Isolation of Novel Sesquiterpeniods and Anti-neuroinflammatory Metabolites from Nardostachys jatamansi
Abstract
1. Introduction
2. Results and Discussion
2.1. Structure Determination of Sesquiterpenes 1–9
2.2. Effects of Compounds 1–9 on Nitrite and PGE2 Production in LPS-Stimulated BV2 Microglial Cells
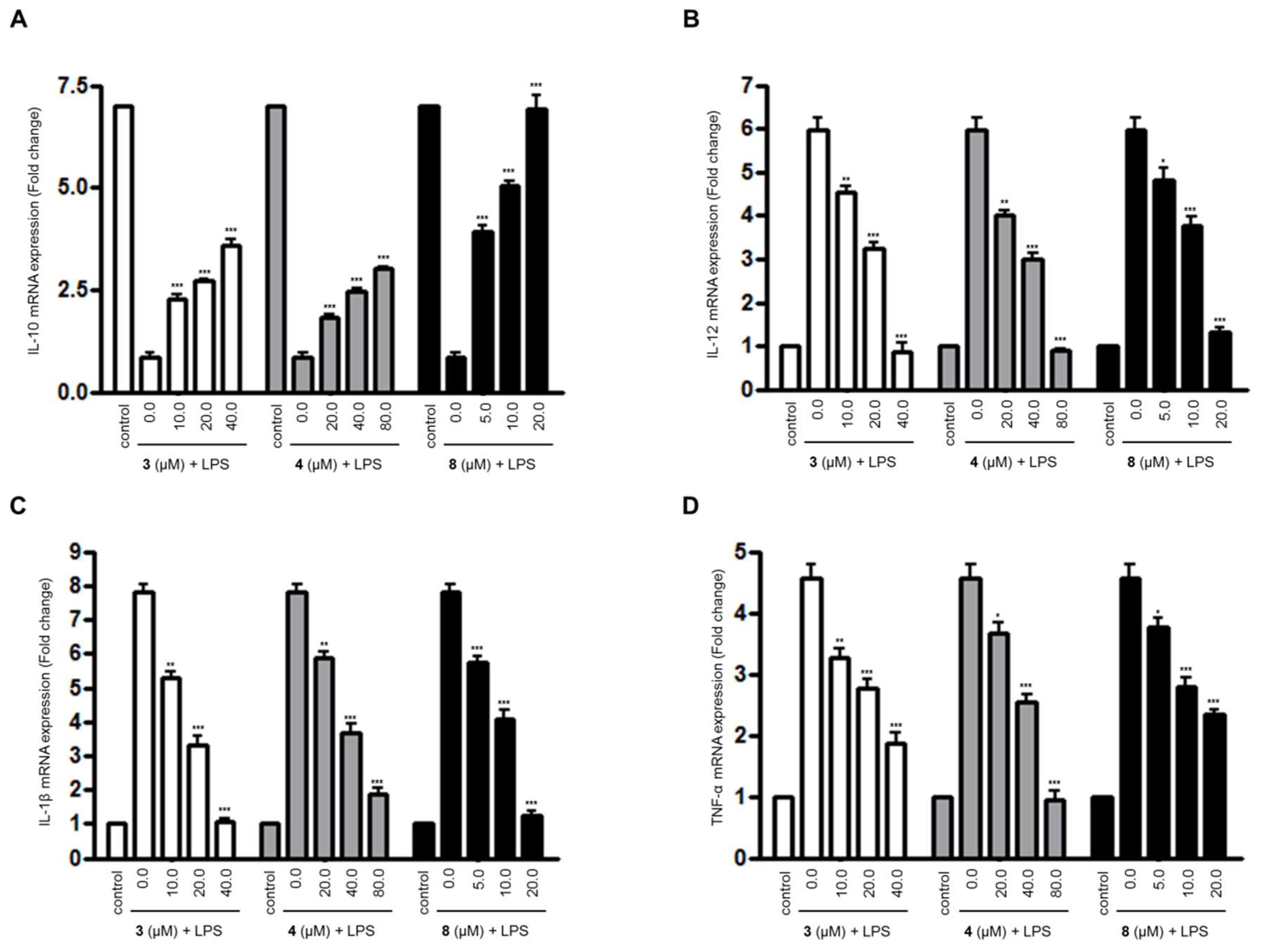
2.3. Effects of Compounds 3, 4, and 8 on the Expression of mRNA of the Pro-inflammatory Cytokines IL-10, IL-12, IL-1β, and TNF-α in LPS-Stimulated BV2 Microglial Cells
2.4. Effects of Compounds 3, 4, and 8 on iNOS and COX-2 Protein Expression in LPS-Stimulated BV2 Microglial Cells
2.5. Effects of Compounds 3, 4, and 8 on IκB-α Levels and NF-κB Nuclear Translocation in LPS-Stimulated BV2 Microglial Cells
3. Experimental Section
3.1. General Information
3.2. Plant Material, Extraction, and Isolation
3.3. Cell Culture and Viability Assay
3.4. Determination of Nitrite (NO) Production
3.5. PGE2 Assay
3.6. Quantitative Real-Time Reverse Transcriptase PCR (qRT-PCR)
3.7. Preparation of Cytosolic and Nuclear Fractions
3.8. Western Blot Analysis
3.9. DNA Binding Activity of NF-κB
3.10. Statistical Analysis
4. Conclusions
Supplementary Materials
Author Contributions
Acknowledgments
Conflicts of Interest
References
- Song, M.Y.; Bae, U.J.; Lee, B.H.; Kwon, K.B.; Seo, E.A.; Park, S.J.; Kim, M.S.; Song, H.J.; Kwon, K.S.; Park, J.W.; et al. Nardostachys jatamansi extract protects against cytokine-induced β-cell damage and streptozotocin-induced diabetes. World J. Gastroenterol. 2010, 16, 3249–3257. [Google Scholar] [CrossRef] [PubMed]
- Liu, Q.F.; Jeon, Y.; Sung, Y.W.; Lee, J.H.; Jeong, H.; Kim, Y.M.; Yun, H.S.; Chin, Y.W.; Jeon, S.; Cho, K.S.; Koo, B.S. Nardostachys jatamansi Ethanol Extract Ameliorates Aβ42 Cytotoxicity. Biol. Pharm. Bull. 2018, 41, 470–477. [Google Scholar] [CrossRef] [PubMed]
- Aisa, R.; Yu, Z.; Zhang, X.; Maimaitiyiming, D.; Huang, L.; Hasim, A.; Jiang, T.; Duan, M. The Effects of Aqueous Extract from Nardostachys chinensis Batalin on Blood Pressure and Cardiac Hypertrophy in Two-Kidney One-Clip Hypertensive Rats. Evid. Based Complement. Alternat. Med. 2017, 2017, 4031950. [Google Scholar] [CrossRef] [PubMed]
- Chen, Y.P.; Ying, S.S.; Zheng, H.H.; Liu, Y.T.; Wang, Z.P.; Zhang, H.; Deng, X.; Wu, Y.J.; Gao, X.M.; Li, T.X.; et al. Novel serotonin transporter regulators: Natural aristolane- and nardosinane- types of sesquiterpenoids from Nardostachys chinensis Batal. Sci. Rep. 2017, 7, 15114. [Google Scholar] [CrossRef] [PubMed]
