Abstract
A primary amine-salicylamide derived from chiral trans-cyclohexane-1,2-diamine was used as an organocatalyst for the enantioselective conjugate addition of aldehydes, mainly α,α-disubstituted to N-substituted maleimides. The reaction was performed in toluene as a solvent at room temperature. The corresponding enantioenriched adducts were obtained with high yields and enantioselectivities up to 94%. Theoretical calculations were used to justify the stereoinduction.
1. Introduction
Maleimides have been successfully used as building blocks in many asymmetric organocatalytic transformations for the preparation of compounds of interest [1]. Among the compounds that can be prepared by the organocatalytic functionalization of maleimides, succinimides are one of the most important since the succinimide moiety is present in natural products and some clinical drug candidates [2,3,4,5,6]. Moreover, succinimides can be transformed into other interesting compounds, such as γ-lactams [7,8], which are important in the treatment of HIV [9,10], epilepsy [11,12], and other neurological disorders [13].
The most direct way of preparing enantioenriched substituted succinimides is by the organocatalytic enantioselective conjugate addition of carbon nucleophiles to maleimides [1]. These carbon nucleophiles can be generated by the α-deprotonation of pro-nucleophiles bearing acidic α-hydrogens, such as 1,3-dicarbonyl compounds, by means of chiral organocatalysts that contain both a tertiary amine suitable to deprotonate the pro-nucleophile as well as an acidic moiety [1]. The subsequent formation of a close transition state, which involves the coordination of the maleimide to the catalyst by means of a hydrogen bond and the enolate generated after deprotonation by the tertiary amine, leads to an efficient enantioselective process.
However, when aldehydes are used as pro-nucleophiles, the α-deprotonation process becomes much more difficult. The corresponding conjugate addition can be obtained using primary amine-bearing organocatalysts that are amenable to create transition states after the formation of a transient enamine with the pro-nucleophile. Thus, the first organocatalytic Michael addition of aliphatic aldehydes to N-aryl-maleimides used α,α-phenylprolinol silyl ether 1 as an organocatalyst, affording much lower enantioselectivities when α,α-disubstituted aldehydes were employed [14] (Figure 1). This type of diarylated prolinol has also been employed as an organocatalyst working in ionic liquids, although only with linear aldehydes [15].
Figure 1.
Chiral organocatalysts employed in the enantioselective Michael addition of aldehydes to maleimides.
Different bifunctional primary amine-bearing organocatalysts are suitable to an additional coordination to the carbonyl group of the maleimide via hydrogen bonds, and are frequently prepared from chiral trans-cyclohexa-1,2-diamines. Taking into consideration this enamine-forming approach, these organocatalysts have been applied to the enantioselective Michael addition of aldehydes to maleimides, giving good enantioselectivities of the corresponding succinimides (Figure 1). Thus, the primary amine-thioureas 2 [16], 3 [17,18], 4 [19], and 5 [20], the beyerane-containing thiourea 6 [21], the isosteviol-derived thiourea 7 [22], the squaramide 8 [23], and even the calixarene-based thioureas [24,25], have been successfully employed. In addition, primary amino acid derivatives [26,27] and dipeptides have also been used [28], as well as a combination of Cinchona alkaloid-derived thioureas and primary amino acids [29] or Cinchona alkaloid-derived primary amines [30]. Other bifunctional primary amine-containing compounds used as organocatalysts in this transformation have been the diaminomethyleneindenedione derivative 9 [31], the ionic liquid-supported amide 10 [32], the guanidine 11 [33,34], the 2-aminopyrimidine 12 [35], the 2-benzimidazole 13 [36], the carbamate 14 [37,38,39], and the polymer-supported sulfonamides [40]. Even the simple non-derivatized chiral trans-cyclohexa-1,2-diamines have been used as organocatalysts [41].
Recently, our research group used a chiral primary amine-monosalicylamide from trans-cyclohexa-1,2-diamine (15 and ent-15, Figure 2) as an organocatalyst for the enantioselective Michael addition of α,α-disubstituted aldehydes to β-nitroalkenes, obtaining the corresponding γ-nitroaldehydes in an excellent chemical yield and with enantioselectivities up to 95% [42]. This study discusses the results that were obtained when this organocatalyst was employed in the enantioselective Michael addition of aldehydes to N-substituted maleimides. The results are explained by theoretical calculations.
Figure 2.
The organocatalyst employed in this study.
2. Results and Discussion
The primary amine-salicylamide 15 was prepared as reported by the monoamidation of (1R,2R)-cyclohexane-1,2-diamine with phenyl salicylate in refluxing propan-2-ol [42]. The search for the most appropriate reaction conditions (Table 1) was carried out using the model Michael addition reaction of isobutyraldehyde (16a) to N-phenylmaleimide (17a). Thus, the reaction organocatalyzed by 15 (10 mol%) in toluene as a solvent at room temperature afforded the corresponding substituted succinimide (R)-18aa almost quantitatively and in an excellent 94% ee after 2 days reaction time (Table 1, entry 1). The (R) absolute configuration of the final adduct was determined by comparing the elution order of the corresponding enantiomers in chiral HPLC with those in the literature [38]. The use of chlorinated solvents, such as dichloromethane or chloroform, afforded good yields but lower enantioselectivities for (R)-18aa (Table 1, entries 2 and 3).
Table 1.
