Seeing the Unseen of the Combination of Two Natural Resins, Frankincense and Myrrh: Changes in Chemical Constituents and Pharmacological Activities
Abstract
1. Introduction
2. Frankincense (Olibanum)
2.1. Main Chemical Constituents of Frankincense
2.2. Pharmacological Activity of Frankincense
2.2.1. Anti-Inflammatory
2.2.2. Anticancer
2.2.3. Other Pharmacological Activities
3. Myrrh
3.1. Main Chemical Constituents of Myrrh
3.2. Pharmacological Activity of Myrrh
3.2.1. Anti-Inflammatory
3.2.2. Anticancer
3.2.3. Analgesic Effect
3.2.4. Antibacterial
4. Frankincense–Myrrh Compound
4.1. Chemical Constituents of the Combination
4.1.1. Changes of Terpenoids in the Combination
4.1.2. Changes of Essential Oil Components in the Combination
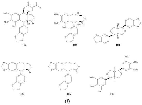
4.1.3. Potential Bioactive Components of the Combination
4.2. Pharmacological Activity of the Combination
4.2.1. Synergistic Anti-inflammatory
4.2.2. Synergistic Anticancer
4.2.3. Synergistic Analgesic
4.2.4. Synergistic Antibacterial
4.2.5. Synergistic Blood-Activating
4.2.6. Penetration-Promoting Effect In Vitro
5. Conclusion and Prospect
Author Contributions
Acknowledgements
Conflicts of Interest
References
- Kunnumakkara, A.B.; Bordoloi, D.; Harsha, C.; Banik, K.; Gupta, S.C.; Aggarwal, B.B. Curcumin mediates anticancer effects by modulating multiple cell signaling pathways. Clin. Sci. 2017, 131, 1781–1799. [Google Scholar] [CrossRef] [PubMed]
- Anand, P.; Sundaram, C.; Jhurani, S.; Kunnumakkara, A.B.; Aggarwal, B.B. Curcumin and cancer: An “old-age” disease with an “age-old” solution. Cancer Lett. 2008, 267, 133–164. [Google Scholar] [CrossRef] [PubMed]
- Goel, A.; Jhurani, S.; Aggarwal, B.B. Multi-targeted therapy by curcumin: How spicy is it? Mol. Nutr. Food Res. 2008, 52, 1010–1030. [Google Scholar] [CrossRef] [PubMed]
- Bordoloi, D.; Roy, N.K.; Monisha, J.; Padmavathi, G.; Kunnumakkara, A.B. Multi-Targeted Agents in Cancer Cell Chemosensitization: What We Learnt from Curcumin Thus Far. Recent Pat. Anti Cancer Drug Discov. 2016, 11, 67–97. [Google Scholar] [CrossRef]
- Banik, K.; Harsha, C.; Bordoloi, D.; Lalduhsaki Sailo, B.; Sethi, G.; Leong, H.C.; Arfuso, F.; Mishra, S.; Wang, L.; Kumar, A.P.; et al. Therapeutic potential of gambogic acid, a caged xanthone, to target cancer. Cancer Lett. 2018, 416, 75–86. [Google Scholar] [CrossRef] [PubMed]
- Shishodia, S.; Harikumar, K.B.; Dass, S.; Ramawat, K.G.; Aggarwal, B.B. The guggul for chronic diseases: Ancient medicine, modern targets. Anticancer Res. 2008, 28, 3647–3664. [Google Scholar]
- Shen, T.; Lou, H.X. Bioactive constituents of myrrh and frankincense, two simultaneously prescribed gum resins in chinese traditional medicine. Chem. Biodivers. 2008, 5, 540–553. [Google Scholar] [CrossRef] [PubMed]
- Morikawa, T.; Matsuda, H.; Yoshikawa, M. A Review of Anti-inflammatory Terpenoids from the Incense Gum Resins Frankincense and Myrrh. J. Oleo Sci. 2017, 66, 805–814. [Google Scholar] [CrossRef] [PubMed]
- BasEr, K.H.C.; Demirci, B.; Dekebo, A.; Flavour, E.D.J.; Journal, F. Essential oils of some Boswellia spp., Myrrh and Opopanax. Flavour Fragr. J. 2003, 18, 153–156. [Google Scholar] [CrossRef]
- Hamm, S.; Bleton, J.; Tchapla, A. Headspace solid phase microextraction for screening for the presence of resins in Egyptian archaeological samples. J. Sep. Sci. 2004, 27, 235–243. [Google Scholar] [CrossRef]
- Ljaljevic Grbic, M.; Unkovic, N.; Dimkic, I.; Janackovic, P.; Gavrilovic, M.; Stanojevic, O.; Stupar, M.; Vujisic, L.; Jelikic, A.; Stankovic, S.; et al. Frankincense and myrrh essential oils and burn incense fume against micro-inhabitants of sacral ambients. Wisdom of the ancients? J. Ethnopharmacol. 2018, 219, 1–14. [Google Scholar] [CrossRef] [PubMed]
- Afsharypuor, S.; Rahmany, M. Essential Oil Constituents of Two African Olibanums Available in Isfahan Commercial Market %J Iranian Journal of Pharmaceutical Sciences. Iran. J. Pharm. Sci. 2005, 1, 167–170. [Google Scholar]
- El Ashry, E.S.; Rashed, N.; Salama, O.M.; Saleh, A. Components, therapeutic value and uses of myrrh. Die Pharm. Int. J. Pharm. Sci. 2003, 58, 163–168. [Google Scholar]
- Tao, S.; Hong-xiang, L.O.U. Chemical Constituents from Resin of Commiphora Species and Their Biological Activities. Nat. Prod. Res. Dev. 2008, 20, 360–366. [Google Scholar]
- Guo, Q.; Lin, J.; Liu, R.; Gao, Y.; He, S.; Xu, X.; Hua, B.; Li, C.; Hou, W.; Zheng, H.; et al. Review on the Applications and Molecular Mechanisms of Xihuang Pill in Tumor Treatment. Evid. Based Complement. Altern. Med. 2015, 2015, 854307. [Google Scholar] [CrossRef] [PubMed]
- Xiong, X.; He, Y.N.; Feng, B.; Pan, Y.; Zhang, H.Z.; Ke, X.M.; Zhang, Y.; Yang, M.; Han, L.; Zhang, D.K. Screening for the anti-inflammation quality markers of Xiaojin Pills based on HPLC-MS/MS method, COX-2 inhibition test and protein interaction network. Sci. Rep. 2018, 8, 7454. [Google Scholar] [CrossRef] [PubMed]
- Yang, Y.H.; Rajaiah, R.; Lee, D.Y.; Ma, Z.; Yu, H.; Fong, H.H.; Lao, L.; Berman, B.M.; Moudgil, K.D. Suppression of ongoing experimental arthritis by a chinese herbal formula (huo-luo-xiao-ling dan) involves changes in antigen-induced immunological and biochemical mediators of inflammation. Evid. Based Complement. Altern. Med. 2011, 2011, 642027. [Google Scholar] [CrossRef] [PubMed]
