Synthesis, Spectroscopic Identification and Molecular Docking of Certain N-(2-{[2-(1H-Indol-2-ylcarbonyl)hydrazinyl](oxo)acetyl}phenyl)acetamides and N-[2-(2-{[2-(Acetylamino)phenyl](oxo)acetyl}hydrazinyl)-2-oxoethyl]-1H-indole-2-carboxamides: New Antimicrobial Agents
Abstract
1. Introduction
2. Results and Discussion
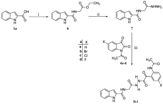
2.1. Chemistry
2.2. Antimicrobial Evaluation
2.3. Molecular Docking
3. Experimental
3.1. General
3.2. Chemistry
3.2.1. General Procedure for the Synthesis of the Target Compounds 5a–h
3.2.2. Synthesis of N-(2-Hydrazinyl-2-oxoethyl)-1H-indole-2-carboxamide (7)
3.2.3. General Procedure for the Synthesis of the Target Compounds 5i–l
3.3. Antimicrobial Activity
3.3.1. Isolates
3.3.2. Disk Diffusion Assay
3.3.3. Determination of Minimum Inhibitory Concentrations (MICs)
4. Conclusions
Supplementary Materials
Author Contributions
Acknowledgments
Conflicts of Interest
References
- De Sa, A.; Fernando, R.; Barreiro, E.J.; Fraga, M.; Alberto, C. From nature to drug discovery: The indole scaffold as a ‘privileged structure’. Mini Rev. Med. Chem. 2009, 9, 782–793. [Google Scholar] [CrossRef]
- Joshi, K.C.; Chand, P. Biologically active indole derivatives. Pharmazie 1982, 37, 1–12. [Google Scholar] [PubMed]
- Horton, D.A.; Bourne, G.T.; Smythe, M.L. The combinatorial synthesis of bicyclic privileged structures or privileged substructures. Chem. Rev. 2003, 103, 893–930. [Google Scholar] [CrossRef] [PubMed]
- Diss, L.B.; Robinson, S.D.; Wu, Y.; Fidalgo, S.; Yeoman, M.S.; Patel, B.A. Age-related changes in melatonin release in the murine distal colon. ACS Chem. Neurosci. 2013, 4, 879–887. [Google Scholar] [CrossRef] [PubMed]
- Chandra, T.; Garg, N.; Kumar, A. Synthesis and anti-inflammatory activity of indole derivatives. Int. J. ChemTech Res. 2010, 2, 762–773. [Google Scholar]
- Farghaly, A.-R. Synthesis of some new indole derivatives containing pyrazoles with potential antitumor activity. ARKIVOC 2010, 11, 177–187. [Google Scholar]
- Monge, A.; Aldana, I.; Alvarez, T.; Losa, M.; Font, M.; Cenarruzabeitia, E.; Lasheras, B.; Frechilla, D.; Castiella, E.; Fernandez-Alvarez, E. 1-Hydrazino-4-(3,5-dimethyl-1-pyrazolyl)-5H-pyridazino [4,5-b] indole. A new antihypertensive agent. Eur. J. Med. Chem. 1991, 26, 655–658. [Google Scholar] [CrossRef]
- Zhang, M.-Z.; Chen, Q.; Yang, G.-F. A review on recent developments of indole-containing antiviral agents. Eur. J. Med. Chem. 2015, 89, 421–441. [Google Scholar] [CrossRef] [PubMed]
- McClay, K.; Mehboob, S.; Yu, J.; Santarsiero, B.D.; Deng, J.; Cook, J.L.; Jeong, H.; Johnson, M.E.; Steffan, R.J. Indole trimers with antibacterial activity against Gram-positive organisms produced using combinatorial biocatalysis. AMB Expr. 2015, 5, 38. [Google Scholar] [CrossRef] [PubMed]
