Lewis Acidity and Basicity of Mixed Chlorometallate Ionic Liquids: Investigations from Surface Analysis and Fukui Function
Abstract
:1. Introduction
2. Results and Discussion
2.1. Acidity and Basicity of the Chlorometallate ILs
2.2. Acidity and Basicity of the Mixed Chlorometallate ILs
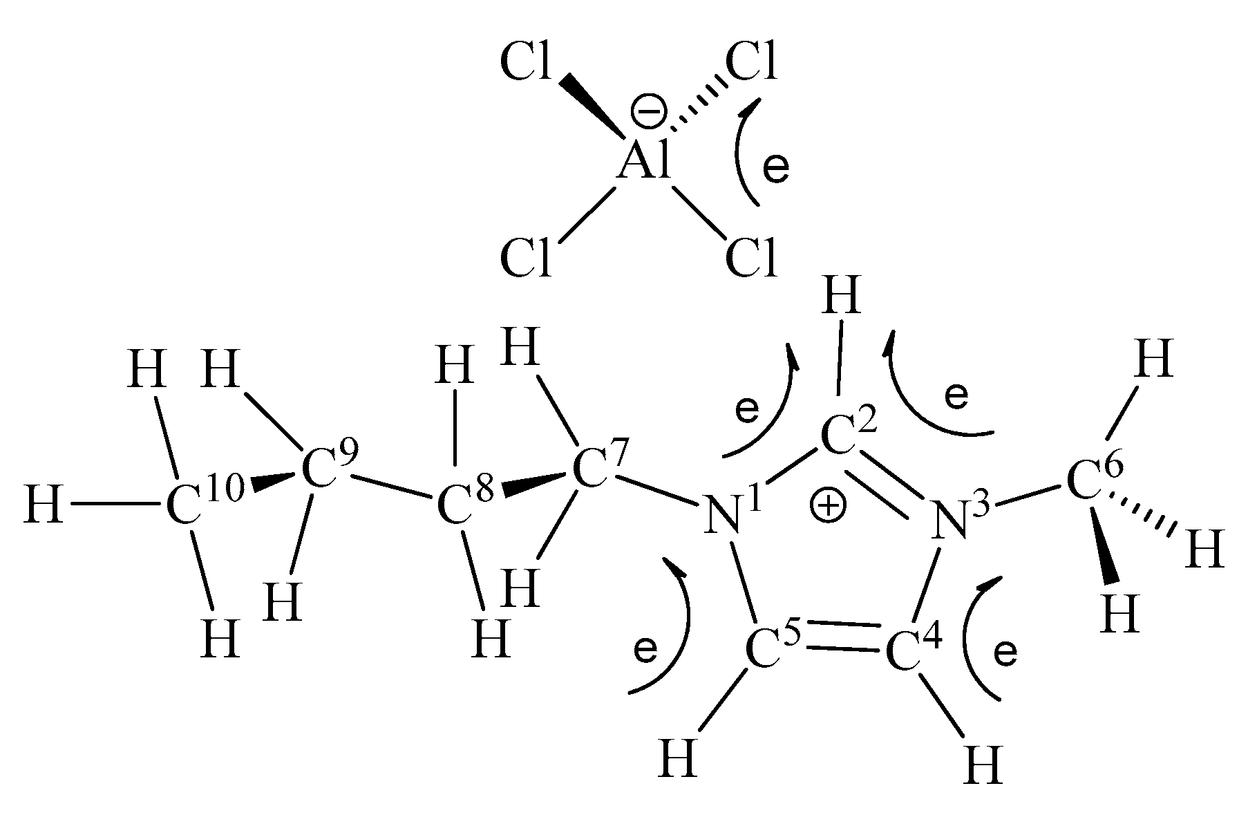
2.3. Analysis of Fukui Function for Mixed Chlorometallate ILs
3. Methods
4. Conclusions
Supplementary Materials
Author Contributions
Funding
Acknowledgments
Conflicts of Interest
References
- Radai, Z.; Kiss, N.Z.; Keglevich, G. An overview of the applications of ionic liquids as catalysts and additives in organic chemical reactions. Curr. Org. Chem. 2018, 22, 533–556. [Google Scholar] [CrossRef]
- Wang, B.; Qin, L.; Mu, T.; Xue, Z.; Gao, G. Are ionic liquids chemically stable? Chem. Rev. 2017, 117, 7113–7131. [Google Scholar] [CrossRef] [PubMed]
- Yue, C.; Fang, D.; Liu, L.; Yi, T.F. Synthesis and application of task-specific ionic liquids used as catalysts and/or solvents in organic unit reactions. J. Mol. Liq. 2011, 163, 99–121. [Google Scholar] [CrossRef]
- Amarasekara, A.S. Acidic ionic liquids. Chem. Rev. 2016, 116, 6133–6183. [Google Scholar] [CrossRef] [PubMed]
- Andreani, L.; Rocha, J.D. Use of ionic liquids in biodiesel production: A review. Braz. J. Chem. Eng. 2012, 29, 1–13. [Google Scholar] [CrossRef]
- Xin, H.; Wu, Q.; Han, M.; Wang, D.; Jin, Y. Alkylation of benzene with 1-dodecene in ionic liquids [Rmim]+Al2Cl6X−(R = butyl, octyl and dodecyl; X = chlorine, bromine and iodine). Appl. Catal. A Gen. 2005, 292, 354–361. [Google Scholar] [CrossRef]
- Yi, Y.; Ding, F.; Li, W.; Ge, M.; Jin, G.; Gao, J. Alkylization of benzene with 1-dodecene catalyzed by Brønsted acidic ionic liquids. Electrochemistry 2009, 77, 591–593. [Google Scholar] [CrossRef]
- He, L.; Tao, G.H.; Liu, W.S.; Xiong, W.; Wang, T.; Kou, Y. One-pot synthesis of Lewis acidic ionic liquids for alkylation reaction. Chin. Chem. Lett. 2006, 17, 321–324. [Google Scholar]
- Mecerreyes, D. Applications of Ionic Liquids in Polymer Science and Technology; Springer: Berlin/Heidelberg, Germany, 2015; ISBN 978-3-662-44902-8. [Google Scholar]
- Bösmann, A.; Datsevich, L.; Jess, A.; Lauter, A.; Schmitz, C.; Wasserscheid, P. Deep desulfurization of diesel fuel by extraction with ionic liquids. Chem. Commun. 2001, 23, 2494–2495. [Google Scholar] [CrossRef]
- Huddleston, J.G.; Willauer, H.D.; Swatloski, R.P.; Visser, A.E.; Rogers, R.D. Room temperature ionic liquids as novel media for ‘clean’ liquid-iquid extraction. Chem. Commun. 1998, 1765–1766. [Google Scholar] [CrossRef]
- Itoh, T. Ionic liquids as tool to improve enzymatic organic synthesis. Chem. Rev. 2017, 117, 10567–10607. [Google Scholar] [CrossRef] [PubMed]