- Michie, C.A.; Cooper, E. Frankincense and myrrh as remedies in children. J. R. Soc. Med. 1991, 84, 602–605. [Google Scholar]
- Wahba, A.; Farid, M.; Adawy, H. A Comparative Study between the Combined Effect of Frankincense and Myrrh versus the Effect of Triamcinolone Acetonide on Healing of Induced Labial Mucosal Ulcer in Albino Rats. Al Azhar Dent. J. Girls 2017, 4, 339–345. [Google Scholar] [CrossRef][Green Version]
- Hopkins, A.L. Network pharmacology: The next paradigm in drug discovery. Nat. Chem. Biol. 2008, 4, 682–690. [Google Scholar] [CrossRef]
- Madani Tonekaboni, S.A.; Soltan Ghoraie, L.; Manem, V.S.K.; Haibe-Kains, B. Predictive approaches for drug combination discovery in cancer. Brief. Bioinform. 2018, 19, 263–276. [Google Scholar] [CrossRef] [PubMed]
- Gerbeth, K.; Husch, J.; Fricker, G.; Werz, O.; Schubert-Zsilavecz, M.; Abdel-Tawab, M. In vitro metabolism, permeation, and brain availability of six major boswellic acids from Boswellia serrata gum resins. Fitoterapia 2013, 84, 99–106. [Google Scholar] [CrossRef] [PubMed]
- Siddiqui, M.Z. Boswellia serrata, a potential antiinflammatory agent: An overview. Indian J. Pharm. Sci. 2011, 73, 255–261. [Google Scholar] [PubMed]
- Bairwa, K.; Jachak, S.M. Nanoparticle formulation of 11-keto-beta-boswellic acid (KBA): Anti-inflammatory activity and in vivo pharmacokinetics. Pharm. Biol. 2016, 54, 2909–2916. [Google Scholar] [CrossRef] [PubMed]
- Yadav, V.R.; Prasad, S.; Sung, B.; Gelovani, J.G.; Guha, S.; Krishnan, S.; Aggarwal, B.B. Boswellic acid inhibits growth and metastasis of human colorectal cancer in orthotopic mouse model by downregulating inflammatory, proliferative, invasive and angiogenic biomarkers. Int. J. Cancer 2012, 130, 2176–2184. [Google Scholar] [CrossRef] [PubMed]
- Wang, F.; Hua, H.M.; Wang, S.M.; Liang, S.W. Chemical constituents from frankincense. Chin. Herb. Med. 2011, 42, 1293–1296. [Google Scholar]
- Schweizer, S.; von Brocke, A.F.; Boden, S.E.; Bayer, E.; Ammon, H.P.; Safayhi, H. Workup-dependent formation of 5-lipoxygenase inhibitory boswellic acid analogues. J. Nat. Prod. 2000, 63, 1058–1061. [Google Scholar] [CrossRef]
- Mahajan, B.; Taneja, S.C.; Sethi, V.K.; Phytochemistry, K.L.D.J. Two triterpenoids from Boswellia serrata gum resin. Phytochemistry 1995, 39, 453–455. [Google Scholar] [CrossRef]
- Badria, F.A.; Abu-Karam, M.; Mikhaeil, B.R.; Maatooq, G.T.; Amer, M.M. Anti-Herpes Activity of Isolated Compounds from Frankincense. Biosci. Biotechnol. Res. Asia 2003, 1, 1–10. [Google Scholar]
- Banno, N.; Akihisa, T.; Yasukawa, K.; Tokuda, H.; Tabata, K.; Nakamura, Y.; Nishimura, R.; Kimura, Y.; Suzuki, T. Anti-inflammatory activities of the triterpene acids from the resin of Boswellia carteri. J. Ethnopharmacol. 2006, 107, 249–253. [Google Scholar] [CrossRef]
- Belsner, K.; Büchele, B.; Werz, U.; Syrovets, T.; Simmet, T. Structural analysis of pentacyclic triterpenes from the gum resin ofBoswellia serrataby NMR spectroscopy. Magn. Reson. Chem. 2003, 41, 115–122. [Google Scholar] [CrossRef]
- Mahato, S.B.; Kundu, A.P. 13 CNMR spectra of pentacyclic triterpenoid-Acomplilation and some salient features. Phytochemistry 1994, 37, 1517–1575. [Google Scholar] [CrossRef]
- Wang, F.; Li, Z.L.; Cui, H.H.; Hua, H.M.; Jing, Y.K.; Liang, S.W. Two new triterpenoids from the resin of Boswellia carterii. J. Asian Nat. Prod. Res. 2011, 13, 193–197. [Google Scholar] [CrossRef] [PubMed]
- Culioli, G.; Mathe, C.; Archier, P.; Vieillescazes, C. A lupane triterpene from frankincense (Boswellia sp., Burseraceae). Phytochemistry 2003, 62, 537–541. [Google Scholar] [CrossRef]
- Buchele, B.; Zugmaier, W.; Simmet, T. Analysis of pentacyclic triterpenic acids from frankincense gum resins and related phytopharmaceuticals by high-performance liquid chromatography. Identification of lupeolic acid, a novel pentacyclic triterpene. J. Chromatogr. B Anal. Technol. Biomed. Life Sci. 2003, 791, 21–30. [Google Scholar] [CrossRef]
- Proietti, G.; Strapaghetti, G.; Corsano, S. Triterpenes of Boswellia frereana. Planta Med. 1981, 41, 417. [Google Scholar] [CrossRef] [PubMed]
- Pardhy, R.S.; Bhattacharyya, S.C. Tetracyclic triterpene acids from the resin of Boswellia serrata Roxb. Indian J. Chem. 1978, 16, 174–175. [Google Scholar]
- Estrada, A.C.; Syrovets, T.; Pitterle, K.; Lunov, O.; Buchele, B.; Schimana-Pfeifer, J.; Schmidt, T.; Morad, S.A.; Simmet, T. Tirucallic acids are novel pleckstrin homology domain-dependent Akt inhibitors inducing apoptosis in prostate cancer cells. Mol. Pharmacol. 2010, 77, 378–387. [Google Scholar] [CrossRef]
- Magalhães Maia, R.; Rocha Barbosa, P.; Cruz, F.; Franca Roque, N.; Fascio, M. Triterpenes from the resin of Protium heptaphyllum March (Burseraceae): Characterization in binary mixtures. Química Nova 2000, 23, 623–626. [Google Scholar] [CrossRef]
- Fattorusso, E.; Santacroce, C.; Xaasan, C.F. 4(23)-Dihydroroburic Acid from the resin (incense) ofBoswellia carterii. Phytochemistry 1983, 22, 2868–2869. [Google Scholar] [CrossRef]
- Zhao, C.Z. Studies on Chemical Constituents of Olibanum. Master’s Thesis, Jilin University, Changchun, China, 2015. [Google Scholar]
- Al-Yasiry, A.R.; Kiczorowska, B. Frankincense—Therapeutic properties. Postepy Hig. I Med. Dosw. 2016, 70, 380–391. [Google Scholar] [CrossRef]
