Chemical Structures and Biological Activities of Limonoids from the Genus Swietenia (Meliaceae)
Abstract
1. Introduction
2. Chemical Components
2.1. Azadirone-Type and Evodulon-Type Limonoids
2.2. Gedunin-Type Limonoids
2.3. Andirobin-Type Limonoids
2.4. Mexicanolide-Type Limonoids
2.5. Phragmalin-Type Limonoids
2.6. Polyoxyphragmalin-Type Limonoids
3. Biological Activities
3.1. Antifeedant Activity
3.2. Antimicrobial Activity
3.3. Hypoglycemic Activity
3.4. Anti-PAF Activity
3.5. Anti-Inflammatory Activities
3.6. Other Activities
4. Conclusions
Funding
Acknowledgments
Conflicts of Interest
References
- Mootoo, B.S.; Ali, A.; Motilal, R.; Pingal, R.; Ramlal, A.; Khan, A.; Reynolds, W.F.; McLean, S. Limonoids from Swietenia macrophylla and S. aubrevilleana. J. Nat. Prod. 1999, 62, 1514–1517. [Google Scholar] [CrossRef] [PubMed]
- Panda, S.P.; Haldar, P.K.; Bera, S.; Adhikary, S.; Kandar, C.C. Antidiabetic and antioxidant activity of Swietenia mahagoni in streptozotocin-induced diabetic rats. Pharm. Biol. 2010, 48, 974–979. [Google Scholar] [CrossRef] [PubMed]
- Dutta, M.; Biswas, U.K.; Chakraborty, R.; Banerjee, P.; Raychaudhuri, U. Regeneration of pancreatic β-cells on streptozotocin induced diabetic rats under the effect of swietenia macrophylla seeds. Int. J. Green Pharm. 2013, 6, 336–339. [Google Scholar] [CrossRef]
- Dutta, M.; Biswas, U.K.; Chakraborty, R.; Banerjee, P.; Maji, D.; Mondal, M.C.; Raychaudhuri, U. Antidiabetic and antioxidant effect of Swietenia macrophylla seeds in experimental type 2 diabetic rats. Int. J. Diabetes Dev. Ctries. 2013, 33, 60–65. [Google Scholar] [CrossRef]
- Dewanjee, S.; Kundu, M.; Maiti, A.; Majumdar, R.; Majumdar, A.; Mandel, S.C. In vitro evaluation of antimicrobial activity of crude extract from plants Diospyros peregrina, Coccinia grandis and Swietenia macrophylla. Trop. J. Pharm. Res. 2007, 6, 773–778. [Google Scholar] [CrossRef]
- Sahgal, G.; Ramanathan, S.; Sasidharan, S.; Mordi, M.N.; Ismail, S.; Mansor, S.M. Phytochemical and antimicrobial activity of Swietenia mahagoni crude methanolic seed extract. Trop. Biomed. 2009, 26, 274–279. [Google Scholar] [PubMed]
- Mohammed, S.B.; Azhari, N.H.; Mashitah, Y.M.; Abdurahman, N.H.; Mazza, A.S. Physicochemical characterization and antimicrobial activity of Swietenia macrophylla King seed oil. Esrsa Publ. 2014, 3, 1787–1792. [Google Scholar]
- Sahgal, G.; Ramanathan, S.; Sasidharan, S.; Mordi, M.N.; Ismail, S.; Mansor, S.M. In Vitro antioxidant and xanthine oxidase inhibitory activities of methanolic Swietenia mahagoni seed extracts. Molecules 2009, 14, 4476–4485. [Google Scholar] [CrossRef]
- Pamplona, S.; Sã, P.; Lopes, D.; Costa, E.; Yamada, E.; Silva, C.; Arruda, M.; Souza, J.; da Silva, M. In vitro cytoprotective effects and antioxidant capacity of phenolic compounds from the leaves of Swietenia macrophylla. Molecules 2015, 20, 18777–18788. [Google Scholar] [CrossRef] [PubMed]
- Maiti, A.; Dewanjee, S.; Mandal, S.C. In vivo evaluation of antidiarrhoeal activity of the seed of Swietenia macrophylla King (Meliaceae). Trop. J. Pharm. Res. 2007, 6, 711–716. [Google Scholar] [CrossRef]
- Goh, B.H.; Kadir, H.A. In vitro cytotoxic potential of Swietenia macrophylla King seeds against human carcinoma cell lines. J. Med. Plant. Res. 2011, 5, 1395–1404. [Google Scholar]
- Goh, B.H.; Chan, C.K.; Kamarudin, M.N.A.; Kadir, H.A. Swietenia macrophylla King induces mitochondrial-mediated apoptosis through p53 upregulation in HCT116 colorectal carcinoma cells. J. Ethnopharmacol. 2014, 153, 375–385. [Google Scholar] [CrossRef] [PubMed]
- Zalabani, S.M.E.; El-Askary, H.I.; Mousa, O.M.; Issa, M.Y.; Zaitoun, A.A.; Abdel-Sattar, E. Acaricidal activity of Swietenia mahogani and Swietenia macrophylla, ethanolic extracts against Varroa destructor in honeybee colonies. Exp. Parasitol. 2012, 130, 166–170. [Google Scholar] [CrossRef] [PubMed]
- Chen, J.J.; Huang, S.S.; Liao, C.H.; Wei, W.C.; Sung, P.J.; Wang, T.C.; Cheng, M.J. A new phragmalin-type limonoid and anti-inflammatory constituents from the fruits of Swietenia macrophylla. Food Chem. 2010, 120, 379–384. [Google Scholar] [CrossRef]
- Wu, S.F.; Lin, C.K.; Chuang, Y.S.; Chang, F.R.; Tseng, C.K.; Wu, Y.C.; Lee, J.C. Anti-hepatitis C virus activity of 3-hydroxy caruilignan C from Swietenia macrophylla stems. J. Viral Hepat. 2012, 19, 364–370. [Google Scholar] [CrossRef] [PubMed]
- Falah, S.; Suzuki, T.; Katayama, T. Chemical constituents from Swietenia macrophylla bark and their antioxidant activity. Pak. J. Biol. Sci. 2008, 11, 2007–2012. [Google Scholar] [CrossRef] [PubMed]
