Abstract
Xanthones represent a structurally diverse group of compounds with a broad range of biological and pharmacological activities, depending on the nature and position of various substituents in the dibenzo-γ-pyrone scaffold. Among the large number of natural and synthetic xanthone derivatives, carboxyxanthones are very interesting bioactive compounds as well as important chemical substrates for molecular modifications to obtain new derivatives. A remarkable example is 5,6-dimethylxanthone-4-acetic acid (DMXAA), a simple carboxyxanthone derivative, originally developed as an anti-tumor agent and the first of its class to enter phase III clinical trials. From DMXAA new bioactive analogues and derivatives were also described. In this review, a literature survey covering the report on carboxyxanthone derivatives is presented, emphasizing their biological activities as well as their application as suitable building blocks to obtain new bioactive derivatives. The data assembled in this review intends to highlight the therapeutic potential of carboxyxanthone derivatives and guide the design for new bioactive xanthone derivatives.
1. Introduction
Xanthones (9H-xanthen-9-ones) are an important class of oxygenated three-membered heterocyclic compounds with a dibenzo-γ-pyrone scaffold (1, Figure 1) [1]. Over the years, considerable interest has been attracted in xanthone derivatives mainly because of their diverse range of biological/pharmacological activities [2,3,4,5]. The xanthone scaffold is considered a privileged structure [6,7], which can belong to the pharmacophoric moiety for the activity exhibited or as a substituent group associated with other chemical cores to modulate diverse biological responses [3].
Figure 1.
Xanthone scaffold and numbering (1) and DMXAA (2).
Naturally-occurring xanthones can be found as secondary metabolites in diverse terrestrial sources including higher plants, fungi, lichens [8,9] as well as isolated from marine invertebrates, such as sponges, tunicates, mollusks and bryozoans, in addition to algae and marine microorganisms (cyanobacteria and fungi) [10,11]. They comprise a variety of different types of substituents in certain positions of the xanthone scaffold, leading to a vast diversity of biological/pharmacological activities [3] as well as different physicochemical and pharmacokinetic properties [12,13], being a remarkable basis for the discovery of new potential drug candidates.
Currently, there are many drugs on the market and in clinical trials, which were isolated or based on natural products [14,15,16], highlighting that natural compounds, such as xanthone derivatives, have always been a source of inspiration for the discovery of new therapeutic agents [14]. Some commercially available extracts with human health promotion properties present xanthone derivatives in composition [9]. Nevertheless, biosynthetic pathways only allow the presence of certain groups in specific positions on the xanthone scaffold. Therefore, the total synthesis strategy allows access to structures that otherwise could not be reached within the natural product as a launching platform for molecular modification [17]. In fact, with proper synthetic pathways, many other substituents can be introduced into the xanthone scaffold affording the development of more diverse compounds for biological activity and structure-activity relationship (SAR) studies [18], as well as other applications such as preparation of fluorescence probes [19,20] or stationary phases for liquid chromatography [21,22,23]. For the last several years, the isolation and synthesis of new bioactive xanthone derivatives using different synthetic methodologies has remained in the area of great interest of our group, as exemplified in [24,25,26,27,28,29,30,31,32,33,34,35].
Among the large number of natural and synthetic xanthone derivatives, those containing a carboxylic group have shown great significance in medicinal chemistry. A remarkable example is 5,6-dimethylxanthone-4-acetic acid (DMXAA, Vadimezan, ASA404, 2, Figure 1), a simple carboxyxanthone derivative, which reached phase III clinical trials towards antitumor activity [36].
This review aims to describe the research findings on biological and pharmacological activities of natural and synthetic carboxyxanthone derivatives. Their applications as suitable chemical substrates to obtain new analogues and derivatives are also presented.
2. Natural Carboxyxanthone Derivatives
Typically, natural xanthones are classified in six main groups, depending on the nature of the substituents in the xanthone scaffold: simple xanthones, glycosylated xanthones, prenylated xanthones, bis-xanthones, xanthonolignoids and miscellaneous [3,9]. More recently, Masters and Bräse [8] subdivided the natural xanthones in monomers and dimers/heterodimers. Regarding the structural characteristics of natural carboxyxanthone derivatives, in this review they are classified into simple carboxyxanthone derivatives, prenylated carboxyxanthone derivatives, caged carboxyxanthone derivatives, and carboxyxanthone derivatives bound or fused to polysubstituted oxygenated heterocycles.
2.1. Simple Carboxyxanthone Derivatives
2.1.1. 2-Hydroxy-6-Methyl-8-Methoxy-9-oxo-9H-Xanthene-1-Carboxylic Acid (3) and 2-Hydroxy-6-Hydroxymethyl-8-Methoxy-9-Oxo-9H-Xanthene-1-Carboxylic Acid (4)
Healy et al. [37] described, in 2004, the isolation of two new carboxyxanthones, 2-hydroxy-6-methyl-8-methoxy-9-oxo-9H-xanthene-1-carboxylic acid (3) and 2-hydroxy-6-hydroxymethyl-8-methoxy-9-oxo-9H-xanthene-1-carboxylic acid (4) (Figure 2), from the strain Xylaria sp., of the tree Glochidion ferdinandi. These compounds were tested for toxicity in a brine shrimp (Artemia salina) lethality assay and for antimicrobial activity against Escherichia coli, Streptococcus pneumonia, Enterococcus faecalis, Pseudomonas aeruginosa, Straphylococcus aureus and Candida albicans, showing no activity in either of the assays [37]. In 2016, Beattie et al. [38] tested these compounds for antimicrobial activity against several organisms, including Escherichia coli, Staphylococcus aureus, Candida albicans, Cryyptococcus neoformans and Cryptococcus gatti as well as cytotoxicity against mammalian cells. Although compound 4 was inactive, compound 3 showed mild antifungal activity against Cryptococcus neoformans and Cryptococcus gatti [38].
Figure 2.
Structures of simple carboxyxanthone derivatives (3–23).
2.1.2. Monodictyxanthone (5)
In 2007, Krick et al. [39] isolated a new carboxyxanthone, monodictyxanthone (5) (Figure 2), from the fungus genus Monodictys putredinis and tested it in a series of bioassays for potential cancer chemopreventive activities. The results showed dose-dependent Cytochrome P450 1A activity inhibition and a slight inhibition of the enzyme aromatase [39].
2.1.3. 8-(Methoxycarbonyl)-1-Hydroxy-9-Oxo-9H-Xanthene-3-Carboxylic Acid (6)
The carboxyxanthone 8-(methoxycarbonyl)-1-hydroxy-9-oxo-9H-xanthene-3-carboxylic acid (6) (Figure 2), isolated from a culture broth of the mangrove endophytic fungus Penicillium sp. from the bark of Acanthus ilicifolius Linn, by Shao et al. in 2008 [40], was tested for cytotoxicity against human epidermoid carcinoma and multidrug-resistant human epidermoid carcinoma of the nasopharynx; however, no activity in either assays was observed [40].
2.1.4. Yicathin C (7)
Sun et al. [41] reported, in 2013, the isolation of yicathin C (7) (Figure 2), from the inner tissue of the marine red alga Gymnogongrus flabelliformis. Yicathin C (7) was assayed for antibacterial and antifungal activities using a standard agar diffusion test. Inhibitory activity against E. coli, S. aureus and C. lagenarium was observed [41]. In addition, it was found that this marine carboxyxanthone exhibited weak brine shrimp (Artemia salina) toxicity [41].
2.1.5. 2,8-Dihydroxy-1-Methoxycarbonyl-9-Oxo-9H-Xanthene-6-Carboxylic Acid (8) and 2,8-Dihydroxy-9-Oxo-9H-Xanthene-6-Carboxylic acid (9)
The isolation of the carboxyxanthone 2,8-dihydroxy-1-methoxycarbonyl-9-oxo-9H-xanthene-6-carboxylic acid (8) (Figure 2) was firstly described, in 2014, from the marine derived fungus Penicillium citrinum SCSGAF 0167 strain [42]. This compound was tested as potential cathepsin B inhibitor; however, it showed no inhibitory activity [42]. In 2015, Ma et al. [43] reported the isolation of compound 8 from the fungal endophyte Aspergillus versicolor. Further biological activity evaluation showed a strong inhibitory activity against α-glucosidase enzyme [43]. Recently, Liao et al. [44] isolated the same compound (8) from an endophytic fungus Arthrinium arundinis of Anoectochilus roxburghii as well as a new carboxyxanthone, 2,8-dihydroxy-9-oxo-9H-xanthene-6-carboxylic acid (9) (Figure 2).
2.1.6. 6,8-Dihydroxy-3-Methyl-9-Oxo-9H-Xanthene-1-Carboxylic Acid (10)
In 2010, Li et al. [45] reported the isolation of 6,8-dihydroxy-3-methyl-9-oxo-9H-xanthene-1-carboxylic acid (10) (Figure 2) from the toxigenic fungus Penicillium oxalicum. To the best of our knowledge, no activities were described for this compound.
2.1.7. Globosuxanthone D (11)
Wijeratne et al. [46] isolated the carboxyxanthone globosuxanthone D (11), from the fungal strain Chaetomium globosum of the cactus, Opuntia leptocaulis, in 2006, and tested it against seven human solid tumor cell lines; however, no activity was observed (Figure 2).
2.1.8. 2,5-Dihydroxy-8-Methoxy-6-Methyl-9-Oxo-9H-Xanthene-1-Carboxylic Acid (12)
The carboxyxanthone 2,5-dihydroxy-8-methoxy-6methyl-9-oxo-9H-xanthene-1-carboxylic acid (12) (Figure 2) was isolated by Davis et al. [47], in 2006, from the endophytic fungus Xylaria sp. FRR 5657; however, no biological activity was reported so far.
2.1.9. Pinselic Acid (13)
Pinselic acid (13) (Figure 2) was firstly isolated, in 1953, by Munekata [48] from the fungal strain Penicillum amarum. In 2004, Healy et al. [37] isolated the same compound (13) from a microfungus of Xylaria sp. genus. To the best of our knowledge, no activity studies were performed for this compound.
2.1.10. 8-Hydroxy-6-Methyl-9-Oxo-9H-Xanthene-1-Carboxylic Acid (14)
In 2014, Abdissa et al. [49], isolated the carboxyxanthone 8-hydroxy-6-methyl-9-oxo-9H-xanthene-1-carboxylic acid (14) (Figure 2), from the roots of Bulbine frutescens. Additionally, this compound (14) demonstrated to be inactive against KB-3-1 cervix carcinoma human cell line [49].
2.1.11. 2,3,6-Trihydroxy-7-Hydroxymethylene Xanthone-1-Carboxylic Acid (15) and Glycosilated Analogues (16–17)
2,3,6-Trihydroxy-7-hydroxymethylene xanthone-1-carboxylic acid (15), 2-methoxy-4-hydroxy-7-methyl-3-O-β-d-glucopyranosyl xanthone-1,8-dicarboxylic acid (16), and 2-hydroxy-7-hydroxymethylene xanthone-1,8-dicarboxylic acid 3-O-β-d-glucopyranosyl(2′→3′′)-3′′-O-stigmast-5-ene (17) (Figure 2) were described in 2011 by Singh et al. [50] upon isolation from the seeds of Rhus coriaria L. All compounds were further tested for antifungal activity against Aspergillus flavus, Candida albicans, and Penicillum citrinum strains. Carboxyxanthones 16 and 17 were effective, showing inhibitory growth activity for all three fungal strains. The only exception was compound 15 which was ineffective against Penicillum citrinum [50].
2.1.12. Scriblitifolic Acid (18) and Teysmannic Acid (19)
The isolation of scriblitifolic acid (18) (Figure 2), from the heartwood of Calophyllztm scriblitifolium, was first described by Jackson et al. [51], in 1967. Later, in 2000, Kijjoa et al. [52] reported the isolation of a new carboxyxanthone derivative, teysmannic acid (19), along with scriblitifolic acid (18), from the wood of Calophyllum teysmmannii var. inophylloide from Southern Thailand. To the best of our knowledge, no activities were described for both compounds.
2.1.13. (2E,2′E)-3,3′-(9-Oxo-9H-Xanthene-2,6-Diyl)Diacrylic Acid (20)
(2E,2′E)-3,3′-(9-oxo-9H-xanthene-2,6-diyl)diacrylic acid (20) (Figure 2), was isolated from the leaves of Santolina insularis, in 2005, by Cottiglia et al. [53]. This carboxyxanthone was proven to have moderate anti-inflammatory activity against croton oil-induced ear oedema in rats, after topical application [53].
2.1.14. Glomexanthones A–C (21–23)
The isolation of glomexanthones A–C (21–23) (Figure 2), from an ethanol extract of Polygala glomerata, was described by Li et al., in 2014 [54]. These compounds were subjected to neuroprotection bioassays in human neuroblastoma SK-N-SH cells and showed moderate neuroprotective effects on l-Glutamic acid-induced cellular damage [54].
2.2. Prenylated Carboxyxanthone Derivatives
2.2.1. 2,8-Di-(3-Methylbut-2-Enyl)-1,3,8-Trihydroxy-4-Methyl-Xanthone (24)
Gopalakrishnan and Balaganesan [55] reported, in 2000, the isolation of a new carboxyxanthone, 2,8-di-(3-methylbut-2-enyl)-1,3,8-trihydroxy-4-methyl-xanthone (24) (Figure 3), from the fruit hulls of Garcinia mangostana. To the best of our knowledge, no activity was reported for compound 24.
Figure 3.
Structures of prenylated carboxyxanthone derivatives (24–27).
2.2.2. Oliganthic Acid A (25), Oliganthic Acid B (26), and (±)-Oliganthic Acid C (27)
In 2016, Tang et al. [56] isolated three new carboxyxanthones, oliganthic acid A (25), oliganthic acid B (26), and (±)-oliganthic acid C (27) (Figure 3), from the leaves of Garcinia oligantha. The cytotoxicity activity was evaluated against A549, HepG2, HT-29, PC3, and HL-7702 human cancer cell lines; however, no activity against these cell lines was observed.
