Effects of Ethanol Concentration on Oral Aroma Release After Wine Consumption
Abstract
1. Introduction
2. Results and Discussion
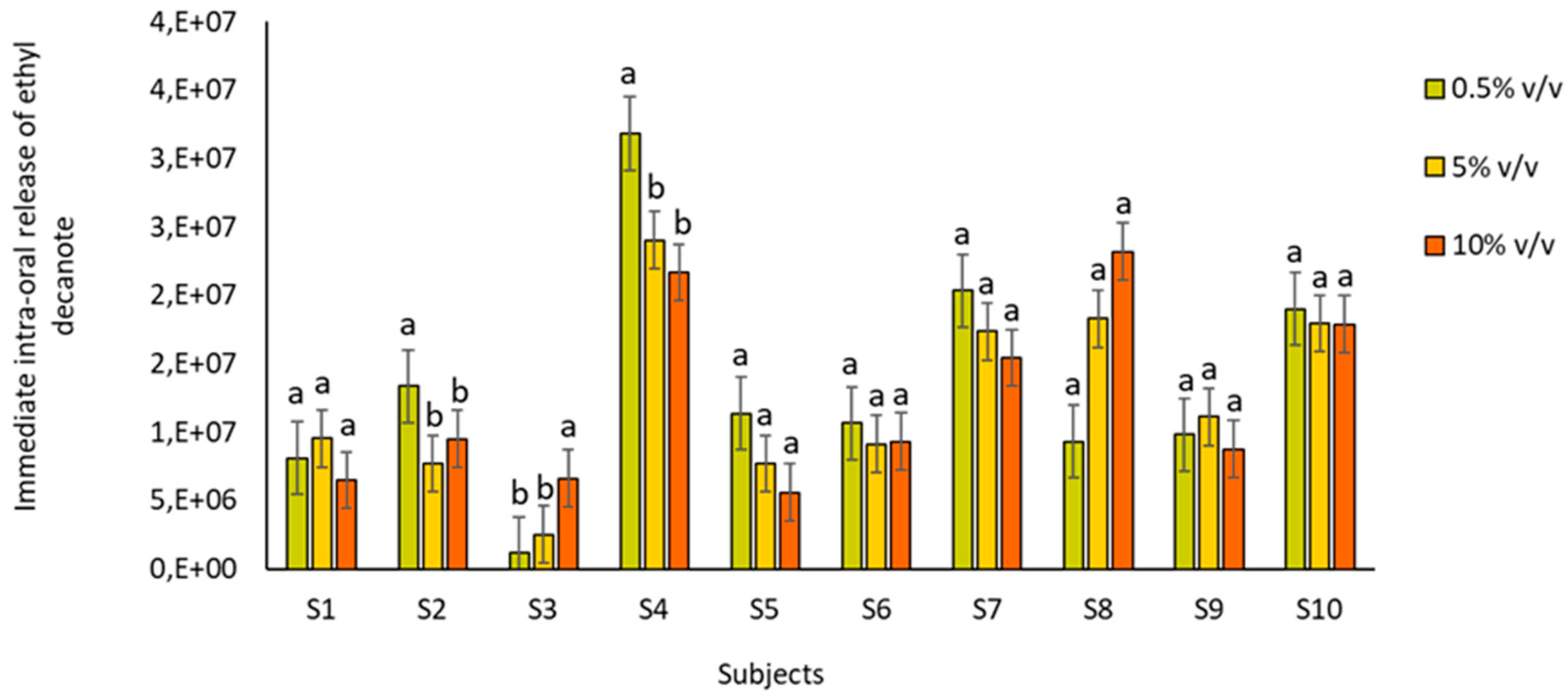
2.1. Effects of Ethanol Concentration and Individual Differences on the Immediate Oral Aroma Release
2.2. Effects of Ethanol and Individual Differences on the Prolonged Oral Aroma Release
3. Material and Methods
3.1. Wine Samples
3.2. Intra-Oral SPME Sampling
3.2.1. Subjects
3.2.2. Intra-Oral SPME Procedure for Aroma Monitoring
3.2.3. GC/MS Analyses
3.2.4. Statistical Analyses
4. Conclusions
Supplementary Materials
Author Contributions
Funding
Acknowledgments
Conflicts of Interest
References
- Ickes, C.M.; Cadwallader, K.R. Effects of Ethanol on Flavor Perception in Alcoholic Beverages. Chemosens. Percept. 2017, 10, 119–134. [Google Scholar] [CrossRef]
- Gawel, R.; Van Sluyter, S.; Waters, E.J. The effects of ethanol and glycerol on the body and other sensory characteristics of Riesling wines. Aust. J. Grape Wine Res. 2007, 13, 38–45. [Google Scholar] [CrossRef]
- Zamora, M.C.; Goldner, M.C.; Galmarini, M.V. Sourness? Sweetness Interactions in Different Media: White Wine, Ethanol and Water. J. Sens. Stud. 2006, 21, 601–611. [Google Scholar] [CrossRef]
- Escudero, A.; Campo, E.; Fariña, L.; Cacho, J.; Ferreira, V. Analytical Characterization of the Aroma of Five Premium Red Wines. Insights into the Role of Odor Families and the Concept of Fruitiness of Wines. J. Agric. Food Chem. 2007, 55, 4501–4510. [Google Scholar] [CrossRef]
- Goldner, M.C.; Zamora, M.C.; Lira, P.D.L.; Gianninoto, H.; Bandoni, A. Effect of ethanol level in the perception of aroma attributes and the detection of volatile compounds in red wine. J. Sens. Stud. 2009, 24, 243–257. [Google Scholar] [CrossRef]
- Guth, H. Quantitation and Sensory Studies of Character Impact Odorants of Different White Wine Varieties. J. Agric. Food Chem. 1997, 45, 3027–3032. [Google Scholar] [CrossRef]
- King, E.S.; Dunn, R.L.; Heymann, H. The influence of alcohol on the sensory perception of red wines. Food Qual. Prefer. 2013, 28, 235–243. [Google Scholar] [CrossRef]
- Doyennette, M.; Déléris, I.; Feron, G.; Guichard, E.; Souchon, I.; Trelea, I. Main individual and product characteristics influencing in-mouth flavour release during eating masticated food products with different textures: Mechanistic modelling and experimental validation. J. Theor. Biol. 2014, 340, 209–221. [Google Scholar] [CrossRef]
- Gierczynski, I.; Guichard, E.; Laboure, H. Aroma perception in dairy products: the roles of texture, aroma release and consumer physiology. A review. Flavour Fragr. J. 2011, 26, 141–152. [Google Scholar] [CrossRef]