- Basar, S. Phytochemical Investigation on Boswellia Species:Comparative Studies on the Essential Oils, Pyrolysates and Boswellic Acids of Boswellia Carterii Birdwood, B. Serrata Roxb., B. Frereana Birdwood, Boswellia Neglecta, S. Moore and B. Rivae Engl. Ph.D. Thesis, Hamburg Hamburg University, Hamburg, Germany, 2005. [Google Scholar]
- Wang, F.; Li, Z.; Liu, T.; Hua, H. Cembrane diterpenes in olibanum. China J. Chin. Mater. Med. 2009, 34, 2477–2480. [Google Scholar]
- Forcellese, M.L.; Nicoletti, R.; Petrossi, U. The structure of isoincensole-oxide. Tetrahedron 1972, 28, 325–331. [Google Scholar] [CrossRef]
- Li, F.; Xu, K.; Yuan, S.; Yan, D. Macrocyclic Diterpenes from Boswelia carteri Birdwood. (Frankincense). Chin. J. Org. Chem. 2010, 34, 2477–2480. [Google Scholar]
- Hussain, H.; Al-Harrasi, A.; Al-Rawahi, A.; Hussain, J. Chemistry and Biology of Essential Oils of Genus Boswellia. Evid. Based Complement. Altern. Med. 2013, 2013, 140509. [Google Scholar] [CrossRef]
- Woolley, C.L.; Suhail, M.M.; Smith, B.L.; Boren, K.E.; Taylor, L.C.; Schreuder, M.F.; Chai, J.K.; Casabianca, H.; Haq, S.; Lin, H.-K. Chemical differentiation of Boswellia sacra and Boswellia carterii essential oils by gas chromatography and chiral gas chromatography–mass spectrometry. J. Chromatogr. A 2012, 1261, 158–163. [Google Scholar] [CrossRef]
- Jiang, M.; Kulsing, C.; Marriott, P.J.; Chemistry, B. Comprehensive 2D gas chromatography–time-of-flight mass spectrometry with 2D retention indices for analysis of volatile compounds in frankincense (Boswellia papyrifera). Anal. Bioanal. Chem. 2018, 410, 1–12. [Google Scholar] [CrossRef]
- Catanzaro, D.; Rancan, S.; Orso, G.; Dall’Acqua, S.; Brun, P.; Giron, M.C.; Carrara, M.; Castagliuolo, I.; Ragazzi, E.; Caparrotta, L.J. Boswellia serrata Preserves Intestinal Epithelial Barrier from Oxidative and Inflammatory Damage. PLoS ONE 2015, 10, e0125375. [Google Scholar] [CrossRef]
- Hpt, A.; Mack, T.; Singh, G.B.; Safayhi, H. Inhibition of leukotriene B(4) formation in rat peritoneal neutrophils by an ethanolic extract of the gum resin exudate of boswellia serrata. Planta Med. 1991, 57, 203–207. [Google Scholar]
- Liang, Y.H.; Li, P.; Zhao, J.X.; Liu, X.; Huang, Q.F. Acetyl-11-keto-beta-boswellic acid and arsenic trioxide regulate the productions and activities of matrix metalloproteinases in human skin fibroblasts and human leukemia cell line THP-1. J. Chin. Integr. Med. 2010, 8, 1060–1069. [Google Scholar] [CrossRef]
- Fan, A.Y.; Lao, L.; Zhang, R.X.; Zhou, A.N.; Wang, L.B.; Moudgil, K.D.; Lee, D.Y.; Ma, Z.Z.; Zhang, W.Y.; Berman, B.M. Effects of an acetone extract of Boswellia carterii Birdw. (Burseraceae) gum resin on adjuvant-induced arthritis in lewis rats. J. Ethnopharmacol. 2005, 101, 104–109. [Google Scholar] [CrossRef]
- Henkel, A.; Tausch, L.; Pillong, M.; Jauch, J.; Karas, M.; Schneider, G.; Werz, O. Boswellic acids target the human immune system-modulating antimicrobial peptide LL-37. Pharmacol. Res. 2015, 102, 53–60. [Google Scholar] [CrossRef]
- Li, X.J.; Yang, Y.J.; Li, Y.S.; Zhang, W.K.; Tang, H.B. alpha-Pinene, linalool, and 1-octanol contribute to the topical anti-inflammatory and analgesic activities of frankincense by inhibiting COX-2. J. Ethnopharmacol. 2016, 179, 22–26. [Google Scholar] [CrossRef]
- Frank, M.B.; Yang, Q.; Osban, J.; Azzarello, J.T.; Saban, M.R.; Saban, R.; Ashley, R.A.; Welter, J.C.; Fung, K.M.; Lin, H.K. Frankincense oil derived from Boswellia carteri induces tumor cell specific cytotoxicity. BMC Complement. Altern. Med. 2009, 9, 6. [Google Scholar] [CrossRef]
- Cao, X.W.; Fu, Z.R.; Ding, G. SEffects of tacrolimus on proliferation, apoptosis, and fluorouracil sensitivity of liver cancer cell line of SMMC-7721. Hepatobiliary Pancreat. Dis. Int. 2007, 5, 68–72. [Google Scholar]
- Ren, P.; Ren, X.; Cheng, L.; Xu, L. Frankincense, pine needle and geranium essential oils suppress tumor progression through the regulation of the AMPK/mTOR pathway in breast cancer. Oncol. Rep. 2018, 39, 129–137. [Google Scholar] [CrossRef]
- Takada, Y.; Ichikawa, H.; Badmaev, V.; Aggarwal, B.B. Acetyl-11-keto-beta-boswellic acid potentiates apoptosis, inhibits invasion, and abolishes osteoclastogenesis by suppressing NF-kappa B and NF-kappa B-regulated gene expression. J. Immunol. 2006, 176, 3127–3140. [Google Scholar] [CrossRef]
- Pang, X.; Yi, Z.; Zhang, X.; Sung, B.; Qu, W.; Lian, X.; Aggarwal, B.B.; Liu, M. Acetyl-11-keto-beta-boswellic acid inhibits prostate tumor growth by suppressing vascular endothelial growth factor receptor 2-mediated angiogenesis. Cancer Res. 2009, 69, 5893–5900. [Google Scholar] [CrossRef]
- Yuan, H.Q.; Kong, F.; Wang, X.L.; Young, C.Y.; Hu, X.Y.; Lou, H.X. Inhibitory effect of acetyl-11-keto-beta-boswellic acid on androgen receptor by interference of Sp1 binding activity in prostate cancer cells. Biochem. Pharmacol. 2008, 75, 2112–2121. [Google Scholar] [CrossRef]
- Lu, M.; Xia, L.; Hua, H.; Jing, Y. Acetyl-keto-beta-boswellic acid induces apoptosis through a death receptor 5-mediated pathway in prostate cancer cells. Cancer Res. 2008, 68, 1180–1186. [Google Scholar] [CrossRef]
