Chemical Profiling and Screening of the Marker Components in the Fruit of Cassia fistula by HPLC and UHPLC/LTQ-Orbitrap MSn with Chemometrics
Abstract
:1. Introduction
2. Results and Discussion
2.1. Validation of the Method
2.2. Similarity Analysis (SA)
2.3. Chemical Profiling of the Fruit of C. fistula by UHPLC/LTQ-Orbitrap MSn
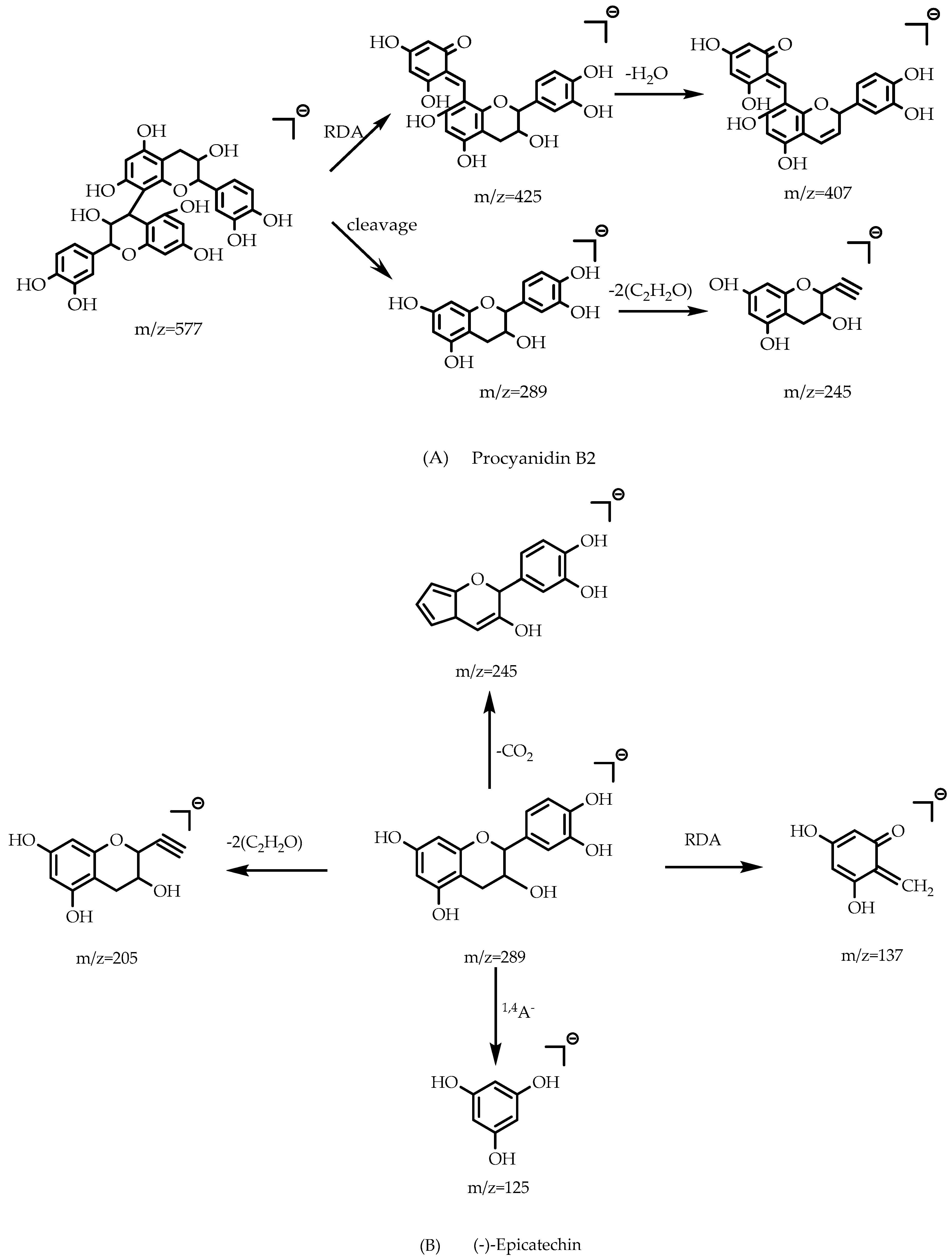
2.3.1. Identification of Flavonoids
2.3.2. Identification of Anthraquinones
2.3.3. Identification of Disaccharides and Other Compounds
2.4. Identification of Ten Chemical Components by Comparison with Standard Materials
2.5. Hierarchical Cluster Analysis (HCA)
2.6. Principal Components Analysis (PCA)
3. Materials and Methods
3.1. Reagents and Materials
3.2. Preparation of Standard Solutions and Sample Solutions
3.3. Instrumentation and Chromatographic Conditions
3.3.1. Chemical Profiling by UHPLC/LTQ-Orbitrap MSn
3.3.2. Similarity Analysis and Qualitative Analysis of Ten Standard Materials by HPLC
3.4. Data Analysis and Statistics
4. Conclusions
Supplementary Materials
Author Contributions
Acknowledgments
Conflicts of Interest
References
- Karthikeyan, S.; Gobianand, K. Antiulcer activity of ethanol leaf extract of Cassia fistula. Pharm. Biol. 2010, 48, 869–877. [Google Scholar] [CrossRef] [PubMed]
- Bahorun, T.; Neergheen, V.S.; Aruoma, O.I. Phytochemical constituents of Cassia fistula. Afr. J. Biotechnol. 2005, 4, 1530–1540. [Google Scholar] [CrossRef]
- Kritikar, K.R.; Basu, B.D. Indian Medicinal Plants, 2nd ed.; Periodical Experts Book Agency: New Delhi, India, 1991; ISBN 978-0-387-70640-5. [Google Scholar]
- Duraipandiyan, V.; Ignacimuthu, S. Antibacterial and antifungal activity of Cassia fistula L.: An ethnomedicinal plant. J. Ethnopharmacol. 2007, 112, 590–594. [Google Scholar] [CrossRef] [PubMed]
- Jothy, S.L.; Zakaria, Z.; Chen, Y.; Lau, Y.L.; Latha, L.Y.; Shin, L.N.; Sasidharan, S. Bioassay-directed isolation of active compounds with antiyeast activity from a Cassia fistula seed extract. Molecules 2011, 16, 7583–7592. [Google Scholar] [CrossRef] [PubMed]
- Abid, R.; Mahmood, R.; Santosh Kumar, H.S. Hypolipidemic and antioxidant effects of ethanol extract of Cassia fistula fruit in hyperlipidemic mice. Pharm. Biol. 2016, 54, 2822–2829. [Google Scholar] [CrossRef] [PubMed]
- Irshad, M.; Sheikh, S.; Manzoor, N.; Khan, L.A.; Rizvi, M.M. Anticandidal activity of Cassia fistula and its effect on ergosterol biosynthesis. Pharm. Biol. 2011, 49, 727–733. [Google Scholar] [CrossRef] [PubMed]
