Phytochemical Analysis, Biochemical and Mineral Composition and GC-MS Profiling of Methanolic Extract of Chinese Arrowhead Sagittaria trifolia L. from Northeast China
Abstract
1. Introduction
- presence of phytoconstituents,
- quantification of phenol and flavonoids content,
- antioxidants activity, biochemical and proximate analysis,
- chemical composition of crude extract of leaves of S. trifolia populations.
2. Results
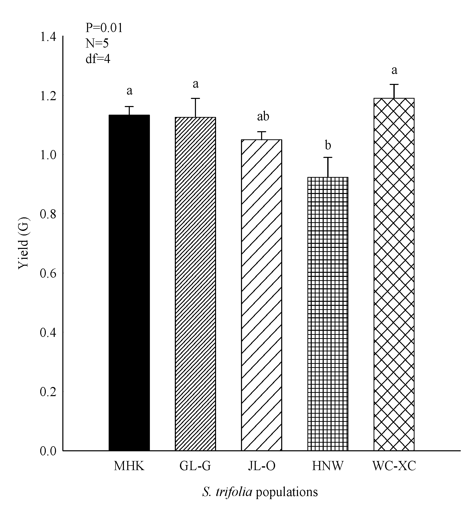
2.1. Extract Yield (%)
2.2. Qualitative Analysis
2.3. Quantitative Analysis
2.3.1. Total Phenolic Content (TPC) and Total Flavonoids Content (TFC)
2.3.2. DPPH Radical Scavenging Activity
2.4. Gas Chromatography-Mass Spectrometry (GC-MS) Analysis
2.5. Biochemical and Mineral Composition
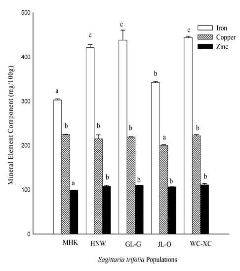
2.6. Mineral Composition (%)
3. Discussions
4. Materials and Methods
4.1. Samples Collection
4.2. Herb Cultivation
4.3. Preparation of Material
4.4. Phytochemical Analysis
Qualitative Analysis
4.5. Quantitative Analysis
4.5.1. Total Phenolic Content (TPC)
4.5.2. Total Flavonoids Content (TFC)
4.5.3. DPPH Radical Scavenging Activity
4.6. Gas Chromatography-Mass Spectrophotometry (GC-MS) Analysis
4.7. Biochemical Composition and Mineral Analysis
4.8. Mineral Element Composition
4.9. Statistical Analysis
5. Conclusions
Author Contributions
Funding
Acknowledgments
Conflicts of Interest
References
- Chiavaroli, V.; Giannini, C.; De Marco, S.; Chiarelli, F.; Mohn, A. Unbalanced oxidant–antioxidant status and its effects in pediatric diseases. Redox Rep. 2011, 16, 101–107. [Google Scholar] [CrossRef] [PubMed]
- Liu, Z.; Ren, Z.; Zhang, J.; Chuang, C.-C.; Kandaswamy, E.; Zhou, T.; Zuo, L. Role of ROS and nutritional antioxidants in human diseases. Front. Physiol. 2018, 9, 477. [Google Scholar] [CrossRef] [PubMed]
- Yamagishi, S.-I.; Matsui, T. Nitric oxide, a janus-faced therapeutic target for diabetic microangiopathy—Friend or foe? Pharmacol. Res. 2011, 64, 187–194. [Google Scholar] [CrossRef] [PubMed]
- Wu, Y.-Y.; Li, W.; Xu, Y.; Jin, E.-H.; Tu, Y.-Y. Evaluation of the antioxidant effects of four main theaflavin derivatives through chemiluminescence and DNA damage analyses. J. Zhejiang Univ. Sci. B 2011, 12, 744. [Google Scholar] [CrossRef] [PubMed]
- Gülcin, I. Antioxidant activity of food constituents: An overview. Arch. Toxicol. 2012, 86, 345–391. [Google Scholar] [PubMed]
- John, B.; Sulaiman, C.; George, S.; Reddy, V. Total phenolics and flavonoids in selected medicinal plants from Kerala. Int. J. Pharm. Pharm. Sci. 2014, 6, 406–408. [Google Scholar]
- Dhellot, J.R.; Matouba, E.; Maloumbi, M.G.; Nzikou, J.M.; Ngoma, D.G.S.; Linder, M.; Desobry, S.; Parmentier, M. Extraction, chemical composition and nutrional characterization of vegetable oils: Case of Amaranthus hybridus (var 1 and 2) of Congo Brazzaville. Afr. J. Biotechnol. 2006, 5, 1095–1101. [Google Scholar]
- Bruijnzeel, L.A.; Scatena, F.N.; Hamilton, L.S. Tropical Montane Cloud Forests: Science for Conservation and Management; Cambridge University Press: Cambridge, UK, 2011. [Google Scholar]