- Muñoz-González, C.; Martín-Álvarez, P.J.; Moreno-Arribas, M.V.; Pozo-Bayón, M. Ángeles Impact of the Nonvolatile Wine Matrix Composition on the In Vivo Aroma Release from Wines. J. Agric. Food Chem. 2013, 62, 66–73. [Google Scholar] [CrossRef]
- Salles, C.; Chagnon, M.-C.; Feron, G.; Guichard, E.; Labouré, H.; Morzel, M.; Semon, E.; Tarrega, A.; Yven, C. In-Mouth Mechanisms Leading to Flavor Release and Perception. Crit. Rev. Food Sci. Nutr. 2010, 51, 67–90. [Google Scholar] [CrossRef]
- Baker, A.K.; Ross, C.F. Wine finish in red wine: The effect of ethanol and tannin concentration. Food Qual. Prefer. 2014, 38, 65–74. [Google Scholar] [CrossRef]
- Petrozziello, M.; Asproudi, A.; Guaita, M.; Borsa, D.; Motta, S.; Panero, L.; Bosso, A. Influence of the matrix composition on the volatility and sensory perception of 4-ethylphenol and 4-ethylguaiacol in model wine solutions. Food Chem. 2014, 149, 197–202. [Google Scholar] [CrossRef]
- Muñoz-González, C.; Rodríguez-Bencomo, J.J.; Moreno-Arribas, M.V.; Pozo-Bayón, M.Á. Feasibility and application of a retronasal aroma-trapping device to study in vivo aroma release during the consumption of model wine-derived beverages. Food Sci. Nutr. 2014, 2, 361–370. [Google Scholar] [CrossRef]
- Tsachaki, M.; Linforth, R.S.T.; Taylor, A.J. Dynamic Headspace Analysis of the Release of Volatile Organic Compounds from Ethanolic Systems by Direct APCI-MS. J. Agric. Food Chem. 2005, 53, 8328–8333. [Google Scholar] [CrossRef]
- Tsachaki, M.; Linforth, R.S.T.; Taylor, A.J. Aroma Release from Wines under Dynamic Conditions. J. Agric. Food Chem. 2009, 57, 6976–6981. [Google Scholar] [CrossRef]
- Aznar, M.; Tsachaki, M.; Linforth, R.S.; Ferreira, V.; Taylor, A.J. Headspace analysis of volatile organic compounds from ethanolic systems by direct APCI-MS. Int. J. Mass Spectrom. 2004, 239, 17–25. [Google Scholar] [CrossRef]
- Boelrijk, A.; Basten, W.; Burgering, M.; Gruppen, H.; Voragen, A.; Smit, G. The effect of co-solvent on the release of key flavours in alcoholic beverages; comparing in vivo with artificial mouth-MS nose measurements, Flavour research at the dawn of the twenty-first century. In Proceedings of the 10th Weurman Flavour Research Symposium, Beaune, France, 25–28 June 2002; pp. 204–207. [Google Scholar]
- Tsachaki, M.; Gady, A.-L.; Kalopesas, M.; Linforth, R.S.T.; Atheès, V.; Marin, M.; Taylor, A.J. Effect of Ethanol, Temperature, and Gas Flow Rate on Volatile Release from Aqueous Solutions under Dynamic Headspace Dilution Conditions. J. Agric. Food Chem. 2008, 56, 5308–5315. [Google Scholar] [CrossRef]
