A Green Water-Soluble Cyclophosphazene as a Flame Retardant Finish for Textiles
Abstract
1. Introduction
2. Results and Discussion
2.1. Synthesis and Characterization of CPZ
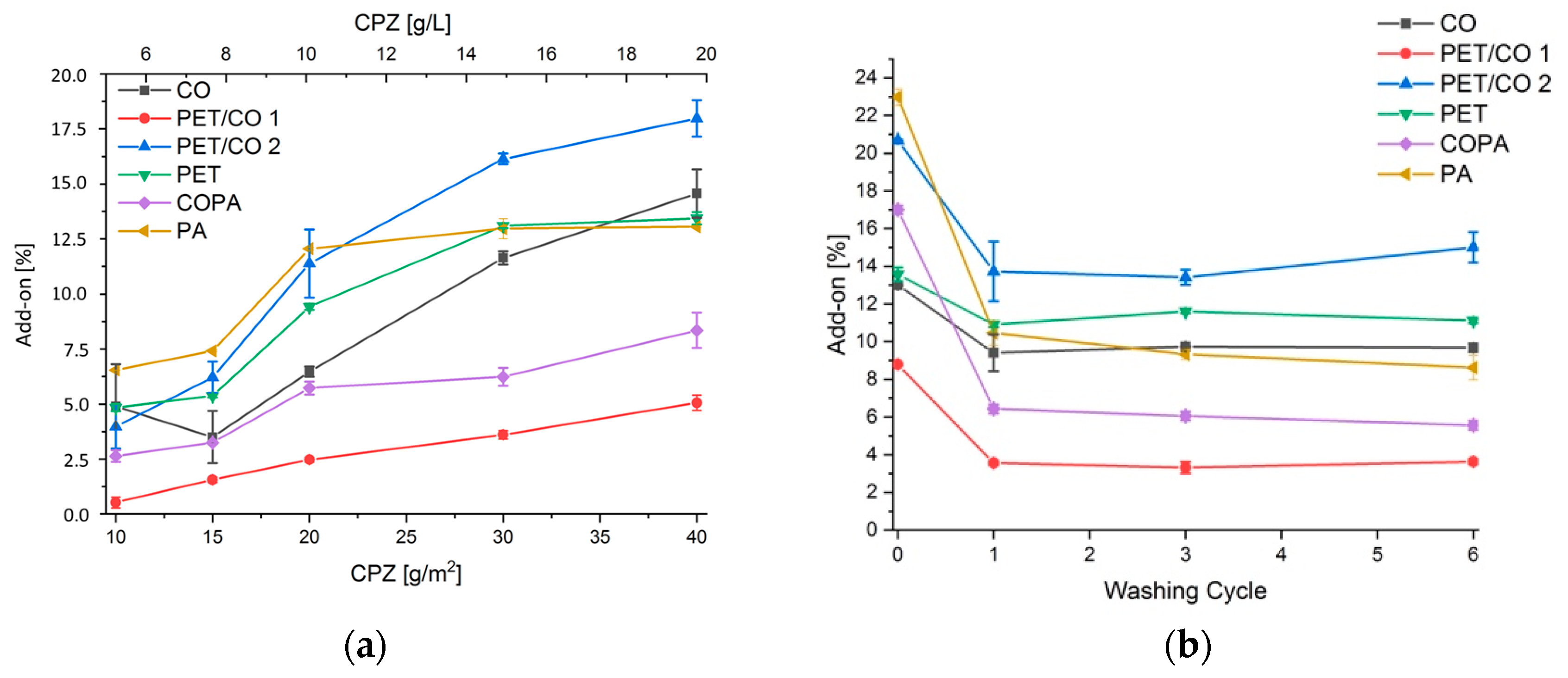
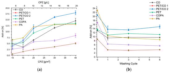
2.2. Textile Finishing and Characterization
2.3. Thermal Stability
2.3.1. Thermal Properties
2.3.2. Flame Test
2.3.3. Char Analysis
3. Materials and Methods
3.1. Textiles and Chemicals
3.2. Instrumentation
3.3. Synthesis and Characterization of Hexa (allylamino) Cyclotriphosphazene (CPZ)
3.4. UV Treatment and Characterization of the Modified Fabrics
3.5. Measuring of the Thermostability
3.6. Washing Resistance
3.7. Evaluation of the Flame Retardant Properties
4. Conclusions
Author Contributions
Funding
Acknowledgments
Conflicts of Interest
Appendix A
| CPZ | pH | FR | CO | PET/CO 1 | PET/CO 2 | PET | COPA | PA | |||||||
|---|---|---|---|---|---|---|---|---|---|---|---|---|---|---|---|
| % | g/m2 | % | ± | % | ± | % | ± | % | ± | % | ± | % | ± | ||
| unwashed | 5 | 0.3 | 10 | 4.5 | 0.2 | 3 | 0.1 | 6 | 0.6 | 5.2 | 0.2 | 5.1 | 0 | 7.5 | 0 |
| 7.5 | 0.3 | 15 | 7.9 | 2 | 5.4 | 0.1 | 11.9 | 0.2 | 7.5 | 0 | 10.7 | 0.4 | 11.9 | 0.3 | |
| 10 | 0.3 | 20 | 8 | 0 | 5.7 | 0.2 | 13.6 | 0.4 | 9.5 | 0.1 | 11.7 | 0,1 | 13.8 | 0.2 | |
| 15 | 0 | 30 | 13 | 0.1 | 8.8 | 0.1 | 20.7 | 0 | 13.6 | 0.4 | 17 | 0.2 | 20.1 | 0.2 | |
| 20 | 0 | 40 | 26.2 | 1.1 | 17.2 | 1.2 | 29.5 | 0.8 | 19.4 | 0.3 | 30.7 | 1.8 | 32.1 | 0.2 | |
| washed | 5 | 0.3 | 10 | 4.9 | 1.9 | 0.5 | 0.2 | 4 | 1 | 4.8 | 0.2 | 2.6 | 0.3 | 6.5 | 0 |
| 7.5 | 0.3 | 15 | 3.5 | 1.2 | 1.6 | 0.1 | 6.2 | 0.7 | 5.4 | 0.1 | 3.2 | 0.1 | 7.4 | 0 | |
| 10 | 0.3 | 20 | 6.5 | 0.2 | 2.5 | 0.1 | 11.4 | 1.5 | 9.4 | 0.1 | 5.7 | 0.3 | 12.1 | 0.1 | |
| 15 | 0 | 30 | 11.6 | 0.3 | 3.6 | 0.2 | 16.1 | 0.2 | 13.1 | 0.1 | 6.2 | 0.4 | 13 | 0.5 | |
| 20 | 0 | 40 | 14.6 | 1.1 | 5.1 | 0.4 | 18 | 0.8 | 13.4 | 0.3 | 8.3 | 0.8 | 13.1 | 0.1 | |
| Char | HRC | THR | P1HR | P1HRR | T1 | P2HR | P2HRR | T2 | |
|---|---|---|---|---|---|---|---|---|---|
| [%] | [J/K/g] | [kJ/g] | [J/g] | [W/g] | [°C] | [J/g] | [W/g] | [°C] | |
| CO | 11.2 ± 0.5 | 200.2 ± 6.5 | 10.2 ± 0.1 | 10.2 ± 0.1 | 200.2 ± 6.5 | 381.3 ± 2 | |||
| CPZ@Co | 32.9 ± 1.9 | 116.2 ± 2.3 | 3.4 ± 0.2 | 3.4 ± 0.2 | 116.2 ± 2.3 | 309.3 ± 3.2 | |||
| PET/CO 1 | 14.6 ± 0.6 | 222.4 ± 28.3 | 14.6 ± 1.6 | 7.8 ± 0.8 | 107.8 ± 13.2 | 347.1 ± 0.9 | 6.8 ± 0.8 | 114.6 ± 15.1 | 429.5 ± 4.2 |
| CPZ@PET/CO 1 | 21.6 ± 0.3 | 143.3 ± 1.6 | 11 ± 0.2 | 1.8 ± 1.1 | 23.1 ± 7.4 | 275.8 ± 23.4 | 0.9 ± 0.9 | 16.7 ± 12 | 295.4 ± 9.3 |
| PET/CO 2 | 11.4 ± 0.5 | 220.8 ± 6.5 | 14.8 ± 0.1 | 7.2 ± 0.5 | 90.1 ± 1.7 | 359.1 ± 2.7 | 7.7 ± 0.4 | 130.7 ± 6.2 | 435.1 ± 1.6 |
| CPZ@ PET/CO 2 | 27.3 ± 0.2 | 159.9 ± 9.8 | 10.5 ± 0.1 | 1.3 ± 0 | 7.6 ± 1.7 | 291 ± 25.5 | 0.4 ± 0.1 | 19.6 ± 9.2 | 269.5 ± 4.8 |
| PET | 12.6 ± 0.2 | 418.8 ± 10.4 | 16.2 ± 0.2 | 16.2 ± 0.2 | 418.8 ± 10.4 | 455.8 ± 0.9 | |||
| CPZ@PET | 21.3 ± 0.2 | 253.9 ± 42.2 | 13.8 ± 1.9 | 1.4 ± 0.2 | 7 ± 1 | 304.6 ± 0.9 | 12.4 ± 1.7 | 246.9 ± 41.1 | 420.3 ± 1.6 |
| PA | 1.4 ± 1 | 572.2 ± 3.3 | 27.6 ± 0.3 | 27.6 ± 0.3 | 572.2 ± 3.3 | 473.7 ± 1.2 | |||
| CPZ@PA | 8.8 ± 0.7 | 392 ± 14.8 | 25.1 ± 0.1 | 0.5 ± 0 | 2.7 ± 0.5 | 306.4 ± 24.6 | 17.9 ± 1.4 | 231.4 ± 1.6 | 389.8 ± 6.5 |