Screening and optimization of the reaction conditions for the model enantioselective Michael addition.
When a 2/1 v/v mixture of DMF/H2O was used as a solvent, the enantiomeric (S)-18aa was obtained in 79% ee (Table 1, entry 4). This inversion in the enantioselectivity of the process was also observed when the related primary amine-monocarbamate 14 was employed as an organocatalyst, and attributed to a loss of the bifunctional character of the catalyst due to the competitive hydrogen-bond formation with water [38].
We also assayed the influence of the addition of some acid or basic additives. Thus, when benzoic acid (10 mol%) was added to the reaction mixture in toluene, (R)-18aa was obtained in only 77% ee (Table 1, entry 5), an enantioselectivity that rose up to 85% when LiCl was employed as a non-protic acid (Table 1, entry 6). The addition of an organic base, such as 4-N,N-dimethylaminopyridine (DMAP), gave similar ee than before, but in a much lower chemical yield (Table 1, entry 7).
We were curious to determine if the presence of the phenolic OH on the organocatalyst was the determinant for achieving a high enantioselectivity. Thus, as the organocatalyst, we employed the primary amine-containing benzamide 19, obtained by the reaction of (1S,2S)-cyclohexane-1,2-diamine with phenyl benzoate under similar conditions as 15 (Figure 3) [38]. However, under the above optimal reaction conditions, this organocatalyst 19 gave rise to adduct (S)-18aa in a lower 87% ee (Table 1, entry 8). Therefore, the presence of the phenolic OH in organocatalyst 15 had an influence on the enantioselectivity of the reaction. It is interesting to note that the use of a “related” monocarbamate organocatalyst 14 only gave a 67% ee for (S)-18aa when using toluene as a solvent [38].
Figure 3.
The OH-free organocatalyst employed in this study.
Next, we extended the enantioselective Michael addition reaction to other aldehydes 16 and maleimides 17 under the most favorable reaction conditions [15 (10 mol%), toluene, rt], the results of which are summarized in Table 2. The absolute configuration of the known succinimides 18 was assigned in accordance with the elution order of the enantiomers in chiral HPLC when compared to the literature (see Experimental Section).
Table 2.
Enantioselective Michael addition of aldehydes to maleimides organocatalyzed by 15.
Thus, when 16a reacted with N-arylmaleimides 17b and 17c bearing electron-donating groups on the phenyl ring, such as 4-methyl and 4-methoxy, the corresponding Michael adducts (R)-18ab and (R). 18ac were obtained with similar enantioselectivities (88% and 89%, respectively) (Table 2, entries 2 and 3). In addition, when the N-arylmaleimide 17d bearing a chloro group at the para-position was used, adduct (R)-18ad was obtained in an 88% ee (Table 2, entry 4). The presence of electron-withdrawing groups on the phenyl ring gave rise to a lower enantioselection. Thus, when the N-substituted maleimide 17e bearing a 4-acetyl group was employed with isobutyraldehyde, succinimide (R)-18ae was obtained in only a 13% ee (Table 2, entry 5). This value increased to 70% when maleimide 17f, bearing a 4-nitro group, was used as an electrophile (Table 2, entry 6). In addition, an N-alkylated maleimide, such as N-methylmaleimide (17g), was also used as an electrophile, affording succinimide (R)-18ag with a 82% ee (Table 2, entry 7). However, when the simple maleimide (17h) was employed, the final adduct (R)-18ah was isolated in a lower enantioselectivity (56%) (Table 2, entry 8).
We also explored the conjugate addition reaction of other α,α-disubstituted aldehydes with maleimide 17a. Thus, when cyclopentanecarbaldehyde (16b) was used, the corresponding Michael adduct (R)-18ba was isolated in an excellent yield and with an enantioselectivity of 82% (Table 2, entry 9). The use of cyclohexanecarbaldehyde (16c) as a pro-nucleophile gave only a 36% ee (Table 2, entry 10). In addition, when propionaldehyde (16d) was employed as a pro-nucleophile, a 1/1.2 mixture of diastereomers was isolated and (2S,3R)-18da and (2R,3R)-18da were obtained in 79% and 89% ee, respectively (Table 2, entry 11).
To acquire further insight into the origin of the enantioselectivity, we carried out theoretical calculations on the reaction between isobutyraldehyde 16a and maleimide 17a in the presence of organocatalyst 15. According to our previous computational results on a related process [38], the reaction proceeds by the formation of an enamine, followed by an attack to the electrophilic maleimide substrate through an endo transition state (Figure 4). We also considered the possible exo approach, but the higher activation energies were sufficient enough to discard its participation in the process. In this situation, the two faces of the enamine were clearly differentiated. If the approach of the maleimide occurred through the upper face (from our view), as it did in TS-1R, an efficient H-bond between the C=O group of maleimide and the NH group of the catalyst was formed. This activated the electrophile and induced a low activation barrier (15.2 kcal/mol) for the formation of the R product. If the approach of the two reactants was occurring from the other face, as it was in TS-1S, the carbonyl and NH moieties were far enough to avoid the formation of any effective H-bond, and the activation energy could not be lowered, resulting in a value of 20.3 kcal/mol. Thus, the high energy difference of the two transition states nicely explained the formation of the experimental major (R)-18aa isomer.
Figure 4.
