A Comprehensive Review of Non-Covalent Radiofluorination Approaches Using Aluminum [18F]fluoride: Will [18F]AlF Replace 68Ga for Metal Chelate Labeling?
Abstract
1. Introduction
1.1. 68Ga in PET Imaging and Radiolabeling: Pros and Cons
1.2. The Place of 18F in Routine Radiolabeling
1.3. Non-Covalent Radiofluorination Using Aluminum [18F]fluoride
2. Overview of [18F]AlF-Labeled Molecules Conjugated to Chelating Agents
2.1. [18F]AlF-Labeled Peptide Conjugates
2.1.1. Development of the [18F]AlF-Labeling Methodology
2.1.2. [18F]AlF-Labeled Peptides for Integrins Receptors Imaging
2.1.3. [18F]AlF-Labeled Peptides for PSMA Imaging
2.1.4. [18F]AlF-Labeled Peptides for Gastrin-Releasing Peptide Receptor Imaging
2.1.5. [18F]AlF-Labeled Peptides for Other Molecular Targets Imaging in Oncology
2.1.6. [18F]AlF-Labeled Peptides for Non-Oncological Applications
2.2. [18F]AlF-Labeled Protein Conjugates
2.3. [18F]AlF-Labeled Small Molecule Conjugates
3. Current Clinical Use of [18F]AlF-Labeled Biomolecules
4. Conclusions
Supplementary Materials
Author Contributions
Funding
Acknowledgments
Conflicts of Interest
References
- Gambhir, S.S. Molecular imaging of cancer with positron emission tomography. Nat. Rev. Cancer 2002, 2, 683–693. [Google Scholar] [CrossRef]
- Breeman, W.A.P.; de Blois, E.; Sze Chan, H.; Konijnenberg, M.; Kwekkeboom, D.J.; Krenning, E.P. 68Ga-labeled DOTA-peptides and 68Ga-labeled radiopharmaceuticals for positron emission tomography: Current status of research, clinical applications, and future perspectives. Semin. Nucl. Med. 2011, 41, 314–321. [Google Scholar] [CrossRef]
- Velikyan, I. Prospective of 68Ga-radiopharmaceutical development. Theranostics 2014, 4, 47–80. [Google Scholar] [CrossRef]
- Fani, M.; André, J.P.; Maecke, H.R. 68Ga-PET: A powerful generator-based alternative to cyclotron-based PET radiopharmaceuticals. Contrast Media Mol. Imaging 2008, 3, 53–63. [Google Scholar] [CrossRef]
- Rösch, F. 68Ge/68Ga generators: Past, present, and future. In Theranostics, Gallium-68, and Other Radionuclides; Baum, R.P., Rösch, F., Eds.; Springer Berlin Heidelberg: Berlin/Heidelberg, Germany, 2013; Volume 194, pp. 3–16. ISBN 978-3-642-27993-5. [Google Scholar]
- Breeman, W.A.P.; Verbruggen, A.M. The 68Ge/68Ga generator has high potential, but when can we use 68Ga-labelled tracers in clinical routine? Eur. J. Nucl. Med. Mol. Imaging 2007, 34, 978–981. [Google Scholar] [CrossRef]
- Hartmann, H.; Zöphel, K.; Freudenberg, R.; Oehme, L.; Andreeff, M.; Wunderlich, G.; Eisenhofer, G.; Kotzerke, J. Radiation exposure of patients during 68Ga-DOTATOC PET/CT examinations. Nuklearmedizin 2009, 48, 201–207. [Google Scholar]
- Henze, M.; Schuhmacher, J.; Hipp, P.; Kowalski, J.; Becker, D.W.; Doll, J.; Mäcke, H.R.; Hofmann, M.; Debus, J.; Haberkorn, U. PET imaging of somatostatin receptors using [68Ga]DOTA-D-Phe1-Tyr3-octreotide: First results in patients with meningiomas. J. Nucl. Med. 2001, 42, 1053–1056. [Google Scholar]
- Hofmann, M.; Maecke, H.; Börner, A.; Weckesser, E.; Schöffski, P.; Oei, M.; Schumacher, J.; Henze, M.; Heppeler, A.; Meyer, G.; et al. Biokinetics and imaging with the somatostatin receptor PET radioligand 68Ga-DOTATOC: Preliminary data. Eur J. Nucl. Med. 2001, 28, 1751–1757. [Google Scholar] [CrossRef]
- Froidevaux, S.; Eberle, A.N.; Christe, M.; Sumanovski, L.; Heppeler, A.; Schmitt, J.S.; Eisenwiener, K.; Beglinger, C.; Mäcke, H.R. Neuroendocrine tumor targeting: Study of novel gallium-labeled somatostatin radiopeptides in a rat pancreatic tumor model: Ga-DOTA somatostatin analogs for tumor targeting. Int. J. Cancer 2002, 98, 930–937. [Google Scholar] [CrossRef]
- Spang, P.; Herrmann, C.; Roesch, F. Bifunctional gallium-68 chelators: Past, present, and future. Semin. Nucl. Med. 2016, 46, 373–394. [Google Scholar] [CrossRef]
- Tanaka, K.; Fukase, K. PET (positron emission tomography) imaging of biomolecules using metal–DOTA complexes: A new collaborative challenge by chemists, biologists, and physicians for future diagnostics and exploration of in vivo dynamics. Org. Biomol. Chem. 2008, 6, 815–828. [Google Scholar] [CrossRef]
- Shively, J.E. 18F labeling for immuno-PET: Where speed and contrast meet. J. Nucl. Med. 2007, 48, 170–172. [Google Scholar]
- Sanchez-Crespo, A. Comparison of gallium-68 and fluorine-18 imaging characteristics in positron emission tomography. Appl. Radiat. Isotopes 2013, 76, 55–62. [Google Scholar] [CrossRef]
- Vāvere, A.L.; Scott, P.J.H. Clinical applications of small-molecule PET radiotracers: Current progress and future outlook. Semin. Nucl. Med. 2017, 47, 429–453. [Google Scholar] [CrossRef]
- Fanti, S.; Nanni, C.; Ambrosini, V.; Gross, M.D.; Rubello, D.; Farsad, M. PET in genitourinary tract cancers. Q. J. Nucl. Med. Mol. Imag. 2007, 51, 260–271. [Google Scholar]
- Nanni, C.; Fantini, L.; Nicolini, S.; Fanti, S. Non FDG PET. Clin. Radiol. 2010, 65, 536–548. [Google Scholar] [CrossRef]
- Fani, M.; Maecke, H.R.; Okarvi, S.M. Radiolabeled peptides: Valuable tools for the detection and treatment of cancer. Theranostics 2012, 2, 481–501. [Google Scholar] [CrossRef]
- Moses, W.W. Fundamental limits of spatial resolution in PET. Nucl. Instrum. Methods Phys. Res. 2011, 648, S236–S240. [Google Scholar] [CrossRef]
- Soret, M.; Bacharach, S.L.; Buvat, I. Partial-volume effect in PET tumor imaging. J. Nucl. Med. 2007, 48, 932–945. [Google Scholar] [CrossRef]
- Hoetjes, N.J.; van Velden, F.H.P.; Hoekstra, O.S.; Hoekstra, C.J.; Krak, N.C.; Lammertsma, A.A.; Boellaard, R. Partial volume correction strategies for quantitative FDG PET in oncology. Eur. J. Nucl. Med. Mol. Imaging 2010, 37, 1679–1687. [Google Scholar] [CrossRef]
- Liu, X.; Laforest, R. Quantitative small animal PET imaging with nonconventional nuclides. Nucl. Med. Biol. 2009, 36, 551–559. [Google Scholar] [CrossRef]
- Disselhorst, J.A.; Brom, M.; Laverman, P.; Slump, C.H.; Boerman, O.C.; Oyen, W.J.G.; Gotthardt, M.; Visser, E.P. Image-quality assessment for several positron emitters using the NEMA NU 4-2008 standards in the Siemens Inveon small-animal PET scanner. J. Nucl. Med. 2010, 51, 610–617. [Google Scholar] [CrossRef]
- Sánchez-Crespo, A.; Andreo, P.; Larsson, S.A. Positron flight in human tissues and its influence on PET image spatial resolution. Eur. J. Nucl. Med. Mol. Imaging 2004, 31, 44–51. [Google Scholar] [CrossRef]
- Van der Born, D.; Pees, A.; Poot, A.J.; Orru, R.V.A.; Windhorst, A.D.; Vugts, D.J. Fluorine-18 labelled building blocks for PET tracer synthesis. Chem. Soc. Rev. 2017, 46, 4709–4773. [Google Scholar] [CrossRef]
- Wängler, C.; Kostikov, A.; Zhu, J.; Chin, J.; Wängler, B.; Schirrmacher, R. Silicon-[18F]fluorine radiochemistry: Basics, applications and challenges. Appl. Sci. 2012, 2, 277–302. [Google Scholar] [CrossRef]