| COPA | 10.5 ± 0.3 | 328.7 ± 0.9 | 18.8 ± 0.2 | 9.2 ± 0.3 | 143.1 ± 0.1 | 399.4 ± 37.5 | 9.7 ± 0.1 | 185.6 ± 0.8 | 463 ± 21.6 |
| CPZ@COPA | 22.9 ± 1.3 | 137.9 ± 15.3 | 12.5 ± 3.2 | 0.4 ± 0 | 4.3 ± 0.7 | 196.5 ± 6.1 | 2.4 ± 2.7 | 16.8 ± 11.5 | 308 ± 46.1 |
| P3HR | P3HR | T3 | P4HRR | P4HR | T4 | P5HRR | P5HR | T5 | |
|---|---|---|---|---|---|---|---|---|---|
| [J/g] | [W/g] | [°C] | [J/g] | [W/g] | [°C] | [J/g] | [W/g] | [°C] | |
| CO | |||||||||
| CPZ@Co | |||||||||
| PET/CO 1 | |||||||||
| CPZ@PET/CO 1 | |||||||||
| PET/CO 2 | |||||||||
| CPZ@ PET/CO 2 | 0.8 ± 0.1 | 29.5 ± 15.6 | 291.4 ± 2.2 | 8 ± 0.1 | 103.2 ± 1.6 | 419.6 ± 0.8 | |||
| PET | |||||||||
| CPZ@PET | |||||||||
| PA | |||||||||
| CPZ@PA | 5 ± 1.1 | 102.6 ± 11.8 | 449.5 ± 3.9 | 1.6 ± 0.1 | 55.3 ± 0.9 | 468.9 ± 1.1 | |||
| COPA | |||||||||
| CPZ@COPA | 0.8 ± 0.5 | 15.9 ± 11.1 | 293.3 ± 18.4 | 4.2 ± 4.7 | 38.1 ± 21.5 | 372.2 ± 35.2 | 4.6 ± 1.7 | 62.9 ± 5 | 413,4 ± 24,2 |
| 0 g/m2 | 1 g/m2 | 1.5 g/m2 | 2 g/m2 | 3 g/m2 ** | 4 g/m2 ** | |||||||
|---|---|---|---|---|---|---|---|---|---|---|---|---|
| add-on/af. | [%] | [s] | [%] | [s] | [%] | [s] | [%] | [s] | [%] | [s] | [%] | [s] ** |
| CO | 0 | 31 | 3.1 | 22 | 4.7 | 6 | 6.3 | 5 | 9.8 | 0 | 13.8 | 0 |
| PET/CO 1 | 0 | 61 | 0.6 | 37 | 1.6 | 25 | 2.6 | 25 | 3.5 | 0 | 5.3 | 0 |
| PET/CO 2 | 0 | 26 (21) * | 4.7 | 7 | 6.7 | 4 | 10.3 | 0 | 15.6 | 0 | 17.4 | 0 |
| PET | 0 | 31 | 4.7 | 36 | 4.7 | 47 | 9.5 | 48 | 11.2 | 6 | 13.2 | 4 |
| COPA | 0 | 63 | 2.4 | 5 | 2.8 | 2 | 5.5 | 0 | 5.7 | 0 | 7.8 | 0 |
| PA | 0 | 12 | 6.5 | 21 | 6.5 | 35 | 12.0 | 36 | 8.2 | 29 | 12.5 | 25 |

References
- Horrocks, A.R.; Price, D. Fire Retardant Materials; Woodhead Publishing Limited: Cambridge, UK, 2001. [Google Scholar]
- Horrocks, A.R.; Kandola, B.K. Textiles. In Plastics Flammability Handbook: Principles, Regulations, Testing, and Approval; Troitzsch, J., Ed.; Hanser Publischers: Munich, Germany, 2004; pp. 173–188. [Google Scholar]
- Guckert, D.J.; Lovasic, S.L. Fibers and Fabrics. In Handbook of Building Materials for Fire Protection; Harper, C.A., Ed.; McGraw-Hill Education: New York, NY, USA, 2003; pp. 5.0–5.51. [Google Scholar]
- Troitzsch, J. Plastics Flammability Handbook: Principles, Regulations, Testing, and Approval; Hanser Verlag: Munich, Germany, 2004. [Google Scholar]
- National Research Council (US) Subcommittee on Flame-Retardant Chemicals. Toxicological Risks of Selected Flame-Retardant Chemicals; National Academies Press (US): Washington, DC, USA, 2000. [Google Scholar]
- Purser, D. Toxicity of fire retardants in relation to life safety and environmental hazards. In Fire Retardant Materials; Horrocks, A.R., Price, D., Eds.; Woodhead Publishing: Cambridge, UK, 2001; pp. 69–127. [Google Scholar]
- Law, R.J.; Allchin, C.R.; De Boer, J.; Covaci, A.; Herzke, D.; Lepom, P.; Morris, S.; Tronczynski, J.; De Wit, C.A. Levels and trends of brominated flame retardants in the European environment. Chemosphere 2006, 64, 187–208. [Google Scholar] [CrossRef] [PubMed]
- Cordner, A.; Mulcahy, M.; Brown, P. Chemical Regulation on Fire: Rapid Policy Advances on Flame Retardants. Environ. Sci. Technol. 2013, 47, 7067–7076. [Google Scholar] [CrossRef] [PubMed]
- Alongi, J.; Horrocks, A.R.; Carosio, F. Update on Flame Retardant Textiles: State of the Art, Environmental Issues and Innovative Solutions; Smithers Rapra Technology: Shropshire, UK, 2013. [Google Scholar]
