Effects of Postharvest Time, Heat Treatment, pH and Filtration on the Limonin Content in Newhall Navel Orange (Citrus sinensis Osbeck cv. Newhall) Juice
Abstract
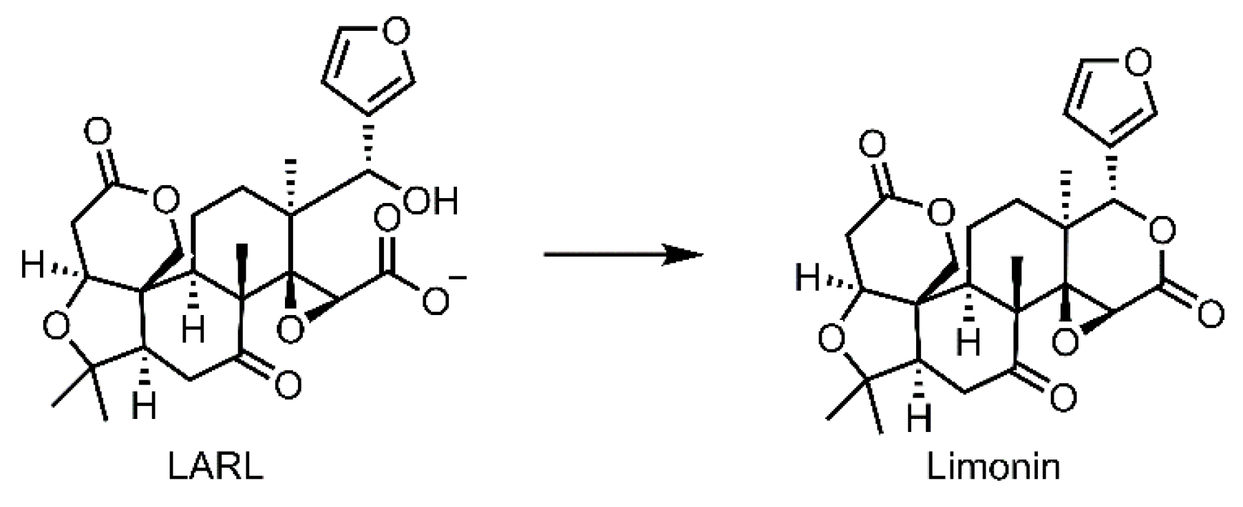
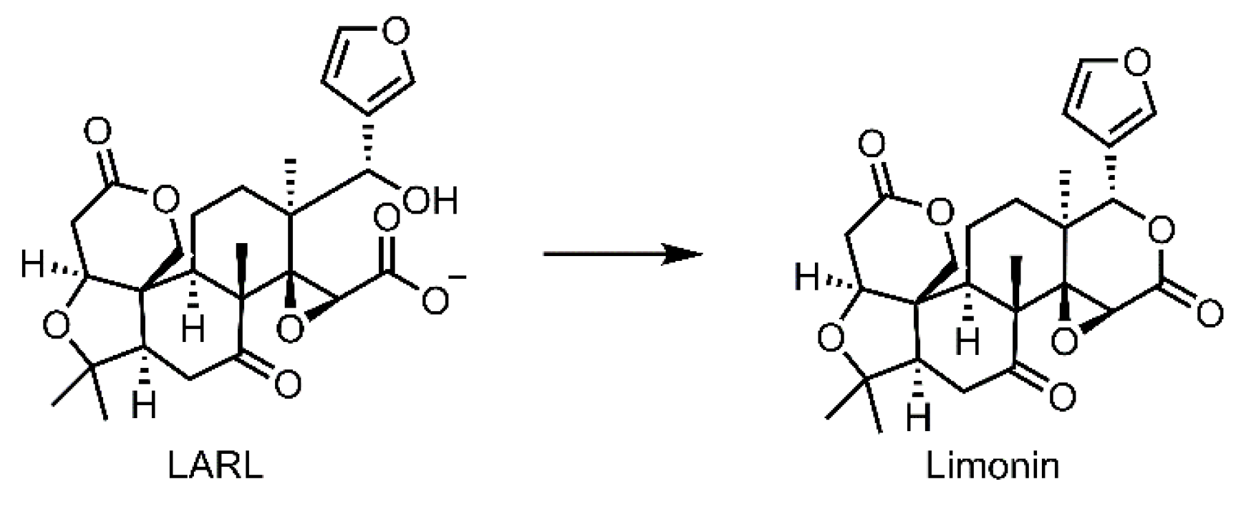
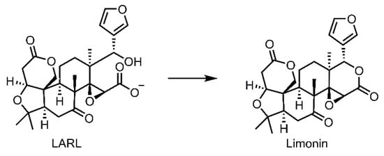
:1. Introduction
2. Results and Discussion
2.1. Limonin Extraction and Its Measurement by HPLC
2.2. Effect of Postharvest Time on the Limonin Content in Juice
2.3. Effect of Heat Treatment on the Limonin Content in Juice
2.4. Effect of pH on the Limonin Content in Juice
2.5. Effect of Filtration on the Limonin Content in Juice
3. Materials and Methods
3.1. Chemicals
3.2. Fruits Materials
3.3. Effect of Postharvest Time on the Limonin Content in Juice
3.4. Effect of Heat Treatment on the Limonin Content in Juice
3.5. Effect of pH on the Limonin Content in Juice
3.6. Effect of Filtration on the Limonin Content in Juice
3.7. Limonin Extraction from Juice Samples
3.8. Measurement of Limonin by HPLC
3.9. Establishment of External Standard Curve and Validation of the HPLC Method
3.10. Statistical Analysis
4. Conclusions
Supplementary Materials
Author Contributions
Funding
Conflicts of Interest
References
- Fernández-Vázquez, R.; Stinco, C.M.; Hernanz, D.; Heredia, F.J.; Vicario, I.M. Industrial orange juice debittering: Effect on volatile compounds and overall quality attributes. Int. J. Food Sci. Technol. 2013, 48, 1861–1867. [Google Scholar] [CrossRef]
- Fayoux, S.C.; Hernandez, R.J.; Holland, R.V. The debittering of navel orange juice using polymeric films. J. Food Sci. 2007, 72, 143–154. [Google Scholar] [CrossRef] [PubMed]
- Ozaki, Y.; Ayano, S.; Inaba, N.; Miyake, M.; Berhow, M.A.; Hasegawa, S. Limonoid glucosides in fruit, juice and processing by-products of Satsuma mandarin (Chus unshiu Marcov.). J. Food Sci. 1995, 60, 186–189. [Google Scholar] [CrossRef]
- Abbasi, S.; Zandi, P.; Mirbagheri, E. Quantitation of limonin in Iranian orange juice concentrates using high-performance liquid chromatography and spectrophotometric methods. Eur. Food Res. Technol. 2005, 221, 202–207. [Google Scholar] [CrossRef]
