Next Article in Journal
Organophosphine-Catalyzed [4C+X] Annulations
Previous Article in Journal
Implementation of a Single Quadrupole Mass Spectrometer for Fingerprint Analysis: Venenum bufonis as a Case Study
 
 
Font Type:
Arial Georgia Verdana
Font Size:
Aa Aa Aa
Line Spacing:
Column Width:
Background:
Article

Synthesis and Anticancer Activity Evaluation of Hydrolyzed Derivatives of Panaxnotoginseng Saponins

1
School of Functional Food and Wine, Shenyang Pharmaceutical University, Shenyang 110016, China
2
College of Pharmacy, Yanbian University, Yanji 133000, China
3
Key Laboratory of Structure-based Drug Design and Discovery of Ministry of Education, Shenyang Pharmaceutical University, Shenyang 110016, China
*
Authors to whom correspondence should be addressed.
Molecules 2018, 23(11), 3021; https://doi.org/10.3390/molecules23113021
Submission received: 30 October 2018 / Revised: 9 November 2018 / Accepted: 13 November 2018 / Published: 19 November 2018
(This article belongs to the Section Natural Products Chemistry)

Abstract

:
To increase the antitumor activity of ginsenosides and acetylsalicylic acid, acid hydrolysis products of Panaxnotoginseng saponin were used as raw materials to be combined with salicylic acid to obtain ginsenoside salicylic acid derivatives. All derivatives were assessed for anti-cancer activity. A total of 20 target compounds were designed and synthesized. The cytotoxic activity on five cancer cell lines, including human colon cancer (HT-29), gastric cancer (BGC-823), cervical cancer (Hela), human breast cancer (MCF-7), human lung cancer cells (A549), and two normal cancer cell lines (human gastric epithelial cells (GES-1), and human ovarian epithelial cells (IOSE144)) was evaluated following treatment with the compounds. The results showed that all compounds inhibited the growth of cancer cells. Compounds 1a, 3a, 7a, 1b, 2b, 3b and 8b showed strong anticancer activity. For MCF-7 cells, compound 3b showed the strongest inhibitory activity, IC50 = 2.56 ± 0.09 μM. In the cytotoxicity test, all compounds showed low toxicity or no toxicity (IC50 > 100 μM). In addition, a cell cycle distribution assay and wound healing assay demonstrated that compound 3b specifically inhibited MCF-7 proliferation and migration ability. Our results indicate that compound 3b represents a promising compound for further cancer studies.

Graphical Abstract

1. Introduction

Panaxnotoginseng is the ginseng plant of the genus Araliaceae. In modern scientific research, the main active ingredients of Panaxnotoginseng are ginsenosides [1]. Ginsenosides have been reported to have significant biological activities including anti-tumor activity [2,3,4,5], immune regulation [6], and significantly improve the quality of life [7]. For example, “Shenyi Capsule”, a new type of anti-cancer drug, was listed in 2003, and the main component of this drug is ginsenoside-Rg3. This provides an important opportunity for the full utilization and development of ginseng plants into medicinal resources. In our previous studies, we have proven that ginsenosides and their derivatives from ginseng, American ginseng, and Panaxnotoginseng have anti-tumor activity [8]. These include a series of studies on 25-methoxyprotopanaxadiol (25-OCH3-PPD, AD-1), 25-hydroxyprotopanaxadiol (25-OH-PPD, AD-2), panaxadiol (PD), and their homologs. The structures of AD-1, AD-2, and PD are shown in Figure 1. Although these compounds exhibit antitumor activity, the effect is not ideal, and whether this can be improved by additional chemical transformations is worth further investigation. Thus, new structure-activity relationships produced by changes to these compounds is a hot topic, including structural modifications of dammarane derivatives [9].
Dammarane compounds are abundantly present in ginseng plants. Accordingly, research and application of these components forcancer prevention therapies has become a research hotspot in international cancer studies. In our previous studies, AD-1 and AD-2 showed a 5–15-fold stronger antitumor activity when compared with ginsenoside-Rg3 [10]. Whilst performing structural modifications of lead compounds, combinations of AD-1, AD-2 with amino acids and fatty acids were synthesized. Cytotoxicity assays using cancer cell lines have demonstrated that the derivatives had anti-cancer activity, and had no effects on non-cancerous cells [11,12,13].
Acetylsalicylic acid is one of the world’s most used medicines. In recent years, it has been shown that acetylsalicylic acid also displays anti-tumor activity [14,15,16,17]. Moreover, it has been reported that acetylsalicylic acid platinum, the combination of acetylsalicylic acid with cisplatin, showed stronger anti-cancer activity than cisplatin or acetylsalicylic acid alone [18].
Salicylic acid is a precursor of acetylsalicylic acid. In recent years, new activities of salicylic acid, including anti-cardio cerebral vascular diseases, and anti-cancer activities have been described [19]. Liu and colleagues demonstrated synthesis of a salicylic acid derivative by the reaction of salicylic acid with α-aminophosphonate, and demonstrated its inhibitory activity against liver and cervical cancer cell lines [20].
Since both dammarane ginsenosides and salicylic acid have antitumor activity we hypothesized that the combination of antitumor compounds with acetylsalicylic acid may enhance the anticancer activity of specific substrates.
Whether the combination of dammarane ginsenosides and salicylic acid can produce better anti-tumor activity is not presently known. In this study, we combined acid hydrolysates derived from Panaxnotoginseng saponins with salicylic acid and acetylsalicylic acid. In addition, we identified a molecule with stronger anti-tumor activity and potential research value through testing the cytotoxicity on five cancer cell lines.

2. Results

A total of 20 compounds were synthesized, including 14 ginsenoside salicylic acid derivatives and six ginsenoside acetylsalicylic acid derivatives. Their structures are shown in Table 1.

2.1. Cytotoxicity Assay

Cytotoxicity results are summarized in Table 2. Compounds 1a, 3a, 7a, 1b, 2b, 3b and 8b showed strong anticancer activity. For MCF-7 cells, compound 3b showed the strongest inhibitory activity, IC50 = 2.56 ± 0.09 μM. In the cytotoxicity tests, all compounds showed low toxicity or no toxicity (IC50 > 100 μM).

2.2. Cell Cycle Distribution Assay

As compound 3b had significant anti-proliferative effects on MCF-7 cells, cell cycle analysis was performed. The results indicated that the subG1 phase increased from 0.73% to 56.95% after treatment with compound 3b. The effects on IOSE144 cells showed that the subG1 phase increased from 1.17% to 7.58% after treatment with compound 3b. In addition, the positive control (AD-1) showed that subG1 phase of MCF-7 cells increased from 1.69% to 38.45% after treatment with AD-1 (Figure 2).

2.3. Wound Healing Assay

In our study, the wound healing assays showed that the distance of MCF-7 cell migration after treatment with compound 3b was almost unchanged, whereas the healing distance of MCF-7 cells in the control group gradually decreased. The results of the positive control indicated that AD-1 inhibited the migration of MCF-7 cells, which was comparable with the results of compound 3b (Figure 3).

3. Discussion

In this study, we designed and synthesized 20 ginsenoside derivatives, including ginsenoside salicylic acid derivatives and ginsenoside acetylsalicylic acid derivatives. Through evaluation of their anticancer activity, we found that the anticancer activity of ginsenoside acetylsalicylic acid derivatives was significantly stronger when compared to that of ginsenoside salicylic acid derivatives. Moreover, we also obtained a series of more active compounds (compounds 1a, 3a, 7a, 1b, 2b, 3b, and 8b). Since compound 3b was found to have the strongest anticancer activity against MCF-7 cells (IC50 = 2.56 ± 0.09 μM), we conducted further studies, including cell cycle distribution assay and wound healing assay, and obtained promising results that provide theoretical and data support for further studies. In conclusion, this study highlights the potential to develop novel and potent compounds for cancer prevention and therapy.

4. Materials and Methods

4.1. Synthesis of Salicylic Acid Derivatives

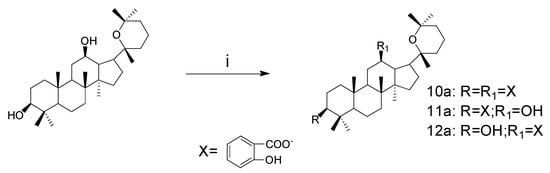
The ginsenoside salicylic acid derivative was synthesized as follows: the acid hydrolyzate of Panaxnotoginseng saponin (1 equiv, 5 g, 11 mmol) was dissolved in dry dichloromethane, and stirred for 20 min. Then, N,N’-dicyclohexylcarbodiimide (DCC, 2 equiv, 4.5 g), salicylic acid (2 equiv, 3 g), and 4-dimethylaminopyridine (DMAP, 1 equiv, 1.3 g) were added in sequence, and reacted at room temperature for 24 h [21] (Scheme 1). The total reaction product was separated by a silica gel column (Scheme 2). We will use the panaxadiol in the hydrolysate of Panaxnotoginseng saponin as an example to illustrate the reaction process.

4.2. Synthesis of Acetylsalicylic Acid Derivatives

A total of 120 mg, 100 mg, 200 mg, and 100 mg of compound 9a, 10a, 11a, and 12a were dissolved in 10 mL of dry dichloromethane solution, respectively, and 10 drops of triethylamine (C6H15N) were added in a dropwise fashion to provide an alkaline environment. The molar ratio of the reaction substrate was 1:2. Next, excess acetic anhydride was added (0.5 mL) and the reaction was carried out for 2 h at room temperature. All compounds were isolated by repeated column chromatography (Scheme 3).
A total of 20 ginsenoside salicylic acid derivatives and ginsenoside acetylsalicylic acid derivatives were obtained (Table 1).