- Rashid, M.I.; Mujawar, L.H.; Mujallid, M.I.; Shahid, M.; Rehan, Z.A.; Khan, M.K.I.; Ismail, I.M.I. Potent bactericidal activity of silver nanoparticles synthesized from Cassia fistula fruit. Microb. Pathog. 2017, 107, 354–360. [Google Scholar] [CrossRef] [PubMed]
- Esmaeilidooki, M.R.; Mozaffarpur, S.A.; Mirzapour, M.; Shirafkan, H.; Kamalinejad, M.; Bijani, A. Comparison between the C. fistula’s emulsion with polyethylene glycol (PEG4000) in the pediatric functional constipation: A randomized clinical trial. Iran. Red Crescent Med. J. 2016, 18, e33998. [Google Scholar] [CrossRef]
- Seyyednejad, S.M.; Motamedi, H.; Vafei, M.; Bakhtiari, A. The antibacterial activity of Cassia fistula organic extracts. Jundishapur J. Microbiol. 2014, 7, e8921. [Google Scholar] [CrossRef] [PubMed]
- Duraipandiyan, V.; Ignacimuthu, S.; Paulraj, M.G. Antifeedant and larvicidal activities of Rhein isolated from the flowers of Cassia fistula L. Saudi J. Biol. Sci. 2011, 18, 129–133. [Google Scholar] [CrossRef] [PubMed]
- Ma, H.Y.; Liu, L.X.; Yang, G.R.; Liu, Q.; Yang, Y.; Zhou, L.; Xing, H.H.; Zhou, M.; Ye, Y.Q.; Wu, H.Y.; et al. Anthraquinones from the barks of Cassia alata and their anti-tobacco mosaic virus activity. Chem. Nat. Compd. 2017, 53, 852–855. [Google Scholar] [CrossRef]
- Hu, Q.F.; Wang, Y.D.; Yu, Z.H.; Zhou, K.; Dong, W.; Zhou, M.; Li, Y.K.; Gao, X.M.; Zhu, D.L.; Ye, Y.Q. Anti-tobacco mosaic virus chromones from the twigs of Cassia fistula. Chem. Nat. Compd. 2017, 53, 453–456. [Google Scholar] [CrossRef]
- Srividhya, M.; Hridya, H.; Shanthi, V.; Ramanathan, K. Bioactive Amento flavone isolated from Cassia fistula L. leaves exhibits therapeutic efficacy. 3 Biotech 2017, 7, 33. [Google Scholar] [CrossRef] [PubMed]
- Zhou, M.; Xing, H.H.; Yang, Y.; Wang, Y.D.; Zhou, K.; Dong, W.; Li, G.P.; Hu, W.Y.; Liu, Q.; Li, X.M. Three new anthraquinones from the twigs of Cassia fistula and their bioactivities. J. Asian Nat. Prod. Res. 2017, 19, 1073–1078. [Google Scholar] [CrossRef] [PubMed]
- Kulkarni, H.C.; Lohar, P.S. Comparative studies on antioxidant and antipyretic activities of leaf extracts of Cassia fistula, Psida cordifolia and Aegel marmelos. Res. J. Biotechnol. 2014, 9, 60–64. [Google Scholar]
- Yang, H.Y.; Shen, G.J.; Li, Y.K.; Wu, X.X.; Shi, Y.D.; Du, G.; Hu, Q.F.; Gao, X.M. A new anthraquinone from the root of Cassia fistula and their antitobacco mosaic virus activity. Asian J. Chem. 2013, 25, 9419–9420. [Google Scholar] [CrossRef]