- Soares, M.G.; Batista-Pereira, L.G.; Fernandes, J.B.; Corrêa, A.G.; Da, S.M.; Vieira, P.C.; Filho, E.R.; Ohashi, O.S. Electrophysiological responses of female and male Hypsipyla grandella (Zeller) to Swietenia macrophylla essential oils. J. Chem. Ecol. 2003, 29, 2143–2151. [Google Scholar] [CrossRef] [PubMed]
- Tan, Q.G.; Luo, X.D. Meliaceous limonoids: Chemistry and biological activities. Chem. Rev. 2011, 111, 7437–7522. [Google Scholar] [CrossRef] [PubMed]
- Pereira, T.B.; Silva, L.F.R.E.; Amorim, R.C.; Melo, M.R.; Souza, R.C.Z.D.; Eberlin, M.N.; Lima, E.S.; Vasconcellos, M.C.; Pohlit, A.M. In vitro, and in vivo, anti-malarial activity of limonoids isolated from the residual seed biomass from Carapa guianensis (andiroba) oil production. Malar. J. 2014, 13, 317–324. [Google Scholar] [CrossRef] [PubMed]
- Yan, Y.X.; Liu, J.Q.; Wang, H.W.; Chen, J.X.; Chen, J.C.; Chen, L.; Zhou, L.; Qiu, M.H. Identification and antifeedant activities of limonoids from Azadirachta indica. Chem. Biodivers. 2015, 12, 1040–1046. [Google Scholar] [CrossRef] [PubMed]
- Ambrozin, A.R.P.; Leite, A.C.; Bueno, F.C.; Vieira, P.C.; Fernandes, J.B.; Bueno, O.C.; Silva, M.F.G.F.; Pagnocca, F.C.; Hebling, M.J.A.; Maurício, B., Jr. Limonoids from andiroba oil and Cedrela fissilis and their insecticidal activity. J. Braz. Chem. Soc. 2006, 17, 542–547. [Google Scholar] [CrossRef]
- Hu, J.; Song, Y.; Mao, X.; Wang, Z.J.; Zhao, Q.J. Limonoids isolated from Toona sinensis, and their radical scavenging, anti-inflammatory and cytotoxic activities. J. Funct. Foods 2016, 20, 1–9. [Google Scholar] [CrossRef]
- Kadota, S.; Marpaung, L.; Kikuchi, T.; Ekitomo, H. Mahonin and secomahoganin, new tetranortriterpenoids from Swietenia mahogani (L.) JACQ. Chem. Pharm. Bull. 1989, 37, 1419–1421. [Google Scholar] [CrossRef]
- Kadota, S.; Marpaung, L.; Kikuchi, T.; Ekitomo, H. Constituents of the seeds of Swietenia mahagoni Jacq. I. Isolation, structures, and 1H- and 13C-nuclear magnetic resonance signal assignments of new tetranortriterpenoids related to swietenine and swietenolide. Chem. Pharm. Bull. 1990, 38, 639–651. [Google Scholar] [CrossRef]
- Kadota, S.; Marpaung, L.; Kikuchi, T.; Ekitomo, H. Constituents of the seeds of Swietenia mahagoni JACQ. III. Structures of mahonin and secomahoganin. Chem. Pharm. Bull. 1990, 38, 1495–1500. [Google Scholar] [CrossRef]
- Sun, Y.P.; Zhu, L.L.; Liu, J.S.; Yu, Y.; Zhou, Z.Y.; Wang, G.; Wang, G.K. Limonoids and triterpenoid from fruit of Swietenia macrophylla. Fitoterapia 2018, 125, 141–146. [Google Scholar] [CrossRef] [PubMed]
- Zhang, R.; Cao, M.M.; He, H.P.; Zhang, Y.; Di, Y.T.; Hao, X.J. Limonoids from the twigs and leaves of Swietenia macrophylla. Nat. Prod. Res. Dev. 2013, 25, 969–971. [Google Scholar] [CrossRef]
- Mi, C.N.; Mei, W.L.; Li, W.; Wang, J.; Cai, C.H.; li, S.P.; Dai, H.F. Chemical Constituents from the Roots of Swietenia macrophylla King. J. Trop. Subtrop. Bot. 2017, 25, 610–616. [Google Scholar] [CrossRef]
- Lin, B.D.; Tao, Y.; Zhang, C.R.; Dong, L.; Zhang, B.; Wu, Y.; Yue, J.M. Structurally diverse limonoids from the fruits of Swietenia mahagoni. J. Nat. Prod. 2009, 72, 2084–2090. [Google Scholar] [CrossRef] [PubMed]
- Abdelgaleil, S.A.M.; Doe, M.; Morimoto, Y.; Nakatani, M. Rings B,D-seco limonoids from the leaves of Swietenia mahogani. Phytochemistry 2006, 67, 452–458. [Google Scholar] [CrossRef] [PubMed]
- Abdelgaleil, S.A.M.; Doe, M.; Nakatani, M. Rings B, D-seco limonoid antifeedants from Swietenia mahogani. Phytochemistry 2013, 96, 312–317. [Google Scholar] [CrossRef] [PubMed]
- Liu, J.S.; Zhu, L.L.; Wang, G.; Wang, G.K. Studies on chemical constituents from the fruit of Swietenia macrophylla. J. Chin. Med. Mater. 2016, 7, 1530–1534. [Google Scholar] [CrossRef]
- Lau, W.K.; Goh, B.H.; Kadir, H.A.; Shu-Chien, A.C.; Muhammad, T.S.T. Potent PPAR ligands from Swietenia macrophylla are capable of stimulating glucose uptake in muscle cells. Molecules 2015, 20, 22301–22314. [Google Scholar] [CrossRef] [PubMed]
- Chen, Y.Y.; Wang, X.N.; Fan, C.Q.; Yin, S.; Yue, J.M. Swiemahogins A and B, two novel limonoids from Swietenia mahogani. Tetrahedron Lett. 2007, 48, 7480–7484. [Google Scholar] [CrossRef]
- Cheng, Y.B.; Chien, Y.T.; Lee, J.C.; Tseng, C.K.; Wang, H.C.; Lo, I.W.; Wu, Y.H.; Wang, S.Y.; Wu, Y.C.; Chang, F.R. Limonoids from the seeds of Swietenia macrophylla with inhibitory activity against dengue Virus 2. J. Nat. Prod. 2014, 77, 2367–2374. [Google Scholar] [CrossRef] [PubMed]
