.; Müller, H.; Matzel, P.; Hanlon, S.P.; Müller, M.; Wirz, B.; Höhne, M.; Iding, H. Asymmetric Reductive Amination of Ketones Catalyzed by Imine Reductases. ChemCatChem 2016, 8, 2023–2026. [Google Scholar] [CrossRef]
- Qian, J.; An, Q.; Fortunelli, A.; Nielsen, R.J.; Goddard, W.A. Reaction Mechanism and Kinetics for Ammonia Synthesis on the Fe(111) Surface. J. Am. Chem. Soc. 2018, 140, 6288–6297. [Google Scholar] [CrossRef] [PubMed]
- Brenna, D.; Rossi, S.; Cozzi, F.; Benaglia, M. Iron catalyzed diastereoselective hydrogenation of chiral imines. Org. Biomol. Chem. 2017, 15, 5685–5688. [Google Scholar] [CrossRef] [PubMed]
- He, Y.-M.; Feng, Y.; Fan, Q.-H. Asymmetric Hydrogenation in the Core of Dendrimers. Acc. Chem. Res. 2014, 47, 2894–2906. [Google Scholar] [CrossRef] [PubMed]
- Zhang, B.; Guo, X.-W.; Liang, H.; Ge, H.; Gu, X.; Chen, S.; Yang, H.; Qin, Y. Tailoring Pt–Fe2O3 Interfaces for Selective Reductive Coupling Reaction To Synthesize Imine. ACS Catal. 2016, 6, 6560–6566. [Google Scholar] [CrossRef]
- Kim, H.R.; Achary, R.; Lee, H.-K. DBU-Promoted Dynamic Kinetic Resolution in Rh-Catalyzed Asymmetric Transfer Hydrogenation of 5-Alkyl Cyclic Sulfamidate Imines: Stereoselective Synthesis of Functionalized 1,2-Amino Alcohols. J. Org. Chem. 2018, 83, 11987–11999. [Google Scholar] [CrossRef] [PubMed]
- Wang, H.; Gao, Z.; Wang, X.; Wei, R.; Zhang, J.; Shi, F. Precise regulation of selectivity of supported nano-Pd catalysts using polysiloxane coatings with tunable surface wettability. Chem. Commun. 2019, 55, 8305–8308. [Google Scholar] [CrossRef] [PubMed]
- Jia, L.; Makha, M.; Du, C.-X.; Quan, Z.-J.; Wang, X.-C.; Li, Y. Direct hydroxyethylation of amines by carbohydrates via ruthenium catalysis. Green Chem. 2019, 21, 3127–3132. [Google Scholar] [CrossRef]
- Exposito, A.J.; Bai, Y.; Tchabanenko, K.; Rebrov, E.V.; Cherkasov, N. Process Intensification of Continuous-Flow Imine Hydrogenation in Catalyst-Coated Tube Reactors. Ind. Eng. Chem. Res. 2019, 58, 4433–4442. [Google Scholar] [CrossRef]
- Webster, D.C.; Crain, A.L. Synthesis and applications of cyclic carbonate functional polymers in thermosetting coatings. Prog. Org. Coat. 2000, 40, 275–282. [Google Scholar] [CrossRef]
- Chattopadhyay, D.K.; Webster, D.C. Hybrid coatings from novel silane-modified glycidyl carbamate resins and amine crosslinkers. Prog. Org. Coat. 2009, 66, 73–85. [Google Scholar] [CrossRef]
- Demir, B.; Beggs, K.M.; Fox, B.L.; Servinis, L.; Henderson, L.C.; Walsh, T.R. A predictive model of interfacial interactions between functionalised carbon fibre surfaces cross-linked with epoxy resin. Compos. Sci. Technol. 2018, 159, 127–134. [Google Scholar] [CrossRef]
- Ménard, R.; Caillol, S.; Allais, F. Chemo-Enzymatic Synthesis and Characterization of Renewable Thermoplastic and Thermoset Isocyanate-Free Poly(hydroxy)urethanes from Ferulic Acid Derivatives. ACS Sustain. Chem. Eng. 2017, 5, 1446–1456. [Google Scholar] [CrossRef]
- Samanta, S.; Selvakumar, S.; Bahr, J.; Wickramaratne, D.S.; Sibi, M.; Chisholm, B.J. Synthesis and Characterization of Polyurethane Networks Derived from Soybean-Oil-Based Cyclic Carbonates and Bioderivable Diamines. ACS Sustain. Chem. Eng. 2016, 4, 6551–6561. [Google Scholar] [CrossRef]