- Zhu, J.Q.; Fan, X.H.; Cheng, Y.Y.; Agarwal, R.; Moore, C.M.V.; Chen, S.T.; Tong, W.D. Chemometric analysis for identification of botanical raw materials for pharmaceutical use: A case study using Panax notoginseng. PLoS ONE 2014, 9, e87462. [Google Scholar] [CrossRef] [PubMed]
- Donno, D.; Boggia, R.; Zunin, P.; Cerutti, A.K.; Guido, M.; Mellano, M.G.; Prgomet, Z.; Beccaro, G.L. Phytochemical fingerprint and chemometrics for natural food preparation pattern recognition: An innovative technique in food supplement quality control. J. Food Sci. Technol. 2016, 53, 1071–1083. [Google Scholar] [CrossRef] [PubMed]
- Liang, W.Y.; Chen, W.J.; Wu, L.F.; Li, S.; Qi, Q.; Cui, Y.P.; Liang, L.J.; Ye, T.; Zhang, L.Z. Quality evaluation and chemical markers screening of Salvia miltiorrhiza Bge. (Danshen) based on HPLC fingerprints and HPLC-MSn coupled with chemometrics. Molecules 2017, 22, 478. [Google Scholar] [CrossRef] [PubMed]
- Sun, M.; Luo, Z.; Liu, Y.; Yang, R.; Lu, L.; Yu, G.; Ma, X.; Liu, A.; Guo, Y.; Zhao, H. Identification of the major components of Buddleja officinalis extract and their metabolites in rat urine by UHPLC-LTQ-Orbitrap. J. Food Sci. 2016, 81, H2587–H2596. [Google Scholar] [CrossRef] [PubMed]
- Qian, Y.Y.; Zhu, Z.H.; Duan, J.A.; Guo, S.; Shang, E.X.; Tao, J.H.; Su, S.L.; Guo, J.M. Simultaneous quantification and semi-quantification of ginkgolic acids and their metabolites in rat plasma by UHPLC-LTQ-Orbitrap-MS and its application to pharmacokinetics study. J. Chromatogr. B 2017, 1041, 85–93. [Google Scholar] [CrossRef] [PubMed]
- Zeng, Y.L.; Lu, Y.; Chen, Z.; Tan, J.W.; Bai, J.; Li, P.Y.; Wang, Z.X.; Du, S.Y. Rapid Characterization of components in Bolbostemma paniculatum by UPLC/LTQ-Orbitrap MSn analysis and multivariate statistical analysis for herb discrimination. Molecules 2018, 23, 1155. [Google Scholar] [CrossRef] [PubMed]
- Wu, L.F.; Liang, W.Y.; Chen, W.J.; Li, S.; Cui, Y.P.; Qi, Q.; Zhang, L.Z. Screening and analysis of the marker components in Ganoderma lucidum by HPLC and HPLC-MS n with the aid of chemometrics. Molecules 2017, 22, 584. [Google Scholar] [CrossRef] [PubMed]
- Zhuang, B.; Bi, Z.M.; Wang, Z.Y.; Duan, L.; Lai, C.J.; Liu, E.H. Chemical profiling and quantitation of bioactive compounds in Platyclade Cacumen by UPLC-Q-TOF-MS/MS and UPLC-DAD. J. Pharm. Biomed. Anal. 2008, 154, 207–215. [Google Scholar] [CrossRef] [PubMed]
- Hu, Z.Z. Effect of Procyanidin B2 on Anti-Aging and Identification of Its Metabolites. Master’s Thesis, Shanghai Institute of Technology, Shanghai, China, 2017. [Google Scholar]