- Bernard-Gauthier, V.; Wängler, C.; Schirrmacher, E.; Kostikov, A.; Jurkschat, K.; Wängler, B.; Schirrmacher, R. 18F-labeled silicon-based fluoride acceptors: Potential opportunities for novel positron emitting radiopharmaceuticals. Biomed. Res. Int. 2014, 2014, 1–20. [Google Scholar] [CrossRef]
- Burke, B.P.; Clemente, G.S.; Archibald, S.J. Boron-18F containing positron emission tomography radiotracers: Advances and opportunities. Contrast Media Mol. Imaging 2015, 10, 96–110. [Google Scholar] [CrossRef]
- Bernard-Gauthier, V.; Bailey, J.J.; Liu, Z.; Wängler, B.; Wängler, C.; Jurkschat, K.; Perrin, D.M.; Schirrmacher, R. From unorthodox to established: The current status of 18F-trifluoroborate- and 18F-SiFA-based radiopharmaceuticals in PET nuclear imaging. Bioconjug. Chem. 2016, 27, 267–279. [Google Scholar] [CrossRef]
- Perrin, D.M. Organotrifluoroborates as prosthetic groups for single-step F18-labeling of complex molecules. Curr. Opin. Chem. Biol. 2018, 45, 86–94. [Google Scholar] [CrossRef]
- Vallabhajosula, S. 18F-labeled positron emission tomographic radiopharmaceuticals in oncology: An overview of radiochemistry and mechanisms of tumor localization. Semin. Nucl. Med. 2007, 37, 400–419. [Google Scholar] [CrossRef]
- Gu, Y.; Huang, D.; Liu, Z.; Huang, J.; Zeng, W. Labeling strategies with F-18 for positron emission tomography imaging. Med. Chem 2011, 7, 334–344. [Google Scholar] [CrossRef]
- Jacobson, O.; Kiesewetter, D.O.; Chen, X. Fluorine-18 radiochemistry, labeling strategies and synthetic routes. Bioconjug. Chem. 2015, 26, 1–18. [Google Scholar] [CrossRef]
- Richter, S.; Wuest, F. 18F-labeled peptides: The future is bright. Molecules 2014, 19, 20536–20556. [Google Scholar] [CrossRef]
- Shao, X.; Hoareau, R.; Hockley, B.G.; Tluczek, L.J.M.; Henderson, B.D.; Padgett, H.C.; Scott, P.J.H. Highlighting the versatility of the tracerlab synthesis modules. Part 1: Fully automated production of [18F]labelled radiopharmaceuticals using a Tracerlab FXFN. J. Labelled Compd. Rad. 2011, 54, 292–307. [Google Scholar] [CrossRef]
- Kumar, K.; Ghosh, A. 18F-AlF labeled peptide and protein conjugates as positron emission tomography imaging pharmaceuticals. Bioconjug. Chem. 2018, 29, 953–975. [Google Scholar] [CrossRef]
- Cai, L.; Lu, S.; Pike, V.W. Chemistry with [18F]fluoride ion. Eur. J. Org. Chem. 2008, 2008, 2853–2873. [Google Scholar] [CrossRef]
- Zhan, C.-G.; Dixon, D.A. Hydration of the fluoride anion: Structures and absolute hydration free energy from first-principles electronic structure calculations. J. Phys. Chem. A 2004, 108, 2020–2029. [Google Scholar] [CrossRef]
- Cotton, F.A.; Cotton, F.A. Advanced Inorganic Chemistry, 6th ed.; Wiley: New York, NY, USA, 1999; ISBN 978-0-471-19957-1. [Google Scholar]
- Pearson, R.G. Hard and Soft Acids and Bases. J. Am. Chem. Soc. 1963, 85, 3533–3539. [Google Scholar] [CrossRef]
- Hancock, R.D.; Martell, A.E. Ligand design for selective complexation of metal ions in aqueous solution. Chem. Rev. 1989, 89, 1875–1914. [Google Scholar] [CrossRef]
- André, J.P.; Mäcke, H.; Kaspar, A.; Künnecke, B.; Zehnder, M.; Macko, L. In vivo and in vitro 27Al NMR studies of aluminum(III) chelates of triazacyclononane polycarboxylate ligands. J. Inorg. Biochem. 2002, 88, 1–6. [Google Scholar] [CrossRef]
- Farkas, E.; Fodor, T.; Kálmán, F.K.; Tircsó, G.; Tóth, I. Equilibrium and dissociation kinetics of the [Al(NOTA)] complex (NOTA = 1,4,7-triazacyclononane-1,4,7-triacetate). React. Kinet. Mech. Cat. 2015, 116, 19–33. [Google Scholar] [CrossRef]
- Bruce Martin, R. Ternary complexes of Al3+ and F− with a third ligand. Coordin. Chem. Rev. 1996, 149, 23–32. [Google Scholar] [CrossRef]
- Smith, G.E.; Sladen, H.L.; Biagini, S.C.G.; Blower, P.J. Inorganic approaches for radiolabelling biomolecules with fluorine-18 for imaging with positron emission tomography. Dalton T 2011, 40, 6196–6205. [Google Scholar] [CrossRef]
- Lemal, D.M. Perspective on fluorocarbon chemistry. J. Org. Chem. 2004, 69, 1–11. [Google Scholar] [CrossRef]
- Bond, A.M.; Hefter, G.T.; International Union of Pure and Applied Chemistry. Critical Survey of Stability Constants and Related Thermodynamic Sata of Fluoride Complexes in Aqueous Solution. In IUPAC Chemical Data Series, 1st ed.; Pergamon Press: Oxford, UK; New York, NY, USA, 1980; ISBN 978-0-08-022377-3. [Google Scholar]
- Antonny, B.; Chabre, M. Characterization of the aluminum and beryllium fluoride species which activate transducin. Analysis of the binding and dissociation kinetics. J. Biol. Chem. 1992, 267, 6710–6718. [Google Scholar]
- Li, L. The biochemistry and physiology of metallic fluoride: Action, mechanism, and implications. Crit. Rev. Oral. Biol. Med. 2003, 14, 100–114. [Google Scholar] [CrossRef]
- McBride, W.J.; Sharkey, R.M.; Karacay, H.; D’Souza, C.A.; Rossi, E.A.; Laverman, P.; Chang, C.-H.; Boerman, O.C.; Goldenberg, D.M. A novel method of 18F radiolabeling for PET. J. Nucl. Med. 2009, 50, 991–998. [Google Scholar] [CrossRef]
- Scheinberg, D.; Strand, M.; Gansow, O. Tumor imaging with radioactive metal chelates conjugated to monoclonal antibodies. Science 1982, 215, 1511–1513. [Google Scholar] [CrossRef]
- Nemes, J.; Tóth, I.; Zékány, L. Formation kinetics of an aluminium(III)–ethylenedinitrilotetraacetate–fluoride mixed ligand complex. J. Chem. Soc. Dalton 1998, 0, 2707–2714. [Google Scholar] [CrossRef]
- Bruce Martin, R. Ternary hydroxide complexes in neutral solutions of Al3+ and F−. Biochem. Bioph. Res. Co. 1988, 155, 1194–1200. [Google Scholar] [CrossRef]
- Laverman, P.; McBride, W.J.; Sharkey, R.M.; Goldenberg, D.M.; Boerman, O.C. Al18F labeling of peptides and proteins. J. Labelled Compd. Rad. 2014, 57, 219–223. [Google Scholar] [CrossRef]
- D’Souza, C.A.; McBride, W.J.; Sharkey, R.M.; Todaro, L.J.; Goldenberg, D.M. High-yielding aqueous 18F-labeling of peptides via Al18F chelation. Bioconjug. Chem. 2011, 22, 1793–1803. [Google Scholar] [CrossRef]
- Shetty, D.; Choi, S.Y.; Jeong, J.M.; Lee, J.Y.; Hoigebazar, L.; Lee, Y.-S.; Lee, D.S.; Chung, J.-K.; Lee, M.C.; Chung, Y.K. Stable aluminium fluoride chelates with triazacyclononane derivatives proved by X-ray crystallography and 18F-labeling study. Chem. Commun. 2011, 47, 9732–9734. [Google Scholar] [CrossRef]
- McBride, W.J.; D’Souza, C.A.; Sharkey, R.M.; Karacay, H.; Rossi, E.A.; Chang, C.-H.; Goldenberg, D.M. Improved 18F labeling of peptides with a fluoride-aluminum-chelate complex. Bioconjug. Chem. 2010, 21, 1331–1340. [Google Scholar] [CrossRef]
- Laverman, P.; McBride, W.J.; Sharkey, R.M.; Eek, A.; Joosten, L.; Oyen, W.J.G.; Goldenberg, D.M.; Boerman, O.C. A novel facile method of labeling octreotide with 18F-fluorine. J. Nucl. Med. 2010, 51, 454–461. [Google Scholar] [CrossRef]
- Laverman, P.; D’Souza, C.A.; Eek, A.; McBride, W.J.; Sharkey, R.M.; Oyen, W.J.G.; Goldenberg, D.M.; Boerman, O.C. Optimized labeling of NOTA-conjugated octreotide with F-18. Tumor Biol. 2012, 33, 427–434. [Google Scholar] [CrossRef]