- Yoon, C.S.; Kim, K.W.; Lee, S.C.; Kim, Y.C.; Oh, H. Anti-neuroinflammatory effects of sesquiterpenoids isolated from Nardostachys jatamansi. Bioorg. Med. Chem. Lett. 2018, 28, 140–144. [Google Scholar] [CrossRef] [PubMed]
- Hwang, J.S.; Lee, S.A.; Hong, S.S.; Han, X.H.; Lee, C.; Lee, D.; Lee, C.K.; Hong, J.T.; Kim, Y.; Lee, M.K.; et al. Inhibitory constituents of Nardostachys chinensis on nitric oxide production in RAW 264.7 macrophages. Bioorg. Med. Chem Lett. 2012, 22, 706–708. [Google Scholar] [CrossRef] [PubMed]
- Lehnardt, S. Innate immunity and neuroinflammation in the CNS: The role of microglia in Toll-like receptor-mediated neuronal injury. Glia 2010, 58, 253–263. [Google Scholar] [CrossRef] [PubMed]
- Falsig, J.; van Beek, J.; Hermann, C.; Leist, M. Molecular basis for detection of invading pathogens in the brain. J. Neurosci. Res. 2008, 86, 1434–1447. [Google Scholar] [CrossRef] [PubMed]
- Bodea, L.G.; Wang, Y.; Linnartz-Gerlach, B.; Kopatz, J.; Sinkkonen, L.; Musgrove, R.; Kaoma, T.; Muller, A.; Vallar, L.; Di Monte, D.A.; et al. Neurodegeneration by activation of the microglial complement-phagosome pathway. J. Neurosci. 2014, 34, 8546–8556. [Google Scholar] [CrossRef] [PubMed]
- Fan, K.; Li, D.; Zhang, Y.; Han, C.; Liang, J.; Hou, C.; Xiao, H.; Ikenaka, K.; Ma, J. The induction of neuronal death by up-regulated microglial cathepsin H in LPS-induced neuroinflammation. J. Neuroinflammation 2015, 12, 54. [Google Scholar] [CrossRef] [PubMed]
- Weng, L.; Zhang, H.; Li, X.; Zhan, H.; Chen, F.; Han, L.; Xu, Y.; Cao, X. Ampelopsin attenuates lipopolysaccharide induced inflammatory response through the inhibition of the NF-kappaB and JAK2/STAT3 signaling pathways in microglia. Int. Immunopharmacol. 2017, 44, 1–8. [Google Scholar] [CrossRef] [PubMed]
- Lukiw, W.J. Bacteroides fragilis Lipopolysaccharide and inflammatory signaling in Alzheimer’s disease. Front. Microbiol. 2016, 7, 1544. [Google Scholar] [CrossRef] [PubMed]
- Hasegawa-Ishii, S.; Inaba, M.; Umegaki, H.; Unno, K.; Wakabayashi, K.; Shimada, A. Endotoxemia-induced cytokine-mediated responses of hippocampal astrocytes transmitted by cells of the brain-immune interface. Sci. Rep. 2016, 6, 25457. [Google Scholar] [CrossRef] [PubMed]