- Cui, P.K. Quantum Chemical Auxiliary Study on Mass Spectrum ESI-ITMSn Behavior of the Anthraquinone of Rheum. Ph.D. Thesis, Jiamusi University, Jiamusi, China, 2013. [Google Scholar]
- Chen, X.J.; Ji, H.; Zhang, Q.W.; Tu, P.F.; Wang, Y.T.; Guo, B.L.; Li, S.P. A rapid method for simultaneous determination of 15 flavonoids in Epimedium using pressurized liquid extraction and ultra-performance liquid chromatography. J. Pharm. Biomed. Anal. 2008, 46, 226–235. [Google Scholar] [CrossRef] [PubMed]
- Yang, C.X.; Wang, Y.J.; Wu, B.H.; Fang, J.B.; Li, S.H. Volatile compounds evolution of three table grapes with different flavor during and after maturation. Food Chem. 2011, 128, 823–830. [Google Scholar] [CrossRef]
- Ye, L.Q.; Yang, C.X.; Li, W.D.; Hao, J.B.; Sun, M.; Zhang, J.R.; Zhang, Z.S. Evaluation of volatile compounds from Chinese dwarf cherry (Cerasus humilis (Bge.) Sok.) germplasms by headspace solid-phase microextraction and gas chromatography–mass spectrometry. Food Chem. 2017, 217, 389–397. [Google Scholar] [CrossRef] [PubMed]
- Xiao, W.; Peng, Y.D.; Tan, Z.X.; Lv, Q.Y.; Chan, C.; Yang, J.Y.; Chen, S.B. Comparative evaluation of chemical profiles of pyrrosiae folium originating from three pyrrosia species by HPLC-DAD combined with multivariate statistical analysis. Molecules 2017, 22, 2122. [Google Scholar] [CrossRef] [PubMed]
- Jiang, H.; Yang, L.; Xing, X.D.; Yan, M.L.; Guo, X.Y.; Yang, B.Y.; Wang, Q.H.; Kuang, H.X. HPLC-PDA combined with chemometrics for quantitation of active components and quality assessment of raw and processed fruits of Xanthium strumarium L. Molecules 2018, 23, 243. [Google Scholar] [CrossRef] [PubMed]
Sample Availability: Samples are available from the authors. |











| Samples | Origins | Specific Sources |
|---|---|---|
| S1 | India | Gansu Foci in Medicinal Materials Limited Corporation |
| S2 | Xinjiang, China | Xinjiang Pamir Uygur Pharmaceutical Limited Corporation |
| S3 | Xinjiang, China | Fu’antang Native Product’s Distribution Department of Hualing Market in Shuimogou District |
| S4 | Xinjiang, China | Xinjiang Uygur Medical Hospital |
| S5 | Xinjiang, China | Xinjiang Pamir Uygur Pharmaceutical Limited Corporation |
| S6 | India | Gansu Foci in Medicinal Materials Limited Corporation |
| S7 | Xinjiang, China | Xinjiang Yinduolan Uygur Medical Limited Corporation |
| S8 | Sichuan, China | Xinjiang Uygur Medical Hospital |
| S9 | Xinjiang, China | Xinjiang Pamir Uygur Pharmaceutical Limited Corporation |