- Olivier-Bourbigou, H.; Magna, L.; Morvan, D. Ionic liquids and catalysis: Recent progress from knowledge to applications. Appl. Catal. A Gen. 2010, 373, 1–56. [Google Scholar] [CrossRef]
- Zhang, Q.; Zhang, S.; Deng, Y. Recent advances in ionic liquid catalysis. Green Chem. 2011, 13, 2619–2637. [Google Scholar] [CrossRef]
- Brown, L.C.; Hogg, J.M.; Swadźba-Kwaśny, M. Lewis Acidic ionic liquids. Top. Curr. Chem. 2017, 375, 1–40. [Google Scholar] [CrossRef]
- Estager, J.; Holbrey, J.D.; Swadźba-Kwaśny, M. Halometallate ionic liquids—Revisited. Chem. Soc. Rev. 2014, 43, 847–886. [Google Scholar] [CrossRef] [PubMed]
- Maase, M. Ionic Liquids in Synthesis; Wasserscheid, P., Welton, T.T., Eds.; Wiley-VCH Verlags GmbH & Co., KGaA: Weinheim, Germany, 2008; Volume 1, ISBN 3527312390. [Google Scholar]
- Zhang, R.; Meng, X.; Liu, Z.; Meng, J.; Xu, C. Isomerization of n-pentane catalyzed by acidic chloroaluminate ionic liquids. Ind. Eng. Chem. Res. 2008, 47, 8205–8210. [Google Scholar] [CrossRef]
- Huang, M.Y.; Wu, J.C.; Shieu, F.S.; Lin, J.J. Preparation of high energy fuel JP-10 by acidity-adjustable chloroaluminate ionic liquid catalyst. Fuel 2011, 90, 1012–1017. [Google Scholar] [CrossRef]
- Wang, L.; Zou, J.J.; Zhang, X.; Wang, L. Rearrangement of tetrahydrotricyclopentadiene using acidic ionic liquid: Synthesis of diamondoid fuel. Energy Fuel. 2011, 25, 1342–1347. [Google Scholar] [CrossRef]
- Chauvin, Y.; Hirschauer, A.; Olivier, H. Alkylation of isobutane with 2-butene using 1-butyl-3-methylimidazolium chloride-aluminium chloride molten salts as catalysts. J. Mol. Catal. 1994, 92, 155–165. [Google Scholar] [CrossRef]
- Zhang, J.; Huang, C.P.; Chen, B.H.; Ren, P.J.; Pu, M. Isobutane/2-butene alkylation catalyzed by chloroaluminate ionic liquids in the presence of aromatic additives. J. Catal. 2007, 249, 261–268. [Google Scholar] [CrossRef]
- Hu, P.; Wang, Y.; Meng, X.; Zhang, R.; Liu, H.; Xu, C.; Liu, Z. Isobutane alkylation with 2-butene catalyzed by amide-AlCl3-based ionic liquid analogues. Fuel 2017, 189, 203–209. [Google Scholar] [CrossRef]
- Pitula, S.; Mudring, A.V. Synthesis, structure, and physico-optical properties of manganate(II)-based ionic liquids. Chem. A Eur. J. 2010, 16, 3355–3365. [Google Scholar] [CrossRef] [PubMed]
- Cui, S.; Lu, B.; Xiao, X.; Han, Y.; Cai, Q. Synthesis of diphenylmethane from benzene and paraformaldehyde catalyzed by acidic ionic liquids. Catal. Lett. 2007, 119, 277–282. [Google Scholar] [CrossRef]
- Gunaratne, H.Q.N.; Lotz, T.J.; Seddon, K.R. Chloroindate(III) ionic liquids as catalysts for alkylation of phenols and catechol with alkenes. New J. Chem. 2010, 34, 1821–1824. [Google Scholar] [CrossRef]