2.3. Caged Carboxyxanthone Derivatives
2.3.1. Gambogic Acid (28) and Analogues (29–70)
Gambogic acid (28) and neogambogic acid (29) were firstly isolated, in 1984, by Lu et al. [57] from Garcinia hanburyi. Since then, several studies regarding the isolation and biological activity evaluation of gambogic acid (28) and its analogues (29–70) (Figure 4) have been published [58,59,60,61,62,63,64,65,66,67,68,69,70,71,72,73]. In 1993, Lin et al. [58] reported the isolation of isogambogic acid (30). In 1996, Asano et al. [59] reported the isolation of five additional caged carboxyxanthone derivatives from the gamboge resin of Garcinia hanburyi, including the previously reported gambogic acid (28), as well as the morellic (31), moreollic (39), gambogenic (47) and gambogellic (58) acids [59].
Figure 4.
Structures of gambogic acid (28) and analogues (29–70).
For the past 17 years, several research groups have reported the isolation of novel caged prenylated carboxyxanthones, analogues of gambogic acid, from the leaves, resin and fruits of Garcinia hanburyi and Garcinia morella, including, isomorellic acid (32) [60], 7-isoprenylmorellic acid (33) [60], 30-hydroxygambogic acid (34) [65], 10-methoxygambogic acid (35) [67], 10-ethoxygambogic acid (36) [67], 7-methoxygambogic acid (37) [68], oxygambogic acid (38) [68], gambogic acids A and B (40 and 41) [63], 8,8a-dihydro-8hydroxymorellic acid (42) [68], 8,8a-dihydro-8-hydroxygambogic acid (43) [68], garcinolic acid (44) [69], 10α-ethoxy-9,10-dihydromorellic acid (45) [69], 10α-butoxygambogic acid (46) [72], gaudichaudic acid (48) [63], isogambogenic acid (49) [63], 10-methoxygambogenic acid (50) [67], epigambogic acid (51) [64], 30-hydroxyepigambogic acid (52) [65], epiisogambogic acid (53) [66], 7-methoxyepigambogic acid (54) [68], 12-hydroxygambogefic acid (55) [70], 8,8a-dihydro-8-hydroxygambogenic acid (56) [68], 10-methoxygambogenic acid (57) [69], 7-methoxygambogellic acid (59) [68], 8,8a-epoxymorellic acid (60) [62], hanburinone (61) [61], gambogollic acid (62) [71], epigambogollic acid (63) [71], gambogefic acid (64) [68], 22,23-dihydroxydihydrogambogenic acid (65) [70], gambogic acid C (66) [72], gambogenific acid (67) [68] and epigambogic acids A, B and C (68–70) [72]. All these compounds were subjected to bioactivity assays and, it is important to highlight their overall cytotoxic activities against several cell lines including P-388, KB, Col-2, BCA-1, LU-1, ASK, K-562/ADR and K-562/S [62,63,74]. Anti-HIV-1 activity of gambogic acid (28) and morellic acid (31), by inhibiting the HIV-1 reverse transcriptase enzyme [62] and the antiatherosclerosis activity of gambogic acid (28) via inhibition of vascular smooth muscle cell proliferation were also significant [75]. The isolation and biological activity evaluation of these compounds have been extensively reviewed by several groups [76,77,78,79,80].
2.3.2. Gaudichaudiic Acids A–I (71–79)
In 1998, Cao et al. [81] isolated a set of five caged carboxyxanthone derivatives from the leaf extract of Garcinia gaudichaudii, namely, gaudichaudiic acids A–E (71–75). Later, in 2000, other caged carboxyxanthone derivatives, gaudichaudiic acids F–I (76–79), were reported by Xu et al. [82]. In both studies, compounds 71–79 (Figure 5) were tested for cytotoxicity against several cell lines, including P388/DOX and Messa [82], P388 [81,82], WEHI1640, MOLT4, HePG2, and LL/2 [81]. It was found that all compounds showed cytotoxic activity against P388 cell line. Gaudichaudiic acids A–E (71–75) were also active against WEHI1640, MOLT4 and LL/2, while only gaudichaudiic acids A (71) and E (75) showed activity against the HePG2 cell line [81]. Regarding gaudichaudiic acids G–I (77–79), they were cytotoxic against P388/DOX and Messa cell lines [82].
Figure 5.
Structures of gaudichaudiic acid A–I (71–79).
2.3.3. Scortechinones (80–90)
The isolation of caged carboxyxanthones was primarily achieved by Rukachaisirikul and colleagues [83,84,85,86], from several plant parts of Garcinia scortechinii. In 2000, the same group reported the isolation of scortechinones B (80), and C (81) (Figure 6), from the twigs of Garcinia scortechinii [83]. These compounds were tested for antimicrobial activity against methicillin-resistant Staphylococcus aureus (MRSA SK1), and both showed good antibacterial activity [83]. Later, in 2003, three new carboxylated scortechinones were isolated from the latex of Garcinia scortechinii, namely, scortechinones F (82), G (83) and K (84), along with the previously mentioned scortechinone B (80) [84]. A year later, four new carboxylated scortechinones (M–P) (85–88) (Figure 5) were isolated from the bark stem of Garcinia scortechinii, along with scortechinones 80–84 [85]. Scortechinones C (81) and M (85) were identified as having identical structures; however, due to the difference in their optical rotation values, scortechinone M (85) was identified as a C-11 epimer of scortechinone C (81) [85]. All the isolated scortechinones were tested for antibacterial activity against two strains of Staphylococcus aureus, namely ATCC25923 and MRSA SK1 [83]. In this study, the antibacterial activities of scortechinones B (80), and C (81) against MRSA SK1 [83], as well as against the ATCC25923 strain was confirmed. Regarding scortechinones F (82), G (83), and K (84), it was found that these compounds were active against both Staphylococcus aureus strains [84]. The best minimum inhibitory concentration (MIC) indices were achieved by Scortechinone F (82). Scortechinones M–P (85–88) presented good antibacterial activity results overall, with scortechinone P (88) showing the best MIC indices for both strains [85].
Figure 6.
Structure of scortechinones 80–90.
In 2005, two more caged carboxylated scortechinones were isolated from the fruits of Garcinia scortechinii, specifically scortechinones R (89) and S (90), (Figure 6) [86]. These new scortechinones (89–90) were tested against MRSA SK1, showing good antibacterial activity [86].
2.4. Carboxyxanthone Derivatives Bound or Fused to Polysubstituted Oxygenated Heterocycles
2.4.1. Vinaxanthone 411F (91) and Analogues (92–95)
Vinaxanthone 411F (91) (Figure 7) was firstly isolated from Penicillium vinaceum NR6815, by Aoki et al. [87], in 1991, being identified as a novel phospholipase C selective inhibitor of murine colon 26 adenocarcinoma and murine fibroblasts NIH3T3. Three years later, it was found that vinaxanthone 411F (91) also interact with multiple sites of CD4 cells, inhibiting anti-Leu3a and HIV gp120 binding to human CD4 cells, as well as antigen-induced T-cell proliferation of CD4+ [88]. In the same year, three new vinaxanthone analogues were isolated from Penicillium glabrum, specifically vinaxanthones 411P (92), 411J (93), and 2383 (94), the cyclized form of 411J (Figure 7) [89]. In 2008, another vinaxanthone analogue, comprising axial chirality, (aR)-2′-methoxyvinaxanthone (95), (Figure 7), along with the previously reported vinaxanthones 91 and 92, were isolated from a strain of Penicillium vinaceum [90]. In this study, vinaxanthone 411F (91), vinaxanthone 411J (93) and (aR)-2′-methoxyvinaxanthone (95) exhibited significant growth inhibition of crown gall tumors on Agrobacterium tumefaciens cultures [90]. Recently, other activities were reported for vinaxanthone 91, such as inhibition of the bacterial enzyme enoyl-ACP reductase (FabI) from S. aureus, as well as a growth inhibition of two resistant strains, namely methicillin-resistant and quinolone-resistant S. aureus [91].
Figure 7.
Structures of carboxyxanthone derivatives bound or fused to polysubstituted oxygenated heterocycles (91–103).
2.4.2. Xanthofulvin (96)
In 1993, the pharmaceutical company Hoffmann-La Roche AG, in the person of Dr. Masubuchi, filed a patent on the isolation of a new carboxyxanthone, xanthofulvin (96) (Figure 7), from cultures of Eupenicillium sp. NR7125 [92]. This compound (96) was found to have good inhibitory activity against the enzyme chitin synthase [92]. A decade later, in 2003, Kumagai et al. [93] isolated compound 96 from cultures of Penicillium sp. SPF-3059, and demonstrated that it also exhibited semaphorin inhibitory activity. In the same year, Kikuchi et al. [94] and Kaneko et al. [95] reported that xanthofulvin (96) was the first described Sema3A inhibitor in both in vitro and in vivo studies promoting spinal cord regeneration. Recently, it was evaluated for inhibition of cysteine synthase enzyme by Mori et al. [96] showing inhibitory activity against both EhCS1 and EhCS3. Recently, the mechanism of action of xanthofulvin (96) and vinaxanthone (91) for inhibition of Sema3A have been described [97].
2.4.3. 6,7,11-Trihydroxy-10-Methoxy-9-(7-Methoxy-3-Methyl-1-Oxoisochroman-5-yl)-2-Methyl-12-Oxo-12H-Benzo[b]Xanthene-4-Carboxylic Acid (97) and 6,7-Dihydroxy-10,11-Dimethoxy-9-(7-Methoxy-3-Methyl-1-Oxoisochroman-5-yl)-2-Methyl-12-Oxo-12H-Benzo[b]Xanthene-4-Carboxylic Acid (98)
In 2012, Omolo et al. [98] isolated two new carboxyxanthones, 6,7,11-trihydroxy-10-methoxy-9-(7-methoxy-3-methyl-1-oxoisochroman-5-yl)-2-methyl-12-oxo-12H-benzo[b]xanthene-4-carboxylic acid (97) and 6,7-dihydroxy-10,11-dimethoxy-9-(7-methoxy-3-methyl-1-oxoisochroman-5-yl)-2-methyl-12-oxo-12H-benzo[b]xanthene-4-carboxylic acid (98) (Figure 7), from the tubers of Pyrenacantha kaurabassana. Their activity against an HIV strain via the deCIPhR assay was evaluated demonstrating that both compounds showed moderate anti-HIV activity; however, low selectivity indices were observed, concluding that they were not effective as anti-HIV entry inhibitors [98].
2.4.4. Scortechinones V (99), W (100) and X (101)
Scortechinones V (99), W (100), and X (101) (Figure 7) were isolated from the fruits of Garcinia scortechinii, together with the previously described caged scortechinones R (89) and S (90) (Figure 6) [86]. These carboxylated derivatives presented antibacterial activity against MRSA SK1, especially scortechinone W (100), showing the lowest MIC value (52.8 µM) [86].
2.4.5. Dehydrocitreaglycon A (102) and Citreaglycon A (103)
In 2012, Liu et al. [99] isolated two new carboxyxanthones, dehydrocitreaglycon A (102) and citreaglycon A (103) (Figure 7), from marine-derived Streptomyces caelestis. These two compounds showed antibacterial activity against S. haemolyticus, S. aureus and Bacillus subtillis [99,100].
3. Synthetic Carboxyxanthone Derivatives
Michael and Kostanecki introduced one of the first methods for the synthesis of xanthones, which involved the distillation of a mixture of a phenol, O-hydroxybenzoic acid, and acetic anhydride [101,102]. Since then, several other routes affording higher yields and less drastic experimental conditions have been developed [103,104,105,106,107,108,109,110].
In general, four methods can be applied for the synthesis of simple xanthones: Grover, Shah and Shan method, in one step reaction, synthesis via benzophenone and diaryl ether intermediates, which overcome the limitations of one-step methods [17,18], and synthesis via chromen-4-one derivatives [111] (Figure 8). For the synthesis of carboxylated xanthone derivatives any of these methods can be applied if using suitable building blocks.
Figure 8.
Commonly used synthetic routes of xanthones.
3.1. DMXAA (2), XAA (104) and Analogues (105–161)
Among the synthetic carboxyxanthone derivatives, DMXAA (5,6-dimethylxanthone-4-acetic acid, Vadimezan, ASA404, 2, Figure 1) aroused much interest in the scientific community due to its remarkable pharmacological profile. Several reviews can be found in the literature focused on DMXAA (2), mainly highlighting its antitumor activity [36,112,113,114,115,116,117,118,119,120,121]. DMXAA (2) selectively attacks established tumor blood vessels through induction of apoptosis in tumor vascular endothelial cells [122,123], causing vascular collapse and hemorrhagic necrosis, and expanding tumor hypoxia [124,125]. It has inductive effects on different cytokines, chemokines, and vasoactive factors [126,127,128], which interact with tumor endothelial cells resulting in hemorrhagic tumor necrosis. It also induces nitric oxide [129,130,131], serotonin [132,133], and nuclear factor κB [134,135]. In addition to antitumor activity, other activities have been reported for DMXAA (2), including antiviral [136], antiplatelet and antithrombotic [137]. In phase I/II clinical trials, DMXAA (2), in combination with standard anticancer agents, showed promising results for the treatment of non–small-cell lung cancer [138,139,140,141,142]; however, in two large-scale phase III clinical trials the combination of DMXAA (2) with other anticancer drugs failed to increase their efficacy [143].
