Chemical Constituents of Salix babylonica L. and Their Antibacterial Activity Against Gram-Positive and Gram-Negative Animal Bacteria
Abstract
1. Introduction
2. Results
2.1. Minimal Inhibitory Concentration (MIC)
2.2. Minimum Bactericidal Concentration (MBC)
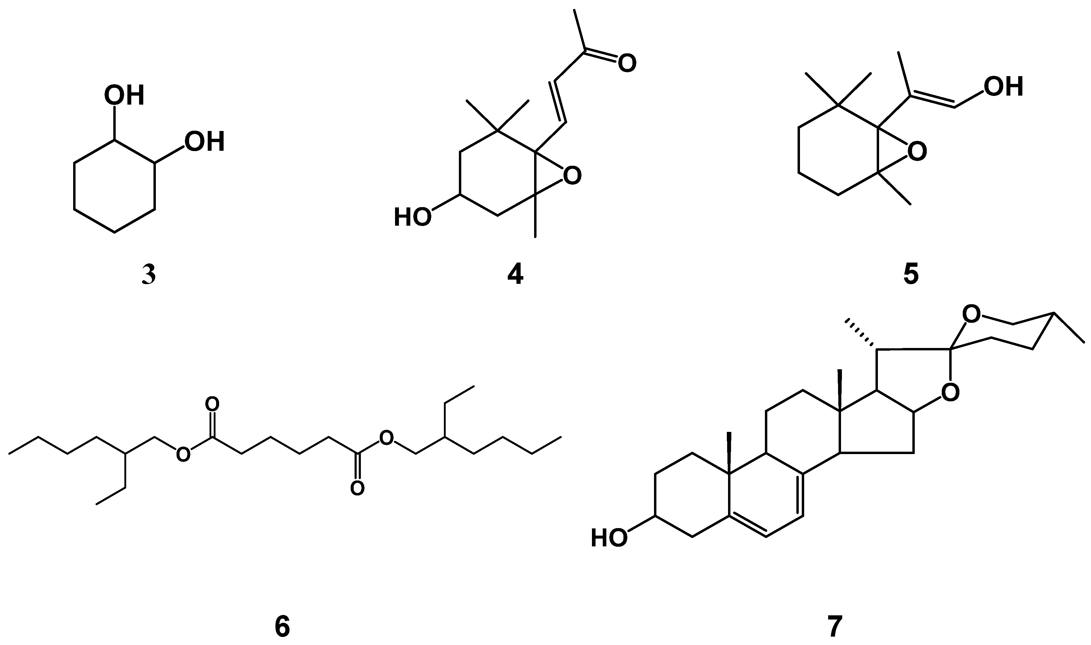
2.3. Identification of Major Compounds
3. Discussion
4. Materials and Methods
4.1. Plant Material
4.2. Preparation of the Hydroalcoholic Extract
4.3. Identification of Major Compounds
4.4. Antibacterial Activity
4.4.1. Minimal Inhibitory Concentration (MIC)
4.4.2. Minimal Bactericidal Concentration (MBC)
4.5. Statistical Analysis
5. Conclusions
Author Contributions
Funding
Acknowledgments
Conflicts of Interest
References
- Mellor, D.J. Updating Animal Welfare Thinking: Moving beyond the “Five Freedoms” towards “A Life Worth Living”. Animals 2016, 6, 21. [Google Scholar] [CrossRef] [PubMed]
- Bayvel, A. In the OIE animal welfare strategic initiative–Progress, priorities and prognosis. In Proceedings of the Global Conference on animal welfare: An OIE initiative, Paris, France, 23–25 February 2004; pp. 13–17. Available online: http://citeseerx.ist.psu.edu/viewdoc/download?doi=10.1.1.135.2685&rep=rep1&type=pdf#page=21 (accessed on 31 January 2019).