- Morgan, A.B.; Wilkie, C.A. The Non-Halogenated Flame Retardant Handbook; Scrivener Publishing: Beverly, MA, USA, 2014. [Google Scholar]
- Bakoš, D.; Košík, M.; Antoš, K.; Karolyová, M.; Vyskočil, I. The role of nitrogen in nitrogen-phosphorus synergism. Fire Mater. 1982, 6, 10–12. [Google Scholar] [CrossRef]
- Lewin, M. Synergistic and Catalytic Effects in Flame Retardancy of Polymeric Materials—An Overview. J. Fire Sci. 1999. [Google Scholar] [CrossRef]
- Lewin, M. Synergism and catalysis in flame retardancy of polymers. Polym. Adv. Technol. 2001, 12, 215–222. [Google Scholar] [CrossRef]
- Levchik, S.V.; Weil, E.D. Flame retardancy of thermoplastic polyesters—A review of the recent literature. Polym. Int. 2004, 54, 11–35. [Google Scholar] [CrossRef]
- Gaan, S.; Sun, G.; Hutches, K.; Engelhard, M.H. Effect of nitrogen additives on flame retardant action of tributyl phosphate: Phosphorus–nitrogen synergism. Polym. Degrad. Stab. 2008, 93, 99–108. [Google Scholar] [CrossRef]
- Horrocks, A.R. Flame-retardant finishes and finishing. In Textile Finishing; Heywood, D., Ed.; Society of Dyers and Colourists: Bradford, UK, 2003. [Google Scholar]
- Schindler, W.D.; Hauser, P.J. Flame-retardant finishes. In Chemical Finishing of Textiles; Woodhead Publishing: Cambridge, UK, 2003; pp. 98–116. [Google Scholar]
- Laachachi, A.; Ball, V.; Apaydin, K.; Toniazzo, V.; Ruch, D. Diffusion of Polyphosphates into (Poly(allylamine)-montmorillonite) Multilayer Films: Flame Retardant-Intumescent Films with Improved Oxygen Barrier. Langmuir 2011, 27, 13879–13887. [Google Scholar] [CrossRef]
- Apaydin, K.; Laachachi, A.; Fouquet, T.; Jimenez, M.; Bourbigot, S.; Ruch, D. Mechanistic investigation of flame retardant coatings made by Layer-by-Layer. RSC Adv. 2014. [Google Scholar] [CrossRef]
- Li, Y.-C.; Mannen, S.; Morgan, A.B.; Chang, S.; Yang, Y.-H.; Condon, B.; Grunlan, J.C. Intumescent All-Polymer Multilayer Nanocoating Capable of Extinguishing Flame on Fabric. Adv. Mater. 2011, 23, 3926–3931. [Google Scholar] [CrossRef]
- Carosio, F.; Alongi, J.; Malucelli, G. Layer by Layer ammonium polyphosphate-based coatings for flame retardancy of polyester–cotton blends. Carbohyd. Polym. 2012, 88, 1460–1469. [Google Scholar] [CrossRef]
- Laufer, G.; Kirkland, C.; Morgan, A.B.; Grunlan, J.C. Exceptionally Flame Retardant Sulfur-Based Multilayer Nanocoating for Polyurethane Prepared from Aqueous Polyelectrolyte Solutions. ACS Macro Lett. 2013, 2, 361–365. [Google Scholar] [CrossRef]
- Laufer, G.; Kirkland, C.; Morgan, A.B.; Grunlan, J.C. Intumescent Multilayer Nanocoating, Made with Renewable Polyelectrolytes, for Flame-Retardant Cotton. Biomacromolecules 2012, 13, 2843–2848. [Google Scholar] [CrossRef] [PubMed]
- Laufer, G.; Kirkland, C.; Cain, A.A.; Grunlan, J.C. Clay–Chitosan Nanobrick Walls: Completely Renewable Gas Barrier and Flame-Retardant Nanocoatings. ACS Appl. Mater. Interfaces 2012, 4, 1643–1649. [Google Scholar] [CrossRef] [PubMed]
- Zhang, T.; Yan, H.; Wang, L.; Fang, Z. Controlled Formation of Self-Extinguishing Intumescent Coating on Ramie Fabric via Layer-by-Layer Assembly. Ind. Eng. Chem. Res. 2013, 52, 6138–6146. [Google Scholar] [CrossRef]