Transition states for the formation of (R)-18aa (a) and the (S)-18aa (b) catalyzed by 15. 3D-Newman projections (left-figures), side views (middle-figures) and 2-D representations are shown.
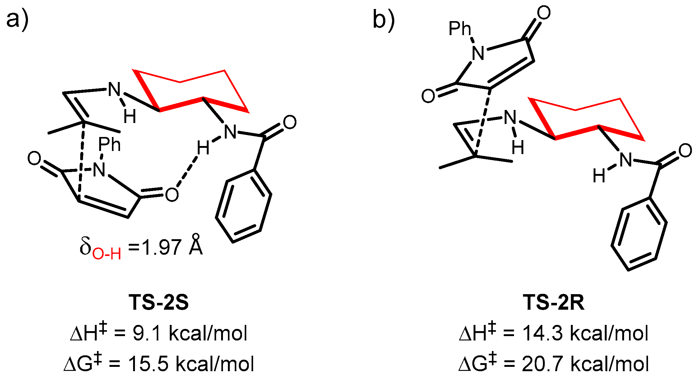
Meanwhile, the diastereomeric transition states for the reaction organocatalyzed by 19 were also computed. As mentioned before, catalyst 19 lacked the phenolic OH group, and showed similar reactivity and moderately lower enantioselectivity under similar conditions as catalyst 15 (Table 1, entries 1 and 8). Interestingly, the optimal transition states for 19 were located (TS-2S and TS-2R, Figure 5) and showed quite similar activation parameters as catalyst 15, although with enough differences to explain a moderate decrease in the enantioselectivity. For example, the Gibbs Free activation barriers leading to the two enantiomers were almost equivalent (15.2 vs 15.5 kcal/mol and 20.3 vs 20.7 kcal/mol), but the activation enthalpy difference between TS-1R and TS-1S was 6.3 kcal/mol, while the same value for TS-2S vs TS-2R was 5.2 kcal/mol. Thus, the presence of the OH induced a slight increase in the enthalpy gap between the two faces of the maleimide. Also, the critical H-bonding distances differed slightly, being shorter for TS-1R than for TS-2S (compare δO-H in Figure 4 and Figure 5). Thus, these data indicated that the H-bonding activation of the maleimide was optimal when the phenolic OH was present, lowering the enthalpy barrier in TS-1R the effects helped to increase the enantioselectivity observed when organocatalyst 15 was employed, rigidifying the NH-CO-Ar benzamide system, which reduced the conformational variability of catalyst 19.
Figure 5.
Transition states for the formation of (S)-18aa (a) and (R)-18aa (b) catalyzed by 19.
3. Experimental Section
3.1. General Information
All of the reagents and solvents employed were of the best grade available and were used without further purification. The 1H spectra were recorded at room temperature on a Bruker Oxford AV300 at 300 MHz, using TMS as the internal standard. Absolute configuration for adducts 18 was determined according to the order of elution of their enantiomers in chiral HPLC. Reference racemic samples of adducts 18 were obtained by performing the conjugate addition reaction using 4-methylbenzylamine (20 mol%) as an organocatalyst in toluene as a solvent at room temperature.
3.2. General Procedure for the Asymmetric Conjugate Addition Reaction
A solution of 15 (0.02 mmol, 4,7 mg) and the maleimide 17 (0.2 mmol) in toluene (0.5 mL) was added to the aldehyde 16 (0.4 mmol), and the mixture was stirred at rt for 48 h (TLC). The reaction was quenched with HCl 2 N (10 mL) and the mixture was extracted with AcOEt (3 × 10 mL). The organic phase was washed with saturated NaHCO3 (10 mL) and brine (10 mL), dried over MgSO4, filtered, and the solvent was then evaporated (15 Torr) to get the crude product, which was purified by silica gel chromatography (n-hexane/AcOEt gradients). Adducts 18 were identified by the comparison of their 1H-NMR data with those of the literature. Their enantiomeric excesses were determined by chiral HPLC using the conditions described in each case.
2-(2,5-Dioxo-1-phenylpyrrolidin-3-yl)-2-methylpropanal (18aa) [38]. White solid (48 mg, 98%); 1H-NMR (CDCl3): δH = 9.52 (s, 1H), 7.48 (m, 2H), 7.40 (m, 1H), 7.28 (m, 2H), 3.16 (dd, J = 9.5, 5.5 Hz, 1H), 2.99 (dd, J = 18.2, 9.5 Hz, 1H), 2.63 (dd, J = 18.2, 5.5 Hz, 1H), 1.34 (s, 3H), 1.29 (s, 3H) ppm; HPLC: Chiralcel OD-H, λ = 210 nm, n-hexane/2-propanol, 80:20, 1.0 mL/min, tr (minor) = 23.5 min, tr (major) = 27.2 min.
2-(2,5-Dioxo-1-(p-tolyl)pyrrolidin-3-yl)-2-methylpropanal (18ab) [23]. White solid (45 mg, 87%); 1H-NMR (CDCl3): δH 9.52 (s, 1H), 7.27 and 7.15 (AA’BB’ system, 4H), 3.15 (dd, J = 9.5, 5.4 Hz, 1H), 2.96 (dd, J = 18.3, 9.5 Hz, 1H), 2.60 (dd, J = 18.2, 5.4 Hz, 1H), 2.37 (s, 3H), 1.31 (s, 3H), 1.28 (s, 3H) ppm; HPLC: Chiralcel OD-H, λ = 210 nm, n-hexane/2-propanol, 80:20, 1.0 mL/min, tr (minor) = 18.9 min, tr (major) = 20.8 min.