- Hibert, G.; Lamarzelle, O.; Maisonneuve, L.; Grau, E.; Cramail, H. Bio-based aliphatic primary amines from alcohols through the ‘Nitrile route’ towards non-isocyanate polyurethanes. Eur. Polym. J. 2016, 82, 114–121. [Google Scholar] [CrossRef]
- Garrison, M.D.; Harvey, B.G. Bio-based hydrophobic epoxy-amine networks derived from renewable terpenoids. J. Appl. Polym. Sci. 2016, 133, 43621. [Google Scholar] [CrossRef]
- Darroman, E.; Durand, N.; Boutevin, B.; Caillol, S. Improved cardanol derived epoxy coatings. Prog. Org. Coat. 2016, 91, 9–16. [Google Scholar] [CrossRef]
- Bähr, M.; Bitto, A.; Mülhaupt, R. Cyclic limonene dicarbonate as a new monomer for non-isocyanate oligo- and polyurethanes (NIPU) based upon terpenes. Green Chem. 2012, 14, 1447–1454. [Google Scholar] [CrossRef]
- Voirin, C.; Caillol, S.; Sadavarte, N.V.; Tawade, B.V.; Boutevin, B.; Wadgaonkar, P.P. Functionalization of cardanol: Towards biobased polymers and additives. Polym. Chem. 2014, 5, 3142–3162. [Google Scholar] [CrossRef]
- Yang, J.-D.; Xue, J.; Cheng, J.-P. Understanding the role of thermodynamics in catalytic imine reductions. Chem. Soc. Rev. 2019, 48, 2913–2926. [Google Scholar] [CrossRef]
- Peng, H.; Wei, E.; Wang, J.; Zhang, Y.; Cheng, L.; Ma, H.; Deng, Z.; Qu, X. Deciphering Piperidine Formation in Polyketide-Derived Indolizidines Reveals a Thioester Reduction, Transamination, and Unusual Imine Reduction Process. ACS Chem. Biol. 2016, 11, 3278–3283. [Google Scholar] [CrossRef]
- Lv, J.; Wang, F.; Wei, T.; Chen, X. Highly Sensitive and Selective Fluorescent Probes for the Detection of HOCl/OCl–Based on Fluorescein Derivatives. Ind. Eng. Chem. Res. 2017, 56, 3757–3764. [Google Scholar] [CrossRef]
- Yuan, Z.; Zhou, P.; Liu, X.; Wang, Y.; Liu, B.; Li, X.; Zhang, Z. Mild and Selective Synthesis of Secondary Amines Direct from the Coupling of Two Aldehydes with Ammonia. Ind. Eng. Chem. Res. 2017, 56, 14766–14770. [Google Scholar] [CrossRef]
- Bódis, J.; Lefferts, L.; Müller, T.E.; Pestman, R.; Lercher, J.A. Activity and Selectivity Control in Reductive Amination of Butyraldehyde over Noble Metal Catalysts. Catal Lett. 2005, 104, 23–28. [Google Scholar] [CrossRef]
- Procede Pour La Preparation D’alpha, Omega-Diamines Aliphatiques, Et Produits Obtenus. French Patent FR1976003, 20 May 1977.
- Nagareda, K.; Tokuda, Y.; Suzuki, S. Process for Producing Diamines from Dialdehydes. European Patent EP087, 18 November 1998. [Google Scholar]
- Pelckmans, M.; Renders, T.; Van de Vyver, S.; Sels, B.F. Bio-based amines through sustainable heterogeneous catalysis. Green Chem. 2017, 19, 5303–5331. [Google Scholar] [CrossRef]
- Le, N.-T.; Byun, A.; Han, Y.; Lee, K.-I.; Kim, H. Preparation of 2,5-Bis(Aminomethyl)Furan by Direct Reductive Amination of 2,5-Diformylfuran over Nickel-Raney Catalysts. Green Sustain. Chem. 2015, 05, 115–127. [Google Scholar] [CrossRef]
- Micklitsch, C.M.; Yu, Q.; Schneider, J.P. Unnatural multidentate metal ligating α-amino acids. Tetrahedron Lett. 2006, 47, 6277–6280. [Google Scholar] [CrossRef]
- Milelli, A.; Tumiatti, V.; Micco, M.; Rosini, M.; Zuccari, G.; Raffaghello, L.; Bianchi, G.; Pistoia, V.; Fernando Díaz, J.; Pera, B.; et al. Structure–activity relationships of novel substituted naphthalene diimides as anticancer agents. Eur. J. Med. Chem. 2012, 57, 417–428. [Google Scholar] [CrossRef]
