Abstract
In this study, some of new thiophenyl thienopyrimidinone derivatives 2–15 were prepared and tested as anti-cancer agents by using thiophenyl thieno[2,3-d]pyrimidinone derivative 2 as a starting material, which was prepared from cyclization of ethyl ester derivative 1 with formamide. Treatment of 2 with ethyl- chloroacetate gave thienopyrimidinone N-ethylacetate 3, which was reacted with hydrazine hydrate or anthranilic acid to afford acetohydrazide 4 and benzo[d][1,3]oxazin-4-one 5, respectively. Condensation of 4 with aromatic aldehydes or phenylisothiocyanate yielded Schiff base derivatives 6,7, and thiosemicarbazise 10, which were treated with 2-mercaptoacetic acid or chloroacetic acid to give the corresponding thiazolidinones 8, 9, and phenylimino-thiazolidinone 11, respectively. Treatment of 4 with ethylacetoacetate or acetic acid/acetic anhydride gave pyrazole 12 and acetyl acetohydrazide 13 derivatives, respectively. The latter compound 13 was reacted with ethyl cycno-acetate or malononitrile to give 14 and 15, respectively. In this work, we have studied the anti-cancer activity of the synthesized thienopyrimidinone derivatives against MCF-7 and MCF-10A cancer cells. Furthermore, in vivo experiments showed that the synthesized compounds significantly reduced tumor growth up to the 8th day of treatment in comparison to control animal models. Additionally, the synthesized derivatives showed potential inhibitory effects against pim-1 kinase activities.
1. Introduction
Cancer is a major health problem acting as a global killer, so synthesizing new compounds, which may act as potent antitumor agents, is a great target for chemists working in this field. In this study, we are interested in synthesizing and studying biological activities of thieno[2,3-d]pyrimidinone derivatives [1,2,3,4,5,6,7,8,9,10,11]. Thienopyrimidinones are very important moieties that act as keys for pharmacological and pharmaceutical properties. They are reported to cause antiviral [12], antimicrobial [13], antihypertensive [14], analgesic, and anti-inflammatory activities [15]. They also inhibit various protein kinase enzymes, such as CK2 involved in particular anticancer activity [16]. Additionally, the nitrogenous ring system was associated with some types of biological activities such as: anti-inflammatory [17], insecticidal [18], antimicrobial and antituberculosis [19,20] activities. On the other hand, thienopyrimidinones contain a thiophene ring fused with a pyrimidinone nucleus. In general, this system was thought to be interesting in development of pharmaceutical compounds [21,22], and was not only evaluated as cGMP phosphodiesterase inhibitors [23], anti-viral [24], anti-inflammatory [25], anti-microbial agents [26], but also as kinase inhibitors and potential anti-cancer agents [27,28]. In continuation to our previous work, and to extend our research [1,2,3,4,5,6,7,8,9,10,11], from the above points, we have studied the anticancer activity of the newly synthesized substituted thienopyrimidinone derivatives against MCF-7 and MCF-10A cancer cells. Furthermore, the work was extended to evaluate the effects of synthesized derivatives on the inhibition of tumor growth in an in vivo animal model. Finally, we evaluated the inhibitory effects of our synthesized compounds against pim-1 kinase activity as a possible mechanism of their action.
2. Results and Discussion
2.1. Chemistry
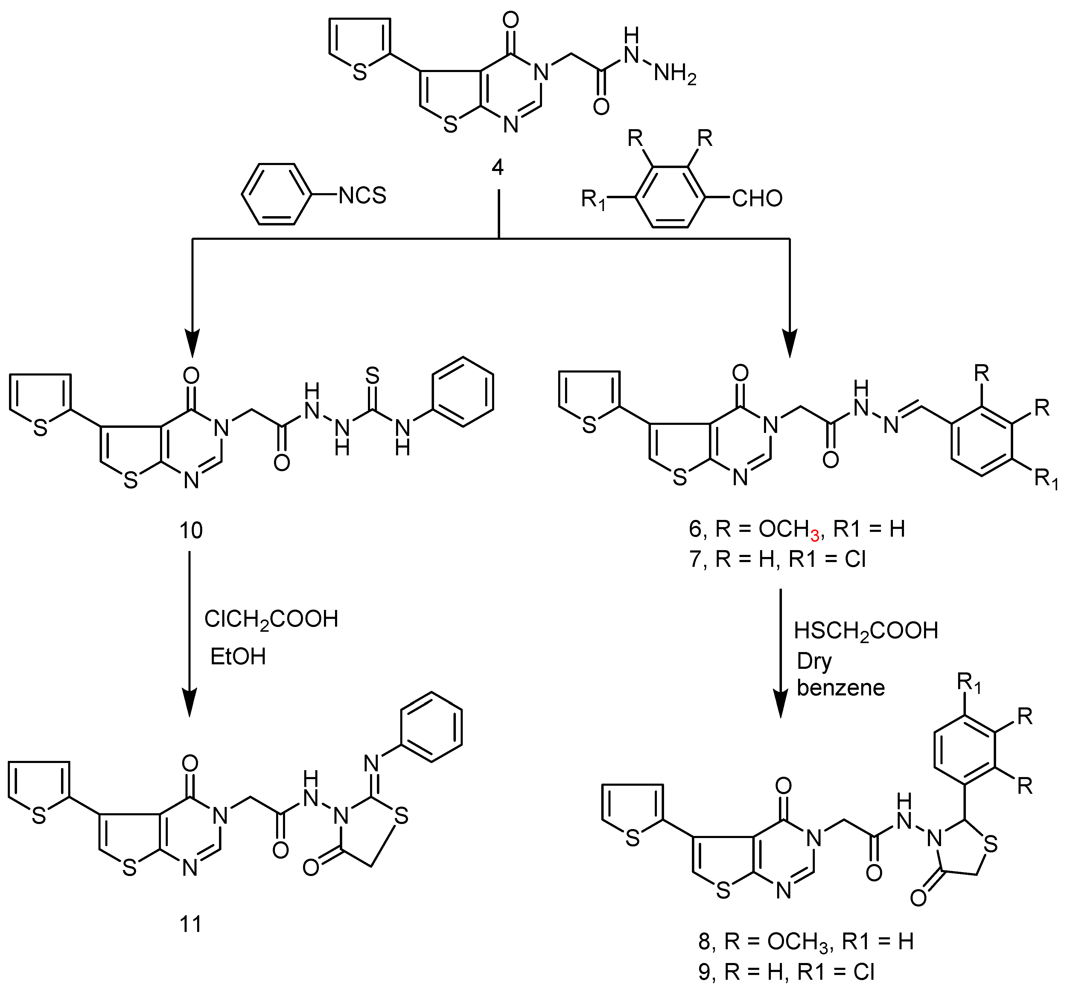
A series of thiophenyl thienopyrimidinone derivatives 2–15 were prepared and tested as anti-cancer agents. Cyclization of ethyl 5’-amino-[2,3’-bithiophene]-4’-carboxylate (1) with formamide gave the corresponding thiophenylthieno[2,3-d]pyrimidinone derivative (2), which was treated with ethylchloroacetate to give thienopyrimidinone N-ethylacetate 3. Reaction of 3 with hydrazine hydrate or anthranilic acid afforded the corresponding hydrazide 4 and benzooxazinone 5 derivatives, respectively (Scheme 1).