- Park, B.; Sung, B.; Yadav, V.R.; Cho, S.G.; Liu, M.; Aggarwal, B.B. Acetyl-11-keto-beta-boswellic acid suppresses invasion of pancreatic cancer cells through the downregulation of CXCR4 chemokine receptor expression. Int. J. Cancer 2011, 129, 23–33. [Google Scholar] [CrossRef] [PubMed]
- Shen, Y.; Takahashi, M.; Byun, H.M.; Link, A.; Sharma, N.; Balaguer, F.; Leung, H.C.; Boland, C.R.; Goel, A. Boswellic acid induces epigenetic alterations by modulating DNA methylation in colorectal cancer cells. Cancer Biol. Ther. 2012, 13, 542–552. [Google Scholar] [CrossRef] [PubMed]
- Zhao, W.; Entschladen, F.; Liu, H.; Niggemann, B.; Fang, Q.; Zaenker, K.S.; Han, R. Boswellic acid acetate induces differentiation and apoptosis in highly metastatic melanoma and fibrosarcoma cells. Cancer Detect. Prev. 2003, 27, 67–75. [Google Scholar] [CrossRef]
- Jing, Y.; Nakajo, S.; Xia, L.; Nakaya, K.; Fang, Q.; Waxman, S.; Han, R. Boswellic acid acetate induces differentiation and apoptosis in leukemia cell lines. Leuk. Res. 1999, 23, 43–50. [Google Scholar] [CrossRef]
- Takahashi, M.; Sung, B.; Shen, Y.; Hur, K.; Link, A.; Boland, C.R.; Aggarwal, B.B.; Goel, A. Boswellic acid exerts antitumor effects in colorectal cancer cells by modulating expression of the let-7 and miR-200 microRNA family. Carcinogenesis 2012, 33, 2441–2449. [Google Scholar] [CrossRef]
- Liang, Y.H.; Li, P.; Huang, Q.F.; Zhao, J.X.; Liu, X.; Dai, M. KAcetyl-11-keto-beta-boswellic acid regulates the activities of matrix metalloproteinases-1,-2,-9. Chin. J. Pathophysiol. 2009, 25, 2004–2011. [Google Scholar]
- Hosseini, M.; Hadjzadeh, M.A.; Derakhshan, M.; Havakhah, S.; Rassouli, F.B.; Rakhshandeh, H.; Saffarzadeh, F. The beneficial effects of olibanum on memory deficit induced by hypothyroidism in adult rats tested in Morris water maze. Arch. Pharmacal Res. 2010, 33, 463–468. [Google Scholar] [CrossRef]
- Barakat, B.M.; Ahmed, H.I.; Bahr, H.I.; Elbahaie, A.M. Protective Effect of Boswellic Acids against Doxorubicin-Induced Hepatotoxicity: Impact on Nrf2/HO-1 Defense Pathway. Oxidative Med. Cell. Longev. 2018, 2018, 8296451. [Google Scholar] [CrossRef]
- Assad, Y.; Torto, B.; Hassanali, A.; Njagi, P.; Bashir, N.; Mahamat, H. Seasonal variation in the essential oil composition of Commiphora quadricincta and its effect on the maturation of immature adults of the desert locust, Schistocerca gregaria. Phytochemistry 1997, 44, 833–841. [Google Scholar] [CrossRef]
- Saeed, M.A.; Sabir, A.W. Antibacterial activities of some constituents from oleo-gum-resin of Commiphora mukul. Fitoterapia 2004, 75, 204–208. [Google Scholar] [CrossRef]
- Asres, K.; Tei, A.; Moges, G.; Sporer, F.; Wink, M. Terpenoid composition of the wound-induced bark exudate of Commiphora tenuis from Ethiopia. Planta Med. 1998, 64, 473–475. [Google Scholar] [CrossRef]
- Hanus, L.O.; Rezanka, T.; Dembitsky, V.M.; Moussaieff, A. Myrrh—Commiphora chemistry. Biomed. Pap. 2005, 149, 3–27. [Google Scholar] [CrossRef]
- Claeson, P.; Andersson, R.; Samuelsson, G. T-cadinol: A pharmacologically active constituent of scented myrrh: Introductory pharmacological characterization and high field 1H- and 13C-NMR data. Planta Med. 1991, 57, 352–356. [Google Scholar] [CrossRef]
- Dekebo, A.; Dagne, E.; Sterner, O. Furanosesquiterpenes from Commiphora sphaerocarpa and related adulterants of true myrrh. Fitoterapia 2002, 73, 48–55. [Google Scholar] [CrossRef]
- Hikino, H.; Agatsuma, K.; Konno, C.; Takemoto, T.J.C.; Bulletin, P. Structure of Furanodiene and Isofuranogermacrene (Curzerene). Chem. Pharm. Bull. 1970, 18, 752–755. [Google Scholar] [CrossRef]
- Zhu, N.; Sheng, S.; Sang, S.; Rosen, R.T.; Ho, C.T.; Journal, F. Isolation and characterization of several aromatic sesquiterpenes from Commiphora myrrha. Flavour Fragr. J. 2003, 18, 282–285. [Google Scholar] [CrossRef]
- Zhu, N.; Kikuzaki, H.; Sheng, S.; Sang, S.; Rafi, M.M.; Wang, M.; Nakatani, N.; Dipaola, R.S.; Rosen, R.T.; Ho, C.T. Furanosesquiterpenoids of Commiphora myrrha. J. Nat. Prod. 2001, 64, 1460–1462. [Google Scholar] [CrossRef]
- Dekebo, A.; Dagne, E.; Hansen, L.K.; Gautun, O.R.; Aasen, A.J. Crystal structures of two furanosesquiterpenes from Commiphora sphaerocarpa. Tetrahedron Lett. 2000, 41, 9875–9878. [Google Scholar] [CrossRef]
- Fraternale, D.; Sosa, S.; Ricci, D.; Genovese, S.; Messina, F.; Tomasini, S.; Montanari, F.; Marcotullio, M.C. Anti-inflammatory, antioxidant and antifungal furanosesquiterpenoids isolated from Commiphora erythraea (Ehrenb.) Engl. resin. Fitoterapia 2011, 82, 654–661. [Google Scholar] [CrossRef]
- Shen, T.; Wan, W.; Yuan, H.; Kong, F.; Guo, H.; Fan, P.; Lou, H. Secondary metabolites from Commiphora opobalsamum and their antiproliferative effect on human prostate cancer cells. Phytochemistry 2007, 68, 1331–1337. [Google Scholar] [CrossRef]
- Yeo, S.K.; Ali, A.Y.; Hayward, O.A.; Turnham, D.; Jackson, T.; Bowen, I.D.; Clarkson, R. beta-Bisabolene, a Sesquiterpene from the Essential Oil Extract of Opoponax (Commiphora guidottii), Exhibits Cytotoxicity in Breast Cancer Cell Lines. Phytother. Res. 2016, 30, 418–425. [Google Scholar] [CrossRef]
- Patil, V.D.; Nayak, U.R.; Dev, S. Chemistry of ayurvedic crude drugs—II: Guggulu (resin from Commiphora mukul)-2: Diterpenoid constituents. Tetrahedron 1973, 29, 341–348. [Google Scholar] [CrossRef]
