Pharmacokinetic and Metabolism Studies of Curculigoside C by UPLC-MS/MS and UPLC-QTOF-MS
Abstract
1. Introduction
2. Results
2.1. Pharmacokinetic Study
2.1.1. Method Development
2.1.2. Method Validation
2.1.3. Pharmacokinetic Study
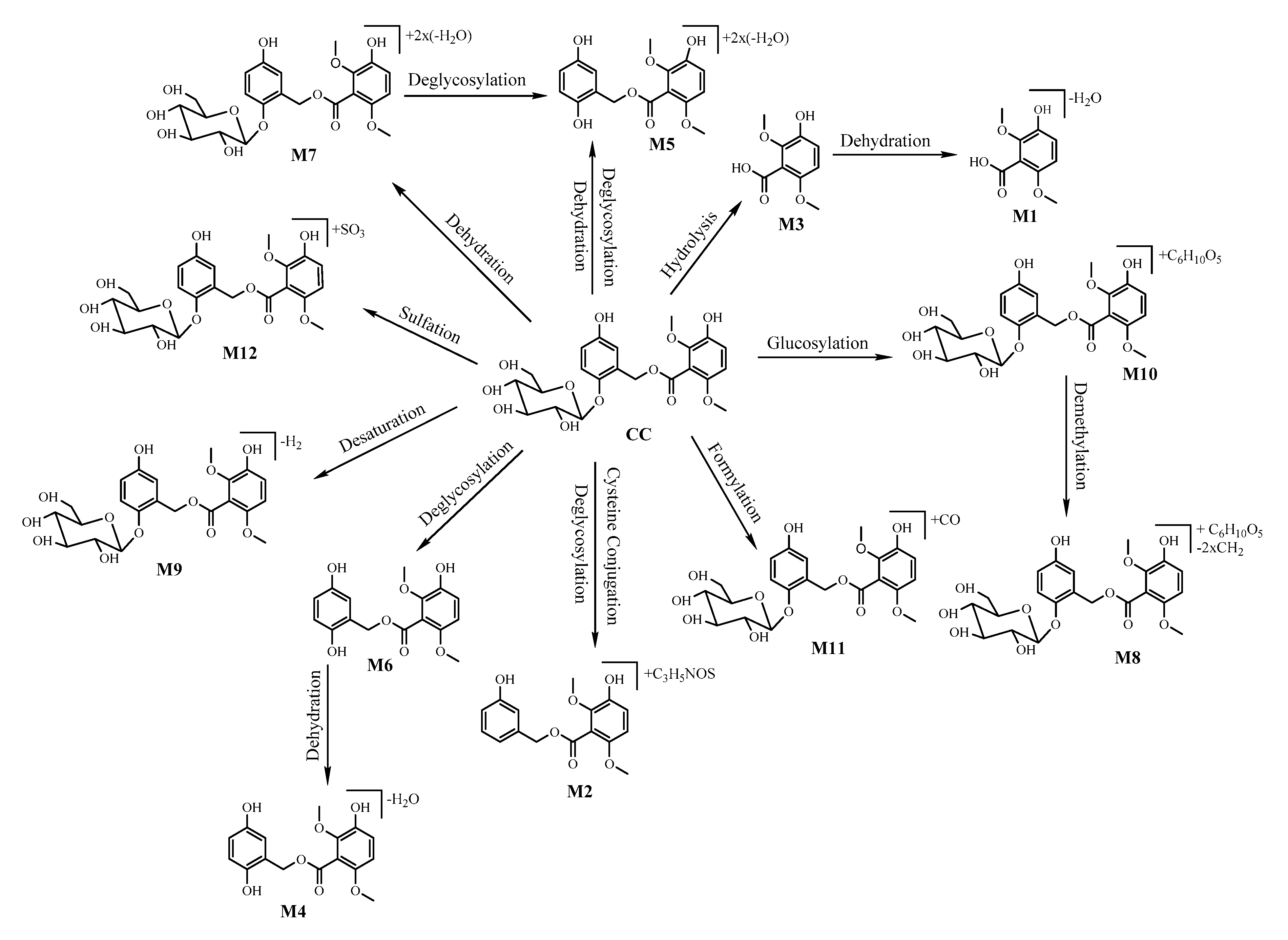
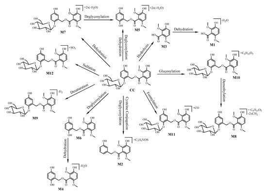
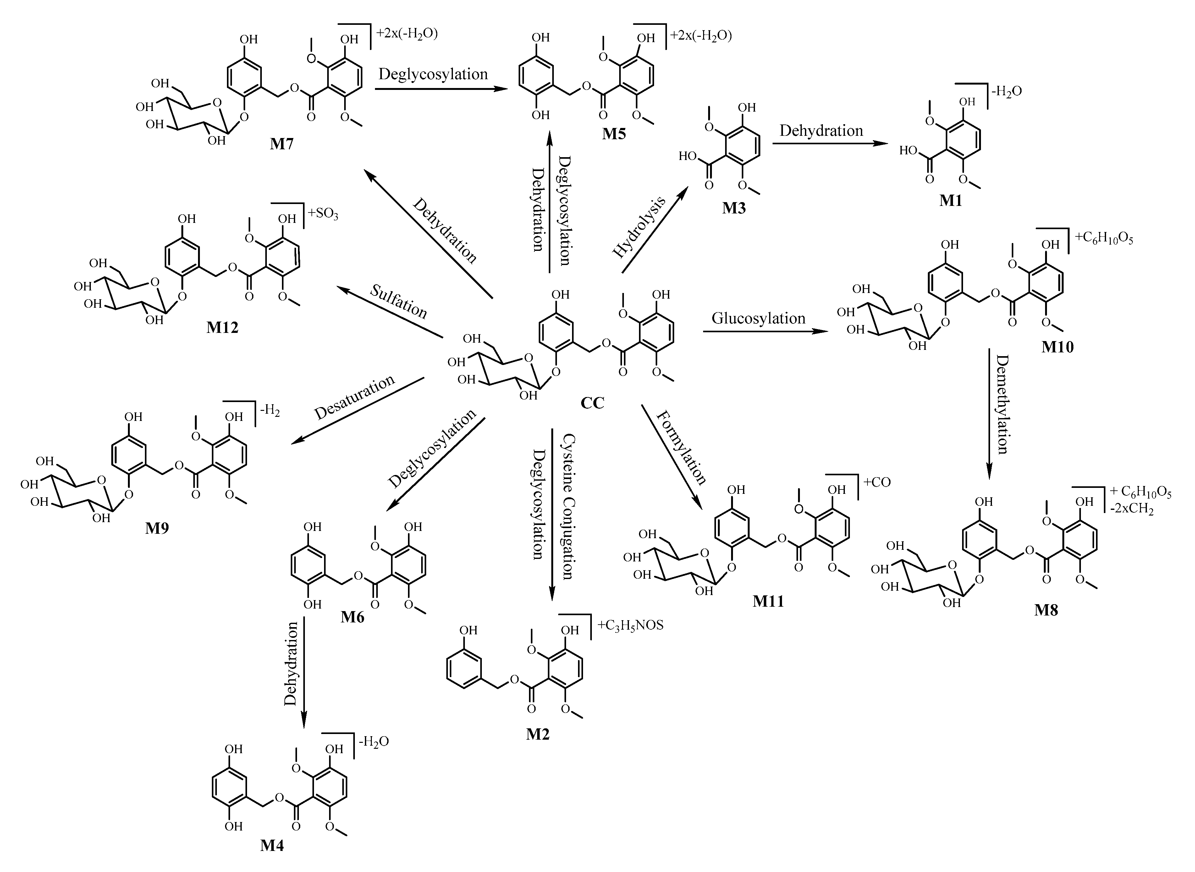
2.1.4. Metabolites Identification of CC
Phase I Metabolites
Phase II Metabolites
3. Discussion
4. Experimental
4.1. Materials and Reagents
4.2. Animals and Drug Administration
4.3. Sample Preparation
4.3.1. Pharmacokinetic Study
4.3.2. Metabolism Study
4.4. Instruments and Experimental Conditions
4.4.1. LC-MS/MS Conditions
4.4.2. UPLC-QTOF/MS Conditions
4.5. Method Validation
4.6. Pharmacokinetic Study
5. Conclusions
Author Contributions
Funding
Conflicts of Interest
References
- He, Y.J.; Dong, X.; Jia, X.X.; Li, M.; Yuan, T.T.; Xu, H.T.; Qin, L.P.; Han, T.; Zhang, Q.Y. Qualitative and quantitative analysis on chemical constituents from Curculigo orchioides using ultra high performance liquid chromatography coupled with electrospray ionization quadrupole time-of-flight tandem mass spectrometry. J. Pharm. Biomed. Anal. 2015, 102, 236–245. [Google Scholar] [CrossRef] [PubMed]
- Celine, R.; Tristan, R.; Xavier, V.; Jean-Michel, M. New polyphenols active on b-amyloid aggregation. J. Bioorg. Med. Chem. Lett. 2008, 18, 828–831. [Google Scholar]
- Wang, Y.; Sun, Q.Z.; Ma, L.Y. Study on the Effects of Curculigoside on Proliferation, Differentiation, and Calcification of Mouse Osteoblastic MC3T3-E1 Cells. J. World. Sci. Technol. 2011, 13, 852–855. [Google Scholar]
- Der, J.O.; Nur, H.A.; Mustapha, U.I.; Noorjahan, B.A.; Maznah, I. Curculigoside and polyphenol-rich ethyl acetate fraction of Molineria latifolia rhizome improved glucose uptake via potential mTOR/AKT activated GLUT4 translocation. J. Food Drug Anal. 2018, 26, 1253–1264. [Google Scholar]
