Application of Ionic Liquid-Based Ultrasonic-Assisted Extraction of Flavonoids from Bamboo Leaves
Abstract
1. Introduction
2. Materials and Methods
2.1. Materials and Apparatus
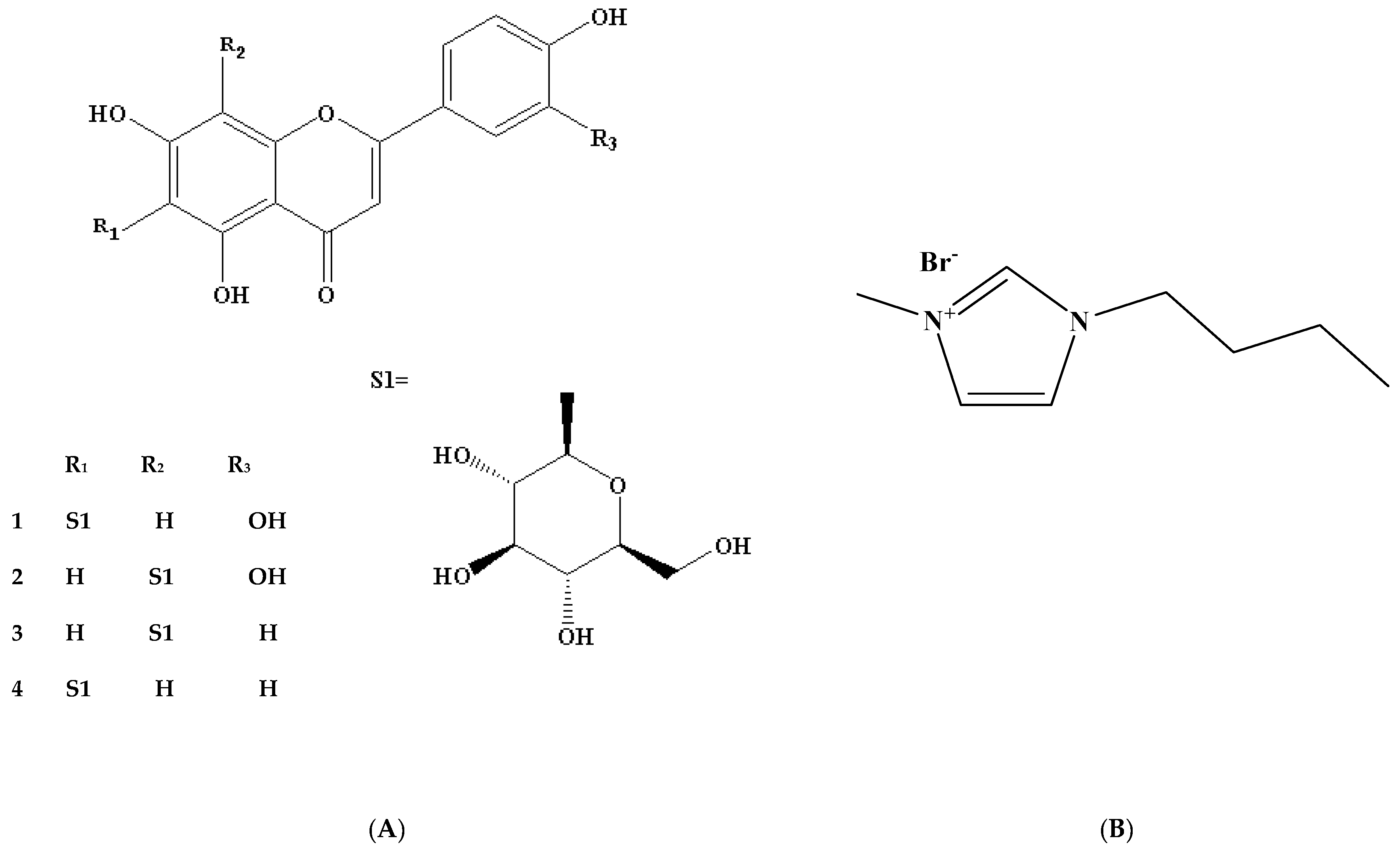
2.2. Quantitative Analysis of FVs
2.3. Screening of ILs
2.4. Optimization of IL-UAE by Single Factor Tests and Response Surface Methodology (RSM)
2.5. Recovery of Products and ILs
2.6. Conventional Reference Extraction Methods (RE)
3. Results and Discussion
3.1. Screening of ILs for the Extraction of FVs
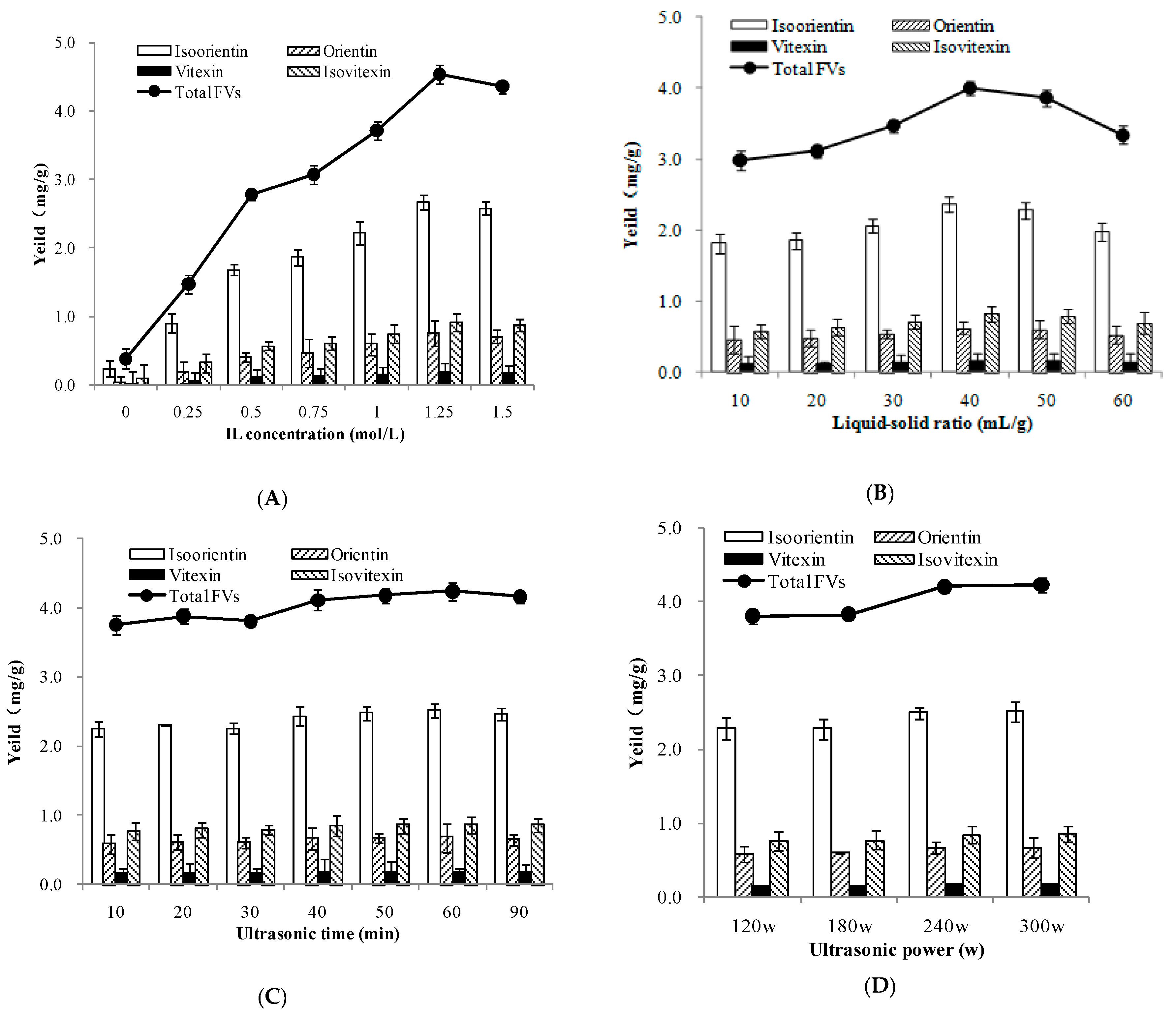
3.2. Effects of Various Conditions on the Extraction of FVs
3.3. Optimization by RSM
3.4. Recovery of Products and ILs
3.5. Comparison with Traditional Methods
4. Conclusions
Author Contributions
Funding
Conflicts of Interest
References
- Lu, B.Y.; Wu, X.Q.; Tie, X.W.; Zhang, Y.; Zhang, Y. Toxicology and safety of anti-oxidant of bamboo leaves. Part 1: Acute and sub-chronic toxicity studies on anti-oxidant of bamboo leaves. Food Chem. Toxicol. 2005, 43, 783–792. [Google Scholar] [CrossRef] [PubMed]
- Lu, B.Y.; Wu, X.Q.; Shi, J.Y.; Dong, Y.J.; Zhang, Y. Toxicology and safety of antioxidant of bamboo leaves. Part 2: Developmentaltoxicity test in rats with antioxidant of bamboo leaves. Food Chem. Toxicol. 2006, 44, 1739–1743. [Google Scholar] [CrossRef] [PubMed]
- Ghasemzadeh, A.; Jaafar, H.Z.; Karimi, E.; Rahmat, A. Optimization of ultrasound-assisted extraction of flavonoid compounds and their pharmaceutical activity from curry leaf (Murraya koenigii L.) using response surface methodology. BMC Altern. Med. 2014, 14, 318. [Google Scholar] [CrossRef] [PubMed]
- Ghasemzadeh, A.; Jaafar, H.Z.E.; Rahmat, A.; Devarajan, T. Evaluation of bioactive compounds, pharmaceutical quality, and anticancer activity of curry leaf (Murraya koenigii L.). Evid. Based Complement. Alternat. Med. 2014, 2014, 873803. [Google Scholar] [PubMed]
- Rajendran, M.; Manisankar, P.; Gandhidasan, R.; Murugesan, R. Free radicals scavenging efficiency of a few naturally occurring flavonoids: A comparative study. J. Agric. Food Chem. 2014, 52, 7389–7394. [Google Scholar] [CrossRef] [PubMed]
- Middleton, E., Jr. Effect of plant flavonoids on immune and inflammatory cell function. Adv. Exp. Med. Biol. 1998, 439, 175–182. [Google Scholar]