- El-Sawy, E.; Bassyouni, F.; Abu-Bakr, S.; Rady, H.; Abdlla, M. Synthesis and biological activity of some new 1-benzyl and 1-benzoyl-3-heterocyclic indole derivatives. Acta Pharm. 2010, 60, 55–71. [Google Scholar] [CrossRef] [PubMed]
- Csernus, V.; Mess, B. Biorhythms and pineal gland. Neuroendocrinol. Lett. 2003, 24, 404–411. [Google Scholar] [PubMed]
- Nosjean, O.; Ferro, M.; Cogé, F.; Beauverger, P.; Henlin, J.-M.; Lefoulon, F.; Fauchère, J.-L.; Delagrange, P.; Canet, E.; Boutin, J.A. Identification of the melatonin-binding site MT3 as the quinone reductase 2. J. Biol. Chem. 2000, 275, 31311–31317. [Google Scholar] [CrossRef] [PubMed]
- Tahan, G.; Gramignoli, R.; Marongiu, F.; Aktolga, S.; Cetinkaya, A.; Tahan, V.; Dorko, K. Melatonin expresses powerful anti-inflammatory and antioxidant activities resulting in complete improvement of acetic-acid-induced colitis in rats. Dig. Dis. Sci. 2011, 56, 715–720. [Google Scholar] [CrossRef] [PubMed]
- Lu, J.-J.; Fu, L.; Tang, Z.; Zhang, C.; Qin, L.; Wang, J.; Yu, Z.; Shi, D.; Xiao, X.; Xie, F. Melatonin inhibits AP-2β/hTERT, NF-κB/COX-2 and Akt/ERK and activates caspase/Cyto C signaling to enhance the antitumor activity of berberine in lung cancer cells. Oncotarget 2016, 7, 2985–3001. [Google Scholar] [PubMed]
- Attia, M.I.; Witt-Enderby, P.A.; Julius, J. Synthesis and pharmacological evaluation of pentacyclic 6a, 7-dihydrodiindole and 2, 3-dihydrodiindole derivatives as novel melatoninergic ligands. Bioorg. Med. Chem. 2008, 16, 7654–7661. [Google Scholar] [CrossRef] [PubMed]
- Attia, M.I.; Güclü, D.; Hertlein, B.; Julius, J.; Witt-Enderby, P.A.; Zlotos, D.P. Synthesis, NMR conformational analysis and pharmacological evaluation of 7, 7a, 13, 14-tetrahydro-6 H-cyclobuta[b]pyrimido[1, 2-a: 3, 4-a′]diindole analogues as melatonin receptor ligands. Org. Biomol. Chem. 2007, 5, 2129–2137. [Google Scholar] [CrossRef] [PubMed]
- Pandeya, S.N.; Smitha, S.; Jyoti, M.; Sridhar, S.K. Biological activities of isatin and its derivatives. Acta Pharm. 2005, 55, 27–46. [Google Scholar] [PubMed]
- Zou, H.; Zhang, L.; Ouyang, J.; Giulianotti, M.A.; Yu, Y. Synthesis and biological evaluation of 2-indolinone derivatives as potential antitumor agents. Eur. J. Med. Chem. 2011, 46, 5970–5977. [Google Scholar] [CrossRef] [PubMed]
- Bhattacharya, S.K.; Chakrabarti, A. Dose-related proconvulsant and anticonvulsant activity of isatin, a putative biological factor, in rats. Indian j. Exp. Biol. 1998, 36, 118–121. [Google Scholar] [PubMed]
- Pandeya, S.; Sriram, D.; Nath, G.; De Clercq, E. Synthesis, antibacterial, antifungal and anti-HIV evaluation of Schiff and Mannich bases of isatin derivatives with 3-amino-2-methyl mercapto quinazolin-4(3H)-one. Pharm. Acta Helv. 1999, 74, 11–17. [Google Scholar] [CrossRef]
