Europium-Doped Sol-Gel SiO2-Based Glasses: Effect of the Europium Source and Content, Magnesium Addition and Thermal Treatment on Their Photoluminescence Properties
Abstract
1. Introduction
2. Results and Discussion
2.1. Structural Analysis
2.1.1. Characterization of the Porosity
2.1.2. X-Ray Diffraction
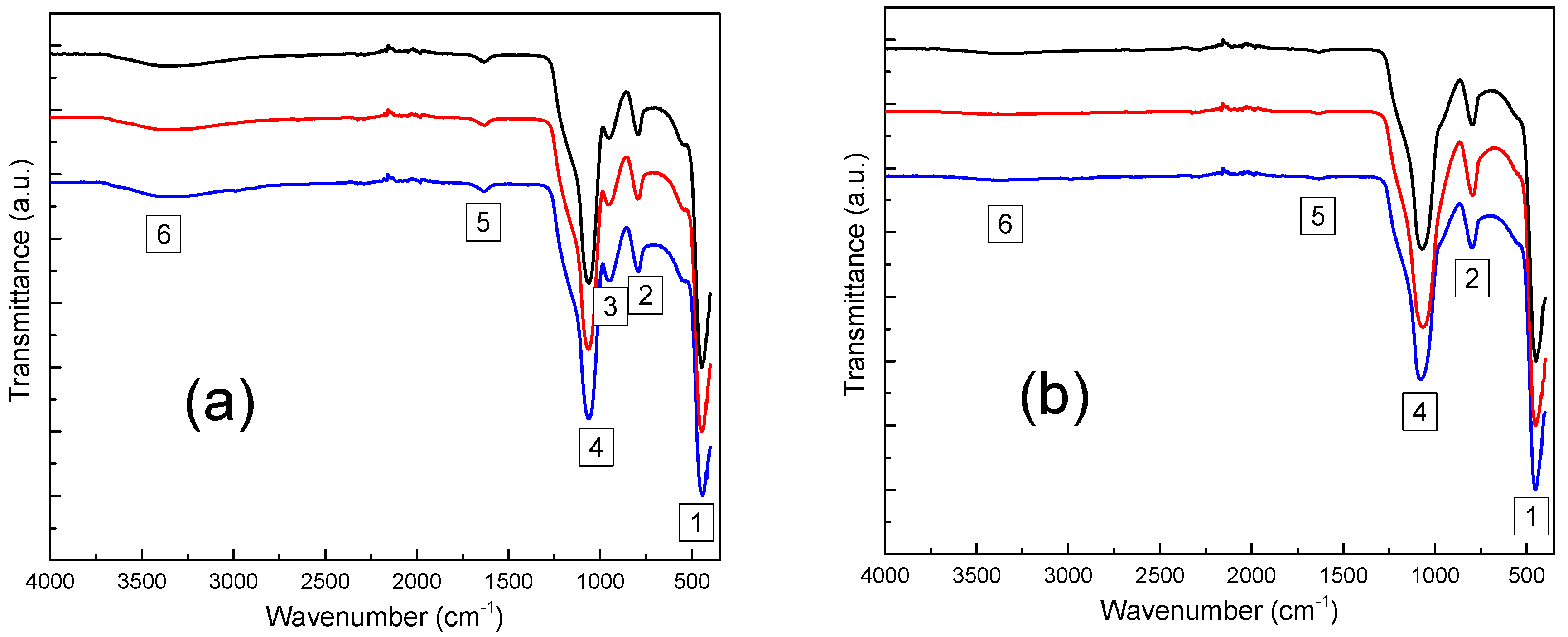
2.1.3. FT-IR Analyses
2.2. Photoluminescence Study
2.2.1. Emission Spectra
2.2.2. Decay Curves and Lifetimes
3. Materials and Methods
3.1. Samples Preparation
3.2. Characterization Techniques
4. Conclusions
Author Contributions
Funding
Acknowledgments
Conflicts of Interest
References
- Zarzycki, J. Glasses and Amorphous Materials; Wiley-VCH: Weinheim, New York, NY, USA, 1991; Volume 9, p. 798. [Google Scholar]
- Henderson, B.; Imbush, G.F. Optical Spectroscopy of Inorganic Solids; Oxford University Press: Oxford, UK, 1989; p. 658. [Google Scholar]
- Blasse, G.; Grabmaier, B.C. Luminescent Materials; Springer-Verlag: Berlin, Germany, 1994; p. 242. [Google Scholar]
- Binnemans, K. Lanthanide-based luminescent hybrid materials. Chem. Rev. 2009, 109, 4283–4374. [Google Scholar] [CrossRef] [PubMed]
- Dwivedi, Y.; Zilio, S.C. Advances in rare earth spectroscopy and applications. J. Nanosci. Nanotechnol. 2014, 14, 1578–1596. [Google Scholar] [CrossRef] [PubMed]
- Brinker, C.J.; Scherer, G.W. Sol-Gel Science: The Physics and Chemistry of Sol-Gel Processing; Academic Press: San Diego, CA, USA, 1990; p. 912. [Google Scholar]
- Klein, L.C. Sol-gel optics: Processing and Applications; Kluwer Academic: Boston, MA, USA, 1994; p. 598. [Google Scholar]
- Yamane, M.; Asahara, Y. Glasses for Photonics; Cambridge University Press: Cambridge, UK, 2000; p. 283. [Google Scholar]
- El-Hamzaoui, H.; Bigot, L.; Bouwmans, G.; Razdobreev, I.; Bouazaoui, M.; Capoen, B. From molecular precursors in solution to microstructured optical fiber: A sol-gel polymeric route. Opt. Mater. Express 2011, 1, 234–242. [Google Scholar] [CrossRef]
- Vasconcelos, H.C.; Pinto, A.S. Fluorescence properties of rare-earth-doped sol-gel glasses. In Recent Applications in Sol-Gel Synthesis; Chandra, U., Ed.; InTech: Rijeka, Croatia, 2017; pp. 81–107. [Google Scholar]
- Blanc, W. Luminescence properties of rare earth ions doped in insulating nanoparticles embedded in glassy hosts. In From Glass to Crystal: Nucleation, Growth and Phase Separation: From Research to Applications; Neuville, D.R., Cormier, L., Caurant, D., Montagne, L., Eds.; EDP Sciences: Les Ulis, France, 2017; pp. 433–449. [Google Scholar]
- Ferrari, M.; Campostrini, R.; Carturan, G.; Montagna, M. Spectroscopy of trivalent europium in gel-derived silica glasses. Philos. Mag. B 1992, 65, 251–260. [Google Scholar] [CrossRef]
- Elbanowski, M.; Mąkowska, B. The lanthanides as luminescent probes in investigations of biochemical systems. J. Photochem. Photobiol. A 1996, 99, 85–92. [Google Scholar] [CrossRef]