- Wang, X.B.; Jin-Fang, L.I.; Wang, M.; Zou, Z.H.; Liu, D.Y.; Chen, H.Z. The flavonoids antioxidant and inhibition effect of nitrosation from mangosteen shell. Food Res. Dev. 2013, 6, 9–13. [Google Scholar]
- Nakagawa, K.; Kishida, H.; Arai, N.; Nishiyama, T.; Mae, T. Licorice flavonoids suppress abdominal fat accumulation and increase in blood glucose level in obese diabetic kk-a(y) mice. Biol. Pharm. Bull. 2004, 27, 1775–1778. [Google Scholar] [CrossRef] [PubMed]
- Alesci, A.; Cicero, N.; Salvo, A.; Palombieri, D.; Zaccone, D.; Dugo, G.; Bruno, M.; Vadalà, R.; Lauriano, E.R.; Pergolizzi, S. Extracts deriving from olive mill waste water and their effects on the liver of the goldfish Carassius auratus fed with hypercholesterolemic diet. Nat. Prod. Res. 2014, 28, 1343–1349. [Google Scholar] [CrossRef] [PubMed]
- Gupta, R.K.; Kesari, A.N.; Murthy, P.S.; Chandra, R.; Tandon, V.; Watal, G. Hypoglycemic and antidiabetic effect of ethanolic extract of leaves of Annona squamosa L. in experimental animals. J. Ethnopharmacol. 2005, 99, 75–81. [Google Scholar] [CrossRef] [PubMed]
- Stalikas, C.D. Extraction, separation, and detection methods for phenolic acids and flavonoids. J. Sep. Sci. 2007, 30, 3268–3295. [Google Scholar] [CrossRef] [PubMed]
- Alesci, A.; Salvo, A.; Lauriano, E.R.; Gervasi, T.; Palombieri, D.; Bruno, M.; Pergolizzi, S.; Cicero, N. Production and extraction of astaxanthin from Phaffia rhodozyma and its biological effect on alcohol-induced renal hypoxia in Carassius auratus. Nat. Prod. Res. 2015, 29, 1122–1126. [Google Scholar] [CrossRef] [PubMed]
- Du, F.Y.; Xiao, X.H.; Luo, X.J.; Li, G.K. Application of ionic liquids in the microwave-assisted extraction of polyphenolic compounds from medicinal plants. Talanta 2009, 78, 1177–1184. [Google Scholar] [CrossRef] [PubMed]
- Ma, W.; Lu, Y.; Hu, R.; Chen, J.; Zhang, Z.; Pan, Y. Application of ionic liquids-based microwave-assisted extraction of three alkaloids n-nornuciferine, o-nornuciferine, and nuciferine from lotus leaf. Talanta 2010, 80, 1292–1297. [Google Scholar] [CrossRef] [PubMed]
- Branco, S.I.P. Aqueous Biphasic System Based on Cholinium Ionic Liquids: Extraction of Biologically Active Phenolic Acids. Master’s Thesis, Universidade Nova de Lisboa, Lisboa, Portugal, 2014. [Google Scholar]