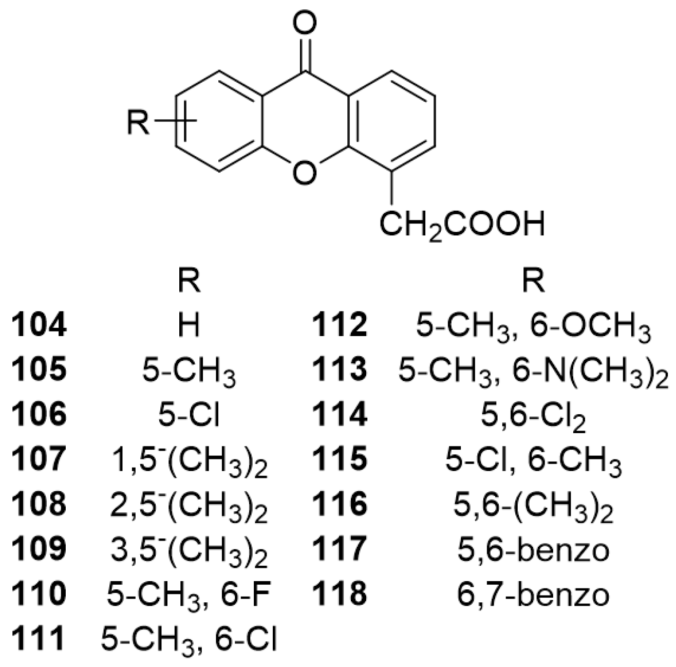
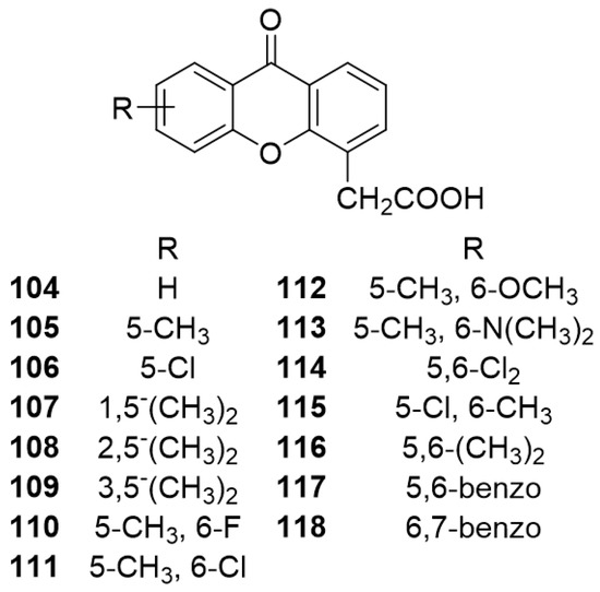
This carboxyxanthone derivative (2) was discovered, in 1991, in a structure-activity relationship study using diverse xanthenone-4-acetic acid (XAA, 104) analogues (105–118) of a flavone acetic acid drug (Figure 9) [144]. Analogues 107–109 comprising only one substituent in each aromatic ring of xanthone scaffold, were synthesized by coupling sodium salts of 2-iodo-3-methylbenzoic acid with a suitable methyl-substituted 2-hydroxyphenylacetic acid, using tris-[2-(2-methoxyethoxy)ethyl]amine as catalyst. Then, an acid-catalyzed cyclodehydration of the obtained diacids was carried out [144]. The same route was used for analogues 110–111 and 114–118, including DMXAA (2), by coupling salts of 2-hydroxyphenylacetic acid with appropriate disubstituted 2-iodobenzoic acids. For the analogues 112–113, a nucleophilic displacement of chlorine from 6-chloro-5-methyl-9-oxo-9H-xanthene-4-acetic acid with methoxide and dimethylamine, respectively, was performed [144].
Figure 9.
Structure of XAA (104) and analogues 105–118.
In 2002, an improved synthesis of DMXAA (2) was developed by optimization of the synthesis of the key intermediate 3,4-dimethylanthranilic acid via nitration of 3,4-dimethylbenzoic acid and separation by crystallization [145]. A higher overall yield was obtained from 3,4-dimethylbenzoic acid, specifically 22%. Seven years later, a new short and efficient synthesis of DMXAA (2) was reported using 3,4-dimethylbenzoic acid as starting material [146]. The synthetic pathway comprises of four steps, being the key steps the dibromination of 3,4-dimethylbenzoic acid, followed by the regioselective coupling with 2-hydroxyphenylacetic acid and further cyclodehydration, in an overall yield of 51%.
From a biological activity perspective, it is evident that DMXAA (2) may be a useful scaffold for the development of other bioactive compounds and, over the years, several analogues and derivatives have been developed. In 2006, Gobbi et al. [147], synthetized several carboxylated DMXAA (2) analogues (119–134) with potential antitumoral activity (Figure 10). The synthesis was performed through a multi-step pathway by derivatization of 4-allyl-3-hydroxy-9H-xanthen-9-one. All compounds were tested for antiproliferative activity towards human ovarian adenocarcinoma 2008 cell line, and cisplatin-resistant subline C13* [147]. It was found that compounds 119 and 128 presented good ability to inhibit 2008 cell line [148]. Most of the other compounds only presented cytotoxic activity at the highest tested concentration [147].
Figure 10.
Structure of DMXAA analogues 119–146.
In the same study, Gobbi et al. [147] also described another 12 XAA derivatives (135–146) (Figure 10), specifically the intermediates for synthesis of the analogues 119–134; however, they were not tested for cytotoxic activity.
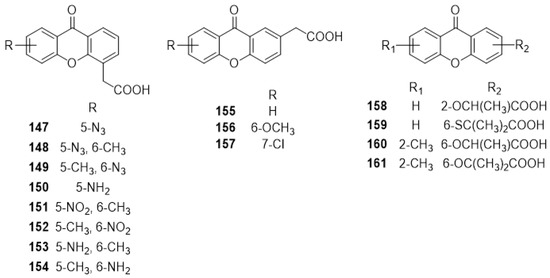
In 2007, eight new analogues of DMXAA (2) and XAA (104) bearing azido, nitro and amino moieties, compounds 147–154 (Figure 11), were reported by Palmer [148]. All compounds were tested for their cytotoxicity on HECPP murine endothelial cells, as well as their ability to induce hemorrhagic necrosis in mice with colon 38 tumors [148]. It was found that compounds 147 and 148 caused profound necrosis on the tested tumors, when compared to the carboxyxanthone derivative 2 [148]. Compound 147 was able to bind specifically to cellular proteins through photoreaction, which could be a useful tool to identify the receptors of DMXAA (2) [148]. In 2009, Marona et al. reported the synthesis of seven new analogues (155–161) (Figure 11) of DMXAA (2), with weak cytotoxicity against J7774A.1 cells [149].
Figure 11.
Structures of DMXAA analogues 147–161.
Moreover, additional efforts aiming to identify derivatives with improved activity than DMXAA (2) are under investigation. Recently, DMXAA-pyranoxanthone hybrids were reported to enhance inhibition activity against human cancer cells with multi-target functions [150].
3.2. 9-Oxo-9H-Xanthene-2-Carboxylic Acid (162) and Analogues (163–284)
3.2.1. Synthesis
The synthesis of 9-oxo-9H-xanthene-2-carboxylic acid (162) was first reported by Anschutz et al. [151], in 1925, from 2-methylphenylsalicilate. Later, in 1960, El Abbady et al. [152], described its synthesis through oxidation of γ-oxo-γ-2-xanthenylbutyric acid. In 1977, Graham and Lewis [153], described other synthetic strategy, via benzophenone intermediate, through reaction of 2-methoxybenzoic acid with methyl 4-hydroxybenzoate. Later, in 1998, the same carboxyxanthone (162) was synthesized by Pickert and Frahm [154], via diaryl ether intermediate, using Ullman coupling reaction of 2-chlorobenzoic acid with 4-hydroxybenzoic acid.
Several analogues of 9-oxo-9H-xanthene-2-carboxylic acid (162) have been synthesized through the years, holding different patterns of substitution (Table 1) [151,153,154,155,156,157,158,159,160,161,162,163,164,165,166]. The synthetic methodologies used to obtain these analogues were via diaryl ether and benzophenone intermediates, and through the derivatization of xanthones as building blocks. In 1972, Pfister et al. [155], synthesized various analogues (163–184) with potential antiallergic activity. 1-Methoxy-9-oxo-9H-xanthene-2-carboxylic acid (163) was obtained through Friedel-Crafts acylation of 1-hydroxyxanthone and further methylation followed by an oxidation with NaBrO [155]. Xanthone-2-carboxylic acids 164–178 were synthesized via diaryl ether intermediates, by Ullmann coupling reactions between an aryl halide and a phenol followed by intramolecular electrophilic cyclization, using polyphosphoric acid as catalyst [155]. The total synthesis of carboxyxanthone derivatives 166 and 169 were also reported by our group, being the methodologies improved in order to decrease reaction time and to increase the final yield [167].
Table 1.
Structure of 9-oxo-9H-xanthene-2-carboxylic acid (162) and analogues (163–284).
7-Chloro-9-oxo-9H-xanthene-2-carboxylic acid (178) was also synthesized by Graham and Lewis, in 1977, via benzophenone intermediate, through the reaction of 5-chloro-2-mehoxybenzoic acid with methyl 4-hydroxybenzoate [153]. 7-Hydroxy-9-oxo-9H-xanthene-2-carboxylic acid (179) was obtained through ether cleavage of 7-methoxy-9-oxo-9H-xanthene-2-carboxylic acid (168) using HBr in acetic acid, and analogues 180–184 through alkylation of 168 with the corresponding haloalkane [155]. The synthesis of analogues 186–205 was reported by Bristol et al., in 1978, through alkylation of methyl 7-hydroxy-9-oxo-9H-xanthene-2-carboxylate with epichlorohydrin, followed by reaction of the obtained epoxide with a suitable mercaptide or alkoxide, in basic conditions, and further hydrolysis of the ester [157].
In 1978, a series of other 9-oxo-9H-xanthene-2-carboxylic acid analogues (206–231) were specifically developed for antiallergic activity, by Pfister et al. [158], using different methodologies. Analogues 206–210 were obtained using carboxyxanthone 162 as a building block to obtain xanthene-2-carboxylic acid through a Huang-Minlon reduction, followed by esterification of the carboxylic acid, and Friedel-Crafts acylation with an acyl halide. The obtained compound was then oxidized with Jones reagent, and the saponification of the ester provided the desired compounds [158]. 7-Mercapto-9-oxo-9H-xanthene-2-carboxylic acid (211) was prepared through derivatization of methyl 7-hydroxy-9-oxo-9H-xanthene-2-carboxylate with dimethylcarbamothioic chloride, followed by thermal rearrangement and base hydrolysis. Compound 211 was used as precursor for synthesis of analogues 212–216, through alkylation with MeI or i-C3H7Br, and further oxidation and base hydrolysis to afford compounds 212 and 213, or simply base hydrolysis to obtain compounds 214 and 215 [158]. Oxidation of 7-(methylthio)-9-oxo-9H-xanthene-2-carboxylic acid (214) with hydrogen peroxide in acetic acid gave 7-(methylsulfonyl)-9-oxo-9H-xanthene-2-carboxylic acid (216) [158]. Ullman coupling reactions between dimethyl 4-bromoisophthalate and several phenols were performed for the synthesis of six diaryl ether intermediates that, after saponification and intramolecular electrophilic cyclization, afforded compounds 217–223 [158]. 5-Methoxy-7-(methylthio)-9-oxo-9H-xanthene-2-carboxylic acid (223) was used as precursor for synthesis of analogues 224–231 through O-demethylation of the methoxy group at 5-position of xanthone scaffold, followed by esterification of the carboxylic acid using suitable haloalkane, and further saponification [158].
In 1979, Barnes et al. [159], described the synthesis of several analogues bearing a sulphur-based moiety at 7-position of xanthone scaffold (methylthio, methylsulfinyl, and S-methylsulfonimidoyl groups). Analogues 232–236 and 233–235 were synthesized via diaryl-ether intermediate. Through Ullmann coupling reaction between a methyl 4-bromoisoftalate and 4-mercaptophenol, 2-hexyl-4-mercaptophenol, or 4-mercapto-2-(pentyloxy)phenol, followed by ester hydrolysis, and further intramolecular cyclization using polyphosphoric acid as catalyst, compounds 232–234 were obtained [159]. The carboxylic acid group of these compounds was then protected through esterification, and oxidation of the methylthio group was performed to afford the analogues 235, 236 and 228, after saponification, [158,159]. The methyl esters of these compounds were further reacted with sodium azide and polyphosphoric acid to give compounds 237–239, post saponification. Several N-substituted sulfoximidoxanthonecarboxylic acids (240–246) were also obtained through the reaction of methyl esters of 237 and 238 with a suitable reagent, followed by ester hydrolysis [159]. Analogue 247 was prepared by the same methodology; however, the compounds used for the reaction was 7-(methylthio)-9-oxo-9H-xanthene-2-carboxylic acid (232) [159].
Pfister and Wymann [161], in 1980, reported several 7-sulfamoyl-9-oxo-9H-xanthene-2-carboxylic acid analogues (248–267) as potential aldose reductase inhibitors. The synthesis of these compounds was achieved through three different pathways [161]. First, a chlorosulfonation of 9-oxo-9H-xanthene-2-carboxylic acid (162) with chlorosulfonic acid was performed to afford 7-(chlorosulfonyl)-9-oxo-9H-xanthene-2-carboxylic acid (248) and then reacted with NaOH or an amide to give analogues 249–261 [161]. The second pathway consisted in a reaction of 2-bromoethanol with the thiol group of 7-mercapto-9-oxo-9H-xanthene-2-carboxylic acid (211) to afford 7-((hydroxyethyl)thio)-9-oxo-9H-xanthene-2-carboxylic acid (262), followed by protection of the acid group through esterification with methyl iodide. The methyl ester of 262 was then oxidized to obtain analogues 263 and 264, after ester hydrolysis [161]. 7-((2-Methoxyethyl)sulfinyl)-9-oxo-9H-xanthene-2-carboxylic acid (265) was achieved by reaction of methyl iodide with the 2-hydroxyethylthio moiety of the methyl ester of 262, followed by ester hydrolysis [161]. Finally, analogue 266 was obtained through a catalytic hydrogenation of sodium 7-acetyl-9-oxo-9H-xanthene-2-carboxylate, and 267 by formation of a methyl ether with methyl iodide in acidic conditions [161]. Two years later, the same group developed two more analogues (268 and 296), by Ullmann coupling reaction of methyl 4-bromoisoftalate with 2,4-diisopropylphenol and 2,4-di-tert-butylphenol, respectively, followed by intramolecular electrophilic acylation using polyphosphoric acid [162].
