Next Article in Journal
Hits-to-Lead Optimization of the Natural Compound 2,4,6-Trihydroxy-3-geranyl-acetophenone (tHGA) as a Potent LOX Inhibitor: Synthesis, Structure-Activity Relationship (SAR) Study, and Computational Assignment
Previous Article in Journal
Gene Delivery into the Inner Ear and Its Clinical Implications for Hearing and Balance
 
 
Font Type:
Arial Georgia Verdana
Font Size:
Aa Aa Aa
Line Spacing:
Column Width:
Background:
Article

A Unique Naphthone Derivative and a Rare 4,5-seco-Lanostane Triterpenoid from Poria cocos

1
The MOE Key Laboratory of Standardization of Chinese Medicines and SATCM Key Laboratory of New Resources and Quality Evaluation of Chinese Medicines, Institute of Chinese Materia Medica, Shanghai University of Traditional Chinese Medicine, Shanghai 201203, China
2
Shanghai R&D Center for Standardization of Chinese Medicines, Shanghai 201203, China
3
College of Pharmacy, Fujian University of Traditional Chinese Medicine, Fuzhou 350122, China
*
Author to whom correspondence should be addressed.
Molecules 2018, 23(10), 2508; https://doi.org/10.3390/molecules23102508
Submission received: 15 August 2018 / Revised: 25 September 2018 / Accepted: 26 September 2018 / Published: 30 September 2018
(This article belongs to the Section Natural Products Chemistry)

Abstract

:
A previously undescribed naphthalenone derivative, sohiracillinone (1), and a novel 4,5-seco-lanostane triterpenoid, 11β-ethoxydaedaleanic acid A (2) were isolated with two new lanostane triterpenoids, ceanphytamic acids A (3) and B (4), from the EtOH extract of Poria cocos along with 17 known compounds 521. The absolute configuration of sohiracillinone (1) was unambiguously identified by NMR and electronic circular dichroism (ECD) data. The structures of other new compounds were elucidated on the basis of NMR and mass spectroscopy (MS), and the cytotoxic activities of all the isolated components were evaluated.

Graphical Abstract

1. Introduction

Poria cocos, also named Fuling in Chinese, is the dried sclerotium of P. cocos (Schw.) Wolf, belonging to the Polyporaceae and grown in China, Japan, Korea, and North America. A well-known traditional Eastern Asian medicine, P. cocos extracts exert beneficial health effects and fight against illnesses [1]. P. cocos has important diuretic [2], antibacterial, antitumor, mitogenic, complement activating, and immune stimulating activities [3,4,5,6]. However, in the Chinese Pharmacopoeia (2015 edition), information related to the required quality standard of P. cocos was insufficient, and there has been little research done on P. cocos.
In order to determine the quality standard of P. cocos as well as appropriate index standards, we have studied the chemical composition of P. cocos. An increasing number of chemical investigations on P. cocos has occurred during the past decades, mainly focused on the isolation of triterpeniods and polysaccharides. Additionally, the lanostane triterpenes from Poria cocos (Schw.) have been reported to cause cytotoxicity towards several cancer cell lines [7,8,9]. Accordingly, we also expect to find some lead compounds which display cytotoxicity against some cancer cell lines. However, the basic skeletons of these compounds have rarely been determined and there are usually many isomers of them in P. cocos. In addition, the purification of lanostane triterpenes is very difficult, which makes research on their antitumor activity difficult. In a previous paper, we reported the chemical constituents of a water decoction of P. cocos [10]. This inspired us to conduct an additional investigation on this fungus.
Due to the low content of lanostane triterpenes, in this paper, 100 kg dried sclerotia of P. cocos were extracted with 3 × 1000 L of 95% ethanol, and the chemical constituents and pharmacological characteristics of P. cocos were investigated. We obtained 21 compounds, including four new compounds: sohiracillinone (1), 11β-ethoxydaedaleanic acid A (2), ceanphytamic acid A (3) and ceanphytamic acid B (4) (Figure 1). The compounds’ cytotoxic activity was evaluated on 11 human cancer cell lines. Compound 1 showed strong cytotoxicity against the cervical cancer cell line with an IC50 of 12.93 ± 2.38 μM, and others showed cytotoxicity against a variety of human cancer cell lines to different degrees.