- Li, Y.-C.; Schulz, J.; Mannen, S.; Delhom, C.; Condon, B.; Chang, S.; Zammarano, M.; Grunlan, J.C. Flame Retardant Behavior of Polyelectrolyte−Clay Thin Film Assemblies on Cotton Fabric. ACS Nano 2010, 4, 3325–3337. [Google Scholar] [CrossRef] [PubMed]
- Horrocks, A.R.; Nazaré, S.; Masood, R.; Kandola, B.; Price, D. Surface modification of fabrics for improved flash-fire resistance using atmospheric pressure plasma in the presence of a functionalized clay and polysiloxane. Polym. Adv. Technol. 2010, 22, 22–29. [Google Scholar] [CrossRef]
- Gilman, J.W. Flame retardant mechanism of polymer-clay nanocomposites. In Flame Retardant Polymer Nanocompostites; Morgan, A.B., Wilkie, C.A., Eds.; John & Wiley Sons, Inc.: Hoboken, NJ, USA, 2007; pp. 67–87. [Google Scholar]
- Zhang, T.; Yan, H.; Peng, M.; Wang, L.; Ding, H.; Fang, Z. Construction of flame retardant nanocoating on ramie fabric via layer-by-layer assembly of carbon nanotube and ammonium polyphosphate. Nanoscale 2013, 5, 3013. [Google Scholar] [CrossRef] [PubMed]
- Carosio, F.; Di Blasio, A.; Alongi, J.; Malucelli, G. Green DNA-based flame retardant coatings assembled through Layer by Layer. Polymer 2013, 54, 5148–5153. [Google Scholar] [CrossRef]
- Alongi, J.; Malucelli, G. State of the art and perspectives on sol–gel derived hybrid architectures for flame retardancy of textiles. J. Mater. Chem. 2012, 22, 21805–21809. [Google Scholar] [CrossRef]
- Brancatelli, G.; Colleoni, C.; Massafra, M.R.; Rosace, G. Effect of hybrid phosphorus-doped silica thin films produced by sol-gel method on the thermal behavior of cotton fabrics. Polym. Degrad. Stab. 2011, 96, 483–490. [Google Scholar] [CrossRef]
- Laoutid, F.; Bonnaud, L.; Alexandre, M.; Lopez-Cuesta, J.M.; Dubois, P. New prospects in flame retardant polymer materials: From fundamentals to nanocomposites. Mater. Sci. Eng. R Rep. 2009, 63, 100–125. [Google Scholar] [CrossRef]
- Liang, S.; Neisius, N.M.; Gaan, S. Recent developments in flame retardant polymeric coatings. Prog. Org. Coat. 2013, 76, 1642–1665. [Google Scholar] [CrossRef]
- Alongi, J.; Ciobanu, M.; Tata, J.; Carosio, F.; Malucelli, G. Thermal stability and flame retardancy of polyester, cotton, and relative blend textile fabrics subjected to sol-gel treatments. J. Appl. Polym. Sci. 2010, 119, 1961–1969. [Google Scholar] [CrossRef]
- Alongi, J.; Ciobanu, M.; Malucelli, G. Sol–gel treatments for enhancing flame retardancy and thermal stability of cotton fabrics: Optimisation of the process and evaluation of the durability. Cellulose 2010, 18, 167–177. [Google Scholar] [CrossRef]
- Gonçalves, A.G.; Jarrais, B.; Pereira, C.; Morgado, J.; Freire, C.; Pereira, M.F.R. Functionalization of textiles with multi-walled carbon nanotubes by a novel dyeing-like process. J. Mater. Sci. 2012, 47, 5263–5275. [Google Scholar] [CrossRef]
- Liu, Y.; Wang, X.; Qi, K.; Xin, J.H. Functionalization of cotton with carbon nanotubes. J. Mater. Chem. 2008, 18, 3454. [Google Scholar] [CrossRef]
- Wu, X.; Yang, C.Q. Flame Retardant Finishing of Cotton Fleece Fabric: Part III—The Combination of Maleic Acid and Sodium Hypophosphite. J. Fire Sci. 2008, 26, 351–368. [Google Scholar]
- Blanchard, E.J.; Graves, E.E.; Salame, P.A. Flame Resistant Cotton/Polyester Carpet Materials. J. Fire Sci. 2000, 18, 151–164. [Google Scholar] [CrossRef]
