Signal Enhancement of Cadmium in Lettuce Using Laser-Induced Breakdown Spectroscopy Combined with Pyrolysis Process
Abstract
1. Introduction
2. Materials and Methods
2.1. Sample Preparation
2.2. LIBS Measurements
2.3. Pyrolysis Process
2.4. Data Analysis
2.5. Performance Evaluation
3. Results and Discussion
3.1. Spectra Analysis
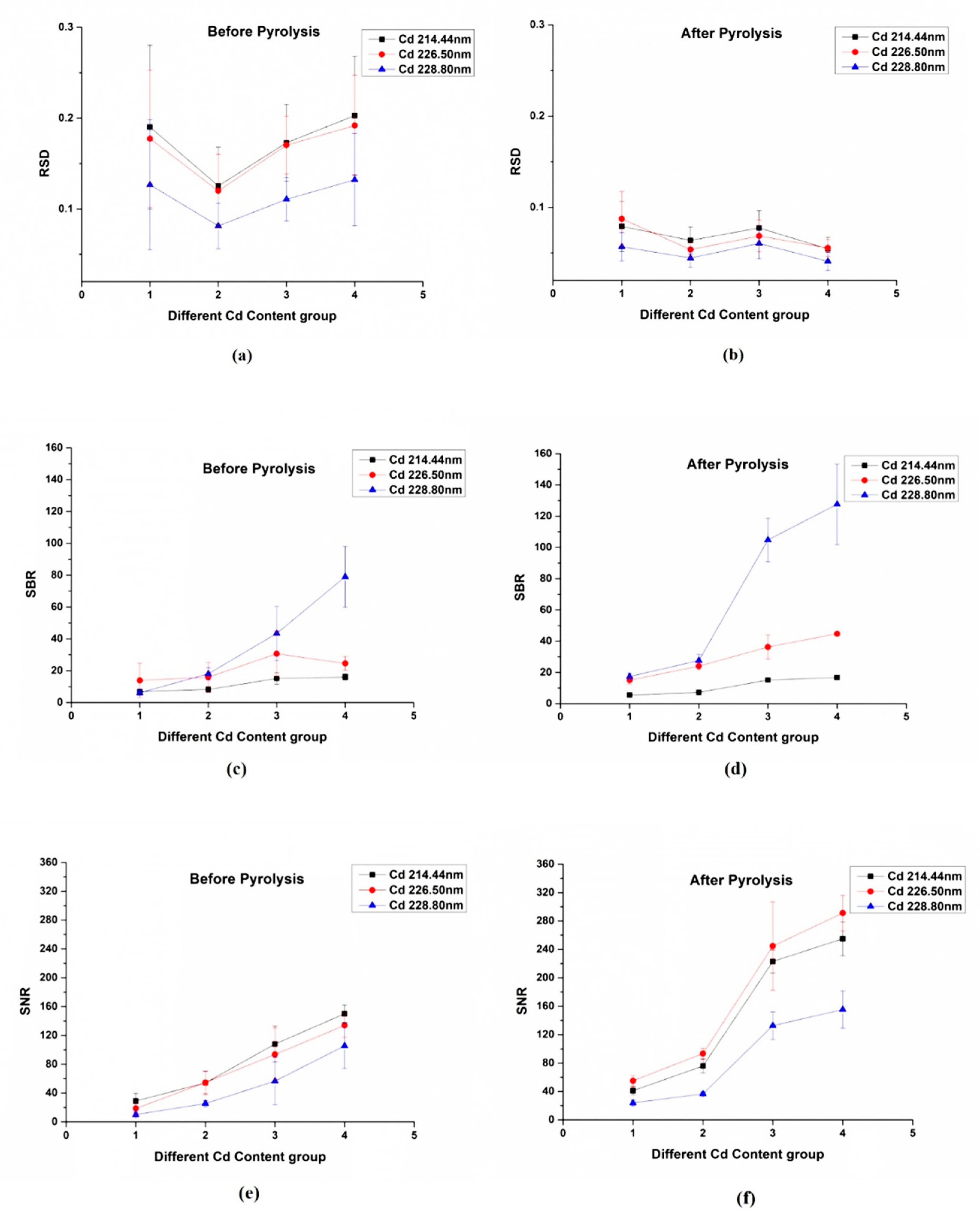
3.2. Pyrolysis Evaluation
3.3. Multivariate Analysis
3.3.1. Modeling Based on Three Cd Emission Lines
3.3.2. Modeling Using Full Spectra
3.3.3. Selecting Variables Using LASSO
4. Conclusions
Author Contributions
Funding
Acknowledgments
Conflicts of Interest
References
- Mousavi, H.Z.; Hosseynifar, A.; Jahed, V.; Dehghani, S.A.M. Removal of Lead from Aqueous Solution Using Waste Tire Rubber Ash as an Adsorbent. Braz. J. Chem. Eng. 2010, 27, 79–87. [Google Scholar] [CrossRef]
- Mahmoud, A.E.D. Statistical Methodology for Cadmium (Cd(II)) Removal from Wastewater by Different Plant Biomasses. J. Bioremediat. Biodeg. 2015, 6, 1–7. [Google Scholar] [CrossRef]
- Degraeve, N. Carcinogenic, Teratogenic and Mutagenic Effects of Cadmium. Mutat. Res. 1981, 86, 115–135. [Google Scholar] [CrossRef]
- Salem, H.M.; Eweida, E.A.; Farag, A. Heavy Metals in Drinking Water and Their Environmental Impact on Human Health; ICEHM2000; Cairo University: Giza, Egypt, 2000; pp. 542–556. [Google Scholar]
- Awofolu, O. A Survey of Trace Metals in Vegetation, Soil and Lower Animal along Some Selected Major Roads in Metropolitan City of Lagos. Environ. Monit. Assess. 2005, 105, 431–447. [Google Scholar] [CrossRef] [PubMed]
- Cruz, R.; Morais, S.; Mendes, E.; Pereira, J.A.; Baptista, P.; Casal, S. Improvement of Vegetables Elemental Quality by Espresso Coffee Residues. Food Chem. 2014, 148, 294–299. [Google Scholar] [CrossRef] [PubMed]
- Kim, S.J.; Chang, A.C.; Page, A.L.; Warneke, J.E. Relative Concentrations of Cadmium and Zinc in Tissue of Selected Food Plants Grown on Sludge-Treated Soils. J. Environ. Q. 1989, 17, 568–573. [Google Scholar] [CrossRef]
- Dala-Paula, B.M.; Custódio, F.B.; Knupp, E.A.N.; Palmieri, H.E.L.; Silva, J.B.B.; Glória, M.B.A. Cadmium, Copper and Lead Levels in Different Cultivars of Lettuce and Soil from Urban Agriculture. Environ. Pollut. 2018, 242, 383–389. [Google Scholar] [CrossRef] [PubMed]
- Huang, Y.; Chen, Q.Q.; Deng, M.H.; Japenga, J.; Ki, T.Q.; Yang, X.E.; He, Z. Heavy Metal Pollution and Healthy Risk Assessment of Agricultural Soils in A Typical Peri-Urban Area in Southeast China. J. Environ. Manag. 2018, 207, 159–168. [Google Scholar] [CrossRef]