- Jiao, L.; Cao, D.P.; Qin, L.P.; Han, T.; Zhang, Q.Y.; Zhu, Z.; Yan, F. Antiosteoporotic activity of phenolic compounds from Curculigo orchioides. J. Phytomed. 2009, 16, 874–881. [Google Scholar] [CrossRef] [PubMed]
- Wang, Z.H.; Huang, J.; Ma, X.C.; Li, G.Y.; Ma, Y.P.; Li, N.; Wang, J.H. Phenolic glycosides from Curculigo orchioides Gaertn. J. Fitoter. 2013, 86, 64–69. [Google Scholar] [CrossRef] [PubMed]
- Valls, J.; Richard, T.; Larronde, F.; Leblais, V.; Muller, B.; Delaunay, J.C.; Monti, J.P.; Ramawat, K.G.; Merillon, J.M. Two new benzylbenzoate glucosides from Curculigo orchioides. J. Fitoter. 2006, 77, 416–419. [Google Scholar] [CrossRef]
- Dall’Acqua, S.; Shrestha, B.B.; Comai, S.; Innocenti, G.; Gewali, M.B.; Jha, P.K. Two phenolic glycosides from Curculigo orchioides Gaertn. J. Fitoter. 2009, 80, 279–282. [Google Scholar] [CrossRef]
- Zuo, A.X.; Yong, S.; Jiang, Z.Y.; Zhang, X.M.; Zhou, J.; Lü, J.; Chen, J.J. Three new phenolic glycosides from Curculigo orchioides G. J. Asian Nat. Prod. Res. 2010, 8, 93–98. [Google Scholar] [CrossRef]
- Tian, Z.; Yu, W.; Liu, H.B.; Zhang, N.; Li, X.B.; Zhao, M.G.; Liu, S.B. Neuroprotective effects of curculigoside against NMDA-induced neuronal excitoxicity in vitro. J. Food Chem. Toxicol. 2012, 50, 4010–4015. [Google Scholar] [CrossRef]
- Chan, H.T.; Jan, C.R.; Liang, W.Z. Protective effects of a phenolic glycoside compound curculigoside on H2O2-induced oxidative stress and cytotoxicity in normal human breast epithelial cells. J. Funct. Foods 2018, 41, 171–182. [Google Scholar] [CrossRef]
- Ding, H.M.; Gao, G.M.; Zhang, L.; Shen, G.W.; Sun, W.J.; Gu, Z.P.; Fan, W.M. The protective effects of curculigoside A on adjuvant-induced arthritis by inhibiting NF-кB/NLRP3 activation in rats. J. Int. Immunopharm. 2016, 30, 43–49. [Google Scholar] [CrossRef] [PubMed]