Scheme 1.
Synthetic route for compounds 2–5.
Condensation of 4 with aromatic aldehydes, namely, 2,3-dimethoxybenzaldehyde or 4-chlorobenzaldehyde gave the corresponding Schiff base derivatives 6 and 7, which were cyclized via reaction with 2-mercaptoacetic acid in dry benzene to give the corresponding thiazolidinone derivatives 8 and 9, respectively. Treatment of 4 with phenylisothiocyanate gave thiosemicarbazide 10, which was condensed with chloroacetic acid to afford phenyliminothiazolidinone derivative 11 (Scheme 2).
Scheme 2.
Synthetic route for compounds 6–11.
Finally, treatment of 4 with ethylacetoacetate or acetic acid/acetic anhydride gave the corresponding pyrazolyl derivative 12 and N-acetyl hydrazide 13, respectively. The latter compound 13 was reacted with ethylcycnoacetate or malononitrile to give pyridine derivatives 14 and 15, respectively (Scheme 3).
Scheme 3.
Synthetic route for compounds 12–15.
2.2. Biological Evaluation
MCF-7 cells were used to investigate the potential in vitro anti-proliferative potential of the synthesized compounds. With the exception of Cpd. 2 (data not shown), we found that all compounds have promising activities when used in µM concentration. On the other hand, Cisplatin and Milaplatin showed higher IC50 values (13.34 ± 0.11 and 18.43 ± 0.13 µM, respectively). DMSO at concentrations of 0.1% and 0.5%, had little or no toxicity, whereas higher concentrations inhibited the growth of MCF-7cells. Therefore, it seems DMSO could be solvents of choice acceptable to be used at concentrations < 0.5% (v/v) towards the examined cells and possibly for other cell lines. Also, the effect on cell viability was proportional to the concentration applied. From Figure 1, we can see that Cpd. 15, 14 and 8 (IC50, 1.18 ± 0.032, 1.19 ± 0.042, 1.26 ± 0.052 µM, respectively) followed by 9 and 11 (IC50, 2.37 ± 0.053 and 2.48 ± 0.054 µM respectively) produced the highest effect on cell viability. Secondly, compounds 12, 10 and 13, showed moderate activities (IC50, 3.36 ± 0.063, 3.55 ± 0.065 and 3.64 ± 0.074 µM, respectively). Compounds 7, 6, 5, 4 and 3 were the least active ones (IC50, 4.33 ± 0.076, 4.52 ± 0.085, 4.76 ± 0.087, 4.87 ± 0.098 and 5.98 ± 0.099 µM, respectively). The order of activities can be arranged as 15 > 14 > 8 > 9 > 11 > 12 > 10 > 13 > 7 > 6 > 5 > 4 > 3.
Figure 1.
Obtained IC50 values for MCF-7 and MCF-10A cells.
Results revealed that the substitution with pyridine moiety at the terminal NH improved the cytotoxic effect than the pyrimidone derivatives. In contrast, substitution with 5-membered di-heterocyclic ring system with aryl moiety decreased the obtained activities (methoxy phenyl > chlorophenyl). Attaching five membered pyrazolinone ring system bearing no aryl moiety at terminal NH (compound 12 decreased the activities than those containing aryl substitutions (compounds 9 and 11). Compounds 10, 7 and 6 that contain aromatic N-substitution still have more potent activity. The increased effect of the aromatic ring may be attributed to ring aromaticity and electron resonance. On the other hand, aliphatic side chains (compounds 4 and 3) or methylene bridges (Compound 5) have less potent activities.
Additionally, results against non-tumorigenic MCF-10A proved that our derivatives have higher degrees of safety towards normal cells.
In Vivo Xenograft Model
The in vivo anti-breast cancer activities of different synthesized derivatives were evaluated using a breast cancer mouse xenograft model. Figure 2 shows the increase in percentage of inhibition in tumor growth with treatment time when animals were exposed to different compounds. This was also compared with tumor development in control animals. It can be seen, that our derivatives reduced tumor growth starting day 2. The maximal effect was obtained after 8 days. Furthermore, the in vivo effect showed also the same inhibitory pattern obtained in the in vitro experiments. The average weight of each group of mice treated with drug and the control group summarized in Table 1.
Figure 2.
Relative percentage of decrease in tumor volume in response to prepared compounds.
Table 1.
The average weight of each group of mice treated with drug and the control group.
The Provirus Integration in Maloney (Pim) kinases represents a family of constitutively active serine/threonine kinases and includes three subtypes (pim-1, pim-2 and pim-3). Pim kinases regulate many biological processes such as cell cycle, cell proliferation, apoptosis and drug resistance [29,30,31,32]. Being expressed in many types of solid and hematological cancers and almost absent in benign lesions, pim kinases proved to be a successful anti-cancer drug target of low toxicity [33,34,35,36,37,38,39,40]. Results obtained in Figure 3 showed that all synthesized compounds were showed potent inhibitory effects against pim-1 kinase.
Figure 3.
IC50 of the tested compounds against pim-1 Kinase.
3. Materials and Methods
3.1. Chemistry
“Melting points were determined in open glass capillary tubes with an Electro Thermal Digital melting point apparatus (model: IA9100) and are uncorrected. Elemental microanalyses were carried out in the microanalysis unit of NRC and were found within the acceptable limits of the calculated values. Infrared spectra (KBr) were recorded on a Nexus 670 FTIR Nicolet, Fourier Transform infrared spectrometer. 1H- and 13C NMR spectra were run in (DMSO-d6) on Jeol 500 MHz instruments. Mass spectra were run on a MAT Finnigan SSQ 7000 spectrometer, using the electron impact technique (EI).”.
Synthesis of 5-(thiophen-2-yl)thieno[2,3-d]pyrimidin-4(3H)-one (2). A mixture of compound 1 (1 mmol, 253 mg) and formamide (20 mL) was heated at 180 °C in oil bath for 2 h. The formed solid was collected by filtration, washed with cold methanol, dried and crystallized from EtOH to give compound 2. Yield 80%, M.p 192–194 °C; IR (KBr, cm−1): ῡ 3323 (NH), 1659 (C=O). 1H NMR (DMSO-d6) δH: 7.11–7.72 (m, 4H, thiophene-H), 8.50 (s, 1H, CH-pyrimidine), 13.30 (s, 1H, NH, disappeared with D2O). 13C NMR: 119.98, 122.01, 122.17, 126.84, 127.75, 128.74, 131.26, 136.42, (8C, thiophene-C), 157.05 (1C, pyrimidine-C), 165.56 (C=O). Mass spectrum, m/z (EI, %): 234 (M+, 100), 235 (M+ + 1, 11), 236 (M+ + 2, 9). Analysis for C10H6N2OS2 (234.29): Calculated: C, 51.27; H, 2.58; N, 11.96; S, 27.37. Found: C, 51.20; H, 2.50; N, 11.90; S, 27.30.