- Saad, M.M.G.; Iwagawa, T.; Doe, M.; Nakatani, M. Swietenialides, novel ring D opened phragmalin limonoid orthoesters from Swietenia mahogani JACQ. Tetrahedron 2003, 59, 8027–8033. [Google Scholar] [CrossRef]
- Liu, J.Q.; Wang, C.F.; Chen, J.C.; Qiu, M.H. Limonoids from the leaves of Swietenia macrophylla. Nat. Prod. Res. 2012, 26, 1887–1891. [Google Scholar] [CrossRef] [PubMed]
- Okorie, D.A.; Taylor, D.A.H. Meliaceae: Limonoids from Swietenia humilis. Phytochemistry 1971, 10, 469–470. [Google Scholar] [CrossRef]
- Segura-Correa, R.; Mata, R.; Anaya, A.L.; Hernandez-Bautista, B.; Viliena, R.; Soriano-Garcia, M.; Bye, R.; Linares, E. New tetranortriterpenoids from Swietenia humilis. J. Nat. Prod. 1993, 56, 1567–1574. [Google Scholar] [CrossRef]
- Jimenez, A.; Mata, R.; Pereda-Miranda, R.; Calderon, J.; Isman, M.B.; Nicol, R.; Arnason, J.T. Insecticidal limonoids from Swietenia humilis, and Cedrela salvadorensis. J. Chem. Ecol. 1997, 23, 1225–1234. [Google Scholar] [CrossRef]
- Jimenez, A.; Villarreal, C.; Toscano, R.A.; Cook, M.; Arnason, J.T.; Bye, R.; Mata, R. Limonoids from Swietenia humilis and Guarea grandiflora (Meliaceae). Phytochemistry 1998, 49, 1981–1988. [Google Scholar] [CrossRef]
- Ovalle-Magallanes, B.; Medina-Campos, O.N.; Pedraza-Chaverri, J.; Mata, R. Hypoglycemic and antihyperglycemic effects of phytopreparations and limonoids from Swietenia humilis. Phytochemistry 2015, 110, 111–119. [Google Scholar] [CrossRef] [PubMed]
- Kadota, S.; Yanagawa, K.; Kikuchi, T.; Tanaka, K. Mahagonin, a novel dimeric tetranortriterpenoid from, Swietenia mahogan JACQ. Tetrahedron Lett. 1990, 31, 5943–5946. [Google Scholar] [CrossRef]
- Fowles, R.G.; Mootoo, B.S.; Ramsewak, R.; Reynolds, W.; Lough, A.J. 3,6-Di-O-acetyl-swietenolide 0.25-hydrate. Acta Crystallogr. 2007, 63, o660–o661. [Google Scholar] [CrossRef]
- Kadota, S.; Marpaung, L.; Kikuchi, T.; Ekimoto, H. Constituents of the seeds of Swietenia mahagoni JACQ. II. structures of swietemahonin A, B, C, D, E, F, and G and swietemahonolide. Chem. Pharm. Bull. 1990, 38, 894–901. [Google Scholar] [CrossRef]
- Govindachari, T.R.; Suresh, G.; Banumathy, B.; Masilamani, S.; Gopalakrishnan, G.; Kumari, G.N.K. Antifungal activity of some B,D-seco limonoids from two Meliaceous plants. J. Chem. Ecol. 1999, 25, 923–933. [Google Scholar] [CrossRef]
- Rahman, A.K.M.S.; Chowdhury, A.K.A.; Ali, H.A.; Raihan, S.Z.; Ali, M.S.; Nahar, L.; Sarker, S.D. Antibacterial activity of two limonoids from swietenia mahagoni against multiple-drug-resistant (MDR) bacterial strains. J. Nat. Med. 2009, 63, 41–45. [Google Scholar] [CrossRef] [PubMed]
- Ma, Y.Q.; Jiang, K.; Deng, Y.; Guo, L.; Wan, Y.Q.; Tan, C.H. Mexicanolide-type limonoids from the seeds of Swietenia macrophylla. J. Asian Nat. Prod. Res. 2017, 1–7. [Google Scholar] [CrossRef] [PubMed]
- Taylor, A.R.H.; Taylor, D.A.H. Limonoid extractives from Swietenia macrophylla. Phytochemistry 1983, 22, 2870–2871. [Google Scholar] [CrossRef]
- Chan, K.C.; Tang, T.S.; Toh, H.T. Isolation of swietenolide diacetate from swietenia macrophylla. Phytochemistry 1976, 15, 429–430. [Google Scholar] [CrossRef]
- Ekimoto, H.; Irie, Y.; Araki, Y.; Han, G.Q.; Kadota, S.; Kikuchi, T. Platelet aggregation inhibitors from the seeds of Swietenia mahagoni: Inhibition of in vitro and in vivo platelet-activating factor-induced effects of tetranortriterpenoids related to swietenine and swietenolide. Planta Med. 1991, 57, 56–58. [Google Scholar] [CrossRef] [PubMed]
- Kadota, S.; Marpaung, L.; Kikuchi, T.; Ekimoto, H. Antagonists of platelet activating factor from Swietenia mahogani(L.) JACQ. Tetrahedron Lett. 1989, 30, 1111–1114. [Google Scholar] [CrossRef]
- Goh, B.H.; Kadir, H.A.; Malek, S.N.A.; Ng, S.W. (αR,4R,4aR,6aS,7R,8S,10R,11S)-methyl α-acetoxy-4-(3-furanyl)-10-hydroxy-4a,7,9,9-tetramethyl-2,13-dioxo-1, 4,4a,5,6,6a,7,8,9,10,11,12-dodecahydro-7,11-methano-2H-cycloocta[f][2]benzopyran-8-acetate (6-O-acetylswietenolide) from the seeds of Swietenia macrophylla. Acta Cryst. 2010, 66, 2802–2803. [Google Scholar]
- Goh, B.H.; Kadir, H.A.; Malek, S.N.A.; Ng, S.W. Swietenolide diacetate from the seeds of swietenia macrophylla. Acta Cryst. 2010, 66, o1396. [Google Scholar] [CrossRef]
- Chen, L.C.; Liao, H.R.; Chen, P.Y.; Kuo, W.L.; Chang, T.H.; Sung, P.J.; Wen, Z.H.; Chen, J.J. Limonoids from the seeds of Swietenia macrophylla and their anti-inflammatory activities. Molecules 2015, 20, 18551–18564. [Google Scholar] [CrossRef] [PubMed]