- Wu, X.; Yang, C.Q.; He, Q. Flame retardant finishing of cotton fleece: Part VII. Polycarboxylic acids with different numbers of functional group. Cellulose 2010, 17, 859–870. [Google Scholar] [CrossRef]
- Cheng, X.; Yang, C.Q. Flame retardant finishing of cotton fleece fabric: Part V. Phosphorus-containing maleic acid oligomers. Fire Mater. 2009, 33, 365–375. [Google Scholar] [CrossRef]
- Carosio, F.; Di Blasio, A.; Cuttica, F.; Alongi, J.; Malucelli, G. Flame Retardancy of Polyester and Polyester–Cotton Blends Treated with Caseins. Ind. Eng. Chem. Res. 2014, 53, 3917–3923. [Google Scholar] [CrossRef]
- Opwis, K.; Wego, A.; Bahners, T.; Schollmeyer, E. Permanent flame retardant finishing of textile materials by a photochemical immobilization of vinyl phosphonic acid. Polym. Degrad. Stab. 2011, 96, 393–395. [Google Scholar] [CrossRef]
- Xing, W.; Jie, G.; Song, L.; Hu, S.; Lv, X.; Wang, X.; Hu, Y. Flame retardancy and thermal degradation of cotton textiles based on UV-curable flame retardant coatings. Thermochim. Acta 2011, 513, 75–82. [Google Scholar] [CrossRef]
- Yuan, H.; Xing, W.; Zhang, P.; Song, L.; Hu, Y. Functionalization of Cotton with UV-Cured Flame Retardant Coatings. Ind. Eng. Chem. Res. 2012, 51, 5394–5401. [Google Scholar] [CrossRef]
- Tsafack, M.J.; Levalois-Grützmacher, J. Towards multifunctional surfaces using the plasma-induced graft-polymerization (PIGP) process: Flame and waterproof cotton textiles. Surf. Coat. Technol. 2007, 201, 5789–5795. [Google Scholar] [CrossRef]
- Çakmakçı, E.; Mülazim, Y.; Kahraman, M.V.; Apohan, N.K. Flame retardant thiol–ene photocured coatings. React. Funct. Polym. 2011, 71, 36–41. [Google Scholar] [CrossRef]
- Salmeia, K.; Gaan, S.; Malucelli, G. Recent Advances for Flame Retardancy of Textiles Based on Phosphorus Chemistry. Polymers 2016, 8, 319. [Google Scholar] [CrossRef] [PubMed]
- Richard Horrocks, A. Textile flammability research since 1980—Personal challenges and partial solutions. Polym. Degrad. Stab. 2013, 98, 2813–2824. [Google Scholar] [CrossRef]
- Horrocks, A.R. Flame retardant challenges for textiles and fibres: New chemistry versus innovatory solutions. Polym. Degrad. Stab. 2011, 96, 377–392. [Google Scholar] [CrossRef]
- Horrocks, A.R.; Kandola, B.K.; Davies, P.J.; Zhang, S.; Padbury, S.A. Developments in flame retardant textiles—A review. Polym. Degrad. Stab. 2005, 88, 3–12. [Google Scholar] [CrossRef]
- Kilinc, F.S. Handbook of Fire Resistant Textiles; Elsevier Science: Amsterdam, The Netherlands, 2013. [Google Scholar]
- Gleria, M.; De Jaeger, R. Polyphosphazenes: A Review. In New Aspects in Phosphorus Chemistry V; Topics in Current Chemistry; Springer: Berlin/Heidelberg, Germany, 2005; Volume 250, pp. 165–251. [Google Scholar]
- Allen, C.W.; Hernandez-Rubio, D. The use of phosphazenes as flame retardants. In Applicative Aspects of Poly(organophosphazenes); De Jaeger, R., Gleria, M., Eds.; Nova Science Publishers, Inc.: Hauppauge, NY, USA, 2004; pp. 119–137. [Google Scholar]
- Liang, S.; Neisius, M.; Mispreuve, H.; Naescher, R. Flame retardancy and thermal decomposition of flexible polyurethane foams: Structural influence of organophosphorus compounds. Ploymer Degrad. Stab. 2012, 97, 2428–2440. [Google Scholar] [CrossRef]
- Allcock, H.R. Recent developments in polyphosphazene materials science. Curr. Opin. Solid State Mater. Sci. 2006, 10, 231–240. [Google Scholar] [CrossRef]