- Li, L.; Pegg, R.B.; Eitenmiller, R.R.; Chun, J.-Y.; Kerrihard, A.L. Selected nutrient analyses of fresh, fresh-stored, and frozen fruits and vegetables. J. Food Compos. Anal. 2017, 59, 8–17. [Google Scholar] [CrossRef]
- Adekunle, A.A.; Ikumapayi, A.M. Antifungal property and phytochemical screening of the crude extracts of Funtumia elastica and Mallotus oppositifolius. West. Indian Med. J. 2006, 55, 219–223. [Google Scholar] [CrossRef]
- Chang, S.M. Characterization of starch from Sagittaria trifolia L. var. sinensis Makino. J. Food Sci. 1988, 53, 837–840. [Google Scholar] [CrossRef]
- Lim, T.K. Sagittaria trifolia. In Edible Medicinal and NonMedicinal Plants; Springer: Berlin, Gemany, 2015; pp. 96–102. [Google Scholar]
- Lii, C.Y.; Chang, S.M. Characterization of red bean (Phaseolus radiatus var. Aurea) starch and its noodle quality. J. Food Sci. 1981, 46, 78–81. [Google Scholar] [CrossRef]
- Hannapel, D.J. Characterization of the early events of potato tuber development. Physiol. Plant 1991, 83, 568–573. [Google Scholar] [CrossRef]
- MacLeod, R.A.F.; Dirks, W.G.; Matsuo, Y.; Kaufmann, M.; Milch, H.; Drexler, H.G. Widespread intraspecies cross-contamination of human tumor cell lines arising at source. Int. J. Cancer 1999, 83, 555–563. [Google Scholar] [CrossRef]
- Ershow, A.G.; Wong-Chen, K. Chinese food composition tables An annotated translation of the 1981 edition published by the Institute of Nutrition and Food Hygiene, Chinese Academy of Preventive Medicine, Beijing. J. Food Compos. Anal. 1990, 3, 191–434. [Google Scholar] [CrossRef]
- Tanaka, Y.; Nguyen, V.K. Edible Wild Plants of Vietnam; Orchid Press: Bangkok, Thailand, 2007. [Google Scholar]
- Li, S.; Zhou, Y.; Hu, C.; Zhang, X. Water purification by hydrophytes and change of microorganism in root zone and water. Environ. Sci. Technol. 2009, 32, 75–80. [Google Scholar]
- Duke, J.A.; Ayensu, E.S. Medicinal Plants of China; Reference Publications: Cambridge, MA, USA, 1985; Volume 2. [Google Scholar]
- Wu Leung, W.; Rauanheimo, B.R.; Huang, C.F.; Narayana, R.M.; Polacchi, W. Food Composition Table for Use in Eastern Asia; Food & Agriculture Org.: Rome, Italy, 1972. [Google Scholar]
- Xiangwei, Z.; Xiaodong, W.; Peng, N.; Yang, Z.; JiaKuan, C. Chemical composition and antimicrobial activity of the essential oil of Sagittaria trifolia. Chem. Nat. Compd. 2006, 42, 520–522. [Google Scholar] [CrossRef]
- Sugimoto, Y.; Shirai, Y.; Nakayama, M.; Tanimoto, T.; Inouchi, N.; Konishi, Y.; Fuwa, H. Structure and some physico-chemical characteristics of tuber starch of three cultivars of Chinese arrowhead and their six F1 lines. J. Appl. Glycosci. 2001, 48, 115–122. [Google Scholar] [CrossRef][Green Version]
- Li, T.S. Vegetables and Fruits: Nutritional and Therapeutic Values; CRC Press: Boca Raton, FL, USA, 2008. [Google Scholar]
- Xue-Ting, L.; Yao, S.; Liang, J.-Y.; Zhi-Da, M. Antibacterial ent-rosane and ent-kaurane diterpenoids from Sagittaria trifolia var. sinensis. Chin. J. Nat. Med. 2009, 7, 341–345. [Google Scholar]
- Rao, A.; Vageshwari; Pandey, V. Evaluation of total phenolic, flavonoid and antioxidant activity of Sagittariasagittifolia L. Int. Res. J. Pharm. 2019, 10, 85–88. [Google Scholar] [CrossRef]
