Molecular Mechanism of Action of RORγt Agonists and Inverse Agonists: Insights from Molecular Dynamics Simulation
Abstract
1. Introduction
2. Methods and Materials
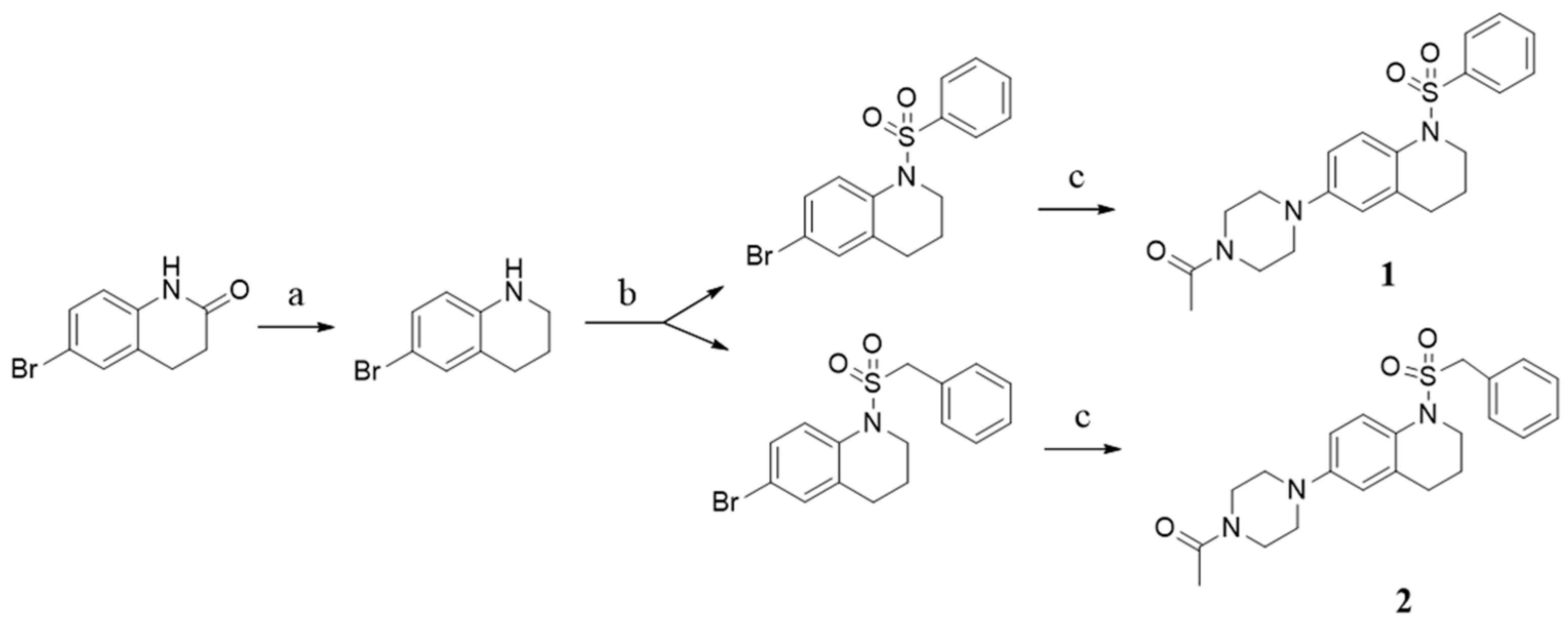
2.1. Chemical Synthesis
2.2. RORγt Based dual FRET Assay
2.3. Mouse Cell Th17 Differentiation Assay
2.4. Molecular Docking
2.5. System Preparation for MD
2.6. MD Simulations
3. Design, Results, and Discussion
3.1. Compound Design
3.2. Biologically Evaluated RORγt Agonist 1 and Inverse Agonist 2
3.3. The Binding Modes of RORγt Agonist 1 and Inverse Agonist 2
3.4. Correlation between the Stability of H12 and Hydrophobic Interaction among H11, H11′, and H12
3.5. The Key Role of Trp317 in Agonism and Inverse Agonism of RORγt
4. The Molecular Mechanism of Action of RORγt Agonist and Inverse Agonist
5. Conclusions
Supplementary Materials
Author Contributions
Funding
Acknowledgments
Conflicts of Interest
References
- Jetten, A.M.; Kurebayashi, S.; Ueda, E. The ROR nuclear orphan receptor subfamily: Critical regulators of multiple biological processes. Prog. Nucleic Acid Res. Mol. Biol. 2001, 69, 205–247. [Google Scholar] [PubMed]
 - Dyring-Andersen, B.; Skov, L.; Zachariae, C. Ixekizumab for treatment of psoriasis. Expert Rev. Clin. Immunol. 2015, 11, 435–442. [Google Scholar] [CrossRef] [PubMed]
 - Pandya, V.B.; Kumar, S.; Sachchidanand; Sharma, R.; Desai, R.C. Combating Autoimmune Diseases with Retinoic Acid Receptor-Related Orphan Receptor-γ (RORγ or RORc) Inhibitors: Hits and Misses. J. Med. Chem. 2018. [Google Scholar] [CrossRef] [PubMed]
 - Fauber, B.P.; Magnuson, S. Modulators of the Nuclear Receptor Retinoic Acid Receptor-Related Orphan Receptor-γ (RORγ or RORc). J. Med. Chem. 2014, 57, 5871–5892. [Google Scholar] [CrossRef] [PubMed]
 - Mease, P.J.; McInnes, I.B.; Kirkham, B.; Kavanaugh, A.; Rahman, P.; Van Der Heijde, D.; Landewé, R.; Nash, P.; Pricop, L.; Yuan, J.; et al. Secukinumab Inhibition of Interleukin-17A in Patients with Psoriatic Arthritis. N. Engl. J. Med. 2015, 373, 1329–1339. [Google Scholar] [CrossRef] [PubMed]
 - Gege, C. RORgammat inhibitors as potential back-ups for the phase II candidate VTP-43742 from Vitae Pharmaceuticals: Patent evaluation of WO2016061160 and US20160122345. Expert Opin. Ther. Pat. 2017, 27, 1–8. [Google Scholar] [CrossRef] [PubMed]
 - Kang, E.G.; Wu, S.; Gupta, A.; Mackensen, Y.-L.; Siemetzki, H.; Freudenberg, J.M.; Wigger-Alberti, W.; Yamaguchi, Y. A phase I randomized controlled trial to evaluate safety and clinical effect of topically applied GSK2981278 ointment in a psoriasis plaque test. Br. J. Dermatol. 2018, 178, 1427–1429. [Google Scholar] [CrossRef]