2. Results and Discussion

The EtOH extract of sclerotia of P. cocos was partitioned with petroleum ether (PE), CH2Cl2, and 1-butanol (n-BuOH). The CH2Cl2 layer was chromatographed repeatedly to afford four new compounds (14 (Figure 1), along with 17 known compounds: harzianone (5) [11], sorbicillin (6) [12], 2′,3′-dihydrosorbicillin (7) [12], sohirnone A (8) [13], pachymic acid (9) [14], dehypachymic acid (10) [14], trametenolic acid (11) [15], deyhdrotrametenolic acid (12) [15], polyporenic acid C (13) [16], 3β-p-hydroxybenzoyldehydrotumulosic acid (14) [17], daedaleanic acid A (15) [18], 3β,15α-dihydroxylanosta-7,9(11),24-triene-21-oic acid (16) [19], poricoic acid A (17) [20], poricoic acid G (18) [21], dehydrosulphurenic acid (19) [22], eburicoic acid (20) [15], and tumulosic acid (21) [23]. The structures of the new compounds were established by analysis of spectroscopic data and the known ones were identified by comparison of their NMR data with those reported in the literature.
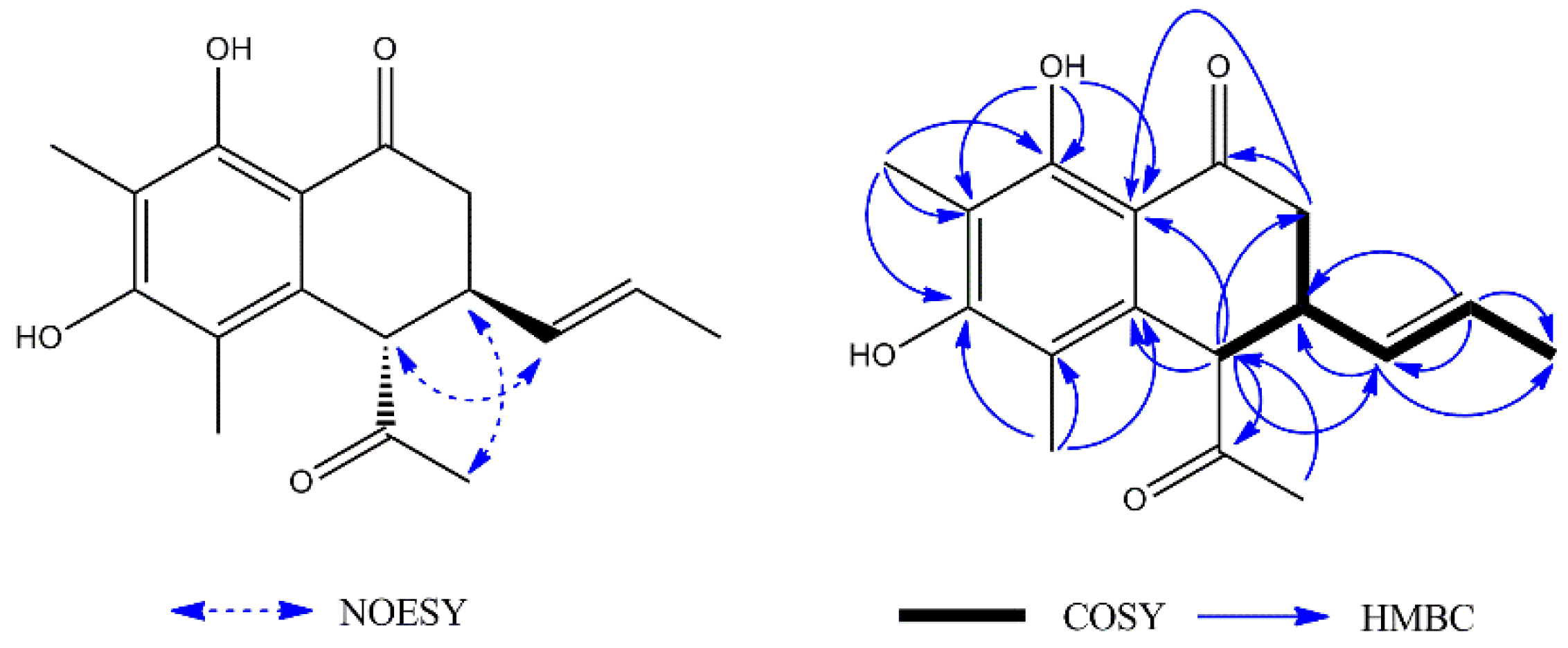
Compound 1 was obtained as a yellow oil. Its high resolution electrospray ionization mass spectrum (HRESIMS) exhibited a molecular ion peak at m/z 288.1364, corresponding to the molecular formula of C17H20O4 (calcd. 288.1362), and requiring eight degrees of unsaturation. The 13C-NMR data showed 17 carbon signals. Analyses of the 1H-NMR, 13C-NMR (Table 1), and the HSQC spectra of 1 revealed the presence of two methyl signals in a single peak (δH 2.06, δC 11.7; δH 2.13, δC 7.5), one methyl signal in a double peak (δH 1.57, J = 6.5 Hz, δC 7.5), one carbonyl group (δC 201.6), one acetyl group (δH 2.24, δC 29.5, 207.6), and one 1,2-disubstituted double bond (δH 5.37, J = 15.0, 6.2, 0.9 Hz, δC 131.6; δH 5.52, δC 127.4) with a set of aromatic carbon signals for quaternary bonds (δC 161.6; δC 159.3; δC 136.7; δC 114.0; δC 111.5; δC 109.1). Additionally, the data showed a methylene group (δH 2.53, J = 17.8 Hz, δH 2.77, J = 17.8, 5.3 Hz, δC 39.6) and two methyne groups (δH 3.22, δC 38.6; δH 4.03, δC 55.6). These spectroscopic features together with the formula indicated that 1 was a naphthalenone derivative. The difference between 1 and naphthalenone was the substituent groups on the aromatic ring and cyclohexanone. The 1H–1H COSY spectrum (Figure 2) showed the following two fragments: –CH2(C-2)–CH(C-3)–CH(C-4)– and –CH(C-9)=CH(C-10)–CH3(C-11). In addition, in the HMBC spectrum (Figure 2), the hydrogen signal of olefin H-9 (δH 5.37)/H-10 (δH 5.52) was correlated with C-3 (δC 38.6), suggesting that a propenyl moiety was located at C-3. The correlations of H-13 (δH 2.24) with C-4 (δC 55.6) and H-4 (δH 4.03) with C-12 (δC 207.6) showed that an acetyl group was located at C-4. The correlations of the hydroxy group (δH 13.29, s, 1H) with C-7 (δC 109.1) and C-8 (δC 161.6), C-8a (δC 111.5) showed it was located at C-8; the correlations of H-15 (δH 2.13) with C-6 (δC 159.3), C-7 (δC 109.1), and C-8 (δC 161.6) and the correlations of H-14 (δH 2.06) with C-4a (δC 136.7), C-5 (δC 114.0), and C-6 (δC 159.3) showed that two methyl groups were situated at C-5 and C-7 on the aromatic ring. The NOESY analysis (Figure 2) showed correlations between H-3 (δH 3.22) and H-13 (δH 2.24), H-4 (δH 4.03) and H-9 (δH 5.37) which indicated the H-3 might be α-oriented and H-4 was β-oriented. According to the established relative configuration, the pair of enantiomers of 1 are (3S,4S)-1a and (3R,4R)-1b, respectively. In order to establish the absolute configuration of 1, the electronic circular dichroism (ECD) spectrum (Figure 3) was determined, which exhibited a negative Cotton effect at 294 nm (n → π* transition). The calculated data indicated the 3S and 4S absolute configurations. Using the NMR and the CD data, the structure of 1 was determined to be (3S,4S)-4-acetyl-6,8-dihydroxy-5,7-dimethyl-3-((E)-prop-1-en-1-yl)-3,4-dihydronaphthalen-1(2H)-one, and it was named sohiracillinone.
Compound 2 was obtained as a white amorphous powder. Based on the HRESIMS, the molecular formula of 2 was determined to be C33H50O5, giving a quasi-molecular ion peak at m/z 525.3557 [M − H] (calcd. 525.3580). The 1H-NMR data (Table 2) showed signals for three methyls at δH 0.91 (3H, s, H3-18), δH 2.26 (3H, s, H3-19), δH 1.18 (3H, s, H3-30), and two mutually-coupled aromatic protons at δH 7.03 (1H, d, J = 6.2 Hz, H-6), δH 6.77 (1H, d, J = 6.2 Hz, H-7). Additionally, two pairs of equivalent secondary methyl signals were identified at δH 1.08 (3H, s, H3-28), δH 1.10 (3H, s, H3-29) and δH 1.05 (6H, overlap (ov.), H3-26 and H3-27). The 32 carbon signals observed in the 13C-NMR spectrum were sorted into eight methyls, indicating the presence of two isopropyl groups, eight methyl groups, seven methylene groups, and six methine groups, suggesting that 2 is a lanostane triterpene that is similar to daedaleanic acid A [17]. The difference between the planar structure of 2 and daedaleanic acid A is the presence of an ethoxy group at C-11. In the HMBC spectrum, H-1′ (δH 3.56, 1H, m; δH 3.38, 1H, m) was correlated with C-11 (δC 73.3) and CH3-2′ (δC 15.9), suggesting that the oxethyl group was located at C-11. The relative configuration of 2 was established by the NOESY experiment. Significant NOE correlations between H3-18 (δH 0.91, 3H, s) and H-16 (δH 4.33, 1H, t) and H-20 (δH 2.57, 1H, m), and between H3-30 (δH 1.18, 3H, s) and H-17 (δH 2.30, 1H, m) and H-11 (δH 4.47, 1H, d) indicated that OH-16 and H-17 have α-orientations. From the analysis of all of these data and from a biosynthetic point of view, the structure of 2 was assigned as shown in Figure 4 and named 11β-ethoxydaedaleanic acid A.