Synthesis of ethyl 2-(4-oxo-5-(thiophen-2-yl)thieno[2,3-d]pyrimidin-3(4H)-yl)acetate (3). A mixture of 2 (1 mmol, 234 mg), ethylchloroacetate (1 mmol, 122 mg) and anhydrous potassium carbonate (8 mmol) in dry acetone (30 mL) was heated under reflux for 4h. The obtained solid was removed by filtration, the filtrate was concentrated, the precipitate solid was filtered off, dried, and crystallized from EtOH to give the ester derivative 3. Yield 70%, m.p 135–137 °C. IR (KBr, cm−1): ν 1753 (C=O, ester), 1655 (CO); 1H NMR (DMSO-d6), δ: 1.24 (t, 3H, CH3), 4.20 (s, 2H, CH2), 4.85 (q, 2H, CH2-ethyl), 7.10–7.72 (m, 4H, thiophene-H), 8.50 (s, 1H, pyrimidine-H). 13C-NMR (DMSO)-d6) δc: 14.5 (CH3), 40.2 (CH2), 47.8 (CH2), 119.9, 122.2, 126.9, 127.8, 128.7, 128.9, 131.3, 136.4 (8C, thiophene-C), 157.0 (1C, pyrimidine-C), 165.6, 168.3 (2C, 2CO). Mass spectrum, m/z (EI, %): 320 (M+, 100), 321 (M+ + 1, 18). Analysis for C14H12N2O3S2 (320.38): Calculated: C, 52.49; H, 3.78; N, 8.74; S, 20.01. Found: C, 52.40; H, 3.70; N, 8.68; S, 19.86.
Synthesis of 2-(4-oxo-5-(thiophen-2-yl)thieno[2,3-d]pyrimidin-3(4H)-yl)acetohydrazide (4). To a solution of 3 (1 mmol, 320 mg) in ethanol (50 mL), hydrazine hydrate (4 mmol, 85%) was added and refluxed for 8 h. The precipitated solid was collected by filteration, dried and crystallized from EtOH to give compound 4. Yield 75%, m.p. 205–207 °C, IR (KBr, cm−1): ν 3322 (NH), 3246 (NH2), 1659 (C=O). 1H-NMR (DMSO-d6) δ: 3.39 (s, 2H, CH2), 4.65 (s, 2H, NH2, disappeared with D2O), 7.10–7.65 (m, 4H, thiophene-H), 8.17 (s, 1H, pyrimidine-H), 12.58 (s, 1H, NH, disappeared with D2O). 13C-NMR (DMSOd6) δc: 40.1 (CH2), 120.5, 120.8, 126.6, 127.8, 128.7, 131.4, 133.5, 136.8 (8C, thiophene-C), 157.9 (1C, pyrimidine-C), 166.3, 169.4 (2C, 2CO). Mass spectrum, m/z (EI, %): 306 (M+, 100), 307 (M+ + 1, 14). Analysis for C12H10N4O2S2 (306.36): Calculated: C, 47.05; H, 3.29; N, 18.29; S, 20.93. Found: C, 46.85; H, 3.20; N, 18.20; S, 20.85.
Synthesis of 2-((4-oxo-5-(thiophen-2-yl)thieno[2,3-d]pyrimidin-3(4H)-yl)methyl)-4H-benzo[d]-[1,3] oxazin-4-one (5). A mixture of 3 (1 mmol, 320 mg) and anthranilic acid (1 mmol, 137 mg) was fused together at 110 °C in an oil bath for 3hr. The residue was boiled with ethanol, the formed solid was removed by filtration, the solid formed was filtered off, and crystallized from EtOH to give 5. Yield 60%, m.p. 225–227 °C. IR (KBr, Cm−1): ν 1750 (C=O), 1684 (C=O). 1H-NMR (DMSO d6) δH: 4.58 (s, 2H, CH2), 7.10–7.54 (m, 4H, thiophene-H), 7.68-8.16 (m, 4H, Ph-H), 8.64 (s, 1H, pyrimidine-H). 13C-MNR (DMSO-d6) δc: 43.0 (CH2), 120.0, 120.1, 121.3, 121.7, 126.7, 126.8, 127.7, 128.7, 131.3, 136.5, 136.6, 149.5, 149.7, 158.2 (14C, thiophene + Ph-C), 157.2 (1C, pyrimidine-C), 160.1, 165.6, 166.5 (3C, 3C=O). Mass spectrum, m/z (EI, %): 393 (M+, 100). Analysis for C19H11N3O3S2 (393.44): Calculated: C, 58.00; H, 2.82; N, 10.68; S, 16.30. Found: C, 57.90; H, 2.78; N, 10.60; S, 16.25.
Synthesis of hydrazone derivatives 6 and 7. To a mixture of 4 (1 mmol, 306 mg) and aromatic aldehydes, namely 3,4-dimethoxybenazaldehyed or 4-chlorobenzaldehyde (1 mmol) in ethanol (50 mL), few drops of piperidine were added and refluxed for 5 h, with stirring. After cooling, the formed solid was filtered off and recrystallized from dioxan to give the corresponding derivatives 6 and 7 respectively.
N′-(2,3-Dimethoxybenzylidene)-2-(4-oxo-5-(thiophen-2-yl)thieno[2,3-d]pyrimidin-3(4H)-yl)-acetohydrazide (6). Yield 68%, m.p. 248–250 °C. IR (KBr, cm−1): ν 3388 (NH), 1660 (C=O). 1H-NMR (DMSO-d6) δH: 3.72, 3.86 (2s, 6H, 2OCH3), 4.11 (s, 2H, CH2), 6.98-7.61 (m, 7H, thiophene + Ph-H), 8.60 (s, 1H, CH=N), 9.05 (s, 1H, pyrimidine-H), 10.51 (s, 1H, NH, disappeared with D2O). 13C-NMR (MDSO-d6) δc: 44.1 (1C, CH2), 56.1, 60.1 (2C, OCH3), 114.3, 116.1, 119.5, 121.8, 124.0, 126.7, 127.7, 128.7, 129.3, 130.6, 131.3, 136.47, 149.07, 149.77 (14C, thiophene-C + Ph-C), 148.56 (1C, CH=N), 157.19 (1C, pyrimidine-C), 163.66, 169.74 (2C, 2C=O). Mass spectrum, m/z (EI, %): 454 (M+, 100). Analysis for C21H18N4O4S2 (454.52): Calculated: C, 55.49; H, 3.99; N, 12.33; S, 14.11. Found: C, 55.40; H, 3.90; N, 12.25; S, 13.96.