4.3. Structure Identification of Compounds

Melting points were determined in open capillary tubes. The 1H-NMR and 13C-NMR spectra were measured on an AV-400 spectrometer (Bruker, Karlsruhe, Germany) in CDCl3 solutions using tetramethylsilane as the internal standard. Mass spectra were obtained on a Quattro Micromass instrument (Waters, Milford, MA, USA). As shown in our previous work, the hydroxyl groups of 25-OCH3–PPD, 25-OH-PPD or PD were replaced. In the 13C-NMR spectrum, the signals changed from δC 78.0–79.0 (C-3), 70.5–71.5 (C-12) to δC 81.0–83.0 (C-3), 75.0–77.0 (C-12), respectively. In the 1H-NMR spectrum, signals changed from δH 3.2 (H-3), 3.6 (H-12) to δH 4.7–4.8 (H-3), 5.1–5.2 (H-12), respectively. Combining the spectrum of salicylic acid and acetylsalicylic acid, we could accurately determine the structures of the derivatives on the basis of 25-OH-PPD, 25-OCH3-PPD or PD. The spectrums (see Table 1) of all compounds are in Supplementary Materials.
20(R)-Dammarane-20-hydroxy-3β,12β,25-tri-yl-2′-hydroxybenzoate (1a, C51H66O10). White solid, melting point: 192–194 °C, 1H-NMR (CDCl3, 400 MHz, ppm): δ 0.94 (s, 3H), 0.95 (s, 3H), 1.02 (s, 3H), 1.09 (s, 3H), 1.59 (s, 6H), 1.62 (s, 6H), 4.77 (td, J1,3 = 8.0 Hz, J1,2 = 4.0 Hz, 1H, H-3), 5.20 (td, J1,3 = 12.0 Hz, J1,2 = 8.0 Hz, 1H, H-12), 6.82–6.89 (m, 3H, Ar-H), 6.97 (t, J1,2 = 8 Hz, J1,3 = 20.0 Hz, 3H, Ar-H), 7.44 (td, J1,3 = 8.0 Hz, J1,2 = 8.0 Hz, 3H, Ar-H), 7.81 (dd, J1,3 = 28.0 Hz, J1,2 = 8.0 Hz, 3H, Ar-H), 10.79 (s, 1H, AR-OH), 10.92 (s, 1H, Ar-OH), 11.04 (s, 1H, Ar-OH); 13C-NMR (CDCl3, 100 MHz, ppm): 39.85 (C-1), 26.44 (C-2), 82.04 (C-3), 38.40 (C-4), 56.05 (C-5), 18.16 (C-6), 34.55 (C-7), 38.61 (C-8), 51.75 (C-9), 37.25 (C-10), 33.20 (C-11), 77.37 (C-12), 49.94 (C-13), 53.46 (C-14), 31.11 (C-15), 26.36 (C-16), 52.91(C-17), 16.87 (C-18), 15.82 (C-19), 73.93 (C-20), 23.69 (C-21), 41.87 (C-22), 18.30 (C-23), 44.97 (C-24), 85.34 (C-25), 28.48 (C-26), 28.30 (C-27), 26.91 (C-28), 16.28 (C-29), 17.28 (C-30). Structure of salicylic acid: 112.71, 113.14, 113.93 (C-1), 117.66, 117.74, 118.07 (C-3), 119.08, 119.18, 119.32 (C-5), 129.36, 129.85, 130.23 (C-6), 135.37, 135.63, 136.02 (C-4), 161.88, 161.91, 162.13 (C-2), 169.40, 169.94, 170.04 (–C=O). MS: m/z 838.47 [M + H]+.
20(R)-25-Methoxydammarane-20-hydroxy-3β,12β-di-yl-2′-hydroxybenzoate (2a, C45H64O8). White solid, melting point: 200–202 °C, 1H-NMR (CDCl3, 400 MHz, ppm): δ 0.94 (s, 6H), 1.02 (s, 3H), 1.03 (s, 3H), 1.08 (s, 3H), 1.09 (s, 3H), 1.14 (s, 3H), 1.16 (s, 3H), 4.75–4.79 (dd, J1,3 = 12.0 Hz, 11H, H-3), 5.18–5.25 (td, J1,3 = 12.0 Hz, J1,2 = 8.0 Hz, 1H, H-12), 6.84–6.88 (td, J1,3 = 12.0 Hz, J1,2 = 4.0 Hz, 2H, Ar-H), 6.94–6.98 (t, J1,3 = 16.0 Hz, J1,2 = 8.0 Hz, 2H, Ar-H), 7.41–7.46 (m, 2H, Ar-H), 7.73–7.82 (m, 2H, Ar-H), 10.82 (s, 1H, Ar-OH), 10.92 (s, 1H, Ar-OH); 13C-NMR (CDCl3, 100 MHz, ppm): 38.57 (C-1), 28.25 (C-2), 82.01 (C-3), 39.82 (C-4), 56.00 (C-5), 18.24 (C-6), 34.51 (C-7), 38.30 (C-8), 49.90 (C-9), 37.22 (C-10), 31.08 (C-11), 77.28 (C-12), 49.26 (C-13), 53.27 (C-14), 30.75 (C-15), 26.44 (C-16), 52.35 (C-17), 16.24 (C-18), 16.85 (C-19), 73.99 (C-20), 23.66 (C-21), 44.96 (C-22), 18.01 (C-23), 41.13 (C-24), 74.73 (C-25), 25.21 (C-26), 24.91 (C-27), 28.45 (C-28), 15.78 (C-29), 17.26 (C-30). Structure of salicylic acid: 112.78, 113.10 (C-1), 117.70, 117.90 (C-3), 119.14, 119.25 (C-5), 129.42, 129.81 (C-6), 135.59, 135.87 (C-4), 161.85, 162.11 (C-2), 169.38, 169.90 (–C=O); MS: m/z 731.91 [M − H]+.
20(R)-25-Methoxydammarane-3β,20-diol-12β-yl-2′-hydroxybenzoate (3a, C38H60O6). White solid, melting point: 235–237 °C, 1H-NMR (CDCl3, 400 MHz, ppm): δ 0.75 (s, 3H), 0.83 (s, 3H), 0.95 (s, 3H), 0.99 (s, 3H), 1.04 (s, 3H), 1.07 (s, 3H), 1.12 (s, 3H), 1.13 (s, 3H), 3.19 (dd, J1,2 = 4.0 Hz, J1,3 = 8.0 Hz, 1H, H-3), 5.17 (td, J1,3 = 12.0 Hz, J1,2 = 4.0 Hz, 1H, H-12), 6.84 (t, J1,3 = 12.0 Hz, J1,2 = 4.0 Hz, 1H, Ar-H), 6.94 (d, J1,2 = 8.0 Hz, 1H, Ar-H), 7.41 (td, J1,3 = 8.0 Hz, J1,2 = 4.0 Hz, 1H, Ar-H), 7.73 (dd, J1,3 = 8.0 Hz, J1,2 = 4.0 Hz, 1H, Ar-H), 10.81 (d, 1H, Ar-OH); 13C-NMR (CDCl3, 100 MHz, ppm): 38.96 (C-1), 27.25 (C-2), 78.65 (C-3), 39.70 (C-4), 55.82 (C-5), 18.27 (C-6), 34.54 (C-7), 38.85 (C-8), 49.92 (C-9), 37.18 (C-10), 31.17 (C-11), 77.25 (C-12), 49.18 (C-13), 52.80 (C-14), 31.00 (C-15), 26.33 (C-16), 50.00 (C-17), 15.69 (C-18), 16.12 (C-19), 73.95 (C-20), 23.03 (C-21), 44.88 (C-22), 17.93 (C-23), 41.00 (C-24), 74.70 (C-25), 25.15 (C-26), 24.87 (C-27), 28.07 (C-28), 15.44 (C-29), 17.19 (C-30), 49.09 (–OCH3). Structure of salicylic acid: 112.72 (C-1), 117.90 (C-3), 119.22 (C-5), 129.39 (C-6), 135.82 (C-4), 161.98 (C-2), 169.39 (–C=O).
20(R)-25-Methoxydammarane-12β,20-diol-3β-yl-2′-hydroxybenzoate (4a, C38H60O6). White solid, melting point: 246–248 °C, 1H-NMR (CDCl3, 400 MHz, ppm): δ 0.91 (s, 3H), 0.94 (s, 3H), 0.96 (s, 3H), 1.01 (s, 3H), 1.02 (s, 3H), 1.16 (s, 6H), 1.21 (s, 3H), 3.59–3.65 (td, J1,3 = 8.0 Hz, J1,2 = 4.0 Hz, 1H, H-12), 4.74–4.78 (dd, J1,3 = 12.0 Hz, J1,2 = 8.0 Hz, 1H, H-3), 6.85–6.90 (t, J1,3 = 16.0 Hz, J1,2 = 6.0 Hz, 1H, Ar-H), 6.97–6.99 (d, J1,2 = 8.0 Hz, 1H, Ar-H), 7.43–7.47 (td, J1,3 = 8.0 Hz, J1,2 = 3.0 Hz, 1H, Ar-H), 7.82–7.84 (dd, J1,3 = 8.0 Hz, J1,2 = 3.0 Hz, 1H, Ar-H), 10.93 (s, 1H, Ar-OH); 13C-NMR (CDCl3, 100 MHz, ppm): 38.72 (C-1), 27.24 (C-2), 82.32 (C-3), 39.92 (C-4), 56.12 (C-5), 18.31 (C-6), 34.82 (C-7), 38.38 (C-8), 50.09 (C-9), 37.20 (C-10), 31.30 (C-11), 70.95 (C-12), 49.29 (C-13), 53.61 (C-14), 31.13 (C-15), 26.63 (C-16), 51.72 (C-17), 16.33 (C-18), 16.87 (C-19), 74.63 (C-20), 23.82 (C-21), 42.82 (C-22), 17.88 (C-23), 40.68 (C-24), 74.87 (C-25), 25.25 (C-26), 25.12 (C-27), 28.29 (C-28), 15.80 (C-29), 16.97 (C-30), 47.95 (OCH3). Structure of salicylic acid: 113.17 (C-1), 117.71 (C-3), 119.20 (C-5), 129.89 (C-6), 135.61 (C-4), 161.85 (C-2), 170.03 (–C=O). MS: m/z 612.88 [M + H]+.