- Kasemi, E.; Kramer, A.; Stadelmann, U.; Burckhardt, U. Curing Agents for Low-Emission Epoxy Resin Products. US Patent US201533, 26 November 2015. [Google Scholar]
- Shen, X.; Dai, J.; Liu, Y.; Liu, X.; Zhu, J. Synthesis of high performance polybenzoxazine networks from bio-based furfurylamine: Furan vs. benzene ring. Polymer 2017, 122, 258–269. [Google Scholar] [CrossRef]
- Hu, F.; La Scala, J.J.; Sadler, J.M.; Palmese, G.R. Synthesis and Characterization of Thermosetting Furan-Based Epoxy Systems. Macromolecules 2014, 47, 3332–3342. [Google Scholar] [CrossRef]
- Levita, G.; Petris, S.D.; Marchetti, A.; Lazzeri, A. Crosslink density and fracture toughness of epoxy resins. J. Mater. Sci. 1991, 26, 2348–2352. [Google Scholar] [CrossRef]
- Widhalm, J.R.; Dudareva, N. A Familiar Ring to It: Biosynthesis of Plant Benzoic Acids. Mol. Plant 2015, 8, 83–97. [Google Scholar] [CrossRef] [PubMed]
- Laurichesse, S.; Avérous, L. Chemical modification of lignins: Towards biobased polymers. Prog. Polym. Sci. 2014, 39, 1266–1290. [Google Scholar] [CrossRef]
- Boukis, A.C.; Llevot, A.; Meier, M.A.R. High Glass Transition Temperature Renewable Polymers via Biginelli Multicomponent Polymerization. Macromol. Rapid Commun. 2016, 37, 643–649. [Google Scholar] [CrossRef] [PubMed]
- Frost, J.W. Synthesis of Biobased Terephthalic Acids and Isophthalic Acids. US Patent WO201414, 18 September 2014. [Google Scholar]
- Miller, K.K.; Zhang, P.; Nishizawa-Brennen, Y.; Frost, J.W. Synthesis of Biobased Terephthalic Acid from Cycloaddition of Isoprene with Acrylic Acid. ACS Sustain. Chem. Eng. 2014, 2, 2053–2056. [Google Scholar] [CrossRef]
- Li, X.; Jia, P.; Wang, T. Furfural: A Promising Platform Compound for Sustainable Production of C4 and C5 Chemicals. ACS Catal. 2016, 6, 7621–7640. [Google Scholar] [CrossRef]
- 2-Methylpentane-1,5-diamine-Substance Information-ECHA. Available online: https://echa.europa.eu/fr/substance-information/-/substanceinfo/100.035.945 (accessed on 28 May 2019).
- Kagan, H.M.; Manning, L.R.; Meister, A. Stereospecific synthesis of alpha-methyl-L-glutamine by glutamine synthetase. Biochemistry 1965, 4, 1063–1068. [Google Scholar] [CrossRef]
- Inoue, M.; Shinohara, N.; Tanabe, S.; Takahashi, T.; Okura, K.; Itoh, H.; Mizoguchi, Y.; Iida, M.; Lee, N.; Matsuoka, S. Total synthesis of the large non-ribosomal peptide polytheonamide B. Nat. Chem. 2010, 2, 280–285. [Google Scholar] [CrossRef] [PubMed]
- Faye, I.; Decostanzi, M.; Ecochard, Y.; Caillol, S. Eugenol bio-based epoxy thermosets: From cloves to applied materials. Green Chem. 2017, 19, 5236–5242. [Google Scholar] [CrossRef]
- Fu, B.X.; Namani, M.; Lee, A. Influence of phenyl-trisilanol polyhedral silsesquioxane on properties of epoxy network glasses. Polymer 2003, 44, 7739–7747. [Google Scholar] [CrossRef]
- Meis, N.N.A.H.; van der Ven, L.G.J.; van Benthem, R.A.T.M.; de With, G. Extreme wet adhesion of a novel epoxy-amine coating on aluminum alloy 2024-T3. Prog. Org. Coat. 2014, 77, 176–183. [Google Scholar] [CrossRef]
- Global M Xylylenediamine Market Report 2017—Market Reports World. Available online: https://www.marketreportsworld.com/global-m-xylylenediamine-market-report-2017-10576122 (accessed on 29 June 2019).