- Jiang, W.; Fu, F.; Tian, J.; Zhu, H.; Hou, J. Curculigoside attenuates experimental cerebral ischemia injury in vitro and vivo. J. Neurosci. 2011, 192, 572–579. [Google Scholar] [CrossRef] [PubMed]
- Zhao, G.; Yuan, F.; Zhu, J. An LC-MS/MS method for determination of curculigoside with anti-osteoporotic activity in rat plasma and application to a pharmacokinetic study. J. Biomed. Chromatog. 2014, 28, 341–347. [Google Scholar] [CrossRef] [PubMed]
- Yuan, T.T.; Xu, H.T.; Zhao, L.; Lv, L.; He, Y.J.; Zhang, N.D.; Qin, L.P.; Han, T.; Zhang, Q.Y. Pharmacokinetic and tissue distribution profile of curculigoside after oral and intravenously injection administration in rats by liquid chromatography-mass spectrometry. J. Fitoter. 2015, 101, 64–72. [Google Scholar] [CrossRef] [PubMed]
- Fu, D.X.; Lei, G.Q.; Cheng, X.W.; Chen, J.K.; Zhou, T.S. Curculigoside C, a New Phenolic Glucoside from Rhizomes of Curculigo orchioides. J. Acta Bot. Sin. 2004, 46, 621–624. [Google Scholar]
- Josep, V.; Jean-Pierre, M. Antioxidative Phenols and Phenolic Glycosides from Curculigo orchioides. J. Chem. Pharm. Bull. 2005, 53, 1065–1067. [Google Scholar]
- Zhou, X.J.; Mei, R.Q.; Zhang, L.; Lu, Q.; Zhao, J. Abiodun Humphrey Adebayoa and Yong-Xian Cheng. Antioxidant phenolics from Broussonetia papyrifera fruits. J. Asian Nat. Prod. Res. 2010, 12, 399–406. [Google Scholar] [CrossRef]
- Tang, Z.M. The role of pharmacokinetics in new drug evaluation. J. J. Mil. Med. Sci. Acad. PLA. Chi. People. Liber. Army. 1983, 28, 64–68. [Google Scholar]
- Sheiner, L.B.; Steimer, J.L. Pharmacokinetic/pharmacodynamic modeling in drug development. J. Annu. Rev. Pharmacal. Toxicol. 2000, 40, 67–95. [Google Scholar] [CrossRef]