- Höhne, C.C.; Wendel, R.; Käbisch, B.; Anders, T.; Henning, F.; Kroke, E. Hexaphenoxycyclotriphosphazene as FR for CFR anionic PA6 via T-RTM: A study of mechanical and thermal properties. Fire Mater. 2017, 41, 291–306. [Google Scholar] [CrossRef]
- Käbisch, B.; Fehrenbacher, U.; Kroke, E. Hexamethoxycyclotriphosphazene as a flame retardant for polyurethane foams. Fire Mater. 2014, 38, 462–473. [Google Scholar] [CrossRef]
- Levchik, G.F.; Grigoriev, Y.V.; Balabanovich, A.I.; Levchik, S.V.; Klatt, M. Phosphorus–nitrogen containing fire retardants for Poly(butylene terephthalate). Polym. Int. 2000, 49, 1095–1100. [Google Scholar] [CrossRef]
- Shukla, L.; Arya, P. Flame retardants based on Poly(fluorophosphazene) and organo-brominated compounds for polyester-cotton sheeting. Text. Dyer Print. 1998, 31, 16–18. [Google Scholar]
- Fukuoka, J.; Iguchi, Y. Fireproofing finishes for cellulose fibers. Jpn. Kokai Tokkyo Koho JP04002881A, 7 January 1992. [Google Scholar]
- Ikehata, K.; Midori, K.; Uchida, S.; Nakacho, H.; Tada, Y. Phosphazene compounds, fireproofing agents, and method for fireproofing of synthetic fibers. Jpn. Kokai Tokkyo Koho JP10298188A, 10 November 1998. [Google Scholar]
- Iwaki, T.; Sasa, K. Phenoxy phosphazene fireproofing agents, fire-resistant polyester fiber articles containing them, and their fireproofing method. Jpn. Kokai Tokkyo Koho. JP2005307396A, 4 November 2005. [Google Scholar]
- Hamanaka, S.; Tsutsumi, K.; Mochizuki, K. Fire-resistant poly(ethylene terephthalate) fiber containing phosphazenes and nitrogen-containing compounds and its fabric. Jpn. Kokai Tokkyo Koho JP2011042905A, 3 March 2011. [Google Scholar]
- Saxena, A.K.; Nigam, V.; Kumar, S.; Kerketta, A. Flame retardant composition, fibers, processing and applications of flame retardant composition. PCT Int. Appl. WO2014045308A1, 27 March 2014. [Google Scholar]
- Sada, K.; Kitagawa, M. Fire-resistant coating materials and manufacture of fire-resistant sheet materials using them with excellent handle and resistance to strike-through and hot water spots. Jpn. Kokai Tokkyo Koho JP2014141598A, 7 October 2014. [Google Scholar]
- Praschak, D.; Bahners, T.; Schollmeyer, E. Excimer UV lamp irradiation induced grafting on synthetic polymers. Appl. Phys. A Mater. Sci. Process. 2000, 71, 577–581. [Google Scholar] [CrossRef]
- Opwis, K.; Bahners, T.; Schollmeyer, E. Improvement of the alkali resistance of PET fibers by photochemical modification using excimer-UV lamps. Chem. Fibers Int. 2004, 54, 116–119. [Google Scholar]
- Gao, S.L.; Häßler, R.; Mäder, E.; Bahners, T.; Opwis, K.; Schollmeyer, E. Photochemical surface modification of PET by excimer UV lamp irradiation. Appl. Phys. B 2005, 81, 681–690. [Google Scholar] [CrossRef]
- Mayer-Gall, T.; Knittel, D.; Gutmann, J.S.; Opwis, K. Permanent flame retardant finishing of textiles by allyl-functionalized polyphosphazenes. ACS Appl. Mater. Interfaces 2015, 7, 9349–9363. [Google Scholar] [CrossRef]
- Wang, S.; Sui, X.; Li, Y.; Li, J.; Xu, H.; Zhong, Y.; Zhang, L.; Mao, Z. Durable flame retardant finishing of cotton fabrics with organosilicon functionalized cyclotriphosphazene. Polym. Degrad. Stab. 2016, 128, 22–28. [Google Scholar] [CrossRef]