- Aldilla, V.R.; Nizalapur, S.; Martin, A.; Marjo, C.E.; Rich, A.; Yee, E.; Suwannakot, P.; Black, D.S.; Thordarson, P.; Kumar, N. Design, synthesis, and characterisation of glyoxylamide-based short peptides as self-assembled gels. New J. Chem. 2017, 41, 13462–13471. [Google Scholar] [CrossRef]
- Chen, J.; Cunico, R.F. Synthesis of α-Ketoamides from a carbamoylsilane and acid chlorides. J. Org. Chem. 2004, 69, 5509–5511. [Google Scholar] [CrossRef] [PubMed]
- Chen, Y.-H.; Zhang, Y.-H.; Zhang, H.-J.; Liu, D.-Z.; Gu, M.; Li, J.-Y.; Wu, F.; Zhu, X.-Z.; Li, J.; Nan, F.-J. Design, synthesis, and biological evaluation of isoquinoline-1,3,4-trione derivatives as potent caspase-3 inhibitors. J. Med. Chem. 2006, 49, 1613–1623. [Google Scholar] [CrossRef] [PubMed]
- James, D.A.; Koya, K.; Li, H.; Liang, G.; Xia, Z.; Ying, W.; Wu, Y.; Sun, L. Indole-and indolizine-glyoxylamides displaying cytotoxicity against multidrug resistant cancer cell lines. Bioorg. Med. Chem. Lett. 2008, 18, 1784–1787. [Google Scholar] [CrossRef] [PubMed]
- Al-Wabli, R.I.; Salman, A.; Shyni, V.; Ghabbour, H.A.; Joe, I.H.; Almutairi, M.S.; Maklad, Y.A.; Attia, M.I. Synthesis, crystal structure, vibrational profiling, DFT studies and molecular docking of N-(4-chloro-2-{[2-(1H-indol-2-ylcarbonyl)hydrazinyl](oxo)acetyl}phenyl)acetamide. DMSO: A new antiproliferative agent. J. Mol. Struct. 2018, 1155, 457–468. [Google Scholar] [CrossRef]
- Li, Z.; Wan, H.; Shi, Y.; Ouyang, P. Personal experience with four kinds of chemical structure drawing software: Review on ChemDraw, ChemWindow, ISIS/Draw, and ChemSketch. J. Chem. Inf. Comput. Sci. 2004, 44, 1886–1890. [Google Scholar] [CrossRef] [PubMed]
- SchuÈttelkopf, A.W.; van Aalten, D.M. PRODRG: A tool for high-throughput crystallography of protein–ligand complexes. Acta Crystallogr. Sect. D: Biol. Crystallogr. 2004, 60, 1355–1363. [Google Scholar] [CrossRef] [PubMed]
- Kotaiah, Y.; Nagaraju, K.; Harikrishna, N.; Rao, C.V.; Yamini, L.; Vijjulatha, M. Synthesis, docking and evaluation of antioxidant and antimicrobial activities of novel 1,2,4-triazolo[3,4-b][1,3,4] thiadiazol-6-yl)selenopheno [2,3-d]pyrimidines. Eur. J. Med. Chem. 2014, 75, 195–202. [Google Scholar] [CrossRef] [PubMed]
- Podust, L.M.; Poulos, T.L.; Waterman, M.R. Crystal structure of cytochrome P450 14α-sterol demethylase (CYP51) from Mycobacterium tuberculosis in complex with azole inhibitors. Proc. Nat. Acad. Sci. USA 2001, 98, 3068–3073. [Google Scholar] [CrossRef] [PubMed]
- Rose, P.W.; Prlić, A.; Altunkaya, A.; Bi, C.; Bradley, A.R.; Christie, C.H.; Costanzo, L.D.; Duarte, J.M.; Dutta, S.; Feng, Z.; et al. The RCSB protein data bank: Integrative view of protein, gene and 3D structural information. Nucleic Acids Res. 2017, 45, D271–D281. [Google Scholar] [PubMed]