N′-(4-Chlorobenzylidene)-2-(4-oxo-5-(thiophen-2-yl)thieno[2,3-d]pyrimidin-3(4H)-yl)acetohydrazide (7). Yield 65%, m.p. 250–252 °C. IR (KBr, Cm−1): ν 3408 (NH), 1670 (CO), 1659 (CO). 1H-NMR (DMSO-d6) δH: 4.10 (s, 2H, CH2), 7.10–7.80 (m, 9H, Ar-H + CH=N), 9.05 (s, 1H, pyrimidine-H), 10.56 (s, 1H, NH, disappeared with D2O). 13C-NMR (MDSO-d6) δc: 44.1 (1C, CH2), 145.2 (1C, CH=N), 119.5, 121.9, 124.0, 126.8, 127.8, 128.1, 129.3, 130.6, 131.3, 136.5, 149.1, 149.8 (14C, thiophene-C + Ph-C), 157.5 (1C, pyrimidine-C), 162.7, 169.9 (2C, 2C=O). Mass spectrum, m/z (EI, %): 428 (M+, 100), 430 (M+ + 2, 40). Analysis for C19H13ClN4O2S2 (428.91): Calculated: C, 53.21; H, 3.06; N, 13.06; S, 14.95. Found: C, 53.12; H, 3.00; N, 13.00; S, 14.88.
Synthesis of thiazolidinone derivatives 8 and 9. To a stirred solution of 6 or 7 (1 mmol) in dry benzene (40 mL), thioglycollic acid (1 mmol, 92 mg) in dry benzene (10 mL) was added and refluxed for 12 h. The solvent was evaporated to dryness. The formed product was collected, and crystallized with dioxan to obtain the corresponding products 8 and 9, respectively.
N-(2-(2,3-Dimethoxyphenyl)-4-oxothiazolidin-3-yl)-2-(4-oxo-5-(thiophen-2-yl)thieno[2,3-d]pyrimidin-3(4H)-yl)acetamide (8). Yield 60%, m.p. 280–282 °C. IR (KBr, cm−1): ν 3417 (NH), 1670, 1680, 1630 (3 C=O). 1H-NMR (DMSO-d6) δH: 3.65, 3.90 (2s, 6H, 2OCH3), 4.66 (s, 2H, CH2), 4.77 (s, 2H, CH2), 5.86 (s, 1H, CH), 6.95-7.65 (m, 7H, thiophene + Ph-H), 8.49 (s, 1H, pyrimidine-H), 10.84 (s, 1H, NH, disappeared with D2O). 13C-NMR (DMSO-d6) δc: 35.9, 47.4 (2C, 2CH2), 56.5, 58.42 (2C, 2OCH3), 59.2 (1C, CH), 113.4, 117.9, 118.9, 120.7, 121.8, 126.8, 127.5, 128.7, 130.7, 131.0, 136.5, 145.3, 149.5, 149.9 (14C, thiophene-C + Ph-C), 156.9 (1C, pyrimidine-C), 162.5, 165.4, 169.2 (3C, 3C=O). Mass spectrum, m/z (EI, %): 528 (M+, 100), 529 (M+ + 1, 30). Analysis for C23H20N4O5S3 (528): Calculated: C, 52.26; H, 3.81; N, 10.60; S, 18.19. Found: C, 52.18; H, 3.75; N, 10.52; S, 18.10.
N-(2-(4-Chlorophenyl)-4-oxothiazolidin-3-yl)-2-(4-oxo-5-(thiophen-2-yl)thieno[2,3-d]-pyrimidin-3(4H)-yl)- acetamide (9). Yield 75%, m.p. 175-177 °C. IR (KBr, cm−1): ν 3417 (NH), 1720, 1630, 1660 (3C=O). 1H-NMR (DMSO-d6) δH: 3.81, 5.16 (2s, 4H, 2CH2), 5.90 (s, 1H, CH), 7.08–7.72 (m, 8H, thiophene-H + Ph-H), 8.50 (s, 1H, pyrimidine-H), 10.92 (s, 1H, NH, disappeared with D2O). 13CNMR (DMSO-d6) δc: 40.1, 48.2 (2C, 2CH2), 65.2 (1C, CH), 120.0, 121.8, 127.7, 128.7, 129.3, 129.4, 131.3, 133.3, 135.0, 136.5, 143.5, 149.7 (14C, thiophene-C + Ph-C), 157.2 (1C, pyrimidine-C), 163.8, 165.6, 169.9 (3C, 3C=O). Mass spectrum, m/z (EI, %): 503 (M+, 100), 505 (M+ + 2, 34). Analysis for C21H15ClN4O3S3 (503.01): Calculated: C, 50.14; H, 3.01; N, 11.14; S, 19.12. Found: C, 50.02; H, 3.00; N, 11.04; S, 19.06.
Synthesis of 2-(2-(4-oxo-5-(thiophen-2-yl)thieno[2,3-d]pyrimidin-3(4H)-yl)acetyl)-N-phenylhydrazine-1- carbothioamide (10). A mixture of 4 (1mmol, 306 mg) and phenylisothiocynate (1 mmol, 135 mg) in dry dioxan (50 mL) was refluxed for 6 h. The obtained solid was filtered off, washed with ether, dried and recrystallized from ethanol to give thiosemicarbazide 10. Yield 60%, m.p. 240–242 °C. IR (KBr, cm−1): ν 3414-3323 (NH), 1680, 1660 (2CO). 1H-NMR (DMSO-d6) δH: 4.66 (s, 2H, CH2), 6.95-7.58 (m, 9H, thiophene + Ph-H), 8.49 (s, 1H, pyrimidine-H), 8.70, 10.71, 12.78 (3s, 3H, 3NH, disappeared with D2O). 13CNMR (DMSO-d6) δc: 40.16 (CH2), 119.9, 121.8, 126.8, 127.9, 128.8, 129.1, 130.2, 131.3, 134.1, 136.5, 137.9, 149.9 (14C, thiophene + Ph-C), 156.5 (1C, pyrimimidine-C), 166.5, 169.1 (2C, 2C=O), 171.0 (1C, C=S). Mass spectrum, m/z (EI, %): 441 (M+, 100), 442 (M+ + 1, 26). Analysis for C19H15N5O2S3 (441.54): Calculated: C, 51.68; H, 3.42; N, 15.86; S, 21.78. Found: C, 51.60; H, 3.40; N, 15.80; S, 21.70.
Synthesis of N-(4-oxo-2-(phenylimino)thiazolidin-3-yl)-2-(4-oxo-5-(thiophen-2-yl)thieno[2,3-d]-pyrimidin- 3(4H)-yl)acetamide (11). A mixture of 10 (1 mmol, 441 mg) and chloroacetic acid (1 mmol, 94 mg) in absolute ethanol (30 mL) was heated under reflux for 8 h. The solid formed was filtered off and crystallized with dioxane to give thiazole derivative 11. Yield 60%, m.p. 255–257 °C. IR (KBr, cm−1): ν 3420 (NH), 1720, 1630 (2C=O). 1H-NMR (DMSO-d6) δH: 3.76 (s, 2H, CH2), 4.85 (s, 2H, CH2), 6.95-7.65 (m, 9H, thiophene-H + Ph-H), 8.50 (s, 1H, pyrimidine-H), 11.10 (s, 1H, NH, disappeared with D2O). 13CNMR (DMSO-d6) δc: 40.2 (CH2), 56.8 (CH2), 120.0, 122.0, 126.7, 128.7, 130.7, 131.3, 132.5, 136.4, (8C, thiophene-C), 145.2, 149.3, 150.8, 151.9 (6C, Ph-C), 156.6 (1C, pyrimidine-C), 158.1 (1C, C=N), 163.4, 165.7, 169.6 (3C, 3C=O). Mass spectrum, m/z (EI, %): 481 (M+. 100), 482 (M+ + 1, 24). Analysis for C21H15N5O3S3 (481.56): Calculated: C, 52.38; H, 3.14; N, 14.54; S, 19.97. Found: C, 52.30; H, 3.10; N, 14.50; S, 19.90.