Compound 3 was obtained as a white amorphous powder. The HRESIMS showed a m/z at 530.3616 calcd. for C32H49O6, 530.3607 [M − H] indicated a molecular formula of C32H50O6. Its 1H-NMR (Table 2) spectrum showed the signals of eight methyl signals at δH 0.79 (3H, s, H3-18), δH 1.02 (3H, s, H3-19), δH 1.24 (3H, s, H3-26), δH 1.24 (3H, s, H3-27), δH 0.89 (3H, s, H3-28), δH 0.91 (3H, s, H3-29), δH 1.13 (3H, s, H3-30) and δH 2.03 (3H, s, H3-2′) and two oxygen-bearing methynes at δH 4.45 (1H, t, H-3) and δH 4.05 (1H, t, H-16). Its 13C-NMR (Table 2) and HSQC spectra proved the existence of eight methyl groups, as well as an acetyl carbon at δ 172.9 (C, C-1′) and a pair of tetrasubstituted olefinic carbonds at δ 135.6 (C, C-8) and δ 136.0 (C, C-9) and three oxygenated carbons at δ 82.5 (CH, C-3), δ 77.9 (CH, C-16), δ 71.1 (C, C-25). In addition, the 13C NMR and HSQC spectra also exhibited two olefinic signals at δC 126.4 (δH 5.62, 1H, ov., C-23) and δC 140.2 (δH 5.62, 1H, ov., C-24). There were 1H–1H COSY (Figure 5) correlations between H-2 (δH 1.66) and H-3 (δH 4.45), between H-5 (δH 1.16) and H-6 (δH 1.66), between H-15 (δH 2.18), H-16 (δH 4.05), H-17 (δH 2.06), H-20 (δH 2.32), H-22 (δH 2.50), and H-23 (δH 5.62). Therefore, it can be concluded that 3 was a lanost-8-ene triterpenoid. On the basis of the HMBC (Figure 5), correlations from H3-26 (δH 1.24) to CH3-27 (δC 29.8), H3-27 (δH 1.24) to CH3-26 (δC 29.8), H3-27 (δH 1.24) to C-25 (δC 71.1), and H3-26 (δH 1.24) to C-24 (δC 140.2) indicated the presence of a hydroxy group at C-25. The correlation from H-3 (δH 4.45) to C-1′ (δC 172.9) showed that the acetyl group was located at C-3. The NOE correlations between H-16 (δH 4.05) and H-20 (δH 2.32), and between H3-30 (δH 1.13) and H-17 (δH 2.06) indicated α-orientations for OH-16 and H-17. The correlation between H3-18 (δH 0.79) and H3-19 (δH 1.02), H-16 (δH 4.05) and H-20 (δH 2.32) showed that CH3-18, CH3-19 and H-20 have β-orientations. Thus, the structure of 3 was determined to be 3β-acetoxy-16α,25-dihydroxylanost-8,23-dien-21-oic acid, and it was named ceanphytamic acid A (Figure 5).
Compound 4 was obtained as a white amorphous powder. The HRESIMS showed a m/z at 546.3913 calcd. for C33H54O6, 546.3920 [M + H]+. 1H–1H COSY (Figure 6) correlations were shown between H-2 (δH 1.72) and H-3 (δH 4.59), between H-5 (δH 1.04) and H-6 (δH 1.61), and between H-15 (δH 2.34), H-16 (δH 4.47), H-17 (δH 2.30), H-20 (δH 2.86), H-22 (δH 1.24), H-23 (δH 2.33), and H-24 (δH 1.41). The 1H-NMR showed nine methyl groups at H3-18 (δH 1.05, 3H, s), H3-19 (δH 0.89, 3H, s), H3-26 (δH 1.01, 3H, s), H3-27 (δH 1.00, 3H, s), H3-28 (δH 0.84, 3H, s), H3-29 (δH 0.86, 3H, s), H3-30 (δH 1.40, 3H, s), H3-2′ (δH 2.02, 3H, s), and H3-OMe (δH 3.08, 3H, s). The 13C-NMR (Table 2) and HSQC spectrum proved the existence of nine methyl groups, as well as an acetyl carbon at C-1′ (δC 170.8) and three oxygenated carbons at C-3 (δC 80.7), C-16 (δC 76.6), and C-25 (δC 74.4). The signals observed in the 1H NMR and 13C NMR spectra (Table 2) closely resembled those of 3 except for the partial signals of the C-17 side-chain and the presence of an additional methyl group 3, indicating that 4 also had the same lanostane skeleton as 3. On the basis of the HMBC (Figure 6) correlations between H3-26 (δH 1.01) and CH3-27 (δC 25.0), H3-27 (δH 1.00) and CH3-26 (δC 25.0), H3-26 (δH 1.01) and C-25 (δC 74.4), and H3-OMe (δH 3.08) and CH3-25 (δC 74.4), the presence of a methoxy group at C-25 was indicated. The NOE correlations between H3-30 (δH 1.40) and H-17 (δH 2.30) indicated α-orientations for H-17. The correlations between H3-18 (δH 1.05) and H3-19 (δH 0.89), and between H-16 (δH 4.47) and H-20 (δH 2.86) indicated β-orientations for CH3-18, CH3-19 and H-20. Therefore, the structure of 4 (Figure 6) was determined to be 3β-acetoxy-16α-hydroxylanost-25-methoxyl-8-en-21-oic acid, and it was named ceanphytamic acid B.
All of the isolated compounds were evaluated for cytotoxicity against eleven human cancer cell lines: A549 (adenocarcinomic human alveolar basal epithelial cells, ATCC: CCL-185), Calu-1 (human lung cancer cells, ATCC: HTB-54), HeLa (human cervical cancer cells, ATCC: CCL-2), MDA-MB-231 (human breast invasive ductal carcinoma cells, ATCC: HTB-26), SW579 (human thyroid squamous cell carcinoma cells, ATCC: HTB-107), SK-OV-3 (human ovarian cancer cells, ATCC: HTB-77), T84 (human lung cancer cells, ATCC: CCL-248), Hep G2 (human liver cancer cells, ATCC: HB-8065), Hep 3B2.1-7 (human liver cancer cells, ATCC: HB-8064), KATO III (human gastric carcinoma cells, ATCC: HTB-103), MCF-7 (human breast adenocarcinoma cell, ATCC: HTB-22) by the CCK-8 method. None of compounds exhibited cytotoxicity against T84 cells, Hep G2 cells, Hep 3B2.1-7 cells, KATO III cells, or MCF-7 cells. Compound 1 showed stronger cytotoxicity against HeLa cells than the other tested compounds, and 24 showed different degree cytotoxicity against A549, SK-OV-3 and SW579 cells (Table 3). Compounds 56, 910 and 1214 showed selective inactive cytotoxicity against these cancer cell lines. However, the cytotoxic activities were far less potent compared to those of the positive controls.