- Clark, R.; Linforth, R.; Bealin-Kelly, F.; Hort, J. Effects of ethanol, carbonation and hop acids on volatile delivery in a model beer system. J. Inst. Brew. 2011, 117, 74–81. [Google Scholar] [CrossRef]
- Buettner, A. Influence of Human Salivary Enzymes on Odorant Concentration Changes Occurring in Vivo. 1. Esters and Thiols. J. Agric. Food Chem. 2002, 50, 3283–3289. [Google Scholar] [CrossRef]
- Friel, E.N.; Taylor, A.J. Effect of Salivary Components on Volatile Partitioning from Solutions. J. Agric. Food Chem. 2001, 49, 3898–3905. [Google Scholar] [CrossRef]
- Rodríguez-Bencomo, J.J.; Muñoz-González, C.; Andújar-Ortiz, I.; Martín-Álvarez, P.J.; Moreno-Arribas, M.V.; Pozo-Bayón, M.Á. Assessment of the effect of the non-volatile wine matrix on the volatility of typical wine aroma compounds by headspace solid phase microextraction/gas chromatography analysis. J. Sci. Food Agric. 2011, 91, 2484–2494. [Google Scholar] [CrossRef]
- Esteban-Fernández, A.; Rocha-Alcubilla, N.; Muñoz-González, C.; Moreno-Arribas, M.V.; Pozo-Bayon, M.A. Intra-oral adsorption and release of aroma compounds following in-mouth wine exposure. Food Chem. 2016, 205, 280–288. [Google Scholar] [CrossRef]
- Robinson, A.L.; Ebeler, S.E.; Heymann, H.; Boss, P.K.; Solomon, P.S.; Trengove, R.D. Interactions between Wine Volatile Compounds and Grape and Wine Matrix Components Influence Aroma Compound Headspace Partitioning. J. Agric. Food Chem. 2009, 57, 10313–10322. [Google Scholar] [CrossRef]
Sample Availability: Samples of the compounds are not available from the authors. |




| Aroma Compounds | CAS Number | MW a (g/mol) | log P b | BP c (°C) | Solubility d (mg/L) | Aroma Descriptor e |
|---|---|---|---|---|---|---|
| Ethyl butyrate | 105-54-4 | 116.16 | 1.85 | 125.79 | 4900 | Pineapple Strawberry |
| Isoamyl acetate | 123-92-2 | 130.19 | 2.26 | 134.87 | 2000 | Banana |
| Ethyl pentanoate | 539-82-2 | 130.19 | 2.34 | 148.37 | 2210 | Fruity |
| Ethyl hexanoate | 123-66-0 | 144.22 | 2.83 | 170.05 | 309 | Apple |
| Ethyl octanoate | 106-32-1 | 172.27 | 3.81 | 210.70 | 70 | Fruity apricot |
| Ethyl decanoate | 110-38-3 | 200.32 | 4.79 | 247.43 | 16 | Grape |
| Ethyl Butyrate | Isoamyl Acetate | Ethyl Pentanoate | Ethyl Hexanoate | Ethyl Octanoate | Ethyl Decanoate | ||
|---|---|---|---|---|---|---|---|
| Mean | 4,596,854.41 | 7,107,442.85 | 6,254,852.57 | 8,892,546.68 | 26,049,220.47 | 12,679,314.42 | |
| SEM a | 355,864.23 | 509,112.21 | 453,805.55 | 744,257.30 | 1,704,957.45 | 850,164.95 | |
| R² b | 0.94 | 0.94 | 0.91 | 0.87 | 0.95 | 0.93 | |