In 1993, Sawyer and coworkers [163,164] were able to synthesize the analogues 270–273, as potential antagonists for leukotriene B4 receptor, through Ullmann coupling reaction of suitable phenols and aryl bromides, followed by cyclization [163]. Analogue 274 was obtained through reaction of methyl 5-(3-ethoxy-3-oxopropyl)-6-hydroxy-9-oxo-9H-xanthene-2-carboxylate with 4-(3-chloropropoxy)-5-ethyl-4′-fluoro-2-phenoxy-1,1′-biphenyl, followed by saponification [164].
Pickert and Frahm described, in 1998, a series of carboxy- and dicarboxyxanthone derivatives bearing nitro and amino groups (275–280) [154]. These compounds were synthesized via diaryl ether intermediate by reaction of a series of benzoyl halides and phenols. In 2001, Fonteneau et al. [166] reported the synthesis of analogues 281–283, through reaction of 2,6-dihydroxybenzoic acid with 5-methyl resorcinol to give 1-hydroxy-3-methyl-9-oxo-9H-xanthene, followed by suitable derivatization (analogues 281–282), and through reaction of 2,6-dihydroxybenzoic acid with phloroglucinol, followed by esterification and deprotection (analogue 283) [166]. In 2003, Hernández et al. [168] synthesized a novel carboxyxanthone (284), via diaryl ether intermediate by reaction of 4-bromo-5-nitroisophthalic acid with potassium 4-(tert-butyl)-2-nitrophenolate.
It is important to emphasize that, in our group, carboxyxanthone derivative 169 has been used as a suitable building block for the synthesis of several chiral derivatives [167,169] with high enantiomeric purity [170,171,172]. Some chiral derivatives showed interesting growth inhibitory activity on A375-C5, MCF-7 and NCI-H460 human tumor cell lines [167], ability to block sciatic nerve transmission [169] and inhibit cyclooxygenases 1 and 2 enzymes [173]. Some of them were also promising chiral selectors in liquid chromatography enantioseparation [21,22].
3.2.2. Biological Activities
In general, 9-oxo-9H-xanthene-2-carboxylic acid (162) and analogues 163–284 have been studied for antiallergic activity [155,156,157,158,159]. Some of them have also been tested for inhibitory activity against aldose reductase and as antagonists of leukotriene B4 receptor [161,163].
Carboxyxanthone derivative 162 presents relatively low antiallergic activity, in rat passive cutaneous anaphylaxis (PCA) assay, when compared with disodium cromoglycate [155,158]. In general, for analogues of 162 it was found that, the presence of small groups in 5- and 7-positions of xanthone scaffold, often increase the activity, while the presence of bulky groups have the opposite effect [155,158,160]. In fact, several 5-substituted (167, 176, 184, 212, 214, 216, 224–231, 233–234, 236 and 238–239) and 7-substituted (168, 171, 173–174, 182, 185, 192, 206, 232, 235 and 237) compounds exhibited higher antiallergic activity, when compared to 162, being some compounds (173–174, 182, 192, 237 and 238) orally active [155,156,157,158,159,160].
Inhibitory activity against aldose reductase enzyme was evaluated for compound 162 and analogues 249–267 [161]. 7-(N,N-Dimethylsulfamoyl)-9-oxo-9H-xanthene-2-carboxylic acid (252) was proved to be a good noncompetitive inhibitor of the enzyme; while 7-(N-(2-hydroxyethyl)-N-methylsulfamoyl)-9-oxo-9H-xanthene-2-carboxylic acid (259) presented the higher potency of all tested compounds [161].
Compounds 270–274 were studied as antagonists of leukotriene B4 receptor (LTB4) [163,164]. These compounds were shown to be, in general, good antagonists of LTB4 by blocking the up-regulation of the CD11b/CD18 receptor, being compounds 271, 272 and 274 the most active LTB4 antagonists. It is also important to highlight that compound 274 presented strong binding abilities to human neutrophils and guinea pig lung membranes, being one of the most potent antagonists [163,164].
3.3. Other 9-Oxo-9H-Xanthene Carboxylic Acid Derivatives (285–338)
3.3.1. Synthesis
The synthesis of 9-oxo-9H-xanthene-1-carboxylic acid (285), 9-oxo-9H-xanthene-3-carboxylic acid (286) and 9-oxo-9H-xanthene-4-carboxylic acid (287) (Table 2), was described for the first time by Anschutz et al. [151], in 1925, and were obtained through the intramolecular acylation of 2-(3-carboxyphenoxy)benzoic acid or 2,2′-oxydibenzoic acid. In 1998, Pickert and Frahm [154], described their synthesis via diaryl ether intermediate, by Ullmann coupling reaction of an aryl halide and a phenol.
Table 2.
Structures of other 9-oxo-9H-xanthene carboxylic acid derivatives (285–338).
El Abbady [152] reported, in 1960, the synthesis of carboxyxanthone derivative 288 (Table 2) through oxidation of 4-oxo-4-(9H-xanthen-2-yl)butanoic acid with potassium permanganate in acetone. In 1990, Sato et al. [174] reported the synthesis of several new carboxyxanthone derivatives (289–320). Compounds 289–306 (Table 2) were synthesized via benzophenone intermediate through reaction of 2-fluorobenzoyl chlorides or 2-chlorobenzoyl chlorides with 5-substituted-1,3-dimethoxybenzene, 2-substituted-1,3-dimethoxybenzene or 1-substituted-2,4-dimethoxybenzene, followed by basic etherification reaction to give 3-methoxy-9H-xanthen-9-one derivatives. Then, a reaction with ethyl 2-bromoacetate and further saponification were carried out [174]. Carboxyxanthone derivatives 307–320 were obtained through reaction of 3-hydroxy-9H-xanthen-9-one derivatives with 3-bromoprop-1-ene followed by reaction with N-methylaniline or N-ethylaniline to give both 4-allyl-3-hydroxy-9H-xanthen-9-one and 2-allyl-3-hydroxy-9H-xanthen-9-one derivatives, that through oxidation with m-chloroperbenzoic acid followed by Jones oxidation, afforded compounds 307–315 and 316–320, respectively (Table 2) [174].
Jackson et al. [163] described in 1993, the synthesis of carboxyxanthone derivatives 321 and 322 (Table 2) via diaryl ether intermediate through Ullmann coupling reaction of suitable phenols and aryl bromides, followed by cyclization [163]. The synthesis of compounds 324–332 (Table 2) were reported in 1998, by Pickert et al. [154], through the same synthetic pathway as described for compounds 276–281. Recently, Zelaszczyk et al. [175] synthesized carboxyxanthone derivatives 333–338 (Table 2) though derivatization of the previously described 3-hydroxyxanthones with sodium chloroacetate or ethyl 2-bromopropanoate followed by ester hydrolysis.
In our group, carboxyxanthone derivative 289 has been used as a building block to obtain diverse chiral derivatives with potential biological activities [167,169,173], as well as chiral selectors for analytical liquid chromatography application [21,22].
3.3.2. Biological Activities
Carboxyxanthone derivatives 289–320 were screened for their potential diuretic and uricosuric activities in rats and compared with tienilic acid and indacrinone [174]. These compounds presented, in general, similar or more potent, diuretic activities when compared to tienilic acid [174]. Some compounds (299, 301, 304, 306, 310, 312, and 320) also showed balanced diuretic and uricosuric activities, with compound 301 presenting better balanced activities when compared with indacrinone [174]. Carboxyxanthone derivatives 321 and 320 were evaluated as antagonists of leukotriene B4 receptor [163]. Compounds 333–338 were tested for analgesic, anti-edema and ulcerogenic activities [175]. Both compounds 337 and 338 exhibited promising anti-inflammatory activity with compound 338 also showing excellent analgesic activity.
4. Conclusions
During several years, diverse carboxyxanthone derivatives have been obtained either from natural sources or by synthetic methods. Nature afforded more complex structures, but synthetic methodologies could furnish a large variety of carboxyxanthone derivatives for biological activity and structure-activity relationship studies, enlarging the chemical/biological space. For the synthesis of carboxylated xanthone derivatives, diverse methods can be applied if using suitable building blocks. The biological and pharmaceutical significance of these compounds in different areas have been highlighted in this review. Some of them revealed promising activities including antibacterial, antifungal, antiviral, antitumor, antiallergic, anti-inflammatory, diuretic and uricosuric activities as well as inhibitory activity against aldose reductase and as antagonists of leukotriene B4 receptor. Their application as suitable chemical substrates to obtain new bioactive derivatives was also demonstrated. It is anticipated that data compiled in this review will not only update researchers about the pharmacologic significance of carboxyxanthones, but also guide the design for the synthesis of new bioactive xanthone derivatives with improved medicinal properties.
Author Contributions
J.R. contributed in writing of the manuscript, references and data analysis. C.V. collected the primary data and compiled the draft manuscript. C.F., M.E.T. and M.M.M.P. supervised the development of the manuscript, and assisted in data interpretation, manuscript evaluation, and editing. C.F. also contributed in writing of the manuscript.
Funding
This research was developed under the projects PTDC/MAR-BIO/4694/2014 and PTDC/AAG-TEC/0739/2014 supported through national funds provided by Fundação da Ciência e Tecnologia (FCT/MCTES, PIDDAC) and European Regional Development Fund (ERDF) through the COMPETE – Programa Operacional Factores de Competitividade (POFC) programme [POCI-01-0145-FEDER-016790 and POCI-01-0145-FEDER-016793] and Reforçar a Investigação, o Desenvolvimento Tecnológico e a Inovação [RIDTI, Project 3599 and 9471] in the framework of the programme PT2020, as well as Project No. [POCI-01-0145-FEDER-028736], co-financed by COMPETE 2020, Portugal 2020 and the European Union through the ERDF, and by FCT through national funds, and CHIRALXANT-CESPU-2018.
Conflicts of Interest
The authors declare no conflict of interest.