3. Experimental Section

3.1. General Information

Optical rotations were obtained with an Autopol VI polarimeter (No. 90079, Rudolph Research Analytical, Hackettstown, NewJersey, USA). IR spectra were recorded with a Perkin Elmer FT-IR spectrometer (Beijing Purkinje General Istrument Co., Ltd., Beijing, People’s Republic of China). One-dimensional and two-dimensional NMR spectra were run on a AVANCE-III instrument (Bruker, Bremen, Germany) operating at 600/400 MHz for 1H, 125/100 MHz for 13C, respectively, with tetramethylsilane as an internal standard. HRESIMS spectra were obtained on a UPLC Premier QTOF spectrometer (Waters, Milford, Massachusetts, USA). Reversed phase medium pressure liquid chromatography (RP-MPLC) was performed on a GRACE system (Grace, Columbia, MD, USA). Preparative HPLC was performed on an 1260 series instrument (Agilent, Santa Clara, CA, USA) equipped with a Capcellpak C18 column (250 × 20 mm, 5 μm, flow rate: 16 mL/min, Shiseido, Tokyo, Japan). Column chromatography were performed with silica gel (200–300 mesh, Qingdao Haiyang Chemical Co., Ltd., Qingdao, China), Sephadex LH-20 (GE Healthcare Bio-Sciences AB, Stockholm, Sweden), and YMC gel ODS-AQ (50 µm, YMC Co., Ltd., Kyoto, Japan). Thin-layer chromatography (TLC) and preparative TLC were carried out on HSGF254 plates (Yantai Jiangyou Silica Gel Development Co., Ltd., Yantai, China).

3.2. Plant Material

The sclerotia of Poria cocos was purchased from Shanghai Kang Qiao Herbal Pieces Co., Ltd. (Shanghai, China), and identified by Professor Hong Xu from Shanghai University of Traditional Chinese Medicine. A voucher specimen (150910) was deposited at Shanghai R&D Center for standardization of Chinese Medicines, Shanghai, China.