- Awang, M.A.; Aziz, R.; Sarmidi, M.R.; Abdullah, L.; Yong, P.; Musa, N. Comparison of different solvents on the extraction of Melastoma malabathricum leaves using soxhlet extraction method. Pharm. Lett. 2017, 8, 153–157. [Google Scholar]
- Rao, A.; Pandey, V. Phytochemical screening of tubers and leaf extracts of Sagittariasagittifolia L.: News a (Arrowhead). Int. J. Sci. Res. Publ. 2017, 7, 431–437. [Google Scholar]
- Ahmed, M.; Ji, M.; Peiwen, Q.; Liu, Y.; Gu, Z.; Sikandar, A.; Iqbal, M.; Javeed, A. Phytochemical screening, total phenolics and flavonoids content and antilxidant activities of Citrulluscolocynthis L. and Cannabissativa L. Appl. Ecol. Environ. Res. 2019, 17, 6961–6979. [Google Scholar] [CrossRef]
- Vasu, K.; Goud, J.V.; Suryam, A.; Charya, M.S. Biomolecular and phytochemical analyses of three aquatic angiosperms. Afr. J. Microbiol. Res. 2009, 3, 418–421. [Google Scholar]
- Saeed, N.; Khan, M.R.; Shabbir, M. Antioxidant activity, total phenolic and total flavonoid contents of whole plant extracts Torilis leptophylla L. BMC Complement. Altern. Med. 2012, 12, 221. [Google Scholar] [CrossRef]
- Agati, G.; Azzarello, E.; Pollastri, S.; Tattini, M. Flavonoids as antioxidants in plants: Location and functional significance. Plant Sci. 2012, 196, 67–76. [Google Scholar] [CrossRef] [PubMed]
- Lilan, O.; Pixian, S.; Ye, Z.; Zhang, C. Study on extraction of polysaccharides and antioxidant activity of Sagittaria sagittifolia L. Polysaccharide. Agric. Sci. Technol. 2017, 18, 724–732. [Google Scholar]
- Yoshikawa, M.; Yamaguchi, S.; Murakami, T.; Matsuda, H.; Yamahara, J.; Murakami, N. Absolute stereostructures of trifoliones A, B, C, and D, new biologically active diterpenes from the tuber of Sagittaria trifolia L. Chem. Pharm. Bull. 1993, 41, 1677–1679. [Google Scholar] [CrossRef][Green Version]
- Liu, X.-T.; Pan, Q.; Shi, Y.; Williams, I.D.; Sung, H.H.-Y.; Zhang, Q.; Liang, J.-Y.; Ip, N.Y.; Min, Z.-D. ent-Rosane and labdane diterpenoids from Sagittaria s agittifolia and their antibacterial activity against Three Oral Pathogens. J. Nat. Prod. 2006, 69, 255–260. [Google Scholar] [CrossRef] [PubMed]
- Thomas, A.; Matthäus, B.; Fiebig, H.J. Fats and fatty oils. Ullmann Encycl. Ind. Chem. 2000, 1–84. [Google Scholar] [CrossRef]
- Pandey, B.; Sharma, P. Structural insights into impact of Y134F mutation and discovery of novel fungicidal compounds against CYP51 in Puccinia triticina. J. Cell. Biochem. 2018, 119, 2588–2603. [Google Scholar] [CrossRef] [PubMed]
- Toyomasu, T.; Kawaide, H.; Ishizaki, A.; Shinoda, S.; Otsuka, M.; Mitsuhashi, W.; Sassa, T. Cloning of a full-length cDNA encoding ent-kaurene synthase from Gibberella fujikuroi: Functional analysis of a bifunctional diterpene cyclase. Biosci. Biotechnol. Biochem. 2000, 64, 660–664. [Google Scholar] [CrossRef] [PubMed]
- Pateraki, I.; Andersen-Ranberg, J.; Hamberger, B.; Heskes, A.M.; Martens, H.J.; Zerbe, P.; Bach, S.S.; Møller, B.L.; Bohlmann, J.; Hamberger, B. Manoyl oxide (13R), the biosynthetic precursor of forskolin, is synthesized in specialized root cork cells in Coleus forskohlii. Plant Physiol. 2014, 164, 1222–1236. [Google Scholar] [CrossRef] [PubMed]