- McBride, W.J.; D’Souza, C.A.; Karacay, H.; Sharkey, R.M.; Goldenberg, D.M. New lyophilized kit for rapid radiofluorination of peptides. Bioconjug. Chem. 2012, 23, 538–547. [Google Scholar] [CrossRef]
- Gillies, J.M.; Najim, N.; Zweit, J. Analysis of metal radioisotope impurities generated in [18O]H2O during the cyclotron production of fluorine-18. Appl. Radiat. Isotopes 2006, 64, 431–434. [Google Scholar] [CrossRef]
- Schoffelen, R.; Sharkey, R.M.; Goldenberg, D.M.; Franssen, G.; McBride, W.J.; Rossi, E.A.; Chang, C.-H.; Laverman, P.; Disselhorst, J.A.; Eek, A.; et al. Pretargeted immuno–positron emission tomography imaging of carcinoembryonic antigen–expressing tumors with a bispecific antibody and a 68Ga- and 18F-labeled hapten peptide in mice with human tumor xenografts. Mol. Cancer Ther. 2010, 9, 1019–1027. [Google Scholar] [CrossRef]
- Ley, K.; Rivera-Nieves, J.; Sandborn, W.J.; Shattil, S. Integrin-based therapeutics: Biological basis, clinical use and new drugs. Nat. Rev. Drug Discov. 2016, 15, 173–183. [Google Scholar] [CrossRef]
- Nieberler, M.; Reuning, U.; Reichart, F.; Notni, J.; Wester, H.-J.; Schwaiger, M.; Weinmüller, M.; Räder, A.; Steiger, K.; Kessler, H. Exploring the role of RGD-recognizing integrins in cancer. Cancers 2017, 9, 116. [Google Scholar] [CrossRef]
- Debordeaux, F.; Chansel-Debordeaux, L.; Pinaquy, J.-B.; Fernandez, P.; Schulz, J. What about αvβ3 integrins in molecular imaging in oncology? Nucl. Med. Biol. 2018, 62–63, 31–46. [Google Scholar] [CrossRef]
- Liu, S.; Liu, H.; Jiang, H.; Xu, Y.; Zhang, H.; Cheng, Z. One-step radiosynthesis of 18F-AlF-NOTA-RGD2 for tumor angiogenesis PET imaging. Eur. J. Nucl. Med. Mol. Imaging 2011, 38, 1732–1741. [Google Scholar] [CrossRef]
- Lang, L.; Li, W.; Guo, N.; Ma, Y.; Zhu, L.; Kiesewetter, D.O.; Shen, B.; Niu, G.; Chen, X. Comparison study of [18F]FAl-NOTA-PRGD2, [18F]FPPRGD2, and [68Ga]Ga-NOTA-PRGD2 for PET imaging of U87MG tumors in mice. Bioconjug. Chem. 2011, 22, 2415–2422. [Google Scholar] [CrossRef]
- Guo, N.; Lang, L.; Li, W.; Kiesewetter, D.O.; Gao, H.; Niu, G.; Xie, Q.; Chen, X. Quantitative analysis and comparison study of [18F]AlF-NOTA-PRGD2, [18F]FPPRGD2 and [68Ga]Ga-NOTA-PRGD2 using a reference tissue model. PLoS ONE 2012, 7, e37506. [Google Scholar] [CrossRef]
- Gao, H.; Lang, L.; Guo, N.; Cao, F.; Quan, Q.; Hu, S.; Kiesewetter, D.O.; Niu, G.; Chen, X. PET imaging of angiogenesis after myocardial infarction/reperfusion using a one-step labeled integrin-targeted tracer 18F-AlF-NOTA-PRGD2. Eur. J. Nucl. Med. Mol. Imaging 2012, 39, 683–692. [Google Scholar] [CrossRef]
- Cui, Y.; Liu, H.; Liang, S.; Zhang, C.; Cheng, W.; Hai, W.; Yin, B.; Wang, D. The feasibility of 18F-AlF-NOTA-PRGD2 PET/CT for monitoring early response of Endostar antiangiogenic therapy in human nasopharyngeal carcinoma xenograft model compared with 18F-FDG. Oncotarget 2016, 7, 27243–27254. [Google Scholar] [CrossRef]
- Dijkgraaf, I.; Terry, S.Y.A.; McBride, W.J.; Goldenberg, D.M.; Laverman, P.; Franssen, G.M.; Oyen, W.J.G.; Boerman, O.C. Imaging integrin alpha-V-beta-3 expression in tumors with an 18F-labeled dimeric RGD peptide. Contrast Media Mol. Imaging 2013, 8, 238–245. [Google Scholar] [CrossRef]
- Lang, L.; Ma, Y.; Kiesewetter, D.O.; Chen, X. Stability analysis of glutamic acid linked peptides coupled to NOTA through different chemical linkages. Mol. Pharm. 2014, 11, 3867–3874. [Google Scholar] [CrossRef]
- Wei, Y.-C.; Gao, Y.; Zhang, J.; Fu, Z.; Zheng, J.; Liu, N.; Hu, X.; Hou, W.; Yu, J.; Yuan, S. Stereotactic comparison study of 18F-alfatide and 18F-FDG PET imaging in an LLC tumor-bearing C57BL/6 mouse model. Sci. Rep. 2016, 6, 28757. [Google Scholar] [CrossRef]
- Liu, J.; Wang, D.; Meng, X.; Sun, X.; Yuan, S.; Yu, J. 18F-alfatide positron emission tomography may predict anti-angiogenic responses. Oncol. Rep. 2018, 40, 2896–2905. [Google Scholar] [CrossRef]
- Guo, J.; Lang, L.; Hu, S.; Guo, N.; Zhu, L.; Sun, Z.; Ma, Y.; Kiesewetter, D.O.; Niu, G.; Xie, Q.; et al. Comparison of three dimeric 18F-AlF-NOTA-RGD tracers. Mol. Imaging Biol. 2014, 16, 274–283. [Google Scholar] [CrossRef]
- Guo, J.; Guo, N.; Lang, L.; Kiesewetter, D.O.; Xie, Q.; Li, Q.; Eden, H.S.; Niu, G.; Chen, X. 18F-alfatide II and 18F-FDG dual-tracer dynamic PET for parametric, early prediction of tumor response to therapy. J. Nucl. Med. 2014, 55, 154–160. [Google Scholar] [CrossRef]
- Wu, C.; Yue, X.; Lang, L.; Kiesewetter, D.O.; Li, F.; Zhu, Z.; Niu, G.; Chen, X. Longitudinal PET imaging of muscular inflammation using 18F-DPA-714 and 18F-alfatide II and differentiation with tumors. Theranostics 2014, 4, 546–555. [Google Scholar] [CrossRef]
- Wei, Y.-C.; Hu, X.; Gao, Y.; Fu, Z.; Zhao, W.; Yu, Q.; Wang, S.; Zhu, S.; Li, J.; Yu, J.; et al. Noninvasive evaluation of metabolic tumor volume in Lewis lung carcinoma tumor-bearing C57BL/6 mice with micro-PET and the radiotracers 18F-alfatide and 18F-FDG: A comparative analysis. PLoS ONE 2015, 10, e0136195. [Google Scholar] [CrossRef]
- Bao, X.; Wang, M.-W.; Luo, J.-M.; Wang, S.-Y.; Zhang, Y.-P.; Zhang, Y.-J. Optimization of early response monitoring and prediction of cancer antiangiogenesis therapy via noninvasive PET molecular imaging strategies of multifactorial bioparameters. Theranostics 2016, 6, 2084–2098. [Google Scholar] [CrossRef]
- Shetty, D.; Jeong, J.M.; Kim, Y.J.; Lee, J.Y.; Hoigebazar, L.; Lee, Y.-S.; Lee, D.S.; Chung, J.-K. Development of a bifunctional chelating agent containing isothiocyanate residue for one step F-18 labeling of peptides and application for RGD labeling. Bioorg. Med. Chem. 2012, 20, 5941–5947. [Google Scholar] [CrossRef]
- Allott, L.; Da Pieve, C.; Turton, D.R.; Smith, G. A general [18F]AlF radiochemistry procedure on two automated synthesis platforms. React. Chem. Eng. 2017, 2, 68–74. [Google Scholar] [CrossRef]
- Chaudhary, B.; Khaled, Y.S.; Ammori, B.J.; Elkord, E. Neuropilin 1: Function and therapeutic potential in cancer. Cancer Immunol. Immun. 2014, 63, 81–99. [Google Scholar] [CrossRef]
- Binetruy-Tournaire, R. Identification of a peptide blocking vascular endothelial growth factor (VEGF)-mediated angiogenesis. EMBO J. 2000, 19, 1525–1533. [Google Scholar] [CrossRef]
- Perret, G.Y.; Starzec, A.; Hauet, N.; Vergote, J.; Le Pecheur, M.; Vassy, R.; Léger, G.; Verbeke, K.A.; Bormans, G.; Nicolas, P.; et al. In vitro evaluation and biodistribution of a 99mTc-labeled anti-VEGF peptide targeting neuropilin-1. Nucl. Med. Biol. 2004, 31, 575–581. [Google Scholar] [CrossRef]
- Wu, H.; Chen, H.; Pan, D.; Ma, Y.; Liang, S.; Wan, Y.; Fang, Y. Imaging integrin αvβ3 and NRP-1 positive gliomas with a novel fluorine-18 labeled RGD-ATWLPPR heterodimeric peptide probe. Mol. Imaging Biol. 2014, 16, 781–792. [Google Scholar] [CrossRef]