Synthesis of 3-(2-(3-methyl-5-oxo-2,5-dihydro-1H-pyrazol-1-yl)-2-oxoethyl)-5-(thiophen-2-yl)thieno- [2,3-d]pyrimidin-4(3H)-one (12). A mixture of compound 4 (1 mmol, 306 mg) and ethylacetoacetate (1 mmol, 130 mg) in ethanolic sodium hydroxide (0.5 mmol/50 mL) was refluxed with stirring for 6 h. The precipitate was collected by filtration and crystallized from dioxane to give pyrazole derivative 12. Yield 80%, m.p. 225–227 °C. IR (KBr, cm−1): ν 3417 (NH), 1650, 1630 (2C=O). 1H-NMR (DMSOd6) δH: 1.70 (s, 3H, CH3), 4.35 (s, 2H, CH2), 5.65 (s, 1H, pyrazole-CH), 7.51–7.69 (m, 4H, thiophene-H), 8.46 (s, 1H, pyrimidine-H), 12.93 (s, 1H, NH, disappeared with D2O). 13C-NMR (DMSO-d6) δc: 34.4 (CH3), 47.0 (CH2), 120.0, 123.8, 127.7, 128.7, 129.4, 130.9, 132.6, 136.5 (8C, thiophene), 98.3, 151.9 (2C, Pyrazole-C), 156.6 (1C, pyrimidine-C), 163.4, 166.5, 169.7 (3C, 3C=O). Mass spectrum, m/z (EI, %): 372 (M+, 100), 373 (M+ + 1, 18). Analysis for C16H12N4O3S2 (372.42): Calculated: C, 51.60; H, 3.25; N, 15.04; S, 17.22. Found: C, 51.50; H, 3.20; N, 15.00; S, 17.16.
Synthesis of N′-acetyl-2-(4-oxo-5-(thiophen-2-yl)thieno[2,3-d]pyrimidin-3(4H)-yl)aceto-hydrazide (13). A solution of 4 (1 mmol, 306 mg) in a mixture of AcOH acid and Ac2O (50 m, 1:1 v/v) was refluxed with stirring for 8 h. The reaction mixture was dropped onto iced-water. The obtained precipitate was filtered off, washed with water, and recrystallized from ethanol to give N-acetyl derivative 13. Yield 70%, m.p. 235–237 °C. IR (KBr, cm−1): ν 3369-3232 (NH, NH), 1732 (C=O). 1H-NMR (DMSOd6) δH: 1.86 (s, 3H, CH3), 4.68 (s, 2H, CH2), 7.10–7.70 (m, 4H, thiophene-H), 8.44 (s, 1H, pyrimidine-H), 10.70, 10.82 (2s, 2NH, disappeared with D2O). 13C-NMR (DMSO-d6) δc: 20.1 (CH3), 50.1 (CH2), 119.9, 122.0, 122.2, 126.8, 127.8, 128.7, 131.3, 136.4 (8C, thiophene-C), 157.0 (1C, pyrimidine-C), 162.8, 165.6, 169.1 (3C, 3C=O). Mass spectrum, m/z (EI, %): 348 (M+, 100), 349 (M+ + 1, 16). Analysis for C14H12N4O3S2 (348.40): Calculated: C, 48.27; H, 3.47; N, 16.08; S, 18.40. Found: C, 48.20; H, 3.40; N, 16.00; S, 18.32.
Synthesis of compounds 14 and 15. To a mixture of 13 (1 mmol, 348 mg) and ethylcyanoacetate or malononitrile (1 mmol) in EtOH (40 mL), a few drops of triethylamine were refluxed for 8 h, poured into iced-water. The precipitate was filtered off, and crystallized from EtOH to obtain compounds 14 and 15, respectively.
N-(6-Amino-4-hydroxy-2-oxopyridin-1(2H)-yl)-2-(4-oxo-5-(thiophen-2-yl)thieno[2,3-d]-pyrimidin-3(4H)-yl)acetamide (14). Yield 75%, m.p. 280–282 °C. IR (KBr, cm−1): ν 3492-3196 (OH, NH2, NH), 1420, 1680, 1653 (3 C=O). 1H-NMR (DMSO-d6) δH: 4.15 (s, 2H, CH2), 4.95, 5.70 (2s, 2H, 2CH), 6.50 (s, 2H, NH2, disappeared with D2O), 7.15–7.74 (m, 4H, thiophene-H), 8.50 (s, 1H, pyrimidine-H), 10.25 (s, 1H, OH, disappeared with D2O), 10.65 (s, 1H, NH, disappeared with D2O). 13C-NMR (DMSO-d6) δc: 49.00 (CH2), 116.1, 120.2, 121.8, 126.7, 127.9, 128.9, 131.3, 136.5 (8C, thiophene-C), 86.5, 100.2, 145.5, 158.7 (4C, pyridine-C), 156.2 (1C, pyrimidine-C), 164.1, 165.5, 169.5 (3C, 3CO). Mass spectrum, m/z (EI, %): 415 (M+, 75). Analysis for C17H13N5O4S2 (415.44): Calculated: C, 49.15; H, 3.15; N, 16.86; S, 15.43. Found: C, 49.05; H, 3.10; N, 16.80; S, 15.35.
N-(2,4-Diaminopyridin-1(2H)-yl)-2-(4-oxo-5-(thiophen-2-yl)thieno[2,3-d]-pyrimidin-3(4H)-yl)acetamide (15). Yield 75%, m.p. 290–292 °C, IR (KBr, cm−1). ν 3460-3345 (NH, NH2), 1680, 1653 (2C=O). 1H-NMR (DMSO-d6) δH: 4.13 (s, 2H, CH2), 4.60 (s, 2H, NH2, exchangeable with D2O), 5.60–6.10 (m, 4H, 4CH), 7.10–8.72 (m, 4H, thiophene-H), 8.47 (s, 1H, pyrimidine-H), 9.12 (s, 2H, NH2, disappeared with D2O), 10.32 (s, 1H, NH, disappeared with D2O). 13C-NMR (DMSO-d6) δc: 48.00 (CH2), 115.1, 120.0, 121.8, 126.8, 127.7, 128.7, 131.3, 136.5 (8C, thiophene-C), 78.5, 105.1, 118.5, 139.7, 150.0 (5C, pyridine-C), 157.0 (1C, pyrimidine-C), 165.6, 169.3 (2C, 2CO). Mass spectrum, m/z (EI, %): 400 (M+, 50). Analysis for C17H16N6O2S2 (400.48): Calculated: C, 50.99; H, 4.03; N, 20.99; S, 16.01. Found: C, 50.90; H, 4.00; N, 20.90; S, 15.95.