20(R)-Dammarane-3β,20,25-triol-12β-yl-2′-hydroxybenzoate (5a, C37H58O6). White solid, melting point: 258–260 °C, 1H-NMR (CDCl3, 400 MHz, ppm): δ 0.77 (s, 3H), 0.85 (s, 3H), 0.97 (s, 3H), 1.02 (s, 6H), 1.06 (s, 3H), 1.15, (s, 6H), 1.18 (s, 3H), 3.18–3.22 (dd, J1,3 = 12.0 Hz, J1,2 = 4.0 Hz, 1H, H-3), 5.16–5.22 (td, J1,3 = 8.0 Hz, J1,2 = 4.0 Hz, 1H, H-12), 6.87–6.91 (t, J1,3 = 16.0 Hz, J1,2 = 8.0 Hz, 1H, Ar-H), 6.94–6.96 (d, J1,2 = 8.0 Hz, 1H, Ar-H), 7.41–7.45 (td, J1,3 = 8.0 Hz, J1,2 = 2.8 Hz, 1H, Ar-H), 7.76–7.79 (dd, J1,3 = 8.0 Hz, J1,2 = 4.0 Hz, 1H, Ar-H), 10.83 (s, 1H, Ar-OH); 13C-NMR (CDCl3, 100 MHz, ppm): 39.68 (C-1), 28.00 (C-2), 78.68 (C-3), 38.90 (C-4), 55.78 (C-5), 17.76 (C-6), 37.14 (C-7), 42.64 (C-8), 50.00 (C-9), 38.80 (C-10), 33.58 (C-11), 77.48 (C-12), 49.45 (C-13), 53.47 (C-14), 31.19 (C-15), 27.09 (C-16), 52.84 (C-17), 15.62 (C-18), 16.10 (C-19), 74.01 (C-20), 23.00 (C-21), 44.26 (C-22), 18.22 (C-23), 45.43 (C-24), 71.26 (C-25), 29.28 (C-26), 29.02 (C-27), 28.38 (C-28), 15.39 (C-29), 17.59 (C-30). Structure of salicylic acid: 112.63 (C-1), 117.83 (C-3), 119.47 (C-5), 129.37 (C-6), 135.87 (C-4), 161.90 (C-2), 169.42 (–C=O). MS: m/z 598.85 [M + H]+.
20(R)-Dammarane-12β, 20-diol-3β, 25-di-yl-2′-hydroxybenzoate (6a, C44H62O8). White solid, melting point: 219–221 °C, 1H-NMR (CDCl3, 400 MHz, ppm): δ 0.84 (s, 3H), 0.93 (s, 3H), 0.95 (s, 3H), 1.00 (s, 3H), 1.02 (s, 3H), 1.14 (s, 3H), 1.60 (s, 3H), 1.62 (s, 3H), 3.59–3.66 (td, J1,3 = 12.0 Hz, 1H, H-12), 4.73–4.77 (dd, J1,3 = 12.0 Hz, J1,2 = 8.0 Hz, 1H, H-3), 6.82–6.89 (m, 2H, Ar-H), 6.94–6.99 (m, 2H, Ar-H), 7.39–7.47 (m, 2H, Ar-H), 7.76–7.84 (m, 2H, Ar-H), 10.92 (s, 1H, Ar-OH), 11.02 (s, 1H, Ar-OH); 13C-NMR (CDCl3, 100 MHz, ppm): 39.91 (C-1), 26.51 (C-2), 82.29 (C-3), 38.40 (C-4), 56.12 (C-5), 18.31 (C-6), 34.80 (C-7), 41.61 (C-8), 51.02 (C-9), 37.20 (C-10), 31.57 (C-11), 71.19 (C-12), 49.96 (C-13), 53.56 (C-14), 31.09 (C-15), 26.31 (C-16), 51.80 (C-17), 16.34 (C-18), 16.87 (C-19), 74.31 (C-20), 23.81 (C-21), 43.00 (C-22), 22.33 (C-23), 48.48 (C-24), 85.28 (C-25), 28.77 (C-26), 28.30 (C-27), 27.73 (C-28), 15.82 (C-29), 17.68 (C-30). Structure of salicylic acid: 113.18, 113.93 (C-1), 117.68, 117.74 (C-3), 119.05, 119.22 (C-5), 129.90, 130.20 (C-6), 135.35, 135.64 (C-4), 161.87, 161.93 (C-2), 169.93, 170.05 (–C=O). MS: m/z 718.96 [M + H]+.
20(R)-Dammarane-20, 25-diol-3β, 12β-di-yl-2′-hydroxybenzoate (7a, C44H62O8). White solid, melting point: 197–199 °C, 1H-NMR (CDCl3, 400 MHz, ppm): δ 0.95 (s, 6H), 1.02 (s, 3H), 1.05 (s, 3H), 1.09 (s, 3H), 1.17 (s, 6H), 1.19 (s, 3H), 4.76–4.80 (dd, J1,3 = 12.0 Hz, J1,2 = 4.0 Hz, 1H, H-3), 5.19–5.25 (td, J1,3 = 8.0 Hz, J1,3 = 4.0 Hz, 1H, H-12), 6.85–6.92 (m, 2H, Ar-H), 6.96–6.99 (m, 2H, Ar-H), 7.42–7.46 (m, 2H, Ar-H), 7.77–7.83 (m, 2H, Ar-H), 10.92 (s, 1H, Ar-OH); 13C-NMR (CDCl3, 100 MHz, ppm): 38.61 (C-1), 28.28 (C-2), 82.03 (C-3), 38.39 (C-4), 56.06 (C-5), 17.93 (C-6), 34.55 (C-7), 39.87 (C-8), 49.60 (C-9), 37.26 (C-10), 33.80 (C-11), 77.25 (C-12), 49.53 (C-13), 52.96 (C-14), 31.35 (C-15), 26.97 (C-16), 50.06 (C-17), 16.30 (C-18), 16.86 (C-19), 73.95 (C-20), 23.16 (C-21), 44.47 (C-22), 18.28 (C-23), 45.59 (C-24), 71.23 (C-25), 29.52 (C-26), 28.25 (C-27), 28.57 (C-28), 15.79 (C-29), 17.75 (C-30). Structure of salicylic acid: 112.75, 113.13 (C-1), 117.73, 118.00 (C-3), 119.17, 119.58 (C-5), 129.45, 129.83 (C-6), 135.62, 136.00 (C-4), 161.85, 162.09 (C-2), 169.52, 169.93 (–C=O).
20(R)-Dammarane-3β,12β,20-triol-25-yl-2′-hydroxybenzoate (8a, C37H58O6). White solid, melting point: 223–225 °C, 1H-NMR (CDCl3, 400 MHz, ppm): δ 0.74 (s, 3H), 0.79 (s, 3H), 0.82 (s, 3H), 0.94 (s, 6H), 1.08 (s, 3H), 1.56 (s, 3H), 1.58 (s, 3H), 3.14–3.18 (dd, J1,3 = 12.0 Hz, J1,2 = 4.0 Hz, 1H, H-3), 3.52–3.58 (td, J1,3 = 12.0 Hz, J1,2 = 4.0 Hz, 1H, H-12), 6.78–6.82 (t, J1,3 = 16.0 Hz, J1,2 = 8.0 Hz, 1H, Ar-H), 6.91–6.93 (d, J = 8.0 Hz, 1H, Ar-H), 7.36–7.43 (m, 1H, Ar-H), 8.00–8.07 (dd, J1,3 = 20.0 Hz, J1,2 = 8.0 Hz, 1H, Ar-H), 11.03 (s, 1H, Ar-OH); 13C-NMR (CDCl3, 100 MHz, ppm): 39.70 (C-1), 26.08 (C-2), 78.88 (C-3), 38.93 (C-4), 55.84 (C-5), 17.56 (C-6), 34.76 (C-7), 41.60 (C-8), 50.08 (C-9), 37.06 (C-10), 33.62 (C-11), 71.04 (C-12), 49.65 (C-13), 53.52 (C-14), 31.19 (C-15), 24.87 (C-16), 51.59 (C-17), 15.63 (C-18), 16.18 (C-19), 74.14 (C-20), 22.00 (C-21), 42.64 (C-22), 18.28 (C-23), 48.22 (C-24), 85.27 (C-25), 28.05 (C-26), 27.24 (C-27), 26.33 (C-28), 15.45 (C-29), 17.03 (C-30). Structure of salicylic acid: 113.84 (C-1), 117.52 (C-3), 118.07 (C-5), 130.12 (C-6), 135.22 (C-4), 161.74 (C-2), 169.83 (–C=O). MS: m/z 597.45 [M − H]+.
20(R)-Dammarane-12β,20,25-triol-3β-yl-2′-hydroxybenzoate (9a, C37H58O6). White solid, melting point: 295–297 °C, 1H-NMR (CDCl3, 400 MHz, ppm): δ 0.91 (s, 3H), 0.94 (s, 3H), 0.96 (s, 3H), 1.01 (s, 3H), 1.02 (s, 3H), 1.14 (s, 3H), 1.24 (s, 6H), 3.63 (td, J1,3 = 10.2 Hz, J1,2 = 5.36 Hz, 1H, H-12), 4.75 (dd, J1,3 = 10.2 Hz, J1,2 = 5.88 Hz, 1H, H-3), 6.88 (t, J1,3 = 14.84 Hz, J1,2 = 7.4 Hz, 1H, Ar-H), 6.99 (d, J = 8.28 Hz, 1H, Ar-H), 7.44 (td, J1,3 = 8.52 Hz, J1,2 = 1.48 Hz, 1H, Ar-H), 7.83 (dd, J1,3 = 7.6 Hz, J1,2 = 1.52 Hz, 1H, Ar-H), 10.93 (s, 1H, Ar-OH); 13C-NMR (CDCl3, 100 MHz, ppm): 38.74 (C-1), 28.30 (C-2), 82.32 (C-3), 38.39 (C-4), 56.13 (C-5), 17.85 (C-6), 34.82 (C-7), 39.92 (C-8), 50.11 (C-9), 37.21 (C-10), 31.45 (C-11), 71.29 (C-12), 48.65 (C-13), 53.57 (C-14), 31.16 (C-15), 36.52 (C-16), 51.78 (C-17), 16.35 (C-18), 16.88 (C-19), 74.57 (C-20), 22.04 (C-21), 43.12 (C-22), 18.32 (C-23), 44.28 (C-24), 71.00 (C-25), 29.84 (C-26), 29.59 (C-27), 29.55 (C-28), 15.81 (C-29), 17.30 (C-30). Structure of salicylic acid: 113.18 (C-1), 117.72 (C-3), 119.91 (C-5), 129.91 (C-6), 135.63 (C-4), 161.87 (C-2), 170.04 (–C=O).
20(R)-Pananxadiol-3β,12β-di-yl-2′-hydroxybenzoate (10a, C44H60O7). White solid, melting point: 232–234 °C, 1H-NMR (CDCl3, 400 MHz, ppm): δ 0.65 (s, 3H), 0.91 (s, 3H), 0.92 (s, 3H), 0.94 (s, 3H), 1.00 (s, 3H), 1.01 (s, 3H), 1.05 (s, 3H), 1.16 (s, 3H), 4.75–4.85 (m, 2H, H-12, H-3), 6.85–6.89 (t, J1,3 = 15.36 Hz, J1,2 = 8.62 Hz, 2H, Ar-OH), 6.95–6.98 (d, J = 12.0 Hz, 2H, Ar-H), 7.64–7.69 (td, J1,2 = 4.0 Hz, J1,3 = 8.0Hz, 2H, Ar-H), 7.98–8.08 (m, 2H, Ar-H), 10.92 (s, 1H, Ar-OH), 11.19 (s, 1H, Ar-OH); 13C-NMR (CDCl3, 100 MHz, ppm): 38.52 (C-1), 28.31 (C-2), 82.14 (C-3), 38.39 (C-4), 55.96 (C-5), 18.31 (C-6), 34.29 (C-7), 39.69 (C-8), 49.55 (C-9), 37.37 (C-10), 30.44 (C-11), 75.70 (C-12), 49.10 (C-13), 51.92 (C-14), 31.42 (C-15), 25.24 (C-16), 54.35 (C-17), 15.96 (C-18), 16.73 (C-19), 75.03 (C-20), 23.71 (C-21), 35.37 (C-22), 16.90 (C-23), 37.16 (C-24), 70.80 (C-25), 33.05 (C-26), 26.80 (C-27), 28.45 (C-28), 15.91 (C-29), 18.02 (C-30). Structure of salicylic acid: 113.16, 114.04 (C-1), 116.28, 117.72 (C-3), 118.94, 119.16 (C-5), 129.85, 130.30 (C-6), 135.59, 135.97 (C-4), 161.23, 161.87 (C-2), 169.78, 169.95 (C-7, –C=O); MS: m/z 700.94 [M + H]+.