- Hausner, S.H.; Bauer, N.; Sutcliffe, J.L. In vitro and in vivo evaluation of the effects of aluminum [18F]fluoride radiolabeling on an integrin αVβ6-specific peptide. Nucl. Med. Biol. 2014, 41, 43–50. [Google Scholar] [CrossRef]
- Hausner, S.H.; Kukis, D.L.; Gagnon, M.K.J.; Stanecki, C.E.; Ferdani, R.; Marshall, J.F.; Anderson, C.J.; Sutcliffe, J.L. Evaluation of [64Cu]Cu-DOTA and [64Cu]Cu-CB-TE2A chelates for targeted positron emission tomography with an alphaVbeta6-specific peptide. Mol. Imaging 2009, 8, 111–121. [Google Scholar] [CrossRef]
- Akizawa, H.; Uehara, T.; Arano, Y. Renal uptake and metabolism of radiopharmaceuticals derived from peptides and proteins. Adv. Drug Deliver. Rev. 2008, 60, 1319–1328. [Google Scholar] [CrossRef]
- Silver, D.A.; Pellicer, I.; Fair, W.R.; Heston, W.D.; Cordon-Cardo, C. Prostate-specific membrane antigen expression in normal and malignant human tissues. Clin. Cancer Res. 1997, 3, 81–85. [Google Scholar]
- Ferlay, J.; Colombet, M.; Soerjomataram, I.; Dyba, T.; Randi, G.; Bettio, M.; Gavin, A.; Visser, O.; Bray, F. Cancer incidence and mortality patterns in Europe: Estimates for 40 countries and 25 major cancers in 2018. Eur. J. Cancer 2018, 103, 356–387. [Google Scholar] [CrossRef]
- Eiber, M.; Fendler, W.P.; Rowe, S.P.; Calais, J.; Hofman, M.S.; Maurer, T.; Schwarzenboeck, S.M.; Kratowchil, C.; Herrmann, K.; Giesel, F.L. Prostate-specific membrane antigen ligands for imaging and therapy. J. Nucl. Med. 2017, 58, 67S–76S. [Google Scholar] [CrossRef]
- Malik, N.; Zlatopolskiy, B.; Machulla, H.-J.; Reske, S.N.; Solbach, C. One pot radiofluorination of a new potential PSMA ligand [Al18F]NOTA-DUPA-Pep: A new PSMA ligand [Al18F]NOTA-DUPA-Pep. J. Labelled Compd. Rad. 2012, 55, 320–325. [Google Scholar] [CrossRef]
- Eder, M.; Wängler, B.; Knackmuss, S.; LeGall, F.; Little, M.; Haberkorn, U.; Mier, W.; Eisenhut, M. Tetrafluorophenolate of HBED-CC: A versatile conjugation agent for 68Ga-labeled small recombinant antibodies. Eur. J. Nucl. Med. Mol. Imaging 2008, 35, 1878–1886. [Google Scholar] [CrossRef]
- Malik, N.; Baur, B.; Winter, G.; Reske, S.N.; Beer, A.J.; Solbach, C. Radiofluorination of PSMA-HBED via Al18F2+ Chelation and Biological Evaluations In Vitro. Mol. Imaging Biol. 2015, 17, 777–785. [Google Scholar] [CrossRef]
- Boschi, S.; Lee, J.T.; Beykan, S.; Slavik, R.; Wei, L.; Spick, C.; Eberlein, U.; Buck, A.K.; Lodi, F.; Cicoria, G.; et al. Synthesis and preclinical evaluation of an Al18F radiofluorinated GLU-UREA-LYS(AHX)-HBED-CC PSMA ligand. Eur. J. Nucl. Med. Mol. Imaging 2016, 43, 2122–2130. [Google Scholar] [CrossRef]
- Pillarsetty, N.V.K.; Kalidindi, T.; Carlin, S.; Easwaramoorthy, B.; Abbasi, A.; Larson, S.; Osborne, J.; Weber, W. Effect of specific activity on the uptake of [68Ga]DKFZPSMA-11 in tumor and other organs. J. Nucl. Med. 2016, 57 (Suppl. 2), S528. [Google Scholar]
- Kersemans, K.; De Man, K.; Courtyn, J.; Van Royen, T.; Piron, S.; Moerman, L.; Brans, B.; De Vos, F. Automated radiosynthesis of Al[18F]PSMA-11 for large scale routine use. Appl. Radiat. Isotopes 2018, 135, 19–27. [Google Scholar] [CrossRef]
- Giglio, J.; Zeni, M.; Savio, E.; Engler, H. Synthesis of an Al18F radiofluorinated GLU-UREA-LYS(AHX)-HBED-CC PSMA ligand in an automated synthesis platform. EJNMMI Radiopharm. Chem. 2018, 3, 4. [Google Scholar] [CrossRef]
- Cleeren, F.; Lecina, J.; Billaud, E.M.F.; Ahamed, M.; Verbruggen, A.; Bormans, G.M. New chelators for low temperature Al18F-labeling of biomolecules. Bioconjug. Chem. 2016, 27, 790–798. [Google Scholar] [CrossRef]
- Lütje, S.; Franssen, G.M.; Herrmann, K.; Boerman, O.C.; Rijpkema, M.; Gotthardt, M.; Heskamp, S. In vitro and in vivo characterization of a 18F-AlF-labeled PSMA ligand for imaging of PSMA-expressing xenografts. J. Nucl. Med. 2019, in press. [Google Scholar] [CrossRef]
- Liu, T.; Liu, C.; Xu, X.; Liu, F.; Guo, X.; Li, N.; Wang, X.; Yang, J.; Yang, X.; Zhu, H.; et al. Preclinical evaluation and pilot clinical study of Al18F-PSMA-BCH for prostate cancer imaging. J. Nucl. Med. 2019, in press. [Google Scholar] [CrossRef]
- Beer, M.; Montani, M.; Gerhardt, J.; Wild, P.J.; Hany, T.F.; Hermanns, T.; Müntener, M.; Kristiansen, G. Profiling gastrin-releasing peptide receptor in prostate tissues: Clinical implications and molecular correlates. Prostate 2012, 72, 318–325. [Google Scholar] [CrossRef]
- Nagasaki, S.; Nakamura, Y.; Maekawa, T.; Akahira, J.; Miki, Y.; Suzuki, T.; Ishidoya, S.; Arai, Y.; Sasano, H. Immunohistochemical analysis of gastrin-releasing peptide receptor (GRPR) and possible regulation by estrogen receptor βcx in human prostate carcinoma. Neoplasma 2012, 59, 224–232. [Google Scholar] [CrossRef]
- Mansi, R.; Minamimoto, R.; Macke, H.; Iagaru, A.H. Bombesin-targeted PET of prostate cancer. J. Nucl. Med. 2016, 57, 67S–72S. [Google Scholar] [CrossRef]
- Baratto, L.; Jadvar, H.; Iagaru, A. Prostate cancer theranostics targeting gastrin-releasing peptide receptors. Mol. Imaging Biol. 2018, 20, 501–509. [Google Scholar] [CrossRef]
- Dijkgraaf, I.; Franssen, G.M.; McBride, W.J.; D’Souza, C.A.; Laverman, P.; Smith, C.J.; Goldenberg, D.M.; Oyen, W.J.G.; Boerman, O.C. PET of tumors expressing gastrin-releasing peptide receptor with an 18F-labeled bombesin analog. J. Nucl. Med. 2012, 53, 947–952. [Google Scholar] [CrossRef]
- Liu, Y.; Hu, X.; Liu, H.; Bu, L.; Ma, X.; Cheng, K.; Li, J.; Tian, M.; Zhang, H.; Cheng, Z. A comparative study of radiolabeled bombesin analogs for the PET imaging of prostate cancer. J. Nucl. Med. 2013, 54, 2132–2138. [Google Scholar] [CrossRef]
- Varasteh, Z.; Velikyan, I.; Lindeberg, G.; Sörensen, J.; Larhed, M.; Sandström, M.; Selvaraju, R.K.; Malmberg, J.; Tolmachev, V.; Orlova, A. Synthesis and characterization of a high-affinity NOTA-conjugated bombesin antagonist for GRPR-targeted tumor imaging. Bioconjug. Chem. 2013, 24, 1144–1153. [Google Scholar] [CrossRef]
- Varasteh, Z.; Åberg, O.; Velikyan, I.; Lindeberg, G.; Sörensen, J.; Larhed, M.; Antoni, G.; Sandström, M.; Tolmachev, V.; Orlova, A. In Vitro and In Vivo Evaluation of a 18F-labeled high affinity NOTA conjugated bombesin antagonist as a PET ligand for GRPR-targeted tumor imaging. PLoS ONE 2013, 8, e81932. [Google Scholar] [CrossRef]
- Yang, M.; Gao, H.; Zhou, Y.; Ma, Y.; Quan, Q.; Lang, L.; Chen, K.; Niu, G.; Yan, Y.; Chen, X. F-labeled GRPR agonists and antagonists: A comparative study in prostate cancer imaging. Theranostics 2011, 1, 220–229. [Google Scholar] [CrossRef]
- Pan, D.; Yan, Y.; Yang, R.; Xu, Y.P.; Chen, F.; Wang, L.; Luo, S.; Yang, M. PET imaging of prostate tumors with 18F-Al-NOTA-MATBBN. Contrast Media Mol. Imaging 2014, 9, 342–348. [Google Scholar] [CrossRef]