3.2. Biological Evaluation
3.2.1. Cytotoxic Assay
“Human breast cancer cells (MCF-7) and normal non-tumorigenic MCF-10A cells were used throughout the work. Cells were obtained from ATCC, Gaithersburg, MD, USA. Standard MTT assay was used to explore the possible cytotoxic effects of the synthesized compounds [41,42]. Medium composition, cultivation conditions and assay performance were exactly the same as our previous work [43,44]. Cells were treated with varying concentrations (0–1 µM) of the compounds prepared in DMSO. After MTT addition, the absorbance of the dissolved formazan crystals was read at 570 nm [45]. The IC50 values were obtained with linear regression equations using Origin® 6.1 software (Origin Lab Corporation, Northampton, MA, USA)”.
3.2.2. Human Breast Cancer Xenograft Animal Model
“In this work, MCF-7 mouse xenograft model was used. The animal protocol was approved by the Institutional Animal Use Ethics and Care Committee of the University of Alabama at Birmingham (50-01-05-08B). Female athymic pathogen-free nude mice (nu/nu, 4–6 weeks) were purchased from Frederick Cancer Research and Development Center (Frederick, MD, USA). To establish MCF-7 human breast cancer xenografts, each of the female nude mice was first implanted with a 60-day (subcutaneously, s.c.) slow release estrogen pellet (SE-121, 1.7 mg 17α-estradiol/pellet; Innovative Research of America, Sarasota, FL, USA). After 24 h, grown cells were harvested, washed twice with serum-free medium, resuspended, and injected subcutaneously (5 million cells/0.2 mL) into the left inguinal area of the mice. During the experiment, animals were checked periodically and the percentages of tumor growth, as well as animal weights, were recorded. Every 48 h, the size of the tumor was recorded by measuring two perpendicular diameters of the tumor and tumor volume was calculated according to Wang et al. [46]”.
“Treated animals and control groups (7–10 mice/group) received different compounds and vehicles, respectively. The tested compounds were dissolved in PEG400:ethanol:saline (57.1:14.3:28.6, v/v/v), and injected intraperitoneal (i.p.) at doses of 5 and 10 µM/kg/d, 3 d/wk for 3 weeks. The higher dose (10 µM/kg/d, 3 d/wk) inhibited MCF-7 xenograft tumor growth”.
3.2.3. Pim-1 Kinase Inhibitory Activity
Materials and Methods
“The kinase inhibitory activity of the synthesized compounds was determined using the Kinexus compound profiling service, Canada. Compounds were tested at 50 nM concentration. The kinase used was cloned, expressed and purified using proprietary methods. Quality control testing is routinely performed to ensure compliance to acceptable standards. 33P-ATP was purchased from PerkinElmer. All other materials were of standard laboratory grade”.
Pim-1 Kinase Protein Assay
“The protein kinase target profiling was executed via employing a radioisotope assay format. All the assays were performed in a prepared radioactive working area. The protein kinase profiling assays were performed at room temperature for 20–30 min in a final volume of 25 µL according to the reported method [47]”.
4. Conclusions
During the current work, different new 14 thiophenyl thienopyrimidinone derivatives were synthesized using variable cyclization and condensation routes. The synthesized derivatives showed promising potential biological potentials for their use in the pharmaceutical industry. They revealed higher in vitro cytotoxic activities against breast cancer cell line MCF-7 in comparison to known drugs, e.g., Cisplatin and Milaplatin. Furthermore, the prepared derivatives proved to be less toxic against the non-tumorigenic MCF-10A cell line. In vivo studies also showed potential reduction in tumor growth in animal models for all synthesized derivatives compared to control animals. Finally, mechanism of action studies showed that the newly synthesized derivatives exert their anticancer effects through the inhibition of pim-1 kinase enzymes.
Author Contributions
M.F.E.-S., A.A.I., A.A.F. and H.M.H. performed most of the experiments; A.E.-G.E.A. and M.A.A. analyzed the data; E.A.E. contributed to the anticancer activity assays; All authors read and approved the final manuscript.
Funding
The authors are grateful to the Deanship of Scientific Research, King Saud University for funding through Vice Deanship of Scientific Research Chairs.
Acknowledgments
The authors are grateful to the Deanship of Scientific Research, King Saud University for funding through Vice Deanship of Scientific Research Chairs.
Conflicts of Interest
The authors declare no conflict of interest.
References
- Amr, A.E.; Mohamed, A.M.; Mohamed, S.F.; Abdel-Hafez, N.A.; Hammam, A.G. Anticancer activities of some newly synthesized pyridine, pyrane and pyrimidine derivatives. Bioorg. Med. Chem. 2006, 14, 5481–5488. [Google Scholar] [CrossRef] [PubMed]
- Amr, A.E.; Abdalla, M.M. Anticancer activities of some synthesized 2,4,6-trisubstituted pyridine candidates. Biomed. Res. 2016, 27, 731–736. [Google Scholar]
- Mohamed, S.F.; Flefel, E.M.; Amr, A.E.; Abd El-Shafy, D.N. Anti-HSV-1 activity and mechanism of action of some new synthesized substituted pyrimidine, thiopyrimidine and thiazolopyrimidine derivatives. Eur. J. Med. Chem. 2010, 45, 1494–1501. [Google Scholar] [CrossRef] [PubMed]
- Ouf, N.H.; Amr, A.E. Synthesis and anti-inflammatory activity of some pyrimidines and thienopyrimidines using 1-(2-benzo[d][1,3]dioxol-5-yl)vinyl)-4-mercapto-6-methyl- pyrimidine-5-yl)- ethan-2-one as a starting material. Mon. Chem. 2008, 139, 579–585. [Google Scholar] [CrossRef]