- Ahn, K.-D.; Kim, U.Y.; Kim, C.H. Photocurable System of Polythiol and Polyphosphazene-Containing Allyl Groups. J. Macromol. Sci. Part A—Chem. 1986, 23, 169–180. [Google Scholar] [CrossRef]
- Edwards, B.; Rudolf, S.; Hauser, P.; El-Shafei, A. Preparation, Polymerization, and Performance Evaluation of Halogen-Free Radiation Curable Flame Retardant Monomers for Cotton Substrates. Ind. Eng. Chem. Res. 2015, 54, 577–584. [Google Scholar] [CrossRef]
- Kuan, J.-F.; Lin, K.-F. Synthesis of hexa-allylamino-cyclotriphosphazene as a reactive fire retardant for unsaturated polyesters. J. Appl. Polym. Sci. 2003, 91, 697–702. [Google Scholar] [CrossRef]
- Qian, Y.C.; Ren, N.; Huang, X.-J.; Chen, C.; Yu, A.-G.; Xu, Z.-K. Glycosylation of Polyphosphazene Nanofibrous Membrane by Click Chemistry for Protein Recognition. Macromol. Chem. Phys. 2013, 214, 1852–1858. [Google Scholar] [CrossRef]
- Qian, Y.; Huang, X.; Xu, Z. Synthesis of Polyphosphazene Derivatives via Thiol-ene Click Reactions in an Aqueous Medium. Macromol. Chem. Phys. 2015, 216, 671–677. [Google Scholar] [CrossRef]
- Allcock, H.R.; McDonnell, G.S.; Riding, G.H.; Manners, I. Influence of different organic side groups on the thermal behavior of polyphosphazenes: Random chain cleavage, depolymerization, and pyrolytic cross-linking. Chem. Mater. 1990, 2, 425–432. [Google Scholar] [CrossRef]
- Allcock, H.R.; Kolich, C.H.; Kossa, W.C. Pyrolysis of aminophosphazenes. Inorg. Chem. 1977, 16, 3362–3364. [Google Scholar] [CrossRef]
- Allcock, H.R.; Moore, G.Y.; Cook, W.J. The Thermal Breakdown of Poly(diphenoxyphosphazene). Macromolecules 1974, 7, 571–575. [Google Scholar] [CrossRef]
- Lyon, R.E.; Walters, R.N.; Stoliarov, S.I. Thermal analysis of flammability. J. Therm. Anal. Calorim. 2007, 89, 441–448. [Google Scholar] [CrossRef]
- Jain, R.K.; Lal, K.; Bhatnagar, H.L. Thermal degradation of cellulose and its phosphorylated products in air and nitrogen. J. Appl. Polym. Sci. 1985, 30, 897–914. [Google Scholar] [CrossRef]
Sample Availability: Samples of the compound are available from the authors. |













| CPZ (wt%) | Acid Concentration (mol/L) | |||
|---|---|---|---|---|
| 0.1 | 0.25 | 0.5 | 1 | |
| 1 | + | + | + | + |
| 5 | – | + | + | + |
| 15 | – | – | + | + |
| 25 | – | – | –* | + |
| 30 | – | – | – * | + |
| Sample | [%] | T−5% [°C] | Tmax1 (Res) [°C (%)] | Tmax2 (Res) [°C (%)] | Tmax3 (Res) [°C (%)] | Tmax4 (Res) [°C (%)] | Res [%] |
|---|---|---|---|---|---|---|---|
| CPZ | 1.5 | 168 | 163 (95.6) | 212 (89.5) | 391 (68.4) | 440 (58.7) | 49.5 |
| CO | 0.7 | 320 | 382 (44.5) | 10.7 | |||
| CPZ@CO | 0.9 | 303 | 314 (82.6) | 26.8 | |||
| COPA | 0.5 | 351 | 395 (65.6) | 456 (28.7) | 9.1 | ||
| CPZ@COPA | 1.2 | 295 | 321 (82.4) | 401 (52.0) | 462 (31.9) | 21.1 | |
| PET/CO 1 | 0.5 | 333 | 367 (71.1) | 445 (32.2) | 13.3 | ||
| CPZ@PET/CO 1 | 0.9 | 280 | 316 (79.7) | 449 (38.6) | 18.2 | ||
| PET/CO 2 | 0.5 | 336 | 379 (73.1) | 451 (27.9) | 10.0 | ||
| CPZ@PET/CO 2 | 0.5 | 300 | 311 (87.6) | 398 (65.9) | 445 (43.6) | 24.0 | |
| PET | 0.1 | 413 | 449 (56.6) | 13.3 | |||
| CPZ@PET | 0.0 | 365 | 385 (86.5) | 447 (40.8) | 14.9 | ||
| PA | 0.6 | 404 | 466 (42.3) | 1.5 | |||
| CPZ@PA | 0.2 | 280 | 381 (79.7) | 449 (38.6) | 10.6 |
| LOI (DIN-EN-ISO-4589) | DIN 75200 | DIN EN ISO 15025 | EN ISO 11925-1 | |
|---|---|---|---|---|