References
- Gales, L.; Damas, A.M. Xanthones-a structural perspective. Curr. Med. Chem. 2005, 12, 2499–2515. [Google Scholar] [CrossRef] [PubMed]
- Shagufta; Ahmad, I. Recent insight into the biological activities of synthetic xanthone derivatives. Eur. J. Med. Chem. 2016, 116, 267–280. [Google Scholar] [CrossRef] [PubMed]
- Pinto, M.M.; Sousa, M.E.; Nascimento, M.S. Xanthone derivatives: New insights in biological activities. Curr. Med. Chem. 2005, 12, 2517–2538. [Google Scholar] [CrossRef] [PubMed]
- Wezeman, T.; Brase, S.; Masters, K.S. Xanthone dimers: A compound family which is both common and privileged. Nat. Prod. Rep. 2015, 32, 6–28. [Google Scholar] [CrossRef] [PubMed]
- Na, Y. Recent cancer drug development with xanthone structures. J. Pharm. Pharmacol. 2009, 61, 707–712. [Google Scholar] [CrossRef] [PubMed]
- Muthukrishnan, M.; Basavanag, U.M.V.; Puranik, V.G. The first ionic liquid-promoted Kabbe condensation reaction for an expeditious synthesis of privileged bis-spirochromanone scaffolds. Tetrahedron Lett. 2009, 50, 2643–2648. [Google Scholar] [CrossRef]
- Horton, D.A.; Bourne, G.T.; Smythe, M.L. The combinatorial synthesis of bicyclic privileged structures or privileged substructures. Chem. Rev. 2003, 103, 893–930. [Google Scholar] [CrossRef]
- Masters, K.S.; Brase, S. Xanthones from fungi, lichens, and bacteria: The natural products and their synthesis. Chem. Rev. 2012, 112, 3717–3776. [Google Scholar] [CrossRef]
- Vieira, L.M.; Kijjoa, A. Naturally-occurring xanthones: Recent developments. Curr. Med. Chem. 2005, 12, 2413–2446. [Google Scholar] [CrossRef]
- Pinto, M.M.M.; Castanheiro, R.A.P.; Kijjoa, A. Xanthones from marine-derived microorganisms: Isolation, structure elucidation, and biological activities. In Encyclopedia of Analytical Chemistry; John Wiley & Sons: Hoboken, NJ, USA, 2014; Volume 27, pp. 1–21. [Google Scholar]
- Mayer, A.M.S.; Rodriguez, A.D.; Taglialatela-Scafati, O.; Fusetani, N. Marine pharmacology in 2012–2013: Marine compounds with antibacterial, antidiabetic, antifungal, anti-inflammatory, antiprotozoal, antituberculosis, and antiviral activities; affecting the immune and nervous systems, and other miscellaneous mechanisms of action. Mar. Drugs 2017, 15, 273. [Google Scholar] [CrossRef]
- Gomes, A.S.; Brandao, P.; Fernandes, C.S.G.; da Silva, M.; de Sousa, M.; Pinto, M.M.M. Drug-like Properties and ADME of Xanthone Derivatives: The Antechamber of Clinical Trials. Curr. Med. Chem. 2016, 23, 3654–3686. [Google Scholar] [CrossRef] [PubMed]
- Santos, A.; Soares, J.X.; Cravo, S.; Tiritan, M.E.; Reis, S.; Afonso, C.; Fernandes, C.; Pinto, M.M.M. Lipophilicity assessement in drug discovery: Experimental and theoretical methods applied to xanthone derivatives. J. Chromatogr. B Analyt. Technol. Biomed. Life Sci. 2018, 1072, 182–192. [Google Scholar] [CrossRef] [PubMed]
- Lanzotti, V. Drugs based on natural compounds: Recent achievements and future perspectives. Phytochem. Rev. 2014, 13, 725–726. [Google Scholar] [CrossRef]
- Cragg, G.M.; Newman, D.J. Natural products: A continuing source of novel drug leads. Biochim. Biophys. Acta 2013, 1830, 3670–3695. [Google Scholar] [CrossRef] [PubMed]
- Dias, D.A.; Urban, S.; Roessner, U. A historical overview of natural products in drug discovery. Metabolites 2012, 2, 303–336. [Google Scholar] [CrossRef] [PubMed]
- Azevedo, C.M.G.; Afonso, C.M.M.; Pinto, M.M.M. Routes to Xanthones: An Update on the Synthetic Approaches. Curr. Org. Chem. 2012, 16, 2818–2867. [Google Scholar] [CrossRef]
- Sousa, M.E.; Pinto, M.M. Synthesis of xanthones: An overview. Curr. Med. Chem. 2005, 12, 2447–2479. [Google Scholar] [CrossRef] [PubMed]
- Sathyadevi, P.; Chen, Y.J.; Wu, S.C.; Chen, Y.H.; Wang, Y.M. Reaction-based epoxide fluorescent probe for in vivo visualization of hydrogen sulfide. Biosens. Bioelectron. 2015, 68, 681–687. [Google Scholar] [CrossRef]
- Takashima, I.; Kawagoe, R.; Hamachi, I.; Ojida, A. Development of an AND logic-gate-type fluorescent probe for ratiometric imaging of autolysosome in cell autophagy. Chemistry 2015, 21, 2038–2044. [Google Scholar] [CrossRef]
- Fernandes, C.; Phyo, Y.; Silva, A.S.; Tiritan, M.E.; Kijjoa, A.; Pinto, M.M.M. Chiral stationary phases based on small molecules: An update of the last seventeen years. Sep. Purif. Rev. 2017. [Google Scholar] [CrossRef]
- Fernandes, C.; Tiritan, M.E.; Cravo, S.; Phyo, Y.Z.; Kijjoa, A.; Silva, A.M.S.; Cass, Q.B.; Pinto, M.M.M. New chiral stationary phases based on xanthone derivatives for liquid chromatography. Chirality 2017, 29, 430–442. [Google Scholar] [CrossRef] [PubMed]
- Fernandes, C.; Tiritan, M.E.; Pinto, M.M.M. Chiral derivatives of xanthones: Applications in Medicinal Chemistry and a new approach in Liquid Chromatography. Sci. Chromatogr. 2015, 7, 1–14. [Google Scholar]
- Sousa, E.; Paiva, A.; Nazareth, N.; Gales, L.; Damas, A.M.; Nascimento, M.S.; Pinto, M. Bromoalkoxyxanthones as promising antitumor agents: Synthesis, crystal structure and effect on human tumor cell lines. Eur. J. Med. Chem. 2009, 44, 3830–3835. [Google Scholar] [CrossRef] [PubMed]
- Sousa, E.; Palmeira, A.; Cordeiro, A.S.; Sarmento, B.; Ferreira, D.; Lima, R.T.; Vasconcelos, M.H.; Pinto, M. Bioactive xanthones with effect on P-glycoprotein and prediction of intestinal absorption. Med. Chem. Res. 2013, 22, 2115–2123. [Google Scholar] [CrossRef]
- Cruz, I.; Puthongking, P.; Cravo, S.; Palmeira, A.; Cidade, H.; Pinto, M.; Sousa, E. Xanthone and flavone derivatives as dual agents with acetylcholinesterase inhibition and antioxidant activity as potential anti-alzheimer agents. J. Chem. 2017, 2017, 8587260. [Google Scholar] [CrossRef]
- Neves, M.P.; Cidade, H.; Pinto, M.; Silva, A.M.; Gales, L.; Damas, A.M.; Lima, R.T.; Vasconcelos, M.H.; de Sao Jose Nascimento, M. Prenylated derivatives of baicalein and 3,7-dihydroxyflavone: Synthesis and study of their effects on tumor cell lines growth, cell cycle and apoptosis. Eur. J. Med. Chem. 2011, 46, 2562–2574. [Google Scholar] [CrossRef] [PubMed]
- Paiva, A.M.; Sousa, M.E.; Camoes, A.; Nascimento, M.S.J.; Pinto, M.M.M. Prenylated xanthones: Antiproliferative effects and enhancement of the growth inhibitory action of 4-hydroxytamoxifen in estrogen receptor-positive breast cancer cell line. Med. Chem. Res. 2012, 21, 552–558. [Google Scholar] [CrossRef]
- Azevedo, C.M.; Afonso, C.M.; Soares, J.X.; Reis, S.; Sousa, D.; Lima, R.T.; Vasconcelos, M.H.; Pedro, M.; Barbosa, J.; Gales, L.; et al. Pyranoxanthones: Synthesis, growth inhibitory activity on human tumor cell lines and determination of their lipophilicity in two membrane models. Eur. J. Med. Chem. 2013, 69, 798–816. [Google Scholar] [CrossRef]
- Cidade, H.; Rocha, V.; Palmeira, A.; Marques, C.; Tiritan, M.E.; Ferreira, H.; Lobo, J.S.; Almeida, I.F.; Sousa, M.E.; Pinto, M. In silico and in vitro antioxidant and cytotoxicity evaluation of oxygenated xanthone derivatives. Arab. J. Chem. 2017. [Google Scholar] [CrossRef]
- Sousa, E.P.; Silva, A.M.S.; Pinto, M.M.M.; Pedro, M.M.; Cerqueira, F.A.M.; Nascimento, M.S.J. Isomeric kielcorins and dihydroxyxanthones: Synthesis, structure elucidation, and inhibitory activities of growth of human cancer cell lines and on the proliferation of human lymphocytes in vitro. Hel. Chim. Acta 2002, 85, 2862–2876. [Google Scholar] [CrossRef]
- Correia-Da-Silva, M.; Sousa, E.; Duarte, B.; Marques, F.; Carvalho, F.; Cunha-Ribeiro, L.M.; Pinto, M.M.M. Polysulfated xanthones: Multipathway development of a new generation of dual anticoagulant/antiplatelet agents. J. Med. Chem. 2011, 54, 5373–5384. [Google Scholar] [CrossRef] [PubMed]
- Urbatzka, R.; Freitas, S.; Palmeira, A.; Almeida, T.; Moreira, J.; Azevedo, C.; Afonso, C.; Correia-da-Silva, M.; Sousa, E.; Pinto, M.; et al. Lipid reducing activity and toxicity profiles of a library of polyphenol derivatives. Eur. J. Med. Chem. 2018, 151, 272–284. [Google Scholar] [CrossRef] [PubMed]
- Gales, L.; Sousa, M.E.d.; Pinto, M.M.M.; Kijjoa, A.; Damas, A.M. Naturally occurring 1,2,8-trimethoxyxanthone and biphenyl ether intermediates leading to 1,2-dimethoxyxanthone. Acta Crystallogr. C 2001, 57, 1319–1323. [Google Scholar] [CrossRef] [PubMed]
- Kijjoa, A.; Gonzalez, M.J.; Pinto, M.M.M.; Silva, A.M.S.; Anantachoke, C.; Herz, W. Xanthones from Calophyllum teysmannii var. inophylloide. Phytochemistry 2000, 55, 833–836. [Google Scholar] [CrossRef]
- Rehman, F.; Rustin, G. ASA404: Update on drug development. Expert Opin. Investig. Drugs 2008, 17, 1547–1551. [Google Scholar] [CrossRef] [PubMed]
- Healy, P.C.; Hocking, A.; Tran-Dinh, N.; Pitt, J.I.; Shivas, R.G.; Mitchell, J.K.; Kotiw, M.; Davis, R.A. Xanthones from a microfungus of the genus Xylaria. Phytochemistry 2004, 65, 2373–2378. [Google Scholar] [CrossRef] [PubMed]
- Beattie, K.D.; Ellwood, N.; Kumar, R.; Yang, X.; Healy, P.C.; Choomuenwai, V.; Quinn, R.J.; Elliott, A.G.; Huang, J.X.; Chitty, J.L.; et al. Antibacterial and antifungal screening of natural products sourced from Australian fungi and characterisation of pestalactams D–F. Phytochemistry 2016, 124, 79–85. [Google Scholar] [CrossRef]
- Krick, A.; Kehraus, S.; Gerhäuser, C.; Klimo, K.; Nieger, M.; Maier, A.; Fiebig, H.-H.; Atodiresei, I.; Raabe, G.; Fleischhauer, J.; et al. Potential cancer chemopreventive in vitro activities of monomeric xanthone derivatives from the marine algicolous fungus monodictys putredinis. J. Nat. Prod. 2007, 70, 353–360. [Google Scholar] [CrossRef]
- Shao, C.; Wang, C.; Wei, M.; Gu, Y.; Xia, X.; She, Z.; Lin, Y. Structure elucidation of two new xanthone derivatives from the marine fungus Penicillium sp. (ZZF 32#) from the South China Sea. Magn. Reson. Chem. 2008, 46, 1066–1069. [Google Scholar]
- Sun, R.-R.; Miao, F.-P.; Zhang, J.; Wang, G.; Yin, X.-L.; Ji, N.-Y. Three new xanthone derivatives from an algicolous isolate of Aspergillus wentii. Magn. Reson. Chem. 2013, 51, 65–68. [Google Scholar]
- Sun, Y.L.; Zhang, X.Y.; Zheng, Z.H.; Xu, X.Y.; Qi, S.H. Three new polyketides from marine-derived fungus Penicillium citrinum SCSGAF 0167. Nat. Prod. Res. 2014, 28, 239–244. [Google Scholar] [CrossRef] [PubMed]
- Ma, T.-T.; Shan, W.-G.; Ying, Y.-M.; Ma, L.-F.; Liu, W.-H.; Zhan, Z.-J. Xanthones with α-glucosidase inhibitory activities fromaspergillus versicolor, a fungal endophyte of huperzia serrata. Helv. Chim. Acta 2015, 98, 148–152. [Google Scholar] [CrossRef]
- Liao, Z.J.; Tian, W.J.; Liu, X.X.; Jiang, X.; Wu, Y.; Lin, T.; Chen, H.F. A New Xanthone from an Endophytic Fungus of Anoectochilus roxburghii. Chem. Nat. Compd. 2018, 54, 267–269. [Google Scholar] [CrossRef]
- Li, J.; Zhang, Y.X.; Chen, L.X.; Dong, Z.H.; Di, X.; Qiu, F. A new xanthone from Penicillium oxalicum. Chem. Nat. Compd. 2010, 46, 216–218. [Google Scholar] [CrossRef]