 - Kono, M.; Ochida, A.; Oda, T.; Imada, T.; Banno, Y.; Taya, N.; Masada, S.; Kawamoto, T.; Yonemori, K.; Nara, Y.; et al. Discovery of [cis-3-({(5R)-5-[(7-Fluoro-1,1-dimethyl-2,3-dihydro-1H-inden-5-yl)carbamoyl]-2-methoxy-7,8-dihydro-1,6-naphthyridin-6(5H)-yl}carbonyl)cyclobutyl]acetic Acid (TAK-828F) as a Potent, Selective, and Orally Available Novel Retinoic Acid Receptor-Related Orphan Receptor γt Inverse Agonist. J. Med. Chem. 2018, 61, 2973–2988. [Google Scholar]
 - Hu, X.; Liu, X.; Moisan, J.; Wang, Y.; Lesch, C.A.; Spooner, C.; Morgan, R.W.; Zawidzka, E.M.; Mertz, D.; Bousley, D.; et al. Synthetic RORγ agonists regulate multiple pathways to enhance antitumor immunity. OncoImmunology 2016, 5, e1254854. [Google Scholar] [CrossRef]
 - Qiu, R.; Wang, Y. Retinoic Acid Receptor-Related Orphan Receptor γt (RORγt) Agonists as Potential Small Molecule Therapeutics for Cancer Immunotherapy. J. Med. Chem. 2018, 61, 5794–5804. [Google Scholar] [CrossRef]
 - Martin-Orozco, N.; Muranski, P.; Chung, Y.; Yang, X.O.; Yamazaki, T.; Lu, S.; Hwu, P.; Restifo, N.P.; Overwijk, W.W.; Dong, C. T Helper 17 Cells Promote Cytotoxic T Cell Activation in Tumor Immunity. Immunity 2009, 31, 787–798. [Google Scholar] [CrossRef] [PubMed]
 - Kargbo, R.B. ROR(GMMA)T Modulating Activity for the Treatment of Cancers. ACS Med. Chem. Lett. 2018, 9, 590–591. [Google Scholar] [CrossRef] [PubMed]
 - Chellappa, S.; Hugenschmidt, H.; Hagness, M.; Subramani, S.; Melum, E.; Line, P.D.; Labori, K.J.; Wiedswang, G.; Tasken, K.; Aandahl, E.M. CD8+ T Cells That Coexpress RORgammat and T-bet Are Functionally Impaired and Expand in Patients with Distal Bile Duct Cancer. J. Immunol. 2017, 198, 1729–1739. [Google Scholar] [CrossRef] [PubMed]
 - Mahalingam, D.; Schreeder, M.; Nemunaitis, J.; Wang, J.S.; Wilkins, H.J.; Hamilton, E.P. A First-in-human, Open-label, Multicenter Phase 1/2a Study to Evaluate the Safety and Efficacy of Increased Repeated Doses of the First-in-class RORγ Agonist LYC-55716 in Treating Locally Advanced or Metastatic Solid Tumors. Ann. Oncol. 2017, 28. [Google Scholar] [CrossRef]
 - Huh, J.R.; Leung, M.W.L.; Huang, P.X.; Ryan, D.A.; Krout, M.R.; Malapaka, R.R.V.; Chow, J.; Manel, N.; Ciofani, M.; Kim, S.V.; et al. Digoxin and its derivatives suppress T(H)17 cell differentiation by antagonizing ROR gamma t activity. Nature 2011, 472, 486–490. [Google Scholar] [CrossRef] [PubMed]
 - Kumar, N.; Lyda, B.; Chang, M.R.; Lauer, J.L.; Solt, L.A.; Burris, T.P.; Kamenecka, T.M.; Griffin, P.R. Identification of SR2211: A potent synthetic RORgamma-selective modulator. ACS Chem. Biol. 2012, 7, 672–677. [Google Scholar] [CrossRef] [PubMed]