2-(1-(4-Methoxyphenyl)-2,5-dioxopyrrolidin-3-yl)-2-methylpropanal (18ac) [17]. White solid (42 mg, 77%); 1H-NMR (CDCl3): δH = 9.52 (s, 1H), 7.19 and 6.98 (AA’BB’ system, 4H), 3.82 (s, 3H), 3.14 (dd, J = 9.5, 5.4 Hz, 1H), 2.97 (dd, J = 18.2, 9.4 Hz, 1H), 2.60 (dd, J = 18.2, 5.3 Hz, 1H), 1.33 (s, 3H), 1.28 (s, 3H) ppm; HPLC: Chiralpak AS-H, λ = 210 nm, n-hexane/2-propanol, 80:20, 1.0 mL/min): tr (minor) = 41.6 min, tr (major) = 44.4 min.
2-(1-(4-Chlorophenyl)-2,5-dioxopyrrolidin-3-yl)-2-methylpropanal (18ad) [38]. White solid (51 mg, 92%); 1H-NMR (CDCl3): δH = 9.49 (s, 1H), 7.45 and 7.25 (AA’BB’ system, 4H), 3.12 (dd, J = 9.5, 5.4 Hz, 1H), 2.98 (dd, J = 18.1, 9.5 Hz, 1H), 2.62 (dd, J = 18.1, 5.5 Hz, 1H), 1.37 (s, 3H), 1.29 (s, 3H) ppm; HPLC: Chiralcel OD-H, λ = 210 nm, n-hexane/2-propanol, 80:20, 1.0 mL/min, tr (minor) = 21.8 min, tr (major) = 37.0 min.
2-(1-(4-Acetylphenyl)-2,5-dioxopyrrolidin-3-yl)-2-methylpropanal (18ae) [38]. White solid (42 mg, 73%); 1H-NMR (CDCl3): δH = 9.50 (s, 1 H), 8.06 and 7.45 (AA’BB’ system, 4H), 3.14 (dd, J = 9.5, 5.5 Hz, 1H), 3.01 (dd, J = 18.1, 9.6 Hz, 1H), 2.66 (dd, J = 18.2, 5.6 Hz, 1 H), 2.62 (s, 3 H), 1.38 (s, 3 H), 1.31 (s, 3 H) ppm; HPLC: Chiralpak AS-H, λ = 210 nm, n-hexane/2-propanol, 80:20, 1.0 mL/min): tr (minor) = 31.6 min, tr (major) = 41.5 min.
2-Methyl-2-(1-(4-nitrophenyl)-2,5-dioxopyrrolidin-3-yl)propanal (18af) [24]. White solid (45 mg, 78%); 1H-NMR (CDCl3): δH = 9.47 (s, 1H), 8.35 and 7.60 (AA’BB’ system, 4H), 3.11 (dd, J = 9.6, 5.2 Hz, 1H), 3.02 (dd, J = 17.7, 9.6 Hz, 1H), 2.66 (dd, J = 17.7, 5.2 Hz, 1H), 1.43 (s, 3H), 1.32 (s, 3H) ppm; HPLC: Chiralpak AD-H, λ = 210 nm, n-hexane/2-propanol, 65:35, 1.0 mL/min, tr (minor) = 12.1 min, tr (major) = 26.6 min.
2-Methyl-2-(1-methyl-2,5-dioxopyrrolidin-3-yl)propanal (18ag) [38]. Colorless oil (33 mg, 91%); 1H-NMR (CDCl3): δH = 9.51 (s, 1H), 3.03 (dd, J = 9.3, 5.4 Hz, 1H), 2.98 (s, 3H), 2,83 (dd, J = 18.2, 9.3 Hz), 2.41 (dd, J = 18.2, 5.3 Hz, 1H), 1.23 (s, 3H), 1.21 (s, 3H) ppm; HPLC: Chiralpak AS-H, λ = 210 nm, n-hexane/2-propanol, 80:20, 1.0 mL/min, tr (major) = 12.8 min, tr (minor) = 14.2 min.
2-(2,5-Dioxopyrrolidin-3-yl)-2-methylpropanal (18ah) [38]. White solid (24 mg, 71%); 1H-NMR (CDCl3): δH = 9.49 (s, 1 H), 7.95 (br. s, 1 H), 3.09 (dd, J = 9.4, 5.8 Hz, 1H), 2.86 (dd, J = 18.4, 9.4 Hz, 1H), 2.51 (dd, J = 18.4, 5.8 Hz, 1H), 1.26 (s, 3H), 1.25 (s, 3H) ppm; HPLC: Chiralpak AD-H, λ = 210 nm, n-hexane/2-propanol, 80:20, 1.0 mL/min, tr (major) = 17.3 min, tr (minor) = 23.2 min.