3.3. Extraction and Isolation

Dried sclerotia of P. cocos (100 kg) was extracted three times, each time with 95% EtOH (1000 L) to give a crude extract (2300 g), which was suspended in water and successively partitioned with petroleum ether (PE), CH2Cl2 and n-BuOH. The CH2Cl2 extracts (804 g) were loaded into silica gel column chromatography (200–300 mesh) and eluted with a stepwise gradient of PE-EtOAc (100:1 to 1:1) and EtOAc-MeOH (20:1 to 1:1) to obtain 13 fractions (Fr. A-Fr. M) on the basis of their TLC characteristics.
Fraction B (18.4 g) was repeatedly chromatographed on silica gel (PE/EtOAc = 50:1 to 1:1) and Sephadex LH-20 (MeOH) columns to obtain six fractions (Fr. B-1 to Fr. B-6). Fr. B-2 (1.7 g) was subjected to an ODS preparative MPLC column eluted with MeOH-H2O (3:7 to 8:2, v/v), followed by Sephadex LH-20 (MeOH) and preparative HPLC (86% CH3CN in H2O, 16 mL/min) to give harzianone (5, 2.1 mg). Fr. B-3 (2.2 g) was chromatographed by preparative HPLC (82% CH3CN in H2O, 16 mL/min) to yield sorbicillin (6, 4.5 mg), 2′,3′-dihydrosorbicillin (7, 3.7 mg), sohirnone A (8, 6.2 mg). Fr. B-5 (4.0 g) was eluted repeatedly with MeOH-H2O (1:7 to 9:1, v/v) and preparative HPLC to yield sohiracillinone (1, 1.9 mg), 11β-ethoxydaedaleanic acid A (2, 1.6 mg), and daedaleanic acid A (15, 2.0 mg), respectively.
Fr. C (21.0 g) was repeatedly chromatographed on silica gel (PE/EtOAc = 50:1 to 1:1) to obtain seven fractions (Fr. C-1 to Fr. C-7). Fr. C-1 (11.5 g) was subjected to an ODS preparative MPLC column eluted with MeOH-H2O (4:5 to 9:1, v/v), and followed by preparative HPLC to yield pachymic acid (9, 0.6 g), dehypachymic acid (10, 0.5 g), and polyporenic acid C (13, 0.3 g), respectively. Fr. C-2 was also isolated by the same method as Fr.C-1 to yield deyhdrotrametenolic acid (12, 4.5 mg), trametenolic acid (11, 3.2 mg), eburicoic acid (20, 3.7 mg), and 3β-p-hydroxybenzoyl-dehydrotumulosic acid (14, 2.8 mg), respectively.
Fr. D (9.5 g) was repeatedly chromatographed on silica gel (PE/EtOAc = 50:1 to 1:1) to obtain five fractions (Fr. D-1 to Fr. D-5). Fr. D-2 (1.5 g) was subjected to an ODS preparative MPLC column eluted with MeOH-H2O (1:5 to 9:1, v/v), and followed by preparative HPLC (84% CH3CN in H2O, 16 mL/min) to yield ceanphytamic acid A (3, 2.1 mg). Fr. D-4 (2.2 g) was subjected to an ODS preparative MPLC column eluted with MeOH-H2O (1:8 to 9:1, v/v), and followed by preparative HPLC (82% CH3CN in H2O, 16 mL/min) to yield poricoic acid A (17, 3.1 mg), and poricoic acid G (18, 3.7 mg).
Fr. F (12.7 g) was repeatedly chromatographed on silica gel (PE/EtOAc = 50:1 to 1:1) to obtain seven fractions (Fr. F-1 to Fr. F-7). Fr. F-3 (0.3 g) was eluted by HPLC (84% CH3CN in H2O, 16 mL/min) to yield ceanphytamic acid B (4, 2.0 mg). Fr. F-5 (0.8 g) was eluted by HPLC (84% CH3CN in H2O, 16 mL/min) to yield 3β,15α-dihtdroxylanosta-7,9(11),24-trien-21-oic acid (16, 3.1 mg).
Fr. G (7.1 g) was repeatedly chromatographed on silica gel (PE/EtOAc = 50:1 to 1:1) to obtain three fractions (Fr. G-1 to Fr. G-3). Fr. G-1 was eluted by HPLC (78% CH3CN in H2O, 16 mL/min) to yield dehydrosulphurenic acid (19, 3.8 mg).
Fr. H (5.1 g) was repeatedly chromatographed on silica gel (PE/EtOAc = 100:1 to 1:1) to obtain three fractions (Fr. H-1 to Fr. H-3). Fr. H-2 was subjected to an ODS preparative MPLC column eluted with MeOH-H2O (1:9 to 9:1, v/v) to yield tumulosic acid (21, 3.9 mg).

3.4. Spectroscopic Data

Sohiracillinones (1): Yellow oil; [ α ] D 20 = −19.2 (c = 0.033, CHCl3). IR: 2920, 2852, 1740, 1596, 1413, 1366, 1099, 779, 720, 616 cm−1. 1H and 13C NMR are shown in Table 1. Negative HRESIMS: 288.1364 ([M − H], C17H19O4; calcd. 288.1362). More Spectroscropic data can be found in the Supplementary Materials (Figures S1–S35).
11β-Ethoxydaedaleanic acid A (2): White amorphous powder; [ α ] D 20 = +6.7 (c = 0.1, C5H5N). IR: 3395, 2919, 2849, 1645, 1438, 1069, 804, 760, 703 cm−1. 1H and 13C NMR are shown in Table 2. Negative HRESIMS: 525.3557 ([M − H], C33H49O5; calcd. 525.3580). More Spectroscropic data can be found in the Supplementary Materials (Figures S1–S35).
Ceanphytamic acid A (3): White amorphous powder; [ α ] D 20 = +16.7 (c = 0.03, C5H5N). IR: 3676, 2988, 2902, 1702, 1635, 1394, 1075, 1066, 1056, 892 cm−1. 1H and 13C NMR are shown in Table 2. Negative HRESIMS: 530.3616 ([M − H], C32H49O6; calcd. 530.3607). More Spectroscropic data can be found in the Supplementary Materials (Figures S1–S35).
Ceanphytamic acid B (4): White amorphous powder; [ α ] D 20 = +19.4 (c = 0.03, C5H5N). IR: 3676, 2988, 2902, 1707, 1620, 1407, 1394, 1251, 1066, 1057, 891 cm−1. 1H and 13C NMR are shown in Table 2. Positive HRESIMS: 546.3913 ([M + H]+, C33H53O6; calcd. 546.3920). More Spectroscropic data can be found in the Supplementary Materials (Figures S1–S35).