- Strek, W.; Sokolnicki, J.; Legendziewicz, J.; Maruszewski, K.; Reisfeld, R.; Pavich, T. Optical properties of Eu(iii) chelates trapped in silica gel glasses. Opt. Mater. 1999, 13, 41–48. [Google Scholar] [CrossRef]
- Alombert-Goget, G.; Gaumer, N.; Obriot, J.; Rammal, A.; Chaussedent, S.; Monteil, A.; Portales, H.; Chiasera, A.; Ferrari, M. Aluminum effect on photoluminescence properties of sol-gel-derived Eu3+-activated silicate glasses. J. Non-Cryst. Solids 2005, 351, 1754–1758. [Google Scholar] [CrossRef]
- Binnemans, K. Interpretation of Europium(iii) spectra. Coord. Chem. Rev. 2015, 295, 1–45. [Google Scholar] [CrossRef]
- Monteil, A.; El-Jouad, M.; Alombert-Goget, G.; Chaussedent, S.; Gaumer, N.; Mahot, A.; Chiasera, A.; Jestin, Y.; Ferrari, M. Relationship between structure and optical properties in rare earth-doped hafnium and silicon oxides: Modeling and spectroscopic measurements. J. Non-Cryst. Solids 2008, 354, 4719–4722. [Google Scholar] [CrossRef]
- Costa, V.C.; Lochhead, M.J.; Bray, K.L. Fluorescence line-narrowing study of Eu3+-doped sol−gel silica: Effect of modifying cations on the clustering of Eu3+. Chem. Mater. 1996, 8, 783–790. [Google Scholar] [CrossRef]
- Lochhead, M.J.; Bray, K.L. Rare-earth clustering and aluminum codoping in sol-gel silica: Investigation using Europium(iii) fluorescence spectroscopy. Chem. Mater. 1995, 7, 572–577. [Google Scholar] [CrossRef]
- Monteil, A.; Chaussedent, S.; Alombert-Goget, G.; Gaumer, N.; Obriot, J.; Ribeiro, S.J.L.; Messaddeq, Y.; Chiasera, A.; Ferrari, M. Clustering of rare earth in glasses, aluminum effect: Experiments and modeling. J. Non-Cryst. Solids 2004, 348, 44–50. [Google Scholar] [CrossRef]
- Pedone, A.; Malavasi, G.; Menziani, M.C.; Segre, U.; Cormack, A.N. Role of magnesium in soda-lime glasses: Insight into structural, transport, and mechanical properties through computer simulations. J. Phys. Chem. C 2008, 112, 11034–11041. [Google Scholar] [CrossRef]
- Watts, S.J.; Hill, R.G.; O’Donnell, M.D.; Law, R.V. Influence of magnesia on the structure and properties of bioactive glasses. J. Non-Cryst. Solids 2010, 356, 517–524. [Google Scholar] [CrossRef]
- Kuryaeva, R.G. The state of magnesium in silicate glasses and melts. Glass Phys. Chem. 2009, 35, 378–383. [Google Scholar] [CrossRef]
- Kuryaeva, R.G. Compressibility of magnesium silicate glasses in comparison with those of aluminosilicate glasses. Solid State Sci. 2013, 24. [Google Scholar] [CrossRef]
- Verné, E.; Bretcanu, O.; Balagna, C.; Bianchi, C.L.; Cannas, M.; Gatti, S.; Vitale-Brovarone, C. Early stage reactivity and in vitro behavior of silica-based bioactive glasses and glass-ceramics. J. Mater. Sci. Mater. Med. 2009, 20, 75–87. [Google Scholar] [CrossRef] [PubMed]