| S10 | Sichuan, China | Xinjiang Uygur Medical Hospital |
| S11 | Xinjiang, China | Xinjiang Pamir Uygur Pharmaceutical Limited Corporation |
| S12 | Xinjiang, China | Xinjiang Pamir Uygur Pharmaceutical Limited Corporation |
| No. | S1 | S2 | S3 | S4 | S5 | S6 | S7 | S8 | S9 | S10 | S11 | S12 | R |
|---|---|---|---|---|---|---|---|---|---|---|---|---|---|
| S1 | 1.000 | 0.827 | 0.602 | 0.598 | 0.514 | 0.963 | 0.582 | 0.847 | 0.610 | 0.766 | 0.482 | 0.550 | 0.796 |
| S2 | 0.827 | 1.000 | 0.590 | 0.894 | 0.853 | 0.861 | 0.821 | 0.801 | 0.881 | 0.767 | 0.864 | 0.898 | 0.927 |
| S3 | 0.602 | 0.590 | 1.000 | 0.727 | 0.598 | 0.602 | 0.723 | 0.851 | 0.725 | 0.896 | 0.563 | 0.641 | 0.830 |
| S4 | 0.598 | 0.894 | 0.727 | 1.000 | 0.953 | 0.632 | 0.932 | 0.737 | 0.978 | 0.754 | 0.933 | 0.970 | 0.929 |
| S5 | 0.514 | 0.853 | 0.598 | 0.953 | 1.000 | 0.573 | 0.845 | 0.642 | 0.962 | 0.660 | 0.934 | 0.960 | 0.864 |
| S6 | 0.963 | 0.861 | 0.602 | 0.632 | 0.573 | 1.000 | 0.624 | 0.908 | 0.657 | 0.836 | 0.551 | 0.619 | 0.846 |
| S7 | 0.582 | 0.821 | 0.723 | 0.932 | 0.845 | 0.624 | 1.000 | 0.748 | 0.934 | 0.754 | 0.806 | 0.874 | 0.894 |
| S8 | 0.847 | 0.801 | 0.851 | 0.737 | 0.642 | 0.908 | 0.748 | 1.000 | 0.752 | 0.978 | 0.606 | 0.691 | 0.929 |
| S9 | 0.610 | 0.881 | 0.725 | 0.978 | 0.962 | 0.657 | 0.934 | 0.752 | 1.000 | 0.763 | 0.902 | 0.954 | 0.933 |
| S10 | 0.766 | 0.767 | 0.896 | 0.754 | 0.660 | 0.836 | 0.754 | 0.978 | 0.763 | 1.000 | 0.637 | 0.717 | 0.926 |
| S11 | 0.482 | 0.864 | 0.563 | 0.933 | 0.934 | 0.551 | 0.806 | 0.606 | 0.902 | 0.637 | 1.000 | 0.986 | 0.838 |
| S12 | 0.550 | 0.898 | 0.641 | 0.970 | 0.960 | 0.619 | 0.874 | 0.691 | 0.954 | 0.717 | 0.986 | 1.000 | 0.900 |
| R | 0.796 | 0.927 | 0.830 | 0.929 | 0.864 | 0.846 | 0.894 | 0.929 | 0.933 | 0.926 | 0.838 | 0.900 | 1.000 |
| Peak | Lever | Compound | Mocular Formula | RT (min) | Precusor Ion m/z [M − H] − | Theoretical | Error (ppm) | MS/MS Fragmentation |
|---|---|---|---|---|---|---|---|---|
| 1b | Disaccharide | C12H22O11 | 2.963 | 341.10696 | 341.10784 | 2.580 | 178.87711 | |
| 2b | Disaccharide | C12H22O11 | 4.273 | 341.10706 | 341.10784 | 2.287 | 179.02390 | |
| 3 | A | Unresolved | C16H28O12 | 8.613 | 411.14917 | 411.14970 | 1.289 | 341.14203, 323.08002 |
| 4 | A | Unresolved | C17H30O12 | 9.907 | 425.16495 | 425.16535 | 0.941 | 407.03677, 341.14331, 323.03574 |
| 5b | Procyanidin B2 | C30H26O12 | 12.320 | 577.13336 | 577.13405 | 1.196 | 559.09515, 451.17084, 425.13684, 407.19708, 289.16211, 245.02040 | |