- Fache, M.; Auvergne, R.; Boutevin, B.; Caillol, S. New vanillin-derived diepoxy monomers for the synthesis of biobased thermosets. Eur. Polym. J. 2015, 67, 527–538. [Google Scholar] [CrossRef]
- Kaji, M.; Nakahara, K.; Endo, T. Synthesis of a bifunctional epoxy monomer containing biphenyl moiety and properties of its cured polymer with phenol novolac. J. Appl. Polym. Sci. 1999, 74, 690–698. [Google Scholar] [CrossRef]
- Mucsi, Z.; Viskolcz, B.; Csizmadia, I.G. A Quantitative Scale for the Degree of Aromaticity and Antiaromaticity: A Comparison of Theoretical and Experimental Enthalpies of Hydrogenation. J. Phys. Chem. A 2007, 111, 1123–1132. [Google Scholar] [CrossRef] [PubMed]
- Huber, R.G.; Margreiter, M.A.; Fuchs, J.E.; von Grafenstein, S.; Tautermann, C.S.; Liedl, K.R.; Fox, T. Heteroaromatic π-Stacking Energy Landscapes. J. Chem. Inf. Model. 2014, 54, 1371–1379. [Google Scholar] [CrossRef]
- Matsumoto, K.; Hayashi, N. Heterocyclic Supramolecules II; Springer Science & Business Media: Berlin/Heidelberg, Germany, 2009; ISBN 978-3-642-02040-7. [Google Scholar]
Sample Availability: Samples of the compounds reported in the paper are not available from the authors. |












| Amine Nomenclatures | A: B Addition Ratio a | HEWth (g⋅eq−1) | HEWexpb (g⋅eq−1) | Amine Viscosity (Pa⋅s at 22 °C) | Td5% (°C) | Char Yieldc (%) | Tgd (°C) |
|---|---|---|---|---|---|---|---|
| IPTA1 | 51: 49 | 56 | 57 | 0.57 | 173 | 1 | − 57 |
| IPTA2 | 45: 55 | 56 | 59 | 1.40 | 204 | 4 | − 35 |
| BDA | 48: 52 | 69 | 67 | 0.03 | 115 | 3 | − 81 |
| FDA | 48: 52 | 65 | 66 | 0.02 | 126 | 2 | − 84 |
| Thermosets | Composition Amine-Epoxy | Td5% (°C) | Char Yield c (%) | Tgd (°C) | Tα (°C) | ν′ (mol⋅m−3) | E’glassy (Pa) | E’rubbery (Pa) | SIe (%) | GC (%) |
|---|---|---|---|---|---|---|---|---|---|---|
| DYTEK®A-ref a | DYTEK®A-DGEBA | - | - | 115 | 127 | - | - | 2.90.107 | - | - |
| MXDA-ref b | MXDA-DGEBA | 333 | 7 | 116 | 130 | 1 146 | 1.2.108 | 1.80.107 | 89 | 99 |
| IPT1-P | IPTA1-DGEBA | 351 | 7 | 99 | 101 | 1 311 | 1.6.109 | 1.38.107 | 32 | 100 |
| IPT2-P | IPTA2-DGEBA | 345 | 7 | 89 | 95 | 1 311 | 2.14.109 | 1.38.107 | 93 | 100 |
| BD-P | BDA-DGEBA | 354 | 4 | 77 | 88 | 460 | 1.29.109 | 4.84.106 | 123 | 97 |
| FD-P | FDA-DGEBA | 340 | 13 | 76 | 85 | 123 | 2.71.108 | 1.30.106 | 122 | 99 |
| IPT1-Bio | IPTA1-DGEVA | 312 | 16 | 59 | 57 | 997 | 2.7.109 | 1.05.107 | 41 | 100 |
| IPT2-Bio | IPTA2-DGEVA | 307 | 16 | 57 | 57 | 657 | 1.72.109 | 6.92.106 | 108 | 96 |
| BD-Bio | BDA-DGEVA | 325 | 12 | 45 | 50 | 407 | 2.41.109 | 4.29.106 | 134 | 95 |
| FD-Bio | FDA-DGEVA | 317 | 19 | 46 | 49 | 91 | 5.45. 108 | 9.59.105 | 125 | 100 |
© 2019 by the authors. Licensee MDPI, Basel, Switzerland. This article is an open access article distributed under the terms and conditions of the Creative Commons Attribution (CC BY) license (http://creativecommons.org/licenses/by/4.0/).
Share and Cite
Mora, A.-S.; Tayouo, R.; Boutevin, B.; David, G.; Caillol, S. Synthesis of Pluri-Functional Amine Hardeners from Bio-Based Aromatic Aldehydes for Epoxy Amine Thermosets. Molecules 2019, 24, 3285. https://doi.org/10.3390/molecules24183285
Mora A-S, Tayouo R, Boutevin B, David G, Caillol S. Synthesis of Pluri-Functional Amine Hardeners from Bio-Based Aromatic Aldehydes for Epoxy Amine Thermosets. Molecules. 2019; 24(18):3285. https://doi.org/10.3390/molecules24183285
Chicago/Turabian StyleMora, Anne-Sophie, Russell Tayouo, Bernard Boutevin, Ghislain David, and Sylvain Caillol. 2019. "Synthesis of Pluri-Functional Amine Hardeners from Bio-Based Aromatic Aldehydes for Epoxy Amine Thermosets" Molecules 24, no. 18: 3285. https://doi.org/10.3390/molecules24183285
APA StyleMora, A.-S., Tayouo, R., Boutevin, B., David, G., & Caillol, S. (2019). Synthesis of Pluri-Functional Amine Hardeners from Bio-Based Aromatic Aldehydes for Epoxy Amine Thermosets. Molecules, 24(18), 3285. https://doi.org/10.3390/molecules24183285