- Francis, J.A.; Raja, S.N.; Nair, M.G. Bioactive Terpenoids and Guggulusteroids from Commiphora mukul Gum Resin of Potential Anti-Inflammatory Interest. Chem. Biodivers. 2010, 1, 1842–1853. [Google Scholar] [CrossRef]
- Su, S.L.; Duan, J.A.; Tang, Y.P.; Zhang, X.; Yu, L.; Jiang, F.R.; Zhou, W.; Luo, D.; Ding, A.W. Isolation and biological activities of neomyrrhaol and other terpenes from the resin of Commiphora myrrha. Planta Med. 2009, 75, 351–355. [Google Scholar] [CrossRef]
- Manguro, L.O.; Ugi, I.; Lemmen, P. Further bisabolenes and dammarane triterpenes of Commiphora kua resin. Chem. Pharm. Bull. 2003, 51, 479–482. [Google Scholar] [CrossRef]
- Rahman, M.M.; Garvey, M.; Piddock, L.J.; Gibbons, S. Antibacterial terpenes from the oleo-resin of Commiphora molmol (Engl.). Phytother. Res. 2008, 22, 1356–1360. [Google Scholar] [CrossRef]
- Battu, G.R.; Zeitlin, I.J.; Gray, A.I.; Waterman, P.G. Inhibitory actions on rat myeloperoxidease of molecules isolated from anti-inflammatory extracts of Commiphora kua. Br. J. Pharmacol. 1999, 128, U30. [Google Scholar]
- Matsuda, H.; Morikawa, T.; Ando, S.; Oominami, H.; Murakami, T.; Kimura, I.; Yoshikawa, M. Absolute stereostructures of polypodane-type triterpenes, myrrhanol A and myrrhanone A, from guggul-gum resin (the resin of Balsamodendron mukul). Chem. Pharm. Bull. 2004, 52, 1200–1203. [Google Scholar] [CrossRef]
- Kimura, I.; Yoshikawa, M.; Kobayashi, S.; Sugihara, Y.; Suzuki, M.; Oominami, H.; Murakami, T.; Matsuda, H.; Doiphode, V.V. New triterpenes, myrrhanol A and myrrhanone A, from guggul-gum resins, and their potent anti-inflammatory effect on adjuvant-induced air-pouch granuloma of mice. Bioorg. Med. Chem. Lett. 2001, 11, 985–989. [Google Scholar] [CrossRef]
- Manguro, L.O.; Ugi, I.; Lemmen, P. Dammarane triterpenes of Commiphora confusa resin. Chem. Pharm. Bull. 2003, 51, 483–486. [Google Scholar] [CrossRef]
- Shen, T.; Yuan, H.Q.; Wan, W.Z.; Wang, X.L.; Wang, X.N.; Ji, M.; Lou, H.X. Cycloartane-type triterpenoids from the resinous exudates of Commiphora opobalsamum. J. Nat. Prod. 2008, 71, 81–86. [Google Scholar] [CrossRef] [PubMed]
- Bajaj, A.G.; Tetrahedron, S.D.J. Chemistry of ayurvedic crude drugs—V: Guggulu (resin from commiphora mukul)—5 some new steroidal components and, stereochemistry of guggulsterol-I at C-20 and C-22. Tetrahedron 1982, 38, 2949–2954. [Google Scholar] [CrossRef]
- Meselhy, M.R. Inhibition of LPS-induced NO production by the oleogum resin of Commiphora wightii and its constituents. Phytochemistry 2003, 62, 213–218. [Google Scholar] [CrossRef]
- Dekebo, A.; Lang, M.; Polborn, K.; Dagne, E.; Steglich, W. Four lignans from Commiphora erlangeriana. J. Nat. Prod. 2002, 65, 1252–1257. [Google Scholar] [CrossRef] [PubMed]
- Provan, G.J.; Waterman, P.G. Picropolygamain: A New Lignan from Commiphora incisa Resin 1,2. Planta Med. 1985, 51, 271–272. [Google Scholar] [CrossRef]
- Kim, D.G.; Bae, G.S.; Choi, S.B.; Jo, I.J.; Shin, J.Y.; Lee, S.K.; Kim, M.J.; Jeong, H.W.; Choi, C.M.; Seo, S.H.; et al. Guggulsterone attenuates cerulein-induced acute pancreatitis via inhibition of ERK and JNK activation. Int. Immunopharmacol. 2015, 26, 194–202. [Google Scholar] [CrossRef] [PubMed]
- Duwiejua, M.; Zeitlin, I.J.; Waterman, P.G.; Chapman, J.; Mhango, G.J.; Provan, G.J. Anti-inflammatory activity of resins from some species of the plant family Burseraceae. Planta Med. 1993, 59, 12–16. [Google Scholar] [CrossRef]
- Bellezza, I.; Mierla, A.; Grottelli, S.; Marcotullio, M.C.; Messina, F.; Roscini, L.; Cardinali, G.; Curini, M.; Minelli, A. Furanodien-6-one from Commiphora erythraea inhibits the NF-κB signalling and attenuates LPS-induced neuroinflammation. Mol. Immunol. 2013, 54, 347–354. [Google Scholar] [CrossRef]
- Yao, Y.Q.; Ding, X.; Jia, Y.C.; Huang, C.X.; Wang, Y.Z.; Xu, Y.H. Anti-tumor effect of beta-elemene in glioblastoma cells depends on p38 MAPK activation. Cancer Lett. 2008, 264, 127–134. [Google Scholar] [CrossRef]
- Gao, W.; Su, X.; Dong, X.; Chen, Y.; Zhou, C.; Xin, P.; Yu, C.; Wei, T. Cycloartan-24-ene-1alpha,2alpha,3beta-triol, a cycloartane-type triterpenoid from the resinous exudates of Commiphora myrrha, induces apoptosis in human prostatic cancer PC-3 cells. Oncol. Rep. 2015, 33, 1107–1114. [Google Scholar] [CrossRef]
- Mahmoud, A.M.; Zaki, A.R.; Hassan, M.E.; Mostafa-Hedeab, G. Commiphora molmol resin attenuates diethylnitrosamine/phenobarbital-induced hepatocarcinogenesis by modulating oxidative stress, inflammation, angiogenesis and Nrf2/ARE/HO-1 signaling. Chem. Biol. Interact. 2017, 270, 41–50. [Google Scholar] [CrossRef]
- Shishodia, S.; Azu, N.; Rosenzweig, J.A.; Jackson, D.A. Guggulsterone for Chemoprevention of Cancer. Curr. Pharm. Des. 2016, 22, 294–306. [Google Scholar] [CrossRef]
- Shi, J.J.; Jia, X.L.; Li, M.; Yang, N.; Li, Y.P.; Zhang, X.; Gao, N.; Dang, S.S. Guggulsterone induces apoptosis of human hepatocellular carcinoma cells through intrinsic mitochondrial pathway. World J. Gastroenterol. 2015, 21, 13277–13287. [Google Scholar] [CrossRef]
- Dolara, P.; Luceri, C.; Ghelardini, C.; Monserrat, C.; Aiolli, S.; Luceri, F.; Lodovici, M.; Menichetti, S.; Romanelli, M.N. Analgesic effects of myrrh. Nature 1996, 379, 29. [Google Scholar] [CrossRef]