 - Bronner, S.M.; Zbieg, J.R.; Crawford, J.J. RORγ antagonists and inverse agonists: A patent review. Expert Opin. Ther. Pat. 2017, 27, 101–112. [Google Scholar] [CrossRef]
 - Gege, C. Retinoid-related orphan receptor gamma t (RORgammat) inhibitors from Vitae Pharmaceuticals (WO2015116904) and structure proposal for their Phase I candidate VTP-43742. Expert Opin. Ther. Pat. 2016, 26, 737–744. [Google Scholar] [CrossRef]
 - Abdel-Magid, A.F. RORc Modulators for the Treatment of Autoimmune Diseases. ACS Med. Chem. Lett. 2015, 6, 958–960. [Google Scholar] [CrossRef]
 - Abdel-Magid, A.F. RORgammat Modulators Are Potentially Useful for the Treatment of the Immune-Mediated Inflammatory Diseases. ACS Med. Chem. Lett. 2014, 5, 844–845. [Google Scholar] [CrossRef]
 - Marcotte, D.J.; Liu, Y.; Little, K.; Jones, J.H.; Powell, N.A.; Wildes, C.P.; Silvian, L.F.; Chodaparambil, J.V. Structural determinant for inducing RORgamma specific inverse agonism triggered by a synthetic benzoxazinone ligand. BMC Struct. Biol. 2016, 16, 1–9. [Google Scholar] [CrossRef] [PubMed]
 - René, O.; Fauber, B.P.; Boenig, G.d.L.; Burton, B.; Eidenschenk, C.; Everett, C.; Gobbi, A.; Hymowitz, S.G.; Johnson, A.R.; Kiefer, J.R.; et al. Minor Structural Change to Tertiary Sulfonamide RORc Ligands Led to Opposite Mechanisms of Action. ACS Med. Chem. Lett. 2015, 6, 276–281. [Google Scholar] [CrossRef] [PubMed]
 - Wang, Y.; Cai, W.; Cheng, Y.; Yang, T.; Liu, Q.; Zhang, G.; Meng, Q.; Han, F.; Huang, Y.; Zhou, L.; et al. Discovery of Biaryl Amides as Potent, Orally Bioavailable, and CNS Penetrant RORγt Inhibitors. ACS Med. Chem. Lett. 2015, 6, 787–792. [Google Scholar] [CrossRef] [PubMed]
 - Wang, Y.; Cai, W.; Tang, T.; Liu, Q.; Yang, T.; Yang, L.; Ma, Y.; Zhang, G.; Huang, Y.; Song, X.; et al. From RORγt Agonist to Two Types of RORγt Inverse Agonists. ACS Med. Chem. Lett. 2018, 9, 120–124. [Google Scholar] [CrossRef]
 - Yang, T.; Liu, Q.; Cheng, Y.; Cai, W.; Ma, Y.; Yang, L.; Wu, Q.; Orband-Miller, L.A.; Zhou, L.; Xiang, Z.; et al. Discovery of Tertiary Amine and Indole Derivatives as Potent RORγt Inverse Agonists. ACS Med. Chem. Lett. 2013, 5, 65–68. [Google Scholar] [CrossRef] [PubMed]
 - Li, X.; Anderson, M.; Collin, D.; Muegge, I.; Wan, J.; Brennan, D.; Kugler, S.; Terenzio, D.; Kennedy, C.; Lin, S.; et al. Structural studies unravel the active conformation of apo RORγt nuclear receptor and a common inverse agonism of two diverse classes of RORγt inhibitors. J. Biol. Chem. 2017, 292, 11618–11630. [Google Scholar] [CrossRef] [PubMed]