- Daily, A.; Seligmann, O.; Lotter, H.; Wagner, H. 2-Hydroxy-swietenin, ein neues limonoid aus Swietenia mahagoni DC./2-Hydroxy-swietenin, a new limonoid from Swietenia mahagoni DC. Z. Naturforsch. C 1985, 40, 519–522. [Google Scholar] [CrossRef]
- Solomon, K.A.; Malathi, R.; Rajan, S.S.; Narasimhan, S.; Nethaji, M. Swietenine. Acta Cryst. 2003, 59, o1519–o1521. [Google Scholar] [CrossRef]
- Kojima, K.; Isaka, K.; Ogihara, Y. Tetranortriterpenoids from Swietenia macrophylla. Chem. Pharm. Bull. 1998, 46, 523–525. [Google Scholar] [CrossRef]
- Govindachari, T.R.; Banumathy, B.; Gopalakrishnan, G.; Suresh, G. 6-Desoxyswietenine, a tetranortriterpenoid from Swietenia mahogani. Fitoterapia 1999, 70, 106–108. [Google Scholar] [CrossRef]
- Cheng, Y.B.; Chien, Y.T.; Lee, J.C.; Wu, Y.C.; Chang, F.R. Anti-dengue virus limonoids from the actual seeds of Swietenia macrophylla. Planta Med. 2014, 80, 311–323. [Google Scholar] [CrossRef]
- Perusquía, M.; Herńndez, R.; Jiménez, M.A.; Pereda-Miranda, R.; Mata, R. Contractile response induced by a limonoid (humilinolide A) on spontaneous activity of isolated smooth muscle. Phytother. Res. 1997, 11, 354–357. [Google Scholar] [CrossRef]
- Saad, M.M.G. Three new mexicanolides from the stem bark of Swietenia mahogani Jacq. Heterocycles 2004, 63, 389–399. [Google Scholar] [CrossRef]
- Lin, B.D.; Zhang, C.R.; Yang, S.P.; Wu, Y.; Yue, J.M. D-ring-opened phragmalin-type limonoid orthoesters from the twigs of swietenia macrophylla. J. Natl. Prod. 2009, 72, 1305–1313. [Google Scholar] [CrossRef] [PubMed]
- Lin, B.D.; Zhang, C.R.; Yang, S.P.; Wu, Y.; Yue, J.M. Phragmalin-type limonoid orthoesters from the twigs of Swietenia macrophylla. Chem. Pharm. Bull. 2011, 59, 458–465. [Google Scholar] [CrossRef] [PubMed]
- Tan, S.K.; Osman, H.; Kengchong, W.; Penglim, B. New phragmalin-type limonoids from Swietenia macrophylla king. Food Chem. 2009, 115, 1279–1285. [Google Scholar] [CrossRef]
- Silva, M.N.D.; Arruda, M.S.P.; Castro, K.C.F.; da Silva, M.F.D.G.; Fernandes, J.B.; Vieira, P.C. Limonoids of the phragmalin type from Swietenia macrophylla and their chemotaxonomic significance. J. Nat. Prod. 2008, 71, 1983–1987. [Google Scholar] [CrossRef] [PubMed]
- Liu, J.Q.; Peng, X.R.; Zhang, W.M.; Shi, L.; Li, X.Y.; Chen, J.C.; Qiu, M.H. Swietemahalactone, a rearranged phragmalin-type limonoid with anti-bacterial effect, from Swietenia mahagoni. RSC Adv. 2013, 3, 4890–4893. [Google Scholar] [CrossRef]
- Fowles, R.; Mootoo, B.; Ramsewak, R.; Khan, A.; Ramsubhag, A.; Reynolds, W.; Nair, M. Identification of new limonoids from Swietenia and their biological activity against insects. Pest Manag. Sci. 2010, 66, 1298–1303. [Google Scholar] [CrossRef] [PubMed]
- Omar, S.; Marcotte, M.; Fields, P.; Sanchez, P.E.; Poveda, L.; Mata, R.; Jimenez, A.; Durst, T.; Zhang, J.; MacKinnon, S.; et al. Antifeedant activities of terpenoids isolated from tropical Rutales. J. Stored Prod. Res. 2007, 43, 92–96. [Google Scholar] [CrossRef]
- Abdelgaleil, S.A.; Hashinaga, F.; Nakatani, M. Antifungal activity of limonoids from Khaya ivorensis. Pest Manag. Sci. 2005, 61, 186–190. [Google Scholar] [CrossRef] [PubMed]
- Maiti, A.; Dewanjee, S.; Sahu, R. Isolation of hypoglycemic phytoconstituent from Swietenia macrophylla seeds. Phytother. Res. 2009, 23, 1731–1733. [Google Scholar] [CrossRef] [PubMed]
- Dewanjee, S.; Maiti, A.; Das, A.K.; Mandal, S.C.; Dey, S.P. Swietenine: A potential oral hypoglycemic from Swietenia macrophylla seed. Fitoterapia 2009, 80, 249–251. [Google Scholar] [CrossRef] [PubMed]
- Maiti, A. Swietenine, big leaf mahogany (Swietenia macrophylla) seed extract as a hypoglycemic agent. In Nuts and Seeds in Health and Disease Prevention; Elsevier Inc.: New York, NY, USA, 2011; pp. 205–212. [Google Scholar]
- Pudhom, K.; Sommit, D.; Nuclear, P.; Ngamrojanavanich, N.; Petsom, A. Protoxylocarpins F−H, protolimonoids from seed kernels of Xylocarpus granatum. J. Nat. Prod. 2009, 72, 2188–2191. [Google Scholar] [CrossRef] [PubMed]
- Fowles, R.G.; Mootoo, B.S.; Ramsewak, R.S.; Khan, A. Toxicity-structure activity evaluation of limonoids from Swietenia species on Artemia salina. Pharm. Biol. 2012, 50, 264–267. [Google Scholar] [CrossRef] [PubMed]
- Ovallemagallanes, B.; Décigacampos, M.; Mata, R. Antihyperalgesic activity of a mexicanolide isolated from Swietenia humilis extract in nicotinamide-streptozotocin hyperglycemic mice. Biomed. Pharmacother. 2017, 92, 324–330. [Google Scholar] [CrossRef] [PubMed]
- Maiti, A.; Dewanjee, S.; Kundu, M.; Mandal, S.C. Evaluation of antidiabetic activity of the seeds of Swietenia macrophylla in diabetic rats. Pharm. Biol. 2009, 47, 132–136. [Google Scholar] [CrossRef]