- Wijeratne, E.M.K.; Turbyville, T.J.; Fritz, A.; Whitesell, L.; Gunatilaka, A.A.L. A new dihydroxanthenone from a plant-associated strain of the fungus Chaetomium globosum demonstrates anticancer activity. Bioorg. Med. Chem. 2006, 14, 7917–7923. [Google Scholar] [CrossRef] [PubMed]
- Davis, R.A.; Pierens, G.K. 1H and 13C NMR assignments for two new xanthones from the endophytic fungus Xylaria sp. FRR 5657. Magn. Reson. Chem. 2006, 44, 966–968. [Google Scholar] [CrossRef] [PubMed]
- Munekata, H. Studies on some new metabolic products of Penicillium. II. J. Biochem. 1953, 40, 451–460. [Google Scholar] [CrossRef]
- Abdissa, N.; Heydenreich, M.; Midiwo, J.O.; Ndakala, A.; Majer, Z.; Neumann, B.; Stammler, H.-G.; Sewald, N.; Yenesew, A. A xanthone and a phenylanthraquinone from the roots of Bulbine frutescens, and the revision of six seco-anthraquinones into xanthones. Phytochem. Lett. 2014, 9, 67–73. [Google Scholar] [CrossRef]
- Singh, O.; Ali, M.; Akhtar, N. New antifungal xanthones from the seeds of Rhus coriaria L. Zeitschrift fur Naturforschung. C J. Biosci. 2011, 66, 17–23. [Google Scholar] [CrossRef]
- Jackson, B.; Locksley, H.D.; Scheinmann, F. Extractives from Guttiferae. Part, V. Scriblitifolic acid, a new xanthone from Calophyllum scriblitifolium Henderson and Wyatt-Smith. J. Chem. Soc. C Org. Chem. 1967, 785–796. [Google Scholar] [CrossRef]
- Kijjoa, A.; Gonzalez, M.J.; Afonso, C.M.; Pinto, M.M.M.; Anantachoke, C.; Herz, W. Xanthones from Calophyllum teysmannii var. inophylloide. Phytochemistry 2000, 53, 1021–1024. [Google Scholar] [CrossRef]
- Cottiglia, F.; Casu, L.; Bonsignore, L.; Casu, M.; Floris, C.; Sosa, S.; Altinier, G.; Della Loggia, R. Topical anti-inflammatory activity of flavonoids and a new xanthone from Santolina insularis. Zeitschrift fur Naturforschung. C J. Biosci. 2005, 60, 63–66. [Google Scholar] [CrossRef]
- Li, C.-J.; Yang, J.-Z.; Yu, S.-S.; Zhao, C.-Y.; Peng, Y.; Wang, X.-L.; Zhang, D.-M. Glomexanthones A–C, three xanthonolignoid C-glycosides from Polygala glomerata Lour. Fitoterapia 2014, 93, 175–181. [Google Scholar] [CrossRef] [PubMed]
- Gopalakrishnan, G.; Balaganesan, B. Two novel xanthones from Garcinia mangostana. Fitoterapia 2000, 71, 607–609. [Google Scholar] [CrossRef]
- Tang, Y.-X.; Fu, W.-W.; Wu, R.; Tan, H.-S.; Shen, Z.-W.; Xu, H.-X. Bioassay-Guided Isolation of Prenylated Xanthone Derivatives from the Leaves of Garcinia oligantha. J. Nat. Prod. 2016, 79, 1752–1761. [Google Scholar] [CrossRef] [PubMed]
- Lu, G.B.; Yang, X.X.; Huang, Q.S. Isolation and structure of neo-gambogic acid from Gamboge (Garcinia hanburryi). Yao Xue Xue Bao 1984, 19, 636–639. [Google Scholar] [PubMed]
- Lin, L.-J.; Lin, L.-Z.; Pezzuto, J.M.; Cordell, G.A.; Ruangrungsi, N. Isogambogic acid and isomorellinol from Garcinia hanburyi. Magn. Reson. Chem. 1993, 31, 340–347. [Google Scholar] [CrossRef]
- Asano, J.; Chiba, K.; Tada, M.; Yoshii, T. Cytotoxic xanthones from Garcinia hanburyi. Phytochemistry 1996, 41, 815–820. [Google Scholar] [CrossRef]
- Wu, J.; Xu, Y.-J.; Cheng, X.-F.; Harrison, L.J.; Sim, K.-Y.; Goh, S.H. A highly rearranged tetraprenylxanthonoid from Garcinia gaudichaudii (Guttiferae). Tetrahedron Lett. 2001, 42, 727–729. [Google Scholar] [CrossRef]
- Sukpondma, Y.; Rukachaisirikul, V.; Phongpaichit, S. Antibacterial caged-tetraprenylated xanthones from the fruits of Garcinia hanburyi. Chem. Pharm. Bull. 2005, 53, 850–852. [Google Scholar] [CrossRef]
- Reutrakul, V.; Anantachoke, N.; Pohmakotr, M.; Jaipetch, T.; Sophasan, S.; Yoosook, C.; Kasisit, J.; Napaswat, C.; Santisuk, T.; Tuchinda, P. Cytotoxic and Anti-HIV-1 Caged Xanthones from the Resin and Fruits of Garcinia hanburyi. Plant. Med. 2007, 73, 33–40. [Google Scholar] [CrossRef] [PubMed]
- Han, Q.-B.; Wang, Y.-L.; Yang, L.; Tso, T.-F.; Qiao, C.-F.; Song, J.-Z.; Xu, L.-J.; Chen, S.-L.; Yang, D.-J.; Xu, H.-X. Cytotoxic Polyprenylated Xanthones from the Resin of Garcinia hanburyi. Chem. Pharm. Bull. 2006, 54, 265–267. [Google Scholar] [CrossRef] [PubMed]
- Han, Q.; Yang, L.; Liu, Y.; Wang, Y.; Qiao, C.; Song, J.; Xu, L.; Yang, D.; Chen, S.; Xu, H. Gambogic Acid and Epigambogic Acid, C-2 Epimers with Novel Anticancer Effects from Garcinia hanburyi. Plant. Med. 2006, 72, 281–284. [Google Scholar] [CrossRef] [PubMed]
- Han, Q.-B.; Yang, L.; Wang, Y.-L.; Qiao, C.-F.; Song, J.-Z.; Sun, H.-D.; Xu, H.-X. A Pair of Novel Cytotoxic Polyprenylated Xanthone Epimers from Gamboges. Chem. Biodivers. 2006, 3, 101–105. [Google Scholar] [CrossRef] [PubMed]
- Song, J.-Z.; Yip, Y.-K.; Han, Q.-B.; Qiao, C.-F.; Xu, H.-X. Rapid determination of polyprenylated xanthones in gamboge resin of Garcinia hanburyi by HPLC. J. Sep. Sci. 2007, 30, 304–309. [Google Scholar] [CrossRef] [PubMed]
- Feng, F.; Liu, W.-Y.; Chen, Y.-S.; Guo, Q.-L.; You, Q.-D. Five novel prenylated xanthones from Resina Garciniae. J. Asian Nat. Prod. Res. 2007, 9, 735–741. [Google Scholar] [CrossRef] [PubMed]
- Tao, S.-J.; Guan, S.-H.; Wang, W.; Lu, Z.-Q.; Chen, G.-T.; Sha, N.; Yue, Q.-X.; Liu, X.; Guo, D.-A. Cytotoxic Polyprenylated Xanthones from the Resin of Garcinia hanburyi. J. Nat. Prod. 2009, 72, 117–124. [Google Scholar] [CrossRef]
- Deng, Y.-X.; Pan, S.-L.; Zhao, S.-Y.; Wu, M.-Q.; Sun, Z.-Q.; Chen, X.-H.; Shao, Z.-Y. Cytotoxic alkoxylated xanthones from the resin of Garcinia hanburyi. Fitoterapia 2012, 83, 1548–1552. [Google Scholar] [CrossRef]
- Deng, Y.-X.; Guo, T.; Shao, Z.-Y.; Xie, H.; Pan, S.-L. Three New Xanthones from the Resin of Garcinia hanburyi. Plant. Med. 2013, 79, 792–796. [Google Scholar] [CrossRef]
- Dong, B.; Zheng, Y.-F.; Wen, H.-M.; Wang, X.-Z.; Xiong, H.-W.; Wu, H.; Li, W. Two new xanthone epimers from the processed gamboge. Nat. Prod. Res. 2017, 31, 817–821. [Google Scholar] [CrossRef]
- Chen, Y.; He, S.; Tang, C.; Li, J.; Yang, G. Caged polyprenylated xanthones from the resin of Garcinia hanburyi. Fitoterapia 2016, 109, 106–112. [Google Scholar] [CrossRef] [PubMed]
- Leão, M.; Gomes, S.; Pedraza-Chaverri, J.; Machado, N.; Sousa, E.; Pinto, M.; Inga, A.; Pereira, C.; Saraiva, L. α-Mangostin and gambogic acid as potential inhibitors of the p53–MDM2 interaction revealed by a yeast approach. J. Nat. Prod. 2013, 76, 774–778. [Google Scholar] [CrossRef] [PubMed]
- Han, Q.-B.; Cheung, S.; Tai, J.; Qiao, C.-F.; Song, J.-Z.; Xu, H.-X. Stability and Cytotoxicity of Gambogic Acid and Its Derivative, Gambogoic Acid. Biol. Pharm. Bull. 2005, 28, 2335–2337. [Google Scholar] [CrossRef] [PubMed]
- Liu, Y.; Li, W.; Ye, C.; Lin, Y.; Cheang, T.Y.; Wang, M.; Zhang, H.; Wang, S.; Zhang, L.; Wang, S. Gambogic acid induces G0/G1 cell cycle arrest and cell migration inhibition via suppressing PDGF receptor beta tyrosine phosphorylation and Rac1 activity in rat aortic smooth muscle cells. J. Atheroscler. Thromb. 2010, 17, 901–913. [Google Scholar] [CrossRef] [PubMed]
- Han, Q.B.; Xu, H.X. Caged Garcinia xanthones: Development since 1937. Curr. Med. Chem. 2009, 16, 3775–3796. [Google Scholar] [CrossRef] [PubMed]
- Chantarasriwong, O.; Batova, A.; Chavasiri, W.; Theodorakis, E.A. Chemistry and Biology of the Caged Garcinia Xanthones. Chem. A Eur. J. 2010, 16, 9944–9962. [Google Scholar] [CrossRef] [PubMed]
- El-Seedi, H.R.; El-Barbary, M.A.; El-Ghorab, D.M.; Bohlin, L.; Borg-Karlson, A.K.; Goransson, U.; Verpoorte, R. Recent insights into the biosynthesis and biological activities of natural xanthones. Curr. Med. Chem. 2010, 17, 854–901. [Google Scholar] [CrossRef]
- Jia, B.; Li, S.; Hu, X.; Zhu, G.; Chen, W. Recent Research on Bioactive Xanthones from Natural Medicine: Garcinia hanburyi. AAPS PharmSciTech 2015, 16, 742–758. [Google Scholar] [CrossRef]
- Chantarasriwong, O.; Althufairi, B.D.; Checchia, N.J.; Theodorakis, E.A. Chapter 4-Caged Garcinia Xanthones: Synthetic Studies and Pharmacophore Evaluation. In Studies in Natural Products Chemistry; Attaur, R., Ed.; Elsevier: Amsterdam, The Netherlands, 2018; Volume 58, pp. 93–131. [Google Scholar]
- Cao, S.G.; Sng, V.H.L.; Wu, X.H.; Sim, K.Y.; Tan, B.H.K.; Pereira, J.T.; Goh, S.H. Novel cytotoxic polyprenylated xanthonoids from Garcinia gaudichaudii (Guttiferae). Tetrahedron 1998, 54, 10915–10924. [Google Scholar] [CrossRef]
- Xu, Y.J.; Yip, S.C.; Kosela, S.; Fitri, E.; Hana, M.; Goh, S.H.; Sim, K.Y. Novel Cytotoxic, Polyprenylated Heptacyclic Xanthonoids from Indonesian Garcinia gaudichaudii (Guttiferae). Org. Lett. 2000, 2, 3945–3948. [Google Scholar] [CrossRef]
- Rukachaisirikul, V.; Kaewnok, W.; Koysomboon, S.; Phongpaichit, S.; Taylor, W.C. Caged-tetraprenylated xanthones from Garcinia scortechinii. Tetrahedron 2000, 56, 8539–8543. [Google Scholar] [CrossRef]
- Rukachaisirikul, V.; Painuphong, P.; Sukpondma, Y.; Koysomboon, S.; Sawangchote, P.; Taylor, W.C. Caged-Triprenylated and -Tetraprenylated Xanthones from the Latex of Garcinia scortechinii. J. Nat. Prod. 2003, 66, 933–938. [Google Scholar] [CrossRef] [PubMed]
- Rukachaisirikul, V.; Phainuphong, P.; Sukpondma, Y.; Phongpaichit, S.; Taylor, W.C. Antibacterial caged-tetraprenylated xanthones from the stem bark of Garcinia scortechinii. Plant. Med. 2005, 71, 165–170. [Google Scholar] [CrossRef] [PubMed]
- Sukpondma, Y.; Rukachaisirikul, V.; Phongpaichit, S. Xanthone and sesquiterpene derivatives from the fruits of Garcinia scortechinii. J. Nat. Prod. 2005, 68, 1010–1017. [Google Scholar] [CrossRef] [PubMed]
- Aoki, M.; Itezono, Y.; Shirai, H.; Nakayama, N.; Sakai, A.; Tanaka, Y.; Yamaguchi, A.; Shimma, N.; Yokose, K.; Seto, H. Structure of a novel phospholipase C inhibitor, vinaxanthone (Ro 09-1450), produced by penicillium vinaceum. Tetrahedron Lett. 1991, 32, 4737–4740. [Google Scholar] [CrossRef]
- Gammon, G.; Chandler, G.; Depledge, P.; Elcock, C.; Wrigley, S.; Moore, J.; Cammarota, G.; Sinigaglia, F.; Moore, M. A fungal metabolite which inhibits the interaction of CD4 with major histocompatibility complex-encoded class II molecules. Eur. J. Immunol. 1994, 24, 991–998. [Google Scholar] [CrossRef] [PubMed]
- Wrigley, S.K.; Latif, M.A.; Gibson, T.M.; Chicarelli-Robinson, M.I.; Williams, D.H. Structure elucidation of xanthone derivatives with CD4-binding activity from Penicillium glabrum (Wehmer) Westling. Pure Appl. Chem. 1994, 66, 2383. [Google Scholar] [CrossRef]
- Řezanka, T.; Řezanka, P.; Sigler, K. A Biaryl Xanthone Derivative Having Axial Chirality from Penicillium vinaceum. J. Nat. Prod. 2008, 71, 820–823. [Google Scholar] [CrossRef]
- Zheng, C.J.; Sohn, M.J.; Kim, W.G. Vinaxanthone, a new FabI inhibitor from Penicillium sp. J. Antimicrob. Chemother. 2009, 63, 949–953. [Google Scholar] [CrossRef]
- Roche, H.-L. Xanthofulvin as an inhibitor of chitin synthase and its potential as an antifungal. Expert Opin. Ther. Pat. 1993, 3, 1801–1802. [Google Scholar]