- Long-Smith, C.M.; Sullivan, A.M.; Nolan, Y.M. The influence of microglia on the pathogenesis of Parkinson’s disease. Prog. Neurobiol. 2009, 89, 277–287. [Google Scholar] [CrossRef] [PubMed]
- Lue, L.F.; Kuo, Y.M.; Beach, T.; Walker, D.G. Microglia activation and anti-inflammatory regulation in Alzheimer’s disease. Mol. Neurobiol. 2010, 41, 115–128. [Google Scholar] [CrossRef] [PubMed]
- Amor, S.; Puentes, F.; Baker, D.; van der Valk, P. Inflammation in neurodegenerative diseases. Immunology 2010, 129, 154–169. [Google Scholar] [CrossRef] [PubMed]
- Block, M.L.; Hong, J.S. Microglia and inflammation-mediated neurodegeneration: Multiple triggers with a common mechanism. Prog. Neurobiol. 2005, 76, 77–98. [Google Scholar] [CrossRef] [PubMed]
- Perry, V.H.; Nicoll, J.A.; Holmes, C. Microglia in neurodegenerative disease. Nat. Rev. Neurol. 2010, 6, 193–201. [Google Scholar] [CrossRef] [PubMed]
- Kaltschmidt, B.; Kaltschmidt, C. NF-kappaB in the nervous system. Cold Spring Harb. Perspect. Biol. 2009, 1, a001271. [Google Scholar] [CrossRef] [PubMed]
- Agostinho, P.; Cunha, R.A.; Oliveira, C. Neuroinflammation, oxidative stress and the pathogenesis of Alzheimer’s disease. Curr. Pharm. Des. 2010, 16, 2766–2778. [Google Scholar] [CrossRef] [PubMed]
- Karin, M.; Ben-Neriah, Y. Phosphorylation meets ubiquitination: The control of NF-[kappa]B activity. Annu. Rev. Immunol. 2000, 18, 621–663. [Google Scholar] [CrossRef] [PubMed]
- Lu, M.Y.; Chen, C.C.; Lee, L.Y.; Lin, T.W.; Kuo, C.F. N(6)-(2-Hydroxyethyl)adenosine in the medicinal mushroom cordyceps cicadae attenuates lipopolysaccharide-stimulated pro-inflammatory responses by suppressing TLR4-mediated NF-κB signaling pathways. J. Nat. Prod. 2015, 78, 2452–2460. [Google Scholar] [CrossRef] [PubMed]
- Hashidoko, Y.; Tahara, S.; Mizutani, J. Isolation of Four Novel Carotanoids as Possible Metabolites of Rugosic Acid A in Rosa rugosa Leaves. Agric. Biol. Chem. 1991, 55, 1049–1053. [Google Scholar] [CrossRef]
- Bagchi, A.; Oshima, Y.; Hikino, H. Kanshones D and E, sesquiterpenoids of Nardostachys chinensis roots. Phytochemistry 1988, 27, 3667–3669. [Google Scholar] [CrossRef]
- Zhang, J.B.; Liu, M.L.; Li, C.; Dai, Y. Nardosinane-type sesquiterpenoids of Nardostachys chinensis Batal. Fitoterapia 2015, 100, 195–200. [Google Scholar] [CrossRef] [PubMed]