- Zhang, B.; Wang, Z.F.; Tang, M.Z.; Shi, Y.L. Growth inhibition and apoptosis-induced effect on human cancer cells of toosendanin, a triterpenoid derivative from Chinese traditional medicine. Investig. New Drugs 2005, 23, 547–553. [Google Scholar] [CrossRef] [PubMed]
- Akihisa, T.; Pan, X.; Nakamura, Y.; Kikuchi, T.; Takahashi, N.; Matsumoto, M.; Ogihara, E.; Fukatsu, M.; Koike, K.; Tokuda, H. Limonoids from the fruits of Melia azedarach and their cytotoxic activities. Phytochemistry 2013, 89, 59–70. [Google Scholar] [CrossRef] [PubMed]
- Awang, K.; Chong, S.L.; Mohamad, K.; Morita, H.; Hirasawa, Y.; Takeya, K.; Thoison, O.; Hadi, A.H.A. Erythrocarpines A–E, new cytotoxic limonoids from Chisocheton erythrocarpus. Bioorg. Med. Chem. 2007, 15, 5997–6002. [Google Scholar] [CrossRef] [PubMed]







| No. | Compounds | Substitution Groups | Sources |
|---|---|---|---|
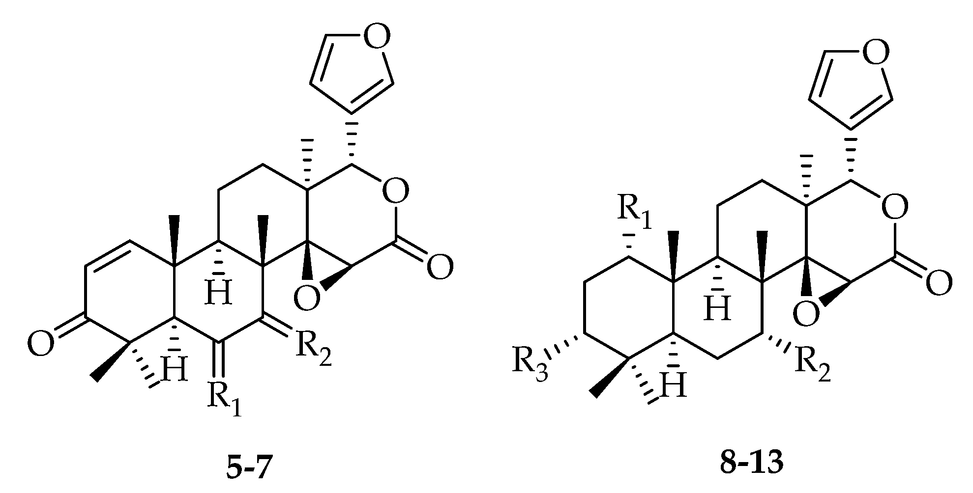
| 5 | 7-deacetoxy-7-oxogedunin | R1 = H2, R2 = O | S. mahagoni [24,29,30,31] S. macrophylla [1,28,32], S. aubrevilleana [1] |
| 6 | 6α-acetoxygedunin | R1 = R2 = β-H, α-OAc | S. mahagoni [24], |
| 7 | 7-deacetoxy-7α-hydroxygedunin(deacetylgedunin) | R1 = H2, R2 = β-H, α-OH | S. macrophylla [28], S. aubrevilleana [1] |
| 8 | 3-deacetylkhivorin | R1 = OAc, R2 = OAc, R3 = OH | S. mahagoni [29] |
| 9 | 3,7-dideacetylkhivorin | R1 = OAc, R2 = OH, R3 = OH | S. mahagoni [29] |
| 10 | 1,3,7-trideacetylkhivorin | R1 = OH, R2 = OH, R3 = OH | S. mahagoni [29] |
| 11 | khivorin | R1 = OAc, R2 = OAc, R3 = OAc | S. mahagoni [29] |
| 12 | 7-deacetylkhivorin | R1 = OAc, R2 = OH, R3 = OAc | S. mahagoni [29] |
| 13 | 1-deacetylkhivorin | R1 = OH, R2 = OAc, R3 = OAc | S. mahagoni [29] |
| No. | Compound | Substitution Groups | Sources |
|---|---|---|---|
| 14 | andirobin | S. macrophylla [1,35] | |
| 15 | methylangolensate | R = H | S. mahagoni [24,29,31,36], S. macrophylla [27] |
| 16 | 6-hydroxy derivative (methyl 6-hydroxyangolensate) | R = OH | S. mahagoni [29,30,36,37], S. aubrevilleana [1], S. macrophylla [27] |
| 17 | 6-acetoxyangolensate | R = OAc | S. macrophylla [27] |
| 18 | secomahoganin | R = Ac | S. mahagoni [23,24,25], S. macrophylla [33] |
| 19 | deacetylsecomahoganin | R = H | S. mahagoni [30], S. macrophylla [27] |
| 20 | swiemahogin A | S. mahagoni [34] | |
| 21 | swietmanin J | S. mahagoni [29] |
| No. | Compounds | Substitution Groups | Sources |
|---|---|---|---|
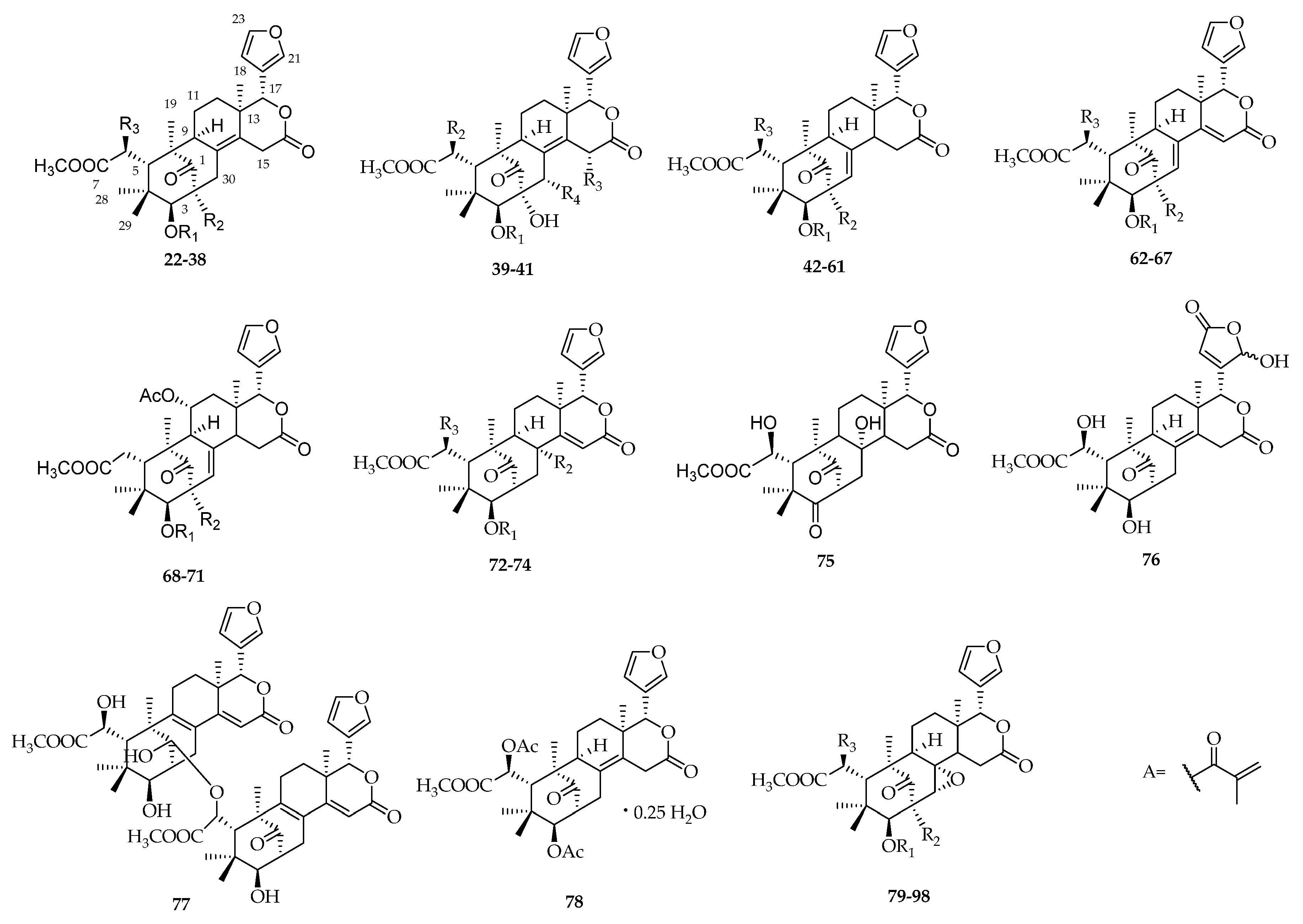
| 22 | mexicanolide | R1 = O, R2 = H, R3 = H | S. mahagoni [29] |
| 23 | swietenolide | R1 = H, R2 = H, R3 = OH | S. mahagoni [24,45,46,47], S. aubrevilleana [1], S. macrophylla [1,32,48,49,50] |
| 24 | 3-O-acetylswietenolide | R1 = Ac, R2 = H, R3 = OH | S. mahagoni [24,46,51,52], S. macrophylla [32,48] |
| 25 | 6-O-acetylswietenolide | R1 = H, R2 = H, R3 = OAc | S. mahagoni [24,51], S. macrophylla [1,48,53], S. aubrevilleana [1] |
| 26 | 3-O-tigloyl-6-O-acetylswietenolide | R1 = Tig, R2 = H, R3 = OAc | S. mahagoni [24,46], S. macrophylla [14,32,48], |
| 27 | 3,6-O,O-diacetylswietenolide | R1 = Ac, R2 = H, R3 = OAc | S. mahagoni [24,46,51], S. macrophylla [1,14,48,50,54], S. aubrevilleana [1] |
| 28 | 3-O-tigloylswietenolide | R1 = Tig, R2 = H, R3 = OH | S. mahagoni [24,46], S. macrophylla [14,48,55], |
| 29 | khayasin T | R1 = Tig, R2 = H, R3 = H | S. mahagoni [24,29], S. macrophylla [1,14,48] |
| 30 | proceranolide | R1 = H, R2 = H, R3 = H | S. mahagoni [24,48], S. macrophylla [32,33] |
| 31 | 2-hydroxy-3-O-tigloylswietenolide | R1 = Tig, R2 = OH, R3 = OH | S. mahagoni [30,47] |
| 32 | 3-O-propionylproceranolide | R1 = COEt, R2 = H, R3 = H | S. macrophylla [48] |
| 33 | fissinolide | R1 = Ac, R2 = H, R3 = H | S. macrophylla [32,33,48], S. mahagoni [29] |
| 34 | 2-hydroxy-3-O-isobutyrylproceranolide | R1 = iBu, R2 = OH, R3 = H | S. mahagoni [29] |
| 35 | 2-hydroxy-3-O-benzoylproceranolide | R1 = Bz, R2 = OH, R3 = H | S. mahagoni [29] |
| 36 | 2-hydroxyfissinolide | R1 = Ac, R2 = OH, R3 = H | S. mahagoni [29] |
| 37 | 2,3-dihydroxy-3-deoxymexicanolide | R1 = H, R2 = OH, R3 = H | S. mahagoni [29] |
| 38 | 2-hydroxy-6-deoxyswietenolide tiglate | R1 = Tig, R2 = OH, R3 = H | S. mahagoni [29] |
| 39 | augustineolide | R1 = Tig, R2 = OH, R3 = OAc, R4 = OiBu | S. macrophylla [1] |
| 40 | swietmanin E | R1 = Tig, R2 = H, R3 = OH, R4 = H | S. mahagoni [29] |
| 41 | swietmanin F | R1 = Ac, R2 = H, R3 = OH, R4 = H | S. mahagoni [29] |