- Chatalic, K.L.S.; Franssen, G.M.; van Weerden, W.M.; McBride, W.J.; Laverman, P.; de Blois, E.; Hajjaj, B.; Brunel, L.; Goldenberg, D.M.; Fehrentz, J.-A.; et al. Preclinical comparison of Al18F- and 68Ga-labeled gastrin-releasing peptide receptor antagonists for PET imaging of prostate cancer. J. Nucl. Med. 2014, 55, 2050–2056. [Google Scholar] [CrossRef]
- Carlucci, G.; Kuipers, A.; Ananias, H.J.K.; de Paula Faria, D.; Dierckx, R.A.J.O.; Helfrich, W.; Rink, R.; Moll, G.N.; de Jong, I.J.; Elsinga, P.H. GRPR-selective PET imaging of prostate cancer using [18F]-lanthionine-bombesin analogs. Peptides 2015, 67, 45–54. [Google Scholar] [CrossRef]
- Rink, R.; Arkema-Meter, A.; Baudoin, I.; Post, E.; Kuipers, A.; Nelemans, S.A.; Akanbi, M.H.J.; Moll, G.N. To protect peptide pharmaceuticals against peptidases. J. Pharmacol. Toxicol. Methods 2010, 61, 210–218. [Google Scholar] [CrossRef]
- Tugyi, R.; Mezö, G.; Fellinger, E.; Andreu, D.; Hudecz, F. The effect of cyclization on the enzymatic degradation of herpes simplex virus glycoprotein D derived epitope peptide. J. Pept. Sci. 2005, 11, 642–649. [Google Scholar] [CrossRef]
- Gartrell, B.A.; Tsao, C.; Galsky, M.D. The follicle-stimulating hormone receptor: A novel target in genitourinary malignancies. Urol. Oncol. Semin. Or. I 2013, 31, 1403–1407. [Google Scholar] [CrossRef]
- Siraj, A.; Desestret, V.; Antoine, M.; Fromont, G.; Huerre, M.; Sanson, M.; Camparo, P.; Pichon, C.; Planeix, F.; Gonin, J.; et al. Expression of follicle-stimulating hormone receptor by the vascular endothelium in tumor metastases. BMC Cancer 2013, 13, 246. [Google Scholar] [CrossRef]
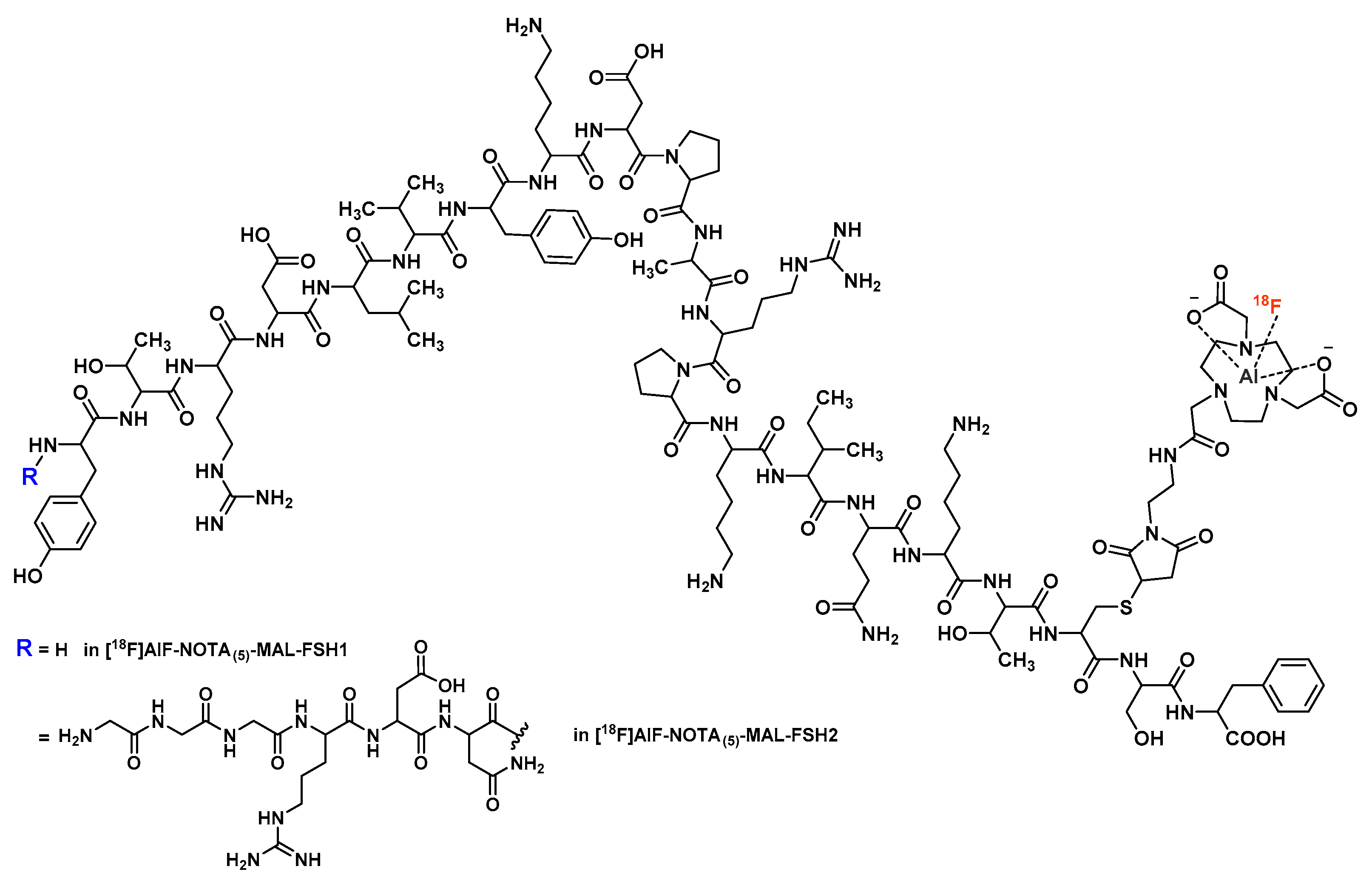
- Xu, Y.; Pan, D.; Zhu, C.; Xu, Q.; Wang, L.; Chen, F.; Yang, R.; Luo, S.; Yang, M.; Yan, Y. Pilot Study of a Novel 18F-labeled FSHR probe for tumor imaging. Mol. Imaging Biol. 2014, 16, 578–585. [Google Scholar] [CrossRef]
- Agris, P.F.; Guenther, R.H.; Sierzputowska-Gracz, H.; Easter, L.; Smith, W.; Hardin, C.C.; Santa-Coloma, T.A.; Crabb, J.W.; Reichert, L.E. Solution structure of a synthetic peptide corresponding to a receptor binding region of FSH (hFSH-beta 33-53). J. Protein Chem. 1992, 11, 495–507. [Google Scholar] [CrossRef]
- Zhu, C.; Xu, Q.; Pan, D.; Xu, Y.; Liu, P.; Yang, R.; Wang, L.; Sun, X.; Luo, S.; Yang, M. Prostate cancer imaging of FSHR antagonist modified with a hydrophilic linker: Prostate cancer imaging of FSHR antagonist. Contrast Media Mol. Imaging 2016, 11, 99–105. [Google Scholar] [CrossRef]
- Pan, D.; Xu, Y.P.; Yang, R.H.; Wang, L.; Chen, F.; Luo, S.; Yang, M.; Yan, Y. A new 68Ga-labeled BBN peptide with a hydrophilic linker for GRPR-targeted tumor imaging. Amino Acids 2014, 46, 1481–1489. [Google Scholar] [CrossRef]
- Perales-Puchalt, A.; Svoronos, N.; Rutkowski, M.R.; Allegrezza, M.J.; Tesone, A.J.; Payne, K.K.; Wickramasinghe, J.; Nguyen, J.M.; O’Brien, S.W.; Gumireddy, K.; et al. Follicle-stimulating hormone receptor is expressed by most ovarian cancer subtypes and is a safe and effective immunotherapeutic target. Clin. Cancer Res. 2017, 23, 441–453. [Google Scholar] [CrossRef]
- Skovgaard, D.; Persson, M.; Kjaer, A. Imaging of prostate cancer using urokinase-type plasminogen activator receptor PET. PET Clin. 2017, 12, 243–255. [Google Scholar] [CrossRef]
- Persson, M.; Liu, H.; Madsen, J.; Cheng, Z.; Kjaer, A. First 18F-labeled ligand for PET imaging of uPAR: In vivo studies in human prostate cancer xenografts. Nucl. Med. Biol. 2013, 40, 618–624. [Google Scholar] [CrossRef]
- Skovgaard, D.; Persson, M.; Kjaer, A. Urokinase plasminogen activator receptor–PET with 68Ga-NOTA-AE105. PET Clin. 2017, 12, 311–319. [Google Scholar] [CrossRef]
- Christ, E.; Wild, D.; Ederer, S.; Béhé, M.; Nicolas, G.; Caplin, M.E.; Brändle, M.; Clerici, T.; Fischli, S.; Stettler, C.; et al. Glucagon-like peptide-1 receptor imaging for the localisation of insulinomas: A prospective multicentre imaging study. Lancet Diabetes Endo 2013, 1, 115–122. [Google Scholar] [CrossRef]
- Kiesewetter, D.O.; Guo, N.; Guo, J.; Gao, H.; Zhu, L.; Ma, Y.; Niu, G.; Chen, X. Evaluation of an [18F]AlF-NOTA analog of exendin-4 for imaging of GLP-1 receptor in insulinoma. Theranostics 2012, 2, 999–1009. [Google Scholar] [CrossRef]
- Deacon, C.F.; Johnsen, A.H.; Holst, J.J. Degradation of glucagon-like peptide-1 by human plasma in vitro yields an N-terminally truncated peptide that is a major endogenous metabolite in vivo. J. Clin. Endocr. Metab. 1995, 80, 952–957. [Google Scholar]
- Wild, D.; Béhé, M.; Wicki, A.; Storch, D.; Waser, B.; Gotthardt, M.; Keil, B.; Christofori, G.; Reubi, J.C.; Mäcke, H.R. [Lys40(Ahx-DTPA-111In)NH2]exendin-4, a very promising ligand for glucagon-like peptide-1 (GLP-1) receptor targeting. J. Nucl. Med. 2006, 47, 2025–2033. [Google Scholar]
- Brom, M.; Oyen, W.J.G.; Joosten, L.; Gotthardt, M.; Boerman, O.C. 68Ga-labelled exendin-3, a new agent for the detection of insulinomas with PET. Eur. J. Nucl. Med. Mol. Imaging 2010, 37, 1345–1355. [Google Scholar] [CrossRef]
- Xu, Q.; Zhu, C.; Xu, Y.; Pan, D.; Liu, P.; Yang, R.; Wang, L.; Chen, F.; Sun, X.; Luo, S.; et al. Preliminary evaluation of [18F]AlF-NOTA-MAL-Cys39-exendin-4 in insulinoma with PET. J. Drug Target. 2015, 23, 813–820. [Google Scholar] [CrossRef]
- Wang, M.; Zhang, H.; Wang, H.; Feng, H.; Deng, H.; Wu, Z.; Lu, H.; Li, Z. Development of [18F]AlF-NOTA-NT as PET agents of neurotensin receptor-1 positive pancreatic cancer. Mol. Pharm. 2018, 15, 3093–3100. [Google Scholar] [CrossRef]
- Körner, M.; Waser, B.; Strobel, O.; Büchler, M.; Reubi, J.C. Neurotensin receptors in pancreatic ductal carcinomas. EJNMMI Res. 2015, 5, 17. [Google Scholar] [CrossRef]
- Baum, R.P.; Singh, A.; Schuchardt, C.; Kulkarni, H.R.; Klette, I.; Wiessalla, S.; Osterkamp, F.; Reineke, U.; Smerling, C. 177Lu-3BP-227 for neurotensin receptor 1–targeted therapy of metastatic pancreatic adenocarcinoma: First clinical results. J. Nucl. Med. 2018, 59, 809–814. [Google Scholar] [CrossRef]
- McBride, W.J.; Sharkey, R.M.; Goldenberg, D.M. Radiofluorination using aluminum-fluoride (Al18F). EJNMMI Res. 2013, 3, 36. [Google Scholar] [CrossRef]
- Conlon, G.A.; Murray, G.I. Recent advances in understanding the roles of matrix metalloproteinases in tumour invasion and metastasis: MMPs and tumour invasion. J. Pathol. 2019, 247, 629–640. [Google Scholar] [CrossRef]
- Liu, Q.; Pan, D.; Cheng, C.; Zhang, D.; Zhang, A.; Wang, L.; Jiang, H.; Wang, T.; Liu, H.; Xu, Y.; et al. Development of a novel PET tracer [18F]AlF-NOTA-C6 targeting MMP2 for tumor imaging. PLoS ONE 2015, 10, e0141668. [Google Scholar] [CrossRef]
- Wang, W.; Shao, R.; Wu, Q.; Ke, S.; McMurray, J.; Lang, F.F.; Charnsangavej, C.; Gelovani, J.G.; Li, C. Targeting gelatinases with a near-infrared fluorescent cyclic His-Try-Gly-Phe peptide. Mol. Imaging Biol. 2009, 11, 424–433. [Google Scholar] [CrossRef]