- Hikino, H.; Hikino, Y.; Koakutsu, S.; Takemoto, T. Structure and absolute configuration of narchinol A. Phytochemistry 1972, 11, 2097–2099. [Google Scholar] [CrossRef]
- Liu, M.L.; Duan, Y.H.; Hou, Y.L.; Li, C.; Gao, H.; Dai, Y.; Yao, X.S. Nardoaristolones A and B, two terpenoids with unusual skeletons from Nardostachys chinensis Batal. Org. Lett. 2013, 15, 1000–1003. [Google Scholar] [CrossRef] [PubMed]
- Smolinska, M.J.; Page, T.H.; Urbaniak, A.M.; Mutch, B.E.; Horwood, N.J. Hck tyrosine kinase regulates TLR4-induced TNF and IL-6 production via AP-1. J. Immunol. 2011, 187, 6043–6051. [Google Scholar] [CrossRef] [PubMed]
- Smale, S.T. Selective transcription in response to an inflammatory stimulus. Cell 2010, 140, 833–844. [Google Scholar] [CrossRef] [PubMed]
- Hilgenberg, E.; Shen, P.; Dang, V.D.; Ries, S.; Sakwa, I.; Fillatreau, S. Interleukin-10-producing B cells and the regulation of immunity. Curr. Top. Microbiol. Immunol. 2014, 380, 69–92. [Google Scholar] [PubMed]
- Yoon, C.S.; Kim, D.C.; Lee, D.S.; Kim, K.S.; Ko, W.; Sohn, J.H.; Yim, J.H.; Kim, Y.C.; Oh, H. Anti-neuroinflammatory effect of aurantiamide acetate from the marine fungus Aspergillus sp. SF-5921: Inhibition of NF-κB and MAPK pathways in lipopolysaccharide-induced mouse BV2 microglial cells. Int. Immunopharmacol. 2014, 23, 568–574. [Google Scholar] [CrossRef] [PubMed]
- Kim, D.C.; Lee, H.S.; Ko, W.; Lee, D.S.; Sohn, J.H.; Yim, J.H.; Kim, Y.C.; Oh, H. Anti-inflammatory effect of methylpenicinoline from a marine isolate of Penicillium sp. (SF-5995): Inhibition of NF-κB and MAPK pathways in lipopolysaccharide-induced RAW264.7 macrophages and BV2 microglia. Molecules 2014, 19, 18073–18089. [Google Scholar] [CrossRef] [PubMed]
- Kim, D.C.; Yoon, C.S.; Quang, T.H.; Ko, W.; Kim, J.S.; Oh, H.; Kim, Y.C. Prenylated flavonoids from Cudrania tricuspidata suppress lipopolysaccharide-induced neuroinflammatory activities in BV2 microglial cells. Int. J. Mol. Sci. 2016, 17, 255. [Google Scholar] [CrossRef] [PubMed]
- Gersch, M.; Kreuzera, J.; Sieber, S.A. Electrophilic natural products and their biological targets. Nat. Prod. Res. 2012, 29, 659–682. [Google Scholar] [CrossRef] [PubMed]
- Shen, X.Y.; Yu, Y.; Chen, G.D.; Zhou, H.; Luo, J.F.; Zuo, Y.H.; Yao, X.S.; Dai, Y. Six new sesquiterpenoids from Nardostachys chinensis Batal. Fitoterapia 2017, 119, 75–82. [Google Scholar] [CrossRef] [PubMed]