- Gibaek, K.; Jihyun, K.; Ki-Rak, K.; Heesung, L.; Kyoung-Woong, K.; Hyeon, Y.; Kihong, P. Rapid Detection of Soils Contaminated with Heavy Metals and Oils by Laser Induced Breakdown Spectroscopy (LIBS). J. Hazard. Mater. 2013, 263, 754–760. [Google Scholar] [CrossRef]
- Maria, M.K.; Xavier, C.M.; Maria, P.C.G.; Yash, D.; Raquel, C.M.; Patrick, J.C.; Carl, S. Laser-Induced Breakdown Spectroscopy (LIBS) for Food Analysis: A review. Trends Food Sci. Technol. 2017, 65. [Google Scholar] [CrossRef]
- Rehan, I.; Rehan, K.; Sultana, S.; Muhammad, R. Laser-Induced Breakdown Spectroscopy for Comparative Quantitative Analysis of Betel Leaves from Pakistan. Spectrosc. Spectr. Anal. 2018, 38, 3295–3302. [Google Scholar] [CrossRef]
- Kaiser, J.; Novotný, K.; Martin, M.Z.; Hrdlicka, A.; Malina, R.; Hartl, M. Trace Elemental Analysis by Laser-Induced Breakdown Spectroscopy-Biological Applications. Surf. Sci. Rep. 2012, 67, 233–243. [Google Scholar] [CrossRef]
- Andersen, M.B.S.; Frydenvang, J.; Henckel, P.; Rinnan, A. The Potential of Laser-Induced Breakdown Spectroscopy for Industrial At-Line Monitoring of Calcium Content in Comminuted Poultry Meat. Food Control 2016, 64, 226–233. [Google Scholar] [CrossRef]
- Hu, H.; Huang, L.; Liu, M.; Chen, T.; Yang, P.; Yao, M. Nondestructive Determination of Cu Residue in Orange Peel by Laser-Induced Breakdown Spectroscopy. Plasma Sci. Technol. 2015, 17, 711–715. [Google Scholar] [CrossRef][Green Version]
- Peruchi, L.C.; Nunes, L.C.; de Carvalho, G.G.A.; Guerra, M.B.B.; de Almeida, E.; Rufini, I.A. Determination of Inorganic Nutrients in Wheat Flour by Laser-Induced Breakdown Spectroscopy and Energy Dispersive X-Ray Fluorescence Spectrometry. Spectrochim. Acta Part B-Atom. Spectr. 2014, 100, 129–136. [Google Scholar] [CrossRef]
- Abdel-Salam, Z.; Al Sharnoubi, J.; Harith, M.A. Qualitative Evaluation of Maternal Milk and Commercial Infant Formulas via LIBS. Talanta 2013, 115, 422–426. [Google Scholar] [CrossRef] [PubMed]
- Shen, T.; Kong, W.; Liu, F.; Chen, Z.; Yao, J.; Wang, W.; Peng, J.; Chen, H.; He, Y. Rapid Determination of Cadmium Contamination in Lettuce Using Laser-Induced Breakdown Spectroscopy. Molecules 2018, 23, 2930. [Google Scholar] [CrossRef]