- Rowinsky, M.; Eric, K. The development and clinical utility of the taxane class of antimicrotubule chemotherapy agents. Ann. Rev. Med. 1997, 48, 353–374. [Google Scholar] [CrossRef]
- Rydberg, J. Solvent Extraction Principles and Practice, Revised and Expanded; CRC Press: Boca Raton, FL, USA, 2004. [Google Scholar]
- Pavia, D.L.; Lampman, G.M.; Kriz, G.S.; Engel, R.G. Introduction to Organic Laboratory Techniques: A Small Scale Approach; Cengage Learning: Boston, MA, USA, 2005. [Google Scholar]
- Janson, L.W. BrewChem101: The Basics of Homebrewing Chemistry; Storey Publishing: North Adams, MA, USA, 1996. [Google Scholar]
- Brydson, J.A. PlasticsMaterials; Elsevier: Amsterdam, The Netherlands, 1999. [Google Scholar]
- Amorati, R.; Fumo, M.G.; Menichetti, S.; Mugnaini, V.; Pedulli, G.F. Electronic and hydrogen bonding effects on the chain-breaking activity of sulfur-containing phenolic antioxidants. J. Org. Chem. 2006, 71, 6325–6332. [Google Scholar] [CrossRef]
- United Stated Department of Agriculture. USDA National Nutrient Database for Standard Reference; Release 18; USDA: Washington, DC, USA, 2005.
- World Health Organization. CINDI Dietary Guide; WHO: Geneva, Switzerland, 2000. [Google Scholar]
- Ali, A. Proximate and mineral composition of the marchubeh (Asparagus officinalis). World Dairy Food Sci. 2009, 4, 142–149. [Google Scholar]
- National Academy of, S. Dietary Reference intakes for energy carbohydrate, fiber, fat, fatty acids, cholesterol, protein, and amino acids. J. Am. Diet. Assoc. 2003, 103, 563. [Google Scholar]
- Patricia, O.; Zoue, L.; Megnanou, R.-M.; Doue, R.; Niamke, S. Proximate composition and nutritive value of leafy vegetables consumed in Northern Côte d’Ivoire. Eur. Sci. J. ESJ 2014, 10, 212–227. [Google Scholar]
- Yisa, J.; Egila, J.N.; Darlinton, A.O. Chemical composition of Annona senegalensis from Nupe land, Nigeria. Afr. J. Biotechnol. 2010, 9, 4106–4109. [Google Scholar]
- Jenkin, D.J.A.; Jenkin, A.L.; Wolever, T.M.S.; Rao, A.V.; Thompson, L.U. Fibre and starchy foods: Gut function and implication in disease. Am. J. Gastroenterol. 1986, 81, 920–930. [Google Scholar]
- Mercola, J. Fatfor Fuel: A Revolutionary Diet to Combat Cancer, Boost Brain Power, and Increase Your Energy; Hay House Inc.: Carlsbad, CA, USA, 2017. [Google Scholar]
- Hassan, L.G.; Umar, K.J. Nutritional value of Balsam Apple (Momordica balsamina L.) leaves. Pak. J. Nutr. 2006, 5, 522–529. [Google Scholar]
- Ooi, D.-J.; Iqbal, S.; Ismail, M. Proximate composition, nutritional attributes and mineral composition of Peperomia pellucida L.(Ketumpangan Air) grown in Malaysia. Molecules 2012, 17, 11139–11145. [Google Scholar] [CrossRef] [PubMed]
- Ahuja, J.K.A.; Montville, J.B.; Omolewa-Tomobi, G.; Heendeniya, K.Y.; Martin, C.L.; Steinfeldt, L.C.; Anand, J.; Adler, M.E.; LaComb, R.P.; Moshfegh, A.J. USDA Food and Nutrient Database for Dietary Studies, 5.0–Documentation and User Guide; U.S. Department of Agriculture: Beltsvile, MA, USA, 2012.