- Morris, G.M.; Huey, R.; Lindstrom, W.; Sanner, M.F.; Belew, R.K.; Goodsell, D.S.; Olson, A.J. AutoDock4 and AutoDockTools4: Automated docking with selective receptor flexibility. J. Comput. Chem. 2009, 30, 2785–2791. [Google Scholar] [CrossRef] [PubMed]
- Sanner, M.F. Python: A programming language for software integration and development. J. Mol. Graph. Model. 1999, 17, 57–61. [Google Scholar] [PubMed]
- Almutairi, M.S.; Ghabbour, H.A.; Attia, M.I. Crystal structure of methyl 1H-indole-2-carboxylate, C10H9NO2. Z. Krist. New Cryst. Struct. 2017, 232, 431–432. [Google Scholar] [CrossRef]
- Al-Wabli, R.I.; Zakaria, A.S.; Attia, M.I. Synthesis, spectroscopic characterization and antimicrobial potential of certain new isatin-indole molecular hybrids. Molecules 2017, 22, 1958. [Google Scholar] [CrossRef] [PubMed]
- Pigulla, J.; Röder, E. Darstellung von Indol-2-carboxamiden und Estern von (Indol-2-ylcarbonylamino)carbonsäuren nach der Imidazolidmethode. Arch. Pharm. 1979, 312, 12–18. [Google Scholar] [CrossRef]
- Attia, M.I.; Ghabbour, H.A.; Fun, H.-K. Crystal structure of methyl 5-methoxy 1H-indole-2-carboxylate, C11H11NO3. Z. Krist. New Cryst. Struct. 2016, 231, 313–314. [Google Scholar] [CrossRef]
- Boraei, A.T.; El Ashry, E.S.H.; Barakat, A.; Ghabbour, H.A. Synthesis of new functionalized indoles based on ethyl indol-2-carboxylate. Molecules 2016, 21, 333. [Google Scholar] [CrossRef] [PubMed]
- Almutairi, M.S.; Zakaria, A.S.; Ignasius, P.P.; Al-Wabli, R.I.; Joe, I.H.; Attia, M.I. Synthesis, spectroscopic investigations, DFT studies, molecular docking and antimicrobial potential of certain new indole-isatin molecular hybrids: Experimental and theoretical approaches. J. Mol. Struct. 2018, 1153, 333–345. [Google Scholar] [CrossRef]
- El-Faham, A.; Al Marhoon, Z.; Abdel-Megeed, A.; Albericio, F. OxymaPure/DIC: An efficient reagent for the synthesis of a aovel series of 4-[2-(2-acetylaminophenyl)-2-oxo-acetylamino]benzoyl amino acid ester derivatives. Molecules 2013, 18, 14747–14759. [Google Scholar] [CrossRef] [PubMed]
- Azevedo, L.D.; Bastos, M.M.; Vasconcelos, F.C.; Hoelz, L.V.; Junior, F.P.; Dantas, R.F.; de Almeida, A.C.; de Oliveira, A.P.; Gomes, L.C.; Maia, R.C. Imatinib derivatives as inhibitors of K562 cells in chronic myeloid leukemia. Med. Chem. Res. 2017, 26, 2929–2941. [Google Scholar] [CrossRef]
Sample Availability: Samples of the synthesized compounds are available from the corresponding author. |

| Compound No. | R | X |
| 5a | H | H |
| 5b | H | Br |
| 5c | H | Cl |
| 5d | H | F |
| 5e | OCH3 | H |
| 5f | OCH3 | Br |
| 5g | OCH3 | Cl |
| 5h | OCH3 | F |

| Compound No. | R | X |
| 5i | H | H |
| 5j | H | Br |
| 5k | H | Cl |
| 5l | H | F |

| Compound No. | DIZ in mm ± S.D.* | |||||||||||
|---|---|---|---|---|---|---|---|---|---|---|---|---|
| Strain | ||||||||||||
| Gram-Positive Bacteria | Gram-Negative Bacteria | Fungi | ||||||||||