3.5. Cell Culture

Nine human cancer cell lines, A549, Calu-1, HeLa, SK-OV-3, T84, Hep G2, Hep 3B2.1-7, KATO III, and MCF-7, were kindly provided by Stem Cell Bank, Chinese Academy of Sciences. Two human cancer cell lines, MDA-MB-231 and SW579, were kindly provided by Professor Hong Xu from Shanghai University of Traditional Chinese Medicine. A Cell Counting Kit-8 was purchased from Shanghai DOJINDO Co., Ltd. (Shanghai, China). Hep G2, Hep 3B2.1-7, HeLa, and MCF-7 were maintained in Dulbecco’s modified Eagle’s medium (DMEM) supplemented with 10% (v/v) heat-inactivated fetal bovine serum (FBS) and 0.1% (v/v) penicillin-streptomycin in a humidified incubator with 5% CO2 at 37 °C. Calu-1 and SK-OV-3 were maintained in McCoy’s 5A supplemented with 10% (v/v) heat-inactivated FBS and 0.1% (v/v) penicillin-streptomycin in a humidified incubator with 5% CO2 at 37 °C. A549 was maintained in F12K supplemented with 10% (v/v) heat-inactivated FBS and 0.1% (v/v) penicillin-streptomycin in a humidified incubator with 5% CO2 at 37 °C. KATO III, MDA-MB-231, and SW579 were maintained in RPMI 1640 supplemented with 10% (v/v) heat-inactivated FBS and 0.1% (v/v) penicillin-streptomycin in a humidified incubator with 5% CO2 at 37 °C. T84 was maintained in D-MEM/F-12 supplemented with 20% (v/v) heat-inactivated FBS and 0.1% (v/v) penicillin-streptomycin in a humidified incubator with 5% CO2 at 37 °C. All cell culture media and reagents were purchased from Thermo Scientific Hyclone (Logan, UT, USA).

3.6. Cell Assay

The compounds’ cytotoxicity was measured by the CCK-8 method. Compounds were dissolved with dimethylsulfoxide (DMSO). The cells were seeded onto 96-well microplates at a density of 1 × 104 cells per well in 100 μL of medium each. After incubation at 37 °C in a humidified incubator for 24 h, the cells were treated with various concentrations of each compound. After incubation, 10% CCK-8 (10 μL in 90 μL FBS) was added to each well of the plate. After removal from the medium, the cells were incubated at 37 °C for 1 h. Cell viability was calculated as a percentage of viable cells in the compound-treated group vs. the control group by the following equation: Cell viability (%) = [1 − OD (Compound)/OD (Blank)] × 100%.

4. Conclusions

In sum, one new naphthone derivative, sohiracillinone (1), and three new triterpenoids, 11β-ethoxydaedaleanic acid A (2), ceanphytamic acid A (3), and ceanphytamic acid B (4), were characterized from the EtOH extract of the sclerotia of Poria cocos. The skeleton of 1 was unique and the absolute configurations was determined by ECD. Moreover, a rare 4,5-seco-lanostane triterpenoid 2 and two unreported side-chain of lanostane triterpenoids 3 and 4 were also isolated. This adds new facets to the structural diversity of the P. cocos family. Our findings showed that 1 has stronger cytotoxicity against HeLa cells than the other tested compounds, and the other compounds showed selective inactive cytotoxicity against the testing cancer cell lines. Even though the level of cytotoxic activity was not significant, but these findings also suggest that P. cocos may have the potential to be a useful therapeutic natural source for cancer prevention. Besides, following the study of the compounds’ chemistry, we propose that lanostane triterpenoids is a reasonable index standard for P. cocos.

Supplementary Materials

The following are available online: Figures S1–S35.

Author Contributions

Conceptualization, G.C.; Data curation, T.C.; Formal analysis, T.C.; Funding acquisition, G.C.; Investigation, T.C.; Methodology, T.C.; Project administration, G.C. and T.C.; Resources, L.H. and X.M.; Supervision, G.C.; Validation, L.H. and X.Z.; Writing—original draft, T.C.; Writing—review & editing, G.C.

Acknowledgments

This research was funded by the Standardization project of the State Administration of Traditional Chinese Medicine grant number [ZYBZH-C-JL-24].

Conflicts of Interest

The authors declare no conflict of interest.