- Ke, Y.Y.; Gonthier, R.; Isabelle, M.; Bertin, J.; Simard, J.N.; Alain, Y.; Dury, F.L. A rapid and sensitive UPLC–MS/MS method for the simultaneous quantification of serum androsterone glucuronide, etiocholanolone glucuronide, and androstan-3a, 17b diol 17-glucuronide in postmenopausal women. J. Steroid. Biochem. Mol. Biol. 2015, 149, 146–152. [Google Scholar] [CrossRef] [PubMed]
- Rudden, M.; Tsauosi, K.; Marchant, R.; Ibrahim, M.B.; Smyth, T.J. Development and validation of an ultra-performance liquid chromatography tandem mass spectrometry (UPLC-MS/MS) method for the quantitative determination of rhamnolipid congeners. J. Appl. Microbiol. Biotechnol. 2015, 99, 9177–9187. [Google Scholar] [CrossRef] [PubMed]
Sample Availability: Samples of the compounds are available from the authors. |






| Concentration (ng/mL) | Intra-Day Measured Concentration (ng/mL) | Precision (RSD, %) | Accuracy (RE, %) | Inter-Day Measured Concentration (ng/mL) | Precision (RSD, %) | Accuracy (RE, %) |
|---|---|---|---|---|---|---|
| 3 | 3.02 ± 0.12 | 4.10 | 0.56 | 2.96 ± 0.15 | 5.24 | −1.44 |
| 200 | 195.5 ± 9.40 | 4.81 | −2.25 | 188.33 ± 12.82 | 6.81 | −5.83 |
| 2000 | 1934.33 ± 106.49 | 5.51 | −3.28 | 1890 ± 123.94 | 6.56 | −5.50 |
| Concentration | Mean ± SD | Accuracy | ||
|---|---|---|---|---|
| (ng/mL) | (ng/mL) | (%) | ||
| Short-term stability | CC | 3 | 2.91 ± 0.13 | −3.00 |
| (25 °C, 4 h) | 200 | 185.5 ± 8.60 | −7.25 | |
| 2000 | 1882.50 ± 117.78 | −5.88 | ||
| IS | 100 | 92.83 ± 3.31 | −7.17 | |
| Long-term stability | CC | 3 | 2.84 ± 0.09 | −5.22 |
| (10 °C, 16 h) | 200 | 184.33 ± 12.23 | −7.83 | |
| 2000 | 1870.50 ± 110.70 | −6.48 | ||
| IS | 100 | 92.50 ± 5.68 | −7.50 | |
| Freezing stability | CC | 3 | 2.945 ± 0.11 | −1.83 |
| (−20 °C, 14 d) | 200 | 193.83 ± 10.23 | −3.08 | |
| 2000 | 1908.17 ± 103.51 | −4.59 | ||
| IS | 100 | 94.00 ± 5.33 | −6.00 | |