- Zhang, L.; Liu, J.; Zhang, P.; Yan, S.; He, X.; Chen, F. Ionic liquid-based ultrasound-assisted extraction of chlorogenic acid from lonicera japonica thunb. Chromatographia 2011, 73, 129–133. [Google Scholar] [CrossRef]
- Freire, M.G.; Neves, C.M.S.S.; Marrucho, I.M.; Lopes, J.N.C.; Rebelo, L.P.N.; Coutinho, J.A.P. High-performance extraction of alkaloids using aqueous two-phase systems with ionic liquids. Green Chem. 2010, 12, 1715–1718. [Google Scholar] [CrossRef]
- Lateef, H.; Grimes, S.; Kewcharoenwong, P.; Bailey, E. Ionic liquids in the selective recovery of fat from composite food stuffs. J. Chem. Technol. Biotechnol. 2009, 84, 1681–1687. [Google Scholar] [CrossRef]
- Ma, C.H.; Liu, T.T.; Yang, L.; Zu, Y.G.; Chen, X.; Zhang, L.; Zhang, Y.; Zhao, C. Ionic liquid-based microwave-assisted extraction of essential oil and biphenyl cyclooctene lignans from schisandra chinensis baill fruits. J. Chromatogr. A 2011, 1218, 8573–8580. [Google Scholar] [CrossRef] [PubMed]
- Martins, P.L.; Rosso, V.V.D. Carotenoids Achieving from Tomatoes Discarded Using Ionic Liquids as Extracting for Application in Food Industry; Safety, Health and Environment World Congress: Cubatão, Brazil, July 2014; Volume 14. [Google Scholar]
- Berton, P.; Monasterio, R.P.; Wuilloud, R.G. Selective extraction and determination of vitamin B 12, in urine by ionic liquid-based aqueous two-phase system prior to high-performance liquid chromatography. Talanta 2012, 97, 521–526. [Google Scholar] [CrossRef] [PubMed]
- Jiang, Q.; Qiu, H.; Wang, X.; Liu, X.; Zhang, S. Effect of ionic liquids as additives on the separation of bases and amino acids in HPLC. J. Liq. Chromatogr. Relat. Technol. 2008, 31, 1448–1457. [Google Scholar] [CrossRef]
- Fister, S.; Fuchs, S.; Mester, P.; Kilpeläinen, I.; Wagner, M.; Rossmanith, P. The use of ionic liquids for cracking viruses for isolation of nucleic acids. Sep. Purif. Technol. 2015, 155, 38–44. [Google Scholar] [CrossRef]
- Jiang, T.F.; Gu, Y.L.; Liang, B.; Li, J.B.; Shi, Y.P.; Ou, Q.Y. Dynamically coating the capillary with 1-alkyl-3-methylimidazolium-based ionic liquids for separation of basic proteins by capillary electrophoresis. Anal. Chim. Acta 2003, 479, 249–254. [Google Scholar] [CrossRef]
- Dreyer, S.; Kragl, U. Ionic liquids for aqueous two-phase extraction and stabilization of enzymes. Biotechnol. Bioeng. 2008, 99, 1416–1424. [Google Scholar] [CrossRef] [PubMed]