- Ma, J.; Chen, C.Z.; Wang, D.G.; Jiao, Y.; Shi, J.Z. Effect of magnesia on the degradability and bioactivity of sol-gel derived SiO2–CaO–MgO–P2O5 system glasses. Colloids Surf. B Biointerf. 2010, 81, 87–95. [Google Scholar] [CrossRef] [PubMed]
- Diba, M.; Tapia, F.; Boccaccini, A.R.; Strobel, L.A. Magnesium-containing bioactive glasses for biomedical applications. Int. J. Appl. Glass Sci. 2012, 3, 221–253. [Google Scholar] [CrossRef]
- Karpukhina, N.; Hill, R.G.; Law, R.V. Crystallisation in oxide glasses—A tutorial review. Chem. Soc. Rev. 2014, 43, 2174–2186. [Google Scholar] [CrossRef] [PubMed]
- Onani, M.O.; Mushonga, P.; Koao, L.F.; Dejene, F.B. Luminescence properties of Eu- and Mg-codoped sol-gel SiO2 glasses. ISRN Nanotechnol. 2012, 2012, 1–5. [Google Scholar] [CrossRef]
- Lifshits, V.G.; Kaverina, I.G.; Korobtsov, V.V.; Saranin, A.A.; Zotov, A.V. Thermal annealing behaviour of Si/SiO2 structures. Thin Solid Films 1986, 135, 99–105. [Google Scholar] [CrossRef]
- Deal, B.E. The Physics and Chemistry of SiO2 and the Si-SiO2 Interface, 1st ed.; Springer: New York, NY, USA, 1988; p. 570. [Google Scholar]
- Garnica-Romo, M.G.; Yañez-Limón, J.M.; Villicaña, M.; Pérez-Robles, J.F.; Zamorano-Ulloa, R.; González-Hernandez, J. Structural evolution of sol–gel SiO2 heated glasses containing silver particles. J. Phys. Chem. Solids 2004, 65, 1045–1052. [Google Scholar] [CrossRef]
- Tahiri, N.; Khouchaf, L.; Elaatmani, M.; Louarn, G.; Zegzouti, A.; Daoud, M. Study of the thermal treatment of SiO2 aggregate. In IOP Conference Series: Materials Science and Engineering; IOP Publishing: Bristol, UK, 2014; Volume 62, p. 012002. [Google Scholar]
- Zarzycki, J. Glasses and the Vitreous State; Cambridge University Press: Cambridge, UK, 1991; p. 533. [Google Scholar]
- Rabinovich, E.M. Preparation of glass by sintering. J. Mater. Sci. 1985, 20, 4259–4297. [Google Scholar] [CrossRef]
- Tański, T.; Matysiak, W.; Krzemiński, Ł.; Jarka, P.; Gołombek, K. Optical properties of thin fibrous PVP/SiO2 composite mats prepared via the sol-gel and electrospinning methods. Appl. Surf. Sci. 2017, 424, 184–189. [Google Scholar] [CrossRef]
- Bansal, N.P. Sol-gel synthesis of magnesium oxide-silicon dioxide glass compositions. J. Am. Ceram. Soc. 1988, 71, 666–672. [Google Scholar] [CrossRef]
- Janssens, W.; Makshina, E.V.; Vanelderen, P.; Clippel, F.D.; Houthoofd, K.; Kerkhofs, S.; Martens, J.A.; Jacobs, P.A.; Sels, B.F. Ternary Ag/MgO-SiO2 catalysts for the conversion of ethanol into butadiene. ChemSusChem 2015, 8, 994–1008. [Google Scholar] [CrossRef] [PubMed]
- Zhang, M.; Gao, M.; Chenab, J.; Yu, Y. Study on key step of 1,3-butadiene formation from ethanol on MgO/SiO2. RSC Adv. 2015, 5, 25959–25966. [Google Scholar] [CrossRef]