Sample Availability: Samples of the compounds are not available from the authors. |







| Position | 1 | 2 | ||||||
|---|---|---|---|---|---|---|---|---|
| δCa,c | δHb,c, mult (J in Hz) | δCa,d | δHb,d, mult (J in Hz) | δCa,d | δHb,d, mult (J in Hz) | |||
| 1 | 124.7 | 6.53, s | 125.5 | 7.22, s | 125.6 | 7.08, s | ||
| 2 | 198.0 | 198.9 | 198.7 | |||||
| 3 | α | 41.9 | 2.41, dd (17.2, 14.2) | 42.5 | 2.50, m | 42.5 | 2.40, br d (8.5) | |
| β | 2.25, dd (17.2, 4.6) | 2.50, m | 2.40, br d (8.5) | |||||
| 4 | 33.5 | 3.29, ddq (14.2, 6.4, 4.6) | 33.9 | 3.67, ddq (12.7, 6.4, 5.8) | 39.8 | 2.11, ddd (8.5, 6.8, 2.0) | ||
| 5 | 42.3 | 42.8 | 39.3 | |||||
| 6 | α | 65.8 | 2.57, s | 66.8 | 3.07, s | 48.7 | 2.73, d (15.6) | |
| β | 2.42, d (15.6) | |||||||
| 7 | 197.7 | 198.9 | 194.6 e | |||||
| 8 | 106.5 | 5.54, s | 107.0 | 6.03, s | 107.1 | 6.02, s | ||
| 9 | 167.5 | 168.1 | 169.1 e | |||||
| 10 | 157.7 | 158.6 | 158.1 e | |||||
| 11 | 72.1 | 72.2 | 18.9 | 1.14, s | ||||
| 12 | 32.7 | 1.17, s | 33.5 | 1.55, s | 14.8 | 0.81, d (6.8) | ||
| 13 | 26.8 | 1.23, s | 28.0 | 1.57, s | ||||
| 14 | 21.2 | 1.19, s | 21.8 | 1.33, s | ||||
| 15 | 16.1 | 1.08, d (6.4) | 16.7 | 1.14, d (6.4) | ||||
| Position | 3 | 4 | |||
|---|---|---|---|---|---|
| δCa,c | δHb,c, mult (J in Hz) | δCa,c | δHb,c, mult (J in Hz) | ||
| 1 | 138.2 | 6.75, dd, (4.9, 2.9) | 140.4 | 6.76, br t (1.7) | |
| 2 | 25.8 | 2.22, m | 67.4 | 4.36, ddd (10.5, 5.6, 1.7) | |
| 3 | α | 25.7 | 1.54, m | 36.4 | 1.26, m |
| β | 1.54, m | 1.83, dddd (12.4, 4.3, 2.9, 1.7) | |||
| 4 | 31.1 | 2.28, ddq (13.0, 6.8, 3.7) | 31.5 | 2.74, m | |
| 5 | 40.7 | 43.5 | |||
| 6 | 70.0 | 4.07, d (2.4) | 49.9 | 2.30, d (6.3) | |
| 7 | 75.6 | 3.76, ddd (10.5, 6.4, 2.4) | 57.2 | 3.62, dd (6.3, 3.4) | |
| 8 | α | 40.5 | 2.81, dd (17.0, 6.4) | 53.7 | 3.38, d (3.4) |
| β | 2.56, dd (17.0, 10.5) | ||||
| 9 | 199.6 | 193.8 | |||
| 10 | 140.7 | 140.7 | |||
| 11 | 19.3 | 0.84, s | 75.3 | ||
| 12 | 15.2 | 0.95, d (6.8) | 33.0d | 1.48, s | |
| 13 | 56.4 | 3.42, s | 28.1d | 1.35, s | |
| 14 | 24.7 | 1.06, s | |||
| 15 | 17.2 | 0.98, d (6.5) | |||
| Position | 5 | ||||
|---|---|---|---|---|---|
| δCa,c | δHb,c, mult (J in Hz) | δCa,d | δHb,d, mult (J in Hz) | ||
| 1 | 92.6 | 93.7 | |||
| 2 | 131.77 | 5.90, d (9.7) | 132.8 | 5.97, s * | |
| 3 | 131.84 | 5.61, d (9.7) | 132.9 | 5.97, s * | |