- Ferreira, E.C.; Milori, D.M.B.P.; Ferreira, E.J.; Da Silva, R.M.; Martin-Neto, L. Artificial Neural Network for Cu Quantitative Determination in Soil Using a Portable Laser-Induced Breakdown Spectroscopy System. Spectrochim. Acta Part B-Atom. Spectr. 2008, 63, 1216–1220. [Google Scholar] [CrossRef]
- Tawfik, W. Study of the Matrix Effect on the Plasma Characterization of Six Elements in AluminumAlloys Using LIBS with A Portable Echelle Spectrometer. Prog. Phys. 2007, 2, 46–52. [Google Scholar]
- Liu, F.; Ye, L.; Peng, J.; Song, K.; Shen, T.; Zhang, C.; He, Y. Fast Detection of Copper Content in Rice by Laser-Induced Breakdown Spectroscopy with Uni- and Multivariate Analysis. Sensors 2018, 18, 705. [Google Scholar] [CrossRef]
- Chary, N.S.; Kamala, C.; Raj, D.S.S. Assessing Risk of Heavy Metals from Consuming Food Grown on Sewage Irrigated Soils and Food Chain Transfer. Ecotoxicol. Environ. Saf. 2008, 69, 513–524. [Google Scholar] [CrossRef] [PubMed]
- Rizwan, M.; Ali, S.; Adrees, M.; Ibrahim, M.; Tsang, D.C.W.; Zia-ur-Rehman, M.; Zahir, Z.A.; Rinklebe, J.; Tack, F.M.G.; Ok, Y.S. A Critical Review on Effects, Tolerance Mechanisms and Management of Cadmium in Vegetables. Chemosphere 2017, 182, 90–105. [Google Scholar] [CrossRef] [PubMed]
- Dias, M.C.; Monteiro, C.; José, M.-P.; Correia, C.; Gonçalves, B.; Santos, C. Cadmium toxicity affects photosynthesis and plant growth at different levels. Acta Physiol. Plant. 2013, 35, 1281–1289. [Google Scholar] [CrossRef]
- Xu, L.; Dong, Y.; Kong, J.; Liu, S. Effects of root and foliar applications of exogenous NO on alleviating cadmium toxicity in lettuce seedlings. Plant Growth Regul. 2014, 72, 39–50. [Google Scholar] [CrossRef]
- Benzarti, S.; Mohri, S.; Ono, Y. Plant response to heavy metal toxicity: Comparative study between the hyperaccumulator Thlaspi caerulescens (ecotype Ganges) and nonaccumulator plants: Lettuce, radish, and alfalfa. Environ. Toxicol. 2008, 23, 607–616. [Google Scholar] [CrossRef] [PubMed]
- Liu, F.; Shen, T.T.; Kong, W.W.; Peng, J.Y.; Zhang, C.; Song, K.L.; Wang, W.; Zhang, C.; He, Y. Quantitative Analysis of Cadmium in Tobacco Roots Using Laser-Induced Breakdown Spectroscopy with Variable Index and Chemometrics. Front. Plant Sci. 2018, 9, 1316. [Google Scholar] [CrossRef]
- Zhang, Z.M.; Chen, S.; Liang, Y.Z. Baseline Correction Using Adaptive Iteratively Reweighted Penalized Least Squares. Analyst 2010, 135, 1138–1146. [Google Scholar] [CrossRef] [PubMed]