References

  1. Chu, B.F.; Lin, H.C.; Huang, X.W.; Huang, H.Y.; Wu, C.P.; Kao, M.C. An ethanol extract of Poria cocos, inhibits the proliferation of non-small cell lung cancer A549 cells via the mitochondria-mediated caspase activation pathway. J. Funct. Foods 2016, 23, 614–627. [Google Scholar] [CrossRef]
  2. Narui, T.; Takakashi, K.; Kobayashi, M.; Shibata, S. A polysaccharide produced by laboratory cultivation of Poria cocos wolf. Carbohydr. Res. 1980, 87, 161–163. [Google Scholar] [CrossRef]
  3. Zhou, X.; Zhang, Y.S.; Zhao, Y.; Gong, X.J.; Zhao, C.; Chen, H.G. An LC Fingerprint Study of Poria cocos, (Schw.) Wolf. Chromatographia 2009, 69, 1283–1289. [Google Scholar] [CrossRef]
  4. Atsumi, T.; Kakiuchi, N.; Mikage, M. DNA sequencing analysis of ITS and 28S rRNA of Poria cocos. Biol. Pharm. Bull. 2007, 30, 1472–1476. [Google Scholar] [CrossRef] [PubMed]
  5. Park, W.H.; Joo, S.T.; Park, K.K.; Chang, Y.C.; Kim, C.H. Effects of the Geiji-Bokryung-Hwan on Carrageenan-Induced Inflammation in Mice and Cyclooxygenase-2 in Hepatoma Cells of HepG2 and Hep3B. Immunopharm. Immunotoxicol. 2004, 26, 103–112. [Google Scholar] [CrossRef]
  6. Ling, H.; Zhou, L.; Jia, X.; Gapter, L.A.; Agarwal, R.; Ng, K.Y. Polyporenic acid C induces caspase-8-mediated apoptosis in human lung cancer A549 cells. Mol. Carcinogen. 2009, 48, 489–507. [Google Scholar] [CrossRef] [PubMed]
  7. Kim, K.H.; Moon, E.; Choi, S.U.; Kim, S.Y.; Lee, K.R. Lanostane triterpenoids from the mushroom Naematoloma fasciculare. J. Nat. Prod. 2013, 76, 845–851. [Google Scholar] [CrossRef] [PubMed]
  8. Ma, B.J.; Zhou, Y.; Yuan, R.; Ma, J.C.; Ren, W.; Wen, C.N. Lanostane-type triterpenes from the sporoderm-broken spores of Ganoderma lucidum. J. Antibiot. 2012, 65, 165. [Google Scholar] [CrossRef] [PubMed]
  9. Zhou, L.; Zhang, Y.; Gapter, L.A.; Ling, H.; Agarwal, R.; Ng, K.Y. Cheminform abstract: Cytotoxic and antioxidant activities of lanostane-type triterpenes isolated from Poria cocos. Chem. Pharm. Bull. 2009, 40, 1459–1462. [Google Scholar] [CrossRef]
  10. Chen, T.; Kan, Y.J.; Chou, G.X.; Zhang, C.G. A new highly oxygenated pregnane and two new 5-hydroxymethylfurfural derivatives from the water decoction of Poria cocos. J. Asian Nat. Prod. Res. 2017, 1–7. [Google Scholar] [CrossRef] [PubMed]
  11. Miao, F.P.; Liang, X.R.; Yin, X.L.; Wang, G.; Ji, N.Y. Absolute Configurations of Unique Harziane Diterpenes from Trichoderma Species. Org. Lett. 2012, 14, 3815–3817. [Google Scholar] [CrossRef] [PubMed]
  12. Trifonov, L.S.; Bieri, J.H.; Prewo, R.; Dreiding, A.S.; Hoesch, L.; Rast, D.M. Isolation and structure elucidation of three metabolites from verticillium intertextum: Sorbicillin, dihydrosorbicillin and bisvertinoquinol. Tetrahedron 1983, 39, 4243–4256. [Google Scholar] [CrossRef]
  13. Maskey, R.P.; Grünwollny, I.; Laatsch, H. Sorbicillin analogues and related dimeric compounds from Penicillium notatum. J. Nat. Prod. 2005, 68, 865–870. [Google Scholar] [CrossRef] [PubMed]
  14. Shingu, T.; Tai, T.; Akahori, A. A lanostane triterpenoid from Poria cocos. Phytochemistry 1992, 31, 2548–2549. [Google Scholar] [CrossRef]
  15. Tai, T.; Akahori, A.; Shingu, T. Triterpenes of Poria cocos. Phytochemistry 1993, 32, 1239–1244. [Google Scholar] [CrossRef]
  16. Zhao, J.F.; He, A.M.; Chen, Y.J. The anti-tumor constituents from Poria cocos. Chin. J. Med. Chem. 1993, 3, 128–129. [Google Scholar]
  17. Yasukawa, K.; Kaminaga, T.; Kitanaka, S.; Tai, T.; Nunoura, Y.; Natori, S.; Takido, M. 3 beta-p-hydroxybenzoyldehydrotumulosic acid from Poria cocos, and its anti-inflammatory effect. Phytochemistry 1998, 48, 1357–1360. [Google Scholar] [CrossRef]
  18. Yoshikawa, K.; Kouso, K.; Takahashi, J.; Matsuda, A.; Okazoe, M.; Umeyama, A.; Arihara, S. Cytotoxic constituents of the fruit body of Daedalea dickisii. J. Nat. Prod. 2005, 68, 911–914. [Google Scholar] [CrossRef] [PubMed]
  19. Male, K.B.; Rao, Y.K.; Tzeng, Y.M.; Montes, J.; Kamen, A.; Luong, J.H. Probing inhibitory effects of Antrodia camphorata isolates using insect cell-based impedance spectroscopy: Inhibition vs. chemical structure. Chem. Res. Toxicol. 2008, 21, 2127–2133. [Google Scholar] [CrossRef] [PubMed]
  20. Tai, T.; Akahori, A.; Shingu, T. Triterpenoids from Poria cocos. Phytochemistry 1991, 30, 2796–2797. [Google Scholar] [CrossRef]
  21. Ukiya, M.; Akihisa, T.; Tokuda, H.; Hirano, M.; Oshikubo, M.; Nobukuni, Y.; Nishino, H. Inhibition of tumor-promoting effects by poricoic acids G and H and other lanostane-type triterpenes and cytotoxic activity of poricoic acids A and G from Poria cocos. J. Nat. Prod. 2002, 65, 462–465. [Google Scholar] [CrossRef] [PubMed]
  22. Wu, X.; Yang, J.; Zhou, L.; Dong, Y. New lanostane-type triterpenes from Fomes officinalis. Chem. Pharm. Bull. 2004, 52, 1375–1377. [Google Scholar] [CrossRef] [PubMed]
  23. Zheng, Y.; Yang, X.W. Poriacosones A and B: Two new lanostane triterpenoids from Poria cocos. J. Aaian Nat. Prod. Res. 2008, 10, 640–646. [Google Scholar] [CrossRef] [PubMed]
Sample Availability: Samples of the compounds are available from the authors.
Figure 1. Structures of compounds 14.
Figure 1. Structures of compounds 14.
Molecules 23 02508 g001
Figure 2. Key 1H–1H COSY, HMBC and NOESY of 1.
Figure 2. Key 1H–1H COSY, HMBC and NOESY of 1.
Molecules 23 02508 g002
Figure 3. Experimental and calculated electronic circular dichroism (ECD) spectra of 1 in methanol.
Figure 3. Experimental and calculated electronic circular dichroism (ECD) spectra of 1 in methanol.
Molecules 23 02508 g003
Figure 4. Key 1H–1H COSY, HMBC and NOESY of 2.
Figure 4. Key 1H–1H COSY, HMBC and NOESY of 2.
Molecules 23 02508 g004
Figure 5. Key 1H–1H COSY, HMBC and NOESY of 3.
Figure 5. Key 1H–1H COSY, HMBC and NOESY of 3.
Molecules 23 02508 g005
Figure 6. Key 1H–1H COSY, HMBC and NOESY of 4.
Figure 6. Key 1H–1H COSY, HMBC and NOESY of 4.
Molecules 23 02508 g006
Table 1. 1H- and 13C-NMR Data for 1 in CDCl3.
Table 1. 1H- and 13C-NMR Data for 1 in CDCl3.
PositionδCaδHb (J in Hz)
1201.6, C-
239.6, CH22.53, br. d (17.8)
2.77, dd (17.8, 5.3)
338.6, CH3.22, s
455.6, CH4.03, br. s
4a136.7, C-
5114.0, C-
6159.3, C-
7109.1, C-
8161.6, C-
8a111.5, C-
9131.6, CH5.37, ddd (15.0, 6.2, 0.9)
10127.4, CH5.52, m
1118.1, CH21.57, d (6.2)
12207.6, C-
1329.5, CH32.24, s
1411.7, CH32.06, s
157.5, CH32.13, s
8-OH-13.29, s
a Recorded at 125 MHz; b Recorded at 400 MHz.
Table 2. 1H- and 13C-NMR data for compounds 24.
Table 2. 1H- and 13C-NMR data for compounds 24.
No.Compound 2 *Compound 3 **Compound 4 ***
δCaδHb (J in Hz)δCaδHb (J in Hz)δCaδHb (J in Hz)
124.5, CH22.85, ov.
2.72, ov.
36.4, CH21.78, ov.
1.27, ov.
35.3, CH21.53, ov.
1.09, ov.
240.6, CH22.83, ov.
2.68, ov.
25.1, CH21.66, ov.24.4, CH21.72, m
1.62, m
3214.9, C-82.5, CH4.45, t (9.2, 7.0)80.7, CH4.59, dd (7.6, 2.8)
441.1, CH2.56, m38.9, C-37.9, C-
5134.4, C-52.0, CH1.16, ov.50.7, CH1.04, ov.
6130.4, CH7.03, d (6.2)19.2, CH21.65, ov.
1.76, ov.
18.3, CH21.61, m
1.39, ov.
7122.8, CH6.77, d (6.2)27.6, CH22.08, ov.26.6, CH21.97, ov.
2.00, ov.
8144.9, C-135.6, C-134.9, C-
9133.7, C-136.0, C-134.4, C-
10140.9, C-38.2, C-37.0, C-
1173.3, CH4.47, d (4.2)21.2, CH22.07, ov.
2.99, ov.
20.8, CH21.82, ov.
2.01, ov.
1233.9, CH22.28, ov.30.1, CH21.59, m
1.82, m
29.7, CH22.15, m
1.82, ov.
1344.2, C-47.0, C-46.1, C-
1449.8, C-49.4, C-48.6, C-
1544.1, CH21.81, d (10.6)43.6, CH22.18, m
1.26, m
43.4, CH22.34, m
1.65, m
1677.6, CH4.33, t (5.9)77.9, CH4.05, t (7.8, 6.6)76.6, CH4.47, m
1756.7, CH2.30, m57.3, CH2.06, m57.2, CH2.30, m
1819.5, CH30.91, s17.8, CH30.79, s17.7, CH31.05, s
1919.8, CH32.26, s19.6, CH31.02, s19.1, CH30.89, s
2046.4, CH2.57, m51.6, CH2.32, m48.7, CH2.86, m
21- c, C-- c, C-179.1, C-
2230.6, CH21.99, m
1.18, m
36.4, CH22.50, d (12.7)
2.26, m
31.3, CH21.24, t (4.8)
1.18, ov.
2332.4, CH22.03, m126.4, CH5.62, ov.33.3, CH22.33, m
2.24, m
24155.1, C-140.2, CH5.62, ov.30.3, CH21.41, m
1.47, m
2533.3, CH2.08, m71.1, C-74.4, C-
2622.1, CH31.05, s29.8, CH31.24, s25.0, CH31.01, s
2721.9, CH31.05, s29.8, CH31.24, s25.0, CH31.00, s
2818.4, CH31.08, s28.5, CH30.89, s27.9, CH30.84, s
2918.6, CH31.10, s16.9, CH30.91, s16.7, CH30.86, s
3030.5, CH31.18, s25.7, CH31.13, s25.3, CH31.40, s
31107.3, CH24.77, d (18.4)----
1′63.03.56, m
3.38, m
172.9, C-170.8, C-
2′15.91.08, s21.1, CH32.03, s21.1, CH32.02, s
O-Me----49.0, CH33.08, s
a Recorded at 125 MHz; b recorded at 400 MHz; c unable to be measured; * dissolution by CDCl3; ** dissolution by CD3OD; *** dissolution by C5D5N-d5.
Table 3. Cytotoxic activity of 14 against human cancer cell lines (IC50 [μM] a) b.
Table 3. Cytotoxic activity of 14 against human cancer cell lines (IC50 [μM] a) b.
Comp.Cell Lines (IC50) μM
A549HeLaMDA-MB-231SK-OV-3SW579
145.18 ± 5.1112.93 ± 2.3881.68 ± 3.99˃100˃100
261.05 ± 2.51˃100˃10081.13 ± 10.76˃100
3˃10054.41 ± 7.01˃10072.38 ± 8.7769.52 ± 8.19
4˃100˃100˃10070.01 ± 2.2981.62 ± 6.26
a All data were represented the mean ± SD of triplicate experiments. b 5FU (fluorouracil), DXR (doxorubicin), CDDP (cisplatin), and PTX (paclitaxel) were used as the positive controls.