- Kefford, J.F. The chemical constituents of citrus fruits. In Advances in Food Research; Academic Press: New York, NY, USA, 1960; pp. 285–372. [Google Scholar]
- Maier, V.P.; Beverly, G.D. Limonin monolactone, the nonbitter precursor responsible for delayed bitterness in certain citrus juices. J. Food Sci. 1968, 33, 488–492. [Google Scholar] [CrossRef]
- Maier, V.P.; Hasegawa, S.; Hera, E. Limonin D-ring-lactone hydrolase: A new enzyme from Citrus seeds. Phytochemistry 1969, 8, 405–407. [Google Scholar] [CrossRef]
- Breksa, A.P.; Manners, G.D. Determination of limonin D-ring lactone hydrolase activity by solid phase extraction with indirect fluorescence detection. J. Agric. Food Chem. 2004, 52, 3772–3775. [Google Scholar] [CrossRef] [PubMed]
- Glabasnia, A.; Hofmann, T. On the non-enzymatic liberation of limonin and C17-epilimonin from limonin-17-β-d-glucopyranoside in orange juice. Eur. Food Res. Technol. 2008, 228, 55–63. [Google Scholar] [CrossRef]
- Glabasnia, A.; Dunkel, A.; Frank, O.; Hofmann, T. Decoding the nonvolatile sensometabolome of orange juice (Citrus sinensis). J. Agric. Food Chem. 2018, 66, 2354–2369. [Google Scholar] [CrossRef] [PubMed]
- Hasegawa, S.; Miyake, M. Biochemistry and biological functions of citrus limonoids. Food Rev. Int. 1996, 12, 413–435. [Google Scholar] [CrossRef]
- Liguori, G.; Gugliuzza, G.; Inglese, P. Evaluating carbon fluxes in orange orchards in relation to planting density. J. Agric. Sci. 2009, 147, 637–645. [Google Scholar] [CrossRef]
- Zhao, X.; Finlay, D.; Kneafsey, M. The effectiveness of contemporary geographical indications (GIs) schemes in enhancing the quality of Chinese agrifoods–Experiences from the field. J. Rural Stud. 2014, 36, 77–86. [Google Scholar] [CrossRef]
- The Peoples’s Government of Ganzhou. Available online: http://xxgk.ganzhou.gov.cn/c100459rf/2018-03/01/content_03de56c9beb842e6908009c18a589531.shtml (accessed on 15 September 2018).