| B. Subtilis | E. Fecalis | MRSA | S. Aureus | E. Coli | K. Pneumonia | P. Vulgaris | Ps. Aeruginosa | S. Enteridis | A. Niger | C. Albicans | P. Notatum | |
| 5a | 9 ± 0.0 | 9 ± 1.0 | 9 ± 0.0 | 19 ± 0.0 | 13 ± 0.9 | −ve | −ve | 13 ± 0.4 | 9 ± 0.0 | 8 ± 0.0 | 11 ± 0.4 | 15 ± 0.1 |
| 5b | 15 ± 1.0 | 9 ± 0.0 | −ve | 19 ± 0.0 | 19 ± 1.1 | 11 ± 0.6 | −ve | 14 ± 0.3 | 9 ± 0.0 | 8 ± 0.0 | 10 ± 0.3 | 15 ± 0.7 |
| 5c | 15 ± 0.8 | 9 ± 0.0 | 11 ± 0.4 | 21 ± 0.7 | 13 ± 0.3 | −ve | −ve | 9 ± 0.0 | 9 ± 0.0 | 17 ± 0.4 | 8 ± 0.0 | 18 ± 0.3 |
| 5d | 16 ± 0.2 | 18 ± 1.3 | 11 ± 0.0 | 14 ± 0.3 | 14 ± 0.8 | 11 ± 0.3 | −ve | 11 ± 0.3 | 9 ± 0.0 | 8 ± 0.0 | 14 ± 0.2 | 8 ± 0.0 |
| 5e | 11 ± 0.8 | 11 ± 0.0 | −ve | −ve | 13 ± 0.44 | −ve | −ve | 9 ± 0.2 | 9 ± 0.0 | 15 ± 0.7 | 14 ± 1.1 | 9 ± 0.5 |
| 5f | 9 ± 0.0 | 11 ± 0.6 | 13 ± 1.6 | 16 ± 0.5 | 14 ± 0.0 | −ve | −ve | 18 ± 0.5 | 15 ± 0.7 | 8 ± 0.0 | 18 ± 0.0 | 15 ± 1.6 |
| 5g | 9 ± 0.4 | 9 ± 0.5 | 11 ± 0.0 | 14 ± 0.4 | 15 ± 1.0 | −ve | −ve | 9 ± 0.0 | 9 ± 0.0 | 17 ± 0.1 | 18 ± 0.0 | 14 ± 1.0 |
| 5h | 22 ± 1.6 | 14 ± 0.3 | 11 ± 0.5 | 14 ± 0.4 | 14 ± 0.3 | −ve | 11 ± 0.7 | 11 ± 0.6 | 9 ± 0.0 | 11 ± 0.1 | 25 ± 1.6 | 16 ± 0.5 |
| 5i | 13 ± 0.6 | 12 ± 0.9 | −ve | 19 ± 0.0 | 17 ± 0.6 | −ve | −ve | 14 ± 0.5 | 16 ± 0.2 | 8 ± 0.0 | 11 ± 0.2 | 18 ± 1.2 |
| 5j | 12 ± 0.6 | 11 ± 0.2 | −ve | 9 ± 0.2 | 13 ± 0.2 | −ve | 11 ± 0.2 | 9 ± 0.7 | 9 ± 0.0 | 16 ± 0.5 | 13 ± 0.3 | 14 ± 0.5 |
| 5k | 14 ± 0.4 | 11 ± 0.5 | −ve | 9 ± 0.0 | 14 ± 0.0 | −ve | −ve | 9 ± 0.6 | 9 ± 0.1 | 8 ± 0.0 | 13 ± 1.0 | 16 ± 0.4 |
| 5l | 15 ± 0.4 | 9 ± 0.8 | −ve | 9 ± 0.0 | 14 ± 0.0 | −ve | −ve | 12 ± 0.8 | 9 ± 0.0 | 8 ± 0.0 | 15 ± 0.7 | 14 ± 0.5 |
| AMP | 30 ± 0.0 | −ve | 36 ± 0.7 | −ve | 45 ± 1.0 | 32 ± 0.4 | 18 ± 0.4 | 35 ± 1.0 | 30 ± 0.5 | ND | ND | ND |
| FLC | ND | ND | ND | ND | ND | ND | ND | ND | ND | 21 ± 0.5 | 16 ± 0.8 | 15 ± 0.0 |
| MIC Values (μg/mL) | |||||||||||||
|---|---|---|---|---|---|---|---|---|---|---|---|---|---|
| Compound No. | Strain Name | ||||||||||||
| Gram-Positive Bacteria | Gram-Negative Bacteria | Fungi | |||||||||||
| B. Subtilis | E. Fecalis | MRSA | S. Aureus | E. Coli | K. Pneumonia | P. Vulgaris | Ps. Aeruginosa | S. Enteridis | A. Niger | C. Albicans | P. Notatum | ||
| 5a | 500 | 500 | 500 | 125 | 125 | 500 | 250 | 125 | 500 | 250 | 250 | 125 | |
| 5b | 125 | 500 | 500 | 62.5 | 125 | 500 | 250 | 250 | 250 | 62.5 | 250 | 250 | |
| 5c | 250 | 500 | 500 | 3.9 | 125 | 500 | 250 | 125 | 125 | 250 | 250 | 250 | |
| 5d | 250 | 250 | >1000 | 31.25 | 125 | 500 | 250 | 62.5 | 250 | 15.6 | 62.5 | 62.5 | |
| 5e | 250 | 500 | 500 | 500 | 125 | 500 | 250 | 250 | 250 | 250 | 125 | 125 | |
| 5f | 250 | 500 | 500 | 250 | 125 | 500 | 250 | 250 | 500 | 250 | 125 | 250 | |
| 5g | 250 | 500 | 500 | 250 | 125 | 500 | 250 | 250 | 250 | 125 | 31.25 | 125 | |