- Li, Y.; Zhang, D.; Shi, Y.; Guo, Z.; Wu, X.; Ren, J.-L.; Zhang, X.; Wu, H. Syntheses and preliminary evaluation of [18F]AlF-NOTA-G-TMTP1 for PET imaging of high aggressive hepatocellular carcinoma. Contrast Media Mol. Imaging 2016, 11, 262–271. [Google Scholar] [CrossRef]
- Yang, W.; Luo, D.; Wang, S.; Wang, R.; Chen, R.; Liu, Y.; Zhu, T.; Ma, X.; Liu, R.; Xu, G.; et al. TMTP1, a novel tumor-homing peptide specifically targeting metastasis. Clin. Cancer Res. 2008, 14, 5494–5502. [Google Scholar] [CrossRef]
- Martínez-Reza, I.; Díaz, L.; García-Becerra, R. Preclinical and clinical aspects of TNF-α and its receptors TNFR1 and TNFR2 in breast cancer. J. Biomed. Sci. 2017, 24, 90. [Google Scholar] [CrossRef]
- Fu, H.; Wu, H.; Zhang, X.; Huang, J.; He, X.; Chen, L.; Guo, W.; Guo, X.; Hao, B.; Li, Y. Pre-clinical study of a TNFR1-targeted 18F probe for PET imaging of breast cancer. Amino Acids 2018, 50, 409–419. [Google Scholar] [CrossRef]
- Gu, X.; Jiang, M.; Pan, D.; Cai, G.; Zhang, R.; Zhou, Y.; Ding, Y.; Zhu, B.; Lin, X. Preliminary evaluation of novel 18F-AlF-NOTA-IF7 as a tumor imaging agent. J. Radioanal. Nucl. Ch. 2016, 308, 851–856. [Google Scholar] [CrossRef]
- Demmer, O.; Gourni, E.; Schumacher, U.; Kessler, H.; Wester, H.-J. PET imaging of CXCR4 receptors in cancer by a new optimized ligand. ChemMedChem 2011, 6, 1789–1791. [Google Scholar] [CrossRef]
- Gourni, E.; Demmer, O.; Schottelius, M.; D’Alessandria, C.; Schulz, S.; Dijkgraaf, I.; Schumacher, U.; Schwaiger, M.; Kessler, H.; Wester, H.-J. PET of CXCR4 expression by a 68Ga-labeled highly specific targeted contrast agent. J. Nucl. Med. 2011, 52, 1803–1810. [Google Scholar] [CrossRef]
- Poschenrieder, A.; Osl, T.; Schottelius, M.; Hoffmann, F.; Wirtz, M.; Schwaiger, M.; Wester, H.-J. First 18F-labeled pentixafor-based imaging agent for PET imaging of CXCR4 expression In Vivo. Tomography 2016, 2, 85–93. [Google Scholar]
- Yan, X.; Niu, G.; Wang, Z.; Yang, X.; Kiesewetter, D.O.; Jacobson, O.; Shen, B.; Chen, X. Al[18F]NOTA-T140 peptide for noninvasive visualization of CXCR4 expression. Mol. Imaging Biol. 2016, 18, 135–142. [Google Scholar] [CrossRef][Green Version]
- Jacobson, O.; Weiss, I.D.; Kiesewetter, D.O.; Farber, J.M.; Chen, X. PET of tumor CXCR4 expression with 4-18F-T140. J. Nucl. Med. 2010, 51, 1796–1804. [Google Scholar] [CrossRef]
- Blasi, F.; Oliveira, B.L.; Rietz, T.A.; Rotile, N.J.; Day, H.; Looby, R.J.; Ay, I.; Caravan, P. Effect of chelate type and radioisotope on the imaging efficacy of 4 fibrin-specific PET probes. J. Nucl. Med. 2014, 55, 1157–1163. [Google Scholar] [CrossRef]
- Ciesienski, K.L.; Yang, Y.; Ay, I.; Chonde, D.B.; Loving, G.S.; Rietz, T.A.; Catana, C.; Caravan, P. fibrin-targeted PET probes for the detection of thrombi. Mol. Pharm. 2013, 10, 1100–1110. [Google Scholar] [CrossRef]
- Alonso Martinez, L.M.; Harel, F.; Nguyen, Q.T.; Létourneau, M.; D’Oliviera-Sousa, C.; Meloche, B.; Finnerty, V.; Fournier, A.; Dupuis, J.; DaSilva, J.N. Al[18F]F-complexation of DFH17, a NOTA-conjugated adrenomedullin analog, for PET imaging of pulmonary circulation. Nucl. Med. Biol. 2018, 67, 36–42. [Google Scholar] [CrossRef]
- Moisio, O.; Siitonen, R.; Liljenbäck, H.; Suomela, E.; Jalkanen, S.; Li, X.-G.; Roivainen, A. Exploring alternative radiolabeling strategies for sialic acid-binding immunoglobulin-like lectin 9 peptide: [68Ga]Ga- and [18F]AlF-NOTA-Siglec-9. Molecules 2018, 23, 305. [Google Scholar] [CrossRef]
- Beard, R.; Singh, N.; Grundschober, C.; Gee, A.D.; Tate, E.W. High-yielding 18F radiosynthesis of a novel oxytocin receptor tracer, a probe for nose-to-brain oxytocin uptake in vivo. Chem. Commun. 2018, 54, 8120–8123. [Google Scholar] [CrossRef]
- Wang, L.; Liu, Y.; Xu, Y.; Sheng, J.; Pan, D.; Wang, X.; Yan, J.; Yang, R.; Yang, M. Age-related change of GLP-1R expression in rats can be detected by [18F]AlF-NOTA-MAL-Cys39-exendin-4. Brain Res. 2018, 1698, 213–219. [Google Scholar] [CrossRef]
- McBride, W.J.; D’Souza, C.A.; Sharkey, R.M.; Goldenberg, D.M. The radiolabeling of proteins by the [18F]AlF method. Appl. Radiat. Isotopes 2012, 70, 200–204. [Google Scholar] [CrossRef]
- Lütje, S.; Franssen, G.M.; Sharkey, R.M.; Laverman, P.; Rossi, E.A.; Goldenberg, D.M.; Oyen, W.J.G.; Boerman, O.C.; McBride, W.J. Anti-CEA antibody fragments labeled with [18F]AlF for PET imaging of CEA-expressing tumors. Bioconjug. Chem. 2014, 25, 335–341. [Google Scholar] [CrossRef]
- Heskamp, S.; Laverman, P.; Rosik, D.; Boschetti, F.; van der Graaf, W.T.A.; Oyen, W.J.G.; van Laarhoven, H.W.M.; Tolmachev, V.; Boerman, O.C. Imaging of human epidermal growth factor receptor type 2 expression with 18F-labeled affibody molecule ZHER2:2395 in a mouse model for ovarian cancer. J. Nucl. Med. 2012, 53, 146–153. [Google Scholar] [CrossRef]
- Glaser, M.; Iveson, P.; Hoppmann, S.; Indrevoll, B.; Wilson, A.; Arukwe, J.; Danikas, A.; Bhalla, R.; Hiscock, D. Three methods for 18F labeling of the HER2-binding affibody molecule ZHER2:2891 including preclinical assessment. J. Nucl. Med. 2013, 54, 1981–1988. [Google Scholar] [CrossRef]
- Xu, Y.; Bai, Z.; Huang, Q.; Pan, Y.; Pan, D.; Wang, L.; Yan, J.; Wang, X.; Yang, R.; Yang, M. PET of HER2 expression with a novel 18FAl labeled affibody. J. Cancer 2017, 8, 1170–1178. [Google Scholar] [CrossRef]
- Kramer-Marek, G.; Kiesewetter, D.O.; Martiniova, L.; Jagoda, E.; Lee, S.B.; Capala, J. [18F]FBEM-ZHER2:342-affibody molecule—a new molecular tracer for in vivo monitoring of HER2 expression by positron emission tomography. Eur. J. Nucl. Med. Mol. Imaging 2008, 35, 1008–1018. [Google Scholar] [CrossRef]
- Zhou, Z.; Devoogdt, N.; Zalutsky, M.R.; Vaidyanathan, G. An efficient method for labeling single domain antibody fragments with 18F using tetrazine-trans-cyclooctene ligation and a renal brush border enzyme-cleavable linker. Bioconjug. Chem. 2018, 29, 4090–4103. [Google Scholar] [CrossRef]
- Vaidyanathan, G.; McDougald, D.; Choi, J.; Pruszynski, M.; Koumarianou, E.; Zhou, Z.; Zalutsky, M.R. N-Succinimidyl 3-((4-(4-[18F]fluorobutyl)-1H-1,2,3-triazol-1-yl)methyl)-5-(guanidinomethyl)benzoate ([18F]SFBTMGMB): A residualizing label for 18F-labeling of internalizing biomolecules. Org. Biomol. Chem. 2016, 14, 1261–1271. [Google Scholar] [CrossRef]
- Zhou, Z.; Vaidyanathan, G.; McDougald, D.; Kang, C.M.; Balyasnikova, I.; Devoogdt, N.; Ta, A.N.; McNaughton, B.R.; Zalutsky, M.R. Fluorine-18 labeling of the HER2-targeting single-domain antibody 2Rs15d using a residualizing label and preclinical evaluation. Mol. Imaging Biol. 2017, 19, 867–877. [Google Scholar] [CrossRef]
- Miao, Z.; Ren, G.; Liu, H.; Qi, S.; Wu, S.; Cheng, Z. PET of EGFR expression with an 18F-labeled affibody molecule. J. Nucl. Med. 2012, 53, 1110–1118. [Google Scholar] [CrossRef]