- MacGowan, A.; Macnaughton, E. Antibiotic resistance. Medicine 2017, 45, 622–628. [Google Scholar] [CrossRef]
- Webster, J. Animal Welfare: A Cool Eye Towards Eden; Wiley: London, UK, 1995; ISBN 978-0-632-03928-9. [Google Scholar]
- Balouiri, M.; Sadiki, M.; Ibnsouda, S.K. Methods for in vitro evaluating antimicrobial activity: A review. J. Pharm. Anal. 2016, 6, 71–79. [Google Scholar] [CrossRef] [PubMed]
- Mostafa, A.A.; Al-Askar, A.A.; Almaary, K.S.; Dawoud, T.M.; Sholkamy, E.N.; Bakri, M.M. Antimicrobial activity of some plant extracts against bacterial strains causing food poisoning diseases. Saudi J. Biol. Sci. 2018, 25, 361–366. [Google Scholar] [CrossRef] [PubMed]
- Wahab, A.G.; Sallam, A.; Elgaml, A.; Farid Lahloub, M.S.; Afif, M. Antioxidant and antimicrobial activities of Salix babylonica extracts. World J. Pharm. Pharm. Sci. 2018, 6, 1–6. [Google Scholar]
- Wang, T.; Li, Q.; Bi, K. Bioactive flavonoids in medicinal plants: Structure, activity and biological fate. Asian J. Pharm. Sci. 2018, 13, 12–23. [Google Scholar] [CrossRef]
- Mishra, M.P.; Rath, S.; Swain, S.S.; Ghosh, G.; Das, D.; Padhy, R.N. In vitro antibacterial activity of crude extracts of 9 selected medicinal plants against UTI causing MDR bacteria. JKSUS 2017, 29, 84–95. [Google Scholar] [CrossRef]
- Djihane, B.; Wafa, N.; Elkhamssa, S.; Pedro, D.H.J.; Maria, A.E.; Mohamed Mihoub, Z. Chemical constituents of Helichrysum italicum (Roth) G. Don essential oil and their antimicrobial activity against Gram-positive and Gram-negative bacteria, filamentous fungi and Candida albicans. Saudi Pharm. J. 2017, 25, 780–787. [Google Scholar] [CrossRef]
- Bélanger, L.; Garenaux, A.; Harel, J.; Boulianne, M.; Nadeau, E.; Dozois, C.M. Escherichia coli from animal reservoirs as a potential source of human extraintestinal pathogenic E. coli. FEMS Immunol. Med. Microbiol. 2011, 62, 1–10. [Google Scholar] [CrossRef]
- Peton, V.; Le Loir, Y. Staphylococcus aureus in veterinary medicine. Infect. Genet. Evol. 2014, 21, 602–615. [Google Scholar] [CrossRef]
- Dhama, K.; Karthik, K.; Tiwari, R.; Shabbir, M.Z.; Barbuddhe, S.; Malik, S.V.S.; Singh, R.K. Listeriosis in animals, its public health significance (food-borne zoonosis) and advances in diagnosis and control: A comprehensive review. Vet. Quart. 2015, 35, 211–235. [Google Scholar] [CrossRef] [PubMed]
- Sulaiman, G.M.; Hussien, N.N.; Marzoog, T.R.; Awad, H.A. Phenolic content, antioxidant, antimicrobial and cytotoxic activities of ethanolic extract of Salix alba. Am. J. Biochem. Biotechnol. 2013, 9, 41–46. [Google Scholar] [CrossRef]
- Valladares-Carranza, B.; Felipe-Pérez, Y.E.; Zamora-Espinosa, J.L.; Velázquez-Ordoñez, V.; Díaz-González, B.A.E.; Gutiérrez-Castillo, A.; Ortega-Santana, C.; Sánchez-Torres, J.E.; Zaragoza-Bastida, A.; Rivero-Pérez, N.; et al. Listeriosis: An Emerging Pathology in Sheep. In Sheep Diseases: Signs, Symptoms and Prevention; Papst, M., Ed.; Nova Science Publishers Inc.: New York, NY, USA, 2019; pp. 93–104. ISBN 978-1-53615-987-5. [Google Scholar]
- Salem, A.Z.M.; Salem, M.Z.M.; Gonzalez-Ronquillo, M.; Camacho, L.M.; Cipriano, M. Major chemical constituents of Leucaena leucocephala and Salix babylonica leaf extracts. J. Trop. Agric. 2011, 49, 95–98. Available online: http://jtropag.kau.in/index.php/ojs2/article/view/244/244 (accessed on 31 January 2019).