- Kumagai, K.; Hosotani, N.; Kikuchi, K.; Kimura, T.; Saji, I. Xanthofulvin, a novel semaphorin inhibitor produced by a strain of Penicillium. J. Antibiot. 2003, 56, 610–616. [Google Scholar] [CrossRef] [PubMed]
- Kikuchi, K.; Kishino, A.; Konishi, O.; Kumagai, K.; Hosotani, N.; Saji, I.; Nakayama, C.; Kimura, T. In Vitro and in Vivo Characterization of a Novel Semaphorin 3A Inhibitor, SM-216289 or Xanthofulvin. J. Biol. Chem. 2003, 278, 42985–42991. [Google Scholar] [CrossRef] [PubMed]
- Kaneko, S.; Iwanami, A.; Nakamura, M.; Kishino, A.; Kikuchi, K.; Shibata, S.; Okano, H.J.; Ikegami, T.; Moriya, A.; Konishi, O.; et al. A selective Sema3A inhibitor enhances regenerative responses and functional recovery of the injured spinal cord. Nat. Med. 2006, 12, 1380–1389. [Google Scholar] [CrossRef] [PubMed]
- Mori, M.; Jeelani, G.; Masuda, Y.; Sakai, K.; Tsukui, K.; Waluyo, D.; Tarwadi; Watanabe, Y.; Nonaka, K.; Matsumoto, A.; Omura, S.; et al. Identification of natural inhibitors of Entamoeba histolytica cysteine synthase from microbial secondary metabolites. Front. Microbiol. 2015, 6. [Google Scholar] [CrossRef] [PubMed]
- Chin, M.R.; Zlotkowski, K.; Han, M.; Patel, S.; Eliasen, A.M.; Axelrod, A.; Siegel, D. Expedited Access to Vinaxanthone and Chemically Edited Derivatives Possessing Neuronal Regenerative Effects through Ynone Coupling Reactions. ACS Chem. Neurosci. 2015, 6, 542–550. [Google Scholar] [CrossRef] [PubMed]
- Omolo, J.J.; Maharaj, V.; Naidoo, D.; Klimkait, T.; Malebo, H.M.; Mtullu, S.; Lyaruu, H.V.; de Koning, C.B. Bioassay-guided investigation of the Tanzanian plant Pyrenacantha kaurabassana for potential anti-HIV-active compounds. J. Nat. Prod. 2012, 75, 1712–1716. [Google Scholar] [CrossRef] [PubMed]
- Liu, L.-L.; Xu, Y.; Han, Z.; Li, Y.-X.; Lu, L.; Lai, P.-Y.; Zhong, J.-L.; Guo, X.-R.; Zhang, X.-X.; Qian, P.-Y. Four New Antibacterial Xanthones from the Marine-Derived Actinomycetes Streptomyces caelestis. Mar. Drugs 2012, 10, 2571. [Google Scholar] [CrossRef] [PubMed]
- Liu, T.; Zhang, L.; Li, Z.; Wang, Y.; Tian, L.; Pei, Y.; Hua, H. A new sulfo-xanthone from the marine-derived fungus Penicillium sacculum. Chem. Nat. Compd. 2012, 48, 771–773. [Google Scholar] [CrossRef]
- Michael, A. On the action of aromatic oxy-acids on phenols. Amer. Chem. J. 1883, 5, 81–97. [Google Scholar]
- v. Kostanecki, S. Über das Gentisin. Monatshefte für chemie und verwandte teile anderer wissenschaften 1891, 12, 205–210. [Google Scholar] [CrossRef]
- Barbero, N.; SanMartin, R.; Dominguez, E. An efficient copper-catalytic system for performing intramolecular O-arylation reactions in aqueous media. New synthesis of xanthones. Green Chem. 2009, 11, 830–836. [Google Scholar] [CrossRef]
- Genovese, S.; Fiorito, S.; Specchiulli, M.C.; Taddeo, V.A.; Epifano, F. Microwave-assisted synthesis of xanthones promoted by ytterbium triflate. Tetrahedron Lett. 2015, 56, 847–850. [Google Scholar] [CrossRef]
- Li, J.; Jin, C.; Su, W.K. Microwave-assisted, yb(otf)(3)/tfoh cocatalyzed synthesis of xanthones and thioxanthones by intramolecular friedel-crafts reaction under solvent-free conditions. Heterocycles 2011, 83, 855–866. [Google Scholar] [CrossRef]
- Menendez, C.A.; Nador, F.; Radivoy, G.; Gerbino, D.C. One-step synthesis of xanthones catalyzed by a highly efficient copper-based magnetically recoverable nanocatalyst. Org. Lett. 2014, 16, 2846–2849. [Google Scholar] [CrossRef] [PubMed]
- Zhang, H.; Shi, R.; Gan, P.; Liu, C.; Ding, A.; Wang, Q.; Lei, A. Palladium-catalyzed oxidative double C-H functionalization/carbonylation for the synthesis of xanthones. Angew. Chem. Int. Ed. Engl. 2012, 51, 5204–5207. [Google Scholar] [CrossRef] [PubMed]
- Zhang, X.J.; Yang, L.; Wu, Y.; Du, J.Y.; Mao, Y.L.; Wang, X.; Luan, S.J.; Lei, Y.H.; Li, X.; Sun, H.P.; et al. Microwave-assisted transition-metal-free intramolecular Ullmann-type O-arylation in water for the synthesis of xanthones and azaxanthones. Tetrahedron Lett. 2014, 55, 4883–4887. [Google Scholar] [CrossRef]
- Zhang, Z.H.; Wang, H.J.; Ren, X.Q.; Zhang, Y.Y. A facile and efficient method for synthesis of xanthone derivatives catalyzed by HBF4/SiO2 under solvent-free conditions. Monatsh. Chem. 2009, 140, 1481–1483. [Google Scholar] [CrossRef]
- Castanheiro, R.A.P.; Pinto, M.M.M.; Cravo, S.M.M.; Pinto, D.C.G.A.; Silva, A.M.S.; Kijjoa, A. Improved methodologies for synthesis of prenylated xanthones by microwave irradiation and combination of heterogeneous catalysis (K10 clay) with microwave irradiation. Tetrahedron 2009, 65, 3848–3857. [Google Scholar] [CrossRef]
- Ghosh, C.K. Synthesis of xanthones from chromones. J. Indian Chem. Soc. 2013, 90, 1721–1736. [Google Scholar]
- Baguley, B.C.; Siemann, D.W. Temporal aspects of the action of ASA404 (vadimezan; DMXAA). Expert Opin. Invest. Drug. 2010, 19, 1413–1425. [Google Scholar] [CrossRef]
- Head, M.; Jameson, M.B. The development of the tumor vascular-disrupting agent ASA404 (vadimezan, DMXAA): Current status and future opportunities. Expert Opin. Invest. Drug. 2010, 19, 295–304. [Google Scholar] [CrossRef] [PubMed]
- Daei Farshchi Adli, A.; Jahanban-Esfahlan, R.; Seidi, K.; Samandari-Rad, S.; Zarghami, N. An overview on Vadimezan (DMXAA): The vascular disrupting agent. Chem. Biol. Drug Des. 2018, 91, 996–1006. [Google Scholar] [CrossRef] [PubMed]
- Ching, L.M. ASA404. Vascular-disrupting agent, oncolytic. Drugs Future 2008, 33, 561–569. [Google Scholar] [CrossRef]
- McKeage, M.J.; Kelland, L.R. 5,6-Dimethylxanthenone-4-acetic acid (DMXAA): Clinical potential in combination with taxane-based chemotherapy. Am. J. Cancer 2006, 5, 155–162. [Google Scholar] [CrossRef]
- Baguley, B.C.; Wilson, W.R. Potential of DMXAA combination therapy for solid tumors. Expert Rev. Antican. 2002, 2, 593–603. [Google Scholar] [CrossRef] [PubMed]
- Baguley, B.C.; McKeage, M.J. ASA404: A tumor vascular-disrupting agent with broad potential for cancer therapy. Future Oncol. 2010, 6, 1537–1543. [Google Scholar] [CrossRef] [PubMed]
- Baguley, B.C. Antivascular therapy of cancer: DMXAA. Lancet Oncol. 2003, 4, 141–148. [Google Scholar] [CrossRef]
- McKeage, M. Clinical trials of vascular disrupting agents in advanced non-small-cell lung cancer. Clin. Lung Cancer 2011, 12, 143–147. [Google Scholar] [CrossRef]
- Zhou, S.; Kestell, P.; Baguley, B.C.; Paxton, J.W. 5,6-Dimethylxanthenone-4-acetic acid (DMXAA): A new biological response modifier for cancer therapy. Investig. New Drug. 2002, 20, 281–295. [Google Scholar] [CrossRef]
- Ching, L.M.; Zwain, S.; Baguley, B.C. Relationship between tumour endothelial cell apoptosis and tumour blood flow shutdown following treatment with the antivascular agent DMXAA in mice. Br. J. Cancer 2004, 90, 906–910. [Google Scholar] [CrossRef]
- Woon, S.T.; Hung, S.S.C.; Wu, D.C.F.; Schooltink, M.A.; Sutherland, R.; Baguley, B.C.; Chen, Q.; Chamley, L.W.; Ching, L.M. NF-κB-independent induction of endothelial cell apoptosis by the vascular disrupting agent DMXAA. Anticancer Res. 2007, 27, 327–334. [Google Scholar] [PubMed]
- Ching, L.M.; Cao, Z.; Kieda, C.; Zwain, S.; Jameson, M.B.; Baguley, B.C. Induction of endothelial cell apoptosis by the antivascular agent 5,6-dimethylxanthenone-4-acetic acid. Br. J. Cancer 2002, 86, 1937–1942. [Google Scholar] [CrossRef] [PubMed]
- Bellnier, D.A.; Gollnick, S.O.; Camacho, S.H.; Greco, W.R.; Cheney, R.T. Treatment with the Tumor Necrosis Factor-α-Inducing Drug 5,6-Dimethylxanthenone-4-Acetic Acid Enhances the Antitumor Activity of the Photodynamic Therapy of RIF-1 Mouse Tumors. Cancer Res. 2003, 63, 7584–7590. [Google Scholar] [PubMed]
- Ching, L.M.; Goldsmith, D.; Joseph, W.R.; Körner, H.; Sedgwick, J.D.; Baguley, B.C. Induction of intratumoral tumor necrosis factor (TNF) synthesis and hemorrhagic necrosis by 5,6-dimethylxanthenone-4-acetic acid (DMXAA) in TNF knockout mice. Cancer Res. 1999, 59, 3304–3307. [Google Scholar] [PubMed]
- Philpott, M.; Baguley, B.C.; Ching, L.M. Induction of tumour necrosis factor-α by single and repeated doses of the antitumour agent 5,6-dimethylxanthenone-4-acetic acid. Cancer Chemoth. Pharmacol. 1995, 36, 143–148. [Google Scholar] [CrossRef]
- Cao, Z.; Baguley, B.C.; Ching, L.M. Interferon-inducible protein 10 induction and inhibition of angiogenesis in vivo by the antitumor agent 5,6-dimethylxanthenone-4-acetic acid (DMXAA). Cancer Research 2001, 61, 1517–1521. [Google Scholar] [PubMed]
- Baguley, B.C.; Ching, L.M. DMXAA: An antivascular agent with multiple host responses. Int. J. Radiat. Oncol. Biol. Phys. 2002, 54, 1503–1511. [Google Scholar] [CrossRef]
- Thomsen, L.L.; Baguley, B.C.; Wilson, W.R. Nitric oxide: Its production in host-cell-infiltrated EMT6 spheroids and its role in tumour cell killing by flavone-8-acetic acid and 5,6-dimethylxanthenone-4-acetic acid. Cancer Chemoth. Pharmacol. 1992, 31, 151–155. [Google Scholar] [CrossRef]
- Thomsen, L.L.; Ching, L.M.; Joseph, W.R.; Baguley, B.C.; Gavin, J.B. Nitric oxide production in endotoxin-resistant C3H/HeJ mice stimulated with flavone-8-acetic acid and xanthenone-4-acetic acid analogues. Biochem. Pharm. 1992, 43, 2401–2406. [Google Scholar] [CrossRef]
- Baguley, B.C.; Zhuang, L.; Kestell, P. Increased plasma serotonin following treatment with flavone-8-acetic acid, 5,6-dimethylxanthenone-4-acetic acid, vinblastine, and colchicine: Relation to vascular effects. Oncol. Res. 1997, 9, 55–60. [Google Scholar]
- Baguley, B.C.; Cole, G.; Thomsen, L.L.; Zhuang, L. Serotonin involvement in the antitumour and host effects of flavone-8-acetic acid and 5,6-dimethylxanthenone-4-acetic acid. Cancer Chemoth. Pharm. 1993, 33, 77–81. [Google Scholar] [CrossRef]
- Philpott, M.; Ching, L.M.; Baguley, B.C. The antitumour agent 5,6-dimethylxanthenone-4-acetic acid acts in vitro on human mononuclear cells as a co-stimulator with other inducers of tumour necrosis factor. Eur. J. Cancer 2001, 37, 1930–1937. [Google Scholar] [CrossRef]
- Woon, S.T.; Zwain, S.; Schooltink, M.A.; Newth, A.L.; Baguley, B.C.; Ching, L.M. NF-kappa B activation in vivo in both host and tumour cells by the antivascular agent 5,6-dimethylxanthenone-4-acetic acid (DMXAA). Eur. J. Cancer 2003, 39, 1176–1183. [Google Scholar] [CrossRef]
- Shirey, K.A.; Nhu, Q.M.; Yim, K.C.; Roberts, Z.J.; Teijaro, J.R.; Farber, D.L.; Blanco, J.C.; Vogel, S.N. The anti-tumor agent, 5,6-dimethylxanthenone-4-acetic acid (DMXAA), induces IFN-β-mediated antiviral activity in vitro and in vivo. J. Leukocyte Biol. 2011, 89, 351–357. [Google Scholar] [CrossRef] [PubMed]