- Su, X.; Cheng, K.; Jeon, J.; Shen, B.; Venturin, G.T.; Hu, X.; Rao, J.; Chin, F.T.; Wu, H.; Cheng, Z. Comparison of two site-specifically 18F-labeled affibodies for PET imaging of EGFR positive tumors. Mol. Pharm. 2014, 11, 3947–3956. [Google Scholar] [CrossRef]
- Amin, D.N.; Campbell, M.R.; Moasser, M.M. The role of HER3, the unpretentious member of the HER family, in cancer biology and cancer therapeutics. Semin. Cell Dev. Biol 2010, 21, 944–950. [Google Scholar] [CrossRef]
- Da Pieve, C.; Allott, L.; Martins, C.D.; Vardon, A.; Ciobota, D.M.; Kramer-Marek, G.; Smith, G. Efficient [18F]AlF radiolabeling of ZHER3:8698 affibody molecule for imaging of HER3 positive tumors. Bioconjug. Chem. 2016, 27, 1839–1849. [Google Scholar] [CrossRef]
- González Trotter, D.E.; Meng, X.; McQuade, P.; Rubins, D.; Klimas, M.; Zeng, Z.; Connolly, B.M.; Miller, P.J.; O’Malley, S.S.; Lin, S.-A.; et al. In Vivo imaging of the programmed death ligand 1 by 18F PET. J. Nucl. Med. 2017, 58, 1852–1857. [Google Scholar] [CrossRef]
- Lu, C.; Jiang, Q.; Hu, M.; Tan, C.; Yu, H.; Hua, Z. Preliminary biological evaluation of 18F-AlF-NOTA-MAL-Cys-Annexin V as a novel apoptosis imaging agent. Oncotarget 2017, 8, 51086–51095. [Google Scholar]
- Basuli, F.; Zhang, X.; Williams, M.R.; Seidel, J.; Green, M.V.; Choyke, P.L.; Swenson, R.E.; Jagoda, E.M. One-pot synthesis and biodistribution of fluorine-18 labeled serum albumin for vascular imaging. Nucl. Med. Biol. 2018, 62–63, 63–70. [Google Scholar] [CrossRef]
- Meyer, J.-P.; Houghton, J.L.; Kozlowski, P.; Abdel-Atti, D.; Reiner, T.; Pillarsetty, N.V.K.; Scholz, W.W.; Zeglis, B.M.; Lewis, J.S. 18F-based pretargeted PET imaging based on bioorthogonal Diels–Alder click chemistry. Bioconjug. Chem. 2016, 27, 298–301. [Google Scholar] [CrossRef]
- Shi, X.; Gao, K.; Huang, H.; Gao, R. Pretargeted immuno-PET based on bioorthogonal chemistry for imaging EGFR positive colorectal cancer. Bioconjug. Chem. 2018, 29, 250–254. [Google Scholar] [CrossRef]
- Cleeren, F.; Lecina, J.; Ahamed, M.; Raes, G.; Devoogdt, N.; Caveliers, V.; McQuade, P.; Rubins, D.J.; Li, W.; Verbruggen, A.; et al. Al18F-labeling of heat-sensitive biomolecules for positron emission tomography imaging. Theranostics 2017, 7, 2924–2939. [Google Scholar] [CrossRef]
- Blykers, A.; Schoonooghe, S.; Xavier, C.; D’hoe, K.; Laoui, D.; D’Huyvetter, M.; Vaneycken, I.; Cleeren, F.; Bormans, G.; Heemskerk, J.; et al. PET imaging of macrophage mannose receptor-expressing macrophages in tumor stroma using 18F-radiolabeled camelid single-domain antibody fragments. J. Nucl. Med. 2015, 56, 1265–1271. [Google Scholar] [CrossRef]
- Xavier, C.; Blykers, A.; Vaneycken, I.; D’Huyvetter, M.; Heemskerk, J.; Lahoutte, T.; Devoogdt, N.; Caveliers, V. 18F-nanobody for PET imaging of HER2 overexpressing tumors. Nucl. Med. Biol. 2016, 43, 247–252. [Google Scholar] [CrossRef]
- Bala, G.; Blykers, A.; Xavier, C.; Descamps, B.; Broisat, A.; Ghezzi, C.; Fagret, D.; Van Camp, G.; Caveliers, V.; Vanhove, C.; et al. Targeting of vascular cell adhesion molecule-1 by 18F-labelled nanobodies for PET/CT imaging of inflamed atherosclerotic plaques. Eur. Heart J. Card. Img. 2016, 17, 1001–1008. [Google Scholar] [CrossRef]
- Cleeren, F.; Lecina, J.; Bridoux, J.; Devoogdt, N.; Tshibangu, T.; Xavier, C.; Bormans, G. Direct fluorine-18 labeling of heat-sensitive biomolecules for positron emission tomography imaging using the Al18F-RESCA method. Nat. Prot. 2018, 13, 2330–2347. [Google Scholar] [CrossRef]
- Hoigebazar, L.; Jeong, J.M.; Lee, J.-Y.; Shetty, D.; Yang, B.Y.; Lee, Y.-S.; Lee, D.S.; Chung, J.-K.; Lee, M.C. Syntheses of 2-nitroimidazole derivatives conjugated with 1,4,7-triazacyclononane-N,N′-diacetic acid labeled with F-18 using an aluminum complex method for hypoxia imaging. J. Med. Chem. 2012, 55, 3155–3162. [Google Scholar] [CrossRef]
- Lipowska, M.; Klenc, J.; Shetty, D.; Nye, J.A.; Shim, H.; Taylor, A.T. Al18F-NODA-butyric acid: Biological evaluation of a new PET renal radiotracer. Nucl. Med. Biol. 2014, 41, 248–253. [Google Scholar] [CrossRef]
- Wang, W.; Liu, Z.; Li, Z. One-Step 18F Labeling of non-peptidic bivalent integrin αvβ3 antagonist for cancer imaging. Bioconjug. Chem. 2015, 26, 24–28. [Google Scholar] [CrossRef]
- Wei, W.; Ehlerding, E.B.; Lan, X.; Luo, Q.; Cai, W. PET and SPECT imaging of melanoma: The state of the art. Eur. J. Nucl. Med. Mol. Imaging 2018, 45, 132–150. [Google Scholar] [CrossRef]
- Chang, C.-C.; Chang, C.-H.; Lo, Y.-H.; Lin, M.-H.; Shen, C.-C.; Liu, R.-S.; Wang, H.-E.; Chen, C.-L. Preparation and characterization of a novel Al18F–NOTA–BZA conjugate for melanin-targeted imaging of malignant melanoma. Bioorg. Med. Chem. Lett. 2016, 26, 4133–4139. [Google Scholar] [CrossRef]
- Song, J.; Peng, X.; Li, L.; Yang, F.; Zhang, X.; Zhang, J.; Dai, J.; Cui, M. Al18F-NODA benzothiazole derivatives as imaging agents for cerebrovascular amyloid in cerebral amyloid angiopathy. ACS Omega 2018, 3, 13089–13096. [Google Scholar] [CrossRef]
- Fischer, C.R.; Müller, A.; Bochsler, B.; Rancic, Z.; Kaufmann, P.; Schibli, R.; Ametamey, S.M. Assessment of an elastin binding molecule for PET imaging of atherosclerotic plaques. Am. J. Nucl. Med. Mol. Imaging 2013, 3, 326–335. [Google Scholar]
- Silvola, J.M.U.; Li, X.-G.; Virta, J.; Marjamäki, P.; Liljenbäck, H.; Hytönen, J.P.; Tarkia, M.; Saunavaara, V.; Hurme, S.; Palani, S.; et al. Aluminum fluoride-18 labeled folate enables in vivo detection of atherosclerotic plaque inflammation by positron emission tomography. Sci. Rep. 2018, 8, 9720. [Google Scholar] [CrossRef]
- Chen, Q.; Meng, X.; McQuade, P.; Rubins, D.; Lin, S.-A.; Zeng, Z.; Haley, H.; Miller, P.; González Trotter, D.; Low, P.S. Synthesis and preclinical evaluation of folate-NOTA-Al18F for PET imaging of folate-receptor-positive tumors. Mol. Pharm. 2016, 13, 1520–1527. [Google Scholar] [CrossRef]
- Chen, Q.; Meng, X.; McQuade, P.; Rubins, D.; Lin, S.-A.; Zeng, Z.; Haley, H.; Miller, P.; González Trotter, D.; Low, P.S. Folate-PEG-NOTA-Al18F: A new folate based radiotracer for PET imaging of folate receptor-positive tumors. Mol. Pharm. 2017, 14, 4353–4361. [Google Scholar] [CrossRef]
- Courtney-Martin, G.; Kosar, C.; Campbell, A.; Avitzur, Y.; Wales, P.W.; Steinberg, K.; Harrison, D.; Chambers, K. Plasma aluminum concentrations in pediatric patients receiving long-term parenteral nutrition. J. Parenter. Enteral. Nutr. 2015, 39, 578–585. [Google Scholar] [CrossRef]
- Gura, K.M. Aluminum contamination in parenteral products. Curr. Opin. Clin. Nutr. Metab. Care 2014, 17, 551–557. [Google Scholar] [CrossRef]
- Food and Drug Administration. Code of Federal Regulations-Title 21: 21CFR201.323(e). Aluminum in large and small volume parenterals used in total parenteral nutrition. Available online: https://www.accessdata.fda.gov/scripts/cdrh/cfdocs/cfcfr/cfrsearch.cfm?fr=201.323 (accessed on 30 July 2019).