- Abdel-Hafez, N.A.; Mohamed, A.M.; Amr, A.E.; Abdalla, M.M. Antiarrhythmic activities of some new synthesized tricyclic and tetracyclic thienopyridine derivatives. Sci. Pharm. 2009, 77, 539–553. [Google Scholar] [CrossRef]
- Abdulla, M.M.; Amr, A.E.; Al-Omar, M.A.; Hussain, A.A.; Shalaby, A.F.A. Anti- inflammatory activity and acute toxicity (LD50) of some new synthesized pyridine-2-yl- phenyl)-2-methoxybenzamide and thieno[2,3-b]pyridine derivatives. Life Sci. J. 2013, 10, 286–297. [Google Scholar]
- Fayed, A.A.; Amr, A.E.; Al-Omar, M.A.; Mostafa, E.E. Synthesis and antimicrobial activity of some new substituted pyrido[3′,2′:4,5]thieno[3,2-d]pyrimidinone derivatives. Russ. J. Bioorg. Chem. 2014, 40, 308–313. [Google Scholar] [CrossRef]
- Ouf, N.H.; Sakran, M.I.; Amr, A.E. Anti-inflammatory activities of some newly synthesized substituted thienochromene and Schiff base derivatives. Res. Chem. Intermed. 2015, 41, 2521–2536. [Google Scholar] [CrossRef]
- Said, S.A.; El-Sayed, H.A.; Amr, A.E.; Abdalla, M.M. Selective and orally bioavailable CHK1 inhibitors of some synthesized substituted thieno[2,3-b]pyridine candidates. Int. J. Pharm. 2015, 11, 659–671. [Google Scholar]
- Amr, A.E.; Al-Omar, M.A.; Abdalla, M.M. Biological evaluations of some synthesized pyrimidothieno[2,3-b]pyrimidine candidates as antiulcer agents. Int. J. Pharm. 2015, 11, 840–845. [Google Scholar] [CrossRef]
- Amr, A.E.; Abdalla, M.M.; Ouf, N.H. Anti-angiogenic effects of some (5-hydroxy-4- methyl-2-((1-methyl-1H-indol-3-yl)methyl)thieno[2,3-d]pyrimidine derivatives. J. Comput. Nanosci. 2017, 14, 448–453. [Google Scholar] [CrossRef]
- Nasr, M.N.; Gineinah, M.M. Pyrido[2,3-d]pyrimidines and pyrimido[5,4-5,6]pyrido[2,3-d] pyrimidines as new antiviral agents, synthesis and biologicalactivity. Arch. Pharm. Pharm. Med. Chem. 2002, 335, 289–295. [Google Scholar] [CrossRef]
- Chambhare, R.V.; Khadse, B.G.; Bobde, A.S.; Bahekar, R.H. Synthesis and preliminary evaluation of some N-[5-(2-furanyl)-2-methyl-4-oxo-4H-thieno[2,3-d]pyrimidine-3-yl]- carboxamide and 3-substituted-5-(2-furanyl)-2-methyl-3H-thieno[2,3-d]pyrimidine-4-ones as antimicrobial agents. Eur. J. Med. Chem. 2003, 38, 89–100. [Google Scholar] [CrossRef]
- Russell, R.K.; Press, J.B.; Rampulla, R.A.; McNally, J.J.; Falotico, R.; Keiser, J.A.; Bright, D.A.; Tobia, A. Thiophene systems. 9. Thienopyrimidinedione derivatives as potential antihypertensive agents. J. Med. Chem. 1988, 31, 1786–1793. [Google Scholar] [CrossRef]
- Alagarsamy, V.; Meena, S.; Ramseshu, K.V.; Solomon, V.R.; Thirumurugan, K.; Dhanabal, K.; Murugan, M. Synthesis, analgesic, anti-inflammatory, ulcerogenic index and antibacterial activities of novel 2-methylthio-3-substituted-5,6,7,8-tetrahydrobenzo thieno [2,3-d]pyrimidin- 4(3h)-ones. Eur. J. Med. Chem. 2006, 41, 1293–1300. [Google Scholar] [CrossRef] [PubMed]
- Petrie, C.R.; Cottam, H.B.; Mckernan, P.A.; Robins, R.K.; Revankar, G.R. Synthesis and biological activity of 6-azacadeguomycin and certain 3,4,6-trisubstituted pyrazolo-[3,4-d]pyrimidine ribonuleosi. J. Med. Chem. 1985, 28, 1010–1016. [Google Scholar] [CrossRef]
- Mullican, M.D.; Wilson, M.W.; Connor, D.T.; Kostlan, C.R.; Schrier, D.J.; Dyer, R.D. Design of 5-(3,5-di-tert-butyl-4-hydroxyphenyl)-l,3,4-thiadiazoles-1,3,4-oxadiazoles, and 1,2,4-triazoles as orally-active, nonulcerogenic antiinflammatory agents. J. Med. Chem. 1993, 36, 1090–1099. [Google Scholar] [CrossRef] [PubMed]
- Shi, W.; Qian, X.; Zhang, R.; Song, G. Synthesis and quantitative structure-activity relationships of new 2,5-disubstituted-1,3,4-oxadiazoles. J. Agric. Food Chem. 2001, 49, 124–130. [Google Scholar] [CrossRef] [PubMed]
- Gaonkar, S.L.; Rai, K.M.L.; Prabhuswamy, B. Synthesis and antimicrobial studies of a new series of 2-{4-[2-(5-ethylpyridin-2-yl)ethoxy]phenyl}-5-substituted-1,3,4-oxadiazoles. Eur. J. Med. Chem. 2006, 41, 841–846. [Google Scholar] [CrossRef] [PubMed]
- Patel, R.V.; Pate, P.K.; Kumari, P.; Rajani, D.P.; Chikhalia, K.H. Synthesis of benzimida zolyl-1,3,4-oxadiazol-2ylthio-n-phenyl (benzothiazolyl) acetamides as antibacterial, antifungal and antituberculosis agents. Eur. J. Med. Chem. 2012, 53, 41–51. [Google Scholar] [CrossRef] [PubMed]
- Varvounis, G.; Giannopoulos, T. Synthesis, Chemistry, and Biological Properties of Thienopyrimidines. In Advances in Heterocyclic Chemistry; Alan, R.K., Ed.; Academic Press: Cambridge, MA, USA, 1996; pp. 193–283. [Google Scholar]
- Litvinov, V.P. The Chemistry of Thienopyrimidines. In Advances in Heterocyclic Chemistry; Alan, R.K., Ed.; Academic Press: Cambridge, MA, USA, 2006; pp. 83–143. [Google Scholar]
- Dumaître, B.; Dodic, N. Synthesis and cyclic GMP phosphodiesterase inhibitory activity of a series of 6-phenylpyrazolo[3,4-d]pyrimidines. J. Med. Chem. 1996, 39, 1635–1644. [Google Scholar] [CrossRef] [PubMed]
- El-Sherbeny, M.A.; El-Ashmawy, M.B.; El-Subbagh, H.I.; El-Emam, A.A.; Badria, F.A. Synthesis, antimicrobial and antiviral evaluation of certain thienopyrimidine derivatives. Eur. J. Med. Chem. 1995, 30, 445–449. [Google Scholar] [CrossRef]
- Rizk, O.H.; Shaaban, O.G.; El-Ashmawy, I.M. Design, synthesis and biological evaluation of some novel thienopyrimidines and fused thienopyrimidines as anti-inflammatory agents. Eur. J. Med. Chem. 2012, 55, 85–93. [Google Scholar] [CrossRef] [PubMed]