- Zhang, S.H.; Zhang, Y.; Shen, J.; Zhang, S.; Chen, L.; Gu, J.; Mruk, J.S.; Cheng, G.; Zhu, L.; Kunapuli, S.P.; et al. Tumor vascular disrupting agent 5,6-dimethylxanthenone-4-acetic acid inhibits platelet activation and thrombosis via inhibition of thromboxane A2 signaling and phosphodiesterase. J. Thromb. Haemost. 2013, 11, 1855–1866. [Google Scholar] [PubMed]
- Hida, T.; Tamiya, M.; Nishio, M.; Yamamoto, N.; Hirashima, T.; Horai, T.; Tanii, H.; Shi, M.M.; Kobayashi, K.; Horio, Y. Phase I study of intravenous ASA404 (vadimezan) administered in combination with paclitaxel and carboplatin in Japanese patients with non-small cell lung cancer. Cancer Sci. 2011, 102, 845–851. [Google Scholar] [CrossRef] [PubMed]
- McKeage, M.J.; Reck, M.; Jameson, M.B.; Rosenthal, M.A.; Gibbs, D.; Mainwaring, P.N.; Freitag, L.; Sullivan, R.; Von Pawel, J. Phase II study of ASA404 (vadimezan, 5,6-dimethylxanthenone-4-acetic acid/DMXAA) 1800 mg/m2 combined with carboplatin and paclitaxel in previously untreated advanced non-small cell lung cancer. Lung Cancer 2009, 65, 192–197. [Google Scholar] [CrossRef] [PubMed]
- McKeage, M.J.; Von Pawel, J.; Reck, M.; Jameson, M.B.; Rosenthal, M.A.; Sullivan, R.; Gibbs, D.; Mainwaring, P.N.; Serke, M.; Lafitte, J.J.; et al. Randomised phase II study of ASA404 combined with carboplatin and paclitaxel in previously untreated advanced non-small cell lung cancer. Br. J. Cancer 2008, 99, 2006–2012. [Google Scholar] [CrossRef]
- Pili, R.; Rosenthal, M.A.; Mainwaring, P.N.; Van Hazel, G.; Srinivas, S.; Dreicer, R.; Goel, S.; Leach, J.; Wong, S.; Clingan, P. Phase II study on the addition of ASA404 (vadimezan; 5,6- dimethylxanthenone-4-acetic acid) to docetaxel in CRMPC. Clin. Cancer Res. 2010, 16, 2906–2914. [Google Scholar] [CrossRef]
- Früh, M.; Cathomas, R.; Siano, M.; Tscherry, G.; Zippelius, A.; Mamot, C.; Erdmann, A.; Krasniqi, F.; Rauch, D.; Simcock, M.; et al. Carboplatin and paclitaxel plus ASA404 as first-line chemotherapy for extensive-stage small-cell lung cancer: A multicenter single arm phase II trial (SAKK 15/08). Clin. Lung Cancer 2013, 14, 34–39. [Google Scholar] [CrossRef]
- Lara, P.N., Jr.; Douillard, J.Y.; Nakagawa, K.; Von Pawel, J.; McKeage, M.J.; Albert, I.; Losonczy, G.; Reck, M.; Heo, D.S.; Fan, X.; et al. Randomized phase III placebo-controlled trial of carboplatin and paclitaxel with or without the vascular disrupting agent vadimezan (ASA404) in advanced non-small-cell lung cancer. J. Clin. Oncol. 2011, 29, 2965–2971. [Google Scholar] [CrossRef] [PubMed]
- Rewcastle, G.W.; Atwell, G.J.; Zhuang, L.; Baguley, B.C.; Denny, W.A. Potential antitumor agents. 61. Structure-activity relationships for in vivo colon 38 activity among disubstituted 9-oxo-9H-xanthene-4-acetic acids. J. Med. Chem. 1991, 34, 217–222. [Google Scholar] [CrossRef] [PubMed]
- Atwell, G.J.; Yang, S.; Denny, W.A. An improved synthesis of 5,6-dimethylxanthenone-4-acetic acid (DMXAA). Eur. J. Med. Chem. 2002, 37, 825–828. [Google Scholar] [CrossRef]
- Yang, S.; Denny, W.A. A new short synthesis of 5,6-dimethylxanthenone-4-acetic acid (ASA404, DMXAA). Tetrahedron Lett. 2009, 50, 3945–3947. [Google Scholar] [CrossRef]
- Gobbi, S.; Belluti, F.; Bisi, A.; Piazzi, L.; Rampa, A.; Zampiron, A.; Barbera, M.; Caputo, A.; Carrara, M. New derivatives of xanthenone-4-acetic acid: Synthesis, pharmacological profile and effect on TNF-alpha and NO production by human immune cells. Bioorg. Med. Chem. 2006, 14, 4101–4109. [Google Scholar] [CrossRef] [PubMed]
- Palmer, B.D.; Henare, K.; Woon, S.T.; Sutherland, R.; Reddy, C.; Wang, L.C.; Kieda, C.; Ching, L.M. Synthesis and biological activity of azido analogues of 5,6-dimethylxanthenone-4-acetic acid for use in photoaffinity labeling. J. Med. Chem. 2007, 50, 3757–3764. [Google Scholar] [CrossRef] [PubMed]
- Marona, H.; Pȩkala, E.; Gunia, A.; Czuba, Z.; Szneler, E.; Sadowski, T.; Król, W. The influence of some xanthone derivatives on the activity of J-774A.1 cells. Sci. Pharm. 2009, 77, 743–754. [Google Scholar] [CrossRef]
- Liu, J.; Zhou, F.; Zhang, L.; Wang, H.; Zhang, J.; Zhang, C.; Jiang, Z.; Li, Y.; Liu, Z.; Chen, H. DMXAA-pyranoxanthone hybrids enhance inhibition activities against human cancer cells with multi-target functions. Eur. J. Med. Chem. 2018, 143, 1768–1778. [Google Scholar] [CrossRef]
- Anschütz, R.; Stoltenhoff, W.; Voeller, F. Über zwei gemischte Anhydro-monoxybenzoesäuren und ihre Umwandlung in Xanthon-carbonsäuren. Ber. Dtsch. Chem. Ges. A B Ser. 1925, 58, 1736–1741. [Google Scholar] [CrossRef]
- El-Abbady, A.M.; Ayoub, S.; Baddar, F.G. 517. β-Aroylpropionic acids. Part XVI. The conversion of γ-oxo-γ-2-xanthenylbutyric acid into 2,3-benzoxanthone. J. Chem. Soc. 1960, 0, 2556–2559. [Google Scholar] [CrossRef]
- Graham, R.; Lewis, J.R. A convenient synthesis of xanthone 2-carboxylic acids. Chem. Industr. 1977, 19, 798. [Google Scholar]
- Pickert, M.; Frahm, A.W. Substituted xanthones as antimycobacterial agents*, Part 1: Synthesis and assignment of 1H/13C NMR chemical shifts. Arch. Pharm. 1998, 331, 177–192. [Google Scholar] [CrossRef]
- Pfister, J.R.; Ferraresi, R.W.; Harrison, I.T.; Rooks, W.H.; Roszkowski, A.P.; Van Horn, A.; Fried, J.H. Xanthone-2-carboxylic acids, a new series of antiallergic substances. J. Med. Chem. 1972, 15, 1032–1035. [Google Scholar] [CrossRef] [PubMed]
- Jones, W.D.; Albrecht, W.L.; Munro, N.L.; Stewart, K.T. Antiallergic agents. Xanthone-2,7-dicarboxylic Acid Derivatives. J. Med. Chem. 1977, 20, 594–595. [Google Scholar] [CrossRef] [PubMed]
- Bristol, J.A.; Alekel, R.; Fukunaga, J.Y.; Steinman, M. Antiallergic activity of some 9H-xanthen-9-one-2-carboxylic acids. J. Med. Chem. 1978, 21, 1327–1330. [Google Scholar] [CrossRef]
- Pfister, J.R.; Ferraresi, R.W.; Harrison, I.T.; Rooks, W.H.; Fried, J.H. Synthesis and antiallergic activity of some mono- and disubstituted xanthone-2-carboxylic acids. J. Med. Chem. 1978, 21, 669–672. [Google Scholar] [CrossRef] [PubMed]
- Barnes, A.C.; Hairsine, P.W.; Matharu, S.S.; Ramm, P.J.; Taylor, J.B. Pharmacologically active sulfoximides: 5-hexyl-7-(S-methylsulfonimidoyl)xanthone-2-carboxylic acid, a potent antiallergic agent. J. Med. Chem. 1979, 22, 418–424. [Google Scholar] [CrossRef]
- Barnes, A.C.; Hairsine, P.W.; Kay, D.P.; Ramm, P.J.; Taylor, J.B. Thermal decomposition of a sulfoximide in the presence of a carboxylic acid; an interesting rearrangement. J. Heterocycl. Chem. 1979, 16, 1089–1091. [Google Scholar] [CrossRef]
- Pfister, J.R.; Wymann, W.E.; Mahoney, J.M.; Waterbury, L.D. Synthesis and aldose reductase inhibitory activity of 7-sulfamoylxanthone-2-carboxylic acids. J. Med. Chem. 1980, 23, 1264–1267. [Google Scholar] [CrossRef]
- Pfister, J.R. Application of the smiles rearrangement to the synthesis of 5,7-disubstituted xanthone-2-carboxylic acids. J. Heterocycl. Chem. 1982, 19, 1255–1256. [Google Scholar] [CrossRef]
- Jackson, W.T.; Boyd, R.J.; Froelich, L.L.; Gapinski, D.M.; Mallett, B.E.; Sawyer, J.S. Design, synthesis, and pharmacological evaluation of potent xanthone dicarboxylic acid leukotriene B4 receptor antagonists. J. Med. Chem. 1993, 36, 1726–1734. [Google Scholar] [CrossRef] [PubMed]
- Sawyer, J.S.; Baldwin, R.F.; Sofia, M.J.; Floreancig, P.; Marder, P.; Saussy, D.L. Jr.; Froelich, L.L.; Silbaugh, S.A.; Stengel, P.W.; Cockerham, S.L.; et al. Biphenylyl-substituted xanthones: Highly potent leukotriene B4 receptor antagonists. J. Med. Chem. 1993, 36, 3982–3984. [Google Scholar] [CrossRef] [PubMed]
- Sawyer, J.S.; Schmittling, E.A.; Bach, N.J.; Baker, S.R.; Froelich, L.L.; Saussy Jr, D.L.; Marder, P.; Jackson, W.T. Structural analogues of LY292728, a highly potent xanthone dicarboxylic acid leukotriene B4 receptor antagonist: Spatial positioning of the secondary acid group. Bioorg. Med. Chem. Lett. 1994, 4, 2077–2082. [Google Scholar] [CrossRef]
- Fonteneau, N.; Martin, P.; Mondon, M.; Ficheux, H.; Gesson, J.P. Synthesis of quinone and xanthone analogs of rhein. Tetrahedron 2001, 57, 9131–9135. [Google Scholar] [CrossRef]
- Fernandes, C.; Masawang, K.; Tiritan, M.E.; Sousa, E.; de Lima, V.; Afonso, C.; Bousbaa, H.; Sudprasert, W.; Pedro, M.; Pinto, M.M. New chiral derivatives of xanthones: Synthesis and investigation of enantioselectivity as inhibitors of growth of human tumor cell lines. Bioorg. Med. Chem. 2014, 22, 1049–1062. [Google Scholar] [CrossRef] [PubMed]
- Hernández, J.V.; Muñiz, F.M.; Oliva, A.I.; Simón, L.; Pérez, E.; Morán, J.N.R. A xanthone-based neutral receptor for zwitterionic amino acids. Tetrahedron. Lett. 2003, 44, 6983–6985. [Google Scholar] [CrossRef]
- Fernandes, C.; Oliveira, L.; Tiritan, M.E.; Leitao, L.; Pozzi, A.; Noronha-Matos, J.B.; Correia-de-Sa, P.; Pinto, M.M. Synthesis of new chiral xanthone derivatives acting as nerve conduction blockers in the rat sciatic nerve. Eur. J. Med. Chem 2012, 55, 1–11. [Google Scholar] [CrossRef]
- Carraro, M.L.; Palmeira, A.; Tiritan, M.E.; Fernandes, C.; Pinto, M.M.M. Resolution, determination of enantiomeric purity and chiral recognition mechanism of new xanthone derivatives on (S,S)-whelk-O1 stationary phase. Chirality 2017, 29, 247–256. [Google Scholar] [CrossRef]
- Fernandes, C.; Brandao, P.; Santos, A.; Tiritan, M.E.; Afonso, C.; Cass, Q.B.; Pinto, M.M. Resolution and determination of enantiomeric purity of new chiral derivatives of xanthones using polysaccharide-based stationary phases. J. Chromatogr. A 2012, 1269, 143–153. [Google Scholar] [CrossRef]
- Fernandes, C.; Tiritan, M.E.; Cass, Q.; Kairys, V.; Fernandes, M.X.; Pinto, M. Enantioseparation and chiral recognition mechanism of new chiral derivatives of xanthones on macrocyclic antibiotic stationary phases. J. Chromatogr. A 2012, 1241, 60–68. [Google Scholar] [CrossRef]
- Fernandes, C.; Palmeira, A.; Ramos, II.; Carneiro, C.; Afonso, C.; Tiritan, M.E.; Cidade, H.; Pinto, P.; Saraiva, M.; Reis, S.; Pinto, M.M.M. Chiral derivatives of xanthones: Investigation of the effect of enantioselectivity on inhibition of cyclooxygenases (COX-1 and COX-2) and binding interaction with human serum albumin. Pharmaceuticals 2017, 10, 50. [Google Scholar] [CrossRef] [PubMed]
- Sato, H.; Dan, T.; Onuma, E.; Tanaka, H.; Koga, H. Studies on uricosuric diuretics. I. Syntheses and activities of xanthonyloxyacetic acids and dihydrofuroxanthone-2-carboxylic acids. Chem. Pharm. Bull. 1990, 38, 1266–1277. [Google Scholar] [CrossRef] [PubMed]
- Zelaszczyk, D.; Lipkowska, A.; Szkaradek, N.; Słoczyńska, K.; Gunia-Krzyżak, A.; Librowski, T.; Marona, H. Synthesis and preliminary anti-inflammatory evaluation of xanthone derivatives. Heterocycl. Commun. 2018, 24, 231–236. [Google Scholar] [CrossRef]
© 2019 by the authors. Licensee MDPI, Basel, Switzerland. This article is an open access article distributed under the terms and conditions of the Creative Commons Attribution (CC BY) license (http://creativecommons.org/licenses/by/4.0/).