- Gao, J.; Wang, J.Q.; Song, Q.W.; He, L.N. Iron(III)-based ionic liquid-catalyzed regioselective benzylation of arenes and heteroarenes. Green Chem. 2011, 13, 1182–1186. [Google Scholar] [CrossRef]
- Parshall, G.W. Catalysis in molten salt media. J. Am. Chem. Soc. 1972, 94, 8716–8719. [Google Scholar] [CrossRef]
- Liu, Y.; Hu, R.; Xu, C.; Su, H. Alkylation of isobutene with 2-butene using composite ionic liquid catalysts. Appl. Catal. A Gen. 2008, 346, 189–193. [Google Scholar] [CrossRef]
- Liu, Y.; Wang, L.; Li, R.; Hu, R. Reaction mechanism of ionic liquid catalyzed alkylation: Alkylation of 2-butene with deuterated isobutene. J. Mol. Catal. A Chem. 2016, 421, 29–36. [Google Scholar] [CrossRef]
- Zinurov, D.R.; Zinurov, R.R.; Akhmed’yanova, R.A.; Liakumovich, A.G. Skeletal isomerization of n-pentane in the presence of an AlCl3-based ionic liquid. Pet. Chem. 2010, 50, 376–380. [Google Scholar] [CrossRef]
- Stenzel, O.; Brüll, R.; Wahner, U.M.; Sanderson, R.D. Oligomerization of ole ns in a chloroaluminate ionic liquid. J. Mol. Catal. 2003, 192, 217–222. [Google Scholar] [CrossRef]
- Yang, S.; Liu, Z.; Meng, X.; Xu, C. Oligomerization of isobutene catalyzed by iron(III) chloride ionic liquids. Energy Fuel. 2009, 23, 70–73. [Google Scholar] [CrossRef]
- Chauvin, Y.; Gilbert, B.; Guibard, I. Catalytic dimerization of alkenes by nickel complexes in organochloroaluminate molten salts. J. Chem. Soc. Chem. Commun. 1990, 23, 1715–1716. [Google Scholar] [CrossRef]
- Gilbert, B.; Olivier-Bourbigou, H.; Favre, F. Chloroaluminate Ionic Liquids: From their Structural Properties to their Applications in Process Intensification. Oil Gas. Sci. Technol.-Rev. de l’IFP 2007, 62, 745–759. [Google Scholar] [CrossRef]
- Smith, G.P.; Dworkin, A.S.; Pagni, R.M.; Zingg, S.P. Bronsted superacidity of HC1 in a Liquid Chloroaluminate. A1C13-1-Ethyl-3-methyl-1H-imidazolium Chloride. J. Am. Chem. Soc. 1989, 111, 525–530. [Google Scholar] [CrossRef]
- Zawodzinski, T.A.; Osteryoung, R.A. Donor-Acceptor properties of ambient-temperature chloroaluminate melts. Inorg. Chem. 1989, 28, 1710–1715. [Google Scholar] [CrossRef]
- Koronaios, P.; King, D.; Osteryoung, R.A. Acidity of Neutral buffered 1-ethyl-3-methylimidazolium Chloride-AlCl3 Ambient-temperature molten salts. Inorg. Chem. 1998, 37, 2028–2032. [Google Scholar] [CrossRef]
- Estager, J.; Oliferenko, A.A.; Seddon, K.R.; Swadźba-Kwaśny, M. Chlorometallate(iii) ionic liquids as Lewis acidic catalysts—A quantitative study of acceptor properties. Dalton Trans. 2010, 39, 11375. [Google Scholar] [CrossRef] [PubMed]
- Taylor, A.W.; Men, S.; Clarke, C.J.; Licence, P. Acidity and basicity of halometallate-based ionic liquids from X-ray photoelectron spectroscopy. RSC Adv. 2013, 3, 9436. [Google Scholar] [CrossRef]