| 5h | 62.5 | 125 | 500 | 250 | 250 | 500 | 250 | 250 | 500 | 31.25 | 7.8 | 62.5 | |
| 5i | 500 | 1000 | 500 | 62.5 | 62.5 | 500 | 250 | 125 | 125 | 125 | 250 | 250 | |
| 5j | 500 | 500 | 500 | 500 | 125 | 500 | 250 | 125 | 500 | 125 | 250 | 250 | |
| 5k | 500 | 500 | 500 | 500 | 62.5 | 500 | 1000 | 125 | 250 | 250 | 250 | 250 | |
| 5l | 250 | 1000 | 500 | 500 | 125 | 250 | 125 | 125 | 250 | 250 | 250 | 250 | |
| AMP | 15.6 | >1000 | <7.8 | >1000 | <7.8 | 250 | 500 | 3.9 | 1000 | ND | ND | ND | |
| FLC | ND | ND | ND | ND | ND | ND | ND | ND | ND | 15.6 | 31.25 | 250 | |
| Protein ID | Binding Energy (∆E) [kcal/mol] | Estimated Inhibition Constant (Ki) [μM] | Bounded Residues |
|---|---|---|---|
| 4DH6 | –7.88 | 1.67 | THR232, GLY230 and PRO70 |
| 1EA1 | –7.28 | 4.63 | ARG326, HIS392, GLN72, VAL395, and ASN102 |
© 2018 by the authors. Licensee MDPI, Basel, Switzerland. This article is an open access article distributed under the terms and conditions of the Creative Commons Attribution (CC BY) license (http://creativecommons.org/licenses/by/4.0/).
Share and Cite
Almutairi, M.S.; Zakaria, A.S.; Al-Wabli, R.I.; Joe, I.H.; Abdelhameed, A.S.; Attia, M.I. Synthesis, Spectroscopic Identification and Molecular Docking of Certain N-(2-{[2-(1H-Indol-2-ylcarbonyl)hydrazinyl](oxo)acetyl}phenyl)acetamides and N-[2-(2-{[2-(Acetylamino)phenyl](oxo)acetyl}hydrazinyl)-2-oxoethyl]-1H-indole-2-carboxamides: New Antimicrobial Agents. Molecules 2018, 23, 1043. https://doi.org/10.3390/molecules23051043
Almutairi MS, Zakaria AS, Al-Wabli RI, Joe IH, Abdelhameed AS, Attia MI. Synthesis, Spectroscopic Identification and Molecular Docking of Certain N-(2-{[2-(1H-Indol-2-ylcarbonyl)hydrazinyl](oxo)acetyl}phenyl)acetamides and N-[2-(2-{[2-(Acetylamino)phenyl](oxo)acetyl}hydrazinyl)-2-oxoethyl]-1H-indole-2-carboxamides: New Antimicrobial Agents. Molecules. 2018; 23(5):1043. https://doi.org/10.3390/molecules23051043
Chicago/Turabian StyleAlmutairi, Maha S., Azza S. Zakaria, Reem I. Al-Wabli, I. Hubert Joe, Ali S. Abdelhameed, and Mohamed I. Attia. 2018. "Synthesis, Spectroscopic Identification and Molecular Docking of Certain N-(2-{[2-(1H-Indol-2-ylcarbonyl)hydrazinyl](oxo)acetyl}phenyl)acetamides and N-[2-(2-{[2-(Acetylamino)phenyl](oxo)acetyl}hydrazinyl)-2-oxoethyl]-1H-indole-2-carboxamides: New Antimicrobial Agents" Molecules 23, no. 5: 1043. https://doi.org/10.3390/molecules23051043
APA StyleAlmutairi, M. S., Zakaria, A. S., Al-Wabli, R. I., Joe, I. H., Abdelhameed, A. S., & Attia, M. I. (2018). Synthesis, Spectroscopic Identification and Molecular Docking of Certain N-(2-{[2-(1H-Indol-2-ylcarbonyl)hydrazinyl](oxo)acetyl}phenyl)acetamides and N-[2-(2-{[2-(Acetylamino)phenyl](oxo)acetyl}hydrazinyl)-2-oxoethyl]-1H-indole-2-carboxamides: New Antimicrobial Agents. Molecules, 23(5), 1043. https://doi.org/10.3390/molecules23051043