20(R)-Pananxadiol-12β-hydroxy-3β-yl-2′-hydroxybenzoate (11a, C37H56O5). White solid, melting point: 222–224 °C, 1H-NMR (CDCl3, 400 MHz, ppm): δ 0.90 (s, 3H), 0.93 (s, 3H), 0.95 (s, 3H), 1.00 (s, 3H), 1.01 (s, 3H), 1.19 (s, 3H), 1.22 (s, 3H), 1.27 (s, 3H), 3.52–3.58 (td, J1,3 = 8.0 Hz, J1,2 = 4.0 Hz, 1H, H-12), 4.73–4.77 (dd, J1,3 = 8.0 Hz, J1,2 = 4.0 Hz, 1H, H-3), 6.85–6.89 (t, J1,3 = 16.0 Hz, J1,2 = 8.0 Hz, 1H, Ar-H), 6.89–6.96 (d, J1,2 = 12.0 Hz, 1H, Ar-H), 7.42–7.46 (t, J1,3 = 16.0 Hz, J1,2 = 8.0 Hz, 1H, Ar-H), 7.82–7.84 (d, J1,2 = 8.0 Hz, 1H, Ar-H), 10.93 (s, 1H, Ar-OH); 13C-NMR (CDCl3, 100 MHz, ppm): 38.70 (C-1), 27.29 (C-2), 82.45 (C-3), 39.39 (C-4), 56.17 (C-5), 18.36 (C-6), 34.94 (C-7), 39.98 (C-8), 50.00 (C-9), 37.24 (C-10), 30.72 (C-11), 70.02 (C-12), 49.31 (C-13), 51.30 (C-14), 31.28 (C-15), 23.89 (C-16), 54.87 (C-17), 16.32 (C-18), 16.42 (C-19), 76.67 (C-20), 19.57 (C-21), 35.89 (C-22), 16.85 (C-23), 36.59 (C-24), 73.27 (C-25), 33.17 (C-26), 25.31 (C-27), 28.30 (C-28), 15.80 (C-29), 17.20 (C-30). Structure of salicylic acid: 113.22 (C-1), 117.70 (C-3), 119.18 (C-5), 129.91 (C-6), 135.57 (C-4), 161.87 (C-2), 170.05 (–C=O); MS: m/z 603.42 [M + Na]+.
20(R)-Pananxadiol-3β-hydroxy-12β-yl-2′-hydroxybenzoate (12a, C37H58O6). White solid, melting point: 248–250 °C, 1H-NMR (CDCl3, 400 MHz, ppm): δ 0.64 (s, 3H), 0.77 (s, 3H), 0.84 (s, 3H), 0.90 (s, 3H), 0.98 (s, 6H), 1.03 (s, 3H), 1.15 (s, 3H), 3.18–3.22 (dd, J1,3 = 8.0 Hz, J1,2 = 4.0 Hz, 1H, H-3), 6.85–6.89 (t, J1,3 = 16.0 Hz, J1,2 = 8.0 Hz, 1H, Ar-H), 6.95–6.98 (d, J1,2 = 12.0 Hz, 1H, Ar-H), 7.40–7.45 (td, J1,2 = 4.0 Hz, J1,3 = 8.0 Hz, 1H, Ar-H), 7.85–7.88 (dd, J1,3 = 8.0 Hz, J1,2 = 4.0 Hz, 1H, Ar-H), 11.20 (s, 1H, Ar-OH); 13C-NMR (CDCl3, 100 MHz, ppm): 38.92 (C-1), 27.24 (C-2), 78.79 (C-3), 38.75 (C-4), 55.73 (C-5), 18.25 (C-6), 34.27 (C-7), 39.51 (C-8), 49.53 (C-9), 37.24 (C-10), 30.33 (C-11), 75.72 (C-12), 49.42 (C-13), 51.84 (C-14), 31.42 (C-15), 25.47 (C-16), 54.38 (C-17), 15.75 (C-18), 15.78 (C-19), 74.92 (C-20), 21.75 (C-21), 35.19 (C-22), 16.59 (C-23), 37.07 (C-24), 70.66 (C-25), 32.90 (C-26), 26.69 (C-27), 28.40 (C-28), 15.38 (C-29), 17.91 (C-30). Structure of salicylic acid: 113.93 (C-1), 117.53 (C-3), 118.78 (C-5), 130.20 (C-6), 135.18 (C-4), 161.70 (C-2), 169.68 (C-7, –C=O); MS: m/z 579.35 [M − H]+.
20(R)-Pananxadiol-3β-yl-2′-acetylbenzoate-12β-yl-2′-hydroxybenzoate (1b, C46H62O8). White solid, melting point: 198–200 °C, 1H-NMR (CDCl3, 400 MHz, ppm): δ 0.65 (s, 3H), 0.91 (s, 6H), 0.93 (s, 3H), 0.97 (s, 3H), 0.99 (s, 3H), 1.05 (s, 3H), 1.15 (s, 3H), 4.69–4.73 (dd, J1,3 = 12.0 Hz, J1,2 = 4.0 Hz, 1H, H-3), 6.85–6.89 (t, J1,2 = 8.0 Hz, J1,3 = 16.0 Hz, 1H, Ar-H), 6.96–6.98 (d, J= 8.0 Hz, 1H, Ar-H), 7.08–7.10 (d, J = 8.0 Hz, 1H, Ar-H), 7.27–7.31 (t, J1,3 = 16.0 Hz, J1,2 = 8.0 Hz, 1H, Ar-H), 7.41–7.44 (t, J1,3 = 12.0 Hz, J1,2 = 6.2 Hz, 1H, Ar-H), 7.51–7.55 (t, J1,3 = 16.0 Hz, J1,3 = 8.0 Hz, 1H, Ar-H), 7.86–7.88 (d, J = 8.0 Hz, 1H, Ar-H), 7.96–7.98 (d, J = 8.0 Hz, 1H, Ar-H), 11.20 (s, 1H, Ar-OH); 13C-NMR (CDCl3, 100 MHz, ppm): 38.56 (C-1), 28.22 (C-2), 81.42 (C-3), 38.32 (C-4), 56.00 (C-5), 18.25 (C-6), 33.04 (C-7), 39.65 (C-8), 49.55 (C-9), 37.36 (C-10), 30.42 (C-11), 75.72 (C-12), 49.12 (C-13), 51.89 (C-14), 31.28 (C-15), 25.57 (C-16), 54.53 (C-17), 15.97 (C-18), 16.71 (C-19), 75.02 (C-20), 21.69 (C-21), 34.30 (C-22), 16.91 (C-23), 37.14 (C-24), 70.78 (C-25), 32.18 (C-26), 26.78 (C-27), 28.52 (C-28), 15.80 (C-29), 17.98 (C-30). Structure of salicylic acid: 114.04 (C-1), 117.66 (C-3), 118.88 (C-5), 130.29 (C-6), 135.29 (C-4), 161.84 (C-2), 169.75 (C-7, –C=O); Structure of acetylsalicylic acid: 123.88 (C-8), 124.06 (C-7), 126.01 (C-6), 131.42 (C-5), 133.63 (C-4), 150.90 (C-3), 164.05 (C-2), 169.80 (C-1, C=O), 21.27 (C-9, –CH3). MS: m/z 742.98 [M + H]+.
20(R)-Pananxadiol-3β, 12β-di-yl-2′-acetylbenzoate (2b, C48H64O9). White solid, melting point: 238–240 °C, 1H-NMR (CDCl3, 400 MHz, ppm): δ 0.74 (s, 3H), 0.91 (s, 3H), 0.92 (s, 3H), 0.96 (s, 3H), 0.98 (s, 3H), 1.01 (s, 3H), 1.03 (s, 3H), 1.13 (s, 3H), 4.69–4.73 (dd, J1,3 = 12.0 Hz, J1,2 = 4.0 Hz, 1H, H-3), 5.16–5.22 (td, J1,2 = 8.0 Hz, J1,3 = 12.0 Hz, 1H, H-12), 7.08–7.10 (dd, J1,3 = 8.0 Hz, 2H, Ar-H), 7.27–7.31 (td, J1,3 = 8.0 Hz, J1,2 = 4.0 Hz, 2H, Ar-H), 7.51–7.55 (td, J1,3 = 8.0 Hz, J1,2 = 4.0 Hz, 2H, Ar-H), 7.98–7.98 (dd, J1,3 = 8.0 Hz, J1,2 = 4.0 Hz, 1H, Ar-H), 8.06–8.09 (dd, J1,3 = 8.0 Hz, J1,3 = 4.0 Hz, 1H, Ar-H); 13C-NMR (CDCl3, 100 MHz, ppm): 38.52 (C-1), 28.21 (C-2), 81.46 (C-3), 38.32 (C-4), 56.00 (C-5), 18.25 (C-6), 34.35 (C-7), 39.67 (C-8), 49.63 (C-9), 37.31 (C-10), 30.68 (C-11), 75.41 (C-12), 45.30 (C-13), 52.06 (C-14), 30.79 (C-15), 25.80 (C-16), 53.63 (C-17), 16.02 (C-18), 16.63 (C-19), 75.18 (C-20), 19.29 (C-21), 34.60 (C-22), 16.90 (C-23), 37.16 (C-24), 70.70 (C-25), 33.00 (C-26), 27.22 (C-27), 28.51 (C-28), 15.89 (C-29), 18.20 (C-30); Structure of acetylsalicylic acid: 123.86, 123.96 (C-8), 124.07, 124.60 (C-7), 125.84, 125.98 (C-6), 131.01, 131.42 (C-5), 133.45, 133.59 (C-4), 150.87, 150.89 (C-3), 163.60, 164.03 (C-2), 169.64, 169.77 (C-1, C=O), 21.31, 21.25 (C-9, –CH3). MS: m/z 785.02 [M + H]+.
20(R)-Pananxadiol-12β-hydroxy-3β-yl-2′-acetylbenzoate (3b, C39H58O6). White solid, melting point: 243–245 °C, 1H-NMR (CDCl3, 400 MHz, ppm): δ 0.89 (s, 3H), 0.91 (s, 3H), 0.94 (s, 3H), 0.97 (s, 3H), 0.99 (s, 3H), 1.19 (s, 3H), 1.22 (s, 3H), 1.27 (s, 3H), 3.52–3.58 (td, J1,3 = 8.0 Hz, J1,2 = 4.0 Hz, 1H, H-12), 4.67–4.71 (dd, J1,3 = 12.0 Hz, J1,2 = 4.0 Hz, 1H, H-3), 7.09–7.11 (d, J1,2 = 8.0 Hz, 1H, Ar-H), 7.28–7.32 (dd, J1,3 = 12.0 Hz, J1,2 = 8.0 Hz, 1H, Ar-H), 7.52–7.56(td, J1,3 = 8.0 Hz, J1,2 = 4.0 Hz, 1H, Ar-H), 7.97–7.99 (dd, J1,3 = 8.0 Hz, J1,2 = 3.6 Hz, 1H, Ar-H); 13C-NMR (CDCl3, 100 MHz, ppm): 38.77 (C-1), 27.30 (C-2), 81.76 (C-3), 38.34 (C-4), 56.23 (C-5), 18.36 (C-6), 34.98 (C-7), 39.99 (C-8), 50.03 (C-9), 37.24 (C-10), 30.71 (C-11), 70.04 (C-12), 49.32 (C-13), 51.35 (C-14), 31.28 (C-15), 25.32 (C-16), 54.88 (C-17), 16.37 (C-18), 16.42 (C-19), 76.67 (C-20), 19.57 (C-21), 35.90 (C-22), 16.89 (C-23), 36.60 (C-24), 73.25 (C-25), 33.17 (C-26), 27.21 (C-27), 28.24 (C-28), 15.80 (C-29), 17.19 (C-30). Structure of acetylsalicylic acid: 123.89 (C-8), 124.19 (C-7), 126.05 (C-6), 131.49 (C-5), 133.61 (C-4), 150.88 (C-3), 164.22 (C-2), 169.80 (C-1, C=O), 21.29 (C-9, CH3). MS: m/z 622.87 [M + H]+.