- Yang, Y.-L.; Kou, Y. Determination of the Lewis acidity of ionic liquids by means of an IR spectroscopic probe. Chem. Commun. 2004, 226–227. [Google Scholar] [CrossRef] [PubMed]
- Hu, P.; Zhang, R.; Meng, X.; Liu, H.; Xu, C.; Liu, Z. Structural and spectroscopic characterizations of amide-AlCl3-based ionic liquid analogues. Inorg. Chem. 2016, 55, 2374–2380. [Google Scholar] [CrossRef] [PubMed]
- Laurence, C.; Graton, J.; Gal, J.F. An overview of Lewis basicity and affinity scales. J. Chem. Educ. 2011, 88, 1651–1657. [Google Scholar] [CrossRef]
- Izgorodina, E.I.; Seeger, Z.L.; Scarborough, D.L.A.; Tan, S.Y.S. Quantum chemical methods for the prediction of energetic, physical, and spectroscopic properties of ionic liquids. Chem. Rev. 2017, 117, 6696–6754. [Google Scholar] [CrossRef] [PubMed]
- Contreras, R.; Aizman, A.; Tapia, R.A.; Cerda-Monje, A. Lewis molecular acidity of ionic liquids from empirical energy-density models. J. Phys. Chem. B 2013, 117, 1911–1920. [Google Scholar] [CrossRef] [PubMed]
- Cerda-Monje, A.; Ormazábal-Toledo, R.; Cárdenas, C.; Fuentealba, P.; Contreras, R. Regional electrophilic and nucleophilic Fukui functions efficiently highlight the Lewis acidic/basic regions in ionic liquids. J. Phys. Chem. B 2014, 118, 3696–3701. [Google Scholar] [CrossRef] [PubMed]
- Parveen, F.; Patra, T.; Upadhyayula, S. A structure-activity relationship study using DFT analysis of Bronsted-Lewis acidic ionic liquids and synergistic effect of dual acidity in one-pot conversion of glucose to value-added chemicals. New J. Chem. 2018, 42, 1423–1430. [Google Scholar] [CrossRef]
- Wu, W.; Lu, Y.; Ding, H.; Peng, C.; Liu, H. The acidity/basicity of metal-containing ionic liquids: Insights from surface analysis and the Fukui function. Phys. Chem. Chem. Phys. 2015, 17, 1339–1346. [Google Scholar] [CrossRef] [PubMed]
- Zhang, X.; Zhang, R.; Liu, H.; Meng, X.; Xu, C.; Liu, Z.; Klusener, P.A.A. quantitative characterization of Lewis acidity and activity of chloroaluminate ionic liquids. Ind. Eng. Chem. Res. 2016, 55, 11878–11886. [Google Scholar] [CrossRef]
- Wilkes, J.S.; Frye, J.S.; Reynolds, G.F. Aluminum-27 and carbon-13 NMR studies of aluminum chloride-dialkylimidazolium chloride molten salts. Inorg. Chem. 1983, 22, 3870–3872. [Google Scholar] [CrossRef]
- Turner, R.W.; Amma, E.L. Crystal and molecular structure of metal ion-aromatic complexes. I. The cuprous ion-benzene complex, C6H6·CuAlCl4. J. Am. Chem. Soc. 1963, 85, 4046–4047. [Google Scholar] [CrossRef]
- Roebuck, A.; Evering, B. Isobutane-olefin alkylation with inhibited aluminum chloride catalysts. Ind. Eng. Chem. Prod. Res. Dev. 1970, 9, 76–82. [Google Scholar] [CrossRef]