1-(2,5-Dioxo-1-phenylpyrrolidin-3-yl)cyclopentane-1-carbaldehyde (18ba) [38]. White solid (50 mg, 93%); 1H-NMR (CDCl3): δH = 9.39 (s, 1H), 7.50–7.23 (m, 5H), 3.01 (m, 2H), 2.58 (dd, J = 17.6, 9.6 Hz, 1H), 2.30 (dd, J = 17.6, 5.2 Hz, 1H), 2.07-1.97 (m, 2H), 1.90-1.73 (m, 5H) ppm; HPLC: Chiralcel OD-H, λ = 210 nm, n-hexane/2-propanol, 80:20, 0.5 mL/min, tr (minor) = 21.8 min, tr (major) = 27.3 min.
1-(2,5-Dioxo-1-phenylpyrrolidin-3-yl)cyclohexane-1-carbaldehyde (18ca) [38]. White solid (48 mg, 84%); 1H-NMR (CDCl3): δH = 9.55 (s, 1H), 7.50–7.23 (m, 5H), 3.22 (dd, J = 9.4, 5.9 Hz, 1H), 2.88 (dd, J = 18.2, 9.4 Hz, 1H), 2.68 (dd, J = 18.1, 5.9 Hz, 1H), 1.99-1.45 (m, 10H) ppm; HPLC: Chiralcel OD-H, λ = 210 nm, n-hexane/2-propanol, 80:20, 0.9 mL/min, tr (minor) = 20.8 min, tr (major) = 25.7 min.
2-(2,5-Dioxo-1-phenylpyrrolidin-3-yl)propanal (18da) [38]. Yellow oil (45 mg, 98%); Mixture of diastereomers (ratio: 1/1.2*, 1H-NMR). 1H-NMR (CDCl3): δH = 9.63/9.54* (s, 1H), 7.43–7.19 (m, 10H), 3.33/3.20 (m, 1H), 3.10/3.00 (m, 1H), 3.02/2.97 (dd, J = 18.5, 9.6 Hz, 1H), 2.61/2.55 (dd, J = 17.9, 5.5 Hz, 1H), 1.30/1.25 (d, J = 7.8 Hz, 3H) ppm; HPLC: Chiralpak AD-H, λ = 210 nm, n-hexane/2-propanol, 80:20, 0.8 mL/min, diastereomer 1: tr (minor) = 17.5 min, tr (major) = 25.9 min, diastereomer 2: tr (minor)= 18.9 min, tr (major) = 19.7 min.
3.3. Computational Methods.
All reported structures were optimized at Density Functional Theory level using the B3LYP [43,44,45] functional as implemented in Gaussian 09 [46]. Optimizations were carried out with the 6-31G(d,p) basis set. The stationary points were characterized by frequency calculations to verify that they had the right number of imaginary frequencies. The reported energy values correspond to Gibbs Free energies, including single point refinements at M06-2X/6-311 + G(d,p) [47] level of theory in a solvent model (IEFPCM, toluene) [48,49,50] on the previously optimized structures (computed structures in the Supplementary Materials).
4. Conclusions
We conclude that a primary amine-salicylamides, prepared by a simple monoamidation of an enantiomerically pure trans-cyclohexane-1,2-diamine, acts as an efficient organocatalyst in the enantioselective conjugate addition of aldehydes to maleimides, leading to enantiomerically enriched succinimides. Good yields and enantioselectivities can be achieved working in toluene as a solvent at room temperature. Theoretical calculations suggest that the phenolic OH present in catalyst 15 helps to preorganize the system, inducing a more effective H-bonding of the benzamide NH towards the activation of the maleimide. The activation can only be effective in one of the faces of the maleimide (TS-1R), leading to a high degree of enantioselectivity with 15.
Supplementary Materials
The following are available online at http://www.mdpi.com/1420-3049/23/12/3299/s1, NMR spectra, HPLC chromatograms and cartesian coordinates of the computed structures.
Author Contributions
A.T.-C. and A.M. performed the experiments; G.G. and R.C. conceived and designed the experiments and wrote the paper; H.P.-F. carried out the theoretical calculations; E.G.-B. carried out the theoretical calculations and wrote the paper.
Funding
We thank the financial support from the Spanish Ministerio de Economía, Industria y Competitividad (CTQ2015-66624-P and CTQ201788171-P) and the University of Alicante (VIGROB-173). A.M. thanks SIGMA Clermont Chemistry Engineering Graduate School for an ERASMUS+ fellowship. We also thank the Basque Government (GIC15/03, IT1033-16) for financial support, and IZO/SGI SGIker of UPV/EHU for human and technical support.
Conflicts of Interest
The authors declare no conflict of interest.