| 6a | (+)-Catechin | C15H14O6 | 13.057 | 289.07065 | 289.07066 | 0.035 | 244.97168, 205.01669, 178.88663, 136.94279, 124.91268 | |
| 7 | B | Unresolved | C27H30O15 | 14.765 | 593.14880 | 593.15010 | 2.192 | 473.15625, 431.16376 |
| 8a | (−)-Epicatechin | C15H14O6 | 16.667 | 289.07059 | 289.07066 | 0.242 | 244.99500, 205.00952, 178.94473, 136.98108, 124.88078 | |
| 11a | Rutin | C27H30O16 | 29.601 | 609.14343 | 609.14501 | 2.594 | 301.07007 | |
| 12b | New compound | C48H48O25 | 31.840 | 1023.23633 | 1023.24009 | 3.675 | 861.31323, 699.19556, 537.11163 | |
| 13b | Isoquercitrin | C21H20O12 | 32.917 | 463.08633 | 463.08710 | 1.663 | 301.02444 | |
| 14b | 1-[1,5-dihydroxy-3-methyl-8-[3,4,5-trihydroxy-6-[(3,4,5-trihydroxyoxan-2-yl)oxymethyl]oxan-2-yl]oxynaphthalen-2-yl]ethanone | C24H30O13 | 34.607 | 525.15948 | 525.16027 | 1.504 | 231.00241, 187.06839 | |
| 15a | Sennoside B | C42H38O20 | 36.768 | 861.18451 | 861.18727 | 3.205 | 699.18365, 537.19580 | |
| 16 | B | Unresolved | C30H26O9 | 40.097 | 529.14813 | 529.14931 | 2.230 | 511.18488, 419.10254, 393.30389, 273.17346, 255.05096, 229.12079 |
| 17a | Quercitrin | C21H20O11 | 42.038 | 447.0916 | 447.09219 | 1.320 | 301.04932 | |
| 18a | Sennoside A | C42H38O20 | 42.479 | 861.18585 | 861.18727 | 1.649 | 699.19208, 537.24115 | |
| 20 | C | Unresolved | C26H28O14 | 52.060 | 563.13892 | 563.13953 | 1.083 | 298.88858, 254.97116 |
| 23 | C | Unresolved | C22H38O13 | 67.345 | 509.22232 | 509.22287 | 1.080 | 425.15247, 407.11340, 305.01782 |
| 24b | An isomer of kaempferol | C15H10O6 | 68.709 | 285.03912 | 285.03936 | 0.842 | 267.08939, 241.06897, 217.02310, 199.07523, 174.97690, 150.96159 | |
| 25b | 1,3,8-Trihydroxy-6-methoxyanthraquinone | C15H10O6 | 73.540 | 285.03943 | 285.03936 | 0.246 | 270.00009, 240.98254, 226.09625 | |
| 26b | 9-[2-carboxy-4-hydroxy-10-oxo-5-[(2S,3R,4S,5S,6R)-3,4,5-trihydroxy-6-(hydroxymethyl)oxan-2-yl]oxy-9H-anthracen-9-yl]-4,5-dihydroxy-10-oxo-9H-anthracene-2-carboxylic acid | C36H28O15 | 74.393 | 699.13239 | 699.13445 | 2.946 | 655.15094, 537.12469 | |
| 27a | Naringenin | C15H12O5 | 76.180 | 271.06003 | 271.06010 | 0.258 | 176.96495, 150.87328, 118.95908, 92.97495 | |
| 28a | Kaempferol | C15H10O6 | 79.519 | 285.03922 | 285.03936 | 0.491 | 257.07129, 240.93329, 210.97031 | |
| 29 | D | Unresolved | C30H45O10 | 85.477 | 564.29437 | 564.29290 | 2.605 | 520.34570, 301.09589, 289.14099, 227.13184 |
| 30a | Rhein | C15H8O6 | 89.860 | 283.02362 | 283.02371 | 0.318 | 256.99457, 238.92233 | |