- Kühn, L. Control of Cellular Iron Transportand Storageatthe Molecular Level; John Libbey & Company: London, UK, 1996. [Google Scholar]
- Siddiqui, A.A.; Ali, M. Practical Pharmaceutical Chemistry; CBS Publishers & Distributors: Delhi, India, 1997. [Google Scholar]
- Siddiqui, S.; Verma, A.; Rather, A.A.; Jabeen, F.; Meghvansi, M.K. Preliminary phytochemicals analysis of some important medicinal and aromatic plants. Adv. Biol. Res. 2009, 3, 188–195. [Google Scholar]
- Sofowora, A. Medicinal Plants and Traditional Medicine in Africa; Spectrum Books Limited: Ibadan, Nigeria, 1993. [Google Scholar]
- Trease, G.E.; Evans, W. Pharmacognosy; Baillier Tindall: Philadelphia, PA, USA, 2003; pp. 479–480. [Google Scholar]
- Iyengar, M. Study of Crude Drugs, 8th ed.; Power Press: Manipal, India, 1995. [Google Scholar]
- Yu, L.; Perret, J.; Harris, M.; Wilson, J.; Haley, S. Antioxidant properties of bran extracts from “Akron” wheat grown at different locations. J. Agric. Food Chem. 2003, 51, 1566–1570. [Google Scholar] [CrossRef] [PubMed]
- Sparkman, O.D. Identification of essential oil components by gas chromatography/quadrupole mass spectroscopy Robert, P. Adams. J. Am. Soc. Mass Spectrom. 2005, 16, 1902–1903. [Google Scholar] [CrossRef]
- The Scientific Association Dedicated to Analytical Excellence. Official Methods of Analysis of the Association of Official Analytical Chemists; The Scientific Association Dedicated to Analytical Excellence: Irvine, CA, USA, 2005. [Google Scholar]
- Association of Official Analytical Chemists (AOAC). Official Methods of the AOAC, 14th ed.; Association of Official Analytical Chemists: Rockwille, MD, USA, 1984. [Google Scholar]
- Asaolu, S.S.; Adefemi, O.S.; Oyakilome, I.G.; Ajibulu, K.E.; Asaolu, M.F. Proximate and mineral composition of Nigerian leafy vegetables. J. Food Res. 2012, 1, 214. [Google Scholar] [CrossRef]
- AOAC. Official Methods of Analysis; AOAC International: Arlington, VA, USA, 2000. [Google Scholar]
- AOAC. Official Method 996.06; AOAC International: Arlington, VA, USA, 2000; Volume 2. [Google Scholar]
Sample Availability: Samples of the compounds are available from the authors. |





| Treatments (Populations) | Phytochemical Constituents | ||||||||
|---|---|---|---|---|---|---|---|---|---|
| Alkaloids | Tannins | Glycosides | Terpenoids | Steroids | Flavonoids | Flavones | Phenols | Saponins | |
| MHK | − | + | + | − | + | + | + | + | + |
| GL-G | − | + | + | − | + | + | + | + | + |
| JL-O | − | + | + | − | + | + | + | + | + |
| HNW | − | + | + | − | + | + | + | + | + |
| WC-XC | − | + | + | − | + | + | + | + | + |
| Treatments (Populations) | Total Phenolic Content mg GAE/g | Total Flavonoids Content mg QE/g | DPPH Inhibition (%) |
|---|---|---|---|
| MHK | 2.307 ± 0.49 a | 12.263 ± 0.49 a | 77.347 ± 1.30 a |
| GL-G | 2.050 ± 0.61 ab | 10.690 ± 0.36 bc | 75.780 ± 0.37 a |
| JL-O | 1.370 ± 0.12 c | 9.210 ± 0.19 c | 63.670 ± 1.09 c |
| HNW | 1.883 ± 0.82 b | 10.390 ± 0.24 b | 71.233 ± 1.18 b |
| WC-XC | 2.090 ± 0.57 ab | 11.760 ± 0.20 a | 67.223 ± 1.74 c |
| Statistics | F = 19.611, p = 0.000 | F = 14.313, p = 0.000 | F = 29.257, p = 0.000 |
| summary | S.S = 1.491 | S.S = 16.743 | S.S = 523.743 |
| M.S = 4.314 | M.S = 130.936 | M.S = 0.373 | |