References
- Chauhan, P.; Kaur, J.; Chimni, S.S. Asymmetric organocatalytic addition reactions of maleimides: A promising approach towards the synthesis of chiral succinimide derivatives. Chem. Asian J. 2013, 8, 328–346. [Google Scholar] [CrossRef] [PubMed]
- Malochet-Grivois, C.; Roussakis, C.; Robillard, N.; Biard, J.F.; Riou, D.; Debitus, C.; Verbist, J.F. Effects in vitro of two marine substances, chlorolissoclimide and dichlorolissoclimide, on a non-small-cell bronchopulmonary carcinoma line (NSCLC-N6). Anticancer Drug Des. 1992, 7, 493–502. [Google Scholar] [PubMed]
- Ando, Y.; Fuse, E.; Figg, W.D. Thalidomide metabolism by the CYP2C subfamily. Clin. Cancer Res. 2002, 8, 1964–1973. [Google Scholar] [PubMed]
- Freiberg, C.; Brunner, N.A.; Schiffer, G.; Lampe, T.; Pohlmann, J.; Brands, M.; Raabe, M.; Haebich, D.; Ziegelbauer, K. Identification and characterization of the first class of potent bacterial Acetyl-CoA carboxylase inhibitors with antibacterial activity. J. Biol. Chem. 2004, 279, 26066–26073. [Google Scholar] [CrossRef] [PubMed]
- Isaka, M.; Rugseree, N.; Maithip, P.; Kongsaeree, P.; Prabpai, S.; Thebtaranonth, Y. Hirsutellones A-E, antimycobacterial alkaloids from the insect pathogenic fungus Hirsutella nivea body centered cubic 2594. Tetrahedron 2005, 61, 5577–5583. [Google Scholar] [CrossRef]
- Uddin, J.; Ueda, K.; Siwu, E.R.O.; Kita, M.; Uemura, D. Cytotoxic labdane alkaloids from an ascidian Lissoclinum sp.: isolation, structure elucidation, and structure-activity relationship. Bioorg. Med. Chem. 2006, 14, 6954–6961. [Google Scholar] [CrossRef] [PubMed]
- Nöth, J.; Frankowski, K.J.; Neuenswander, B.; Aubé, J.; Reiser, O. Efficient synthesis of γ-lactams by a tandem reductive amination/lactamization sequence. J. Comb. Chem. 2008, 10, 456–459. [Google Scholar] [CrossRef] [PubMed]
- Fenster, E.; Hill, D.; Reiser, O.; Aube, J. Automated three-component synthesis of a library of γ-lactams. Beilstein J. Org. Chem. 2012, 8, 1804–1813. [Google Scholar] [CrossRef]
- Spaltenstein, A.; Almond, M.R.; Bock, W.J.; Cleary, D.G.; Furfine, E.S.; Hazen, R.J.; Kazmierski, W.M.; Salituro, F.G.; Tung, R.D.; Wright, L.L. Novel inhibitors of HIV protease: design, synthesis and biological evaluation of picomolar inhibitors containing cyclic P1/P2 scaffolds. Bioorg. Med. Chem. Lett. 2000, 10, 1159–1162. [Google Scholar] [CrossRef]
- Kazmierski, W.M.; Andrews, W.; Furfine, E.; Spaltenstein, A.; Wright, L. Discovery of potent pyrrolidone-based HIV-1 protease inhibitors with enhanced drug-like properties. Bioorg. Med. Chem. Lett. 2004, 14, 5689–5692. [Google Scholar] [CrossRef]
- Reddy, P.A.; Hsiang, B.C.H.; Latifi, T.N.; Hill, M.W.; Woodward, K.E.; Rothman, S.M.; Ferrendelli, J.A.; Covey, D.F. 3,3-Dialkyl- and 3-alkyl-3-benzyl-substituted 2-pyrrolidinones: A new class of anticonvulsant agents. J. Med. Chem. 1996, 39, 1898–1906. [Google Scholar] [CrossRef] [PubMed]
- Das Sarma, K.; Zhang, J.; Huang, Y.; Davidson, J.G. Amino acid esters and amides for reductive amination of mucochloric acid: synthesis of novel γ-lactams, short peptides and antiseizure agent Levetiracetam (Keppra). Eur. J. Org. Chem. 2006, 3730–3737. [Google Scholar] [CrossRef]
- Tang, K.; Zhang, J.-T. The effects of (-)-clausenamide on functional recovery in transient focal cerebral ischemia. Neurol. Res. 2002, 24, 473–478. [Google Scholar] [CrossRef] [PubMed]
- Zhao, G.-L.; Xu, Y.; Sundén, H.; Eriksson, L.; Sayah, M.; Cordova, A. Organocatalytic enantioselective conjugate addition of aldehydes to maleimides. Chem. Commun. 2007, 7, 734–735. [Google Scholar] [CrossRef] [PubMed]
- Qiao, Y.; Headley, A.D. A simple and highly effective water-compatible organocatalytic system for asymmetric direct Michael reactions of linear aldehydes to maleimides. Green Chem. 2013, 15, 2690–2694. [Google Scholar] [CrossRef]
- Xue, F.; Liu, L.; Zhang, S.; Duan, W.; Wang, W. A simple primary amine thiourea catalyzed highly enantioselective conjugate addition of α,α-disubstituted aldehydes to maleimides. Chem. Eur. J. 2010, 16, 7979–7982. [Google Scholar] [CrossRef]
- Bai, J.-F.; Peng, L.; Wang, L.-L.; Wang, L.-X.; Xu, X.-Y. Chiral primary amine thiourea promoted highly enantioselective Michael reactions of isobutylaldehyde with maleimides. Tetrahedron 2010, 66, 8928–8932. [Google Scholar] [CrossRef]