| 31b | 1-O-Methylchrysophanol | C15H10O5 | 96.553 | 269.04443 | 269.04445 | 0.074 | 253.97797, 225.87038 | |
| 32 | D | Unresolved | C18H32O4 | 98.540 | 311.22028 | 311.22169 | 4.531 | 261.02310, 201.12375 |
| 33a | Emodin | C15H10O5 | 102.796 | 269.04431 | 269.04445 | 0.520 | 240.99141, 224.98187 | |
| 34 | D | Unresolved | C17H26O3 | 105.780 | 277.17957 | 277.17982 | 0.902 | 233.14291, 205.13834 |
| 35 | D | Unresolved | C19H34O6 | 106.893 | 357.22681 | 357.22717 | 1.008 | 329.25873 |
| 36 | D | Unresolved | C15H22O2 | 112.957 | 233.15359 | 233.15361 | 0.086 | 218.13152, 164.77550, 146.82094 |
| Peak | Principal Component Values | |
|---|---|---|
| PC1 | PC2 | |
| a | −0.099 | −0.493 |
| b | −0.300 | 0.705 |
| c | 0.555 | 0.735 |
| d | −0.351 | 0.334 |
| f | 0.214 | 0.395 |
| g | 0.987 | 0.056 |
| i | 0.295 | 0.383 |
| j | 0.937 | 0.218 |
| l | 0.916 | 0.278 |
| m | 0.782 | −0.517 |
| r | 0.263 | 0.514 |
| s | 0.233 | 0.420 |
| t | 0.726 | 0.609 |
| u | 0.423 | 0.611 |
| v | −0.156 | −0.281 |
© 2018 by the authors. Licensee MDPI, Basel, Switzerland. This article is an open access article distributed under the terms and conditions of the Creative Commons Attribution (CC BY) license (http://creativecommons.org/licenses/by/4.0/).
Share and Cite
Tan, J.; Zheng, M.; Duan, S.; Zeng, Y.; Zhang, Z.; Cui, Q.; Zhang, J.; Hong, T.; Bai, J.; Du, S. Chemical Profiling and Screening of the Marker Components in the Fruit of Cassia fistula by HPLC and UHPLC/LTQ-Orbitrap MSn with Chemometrics. Molecules 2018, 23, 1501. https://doi.org/10.3390/molecules23071501
Tan J, Zheng M, Duan S, Zeng Y, Zhang Z, Cui Q, Zhang J, Hong T, Bai J, Du S. Chemical Profiling and Screening of the Marker Components in the Fruit of Cassia fistula by HPLC and UHPLC/LTQ-Orbitrap MSn with Chemometrics. Molecules. 2018; 23(7):1501. https://doi.org/10.3390/molecules23071501
Chicago/Turabian StyleTan, Jiawei, Mengcheng Zheng, Susu Duan, Yanling Zeng, Ziwei Zhang, Qingyu Cui, Jiamei Zhang, Tingting Hong, Jie Bai, and Shouying Du. 2018. "Chemical Profiling and Screening of the Marker Components in the Fruit of Cassia fistula by HPLC and UHPLC/LTQ-Orbitrap MSn with Chemometrics" Molecules 23, no. 7: 1501. https://doi.org/10.3390/molecules23071501
APA StyleTan, J., Zheng, M., Duan, S., Zeng, Y., Zhang, Z., Cui, Q., Zhang, J., Hong, T., Bai, J., & Du, S. (2018). Chemical Profiling and Screening of the Marker Components in the Fruit of Cassia fistula by HPLC and UHPLC/LTQ-Orbitrap MSn with Chemometrics. Molecules, 23(7), 1501. https://doi.org/10.3390/molecules23071501