| DF = 4 | DF = 4 | DF = 4 |
| Peak. # | Name of Compound | Area % | M.F | M.W |
|---|---|---|---|---|
| 1 | Pentanoic acid, 2-[(phenylmethoxy) imino]-, trimethylsilyl ester | 7.08 | C15H23NO3Si | 293.43 |
| 2 | Ethyl isopropyl ether | 1.63 | C5H12O | 88.15 |
| 3 | Cyclohexadien-4-one-1-propiolic acid, methyl ester | 0.57 | C10H12O3 | 180.20 |
| 4 | 2,6-Dimethoxytoluene | 0.42 | C9H12O2 | 152.19 |
| 5 | Ethyl Propyl Ketone | 0.35 | C6H12O | 100.16 |
| 6 | 2-Oxiranecarboxylic acid, 3-(2,2-dimethoxyethyl)-3-methyl-, methyl ester | 1.33 | C9H16O5 | 204.22 |
| 7 | Methyl valerate | 0.61 | C6H12O2 | 116.16 |
| 8 | Furfural/Furaldehyde | 2.87 | C5H4O2 | 96.08 |
| 9 | 3-Methoxyphenyl isocyanate | 3.09 | C8H7NO2 | 149.14 |
| 10 | 2-Methylbenzoic acid, pentafluorobenzyl ester | 1.04 | C15H9F5O2 | 316.22 |
| 11 | Benzoic acid, 4-hydroxy-2-methoxy-3,5,6-trimethyl-, methyl ester | 0.42 | C12H16O4 | 224.25 |
| 12 | Methylhexanoate | 0.28 | C7H14O2 | 130.18 |
| 13 | Dihydromesoanthramine | 0.46 | C14H13N | 195.26 |
| 14 | Methyl Thenoate | 1.62 | C6H6O2S | 142.17 |
| 15 | Octamethylcyclotetrasiloxane | 0.22 | C8H24O4Si4 | 296.61 |
| 16 | 2-(2-Furyl)-7-methyl-4-quinolinecarboxylic acid | 0.62 | C15H11NO3 | 253.25 |
| 17 | 1,3,5,7-Tetraethyl-1-methoxycyclotetrasiloxane | 0.46 | C9H23O5Si4 | 323.61 |
| 18 | Hendecane | 0.25 | C11H24 | 156.31 |
| 19 | Methylbenzoate | 0.71 | C8H8O2 | 136.15 |
| 20 | MethylOctanoate | 0.43 | C9H18O2 | 158.24 |
| 21 | Dodecane | 1.91 | C12H26 | 170.34 |
| 22 | Hasubanan-9-ol,7,8-didehydro-4,5-epoxy-3,6,6-trimethoxy-17-methyl-,(5.alpha.,9.alpha.,13.beta.,14.beta.)- | 0.23 | C20H25NO5 | 359.42 |
| 23 | Dicetyl | 0.23 | C32H66 | 450.88 |
| 24 | 5-(Hydroxymethyl)-2-(dimethoxymethyl)furan | 3.42 | C8H12O4 | 172.18 |
| 25 | Tetradecane | 0.35 | C14H30 | 198.39 |
| 26 | Pentadecane | 0.34 | C15H32 | 212.42 |
| 27 | Phenol, 2,4-bis(1,1-dimethylethyl) | 1.47 | Unknown | - |
| 28 | Cetane | 0.46 | C16H34 | 226.44 |
| 29 | Glycol Bromohydrin | 0.54 | C2H5BrO | 124.96 |
| 30 | Fitone | 1.08 | C18H36O | 268.48 |
| 31 | Ethaneperoxoic acid, 1-cyano-1-[2-(2-phenyl-1,3-dioxolan-2-yl)ethyl] pentyl ester | 0.39 | C19H25NO5 | 347.41 |
| 32 | Methylisopalmitate | 2.84 | C17H34O2 | 270.45 |
| 33 | 1-Methyl-1-hydroxymethyladamantane | 1.55 | C12H20O | 180.29 |
| 34 | Sclarene | 3.11 | C20H32 | 272.47 |
| 35 | ManoylOxide | 5.62 | C20H34O | 290.49 |
| 36 | Phenylacetic acid, 2-methylcyclohex-2-enyl ester | 34.30 | C15H18O2 | 230.30 |
| 37 | Methylstearate | 1.26 | C19H38O2 | 298.51 |
| 38 | 3-Octadecyne | 7.72 | C18H34 | 250.47 |
| 39 | 16-Kaurene | 5.36 | C20H32 | 272.47 |
| 40 | Kaurene-19-ol | 3.37 | C20H34O | 290.49 |
| Sr. No. | Biochemical Components | Methods | Refs. |
|---|---|---|---|
| 1 | Dry matter/moisture | 1 g of sample was placed in air oven for one day at 105 °C. Moisture content was calculated by before and after weight difference of petri dishes. | [64] |
| 2 | Fat | 2 g of sample was poured into Soxhlet extraction thimble with addition of 100 mL of petroleum ether in round bottom flask placed at 55 °C for three h until later is siphoned into the receiving flask and was cooled for 10 min. Obtained material was placed in air oven for 60 min at 100 °C and the amount of collected oil (fat) was calculated. | [65] |