- Jia, Y.; Wang, B.; Wu, Z.; Zhang, T. Effect of CaO on the reaction process of MgO-SiO2-H2O cement pastes. Mater. Lett. 2017, 192, 48–51. [Google Scholar] [CrossRef]
- Lippincott, E.R.; Valkenburg, A.V.; Weir, C.E.; Bunting, E.N. Infrared studies on polymorphs of silicon dioxide and germanium dioxide. J. Res. Nat. Bur. Stand. 1958, 61, 61–70. [Google Scholar] [CrossRef]
- Lehmann, A.; Schumann, L.; Hübner, K. Optical phonons in amorphous silicon oxides. II. Calculation of phonon spectra and interpretation of the IR transmission of SiOx. Phys. Status Solidi (b) 1984, 121, 505–511. [Google Scholar] [CrossRef]
- Innocenzi, P. Infrared spectroscopy of sol–gel derived silica-based films: A spectra-microstructure overview. J. Non-Cryst. Solids 2003, 316, 309–319. [Google Scholar] [CrossRef]
- Aguiar, H.; Serra, J.; Gonzalez, P.; León, B. Structural study of sol–gel silicate glasses by IR and Raman spectroscopies. J. Non-Cryst. Solids 2009, 355, 475–480. [Google Scholar] [CrossRef]
- Klevenz, M.; Wetzel, S.; Möller, M.; Pucci, A. Evaporation and condensation of SiO and SiO2 studied by infrared spectroscopy. Appl. Spectrosc. 2010, 64, 298–303. [Google Scholar] [CrossRef] [PubMed]
- Slimen, F.B.; Zaaboub, Z.; Haouari, M.; Mohamed, N.B.H.; Ouada, H.B.; Chaussedent, S.; Gaumer, N. Effect of CdS nanocrystals on the photoluminescence of Eu3+-doped silicophosphate sol gel glass. RSC Adv. 2017, 7, 14552–14561. [Google Scholar] [CrossRef]
- Morrow, B.A.; McFarlan, A.J. Surface vibrational modes of silanol groups on silica. J. Phys. Chem. C 1992, 96, 1395–1400. [Google Scholar] [CrossRef]
- Davis, K.M.; Tomozawa, M. An infrared spectroscopic study of water-related species in silica glasses. J. Non-Cryst. Solids 1996, 201, 177–198. [Google Scholar] [CrossRef]
- Nakagawa, I.; Walter, J.L. Optically active crystal vibrations of the alkalimetal nitrates. J. Chem. Phys. 1969, 51, 1389–1397. [Google Scholar] [CrossRef]
- Binnemans, K.; Görller-Walrand, C. Application of the Eu3+ ion for site symmetry determination. J. Rare Earths 1996, 14, 173–180. [Google Scholar]
- Görller-Walrand, C.; Fluyt, L.; Ceulemans, A. Magnetic dipole transitions as standards for Judd–Ofelt parametrization in lanthanide spectra. J. Chem. Phys. 1991, 95, 3099–3106. [Google Scholar] [CrossRef]
- Jørgensen, C.K.; Judd, B.R. Hypersensitive pseudoquadrupole transitions in lanthanides. Mol. Phys. 1964, 8, 281–290. [Google Scholar] [CrossRef]
- Campostrini, R.; Carturan, G.; Ferrari, M.; Montagna, M.; Pilla, O. Luminescence of Eu3+ ions during thermal densification of SiO2 gel. J. Mater. Res. 1992, 7, 745–753. [Google Scholar] [CrossRef]
- Chaussedent, S.; Monteil, A. Molecular dynamics simulation of trivalent europium in aqueous solution: A study on the hydration shell structure. J. Chem. Phys. 1996, 105, 6532–6537. [Google Scholar] [CrossRef]