 - Hess, B.; Kutzner, C.; van der Spoel, D.; Lindahl, E. GROMACS 4: Algorithms for Highly Efficient, Load-Balanced, and Scalable Molecular Simulation. J. Chem. Theory Comput. 2008, 4, 435–447. [Google Scholar] [CrossRef]
 - Schoenberg, R.; Arminger, G. LINCS: Linear Convariance Structure Analysis. Multivar. Behav. Res. 1988, 23, 271–273. [Google Scholar] [CrossRef]
 - Kabsch, W.; Sander, C. Dictionary of protein secondary structure: Pattern recognition of hydrogen-bonded and geometrical features. Biopolymers 1983, 22, 2577–2637. [Google Scholar] [CrossRef]
 - Olsson, R.I.; Xue, Y.; von Berg, S.; Aagaard, A.; McPheat, J.; Hansson, E.L.; Bernström, J.; Hansson, P.; Jirholt, J.; Grindebacke, H.; et al. Benzoxazepines Achieve Potent Suppression of IL-17 Release in Human T-Helper 17 (TH17) Cells through an Induced-Fit Binding Mode to the Nuclear Receptor RORγ. ChemMedChem 2016, 11, 207–216. [Google Scholar] [CrossRef]
 
Sample Availability: Samples of the compounds are available from the authors.  | 








| Compd. | RORγ FRET Assay | Mouse Th17 Differentiation Assay | |||
|---|---|---|---|---|---|
| IC50 (μM) | EC50 (μM) | %max. | %inh. @10 μM | %act. @10 μM | |
| agonist 1 | 3.7 | 78 | 20.2 | ||
| inverse agonist 2 | 2.0 | −61 | −25.0 | ||
| GT | 0.053 | −94 | −90.0 | ||
© 2018 by the authors. Licensee MDPI, Basel, Switzerland. This article is an open access article distributed under the terms and conditions of the Creative Commons Attribution (CC BY) license (http://creativecommons.org/licenses/by/4.0/).
Share and Cite
Sun, N.; Yuan, C.; Ma, X.; Wang, Y.; Gu, X.; Fu, W. Molecular Mechanism of Action of RORγt Agonists and Inverse Agonists: Insights from Molecular Dynamics Simulation. Molecules 2018, 23, 3181. https://doi.org/10.3390/molecules23123181
Sun N, Yuan C, Ma X, Wang Y, Gu X, Fu W. Molecular Mechanism of Action of RORγt Agonists and Inverse Agonists: Insights from Molecular Dynamics Simulation. Molecules. 2018; 23(12):3181. https://doi.org/10.3390/molecules23123181
Chicago/Turabian StyleSun, Nannan, Congmin Yuan, Xiaojun Ma, Yonghui Wang, Xianfeng Gu, and Wei Fu. 2018. "Molecular Mechanism of Action of RORγt Agonists and Inverse Agonists: Insights from Molecular Dynamics Simulation" Molecules 23, no. 12: 3181. https://doi.org/10.3390/molecules23123181
APA StyleSun, N., Yuan, C., Ma, X., Wang, Y., Gu, X., & Fu, W. (2018). Molecular Mechanism of Action of RORγt Agonists and Inverse Agonists: Insights from Molecular Dynamics Simulation. Molecules, 23(12), 3181. https://doi.org/10.3390/molecules23123181
        
                                                