| 42 | swietenine | R1 = Tig, R2 = H, R3 = OH | S. mahagoni [24,35,45,46], S. macrophylla [14,33,36,48,49,56,57] |
| 43 | swietenine B | R1 = COEt, R2 = H, R3 = OH | S. mahagoni [24] |
| 44 | swietenine C | R1 = iBu, R2 = H, R3 = OH | S. mahagoni [24,58], S. humilis [41] |
| 45 | swietenine D | R1 = A, R2 = H, R3 = OH | S. mahagoni [24] |
| 46 | swietenine E | R1 = Piv, R2 = H, R3 = OH | S. mahagoni [24] |
| 47 | swietenine F | R1 = Bz, R2 = H, R3 = OH | S. mahagoni [24] |
| 48 | swietenine acetate (6-O-acetylswietenine) | R1 = Tig, R2 = H, R3 = OAc | S. mahagoni [24,46], S. macrophylla [14,33,49] |
| 49 | 6-desoxyswietenine (febrifugin) | R1 = Tig, R2 = H, R3 = H | S. mahagoni [46,59], S. macrophylla [1,14,48] |
| 50 | humilinolide C | R1 = Tig, R2 = OAc, R3 = H | S. humilis [39,40,41] |
| 51 | humilinolide D | R1 = Ac, R2 = OH, R3 = OAc | S. humilis [39,40,41] |
| 52 | humilinolide E (6-O-acetyl-2-hydroxyswietenin) | R1 = Tig, R2 = OH, R3 = OAc | S. humilis [41], S. mahagoni [31,57] |
| 53 | methyl-2-hydroxy-3-b-isobutyroxy- 1-oxomeliac-8(30)-enate | R1 = iBu, R2 = OH, R3 = H | S. humilis [38,41] |
| 54 | methyl-2-hydroxy-3-b-tigloyloxy- 1-oxomeliac-8(30)-enate | R1 = Tig, R2 = OH, R3 = H | S. humilis [41], S. macrophylla [58], S. mahagoni [31] |
| 55 | 2-hydroxyswietenine | R1 = Tig, R2 = OH, R3 = OH | S. mahagoni [31,36,56], S. macrophylla [1,58] |
| 56 | 6-acetoxyhumilinolide C | R1 = Tig, R2 = OAc, R3 = OAc | S. aubrevilleana [1] |
| 57 | granatumin H | R1 = iBu, R2 = H, R3 = H | S. macrophylla [48] |
| 58 | swieteliacate C | R1 = COEt, R2 = H, R3 = H | S. macrophylla [26] |
| 59 | 6-O-acetylswietenin B | R1 = COEt, R2 = H, R3 = OAc | S. macrophylla [48] |
| 60 | 2-hydroxy-destigloyl-6-deoxyswietenine acetate | R1 = Ac, R2 = OH, R3 = H | S. humilis [42] |
| 61 | humilinolide G | R1 = iBu, R2 = OAc, R3 = H | S. humilis [42] |
| 62 | swielimonoid A | R1 = Tig, R2 = H, R3 = OH | S. macrophylla [60] |
| 63 | swielimonoid B | R1 = COEt, R2 = H, R3 = OH | S. macrophylla [60] |
| 64 | swietmanin G | R1 = iBu, R2 = OH, R3 = H | S. mahagoni [29] |
| 65 | swietmanin H | R1 = Ac, R2 = OH, R3 = H | S. mahagoni [29] |
| 66 | swietmanin I | R1 = Tig, R2 = OH, R3 = H | S. mahagoni [29] |
| 67 | seneganolide A | R1 = H, R2 = H, R3 = H | S. mahagoni [29] |
| 68 | swietmanin A | R1 = iBu, R2 = H | S. mahagoni [29] |
| 69 | swietmanin B | R1 = Ac, R2 = H | S. mahagoni [29] |
| 70 | swietmanin C | R1 = H, R2 = H | S. mahagoni [29] |
| 71 | swietmanin D | R1 = Ac, R2 = OAc | S. mahagoni [29] |
| 72 | 8α-hydroxycarapin | R1 = O, R2 = OH, R3 = H | S. mahagoni [29] |
| 73 | 3β,6-dihydroxydihydrocarapin | R1 = H, R2 = H, R3 = OH | S. macrophylla [1], S. aubrevilleana [1] |
| 74 | swieteliacate E | R1 = H, R2 = OH, R3 = OH | S. macrophylla [26] |
| 75 | khayanone | S. macrophylla [37] | |
| 76 | swieteliacate D | S. macrophylla [26] | |
| 77 | mahagonin | S. mahagoni [43], S. macrophylla [26] | |
| 78 | 3,6-di-O-acetylswietenolide 0.25-hydrate | S. macrophylla [44] | |
| 79 | swietemahonin A | R1 = COEt, R2 = H, R3 = OH | S. mahagoni [24,45,51,52] |
| 80 | swietemahonin B | R1 = COEt, R2 = H, R3 = OAc | S. mahagoni [24,45], S. macrophylla [48] |
| 81 | swietemahonin C | R1 = iBu, R2 = H, R3 = OAc | S. mahagoni [24,41,45] |
| 82 | swietemahonin D | R1 = Ac, R2 = H, R3 = OH | S. mahagoni [24,45,51] |
| 83 | swietemahonin E | R1 = Tig, R2 = H, R3 = OH | S. mahagoni [24,45,51,52], S. macrophylla [1,14,33,48] |
| 84 | swietemahonin F | R1 = Tig, R2 = H, R3 = OAc | S. mahagoni [24,45], S. macrophylla [1,32,33] |
| 85 | swietemahonin G | R1 = Tig, R2 = OH, R3 = OH | S. mahagoni [24,30,31,45,51], S. macrophylla [1] |
| 86 | swietemahonlide | R1 = Tig, R2 = H, R3 = H | S. mahagoni [24,45] |
| 87 | xylocarpin | R1 = AC, R2 = H, R3 = H | S. mahagoni [45], S. macrophylla [49] |
| 88 | humilin B | R1 = iBu, R2 = OH, R3 = H | S. humilis [38], S. mahagoni [41,45], S. macrophylla [49,58] |
| 89 | humilinolide A(methyl 3β-isobutyryloxy-2,6-dihydroxy-8α,30α-epoxy-l-oxo-meliacate) | R1 = iBu, R2 = OH, R3 = OH | S. humilis [39,40,41,61], S. macrophylla [58] |
| 90 | humilinolide B | R1 = iBu, R2 = OH, R3 = OAc | S. humilis [39,40,41] |
| 91 | humilinolide F | R1 = Tig, R2 = OAc, R3 = OAc | S. humilis [41],S. macrophylla [55] |
| 92 | 6-deoxyswietemahonin A | R1 = COEt, R2 = H, R3 = H | S. macrophylla [48] |
| 93 | swielimonoid C | R1 = Piv, R2 = H, R3 = OH | S. macrophylla [60] |
| 94 | methyl 3β-acetoxy-2,6-dihydroxy-8α,30α-epoxy-l-oxo-meliacate | R1 = Ac, R2 = OH, R3 = OH | S. macrophylla [58] |