- Mantz, R.A.; Trulove, P.C.; Carlin, R.T.; Theim, T.L.; Osteryoung, R.A. Gutmann acceptor properties of LiCl, NaCl, and KCl buffered ambient-temperature chloroaluminate ionic liquids. Inorg. Chem. 1997, 36, 1227–1232. [Google Scholar] [CrossRef] [PubMed]
- Zheng, A.; Liu, S.; Deng, F. 31P NMR chemical shifts of phosphorus probes as reliable and practical acidity scales for solid and liquid catalysts. Chem. Rev. 2017, 117, 12475–12531. [Google Scholar] [CrossRef] [PubMed]
- Bui, T.L.T.; Korth, W.; Jess, A. Influence of acidity of modified chloroaluminate based ionic liquid catalysts on alkylation of iso-butene with butene-2. Catal. Commun. 2012, 25, 118–124. [Google Scholar] [CrossRef]
- Parr, R.G.; Parr, R.G.; Yang, W.; Yang, W. Density functional approach to the frontier-electron theory of chemical reactivity. J. Am. Chem. Soc. 1984, 106, 4049–4050. [Google Scholar] [CrossRef]
- Liu, Y.; Li, R.; Sun, H.; Hu, R. Effects of catalyst composition on the ionic liquid catalyzed isobutane/2-butene alkylation. J. Mol. Catal. A Chem. 2015, 398, 133–139. [Google Scholar] [CrossRef]
- Morell, C.; Grand, A.; Toro-Labbé, A. New dual descriptor for chemical reactivity. J. Phys. Chem. A 2005, 109, 205–212. [Google Scholar] [CrossRef] [PubMed]
- Zahn, S.; MacFarlane, D.R.; Izgorodina, E.I. Assessment of Kohn-Sham density functional theory and Moller-Plesset perturbation theory for ionic liquids. Phys. Chem. Chem. Phys. 2013, 15, 13664–13675. [Google Scholar] [CrossRef] [PubMed]
- Li, H.P.; Chang, Y.H.; Zhu, W.S.; Jiang, W.; Zhang, M.; Xia, J.X.; Yin, S.; Li, H.M. A DFT study of the extractive desulfurization mechanism by BMIM+AlCl4− ionic liquid. J. Phys. Chem. B 2015, 119, 5995–6009. [Google Scholar] [CrossRef] [PubMed]
- Grimme, S.; Hujo, W.; Kirchner, B. Performance of dispersion-corrected density functional theory for the interactions in ionic liquids. Phys. Chem. Chem. Phys. 2012, 14, 4875–4883. [Google Scholar] [CrossRef] [PubMed]
- Zhao, Y.; Truhlar, D.G. A new local density functional for main-group thermochemistry, transition metal bonding, thermochemical kinetics, and noncovalent interactions. J. Chem. Phys. 2006, 125, 194101–194118. [Google Scholar] [CrossRef] [PubMed]
- Simeon, T.M.; Ratner, M.A.; Schatz, G.C. Nature of noncovalent interactions in catenane supramolecular complexes: Calibrating the MM3 force field with ab initio, DFT, and SAPT methods. J. Phys. Chem. A 2013, 117, 7918–7927. [Google Scholar] [CrossRef] [PubMed]
- Kendall, R.A.; Dunning, T.H.J.; Harrison, R.J. Electron affinities of the first-row atoms revisited. Systematic basis sets and wave functions. J. Chem. Phys. 1992, 96, 6796–6806. [Google Scholar] [CrossRef]
- Frisch, M.J.; Trucks, G.W.; Schlegel, H.B.; Scuseria, G.E.; Robb, M.A.; Cheeseman, J.R.; Scalmani, G.; Barone, V.; Mennucci, B.; Petersson, G.A.; et al. Gaussian 09 (Revision E.01); Gaussian, Inc.: Wallingford, CT, USA, 2013. [Google Scholar]