- Kim, S.; Lee, S.; Lee, H.; Ha, J.; Lee, J.; Choi, Y.; Oh, H.; Hong, J.; Yoon, Y.; Choi, K.H. Evaluation on Antimicrobial Activity of Psoraleae semen Extract Controlling the Growth of Gram-Positive Bacteria. Korean J. Food Sci. Anim. Resour. 2017, 37, 502–510. [Google Scholar] [CrossRef] [PubMed]
- Whitehead, S.R.; Bowers, M.D.; McArthur, C. Chemical ecology of fruit defence: Synergistic and antagonistic interactions among amides from Piper. Funct. Ecol. 2014, 28, 1094–1106. [Google Scholar] [CrossRef]
- Popova, T.P.; Kaleva, M.D. Antimicrobial Effect in vitro of Aqueous Extracts of Leaves and Branches of Willow (Salix babylonica L.). Int. J. Curr. Microbiol. App. Sci. 2015, 4, 146–152. [Google Scholar]
- Borges, A.; Ferreira, C.; Saavedra, M.J.; Simoes, M. Antibacterial activity and mode of action of ferulic and gallic acids against pathogenic bacteria. Microb. Drug Resist. 2013, 19, 256–265. [Google Scholar] [CrossRef]
- Ndhlala, A.R.; Ghebrehiwot, H.M.; Ncube, B.; Aremu, A.O.; Gruz, J.; Subrtova, M.; Dolezal, K.; du Plooy, C.P.; Abdelgadir, H.A.; Van Staden, J. Antimicrobial, Anthelmintic Activities and Characterisation of Functional Phenolic Acids of Achyranthes aspera Linn.: A Medicinal Plant Used for the Treatment of Wounds and Ringworm in East Africa. Front. Pharmacol. 2015, 6. [Google Scholar] [CrossRef]
- Kaye, K.S.; Fraimow, H.S.; Abrutyn, E. Pathogens resistant to antimicrobial agents: Epidemiology, Molecular Mechanisms, and Clinical Management. Infect. Dis. Clin. N. Am. 2000, 14, 293–319. [Google Scholar] [CrossRef]
- Lin, Y.; Shi, R.; Wang, X.; Shen, H.M. Luteolin, a flavonoid with potential for cancer prevention and therapy. Curr. Cancer Drug Targets 2008, 8, 634–646. [Google Scholar] [CrossRef]
- Seelinger, G.; Merfort, I.; Wölfle, U.; Schempp, C.M. Anti-carcinogenic effects of the flavonoid luteolin. Molecules 2008, 13, 2628–2651. [Google Scholar] [CrossRef] [PubMed]
- Wittemer, S.M.; Ploch, M.; Windeck, T.; Müller, S.C.; Drewelow, B.; Derendorf, H.; Veit, M. Bioavailability and pharmacokinetics of caffeoylquinic acids and flavonoids after oral administration of Artichoke leaf extracts in humans. Phytomedicine 2005, 12, 28–38. [Google Scholar] [CrossRef] [PubMed]
- Khodaie, L.; Delazar, A.; Nazemiyeh, H. Biological Activities and Phytochemical Study of Pedicularis wilhelmsiana Fisch Ex. From Iran. Iran J. Pharm. Res. 2019, 18, 339–347. [Google Scholar] [CrossRef] [PubMed]
- Tian, C.; Zhang, P.; Yang, C.; Gao, X.; Wang, H.; Guo, Y.; Liu, M. Extraction process, component analysis, and in vitro antioxidant, antibacterial, and anti-inflammatory activities of total flavonoid extracts from abutilon theophrasti medic. leaves. Mediat. Inflamm. 2018, 2018, 3508506. [Google Scholar] [CrossRef] [PubMed]
- Khazaeli, P.; Mehrabani, M.; Mosadegh, A.; Bios, S.; Zareshahi, R.; Moshafi, M.H. Identification of Luteolin in Henna (Lawsonia inermis) Oil, a Persion Medicine Product, by HPTLC and Evaluating Its Antimicrobial Effects. Res. J. Pharmacogn. 2019, 6, 51–55. [Google Scholar]