| 95 | methyl 3β-tigloyloxy-2-hvdroxy-8α,30α-epoxy-l-oxo-meliacate | R1 = Tig, R2 = OH, R3 = H | S. macrophylla [14,58] S. mahagoni [62] |
| 96 | 6-O-acetylswietemahonin G | R1 = Tig, R2 = OH, R3 = OAc | S. macrophylla [14], S. mahagoni [62] |
| 97 | 2-acetoxyswietemahonlide (swietemacrophin) | R1 = Tig, R2 = OAc, R3 = H | S. macrophylla [55] |
| 98 | humilinolide H | R1 = iBu, R2 = OAc, R3 = H | S. humilis [42] |
| No. | Compounds | Substitution Groups | Sources |
|---|---|---|---|
| 99 | swietenitin A | R1 = A1, R2 = Ac, R3 = Ac | S. macrophylla [63] |
| 100 | swietenitin B | R1 = A2, R2 = Ac, R3 = Ac | S. macrophylla [63] |
| 101 | swietenitin C | R1 = A1, R2 = Ac, R3 = COEt | S. macrophylla [63] |
| 102 | swietenitin D | R1 = A1, R2 = H, R3 = COEt | S. macrophylla [63] |
| 103 | swietenitin E | R1 = Tig, R2 = Ac, R3 = COEt | S. macrophylla [63] |
| 104 | swietenitin F | R1 = Tig, R2 = H, R3 = iBu | S. macrophylla [63] |
| 105 | swietenialide D | R1 = A1, R2 = H, R3 = COEt, R4 = OH | S. mahagoni [36] |
| 106 | swietenitin G | R1 = A1, R2 = Ac, R3 = Ac, R4 = OH | S. macrophylla [63] |
| 107 | swietenitin H | R1 = Tig, R2 = Ac, R3 = COEt, R4 = OAc | S. macrophylla [63] |
| 108 | 2,11-diacetoxyswietenialide D | R1 = A1, R2 = Ac, R3 = COEt, R4 = OAc | S. macrophylla [63] |
| 109 | 11-deoxyswietenialide D | R1 = A1, R2 = H, R3 = COEt, R4 = H | S. macrophylla [63] |
| 110 | 2-acetoxyswietenialide D | R1 = A1, R2 = Ac, R3 = COEt, R4 = OH | S. macrophylla [63] |
| 111 | swietenialide A | R1 = Tig, R2 = Me, R3 = OMe, R4 = H, R5 = OH | S. mahagoni [36] |
| 112 | swietenialide B | R1 = Tig, R2 = Et, R3 = OMe, R4 = H, R5 = OH | S. mahagoni [36] |
| 113 | swietenialide C | R1 = A1, R2 = Me, R3 = OMe, R4 = H, R5 = OH | S. mahagoni [36] |
| 114 | swietenitin I | R1 = A1, R2 = Et, R3 = OMe, R4 = H, R5 = OH | S. macrophylla [63] |
| 115 | swietenitin J | R1 = A1, R2 = Et, R3 = OMe, R4 = Ac, R5 = OH | S. macrophylla [63] |
| 116 | swietenitin K | R1 = Tig, R2 = Et, R3 = OMe, R4 = Ac, R5 = OH | S. macrophylla [63] |
| 117 | swielimonoid D | R1 = A1, R2 = α-Et, R3 = β-OMe, R4 = Ac, R5 = OAc | S. macrophylla [60] |
| 118 | swielimonoid E | R1 = A1, R2 = β-Et, R3 = α-OMe, R4 = Ac, R5 = OAc | S. macrophylla [60] |
| 119 | swielimonoid F | R1 = A1, R2 = β-Et, R3 = α-OMe, R4 = H, R5 = OAc | S. macrophylla [60] |
| 120 | swielimonoid G | R1 = A1, R2 = β-Me, R3 = α-OMe, R4 = Ac, R5 = OAc | S. macrophylla [60] |
| 121 | swietenitin L | R1 = A1, R2 = H | S. macrophylla [63] |
| 122 | swietenitin M | R1 = A1, R2 = Ac | S. macrophylla [63] |
| 123 | swietenitin N | R1 = A2, R2 = COEt | S. macrophylla [64] |
| 124 | swietenitin O | R1 = A2, R2 = Ac | S. macrophylla [64] |
| 125 | swietenitin P | R1 = Tig, R2 = COEt | S. macrophylla [64] |
| 126 | epoxyfebrinin B | R1 = A1, R2 = Ac | S. macrophylla [64] |
| 127 | swietenitin Q | S. macrophylla [64] | |
| 128 | swietenitin R | R1 = A1, R2 = H, R3 = COEt | S. macrophylla [64] |
| 129 | swietenitin S | R1 = Tig, R2 = Ac, R3 = COEt | S. macrophylla [64] |
| 130 | swietenitin T | R1 = A1, R2 = H, R3 = COEt | S. macrophylla [64] |
| 131 | swietenitin U | R1 = Tig, R2 = H, R3 = Ac | S. macrophylla [64] |
| 132 | swietenitin V | S. macrophylla [64] | |
| 133 | swietenitin W | R = H | S. macrophylla [64] |
| 134 | swietenitin X | R = Me | S. macrophylla [64] |
| 135 | swietephragmin A | R1 = Tig, R2 = OAc, R3 = H, R4 = iPr, R5 = H | S. mahagoni [30] |
| 136 | swietephragmin B | R1 = Tig, R2 = OAc, R3 = H, R4 = A3, R5 = H | S. mahagoni [30] |
| 137 | swietephragmin C | R1 = Tig, R2 = OH, R3 = H, R4 = A3, R5 = H | S. mahagoni [30] |
| 138 | swietephragmin D | R1 = Tig, R2 = OH, R3 = H, R4 = iPr, R5 = H | S. mahagoni [30] |
| 139 | swietephragmin E | R1 = Tig, R2 = OH, R3 = OH, R4 = A3, R5 = H | S. mahagoni [30] |
| 140 | swietephragmin F | R1 = Tig, R2 = OH, R3 = H, R4 = Et, R5 = H | S. mahagoni [30] |
| 141 | swietephragmin G | R1 = Tig, R2 = OH, R3 = H, R4 = Me, R5 = H | S. mahagoni [30] |
| 142 | 6-O-acetylswietephragmin E | R1 = Tig, R2 = OH, R3 = OAc, R4 = A3, R5 = H | S. macrophylla [66] |
| 143 | 12α-acetoxyswietephragmin C | R1 = Tig, R2 = OH, R3 = H, R4 = A3, R5 = OAc | S. macrophylla [66] |
| 144 | 3β-O-destigloyl-3β-O-benzoyl-6-O-acetylswietephragmin E | R1 = Bz, R2 = OH, R3 = OAc, R4 = A3, R5 = H | S. macrophylla [66] |
| 145 | 3β-O-destigloyl-3β-O-benzoyl-12α-acetoxyswietephragmin C | R1 = Bz, R2 = OH, R3 = H, R4 = A3, R5 = OAc | S. macrophylla [66] |
| 146 | 12α-acetoxyswietephragmin D | R1 = Tig, R2 = OH, R3 = H, R4 = iPr, R5 = OAc | S. macrophylla [66] |