- Nogami, M.; Hayakawa, T. Persistent spectral hole burning of sol-gel-derived Eu3+-doped SiO2 glass. Phys. Rev. B 1997, 56, R14235–R14238. [Google Scholar] [CrossRef]
- Jia, W.Y.; Liu, H.M.; Felofilov, S.P.; Meltzer, R.; Jiao, J. Spectroscopic study of Eu3+-doped and Eu3+, Y3+ codoped SiP2 sol–gel glasses. J. Alloys Compd. 2000, 311, 11–15. [Google Scholar] [CrossRef]
Sample Availability: Samples of the compounds are currently not available from the authors. |







| Sample | BET Surface Area m2/g | Pore Volume cm3/g |
|---|---|---|
| 334.0 ± 1.1 | 0.321 | |
| 212.9 ± 1.7 | 0.091 | |
| 306.9 ± 2.0 | 0.218 | |
| 142.8 ± 1.1 | 0.082 | |
| 289.6 ± 2.3 | 0.519 | |
| 52.4 ± 1.4 | 0.166 |
| Samples | τ (ms) | ||
|---|---|---|---|
| 25° C | 900 °C | ||
| y = 0.2 mol% | 0.11 | 1.03 | |
| y = 0.5 mol% | 0.12 | 1.42 | |
| y = 1.0 mol% | 0.13 | 1.22 | |
| y = 0.2 mol% | 0.16 | 0.87 | |
| y = 0.5 mol% | 0.16 | 0.98 | |
| y = 1.0 mol% | 0.15 | 0.96 | |
| y = 0.2 mol% | 0.40 | 1.80 | |
| y = 0.5 mol% | 0.42 | 1.80 | |
| y = 1.0 mol% | 0.34 | 1.78 | |
| Sample | EuCl3·6H2O mol% | Eu(NO3)3·6H2O mol% | Mg(NO3)2·6H2O mol% | TMOS mol% |
|---|---|---|---|---|
| 0.2 | - | - | 99.8 | |
| 0.5 | - | - | 99.5 | |
| 1 | - | - | 99 | |
| - | 0.2 | - | 99.8 | |
| - | 0.5 | - | 99.5 | |
| - | 1 | - | 99 | |
| - | 0.2 | 10 | 89.8 | |
| - | 0.5 | 10 | 89.5 | |
| - | 1 | 10 | 89 |
© 2018 by the authors. Licensee MDPI, Basel, Switzerland. This article is an open access article distributed under the terms and conditions of the Creative Commons Attribution (CC BY) license (http://creativecommons.org/licenses/by/4.0/).
Share and Cite
Fneich, H.; Gaumer, N.; Chaussedent, S.; Blanc, W.; Mehdi, A. Europium-Doped Sol-Gel SiO2-Based Glasses: Effect of the Europium Source and Content, Magnesium Addition and Thermal Treatment on Their Photoluminescence Properties. Molecules 2018, 23, 1768. https://doi.org/10.3390/molecules23071768
Fneich H, Gaumer N, Chaussedent S, Blanc W, Mehdi A. Europium-Doped Sol-Gel SiO2-Based Glasses: Effect of the Europium Source and Content, Magnesium Addition and Thermal Treatment on Their Photoluminescence Properties. Molecules. 2018; 23(7):1768. https://doi.org/10.3390/molecules23071768
Chicago/Turabian StyleFneich, Hussein, Nathalie Gaumer, Stéphane Chaussedent, Wilfried Blanc, and Ahmad Mehdi. 2018. "Europium-Doped Sol-Gel SiO2-Based Glasses: Effect of the Europium Source and Content, Magnesium Addition and Thermal Treatment on Their Photoluminescence Properties" Molecules 23, no. 7: 1768. https://doi.org/10.3390/molecules23071768
APA StyleFneich, H., Gaumer, N., Chaussedent, S., Blanc, W., & Mehdi, A. (2018). Europium-Doped Sol-Gel SiO2-Based Glasses: Effect of the Europium Source and Content, Magnesium Addition and Thermal Treatment on Their Photoluminescence Properties. Molecules, 23(7), 1768. https://doi.org/10.3390/molecules23071768