- Xiong, J.; Li, S.; Wang, W.; Hong, Y.; Tang, K.; Luo, Q. Screening and identification of the antibacterial bioactive compounds from Lonicera japonica Thunb. Leaves. Food Chem. 2013, 138, 327–333. [Google Scholar] [CrossRef] [PubMed]
- Wu, T.; He, M.; Zang, X.; Zhou, Y.; Qiu, T.; Pan, S.; Xu, X. A structure–activity relationship study of flavonoids as inhibitors of E. coli by membrane interaction effect. Biochim. Biophys. Acta Biomembr. 2013, 1828, 2751–2756. [Google Scholar] [CrossRef]
- Ansari, M.; Emami, S. β-Ionone and its analogs as promising anticancer agents. Eur. J. Med. Chem. 2016, 123, 141–1545. [Google Scholar] [CrossRef]
- Chunsriimyatav, G.; Dumaa, M.; Regdel, D.; Gerelt-Od, Y.; Selenge, D. GC-MS analysis of some bioactive volatile constituents from aerial parts of Polygonatum odoratum (Mill. Druce). Int. J. Curr. Sci. 2013, 7, 142–145. [Google Scholar]
- Sharma, V.; Singh, G.; Kaur, H.; Saxena, A.K.; Ishar, M.P.S. Synthesis of β-ionone derived chalcones as potent antimicrobial agents. Bioorg. Med. Chem. Lett. 2012, 22, 6343–6346. [Google Scholar] [CrossRef]
- Mothana, R.A.; Lindequist, U.; Gruenert, R.; Bednarski, P.J. Studies of the in vitro anticancer, antimicrobial and antioxidant potentials of selected Yemeni medicinal plants from the island Soqotra. BMC Complement. Altern. Med. 2009, 9, 7. [Google Scholar] [CrossRef]
- Kaewpiboon, C.; Lirdprapamongkol, K.; Srisomsap, C.; Winayanuwattikun, P.; Yongvanich, T.; Puwaprisirisan, P.; Svasti, J.; Assavalapsakul, W. Studies of the in vitro cytotoxic, antioxidant, lipase inhibitory and antimicrobial activities of selected Thai medicinal plants. BMC Complement. Altern. Med. 2012, 12, 217. [Google Scholar] [CrossRef]
- Adams, R.P. Identification of Essencial Oils Components by Gas Chromatography/Mass Spectometry, 4th ed.; Allured Bussines Media: Carol Stream, IL, USA, 2007; pp. 1–804. [Google Scholar]
- Clinical and Laboratory Standards Institute. Methods for Dilution Antimicrobial Susceptibility Tests for Bacteria that Grow Aerobically (Approved Standards); CLSI document M7-A5; CLSI: Wayne, PA, USA, 2012. [Google Scholar]
- SAS Institute. SAS User’s Guide: Statistics, Ver 9.0 ed; SAS Institute: Cary, NC, USA, 2006; p. 956. [Google Scholar]
Sample Availability: Samples of the compounds luteolin and luteolin-7-O-glucoside (luteoloside) are available from the authors. |




| Treatment mg/mL | Escherichia coli | Staphylococcus aureus | Listeria monocytogenes |
|---|---|---|---|
| SBHE | 100.00 a | 25.00 a | 50.00 a |
| ASB | 12.50 c | 25.00 a | 3.12 c |
| ACSB | 6.25 d | 6.25 b | 1.56 d |
| F1AC | NA | NA | NA |
| F2AC | NA | NA | NA |
| F3AC | NA | NA | NA |
| F4AC | ND | ND | ND |
| F5AC | ND | ND | ND |
| F6AC | ND | ND | ND |
| F7AC | 6.25 d | 1.56 c | 0.78 e |
| F8AC | 25.00 b | 0.39 d | 1.56 d |
| F9AC | ND | ND | ND |