| F c | 25.27 | 24.43 | 17.228 | 11.47 | 30.10 | 21.29 | |
| Pr > F d | <0.0001 | <0.0001 | <0.0001 | <0.0001 | <0.0001 | <0.0001 | |
| Subject | F | 56.14 | 59.49 | 40.55 | 31.37 | 78.78 | 58.32 |
| Pr > F | <0.0001 | <0.0001 | <0.0001 | <0.0001 | <0.0001 | <0.0001 | |
| Ethanol (%) | F | 4.04 | 1.06 | 3.73 | 0.57 | 6.75 | 4.29 |
| Pr > F | 0.024 | 0.356 | 0.031 | 0.567 | 0.003 | 0.019 | |
| Subject*Ethanol (%) | F | 12.30 | 9.57 | 7.17 | 3.31 | 8.54 | 4.65 |
| Pr > F | <0.0001 | <0.0001 | <0.0001 | 0.000 | <0.0001 | <0.0001 |
| Ethyl Butyrate | Isoamyl Acetate | Ethyl Pentanoate | Ethyl Hexanoate | Ethyl Octanoate | Ethyl Decanoate | ||
|---|---|---|---|---|---|---|---|
| Mean | 133,838.96 | 321,509.22 | 199,024.90 | 633,104.58 | 5,761,616.25 | 6,940,717.29 | |
| SEM a | 31,033.08 | 43,941.31 | 36,020.31 | 105,826.43 | 519,018.38 | 515,250.95 | |
| R² b | 0.83 | 0.96 | 0.86 | 0.90 | 0.91 | 0.91 | |
| F c | 9.02 | 45.07 | 11.32 | 21.13 | 19.41 | 18.74 | |
| Pr > F d | <0.0001 | <0.0001 | <0.0001 | <0.0001 | <0.0001 | <0.0001 | |
| Subject | F | 19.80 | 121.52 | 31.67 | 63.78 | 55.75 | 48.91 |
| Pr > F | <0.0001 | <0.0001 | <0.0001 | <0.0001 | <0.0001 | <0.0001 | |
| Ethanol (%) | F | 8.91 | 12.64 | 7.44 | 2.56 | 3.76 | 7.55 |
| Pr > F | 0.000 | <0.0001 | 0.001 | 0.087 | 0.030 | 0.001 | |
| Subject*Ethanol (%) | F | 3.62 | 10.38 | 1.66 | 1.98 | 2.82 | 4.54 |
| Pr > F | 0.000 | <0.0001 | 0.079 | 0.028 | 0.002 | <0.0001 |
© 2019 by the authors. Licensee MDPI, Basel, Switzerland. This article is an open access article distributed under the terms and conditions of the Creative Commons Attribution (CC BY) license (http://creativecommons.org/licenses/by/4.0/).
Share and Cite
Muñoz-González, C.; Pérez-Jiménez, M.; Criado, C.; Pozo-Bayón, M.Á. Effects of Ethanol Concentration on Oral Aroma Release After Wine Consumption. Molecules 2019, 24, 3253. https://doi.org/10.3390/molecules24183253
Muñoz-González C, Pérez-Jiménez M, Criado C, Pozo-Bayón MÁ. Effects of Ethanol Concentration on Oral Aroma Release After Wine Consumption. Molecules. 2019; 24(18):3253. https://doi.org/10.3390/molecules24183253
Chicago/Turabian StyleMuñoz-González, Carolina, María Pérez-Jiménez, Celia Criado, and María Ángeles Pozo-Bayón. 2019. "Effects of Ethanol Concentration on Oral Aroma Release After Wine Consumption" Molecules 24, no. 18: 3253. https://doi.org/10.3390/molecules24183253
APA StyleMuñoz-González, C., Pérez-Jiménez, M., Criado, C., & Pozo-Bayón, M. Á. (2019). Effects of Ethanol Concentration on Oral Aroma Release After Wine Consumption. Molecules, 24(18), 3253. https://doi.org/10.3390/molecules24183253