- Rigby, J.; Izgorodina, E.I. Assessment of atomic partial charge schemes for polarisation and charge transfer effects in ionic liquids. Phys. Chem. Chem. Phys. 2013, 15, 1632–1646. [Google Scholar] [CrossRef] [PubMed]
- Lu, T.; Chen, F. Multiwfn: A multifunctional wavefunction analyzer. J. Comput. Chem. 2012, 33, 580–592. [Google Scholar] [CrossRef] [PubMed]
- Reed, A.E.; Curtiss, L.A.; Weinhold, F. Intermolecular interactions from a natural bond orbital, donor-acceptor viewpoint. Chem. Rev. 1988, 88, 899–926. [Google Scholar] [CrossRef]
- Politzer, P.; Murray, J.S.; Bulat, F.A. Average local ionization energy: A review. J. Mol. Model. 2010, 16, 1731–1742. [Google Scholar] [CrossRef] [PubMed]
- Visual Molecular Dynamics. Available online: http://www.ks.uiuc.edu/Research/vmd/ (accessed on 1 July 2018).
- Boys, S.F.; Bernardi, F. The calculations of small molecular interaction by the difference of separate total energies. some procedures with reduced error. Mol. Phys. 1970, 19, 553–566. [Google Scholar] [CrossRef]
Sample Availability: Samples of the compounds are available from the authors. |




| [Cation][Anion] | Vs,max | Vs,min | s,min1 | ∆E |
|---|---|---|---|---|
| [(C2H5)3NH][AlCl4] | 42.430 | −33.706 | 10.224 | −90.361 |
| [(C2H5)3NH][Al2Cl7] | 52.596 | −30.145 | 10.480 | −96.637 |
| [(C2H5)3NH][CuCl2] | 36.104 | −41.120 | 8.730 | −96.637 |
| [(C2H5)3NH][ZnCl3] | 41.400 | −39.743 | 9.423 | −92.871 |
| [C4mim][Cl] | 40.53 | −59.29 | 5.81 | −90.34 |
| [C4mim][AlCl4] | 48.275 | −36.010 | 10.048 | −84.086 |
| [C4mim][Al2Cl7] | 52.596 | −30.145 | 10.480 | −77.184 |
| [C4mim][CuCl2] | 42.003 | −45.617 | 8.337 | −84.086 |
| [C4mim][Cu2Cl3] | 43.950 | −40.194 | 9.324 | −56.476 |
| [C4mim][ZnCl3] | 42.585 | −33.918 | 9.710 | −85.969 |
| [C4mim][Zn2Cl5] | 44.895 | −37.392 | 9.834 | −75.765 |
| [Cation][Anion] | Vs,max | Vs,min | s,min1 | ∆E |
|---|---|---|---|---|
| [(C2H5)3NH][CuAlCl5] | 43.261 | −37.11 | 9.261 | −88.479 |
| [(C2H5)3NH][AgAlCl5] | 43.201 | −37.336 | 9.243 | −86.854 |
| [(C2H5)3NCu][AlCl4] | 27.965 | −23.682 | 10.330 | −82.992 |
| [(C2H5)3NCu][Al2Cl7] | 28.230 | −20.229 | 9.286 | −81.109 |
| [(C2H5)3NAg][Al2Cl7] | 26.725 | −15.995 | 9.692 | −80.579 |
| [(C2H5)3NH][ZnAlCl6] | 45.011 | −35.572 | 9.677 | −85.969 |
| [C4mim][CuAlCl5] | 43.445 | −36.603 | 9.218 | −84.086 |
| [C4mim][AgAlCl5] | 45.866 | −37.470 | 9.257 | −83.952 |
| [benzene][CuAlCl4] | 35.085 | −20.596 | 10.891 | −26.982 |
| [benzene][AlCl4]− | 33.680 | −28.760 | 9.724 | −28.987 |
| [ether][CuAlCl4] | 35.305 | −23.540 | 10.871 | −15.060 |
| [ether][AlCl4]− | 40.184 | −24.125 | 7.182 | −7.530 |
| [Cation][Anion] | QCT | N1 | C2 | H(C2) | N3 | C4 | H(C4) | C5 |