| CC | 3 | 2.87 ± 0.11 | −4.33 | |
| (3 freeze-thaw cycles) | 200 | 185.17 ± 9.50 | −7.42 | |
| 2000 | 1889.67 ± 124.23 | −5.52 | ||
| IS | 100 | 90.83 ± 5.19 | −9.17 | |
| Dose (mg/kg) | t1/2 (h) | Tmax (h) | AUC(0–60) (μg/L/h) | AUC(0–∞) (μg/L/h) | F (%) | Vd (L/kg) | CLz (L/h/kg) |
|---|---|---|---|---|---|---|---|
| 15 | 2.022 ± 0.184 | 0.106 ± 0.149 | 62.731 ± 10.149 | 66.310 ± 10.563 | 2.01 | 673.157 ± 116.509 | 231.036 ± 36.69 |
| 30 | 2.061 ± 0.325 | 0.111 ± 0.043 | 133.17 ± 48.434 | 140.656 ± 48.335 | 2.13 | 722.605 ± 316.306 | 234.188 ± 74.864 |
| 60 | 2.048 ± 0.227 | 0.111 ± 0.043 | 299.155 ± 80.954 | 316.980 ± 91.704 | 2.39 | 585.344 ± 124.289 | 201.905 ± 55.193 |
| 2.0 (i.v) | 1.153 ± 0.203 | - | 416.700 ± 70.401 | 420.700 ± 70.690 | - | 8.122 ± 1.973 | 4.869 ± 0.834 |
| No. | RT (min) | Formula | Measured Mass (m/z) | Calculate Mass (m/z) | Error (ppm) | Fragment Ions | Molecular Ion | Source |
|---|---|---|---|---|---|---|---|---|
| CC | 6.71 | C22H26O12 | 505.1316 | 482.1424 | −1.5 | 321.1053, 303.0952, 261.0605, 220.9952, 181.0598, 123.1042 | [M + Na]+ | B,P,U |
| M1 | 4.05 | C9H8O4 | 181.0495 | 180.0423 | −1.7 | 132.0217, 123.0114 | [M + H]+ | B,P,U |
| M2 | 4.25 | C19H21NO7S | 430.0921 | 407.1039 | −3.4 | 303.0899, 323.0102, 220.0795 | [M + Na]+ | B,U |
| M3 | 6.27 | C9H10O5 | 221.0415 | 198.0528 | −3.0 | 123.0056, 167.9961, 170.0025, 181.0536 | [M + Na]+ | B,F |
| M4 | 7.66 | C16H14O6 | 303.0872 | 302.0790 | 2.3 | 181.0425, 132.9930, 106.0411 | [M + H]+ | B,P |
| M5 | 9.51 | C16H12O5 | 285.0769 | 284.0685 | 3.2 | 257.0453, 105.0336, 164.9847 | [M + H]+ | B,P |
| M6 | 10.29 | C16H16O7 | 343.0775 | 320.0896 | −4.4 | 123.0328, 181.0326, 220.8950 | [M + Na]+ | B,U,F |
| M7 | 14.93 | C22H22O10 | 447.1297 | 446.1213 | 2.0 | 267.0531, 164.9847, 223.0606 | [M + H]+ | B,P,U |