- Mehta, A.K.; Tripathi, C.D. Commiphora mukul attenuates peripheral neuropathic pain induced by chronic constriction injury of sciatic nerve in rats. Nutr. Neurosci. 2015, 18, 97–102. [Google Scholar] [CrossRef]
- Germano, A.; Occhipinti, A.; Barbero, F.; Maffei, M.E. A Pilot Study on Bioactive Constituents and Analgesic Effects of MyrLiq(R), a Commiphora myrrha Extract with a High Furanodiene Content. BioMed Res. Int. 2017, 2017, 3804356. [Google Scholar] [CrossRef]
- Chen, T.; Su, S.L.; Duan, J.A.; Shang, E.X.; Qian, D.W.; Tang, Y.P. Change in dissolution of chemical components of frankincense-myrrh before and after their compatibility and effect on no release of LPS-induced macrophage cells. China J. Chin. Mater. Med. 2013, 38, 179–185. [Google Scholar]
- Xiang, X.; Pan, C.R.; Gao, R.M.; Su, S.L.; Zeng, H.T.; Zhu, Z.H.; Qian, D.W.; Duan, J.A. Dissolution of the chemical components in combination of frankincense with myrrha based on UPLC-TQ/MS method. J. Pharm. Anal. 2018, 38, 590–597. [Google Scholar]
- Wang, Y.Y.; Wang, T.J.; SU, S.L.; Duan, J.A.; Fu, X.H. Study on Chemical Constituents of Volatile Oils in Drug Pair of Frankincense and Myrrh by GC-MS. Res. Pract. Chin. Med. 2011, 25, 31–34. [Google Scholar]
- Su, S.; Hua, Y.; Wang, Y.; Gu, W.; Zhou, W.; Duan, J.A.; Jiang, H.; Chen, T.; Tang, Y. Evaluation of the anti-inflammatory and analgesic properties of individual and combined extracts from Commiphora myrrha, and Boswellia carterii. J. Ethnopharmacol. 2012, 139, 649–656. [Google Scholar] [CrossRef]
- Su, S.; Duan, J.; Chen, T.; Huang, X.; Shang, E.; Yu, L.; Wei, K.; Zhu, Y.; Guo, J.; Guo, S.; et al. Frankincense and myrrh suppress inflammation via regulation of the metabolic profiling and the MAPK signaling pathway. Sci. Rep. 2015, 5, 13668. [Google Scholar] [CrossRef]
- Hu, D.; Wang, C.; Li, F.; Su, S.; Yang, N.; Yang, Y.; Zhu, C.; Shi, H.; Yu, L.; Geng, X.; et al. A Combined Water Extract of Frankincense and Myrrh Alleviates Neuropathic Pain in Mice via Modulation of TRPV1. Neural Plast. 2017, 2017, 3710821. [Google Scholar] [CrossRef]
- Cheng, S.S.; Qin, X.H.; Jin, S.R.; Qian, N. The comparative study on the antitumous effects of Xihuang pills, Frankincense, Myrrh, and combination of Frankincense and Myrrh on diverse human malignant tumor cells in vitro. Pharmacol. Clin. Chin. Mater. Med. 2016, 32, 102–104. [Google Scholar]
- Qin, X.H.; Jin, S.R.; Xiao, H.; Cheng, S.; Qian, N. Antitumotm effects of receptor tyrosine kinase on SMMC 7721 and HL-60 by Ru-Mo pair. Pharmacol. Clin. Chin. Mater. Med. 2015, 6, 122–124. [Google Scholar]
- Xu, C.; Lu, X.; Liu, W.; Chen, A.; Meng, G.; Zhang, H.; Li, B.; Zhang, Y.; Wu, J.; Wei, J. CD8(+) T cells mediate the antitumor activity of frankincense and myrrh in hepatocellular carcinoma. J. Transl. Med. 2018, 16, 132. [Google Scholar] [CrossRef]
- De Rapper, S.; Van Vuuren, S.F.; Kamatou, G.P.; Viljoen, A.M.; Dagne, E. The additive and synergistic antimicrobial effects of select frankincense and myrrh oils—A combination from the pharaonic pharmacopoeia. Lett. Appl. Microbiol. 2012, 54, 352–358. [Google Scholar] [CrossRef]
- Jiang, H.F.; Su, S.L.; Ouyang, Z.; Zhou, W.; Hua, Y.Q.; Duan, J.A.; Tang, Y.P. Effect of Extracts from Olibanum and Myrrha and Their Compatibility on Platelet Aggregation and Antithrombin Activity. Chin. J. Exp. Tradit. Med. Formul. 2011, 19, 160–165. [Google Scholar]
- Zhu, X.F.; Luo, J.; Guan, Y.M.; Yu, Y.T.; Jin, C.; Zhu, W.F.; Liu, H.N. Effects of Frankincense and Myrrh essential oil on transdermal absorption in vitro of Chuanxiong and penetration mechanism of skin blood flow. China J. Chin. Mater. Med. 2017, 42, 680–685. [Google Scholar]
- Guan, Y.M.; Tao, L.; Zhu, X.F.; Zang, Z.Z.; Jin, C.; Chen, L.H. Effects of Frankincense and Myrrh essential oil on transdermal absorption of ferulic acid in Chuanxiong. China J. Chin. Mater. Med. 2017, 42, 3350–3355. [Google Scholar]
- Marongiu, B.; Piras, A.; Porcedda, S.; Scorciapino, A. Chemical composition of the essential oil and supercritical CO2 extract of Commiphora myrrha (Nees) Engl. and of Acorus calamus L. J. Agric. Food Chem. 2005, 53, 7939–7943. [Google Scholar] [CrossRef]
- Schadt, E.E.; Friend, S.H.; Shaywitz, D.A. A network view of disease and compound screening. Nat. Rev. Drug Discov. 2009, 8, 286–295. [Google Scholar] [CrossRef]
- Li, X.; Qin, G.; Yang, Q.; Chen, L.; Xie, L. Biomolecular Network-Based Synergistic Drug Combination Discovery. BioMed Res. Int. 2016, 2016, 8518945. [Google Scholar] [CrossRef]










| No. | Chemical Class | Chemical Name | Plant Sources | Ref. |
|---|---|---|---|---|
| 1 | Pentacyclic triterpenes | β-boswellic acid | Boswellia carterii; Boswellia serrata | [22] |
| 2 | acetyl-β-boswellic acid | Boswellia carterii; Boswellia serrata | [23] | |
| 3 | 11-keto-β-boswellic acid | Boswellia carterii; Boswellia serrata | [24] | |
| 4 | 3-acetyl-11-keto-β-boswellic acid | Boswellia carterii; Boswellia serrata | [25] | |
| 5 | 3α-acetyl-11-methoxy-12-ursane ene-24-acid | Boswellia serrata | [26] | |
| 6 | acetyl-11- hydroxyl-β-boswellic acid | Boswellia carterii | [27] | |
| 7 | urs-12-ene-3,23-diol | Boswellia serrata | [28] | |
| 8 | urs-12-ene-3,23-diol, diacetate | Boswellia carterii; Boswellia serrata | [28] | |