- Yu, F.; Jin, Z.; Huang, H.; Ye, T.; Liang, X.; Ye, J. A highly efficient asymmetric Michael addition of α,α-disubstituted aldehydes to maleimides catalyzed by primary amine thiourea salt. Org. Biomol. Chem. 2010, 8, 4767–4774. [Google Scholar] [CrossRef]
- Miura, T.; Masuda, A.; Ina, M.; Nakashima, K.; Nishida, S.; Tada, N.; Itoh, A. Asymmetric Michael reactions of α,α-disubstituted aldehydes with maleimides using a primary amine thiourea organocatalyst. Tetrahedron Asymmetry 2011, 22, 1605–1609. [Google Scholar] [CrossRef]
- Miura, T.; Nishida, S.; Masuda, A.; Tada, N.; Itoh, A. Asymmetric Michael additions of aldehydes to maleimides using a recyclable fluorous thiourea organocatalyst. Tetrahedron Lett. 2011, 52, 4158–4160. [Google Scholar] [CrossRef]
- Ma, Z.-W.; Liu, Y.-X.; Li, P.-L.; Ren, H.; Zhu, Y.; Tao, J.-C. A highly efficient large-scale asymmetric Michael addition of isobutyraldehyde to maleimides promoted by a novel multifunctional thiourea. Tetrahedron Asymmetry 2011, 22, 1740–1748. [Google Scholar] [CrossRef]
- Song, Z.T.; Zhang, T.; Du, H.L.; Ma, Z.W.; Zhang, C.H.; Tao, J.C. Highly enantioselective Michael addition promoted by a new diterpene-derived bifunctional thiourea catalyst: A doubly stereocontrolled approach to chiral succinimide derivatives. Chirality 2014, 26, 121–127. [Google Scholar] [CrossRef] [PubMed]
- Ma, Z.-W.; Liu, X.-F.; Liu, J.-T.; Liu, Z.-J.; Tao, J.-C. Highly enantioselective Michael addition of α,α-disubstituted aldehydes to maleimides catalyzed by new primary amine-squaramide bifunctional organocatalysts. Tetrahedron Lett. 2017, 58, 4487–4490. [Google Scholar] [CrossRef]
- Durmaz, M.; Sirit, A. Calixarene-based chiral primary amine thiourea promoted highly enantioselective asymmetric Michael reactions of α,α-disubstituted aldehydes with maleimides. Tetrahedron Asymmetry 2013, 24, 1443–1448. [Google Scholar] [CrossRef]
- De Simone, N.A.; Meninno, S.; Talotta, C.; Gaeta, C.; Neri, P.; Lattanzi, A. Solvent-free enantioselective Michael reactions catalyzed by a calixarene-based primary amine thiourea. J. Org. Chem. 2018, 83, 10318–10325. [Google Scholar] [CrossRef]
- Nugent, T.C.; Sadiq, A.; Bibi, A.; Heine, T.; Zeonjuk, L.L.; Vankova, N.; Bassil, B.S. Noncovalent bifunctional organocatalysts: Powerful tools for contiguous quaternary-tertiary stereogenic carbon formation, scope, and origin of enantioselectivity. Chem. Eur. J. 2012, 18, 4088–4098. [Google Scholar] [CrossRef] [PubMed]
- Kokotos, C.G. An asymmetric Michael addition of α,α-disubstituted aldehydes to maleimides leading to a one-pot enantioselective synthesis of lactones catalyzed by amino acids. Org. Lett. 2013, 15, 2406–2409. [Google Scholar] [CrossRef]
- Avila-Ortiz, C.G.; Diaz-Corona, L.; Jimenez-Gonzalez, E.; Juaristi, E. Asymmetric Michael addition organocatalyzed by α,β-dipeptides under solvent-free reaction conditions. Molecules 2017, 22, 1328. [Google Scholar] [CrossRef]
- Muramulla, S.; Ma, J.-A.; Zhao, J.C.-G. Michael addition of ketones and aldehydes to maleimides catalyzed by modularly designed organocatalysts. Adv. Synth. Catal. 2013, 355, 1260–1264. [Google Scholar] [CrossRef]
- Yang, W.; Jiang, K.-Z.; Lu, X.; Yang, H.-M.; Li, L.; Lu, Y.; Xu, L.-W. Molecular assembly of an achiral phosphine and a chiral primary amine: A highly efficient supramolecular catalyst for the enantioselective Michael reaction of aldehydes with maleimides. Chem. Asian J. 2013, 8, 1182–1190. [Google Scholar] [CrossRef]
- Nakashima, K.; Kawada, M.; Hirashima, S.-I.; Kosugi, A.; Kato, M.; Yoshida, A.; Koseki, Y.; Miura, T. Stereoselective conjugate addition of carbonyl compounds to maleimides using a diaminomethyleneindenedione organocatalyst. Tetrahedron Asymmetry 2016, 27, 888–895. [Google Scholar] [CrossRef]
- Kochetkov, S.V.; Kucherenko, A.S.; Zlotin, S.G. Asymmetric Michael addition of aldehydes to maleimides in primary amine-based aqueous ionic liquid-supported recyclable catalytic system. Mendeleev Commun. 2017, 27, 473–475. [Google Scholar] [CrossRef]
- Avila, A.; Chinchilla, R.; Nájera, C. Enantioselective Michael addition of α,α-disubstituted aldehydes to maleimides organocatalyzed by chiral primary amine-guanidines. Tetrahedron Asymmetry 2012, 23, 1625–1627. [Google Scholar] [CrossRef]
- Avila, A.; Chinchilla, R.; Gómez-Bengoa, E.; Nájera, C. Enantioselective synthesis of succinimides by Michael addition of aldehydes to maleimides organocatalyzed by chiral primary amine-guanidines. Eur. J. Org. Chem. 2013, 23, 5085–5092. [Google Scholar] [CrossRef]