| M8 | 15.72 | C26H32O17 | 639.1541 | 616.1639 | 1.5 | 437.0844, 179.0473, 123.0320 | [M + Na]+ | B,P,U,F |
| M9 | 18.47 | C22H24O12 | 503.1174 | 480.1268 | 2.7 | 463.1024, 450.0755, 220.0650 | [M + Na]+ | B,U,F |
| M10 | 22.41 | C28H36O17 | 667.1838 | 644.1952 | −1.1 | 612.1283, 465.1102, 303.0946 | [M + Na]+ | B,P,U,F |
| M11 | 22.92 | C23H26O13 | 511.1465 | 510.1373 | 3.1 | 123.0306, 181.0726, 331.0715 | [M + H]+ | B,F |
| M12 | 26.88 | C22H26O15S | 585.0892 | 562.0992 | 1.2 | 209.0086, 190.9980, 303.0779, 320.0425, 259.0245, 243.0094 | [M + Na]+ | B,F |
© 2018 by the authors. Licensee MDPI, Basel, Switzerland. This article is an open access article distributed under the terms and conditions of the Creative Commons Attribution (CC BY) license (http://creativecommons.org/licenses/by/4.0/).
Share and Cite
Wu, D.; Wang, H.; Tan, J.; Wang, C.; Lin, H.; Zhu, H.; Liu, J.; Li, P.; Yin, J. Pharmacokinetic and Metabolism Studies of Curculigoside C by UPLC-MS/MS and UPLC-QTOF-MS. Molecules 2019, 24, 21. https://doi.org/10.3390/molecules24010021
Wu D, Wang H, Tan J, Wang C, Lin H, Zhu H, Liu J, Li P, Yin J. Pharmacokinetic and Metabolism Studies of Curculigoside C by UPLC-MS/MS and UPLC-QTOF-MS. Molecules. 2019; 24(1):21. https://doi.org/10.3390/molecules24010021
Chicago/Turabian StyleWu, Di, Han Wang, Jing Tan, Cuizhu Wang, Hongqiang Lin, Hailin Zhu, Jinping Liu, Pingya Li, and Jianyuan Yin. 2019. "Pharmacokinetic and Metabolism Studies of Curculigoside C by UPLC-MS/MS and UPLC-QTOF-MS" Molecules 24, no. 1: 21. https://doi.org/10.3390/molecules24010021
APA StyleWu, D., Wang, H., Tan, J., Wang, C., Lin, H., Zhu, H., Liu, J., Li, P., & Yin, J. (2019). Pharmacokinetic and Metabolism Studies of Curculigoside C by UPLC-MS/MS and UPLC-QTOF-MS. Molecules, 24(1), 21. https://doi.org/10.3390/molecules24010021