- Hasegawa, S.; Brewster, L.C.; Maier, V.P. Use of limonoate dehydrogenase of Arthrobacter globiformis for the prevention or removal of limonin bitterness in citrus products. J. Food Sci. 1973, 38, 1153–1155. [Google Scholar] [CrossRef]
- Chandler, B.V.; Johnson, R.L. Cellulose acetate as a selective sorbent for limonin in orange juice. J. Sci. Food Agric. 1977, 28, 875–884. [Google Scholar] [CrossRef]
- Mongkolkul, P.; Rodart, P.; Pipatthitikorn, T.; Meksut, L.; Sa-Nguandeekul, R. Debittering of tangerine Citrus reticulata Blanco juice by β-cyclodextrin polymer. J. Incl. Phenom. Macrocycl. Chem. 2006, 56, 167–170. [Google Scholar] [CrossRef]
- Binello, A.; Robaldo, B.; Barge, A.; Cavalli, R.; Cravotto, G. Synthesis of cyclodextrin-based polymers and their use as debittering agents. J. Appl. Polym. Sci. 2008, 107, 2549–2557. [Google Scholar] [CrossRef]
- Cánovas, M.; García-Cases, L.; Iborra, J. Limonin consumption at acidic pH values and absence of aeration by Rhodococcus fascians cells in batch and immobilized continuous systems. Enzyme Microb. Technol. 1998, 22, 111–116. [Google Scholar] [CrossRef]
- Prakash, S.; Singhal, R.S.; Kullkami, P.R. Enzymic debittering of Indian grapefruit (Citrus paradisi) juice. J. Sci. Food Agric. 2002, 82, 394–397. [Google Scholar] [CrossRef]
- Hernandez, E.; Couture, R.; Rouseff, R.L.; Chen, C.S.; Barros, S. Evaluation of ultra filtration and adsorption to debitter grape fruit juice and grape fruit pulp wash. J. Food Sci. 1992, 57, 664–666. [Google Scholar] [CrossRef]
- Ribeiro, M.H.L.; Silveira, D.; Ferreira-Dias, S. Selective adsorption of limonin and naringin from orange juice to natural and synthetic adsorbents. Eur. Food Res. Technol. 2002, 215, 462–471. [Google Scholar] [CrossRef]
- Bao, Y.; Yuan, F.; Zhao, X.; Liu, Q.; Gao, Y. Equilibrium and kinetic studies on the adsorption debittering process of ponkan (Citrus reticulata Blanco) juice using macroporous resins. Food Bioprod. Process. 2015, 94, 199–207. [Google Scholar] [CrossRef]
- Konno, A.; Misaki, M.; Toda, J.; Wada, T.; Yasumatsu, K. Bitterness reduction of naringin and limonin by β-cyclodextrin. Agric. Biol. Chem. 1982, 46, 2203–2208. [Google Scholar]
- Johnson, R.L.; Candler, B.V. Debittering and de-acidification of fruit juices. Food Technol. Australia. 1986, 38, 294–297. [Google Scholar]
- Kranz, P.; Adler, P.; Kunz, B. Sorption of citrus flavor compounds on XAD-7HP resin during the debittering of grapefruit juice. Int. J. Food Sci. Technol. 2011, 46, 30–36. [Google Scholar] [CrossRef]
- Fong, C.H.; Hasegawa, S.; Coggins, C.W.; Atkin, D.R.; Miyake, M. Contents of limonoids and limonin 17-β-d-glucopyranoside in fruit tissue of valencia orange during fruit growth and maturation. J. Agric. Food Chem. 1992, 40, 1178–1181. [Google Scholar] [CrossRef]
Sample Availability: Sample of the compound limonin is available from the authors. |




© 2018 by the authors. Licensee MDPI, Basel, Switzerland. This article is an open access article distributed under the terms and conditions of the Creative Commons Attribution (CC BY) license (http://creativecommons.org/licenses/by/4.0/).
Share and Cite
Zhang, J.; Yang, Z.; Liang, Y.; Zhang, L.; Ling, W.; Guo, C.; Liang, G.; Luo, G.; Ye, Q.; Zhong, B. Effects of Postharvest Time, Heat Treatment, pH and Filtration on the Limonin Content in Newhall Navel Orange (Citrus sinensis Osbeck cv. Newhall) Juice. Molecules 2018, 23, 2691. https://doi.org/10.3390/molecules23102691
Zhang J, Yang Z, Liang Y, Zhang L, Ling W, Guo C, Liang G, Luo G, Ye Q, Zhong B. Effects of Postharvest Time, Heat Treatment, pH and Filtration on the Limonin Content in Newhall Navel Orange (Citrus sinensis Osbeck cv. Newhall) Juice. Molecules. 2018; 23(10):2691. https://doi.org/10.3390/molecules23102691
Chicago/Turabian StyleZhang, Jun, Zhiqiang Yang, Yan Liang, Linyan Zhang, Wei Ling, Can Guo, Guangling Liang, Guotian Luo, Qin Ye, and Balian Zhong. 2018. "Effects of Postharvest Time, Heat Treatment, pH and Filtration on the Limonin Content in Newhall Navel Orange (Citrus sinensis Osbeck cv. Newhall) Juice" Molecules 23, no. 10: 2691. https://doi.org/10.3390/molecules23102691
APA StyleZhang, J., Yang, Z., Liang, Y., Zhang, L., Ling, W., Guo, C., Liang, G., Luo, G., Ye, Q., & Zhong, B. (2018). Effects of Postharvest Time, Heat Treatment, pH and Filtration on the Limonin Content in Newhall Navel Orange (Citrus sinensis Osbeck cv. Newhall) Juice. Molecules, 23(10), 2691. https://doi.org/10.3390/molecules23102691