20(R)-Pananxadiol-3β-o-acetyl-12β-yl-2′-hydroxybenzoate (4b, C39H58O6). White solid, melting point: 238–240 °C, 1H-NMR (CDCl3, 400 MHz, ppm): δ 0.85 (s, 3H), 0.86 (s, 3H), 0.87 (s, 3H), 0.90 (s, 3H), 0.96 (s, 3H), 0.98 (s, 3H), 1.03 (s, 3H), 1.15 (s, 3H), 4.47–4.51 (dd, J1,3 = 12.0 Hz, J1,2 = 4.0 Hz, 1H, H-3), 6.84–6.88 (t, J1,3 = 16.0 Hz, J1,2 = 8.0 Hz, 1H, Ar-H), 6.95–6.97 (d, J1,2 = 8.0 Hz, 1H, Ar-H), 7.40–7.44 (td, J1,2 = 4.0 Hz, J1,3 = 8.0 Hz, 1H, Ar-H), 7.85–7.87 (dd, J1,3 = 8.0 Hz, J1,2 = 4.0 Hz, 1H, Ar-H), 11.19 (s, 1H, Ar-OH); 13C-NMR (CDCl3, 100 MHz, ppm): 38.55 (C-1), 28.14 (C-2), 80.74 (C-3), 38.01 (C-4), 55.91 (C-5), 18.27 (C-6), 34.31 (C-7), 39.65 (C-8), 49.54 (C-9), 37.37 (C-10), 30.43 (C-11), 75.76 (C-12), 45.08 (C-13), 51.90 (C-14), 30.71 (C-15), 23.70 (C-16), 54.54 (C-17), 15.96 (C-18), 16.66 (C-19), 75.04 (C-20), 19.33 (C-21), 35.38 (C-22), 16.72 (C-23), 37.12 (C-24), 70.79 (C-25), 33.05 (C-26), 26.80 (C-27), 28.52 (C-28), 15.89 (C-29), 17.99 (C-30), 21.43 (–CH3), 171.02 (–C=O); Structure of salicylic acid: 114.06 (C-1), 117.67 (C-3), 118.88 (C-5), 130.30 (C-6), 135.29 (C-4), 161.85 (C-2), 169.76 (C-7, –C=O).
20(R)-Pananxadiol-3β-hydroxy-12β-yl-2′-acetylbenzoate (5b, C39H58O6). White solid, melting point: 226–228 °C, 1H-NMR (CDCl3, 400 MHz, ppm): δ 0.74 (s, 3H), 0.77 (s, 3H), 0.85 (s, 3H), 0.98 (s, 6H), 1.00 (s, 3H), 1.01 (s, 3H), 1.11 (s, 3H), 3.17–3.21 (dd, J1,3 = 12.0 Hz, J1,2 = 4.0 Hz, 1H, H-3), 5.13–5.20 (td, J1,3 = 12.0 Hz, J1,2 = 8.0 Hz, 1H, H-12), 7.07–7.09 (d, J = 8.0 Hz, 1H, Ar-H), 7.28–7.31 (t, J1,2 = 6.0 Hz, J1,3 = 12.0 Hz, 1H, Ar-H), 7.50–7.54 (td, J1,3 = 8.0 Hz, J1,2 = 4.0 Hz, 1H, Ar-H), 8.05–8.08 (dd, J1,2 = 4.0 Hz, J1,3 = 8.0 Hz, 1H, Ar-OH); 13C-NMR (CDCl3, 100 MHz, ppm): 39.05 (C-1), 28.12 (C-2), 78.95 (C-3), 38.85 (C-4), 55.90 (C-5), 18.39 (C-6), 33.04 (C-7), 39.67 (C-8), 49.78 (C-9), 37.33 (C-10), 30.44 (C-11), 75.53 (C-12), 45.34 (C-13), 52.17 (C-14), 30.88 (C-15), 25.86 (C-16), 53.63 (C-17), 15.90 (C-18), 15.99 (C-19), 75.24 (C-20), 22.94 (C-21), 34.47 (C-22), 16.65 (C-23), 37.23 (C-24), 70.72 (C-25), 32.09 (C-26), 27.40 (C-27), 28.55 (C-28), 15.51 (C-29), 18.29 (C-30); Structure of acetylsalicylic acid: 123.98 (C-8), 124.65 (C-7), 125.89 (C-6), 132.16 (C-5), 133.48 (C-4), 150.87 (C-3), 163.66 (C-2), 169.67 (C-1, C=O), 21.33 (C-9, CH3).
20(R)-Dammarane-20,25-diol-12β-o-acetyl-3β-yl-2′-hydroxybenzoate (6b, C39H60O7). White solid, melting point: 278–280 °C, 1H-NMR (CDCl3, 400 MHz, ppm): δ 0.94 (s, 6H), 0.98 (s, 3H), 1.02 (s, 3H), 1.04 (s, 3H), 1.11 (s, 3H),1.22 (s, 6H), 4.74–4.78 (dd, J1,3 = 8.0 Hz, J1,2 = 4.0 Hz, 2H, H-12, H-3), 6.85–6.89 (t, J1,3 = 16.0 Hz, J1,2 = 8.0 Hz, 1H, Ar-H), 6.97–6.99 (d, J1,2 = 8.0 Hz, 1H, Ar-H), 7.42–7.47 (td, J1,3 = 12.0 Hz, J1,2 = 4.0 Hz, 1H, Ar-H), 7.80–7.83 (dd, J1,3 = 8.0 Hz, J1,2 = 4.0 Hz, 1H, Ar-H), 10.92 (s, 1H, Ar-OH); 13C-NMR (CDCl3, 100 MHz, ppm): 39.92 (C-1), 28.29 (C-2), 82.08 (C-3), 38.64 (C-4), 56.10 (C-5), 18.10 (C-6), 34.64 (C-7), 42.77 (C-8), 49.16 (C-9), 38.41 (C-10), 31.83 (C-11), 76.64 (C-12), 49.05 (C-13), 52.94 (C-14), 31.72 (C-15), 27.36 (C-16), 50.16 (C-17), 16.42 (C-18), 16.84 (C-19), 73.87 (C-20), 23.16 (C-21), 44.59 (C-22), 18.28 (C-23), 45.66 (C-24), 71.27 (C-25), 29.85 (C-26), 29.60 (C-27), 28.52 (C-28), 15.64 (C-29), 17.78 (C-30), 21.71 (–CH3), 169.94 (–C=O). Structure of salicylic acid: 113.17 (C-1), 117.75 (C-3), 119.18 (C-5), 129.85 (C-6), 135.62 (C-4), 161.89 (C-2), 169.75 (–C=O); MS: m/z 640.89 [M + H]+.
20(R)-Dammarane-20,25-diol-12β-o-acetyl-3β-yl-2′-acetylbenzoate (7b, C39H62O8). White solid, melting point: 268–270 °C, 1H-NMR (CDCl3, 400 MHz, ppm): δ 0.91 (s, 6H), 0.96 (s, 6H), 1.02 (s, 3H), 1.10 (s, 3H), 1.21 (s, 6H), 4.68–4.78 (m, 2H, H-12, H-3), 7.08–7.70 (d, J1,2 = 8.0 Hz, 1H, Ar-H), 7.27–7.31 (t, J1,3 = 8.0 Hz, J1,2 = 4.0 Hz, 1H, Ar-H), 7.51–7.55 (td, J1,3 = 8.0 Hz, J1,2 = 4.0 Hz,1H, Ar-H), 7.95–7.98 (dd, J1,3 =8.0 Hz, J1,2 = 4.0 Hz, 1H, Ar-H); 13C-NMR (CDCl3, 100 MHz, ppm): 38.32 (C-1), 28.19 (C-2), 81.35 (C-3), 38.66 (C-4), 56.12 (C-5), 18.07 (C-6), 34.63 (C-7), 39.87 (C-8), 50.15 (C-9), 37.23 (C-10), 32.05 (C-11), 76.62 (C-12), 49.11 (C-13), 52.89 (C-14), 31.79 (C-15), 27.33 (C-16), 51.35 (C-17), 16.42 (C-18), 16.87 (C-19), 73.85 (C-20), 22.81 (C-21), 44.55 (C-22), 18.24 (C-23), 45.62 (C-24), 71.21 (C-25), 29.56 (C-26), 29.48 (C-27), 29.31 (C-28), 15.60 (C-29), 17.74 (C-30), 21.69 (–CH3), 169.82 (–C=O). Structure of acetylsalicylic acid: 169.72 (C-1, –C=O), 164.02 (C-2), 150.90 (C-3), 133.65 (C-4), 131.41 (C-5), 126.01 (C-6), 124.04 (C-7), 123.88 (C-8), 21.25 (C-9, –CH3). MS: m/z 682.93 [M + H]+.
20(R)-Dammarane-12β,20,25-diol-3β-yl-2′-acetylbenzoate (8b, C37H60O7). White solid, melting point: 254–256 °C, 1H-NMR (CDCl3, 400 MHz, ppm): δ 0.90 (s, 3H), 0.91 (s, 3H), 0.94 (s, 3H), 0.97 (s, 3H), 1.01 (s, 3H), 1.15 (s, 3H), 1.24 (s, 6H), 3.62–3.68 (td, J1,3 = 12.0 Hz, J1,2 = 4.0 Hz, 1H, H-12), 4.68–4.72 (dd, J1,3 = 12.0 Hz,, J1,2 = 8.0 Hz, 1H, H-3), 7.09–7.11 (d, J = 8.0 Hz, 1H, Ar-H), 7.28–7.32 (t, J1,3 = 8.0 Hz, J1,2 = 3.5 Hz, 1H, Ar-H), 7.52–7.56 (td, J1,3 = 8.0 Hz, J1,2 = 4.0 Hz, 1H, Ar-H), 7.97–7.99 (dd, J1,3 = 8.0 Hz, J1,2 = 4.0 Hz, 1H); 13C-NMR (CDCl3, 100 MHz, ppm): 39.81 (C-1), 28.23 (C-2), 81.59 (C-3), 38.33 (C-4), 56.17 (C-5), 17.85 (C-6), 34.83 (C-7), 39.91 (C-8), 50.07 (C-9), 37.20 (C-10), 31.36 (C-11), 71.34 (C-12), 48.47 (C-13), 51.78 (C-14), 51.78 (C-15), 31.16 (C-16), 50.13 (C-17), 16.39 (C-18), 16.91 (C-19), 74.80 (C-20), 21.99 (C-21), 42.98 (C-22), 18.30 (C-23), 44.23 (C-24), 71.15 (C-25), 29.56 (C-26), 29.41 (C-27), 28.46 (C-28), 15.81 (C-29), 17.25 (C-30). Structure of acetylsalicylic acid: 169.82 (C-1, –C=O), 164.16 (C-2), 150.89 (C-3), 133.68 (C-4), 131.50 (C-5), 126.07 (C-6), 124.09 (C-7), 123.90 (C-8), 21.30 (C-9, –CH3); MS: m/z 640.89 [M + H]+.