| 9 | 3β-hydroxy-24-norurs-12-en-4-ylmethyl | Boswellia carterii; Boswellia serrata | [29] | |
| 10 | acetyl-11-α-methoxy-β-boswellic acid | Boswellia serrata | [26] | |
| 11 | 2α,3α-dihydroxyurs-12-ene-24-oic acid | Boswellia serrata | [28] | |
| 12 | urs-12-ene-23-oic acid | Boswellia. serrata | [28] | |
| 13 | 9,11-dehydro-β-boswellic acid | Boswellia serrata | [30] | |
| 14 | 3α-acetyl-9,11-dehydro-β-boswellic acid | Boswellia carterii; Boswellia serrata | [31] | |
| 15 | α-amyrin | Boswellia carterii; Boswellia serrata | [32] | |
| 16 | 3α,20β,18Hβ-ursane diol | Boswellia serrata | [33] | |
| 17 | α-boswellic acid | Boswellia carterii; Boswellia serrata | [34] | |
| 18 | acetyl-α-boswellic acid | Boswellia carterii; Boswellia serrata | [27] | |
| 19 | 9, 11-dehydro-α-boswellic acid | Boswellia carterii; Boswellia serrata | [35] | |
| 20 | 3-acetyl-9,11-dehydro-α-boswellic acid | Boswellia serrata | [35] | |
| 21 | lupeol | Boswellia carterii | [36] | |
| 22 | lupeolacetate | Boswellia carterii | [36] | |
| 23 | acetyl lupeolic acid | Boswellia carterii | [30] | |
| 24 | epilupeol | Boswellia serrata | [35] | |
| 25 | lupeolic acid | Boswellia carterii | [36] | |
| 26 | Tetracyclic triterpenoids | acetyl-α-elemolic acid | Boswellia serrata | [37] |
| 27 | 3β-hydroxy-tirucalla-8,24-dien-21-oic acid | Boswellia carterii; Boswellia serrata | [30] | |
| 28 | 3α-hydroxy-tirucalla-8,24-dien-21-oic acid | Boswellia carterii; Boswellia serrata | [30] | |
| 29 | elemolic acid | Boswellia carterii; Boswellia serrata | [37] | |
| 30 | 3-oxo-tirucallic acid | Boswellia carterii; Boswellia serrata | [38] | |
| 31 | 3α-hydroxy-tirucalla-7,24-dien-21-oic acid | Boswellia carterii; Boswellia serrata | [39] | |
| 32 | 3-keto-tirucalla-8,24-dien-21-oic acid | Boswellia carterii; Boswellia serrata | [37] | |
| 33 | kanziol | Boswellia carterii | [36] | |
| 34 | 3-methoxy-tirucalla-7,9(11),24-trien-21-oic acid | Boswellia carterii; Boswellia serrata | [33] | |
| 35 | 3α-hydroxy-tirucalla-24-ene-21-oic acid | Boswellia carterii; Boswellia. serrata | [33] | |
| 36 | 3,4-secours-12-en-3-oic acid | Boswellia carterii | [40] | |
| 37 | 3α-keto-tirucalla-24-ene-21-oic acid | - | [41] | |
| 38 | Macrocyclic diterpenoids | cembrene | Boswellia carterii | [42] |
| 39 | cembrene C | Boswellia carterii; Boswellia serrata | [43] | |
| 40 | cembrene A | Boswellia carterii; Boswellia serrata | [43] | |
| 41 | serratol | Boswellia serrata | [37] | |
| 42 | sarcophytol | Boswellia carterii; Boswellia serrata | [37] | |
| 43 | 3,7,11-cyclotetradecatrien-1-ol-4,8,12-trimethyl-1-(1-methylethyl)-acetate | Boswellia carterii; Boswellia serrata | [37] | |
| 44 | incensole | Boswellia carterii; Boswellia serrata | [42] | |
| 45 | incensole acetate | Boswellia carterii; Boswellia serrata | [44] | |
| 46 | lncensole-oxide | Boswellia. carterii; Boswellia serrata | [45] | |
| 47 | acetyl incensole-oxide | Boswellia carterii; Boswellia serrata | [43] | |
| 48 | isoincensolol | Boswellia carterii; Boswellia serrata | [43] | |
| 49 | isoincensolol acetate | Boswellia carterii; Boswellia serrata | [46] | |
| 50 | isoincensolol-oxide | Boswellia carterii; Boswellia serrata | [45] | |
| 51 | verticilla-4(20),7,11-triene | Boswellia carterii; Boswellia serrata | [43] | |
| 52 | Essential oils | α-pinene | Boswellia carterii; Boswellia serrata | [47] |
| 53 | β-pinene | Boswellia carterii; Boswellia serrata | [42] | |
| 54 | camphene | Boswellia carterii; Boswellia serrata | [42] | |
| 55 | α-thujene | Boswellia carterii; Boswellia serrata | [42] | |
| 56 | sabinene | Boswellia carterii; Boswellia serrata | [42] | |
| 57 | myrcene | Boswellia carterii; Boswellia serrata | [43] | |
| 58 | p-cymene | Boswellia carterii; Boswellia serrata | [43] | |
| 59 | limonene | Boswellia carterii; Boswellia serrata | [43] | |
| 60 | α-phellandrene | Boswellia carterii; Boswellia serrata | [43] | |
| 61 | linalool | Boswellia carterii; Boswellia serrata | [43] | |
| 62 | octyl acetate | Boswellia carterii; Boswellia serrata | [48] | |
| 63 | 1-octanol | Boswellia carterii; Boswellia serrata | [49] |
| Pharmacological Effects | Extracts or Compounds | Mechanism |
|---|---|---|
| Anti-inflammatory | KBA (3) | ↓ 5-LO, ↓ HLE |
| Extract of frankincense | ↓ 5-LOX | |
| AKBA (3) and Arsenic trioxide | ↓ MMP-1, MMP-2, MMP-9 ; ↓ TNF-α; ↓ IL-β | |
| Extract of frankincense | ↓ Proinflammatory cytokines | |
| Bas | ↓ Antimicrobial peptide LL-37 | |
| Frankincense oil extract | ↓ COX-2; Inhibiting inflammatory infiltration induced by noxious stimulation | |
| Anticancer | Frankincense oil | Specifically blocking the growth cycle of J82 cells |
| Frankincense oil | ↑ bax/bcl-2 | |
| Frankincense oil | Regulating of AMPK/mTOR pathway | |
| incensole acetate (45); incensole (44) | — | |
| incensole acetate (45) | — | |
| AKBA (4) | ↓ NF-κB | |
| AKBA (4) | ↓ VEGFR2 | |
| AKBA (4) | — | |
| AKBA (4) | ↑ DR5 | |
| AKBA (4) | ↓ CXCR4 | |
| AKBA (4) | Demethylation and reactivation of methylation silenced tumor suppressor genes | |
| KBA (3) | — | |
| KBA (3) | — | |
| KBA (3) | ↑ let-7, ↑ miR-200microRNA | |
| Antiulcer | AKBA (4) | ↓ MMPs |
| Improving memory | Frankincense oil extract | — |
| Antioxidant | Bas | Regulating the Nrf2/HO-1 pathway |
| No. | Chemical Class | Chemical Name | Plant Sources | Ref. |