- Mondal, D.; Sharma, M.; Quental, M.V.; Tavares, A.P.M.; Prasad, K.; Freire, M.G. Suitability of bio-based ionic liquids for the extraction and purification of igg antibodies. Green Chem. 2016, 18, 6071–6081. [Google Scholar] [CrossRef] [PubMed]
- Xu, J.J.; Yang, R.; Ye, L.H.; Cao, J.; Cao, W.; Hu, S.S.; Peng, L.Q. Application of ionic liquids for elution of bioactive flavonoid glycosides from lime fruit by miniaturized matrix solid-phase dispersion. Food Chem. 2016, 204, 167–175. [Google Scholar] [CrossRef] [PubMed]
- Zhang, L.S.; Hu, S.; Chen, X.; Bai, X.H.; Li, Q.S. A new ionic liquid-water-organic solvent three phase microextraction for simultaneous preconcentration flavonoids and anthraquinones from traditional chinese prescription. J Pharm Biomed. Anal. 2013, 86, 36–39. [Google Scholar] [CrossRef] [PubMed]
- Ma, S.; Hu, L.; Ma, C.; Lv, W.; Wang, H. Application and recovery of ionic liquids in the preparative separation of four flavonoids from Rhodiola rosea by on-line three-dimensional liquid chromatography. J. Sep. Sci. 2015, 37, 2314–2321. [Google Scholar] [CrossRef] [PubMed]
- Wei, J.F.; Zhang, Z.J.; Cui, L.L.; Kang, W.Y. Flavonoids in different parts of Lysimachia clethroides duby extracted by ionic liquid: Analysis by HPLC and antioxidant activity assay. J. Chem. 2017, 2017, 1–10. [Google Scholar] [CrossRef]
- Chen, F.; Zhang, Q.; Mo, K.; Fei, S.; Gu, H.; Yang, L. Optimization of ionic liquid-based homogenate extraction of orientin and vitexin from the flowers of Trollius chinensis, and its application on a pilot scale. Sep. Purif. Technol. 2017, 175, 147–157. [Google Scholar] [CrossRef]
- Fan, J.P.; Cao, J.; Zhang, X.H.; Huang, J.Z.; Kong, T.; Tong, S.; Tian, Z.-Y.; Xie, Y.-L.; Xu, R.; Zhu, J.-H. Optimization of ionic liquid based ultrasonic assisted extraction of puerarin from radix Puerariae lobatae, by response surface methodology. Food Chem. 2012, 135, 2299–2306. [Google Scholar] [CrossRef] [PubMed]
- Yang, L.; Ge, H.; Wang, W.; Zu, Y.; Yang, F.; Zhao, C.; Zhang, L.; Zhang, Y. Development of sample preparation method for eleutheroside B and E analysis in Acanthopanax senticosus by ionic liquids-ultrasound based extraction and high-performance liquid chromatography detection. Food Chem. 2013, 141, 2426–2433. [Google Scholar] [CrossRef] [PubMed]