- Zheng, X.X.; Lu, G.D.; Du, G.L. Raman Spectroscopy for Rapid and Inexpensive Diagnosis of Echinococcosis Using the Adaptive Iteratively Reweighted Penalized Least Squares-Kennard–Stone-Back Propagation Neural Network. Laser Phys. Lett. 2018, 15, 085702. [Google Scholar] [CrossRef]
- Wold, H. Estimation of Principal Components and Related Models by Iterative Least Squares; Multivariate Analysis; Academic Press: New York, NY, USA, 1966; pp. 391–420. [Google Scholar]
- Wold, S.; Sjöström, M.; Eriksson, L. PLS-Regression: A Basic Tool of Chemometrics. Chemom. Intell. Lab. Syst. 2001, 58, 109–130. [Google Scholar] [CrossRef]
- Gunn, S.R. Support Vector Machines for Classification and Regression; ISIS Technical Report; University of Southampton: Southampton, UK, 1998; Volume 14, pp. 5–16. [Google Scholar]
- Wu, C.H.; Tzeng, G.H.; Lin, R.H. A Novel Hybrid Genetic Algorithm for Kernel Function and Parameter Optimization in Support Vector Regression. Expert Syst. Appl. 2009, 36, 4725–4735. [Google Scholar] [CrossRef]
- Tibshirani, R.J. Regression Shrinkage and Selection Via the LASSO. J. R. Stat. Soc. Ser. B-Stat. Methodol. 1996, 58, 267–288. [Google Scholar] [CrossRef]
- Fu, L.; Tola, E.; Al-Mallahi, A.; Li, R.; Cui, Y. A novel image processing algorithm to separate linearly clustered kiwifruits. Biosyst. Eng. 2019, 183, 184–195. [Google Scholar] [CrossRef]
Sample Availability: Samples of the compounds are not available from the authors. |





| Groups | 1 | 2 | 3 | 4 | |
|---|---|---|---|---|---|
| before pyrolysis | Number | 5 | 5 | 5 | 5 |
| Min | 28.4 | 79.9 | 212.6 | 235.0 | |
| Max | 77.2 | 98.9 | 355.0 | 492.1 | |
| Mean | 40.8 | 85.8 | 287.6 | 360.8 | |
| S.D. | 16.7 | 6.8 | 45.3 | 91.0 | |
| after pyrolysis | Min | 23.8 | 77.2 | 274.8 | 329.0 |
| Max | 75.8 | 97.9 | 428.2 | 493.0 | |
| Mean | 48.2 | 86.3 | 367.4 | 423.6 | |
| S.D. | 15.3 | 7.0 | 50.8 | 61.4 |
| Sample | Variables (nm) | Calibration Set (Rc2) | Prediction Set (Rp2) | LOD (mg/kg) | |||
|---|---|---|---|---|---|---|---|
| Raw | airPLS | Raw | airPLS | Raw | airPLS | ||
| Before Pyrolysis | 214.44, 226.50, 228.80 | 0.9387 | 0.9459 | 0.8399 | 0.9154 | 12.1 | 9.1 |
| After Pyrolysis | 214.44, 226.50, 228.80 | 0.9907 | 0.9915 | 0.9746 | 0.9969 | 1.1 | 0.9 |
| Sample Type | Preprocess | Model | Parameter | Calibration Set | Prediction Set | LOD (mg/kg) | ||
|---|---|---|---|---|---|---|---|---|
| Rc2 | RMSECV | Rp2 | RMSEP | |||||
| Before Pyrolysis | / | PLS | n = 5 | 0.9415 | 48.9 | 0.9271 | 75.9 | 8.9 |