| 4 | 69.9 | 71.2 | |||
| 5 | 106.1 | 107.3 | |||
| 6 | α | 45.7 | 1.79, d (13.3) | 46.2 | 2.30, d (13.4) |
| β | 1.69, d (13.3) | 1.97, d (13.4) | |||
| 7 | 55.4 | 56.4 | |||
| 8 | α | 39.2 | 1.81, m | 40.0 | 2.14, m |
| β | 1.52, m * | 1.51, m | |||
| 9 | α | 30.6 | 1.85, m | 31.3 | 1.83, m |
| β | 1.52, m * | 1.52, m | |||
| 10 | 52.9 | 1.76, m | 53.7 | 1.97, m | |
| 11 | 28.9 | 1.63, m | 29.7 | 1.44, m | |
| 12 | 23.3 | 0.90, d (6.4) | 23.4 | 0.72, d (6.5) | |
| 13 | 20.5 | 0.84, d (6.4) | 20.6 | 0.77, d (6.5) | |
| 14 | 21.5 | 1.08, s | 21.9 | 1.48, s | |
| 15 | 21.8 | 0.85, s | 22.0 | 0.92, s | |
| 4-OH | 4.50, s | ||||
| 5-OH | 5.35, s | ||||
| Compound | NO Production Inhibitory Effects in BV2 Microglial Cells (IC50 = μM) | PGE2 Production Inhibitory Effects in BV2 Microglial Cells (IC50 = μM) |
|---|---|---|
| 1 | n.d. | n.d. |
| 2 | n.d. | n.d. |
| 3 | 40.2 ± 2.0 * | 35.8 ± 1.8 * |
| 4 | 55.3 ± 2.8 * | 56.2 ± 2.8 * |
| 5 | n.d. | n.d. |
| 6 | n.d. | n.d. |
| 7 | n.d. | n.d. |
| 8 | 9.3 ± 0.5 * | 13.5 ± 0.7 * |
| 9 | 70.9 ± 3.5 * | 76.7 ± 3.8 * |
© 2018 by the authors. Licensee MDPI, Basel, Switzerland. This article is an open access article distributed under the terms and conditions of the Creative Commons Attribution (CC BY) license (http://creativecommons.org/licenses/by/4.0/).
Share and Cite
Yoon, C.-S.; Kim, D.-C.; Park, J.-S.; Kim, K.-W.; Kim, Y.-C.; Oh, H. Isolation of Novel Sesquiterpeniods and Anti-neuroinflammatory Metabolites from Nardostachys jatamansi. Molecules 2018, 23, 2367. https://doi.org/10.3390/molecules23092367
Yoon C-S, Kim D-C, Park J-S, Kim K-W, Kim Y-C, Oh H. Isolation of Novel Sesquiterpeniods and Anti-neuroinflammatory Metabolites from Nardostachys jatamansi. Molecules. 2018; 23(9):2367. https://doi.org/10.3390/molecules23092367
Chicago/Turabian StyleYoon, Chi-Su, Dong-Cheol Kim, Jin-Soo Park, Kwan-Woo Kim, Youn-Chul Kim, and Hyuncheol Oh. 2018. "Isolation of Novel Sesquiterpeniods and Anti-neuroinflammatory Metabolites from Nardostachys jatamansi" Molecules 23, no. 9: 2367. https://doi.org/10.3390/molecules23092367
APA StyleYoon, C.-S., Kim, D.-C., Park, J.-S., Kim, K.-W., Kim, Y.-C., & Oh, H. (2018). Isolation of Novel Sesquiterpeniods and Anti-neuroinflammatory Metabolites from Nardostachys jatamansi. Molecules, 23(9), 2367. https://doi.org/10.3390/molecules23092367