4.4. Cytotoxicity Assay

In the study, five cancer cell lines (human colon cancer cells (HT-29), gastric cancer cells (BGC-823), cervical cancer cells (Hela), human breast cancer cells (MCF-7), and human lung cancer cells A549)), and two normal cell lines (human gastric epithelial cells (GES-1) and human ovarian epithelial cells (IOSE144)) were used for the evaluation of biological activity. IOSE144 cells were donated by Professor Piao Huri of Yanbian University, all other cells were purchased from the American Type Culture Collection (ATCC, Manassas, VA, USA). Cells were cultured in Dulbecco’s Modified Eagle’s Medium (DMEM), supplemented with 10% heat-inactivated fetal bovine serum (FBS), 1% 100 μg/mL penicillin and 100 μg/mL streptomycin in a humidified atmosphere containing 5% CO2 at 37 °C. Cell viability was measured using the MTT assay. Cells were seeded in 96 well microtiter plates in a volume of 100 μL medium. All compounds tested were dissolved and further diluted in DMSO. After overnight incubation, cells were treated with different test concentrations or carrier solvents alone in a final volume of 100 μL with five replicates each. The concentration of DMSO did not exceed 0.1%. Cells were treated with compound (80, 40, 20, 10, 5 μM) for 48 h. Then, 10 μL of MTT (5 mg/mL) was added to each well and the cells were incubated at 37 °C in the dark for 4 h. Supernatants were removed and formazan crystals were dissolved in DMSO (100 μL/well). The solution was agitated for 10 min, and the absorbance was measured at 490 nm using microplate reader (imark, BIO-RAD, Hercules, CA, USA) to calculate the 50% inhibitory concentration (IC50). Ginsenoside-Rg3, panaxadiol sapogenin (PD), AD-2 (25-OH-PPD) and AD-1 (25-OCH3-PPD) were used as standard reference compounds.