| 147 | 3β-O-destigloyl-3β-O-benzoyl-12α-acetoxyswietephragmin D | R1 = Bz, R2 = OH, R3 = H, R4 = iPr, R5 = OAc | S. macrophylla [66] |
| 148 | 6-O-acetyl-3′-demethylswietephragmin E | R1 = Tig, R2 = OH, R3 = OAc, R4 = iPr, R5 = H | S. macrophylla [66] |
| 149 | swietephragmin H | R1 = Tig, R2 = OAc, R3 = H, R4 = Et, R5 = H | S. macrophylla [65] |
| 150 | swietephragmin I | R1 = Tig, R2 = OAc, R3 = H, R4 = Me, R5 = H | S. macrophylla [65] |
| 151 | swietephragmin J | R1 = Tig, R2 = OAc, R3 = H, R4 = Et, R5 = OH | S. macrophylla [65] |
| 152 | swietenialide E | S. mahagoni [57] | |
| 153 | 11-hydroxyswietephragmin B | S. mahogani [31] |
| No. | Compounds | Substitution Groups | Sources |
| 154 | khayanolide E | R1 = O, R2 = Ac | S. macrophylla [37] |
| 155 | 1-O-acetylkhayanolide B | R1 = β-OH, α-H, R2 = Ac | S. macrophylla [37] |
| 156 | 1-O-deacetylkhayanolide E | R1 = O, R2 = H | S. macrophylla [37] |
| 157 | khayanolide B | R1 = β-OH, α-H, R2 = H | S. macrophylla [37] |
| 158 | khayalactone | S. macrophylla [37] | |
| 159 | 1-O-acetylkhayanolide A | R = Ac | S. macrophylla [37] |
| 160 | khayanolide A | R = H | S. macrophylla [37] |
| 161 | swietemahalactone | S. mahagoni [67] | |
| 162 | swiemahogin B | S. mahagoni [34] | |
| 163 | swietenine J | R1 = Ac, R2 = H, R3 = H, R4 = H | S. macrophylla [37] |
| 164 | swietemacrophine | R1 = Tig, R2 = OTig, R3 = OH, R4 = OAc | S. macrophylla [65] |
| Compounds | Insect and Antifeedant Activity |
|---|---|
| swietenolide (23) | Spodoptera frugiperda AI = 94.1 ± 2.90 (1000 ppm) [1], DC50 = 80.6 ± 1.1 (mg/L) [68] |
| 6-acetylswietenolide (25) | S. frugiperda AI = 72.2 ± 19.60 (1000 ppm) [1] |
| 3,6-O,O-diacetylswietenolide (27) | S. frugiperda AI = 72.0 ± 9.38 (1000 ppm) [1] |
| swietemahonin F (84) | S. frugiperda AI = 70.2 ± 8.90 (1000 ppm) [1] |
| swietenine (42) | S. frugiperda DC50 = 2.49 ± 1.44 (mg/L) [68] |
| 2-hydroxyswietenine (55) | S. frugiperda DC50 = 65.8 ± 1.2 (mg/L) [68] |
| swietemahonin G (85) | S. frugiperda DC50 = 13.8 ± 1.2 (mg/L) [68], Spodoptera littoralis, MAC values = 300 [31] |
| 3,6-O,O-diacetylswietenolide (27) | S. frugiperda, DC50 = 4.65 ± 1.33 (mg/L) [68] |
| 6-O-acetylswietemahonin G (96) | S. littoralis, MAC values = 500 [62] |
| swietenialides A–E (111–113, 117, 118) | S. littoralis, MAC values = 1000 [36] |
| 7-deacetoxy-7-oxogedunin (5) | S. littoralis, MAC values = 1000 [31] |
| methyl 6-hydroxyangolensate (16) | S. littoralis, MAC values = 500 [31] |
| 6-O-acetyl-2-hydroxyswietenin (52) | S. littoralis, MAC values = 500 [31] |
| 2-hydroxy-6-deacetoxyswietenine (54) | S. littoralis, MAC values = 500 [31] |
| 2-hydroxyswietenine (55) | S. littoralis, MAC values = 500 [31] |
| swietephragmin H (149) | S. littoralis, MAC values = 1000 [31] |
| swietephragmin I (150) | S. littoralis, MAC values = 500 [31] |
| 11-hydroxyswietephragmin B (153) | S. littoralis, MAC values = 1000 [31] |
| humilinolide B (90) | Sitophilus oryzae, AI = 79.7 ± 16.7 [69] |
| humilinolide C (50) | S. oryzae, AI = 24.8 ± 1.0 [69] |
| humilinolide D (51) | S. oryzae,AI = 65.2 ± 11.1 [69] |
© 2018 by the authors. Licensee MDPI, Basel, Switzerland. This article is an open access article distributed under the terms and conditions of the Creative Commons Attribution (CC BY) license (http://creativecommons.org/licenses/by/4.0/).
Share and Cite
Sun, Y.-P.; Jin, W.-F.; Wang, Y.-Y.; Wang, G.; Morris-Natschke, S.L.; Liu, J.-S.; Wang, G.-K.; Lee, K.-H. Chemical Structures and Biological Activities of Limonoids from the Genus Swietenia (Meliaceae). Molecules 2018, 23, 1588. https://doi.org/10.3390/molecules23071588
Sun Y-P, Jin W-F, Wang Y-Y, Wang G, Morris-Natschke SL, Liu J-S, Wang G-K, Lee K-H. Chemical Structures and Biological Activities of Limonoids from the Genus Swietenia (Meliaceae). Molecules. 2018; 23(7):1588. https://doi.org/10.3390/molecules23071588
Chicago/Turabian StyleSun, Yun-Peng, Wen-Fang Jin, Yong-Yue Wang, Gang Wang, Susan L. Morris-Natschke, Jin-Song Liu, Guo-Kai Wang, and Kuo-Hsiung Lee. 2018. "Chemical Structures and Biological Activities of Limonoids from the Genus Swietenia (Meliaceae)" Molecules 23, no. 7: 1588. https://doi.org/10.3390/molecules23071588
APA StyleSun, Y.-P., Jin, W.-F., Wang, Y.-Y., Wang, G., Morris-Natschke, S. L., Liu, J.-S., Wang, G.-K., & Lee, K.-H. (2018). Chemical Structures and Biological Activities of Limonoids from the Genus Swietenia (Meliaceae). Molecules, 23(7), 1588. https://doi.org/10.3390/molecules23071588