- Wan, W.; Guo, N.; Pan, D.; Yu, C.; Weng, Y.; Luo, S.; Ding, H.; Xu, Y.; Wang, L.; Lang, L.; et al. First Experience of 18F-alfatide in lung cancer patients using a new lyophilized kit for rapid radiofluorination. J. Nucl. Med. 2013, 54, 691–698. [Google Scholar] [CrossRef]
- Gao, S.; Wu, H.; Li, W.; Zhao, S.; Teng, X.; Lu, H.; Hu, X.; Wang, S.; Yu, J.; Yuan, S. A pilot study imaging integrin αvβ3 with RGD PET/CT in suspected lung cancer patients. Eur. J. Nucl. Med. Mol. Imaging 2015, 42, 2029–2037. [Google Scholar] [CrossRef]
- Luan, X.; Huang, Y.; Gao, S.; Sun, X.; Wang, S.; Ma, L.; Teng, X.; Lu, H.; Yu, J.; Yuan, S. 18F-alfatide PET/CT may predict short-term outcome of concurrent chemoradiotherapy in patients with advanced non-small cell lung cancer. Eur. J. Nucl. Med. Mol. Imaging 2016, 43, 2336–2342. [Google Scholar] [CrossRef]
- Beer, A.J.; Dijkgraaf, I. Editorial European Journal of Nuclear Medicine and Molecular Imaging. Eur. J. Nucl. Med. Mol. Imaging 2017, 44, 284–285. [Google Scholar] [CrossRef][Green Version]
- Zhang, H.; Liu, N.; Gao, S.; Hu, X.; Zhao, W.; Tao, R.; Chen, Z.; Zheng, J.; Sun, X.; Xu, L.; et al. Can an 18F-AlF-NOTA-PRGD2 PET/CT scan predict treatment sensitivity to concurrent chemoradiotherapy in patients with newly diagnosed glioblastoma? J. Nucl. Med. 2016, 57, 524–529. [Google Scholar] [CrossRef]
- Zhou, Y.; Gao, S.; Huang, Y.; Zheng, J.; Dong, Y.; Zhang, B.; Zhao, S.; Lu, H.; Liu, Z.; Yu, J.; et al. A pilot study of 18F-alfatide PET/CT imaging for detecting lymph node metastases in patients with non-small cell lung cancer. Sci. Rep. 2017, 7, 2877. [Google Scholar] [CrossRef]
- Cheng, W.; Wu, Z.; Liang, S.; Fu, H.; Wu, S.; Tang, Y.; Ye, Z.; Wang, H. Comparison of 18F-AlF-NOTA-PRGD2 and 18F-FDG uptake in lymph node metastasis of differentiated thyroid cancer. PLoS ONE 2014, 9, e100521. [Google Scholar]
- Dong, Y.; Wei, Y.; Chen, G.; Huang, Y.; Song, P.; Liu, S.; Zheng, J.; Cheng, M.; Yuan, S. Relationship between clinicopathological characteristics and PET/CT uptake in esophageal squamous cell carcinoma: [18F]Alfatide versus [18F]FDG. Mol. Imaging Biol. 2019, 21, 175–182. [Google Scholar] [CrossRef]
- Li, L.; Ma, L.; Shang, D.; Liu, Z.; Yu, Q.; Wang, S.; Teng, X.; Zhang, Q.; Hu, X.; Zhao, W.; et al. Pretreatment PET/CT imaging of angiogenesis based on 18F-RGD tracer uptake may predict antiangiogenic response. Eur. J. Nucl. Med. Mol. Imaging 2019, 46, 940–947. [Google Scholar] [CrossRef]
- Mi, B.; Yu, C.; Pan, D.; Yang, M.; Wan, W.; Niu, G.; Chen, X. Pilot prospective evaluation of 18F-alfatide II for detection of skeletal metastases. Theranostics 2015, 5, 1115–1121. [Google Scholar] [CrossRef]
- Yu, C.; Pan, D.; Mi, B.; Xu, Y.; Lang, L.; Niu, G.; Yang, M.; Wan, W.; Chen, X. 18F-Alfatide II PET/CT in healthy human volunteers and patients with brain metastases. Eur. J. Nucl. Med. Mol. Imaging 2015, 42, 2021–2028. [Google Scholar] [CrossRef]
- Wu, J.; Wang, S.; Zhang, X.; Teng, Z.; Wang, J.; Yung, B.C.; Niu, G.; Zhu, H.; Lu, G.; Chen, X. 18F-Alfatide II PET/CT for identification of breast cancer: A preliminary clinical study. J. Nucl. Med. 2018, 59, 1809–1816. [Google Scholar] [CrossRef]
- Du, X.; Zhang, Y.; Chen, L.; Mi, B.; You, Q.; Xu, Y.; Pan, D.; Wan, W.; Yang, M.; Yu, C. Comparing the differential diagnostic values of 18F-alfatide II PET/CT between tuberculosis and lung cancer patients. Contrast Media Mol. Imaging 2018, 2018, 1–6. [Google Scholar] [CrossRef]




















| Characteristics | Fluorine-18 | Gallium-68 |
|---|---|---|
| Formation | 18O (p,n) 18F | 68Ge → 68Ga |
| Half-life (h) | 1.83 | 1.13 |
| Maximal β+ energy (keV) | 633.5 | 1899.1 |
| Mean β+ energy (keV) | 249.3 | 836.0 |
| Positron emission rate (%) | 96.9 | 89.1 |
| Gamma photons emission: energy (keV) and rate (%) | None | 578.5 (0.034); 805.8 (0.094); 1077.4 (3.22); 1261.1 (0.094); 1883.2 (0.137) |
© 2019 by the authors. Licensee MDPI, Basel, Switzerland. This article is an open access article distributed under the terms and conditions of the Creative Commons Attribution (CC BY) license (http://creativecommons.org/licenses/by/4.0/).
Share and Cite
Fersing, C.; Bouhlel, A.; Cantelli, C.; Garrigue, P.; Lisowski, V.; Guillet, B. A Comprehensive Review of Non-Covalent Radiofluorination Approaches Using Aluminum [18F]fluoride: Will [18F]AlF Replace 68Ga for Metal Chelate Labeling? Molecules 2019, 24, 2866. https://doi.org/10.3390/molecules24162866
Fersing C, Bouhlel A, Cantelli C, Garrigue P, Lisowski V, Guillet B. A Comprehensive Review of Non-Covalent Radiofluorination Approaches Using Aluminum [18F]fluoride: Will [18F]AlF Replace 68Ga for Metal Chelate Labeling? Molecules. 2019; 24(16):2866. https://doi.org/10.3390/molecules24162866
Chicago/Turabian StyleFersing, Cyril, Ahlem Bouhlel, Christophe Cantelli, Philippe Garrigue, Vincent Lisowski, and Benjamin Guillet. 2019. "A Comprehensive Review of Non-Covalent Radiofluorination Approaches Using Aluminum [18F]fluoride: Will [18F]AlF Replace 68Ga for Metal Chelate Labeling?" Molecules 24, no. 16: 2866. https://doi.org/10.3390/molecules24162866
APA StyleFersing, C., Bouhlel, A., Cantelli, C., Garrigue, P., Lisowski, V., & Guillet, B. (2019). A Comprehensive Review of Non-Covalent Radiofluorination Approaches Using Aluminum [18F]fluoride: Will [18F]AlF Replace 68Ga for Metal Chelate Labeling? Molecules, 24(16), 2866. https://doi.org/10.3390/molecules24162866