- Wang, W.; Li, Q.; Liu, Y.; Chen, B. Ionic liquid-aqueous solution ultrasonic-assisted extraction of three kinds of alkaloids from Phellodendron amurense rupr and optimize conditions use response surface. Ultrason. Sonochem. 2015, 24, 13–18. [Google Scholar] [CrossRef] [PubMed]
- Feng, X.; Song, H.; Dong, B.; Yang, Y.; Yao, S. Sequential extraction and separation using ionic liquids for stilbene glycoside and anthraquinones in Polygonum multiflorum. J. Mol. Liq. 2017, 241, 27–36. [Google Scholar] [CrossRef]
- Yang, Z.; Tan, Z.; Li, F.; Li, X. An effective method for the extraction and purification of chlorogenic acid from ramie (Boehmeria nivea L.) leaves using acidic ionic liquids. Ind. Crop. Prod. 2016, 89, 78–86. [Google Scholar] [CrossRef]
- Guo, Z.; Lue, B.M.; Thomasen, K.; Meyer, A.S.; Xu, X. Predictions of flavonoid solubility in ionic liquids by cosmo-rs: Experimental verification, structural elucidation, and solvation characterization. Green Chem. 2007, 9, 1362–1373. [Google Scholar] [CrossRef]
- He, A.; Dong, B.; Feng, X.; Yao, S. Recovery of benzothiazolium ionic liquids from the coexisting glucose by ion-exchange resins. J. Mol. Liq. 2017, 227, 178–183. [Google Scholar] [CrossRef]
Sample Availability: Samples of the compounds isoorientin, orientin, vitexin and isovitexin are available from the authors. |









| No. | Compound | Linear Equation | Linear Range (μg/mL) | R2 |
|---|---|---|---|---|
| 1 | Isoorientin | Y = 33,927x + 69,381 | 8.240~206.000 | 0.9996 |
| 2 | Orientin | Y = 28,916x + 3955.1 | 2.500~62.500 | 0.9998 |
| 3 | Vitexin | Y = 29,732x − 7953.1 | 1.744~17.440 | 0.9992 |
| 4 | Isovitexin | Y = 34,931x − 10515 | 2.856~71.400 | 0.9994 |
| Level | Factor A: IL Concentration (mol/L) | Factor B: Liquid-Solid Ratio (mL/g) | Factor C: Ultrasonic Time (min) |
|---|---|---|---|
| -1 | 0.5 | 20 | 30 |
| 0 | 1 | 40 | 60 |
| 1 | 1.5 | 60 | 90 |
| Run. | A | B | C | Total Flavonoids (FVs) (mg/g) |
|---|---|---|---|---|
| 1 | 0 | 0 | 0 | 4.081 |
| 2 | −1 | 0 | −1 | 2.639 |
| 3 | 1 | −1 | 0 | 4.233 |
| 4 | 0 | −1 | −1 | 3.557 |
| 5 | −1 | −1 | 0 | 2.193 |
| 6 | 0 | 1 | 1 | 4.263 |
| 7 | 0 | 0 | 0 | 3.973 |
| 8 | −1 | 1 | 0 | 3.067 |
| 9 | 0 | −1 | 1 | 3.652 |
| 10 | 0 | 0 | 0 | 3.996 |