- Aly, H.M.; Saleh, N.M.; Elhady, H.A. Design and synthesis of some new thiophene, thienopyrimidine and thienothiadiazine derivatives of antipyrine as potential antimicrobial agents. Eur. J. Med. Chem. 2011, 46, 4566–4572. [Google Scholar] [CrossRef] [PubMed]
- Elrazaz, E.Z.; Serya, R.A.T.; Ismail, N.S.M.; Abou El Ella, D.A.; Abouzid, K.A.M. Thieno[2,3-d]pyrimidine based derivatives as kinase inhibitors and anticancer agents. Future Journal of Pharmaceutical Sciences 2015, 1, 33–41. [Google Scholar] [CrossRef]
- Munchhof, M.J.; Beebe, J.S.; Casavant, J.M.; Cooper, B.A.; Doty, J.L.; Higdon, R.C.; Hillerman, S.M.; Soderstrom, C.I.; Knauth, E.A.; Marx, M.A.; et al. Design and SAR of thienopyrimidine and thienopyridine inhibitors of VEGFR-2 kinase activity. Bioorg. Med. Chem. Lett. 2004, 14, 21–24. [Google Scholar] [CrossRef] [PubMed]
- Le, B.T.; Kumarasiri, M.; Adams, J.R.; Yu, M.; Milne, R.; Sykes, M.J.; Wang, S. Targeting Pim kinases for cancer treatment: Opportunities and challenges. Future Med. Chem. 2015, 7, 35–53. [Google Scholar] [CrossRef]
- Narlik-Grassow, M.; Blanco-Aparicio, C.; Carnero, A. The PIM family of serine/threonine kinases in cancer. Med. Res. Rev. 2014, 34, 136–159. [Google Scholar] [CrossRef]
- Nawijn, M.C.; Alendar, A.; Berns, A. For better or for worse: The role of PIM oncogenes in tumorigenesis. Nat. Rev. Cancer 2011, 11, 23–34. [Google Scholar] [CrossRef]
- Cuypers, H.T.; Selten, G.; Quint, W.; Zijlstra, M.; Maandag, E.R.; Boelens, W.; van Wezenbeek, P.; Melief, C.; Berns, A. Murine leukemia virus induced T-cell lymphomagenesis: Integration of proviruses in a distinct chromosomal region. Cell 1984, 37, 141–150. [Google Scholar] [CrossRef]
- Tursynbay, Y.; Zhang, J.; Li, Z.; Tokay, T.; Zhumadilov, Z.; Wu, D.; Xie, Y. PIM-1 kinase as cancer drug target: An update (Review). Biomed. Rep. 2016, 4, 140–146. [Google Scholar] [CrossRef] [PubMed]
- Keane, N.A.; Reidy, M.; Natoni, A.; Raab, M.S.; O’Dwyer, M. Targeting the PIM kinases in multiple myeloma. Blood Cancer J. 2015, 5, e325. [Google Scholar] [CrossRef] [PubMed]
- Foulks, J.M.; Carpenter, K.J.; Luo, B.; Xu, Y.; Senina, A.; Nix, R.; Chan, A.; Clifford, A.; Wilkes, M.; Vollmer, D.; et al. A small-molecule inhibitor of pim kinases as a potential treatment for urothelial carcinomas. Neoplasia 2014, 16, 403–412. [Google Scholar] [CrossRef] [PubMed]
- Decker, S.; Finter, J.; Forde, A.J.; Kissel, S.; Schwaller, J.; Mack, T.S.; Kuhn, A.; Gray, N.; Follo, M.; Jumaa, H.; et al. PIM kinases are essential for chronic lymphocytic leukemia cell survival (PIM2/3) and CXCR4-mediated microenvironmental interactions (PIM1). Mol. Cancer 2014, 13, 1231–1245. [Google Scholar] [CrossRef] [PubMed]
- Lu, J.; Zavorotinskaya, T.; Dai, Y.; Niu, X.H.; Castillo, J.; Sim, J.; Yu, J.; Wang, Y.; Langowski, J.L.; Holash, J.; et al. PIM2 is required for maintaining multiple myeloma cell growth through modulating TSC2 phosphorylation. Blood 2013, 122, 1610–1620. [Google Scholar] [CrossRef] [PubMed]
- Drygin, D.; Haddach, M.; Pierre, F.; Ryckman, D.M. Potential use of selective and nonselective pim kinase inhibitors for cancer therapy. J. Med. Chem. 2012, 55, 8199–8208. [Google Scholar] [CrossRef] [PubMed]
- Guo, S.; Mao, X.; Chen, J.; Huang, B.; Jin, C.; Xu, Z.; Qiu, S. Overexpression of Pim-1 in bladder cancer. J. Exp. Clin. Cancer Res. 2010, 29, 161–167. [Google Scholar] [CrossRef] [PubMed]
- Brault, L.; Gasser, C.; Bracher, F.; Huber, K.; Knapp, S.; Schwaller, J. PIM serine/threonine kinases in the pathogenesis and therapy of hematologic malignancies and solid cancers. Haematologica 2010, 95, 1004–1015. [Google Scholar] [CrossRef] [PubMed]
- Elsayed, E.A.; Sharaf-Eldin, M.A.; Wadaan, M. In vitro evaluation of cytotoxic activities of essential oil from Moringa oleifera seeds on HeLa, HepG2, MCF-7, CACO-2 and L929 cell lines. Asian Pac. J. Cancer Prev. 2015, 16, 4671–4675. [Google Scholar] [CrossRef]
- Elsayed, E.A.; Farooq, M.; Dailin, D.; El-Enshasy, H.A.; Othman, N.Z.; Malek, R.; Danial, E.; Wadaan, M. In vitro and in vivo biological screening of kefiran polysaccharide produced by lactobacillus kefiranofaciens. Biomed. Res. 2017, 28, 594–600. [Google Scholar]
- Amr, A.E.; Elsayed, E.A.; Al-Omar, M.A.; Badr Eldin, H.O.; Nossier, E.S.; Abdallah, M.M. Design, synthesis, anticancer evaluation and molecular modeling of novel estrogen derivatives. Molecules 2019, 24, 416. [Google Scholar] [CrossRef]
- Amr, A.E.; El-Naggar, M.; Al-Omar, M.A.; Elsayed, E.A.; Abdalla, M.M. In vitro and in vivo anti-breast cancer activities of some synthesized pyrazolinyl-estran-17-one candidates. Molecules 2018, 23, 1572. [Google Scholar] [CrossRef]
- McCauley, J.; Zivanovic, A.; Skropeta, D. Bioassays for anticancer activities. Methods Mol. Biol. 2013, 1055, 191–205. [Google Scholar]
- Wang, H.; Yu, D.; Agrawal, S.; Zhang, R. Experimental therapy of human prostate cancer by inhibiting MDM2 expression with novel mixed-backbone antisense oligonucleotides: In vitro and in vivo activities and mechanisms. Prostate 2003, 54, 194–205. [Google Scholar] [CrossRef]
- Naguib, B.H.; El-Nassan, H.B.; Abdelghany, T.M. Synthesis of new pyridothieno- pyrimidinone derivatives as Pim-1 inhibitors. J. Enzyme Inhibit. Med. Chem. 2017, 32, 457–467. [Google Scholar] [CrossRef]
Sample Availability: Samples of the all compounds are available from the authors. |
© 2019 by the authors. Licensee MDPI, Basel, Switzerland. This article is an open access article distributed under the terms and conditions of the Creative Commons Attribution (CC BY) license (http://creativecommons.org/licenses/by/4.0/).