|---|---|---|---|---|---|---|---|---|
| [C4mim][Cl] | − | −0.045 | 0.008 | 0.273 | 0.043 | −0.142 | 0.225 | −0.226 |
| [C4mim][AlCl4] | −0.407(−0.419) | 0.136 | −0.127 | 0.239 | 0.165 | −0.223 | 0.261 | −0.219 |
| [C4mim][CuAlCl5] | −0.345(−0.378) | 0.171 | −0.073 | 0.244 | 0.149 | −0.248 | 0.305 | −0.256 |
| [C4mim][ZnCl3] | −0.297(−0.267) | 0.093 | −0.115 | 0.234 | 0.098 | −0.078 | 0.253 | −0.187 |
| [C4mim][Zn2Cl5] | −0.334(−0.368) | 0.087 | −0.114 | 0.211 | 0.123 | −0.095 | 0.256 | −0.198 |
| [Cation][Anion] | Cation | Anion | Min. ∆fatom | Max. ∆fatom | Acidity/Basicity Distribution | ||
|---|---|---|---|---|---|---|---|
| [(C2H5)3NH][AlCl4] | 0.930 | 0.081 | 0.063 | 0.918 | Cl | H | Normal |
| [(C2H5)3NH][ZnCl3] | 0.917 | 0.052 | 0.948 | 0.065 | Cl | H | Normal |
| [(C2H5)3NH][CuAlCl5] | 0.271 | 0.081 | 0.702 | 0.918 | Cu | Al | Bifunctional |
| [(C2H5)3NCu][AlCl4] | 0.862 | 0.815 | 0.131 | 0.185 | Cu | Al | Bifunctional |
| [(C2H5)3NH][AgAlCl5] | 0.075 | 0.068 | 0.879 | 0.932 | Ag | Cl | Bifunctional |
| [C4mim][AlCl4] | 0.914 | 0.084 | 0.083 | 0.916 | Cl | C | Normal |
| [C4mim][CuCl2] | 0.925 | 0.073 | 0.092 | 0.908 | Cu | C | Normal |
| [C4mim][CuAlCl5] | 0.273 | 0.079 | 0.719 | 0.921 | Cu | Al | Bifunctional |
| [C4mimAg][AlCl4] | 0.816 | 0.804 | 0.117 | 0.196 | Ag | H | Bifunctional |
| [(C2H5)3NH][ZnAlCl6] | 0.678 | 0.057 | 0.313 | 0.943 | Zn | Al | Bifunctional 1 |
| [Benzene][CuAlCl4] | 0.166 | 0.109 | 0.913 | 0.924 | Cl | Cu | Bifunctional |
| [Ether][CuAlCl4] | 0.423 | 0.156 | 0.575 | 0.844 | Cu | Al | Bifunctional |
© 2018 by the authors. Licensee MDPI, Basel, Switzerland. This article is an open access article distributed under the terms and conditions of the Creative Commons Attribution (CC BY) license (http://creativecommons.org/licenses/by/4.0/).
Share and Cite
Liu, Y.; Wang, J. Lewis Acidity and Basicity of Mixed Chlorometallate Ionic Liquids: Investigations from Surface Analysis and Fukui Function. Molecules 2018, 23, 2516. https://doi.org/10.3390/molecules23102516
Liu Y, Wang J. Lewis Acidity and Basicity of Mixed Chlorometallate Ionic Liquids: Investigations from Surface Analysis and Fukui Function. Molecules. 2018; 23(10):2516. https://doi.org/10.3390/molecules23102516
Chicago/Turabian StyleLiu, Ying, and Juanfang Wang. 2018. "Lewis Acidity and Basicity of Mixed Chlorometallate Ionic Liquids: Investigations from Surface Analysis and Fukui Function" Molecules 23, no. 10: 2516. https://doi.org/10.3390/molecules23102516
APA StyleLiu, Y., & Wang, J. (2018). Lewis Acidity and Basicity of Mixed Chlorometallate Ionic Liquids: Investigations from Surface Analysis and Fukui Function. Molecules, 23(10), 2516. https://doi.org/10.3390/molecules23102516