| 11 | 0 | 0 | 0 | 3.887 |
| 12 | −1 | 0 | 1 | 3.396 |
| 13 | 1 | 1 | 0 | 3.894 |
| 14 | 1 | 0 | 1 | 4.592 |
| 15 | 0 | 0 | 0 | 4.062 |
| 16 | 1 | 0 | −1 | 4.224 |
| 17 | 0 | 1 | −1 | 3.340 |
| Source | Sum of Squares | df | Mean Square | F-Value | p-Value |
|---|---|---|---|---|---|
| Model | 6.19 | 9 | 0.69 | 167.24 | <0.0001 |
| A | 3.99 | 1 | 3.99 | 968.84 | <0.0001 |
| B | 0.11 | 1 | 0.11 | 26.26 | 0.0014 |
| C | 0.57 | 1 | 0.57 | 139.63 | <0.0001 |
| AB | 0.37 | 1 | 0.37 | 89.41 | <0.0001 |
| AC | 0.038 | 1 | 0.038 | 9.19 | 0.0191 |
| BC | 0.17 | 1 | 0.17 | 41.57 | 0.0004 |
| A2 | 0.44 | 1 | 0.44 | 105.93 | <0.0001 |
| B2 | 0.46 | 1 | 0.46 | 112.24 | <0.0001 |
| C2 | 4.991 × 10−3 | 1 | 4.991 × 10−3 | 1.21 | 0.3072 |
| Residual | 0.029 | 7 | 4.115 × 10−3 | ||
| Lack of Fit | 4.849 × 10−3 | 3 | 1.616 × 10−3 | 0.27 | 0.8448 |
| Pure Error | 0.024 | 4 | 5.989 × 10−3 | ||
| Cor Total | 6.22 | 16 |
| Ethyl Acetate | Chloroform | n-Butanol | |
|---|---|---|---|
| Total FVs | 20.16 ± 0.33 | 87.20 ± 0.16 | 97.87 ± 0.25 |
| ILs | 98.65 ± 0.51 | 97.65 ± 0.35 | 96.52 ± 0.63 |
© 2018 by the authors. Licensee MDPI, Basel, Switzerland. This article is an open access article distributed under the terms and conditions of the Creative Commons Attribution (CC BY) license (http://creativecommons.org/licenses/by/4.0/).
Share and Cite
Wang, L.; Bai, M.; Qin, Y.; Liu, B.; Wang, Y.; Zhou, Y. Application of Ionic Liquid-Based Ultrasonic-Assisted Extraction of Flavonoids from Bamboo Leaves. Molecules 2018, 23, 2309. https://doi.org/10.3390/molecules23092309
Wang L, Bai M, Qin Y, Liu B, Wang Y, Zhou Y. Application of Ionic Liquid-Based Ultrasonic-Assisted Extraction of Flavonoids from Bamboo Leaves. Molecules. 2018; 23(9):2309. https://doi.org/10.3390/molecules23092309
Chicago/Turabian StyleWang, Liling, Minge Bai, Yuchuan Qin, Bentong Liu, Yanbin Wang, and Yifeng Zhou. 2018. "Application of Ionic Liquid-Based Ultrasonic-Assisted Extraction of Flavonoids from Bamboo Leaves" Molecules 23, no. 9: 2309. https://doi.org/10.3390/molecules23092309
APA StyleWang, L., Bai, M., Qin, Y., Liu, B., Wang, Y., & Zhou, Y. (2018). Application of Ionic Liquid-Based Ultrasonic-Assisted Extraction of Flavonoids from Bamboo Leaves. Molecules, 23(9), 2309. https://doi.org/10.3390/molecules23092309