| / | SVR | gam = 8.6 × 104 sig2 = 1.9 × 105 | 0.9887 | 21.4 | 0.9553 | 49.2 | / | |
| airPLS | PLS | n = 5 | 0.9372 | 51.1 | 0.9616 | 44 | 8.4 | |
| airPLS | SVR | gam = 1.7 × 102 sig2 = 7.9 × 103 | 0.9854 | 25.0 | 0.9546 | 42.9 | / | |
| After Pyrolysis | / | PLS | n = 2 | 0.9973 | 12.2 | 0.9973 | 13.3 | 0.8 |
| / | SVR | gam = 8.4 × 105 sig2 = 6.2 × 106 | 0.9995 | 5.5 | 0.9922 | 21.9 | / | |
| airPLS | PLS | n = 2 | 0.9976 | 11.6 | 0.9966 | 14.9 | 0.9 | |
| airPLS | SVR | gam = 7.3 ×108 sig2 = 4.1 × 107 | 1 | 0.0 | 0.9693 | 46.3 | / | |
| Sample Type | Preprocess | Variables | Calibration Set | Prediction Set | ||
|---|---|---|---|---|---|---|
| Rc2 | RMSECV | Rp2 | RMSEP | |||
| Before Pyrolysis | / | 212.40, 213.68, 213.85, 213.95, 214.53, 228.79, 232.19; | 0.9818 | 19.2 | 0.8828 | 47.2 |
| airPLS | 212.38, 212.40, 213.85, 214.53, 215.00, 220.97, 228.77, 228.79; | 0.9835 | 18.2 | 0.9050 | 42.4 | |
| After Pyrolysis | / | 213.62, 213.89, 226.46, 226.48; | 0.9977 | 7.8 | 0.9924 | 15.2 |
| airPLS | 213.62, 213.89, 226.46, 226.48; | 0.9976 | 7.9 | 0.9926 | 15.0 | |
© 2019 by the authors. Licensee MDPI, Basel, Switzerland. This article is an open access article distributed under the terms and conditions of the Creative Commons Attribution (CC BY) license (http://creativecommons.org/licenses/by/4.0/).
Share and Cite
Chen, Z.; Shen, T.; Yao, J.; Wang, W.; Liu, F.; Li, X.; He, Y. Signal Enhancement of Cadmium in Lettuce Using Laser-Induced Breakdown Spectroscopy Combined with Pyrolysis Process. Molecules 2019, 24, 2517. https://doi.org/10.3390/molecules24132517
Chen Z, Shen T, Yao J, Wang W, Liu F, Li X, He Y. Signal Enhancement of Cadmium in Lettuce Using Laser-Induced Breakdown Spectroscopy Combined with Pyrolysis Process. Molecules. 2019; 24(13):2517. https://doi.org/10.3390/molecules24132517
Chicago/Turabian StyleChen, Zhenghui, Tingting Shen, Jingdong Yao, Wei Wang, Fei Liu, Xiaolong Li, and Yong He. 2019. "Signal Enhancement of Cadmium in Lettuce Using Laser-Induced Breakdown Spectroscopy Combined with Pyrolysis Process" Molecules 24, no. 13: 2517. https://doi.org/10.3390/molecules24132517
APA StyleChen, Z., Shen, T., Yao, J., Wang, W., Liu, F., Li, X., & He, Y. (2019). Signal Enhancement of Cadmium in Lettuce Using Laser-Induced Breakdown Spectroscopy Combined with Pyrolysis Process. Molecules, 24(13), 2517. https://doi.org/10.3390/molecules24132517