4.5. Cell Cycle Distribution Assay

MCF-7 cells treated with 30 μM of compound 3b were incubated for 24 h in CO2 incubator. AD-1 was tested as a positive control, and the experimental concentration of AD-1 was 30 μM. Cells were trypsinized, harvested, washed with PBS, and fixed with 75% ethanol overnight at −20 °C. Next, fixed cells were washed with PBS and stained for 4 h in the dark with a PI solution consisting of 50 μg/mL PI, 50 μg/mL RNase, 0.1% sodium citrate and 0.1% Triton X-100 (pH 8.0) [22]. Cell cycle distribution was determined using FACScan (Becton Dickinson, Franklin Lakes, NJ, USA).

4.6. Wound Healing Assay

MCF-7 cells were seeded in 10-cm dishes at a concentration of 1 × 105 cells/ mL and grown overnight. Then, a wound was created in the monolayer of cells by scratching the monolayer with a sharp tip followed by another 24 h of incubation in the presence of 30 μM of compound 3b or 0.1% DMSO under serum-free conditions, 30 μM of AD-1 as a positive control. The gap created was measured under a microscope to provide an indication of the wound healing capability of the cells [23].

4.7. Statistical Analysis

Data are presented as the mean ± S.E.M. Statistical analysis was performed using IBM SPSS 19.0 (IBM, Chicago, IL, USA) software and GraphPad Prism 5 (GraphPad software, San Diego, CA, USA) software.

Supplementary Materials

1H and 13C-NMR spectra of compounds.

Author Contributions

L.X. and Y.Z. designed the experiments; L.X. performed the experiments; S.X. finished the anticancer activity evaluation. W.Y. provided data analysis help; J.C. completed revision of the draft work; G.S. provided funding support and revision; Y.Z. provided critical intellectual input in this study; all authors participated in the preparation of the manuscript.

Funding

This work was supported by the Technology Platform of Industrialization Chromatographic Preparation for Standard Extract of Traditional Chinese Medicine (2010ZX09401-304-105B) and Liaoning (FGW) Engineering Technology Research Center for industrial chromatographic preparation of natural innovative drugs materials (2017-1007).

Acknowledgments

We are grateful to the Analytical Center of Shenyang Pharmaceutical University for identification of the measurements of NMR.

Conflicts of Interest

The authors declare no conflict of interest.