| F10AC | 12.50 c | 6.25 b | 12.50 b |
| Kanamicyn µg/mL | 4.00 | 4.00 | 1.00 |
| Water | NA | NA | NA |
| p value | 0.0001 | 0.0001 | 0.0001 |
| Treatment mg/mL | Escherichia coli | Staphylococcus aureus | Listeria monocytogenes |
|---|---|---|---|
| SBHE | 200.00 a | 50.00 a | 100.00 a |
| ASB | NA d | NA f | 100.00 a |
| ACSB | 50.00 b | 12.50 c | 3.12 c |
| F7AC | NA d | 6.25 d | 0.78 e |
| F8AC | 25.00 c | 0.78 e | 1.56 d |
| F10AC | 25.00 c | 25.00 b | 25.00 b |
| Kanamicyn µg/mL | 4.00 | 16.00 | 16.00 |
| Water | NA | NA | NA |
| p value | 0.0001 | 0.0001 | 0.0001 |
| Order of Elution | Retention Time (min) | Molecular Weight (a.m.u.) | Compound | Amount (%) |
|---|---|---|---|---|
| 3 | 8.04 | 116 | 1,2-cyclohexanediol | 6.58 |
| 4 | 16.4 | 224 | (E)-4-(4-hydroxy-2,2,6-trimetyl-7-oxabicyclo [4.1.0] heptan-1-yl)but-3-en-2-one | 10.08 |
| 5 | 17.54 | 196 | (E)-2-(2,2,6-trimethyl-7-oxabicyclo [4.1.0]heptan-1-yl) prop-1-en-1-ol | 72.09 |
| 6 | 23.18 | 370 | bis(2-ethylhexyl) adipate | 2.42 |
| 7 | 32.41 | 412 | Dehydrodiosgenin | 0.67 |
© 2019 by the authors. Licensee MDPI, Basel, Switzerland. This article is an open access article distributed under the terms and conditions of the Creative Commons Attribution (CC BY) license (http://creativecommons.org/licenses/by/4.0/).
Share and Cite
González-Alamilla, E.N.; Gonzalez-Cortazar, M.; Valladares-Carranza, B.; Rivas-Jacobo, M.A.; Herrera-Corredor, C.A.; Ojeda-Ramírez, D.; Zaragoza-Bastida, A.; Rivero-Perez, N. Chemical Constituents of Salix babylonica L. and Their Antibacterial Activity Against Gram-Positive and Gram-Negative Animal Bacteria. Molecules 2019, 24, 2992. https://doi.org/10.3390/molecules24162992
González-Alamilla EN, Gonzalez-Cortazar M, Valladares-Carranza B, Rivas-Jacobo MA, Herrera-Corredor CA, Ojeda-Ramírez D, Zaragoza-Bastida A, Rivero-Perez N. Chemical Constituents of Salix babylonica L. and Their Antibacterial Activity Against Gram-Positive and Gram-Negative Animal Bacteria. Molecules. 2019; 24(16):2992. https://doi.org/10.3390/molecules24162992
Chicago/Turabian StyleGonzález-Alamilla, Eddy Nathalye, Manases Gonzalez-Cortazar, Benjamín Valladares-Carranza, Marco Antonio Rivas-Jacobo, Camelia Alejandra Herrera-Corredor, Deyanira Ojeda-Ramírez, Adrian Zaragoza-Bastida, and Nallely Rivero-Perez. 2019. "Chemical Constituents of Salix babylonica L. and Their Antibacterial Activity Against Gram-Positive and Gram-Negative Animal Bacteria" Molecules 24, no. 16: 2992. https://doi.org/10.3390/molecules24162992
APA StyleGonzález-Alamilla, E. N., Gonzalez-Cortazar, M., Valladares-Carranza, B., Rivas-Jacobo, M. A., Herrera-Corredor, C. A., Ojeda-Ramírez, D., Zaragoza-Bastida, A., & Rivero-Perez, N. (2019). Chemical Constituents of Salix babylonica L. and Their Antibacterial Activity Against Gram-Positive and Gram-Negative Animal Bacteria. Molecules, 24(16), 2992. https://doi.org/10.3390/molecules24162992