| 3 | Protein | 2 g of sample was mixed with 3 g of digestion mixture (94 g K2SO4 + 5 g FeSO4 + 1 g CuSO4) with addition of 12 mL of conc. sulphuric acid (H2SO4) into the digestion flask. Consequent mixture was heated until it become clear and then on cooling a few drops of 3% boric acid was added for titration followed by few drops of methyl orange and then mixture was completely assorted by continuous hand stirring. Subsequently to this, 10 mL of 0.1N H2SO4 was taken in burette and titrated until colour changed. | [64] |
| 4 | Crude fibre | To calculate crude fibre, briefly, 2 g of sample was dissolved in 200 mL of 1.25% sulphuric acid (H2SO4) and boiled for 30 min and then filtered. The filtrate was washed with hot water 3–4 times to reduce the acidity. Mixture was re-digested in 200 mL of 1.25% sodium hydroxide (NaOH) and heated, filtered and washed with hot water 3–4 times. After drying the filtrate for 15 min at 100 °C, it was weighed and placed in an electric muffle furnace at 550 °C for 3 h and was re-weighed on cooling for calculating the crude fibre. | [66,67] |
| 5 | Carbohydrate | Carbohydrate was calculated by the difference method by subtracting the values of total moisture, mineral, fat, protein and fibre. | [67,68] |
| 6 | Mineral element/ash | 2 g of sample was placed in electric muffle furnace at 550 °C for 6 h in already weighed porcelain dishes and on cooling reweighed to calculate mineral element/ash. | [66] |
© 2019 by the authors. Licensee MDPI, Basel, Switzerland. This article is an open access article distributed under the terms and conditions of the Creative Commons Attribution (CC BY) license (http://creativecommons.org/licenses/by/4.0/).
Share and Cite
Ahmed, M.; Ji, M.; Sikandar, A.; Iram, A.; Qin, P.; Zhu, H.; Javeed, A.; Shafi, J.; Iqbal, Z.; Farid Iqbal, M.; et al. Phytochemical Analysis, Biochemical and Mineral Composition and GC-MS Profiling of Methanolic Extract of Chinese Arrowhead Sagittaria trifolia L. from Northeast China. Molecules 2019, 24, 3025. https://doi.org/10.3390/molecules24173025
Ahmed M, Ji M, Sikandar A, Iram A, Qin P, Zhu H, Javeed A, Shafi J, Iqbal Z, Farid Iqbal M, et al. Phytochemical Analysis, Biochemical and Mineral Composition and GC-MS Profiling of Methanolic Extract of Chinese Arrowhead Sagittaria trifolia L. from Northeast China. Molecules. 2019; 24(17):3025. https://doi.org/10.3390/molecules24173025
Chicago/Turabian StyleAhmed, Maqsood, Mingshan Ji, Aatika Sikandar, Aafia Iram, Peiwen Qin, He Zhu, Ansar Javeed, Jamil Shafi, Zeeshan Iqbal, Mazher Farid Iqbal, and et al. 2019. "Phytochemical Analysis, Biochemical and Mineral Composition and GC-MS Profiling of Methanolic Extract of Chinese Arrowhead Sagittaria trifolia L. from Northeast China" Molecules 24, no. 17: 3025. https://doi.org/10.3390/molecules24173025
APA StyleAhmed, M., Ji, M., Sikandar, A., Iram, A., Qin, P., Zhu, H., Javeed, A., Shafi, J., Iqbal, Z., Farid Iqbal, M., & Sun, Z. (2019). Phytochemical Analysis, Biochemical and Mineral Composition and GC-MS Profiling of Methanolic Extract of Chinese Arrowhead Sagittaria trifolia L. from Northeast China. Molecules, 24(17), 3025. https://doi.org/10.3390/molecules24173025