|---|---|---|---|---|
| 64 | Monoterpenes | limonene | Commiphora quadricincta | [71] |
| 65 | cis-β-ocimene | Commiphora quadricincta | [71] | |
| 66 | eugenol | Commiphora mukul | [72] | |
| 67 | trans-β-ocimene | Commiphora tenuis | [73] | |
| 68 | (2Z)-3,7-dimethyl-2,6-octadienal | Commiphora tenuis | [73] | |
| 69 | α-thujone | Commiphora tenuis | [73] | |
| 70 | Sesquiterpenes | β-elemene | Commiphora myrrha | [74] |
| 71 | T-cadinol | Commiphora guidottii | [75] | |
| 72 | furanocudesma-1,3-diene | Commiphora myrrha | [76] | |
| 73 | lindestrene | Commiphora myrrha | [76] | |
| 74 | curzerene | Commiphora myrrha | [77] | |
| 75 | myrrhone | Commiphora myrrha; Commiphora opobalsamum | [78] | |
| 76 | rel-1S,2S-epoxy-4R-furanogermacr-10(15)-en-6-one | Commiphora myrrha | [79] | |
| 77 | furanodiene | Commiphora myrrha | [80] | |
| 78 | 1(10), 4-furanodien-6-one | Commiphora erythraea | [81] | |
| 79 | guaianediol | Commiphora opobalsamum | [82] | |
| 80 | β-bisabolene | Commiphora guidottii | [83] | |
| 81 | Diterpenoids | (dl)-cembrene A | Commiphora mukul | [84] |
| 82 | (1E,4E,8E)-4,8,14-trimethyl-11-(1-methylethyl)-14-methoxycyclotetradeca-1,4,8-triene | Commiphora mukul | [85] | |
| 83 | sandaracopimaric acid | Commiphora myrrha | [86] | |
| 84 | abietic acid | Commiphora myrrha | [86] | |
| 85 | dehydroabietic acid | Commiphora myrrha | [86] | |
| 86 | Triterpenoids | β-amyrin | Commiphora kua; Commiphora confuse | [87] |
| 87 | cycloartan-24-ene-1α,2α,3β-triol | Commiphora opobalsamum | [82] | |
| 88 | 3-epi-α-amirone | Commiphora myrrha | [76] | |
| 89 | mansumbinone | Commiphora myrrha | [76] | |
| 90 | 3,4-seco-mansumbinoic acid | Commiphora molmol | [88] | |
| 91 | mansumbinoic acid | Commiphorakua | [89] | |
| 92 | myrrhanone A | Commiphora mukul | [90] | |
| 93 | myrrhanone B | Commiphora mukul | [91] | |
| 94 | 3β-hydroxydammar-24-ene | Commiphora confuse | [92] | |
| 95 | 3β-acetoxycycloartan-24-ene-1α,2α-diol | Commiphora opobalsamum | [93] | |
| 96 | Steroids | (Z)-guggulsterone | Commiphora mukul | [94] |
| 97 | (E)-guggulsterone | Commiphora mukul | [94] | |
| 98 | guggulsterone-M | Commiphora wightii | [95] | |
| 99 | guggulsterol-Y | Commiphora wightii | [95] | |
| 100 | pregn-4-ene-3,16-dione | Commiphora mukul | [85] | |
| 101 | β-sitosterol | Commiphora sphaerocarpa | [93] | |
| 102 | Lignans | erlangerins A | Commiphora erlangeriana | [96] |
| 103 | erlangerins B | Commiphora erlangeriana | [96] | |
| 104 | (+)-sesamin | Commiphora mukul | [84] | |
| 105 | picropolygamain | Commiphora incisa | [97] | |
| 106 | polygamain | Commiphora incisa | [97] | |
| 107 | diayangambin | Commiphora mukul | [90] |
| Pharmacological Effects | Extracts or Compounds | Mechanisms |
|---|---|---|
| Anti-inflammatory | guggulsterone (96, 97) | ↓ ERK, ↓ JNK |
| mansumbinoic acid (91) | — | |
| 1(10), 4-furanodien-6-one (78) | ↓ NF-κB | |
| Anticancer | β-elemene (70) | ↑ p38MAPK |
| rel-1S,2S-epoxy-4R-furanogermacr-10(15)-en-6-one (76) | — | |
| β-bisabolene (80) | — | |
| cycloartan-24-ene-1α,2α,3β-triol (95) | — | |
| Extract of myrrh | ↑ Nrf2/HO-1; Reducing inflammation, angiogenesis, and oxidative stress | |
| guggulsterone (96, 97) | ↓ IAP1, xIAP, Bfl-1/A1, Bcl-2, cFLIP and survivin | |
| guggulsterone (96, 97) | Activation of intrinsic mitochondria pathway | |
| Analgesic effect | furanocudesma-1,3-diene (72); curzerene (74) | Action on opioid receptors in the brain |
| Extract of myrrh | — | |
| Extract of myrrh | — | |
| Antibacterial | Myrrh essential oil | — |
| 3,4-seco-man-sumbinoic acid (90) | — |
© 2019 by the authors. Licensee MDPI, Basel, Switzerland. This article is an open access article distributed under the terms and conditions of the Creative Commons Attribution (CC BY) license (http://creativecommons.org/licenses/by/4.0/).
Share and Cite
Cao, B.; Wei, X.-C.; Xu, X.-R.; Zhang, H.-Z.; Luo, C.-H.; Feng, B.; Xu, R.-C.; Zhao, S.-Y.; Du, X.-J.; Han, L.; et al. Seeing the Unseen of the Combination of Two Natural Resins, Frankincense and Myrrh: Changes in Chemical Constituents and Pharmacological Activities. Molecules 2019, 24, 3076. https://doi.org/10.3390/molecules24173076
Cao B, Wei X-C, Xu X-R, Zhang H-Z, Luo C-H, Feng B, Xu R-C, Zhao S-Y, Du X-J, Han L, et al. Seeing the Unseen of the Combination of Two Natural Resins, Frankincense and Myrrh: Changes in Chemical Constituents and Pharmacological Activities. Molecules. 2019; 24(17):3076. https://doi.org/10.3390/molecules24173076
Chicago/Turabian StyleCao, Bo, Xi-Chuan Wei, Xiao-Rong Xu, Hai-Zhu Zhang, Chuan-Hong Luo, Bi Feng, Run-Chun Xu, Sheng-Yu Zhao, Xiao-Juan Du, Li Han, and et al. 2019. "Seeing the Unseen of the Combination of Two Natural Resins, Frankincense and Myrrh: Changes in Chemical Constituents and Pharmacological Activities" Molecules 24, no. 17: 3076. https://doi.org/10.3390/molecules24173076
APA StyleCao, B., Wei, X.-C., Xu, X.-R., Zhang, H.-Z., Luo, C.-H., Feng, B., Xu, R.-C., Zhao, S.-Y., Du, X.-J., Han, L., & Zhang, D.-K. (2019). Seeing the Unseen of the Combination of Two Natural Resins, Frankincense and Myrrh: Changes in Chemical Constituents and Pharmacological Activities. Molecules, 24(17), 3076. https://doi.org/10.3390/molecules24173076