| Flame gas | propane | propane | propane | propane |
| Flame size | 16 mm | 38 mm | 25 mm | 20 mm |
| Flame contact time | 5 s steps to max. 30 s | 15 s | 10 s | 15 s |
| Ignition area | top edge | edge | face | Bottom edge |
| Sample size | 40 x 120 mm | 100 x 356 mm | 150 x 200 mm | 90 × 190 mm |
| Sample alignment | vertical | horizontal | vertical | vertical |
| Passed: | LOI value | Burn rate: <102 mm/min | e.g., DIN EN ISO 11611: no afterburning after burn time ≤2 s after glow time ≤2 s no dripping no hole formation | DIN 4102-1 B2 or EN ISO 13501-1 E: Flame tip does not reach measuring mark at 150 mm within 20 s |
| CO | PET/CO 1 | PET/CO 2 | COPA | |
|---|---|---|---|---|
| LOI | ||||
| untreated | 16.5–17.0 | 18.5–19.0 | 16.5–17.0 | 18.0–18.5 |
| PPZ | 25.5–26.0 | 26.0–26.5 | 23.0–24.0 | 23.0–23.5 |
| DIN 75200 | ||||
| burning rate [mm/min] | 60 | 0 | 0 | 0 |
| comment | carbonization | carbonization | carbonization | carbonization |
| test passed | yes | yes | yes | yes |
| burning behavior of untreated material | burns down completely, burning rate 98 mm/min | burns down completely, burning rate 59 mm/min | burns down completely, burning rate 119 mm/min | burns down completely burning rate 126 mm/min |
| DIN EN ISO 15,025 | ||||
| Flame reaches upper or lateral edge | no | no | no | no |
| after flame time [s] | 0 | 0 | 0 | 0 |
| test passed | yes | yes | yes | yes |
| burning behavior of untreated material | burns down completely within 8 s | burns down completely within 22 s | burns down completely within 11 s | burns down completely within 13 s |
| EN ISO 11925-2 | ||||
| max. flame height | >25 cm | >25 cm | >25 cm | >25 cm |
| self-extinguished | 0 s (during flame impingement) | 0 s | 5 s | 15 s |
| dripping | no | no | no | no |
| test passed | no | no | no | no |
| burning behavior of untreated material | burns down completely | burns down completely | burns down completely | burns down completely |
© 2019 by the authors. Licensee MDPI, Basel, Switzerland. This article is an open access article distributed under the terms and conditions of the Creative Commons Attribution (CC BY) license (http://creativecommons.org/licenses/by/4.0/).
Share and Cite
Mayer-Gall, T.; Plohl, D.; Derksen, L.; Lauer, D.; Neldner, P.; Ali, W.; Fuchs, S.; Gutmann, J.S.; Opwis, K. A Green Water-Soluble Cyclophosphazene as a Flame Retardant Finish for Textiles. Molecules 2019, 24, 3100. https://doi.org/10.3390/molecules24173100
Mayer-Gall T, Plohl D, Derksen L, Lauer D, Neldner P, Ali W, Fuchs S, Gutmann JS, Opwis K. A Green Water-Soluble Cyclophosphazene as a Flame Retardant Finish for Textiles. Molecules. 2019; 24(17):3100. https://doi.org/10.3390/molecules24173100
Chicago/Turabian StyleMayer-Gall, Thomas, Dennis Plohl, Leonie Derksen, Dana Lauer, Pia Neldner, Wael Ali, Sabine Fuchs, Jochen S. Gutmann, and Klaus Opwis. 2019. "A Green Water-Soluble Cyclophosphazene as a Flame Retardant Finish for Textiles" Molecules 24, no. 17: 3100. https://doi.org/10.3390/molecules24173100
APA StyleMayer-Gall, T., Plohl, D., Derksen, L., Lauer, D., Neldner, P., Ali, W., Fuchs, S., Gutmann, J. S., & Opwis, K. (2019). A Green Water-Soluble Cyclophosphazene as a Flame Retardant Finish for Textiles. Molecules, 24(17), 3100. https://doi.org/10.3390/molecules24173100