Share and Cite

MDPI and ACS Style

Chen, T.; Hua, L.; Chou, G.; Mao, X.; Zou, X. A Unique Naphthone Derivative and a Rare 4,5-seco-Lanostane Triterpenoid from Poria cocos. Molecules 2018, 23, 2508. https://doi.org/10.3390/molecules23102508

AMA Style

Chen T, Hua L, Chou G, Mao X, Zou X. A Unique Naphthone Derivative and a Rare 4,5-seco-Lanostane Triterpenoid from Poria cocos. Molecules. 2018; 23(10):2508. https://doi.org/10.3390/molecules23102508

Chicago/Turabian Style

Chen, Ting, La Hua, Guixin Chou, Xudong Mao, and Xianliang Zou. 2018. "A Unique Naphthone Derivative and a Rare 4,5-seco-Lanostane Triterpenoid from Poria cocos" Molecules 23, no. 10: 2508. https://doi.org/10.3390/molecules23102508

APA Style

Chen, T., Hua, L., Chou, G., Mao, X., & Zou, X. (2018). A Unique Naphthone Derivative and a Rare 4,5-seco-Lanostane Triterpenoid from Poria cocos. Molecules, 23(10), 2508. https://doi.org/10.3390/molecules23102508

Article Metrics

Back to TopTop