- Vizcaíno-Milla, P.; Sansano, J.M.; Nájera, C.; Fiser, B.; Gómez-Bengoa, E. Primary amine-2-aminopyrimidine chiral organocatalysts for the enantioselective conjugate addition of branched aldehydes to maleimides. Synthesis 2015, 47, 2199–2206. [Google Scholar] [CrossRef]
- Fernandes, T.d.A.; Vizcaino-Milla, P.; Ravasco, J.M.J.M.; Ortega-Martinez, A.; Sansano, J.M.; Nájera, C.; Costa, P.R.R.; Fiser, B.; Gomez-Bengoa, E. Bifunctional primary amine 2-aminobenzimidazole organocatalyst anchored to trans-cyclohexane-1,2-diamine in enantioselective conjugate additions of aldehydes. Tetrahedron Asymmetry 2016, 27, 118–122. [Google Scholar] [CrossRef]
- Flores-Ferrándiz, J.; Chinchilla, R. Solvent-dependent enantioswitching in the Michael addition of α,α-disubstituted aldehydes to maleimides organocatalyzed by mono-N-BOC-protected cyclohexa-1,2-diamines. Tetrahedron Asymmetry 2014, 25, 1091–1094. [Google Scholar] [CrossRef]
- Flores-Ferrándiz, J.; Fiser, B.; Gómez-Bengoa, E.; Chinchilla, R. Solvent-induced reversal of enantioselectivity in the synthesis of succinimides by the addition of aldehydes to maleimides catalysed by carbamate-monoprotected 1,2-diamines. Eur. J. Org. Chem. 2015, 1218–1225. [Google Scholar] [CrossRef]
- Flores-Ferrándiz, J.; Chinchilla, R. Organocatalytic enantioselective conjugate addition of aldehydes to maleimides in deep eutectic solvents. Tetrahedron Asymmetry 2017, 28, 302–306. [Google Scholar] [CrossRef]
- Szőllősi, G.; Kozma, V. Design of heterogeneous organocatalyst for the asymmetric Michael addition of aldehydes to maleimides. ChemCatChem 2018. [Google Scholar] [CrossRef]
- Avila, A.; Chinchilla, R.; Gómez-Bengoa, E.; Nájera, C. Enantioselective Michael addition of aldehydes to maleimides organocatalyzed by chiral 1,2-diamines: an experimental and theoretical study. Tetrahedron Asymmetry 2013, 24, 1531–1535. [Google Scholar] [CrossRef]
- Martínez-Guillén, J.R.; Flores-Ferrándiz, J.; Gómez, C.; Gómez-Bengoa, E.; Chinchilla, R. Asymmetric conjugate addition of α,α-disubstituted aldehydes to nitroalkenes organocatalyzed by chiral monosalicylamides from trans-cyclohexane-1,2-diamines. Molecules 2018, 23, 141. [Google Scholar] [CrossRef]
- Lee, C.; Yang, W.; Parr, R.G. Development of the Colle-Salvetti correlation-energy formula into a functional of the electron density. Phys. Rev. B Condens. Matter 1988, 37, 785–789. [Google Scholar] [CrossRef]
- Becke, A.D. Density-functional thermochemistry. III. The role of exact exchange. J. Chem. Phys. 1993, 98, 5648–5652. [Google Scholar] [CrossRef]
- Kohn, W.; Becke, A.D.; Parr, R.G. Density functional theory of electronic structure. J. Phys. Chem. 1996, 100, 12974–12980. [Google Scholar] [CrossRef]
- Frisch, M.J.; Trucks, G.W.; Schlegel, H.B.; Scuseria, G.E.; Robb, M.A.; Cheeseman, J.R.; Scalmani, G.; Barone, V.; Mennucci, B.; Petersson, G.A.; et al. Gaussian 09, Revision D.01; Gaussian Inc.: Wallingford, CT, USA, 2013. [Google Scholar]
- Zhao, Y.; Truhlar, D.G. The M06 suite of density functionals for main group thermochemistry, thermochemical kinetics, noncovalent interactions, excited states, and transition elements: two new functionals and systematic testing of four M06-class functionals and 12 other functionals. Theor. Chem. Acc. 2008, 120, 215–241. [Google Scholar]
- Cancès, E.; Mennucci, B.; Tomasi, J. A new integral equation formalism for the polarizable continuum model: theoretical background and applications to isotropic and anisotropic dielectrics. J. Chem. Phys. 1997, 107, 3032–3041. [Google Scholar] [CrossRef]
- Cossi, M.; Barone, V.; Mennucci, B.; Tomasi, J. Ab initio study of ionic solutions by a polarizable continuum dielectric model. Chem. Phys. Lett. 1998, 286, 253–260. [Google Scholar] [CrossRef]
- Tomasi, J.; Mennucci, B.; Cancès, E. The IEF version of the PCM solvation method: an overview of a new method addressed to study molecular solutes at the QM ab initio level. J. Mol. Struct. THEOCHEM 1999, 464, 211–226. [Google Scholar] [CrossRef]
Sample Availability: Samples of the compounds 15 and 19 are available from the authors. |
© 2018 by the authors. Licensee MDPI, Basel, Switzerland. This article is an open access article distributed under the terms and conditions of the Creative Commons Attribution (CC BY) license (http://creativecommons.org/licenses/by/4.0/).