References

  1. Xu, D.Y. The name of Sanqi and its textual research time. J. Guangxi Tradit. Chin. Med. Coll. 2000, 17, 91–94. [Google Scholar]
  2. Zhang, X.; Zhang, S.L.; Sun, Q.T.; Jiao, W.J.; Yan, Y.; Zhang, X.W. Compound K Induces Endoplasmic Reticulum Stress and Apoptosis in Human Liver Cancer Cells by Regulating STAT3. Molecules 2018, 23, 1482. [Google Scholar] [CrossRef] [PubMed]
  3. Park, M.T.; Cha, H.J.; Jeong, J.W.; Kim, S.I.; Chung, H.Y.; Kim, N.D.; Kim, O.H.; Kim, K.W. Glucocorticoid receptor-induced down-regulation of MMP-9 by ginseng components, PD and PT contributes to inhibition of the invasive capacity of HT1080 human fibrosarcoma cells. Mol. Cells 1999, 9, 476–480. [Google Scholar] [PubMed]
  4. Ni, W.; Zhang, X.; Wang, B.; Chen, Y.; Han, H.; Fan, Y.; Zhou, Y.; Tai, G. Antitumor activities and immunomodulatory effects of ginseng neutral polysaccharides in combination with 5-fluorouracil. J. Med. Food 2010, 13, 270–277. [Google Scholar] [CrossRef] [PubMed]
  5. Zhu, J.R.; Tao, Y.F.; Lou, S.; Wu, Z.M. Protective effects of ginsenoside Pb(3) on oxygen and glucose deprivation-induced ischemic injury in PC12 cells. Acta Pharmacol. Sin. 2010, 31, 273–280. [Google Scholar] [CrossRef] [PubMed]
  6. Kim, M.H.; Byon, Y.Y.; Ko, E.J.; Song, J.Y.; Yun, Y.S.; Shin, T. Immunomodulatory activity of ginsan, a polysaccharide of panax ginseng, on dendritic cells. Korean J. Physiol. Pharmacol. 2009, 13, 169–176. [Google Scholar] [CrossRef] [PubMed]
  7. Lee, J.H.; Lee, J.H.; Lee, Y.M.; Kim, P.N.; Jeong, C.S. Potential analgesic and anti-inflammatory activities of Panax ginseng head butanolic fraction in animals. Food Chem. Toxicol. 2008, 46, 3749–3756. [Google Scholar] [CrossRef] [PubMed]
  8. Gao, W.Q.; Jia, L.; Zhao, Y.Q. Advances in anti-cancer effects and mechanisms of ginseng. Drug Eval. Study 2011, 34, 53–57. [Google Scholar]
  9. Huang, F.; Xiang, F.J.; Wu, J.X. Advances in extraction and separation of Panax notoginseng saponins and their monomers. Chin. Herb. Med. 2009, 32, 999–1002. [Google Scholar]
  10. Guo, Y.M.; Zhao, Y.Q. Advances in research on structure-activity relationship of dammarane-type saponins (element) against tumor activity. Chin. Herb. Med. 2009, 40, 33–35. [Google Scholar]
  11. Liu, Y.F.; Yuan, H.N.; Bi, X.L.; Piao, H.R.; Zhao, Y.Q. 25-Methoxylprotopanaxadiol derivatives and their anti-proliferative activities. Steroids 2013, 78, 1305–1311. [Google Scholar] [CrossRef] [PubMed]
  12. Liu, X.K.; Ye, B.J.; Wu, Y.; Zhao, Y.Q.; Piao, H.R. Synthesis and anti-tumor evaluation of panaxadiol derivatives. Eur. J. Med. Chem. 2011, 46, 1997–2002. [Google Scholar] [CrossRef] [PubMed]
  13. Wang, P.; Bi, X.L.; Guo, Y.M.; Cao, J.Q.; Zhang, S.J.; Yuan, H.N.; Piao, H.R.; Zhao, Y.Q. Semi-synthesis and anti-tumor evaluation of novel 25-hydroxyprotopanaxadiol derivatives. Eur. J. Med. Chem. 2012, 55, 137–145. [Google Scholar] [CrossRef] [PubMed]
  14. Voutsadakis, I.A.; Patrikidou, A.; Tsapakidis, K.; Karagiannaki, A.; Hatzidaki, E.; Stathakis, N.E.; Papandreou, C.N. Additive inhibition of colorectal cancer cell lines by acetylsalicylic acid and bortezomib. Int. J. Colorectal Dis. 2010, 25, 795–804. [Google Scholar] [CrossRef] [PubMed]
  15. Xu, G.Y. Acetylsalicylic acid plays a new role in cancer. Med. Econ. Rep. 2012, 3, 1–3. [Google Scholar]
  16. Wu, X.S.; Liu, J. Effect of acetylsalicylic acid on proliferation and apoptosis of human colon cancer cell line Caco_2. Chin. Geriatr. Health Med. 2014, 12, 821–822. [Google Scholar]
  17. Guan, Y.Z.; Wang, Z.Z. Inhibitory effect of low-dose acetylsalicylic acid on proliferation of prostate cancer cells. Chin. Exp. Diagn. 2014, 18, 821–822. [Google Scholar]
  18. Cheng, Q.Q.; Shi, H.D.; Wang, H.X.; Wang, J. Asplatin enhances drug efficacy by altering the cellular response. Metallomics 2016, 8, 672–678. [Google Scholar] [CrossRef] [PubMed]
  19. Wu, K.K. Aspirin and Salicylate: An old Remedy with a New Twist. Circulation 2000, 102, 20–22. [Google Scholar] [CrossRef]
  20. Liu, X.L.; Chen, J.; Dai, B.C. Synthesis and antitumor activity of salicylic acid-α-aminophosphonate derivatives. Henan Sci. 2017, 7, 202–204. [Google Scholar]
  21. Qu, F.Z.; Zhao, C.; Liu, Y.F.; Cao, J.Q.; Li, W.; Zhao, Y.Q. Semi-synthesis and anti-tumor evaluation of novel 25-hydroxyprotopanaxadiol derivatives as apoptosis inducing agents. MedChemComm 2015, 6, 2004–2011. [Google Scholar] [CrossRef]
  22. Zhang, X.S.; Cao, J.Q.; Zhao, C.; Wang, X.D.; Wu, X.J.; Zhao, Y.Q. Novel dammarane-type triterpenes isolated from hydrolyzate of total Gynostemma pentaphyllum saponins. Bioorg. Med. Chem. Lett. 2015, 25, 3095–3099. [Google Scholar] [CrossRef] [PubMed]
  23. Bi, X.L.; Xia, X.C.; Mou, T.; Jiang, B.W.; Fan, D.D.; Wang, P.; Liu, Y.F.; Hou, Y.; Zhao, Y.Q. Anti-tumor activity of three ginsenoside derivatives in lung cancer is associated with Wnt/β-catenin signaling inhibition. Eur. J. Pharmacol. 2014, 5, 145–148. [Google Scholar] [CrossRef] [PubMed]
Sample Availability: Samples of the compounds are not available from the authors.
Figure 1. (A)The structure of 25-methoxyprotopanaxadiol (25-OCH3-PPD, AD-1); (B) the structureof 25-hydroxyprotopanaxadiol (25-OH-PPD, AD-2); (C) the structure of panaxadiol (PD).
Figure 1. (A)The structure of 25-methoxyprotopanaxadiol (25-OCH3-PPD, AD-1); (B) the structureof 25-hydroxyprotopanaxadiol (25-OH-PPD, AD-2); (C) the structure of panaxadiol (PD).
Molecules 23 03021 g001
Figure 2. Cell cycle distribution assay. (A) MCF-7 cells treated with compound 3b; (B) IOSE144 cells treated with compound 3b; (C) MCF-7 cells treated with positive control (AD-1).
Figure 2. Cell cycle distribution assay. (A) MCF-7 cells treated with compound 3b; (B) IOSE144 cells treated with compound 3b; (C) MCF-7 cells treated with positive control (AD-1).
Molecules 23 03021 g002
Figure 3. Wound distance of MCF-7 with 3b and AD-1.
Figure 3. Wound distance of MCF-7 with 3b and AD-1.
Molecules 23 03021 g003
Scheme 1. Synthesis of compound 10a12a. i. DCC, DMAP, Salicylic acid, CH2Cl2, r.t, 24h.
Scheme 1. Synthesis of compound 10a12a. i. DCC, DMAP, Salicylic acid, CH2Cl2, r.t, 24h.
Molecules 23 03021 sch001
Scheme 2. Separation process of ginsenoside salicylic acid derivatives. a: P:E = 25:1; b: P:E = 20:1; c: P:A = 6:1 (Thin layer chromatography); d: P:A = 4:1 (Thin layer chromatography); e: P:E = 10:1; f: P:E = 8:1; g: P:E = 6:1; h: P:A = 6:1; j: P:E = 1:1. P: Petroleum ether; E: Ethyl acetate; A: Acetone.
Scheme 2. Separation process of ginsenoside salicylic acid derivatives. a: P:E = 25:1; b: P:E = 20:1; c: P:A = 6:1 (Thin layer chromatography); d: P:A = 4:1 (Thin layer chromatography); e: P:E = 10:1; f: P:E = 8:1; g: P:E = 6:1; h: P:A = 6:1; j: P:E = 1:1. P: Petroleum ether; E: Ethyl acetate; A: Acetone.
Molecules 23 03021 sch002
Scheme 3. Synthesis of compound 1b8b. ii: Acetic anhydride, Triethylamine, CH2Cl2, r.t, 2h.
Scheme 3. Synthesis of compound 1b8b. ii: Acetic anhydride, Triethylamine, CH2Cl2, r.t, 2h.
Molecules 23 03021 sch003
Table 1. Products of ginsenosides with salicylic acid and acetylsalicylic acid.
Table 1. Products of ginsenosides with salicylic acid and acetylsalicylic acid.
CompoundStructureCompoundStructure
1a Molecules 23 03021 i00111a Molecules 23 03021 i002
2a Molecules 23 03021 i00312a Molecules 23 03021 i004
3a Molecules 23 03021 i0051b Molecules 23 03021 i006
4a Molecules 23 03021 i0072b Molecules 23 03021 i008
5a Molecules 23 03021 i0093b Molecules 23 03021 i010
6a Molecules 23 03021 i0114b Molecules 23 03021 i012
7a Molecules 23 03021 i0135b Molecules 23 03021 i014
8a Molecules 23 03021 i0156b Molecules 23 03021 i016
9a Molecules 23 03021 i0177b Molecules 23 03021 i018
10a Molecules 23 03021 i0198b Molecules 23 03021 i020
Table 2. Antitumor activity and cytotoxicity of ginsenoside derivatives (IC50, μM).
Table 2. Antitumor activity and cytotoxicity of ginsenoside derivatives (IC50, μM).
CompoundCell Lines
HT-29BGC-823HelaMCF-7A549GES-1IOSE144
1a9.23 ± 0.0811.84 ± 0.213.23 ± 0.3420.31 ± 0.1115.69 ± 0.10>100>100
2a32.58 ± 0.2340.85 ± 0.4516.53 ± 0.2325.69 ± 0.4326.45 ± 0.14>100>100
3a10.53 ± 0.2515.12 ± 0.249.78 ± 0.035.34 ± 0.0412.95 ± 0.25>100>100
4a50.64 ± 1.0313.25 ± 0.1819.26 ± 0.1411.13 ± 0.3535.62 ± 0.56>100>100
5a18.35 ± 0.4760.52 ± 1.1121.56 ± 1.0818.46 ± 0.2322.51 ± 0.46>100>100
6a>100>10020.36 ± 0.36>10019.35 ± 0.59>100>100
7a22.69 ± 0.4670.56 ± 2.1235.23 ± 1.2429.10 ± 0.698.52 ± 0.15>100>100
8a>100>100>10050.69 ± 1.3447.15 ± 0.59>100>100
9a11.54 ± 0.2326.52 ± 0.2637.26 ± 0.3950.44 ± 0.1135.86 ± 0.41>100>100
10a30.25 ± 0.02>100>10041.38 ± 0.4829.46 ± 0.61>100>100
11a26.52 ± 0.5641.86 ± 0.43>10011.54 ± 1.4723.78 ± 1.36>100>100
12a>100>100>10060.14 ± 2.4550.23 ± 0.94>100>100
1b12.25 ± 0.289.65 ± 0.6111.34 ± 0.147.65 ± 0.2913.26 ± 0.11>100>100
2b5.27 ± 0.148.12 ± 0.2516.22 ± 0.3410.25 ± 0.0515.47 ± 0.13>100>100
3b10.69 ± 0.1211.24 ± 0.1620.94 ± 0.542.56 ± 0.0914.37 ± 0.04>100>100
4b36.12 ± 0.2850.26 ± 0.3948.75 ± 0.3739.41 ± 0.6825.45 ± 0.77>100>100
5b20.12 ± 0.7426.24 ± 0.0218.65 ± 0.1324.36 ± 0.1514.13 ± 0.52>100>100
6b15.23 ± 0.4140.62 ± 1.0548.31 ± 2.16>100>100>100>100
7b28.56 ± 0.6518.42 ± 0.3519.53 ± 0.1922.59 ± 1.0228.44 ± 0.95>100>100
8b13.25 ± 0.0510.25 ± 0.2910.03 ± 0.5314.67 ± 0.246.12 ± 0.10>100>100
Salicylic acid *83.16 ± 1.65>100>100>100>100>100>100
Acetyl-salicylic acid *70.26 ± 0.3887.67 ± 0.78>10057.12 ± 1.7090.46 ± 2.13>100>100
PD *73.44 ± 1.8480.13 ± 0.3672.15 ± 0.5261.96 ± 1.6343.13 ± 1.05>100>100
AD-2 *18.69 ± 0.2844.25 ± 1.0648.63 ± 1.2449.64 ± 1.3534.26 ± 0.87>100>100
AD-1 *16.58 ± 0.2516.57 ± 0.4512.99 ± 0.067.34 ± 0.1934.32 ± 0.31>100>100
Rg3 *>100>10085.23 ± 1.5992.12 ± 2.36>100>100>100
*: Positive control: known anti-cancer active compounds.

Share and Cite

MDPI and ACS Style

Xu, L.; Xiao, S.; Yuan, W.; Cui, J.; Su, G.; Zhao, Y. Synthesis and Anticancer Activity Evaluation of Hydrolyzed Derivatives of Panaxnotoginseng Saponins. Molecules 2018, 23, 3021. https://doi.org/10.3390/molecules23113021

AMA Style

Xu L, Xiao S, Yuan W, Cui J, Su G, Zhao Y. Synthesis and Anticancer Activity Evaluation of Hydrolyzed Derivatives of Panaxnotoginseng Saponins. Molecules. 2018; 23(11):3021. https://doi.org/10.3390/molecules23113021

Chicago/Turabian Style

Xu, Lei, Shengnan Xiao, Weihui Yuan, Jiongmo Cui, Guangyue Su, and Yuqing Zhao. 2018. "Synthesis and Anticancer Activity Evaluation of Hydrolyzed Derivatives of Panaxnotoginseng Saponins" Molecules 23, no. 11: 3021. https://doi.org/10.3390/molecules23113021

APA Style

Xu, L., Xiao, S., Yuan, W., Cui, J., Su, G., & Zhao, Y. (2018). Synthesis and Anticancer Activity Evaluation of Hydrolyzed Derivatives of Panaxnotoginseng Saponins. Molecules, 23(11), 3021. https://doi.org/10.3390/molecules23113021

Article Metrics

Back to TopTop