Rapid Screening and Identification of Daidzein Metabolites in Rats Based on UHPLC-LTQ-Orbitrap Mass Spectrometry Coupled with Data-Mining Technologies
Abstract
:1. Introduction
2. Results
2.1. Establishment of the Analytical Workflow-Interpretation Method
2.2. The Establishment of MMDF Approach
2.3. Mass Fragmentation Behavior Analyses of Daidzein and Its Homologues
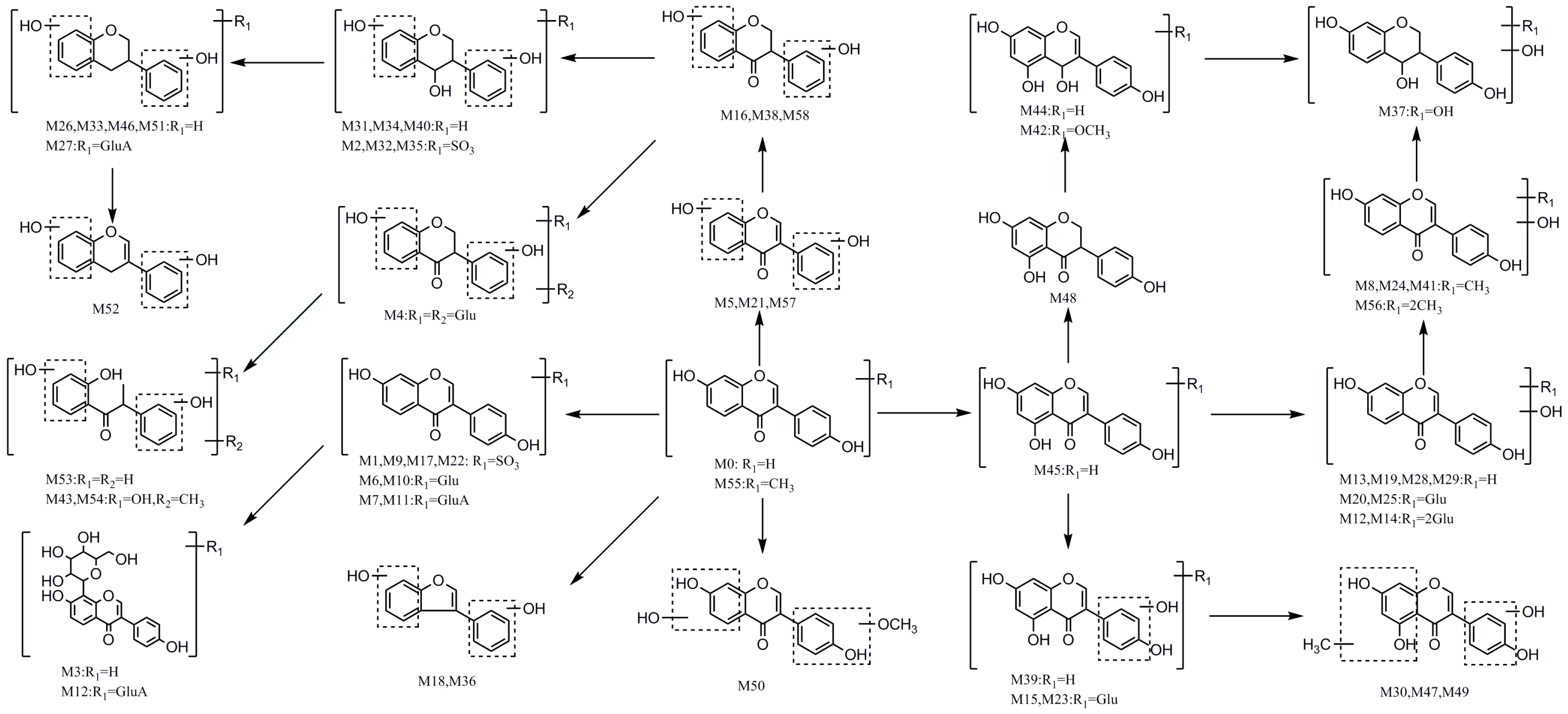
2.4. Identification of Daidzein Metabolites in Rats
2.4.1. Identification of Isoflavone Metabolites
2.4.2. Identification of Puerarin Species Metabolites
2.4.3. Identification of Hydrogenation Isoflavone Species Metabolites
2.4.4. Identification of Equol Species Metabolites
2.4.5. Identification of Decarbonylation Species Metabolites
2.5. Proposed Metabolic Pathways of Daidzein
3. Discussion
4. Materials and Methods
4.1. Chemicals and Reagents
4.2. Animal and Drug Administration
4.3. Sample Collection
4.3.1. Plasma Sample Collection
4.3.2. Urine Sample Collection
4.4. Biological Sample Preparation
4.5. Instruments and Conditions
4.6. Data Processing
Supplementary Materials
Acknowledgments
Author Contributions
Conflicts of Interest
References
- Qiu, F.; Chen, X.Y.; Song, B.; Zhong, D.F.; Liu, C.X. Influence of dosage forms on pharmacokinetics of daidzein and its main metabolite daidzein-7-O-glucuronide in rats. Acta Pharmacol. Sin. 2005, 26, 1145–1152. [Google Scholar] [CrossRef] [PubMed]
- Haron, H.; Ismail, A.; Azlan, A.; Shahar, S.; Peng, L.S. Daidzein and genestein contents in tempeh and selected soy products. Food Chem. 2009, 115, 1350–1356. [Google Scholar] [CrossRef]
- Hämäläinen, M.; Nieminen, R.; Vuorela, P.; Heinonen, M.; Moilan, E. Anti-Inflammatory effects of flavonoids: genistein, kaempferol, quercetin, and daidzein inhibit STAT-1 and NF-κB activations, whereas flavone, isorhamnetin, naringenin, and pelargonidin inhibit only NF-κB activation along with their inhibitory effect on iNOS expression and NO production in activated macrophages. Mediat. Inflamm. 2007, 2007. [Google Scholar] [CrossRef]
- Lee, T.H.; Do, M.H.; Oh, Y.L.; Cho, D.W.; Kim, S.H.; Kim, S.Y. Dietary fermented soybean suppresses uvb-induced skin inflammation in hairless mice via regulation of the MAPK signaling pathway. J. Agric. Food Chem. 2014, 62, 8962–8972. [Google Scholar] [CrossRef] [PubMed]
- Liang, J.; Tian, Y.X.; Fu, L.M.; Wang, T.H.; Li, H.J.; Wang, Z.P.; Han, R.M.; Zhang, J.P.; Skibsted, L.H. Daidzein as an antioxidant of lipid: Effects of the microenvironment in relation to chemical structure. J. Agric. Food Chem. 2008, 56, 10376–10383. [Google Scholar] [CrossRef] [PubMed]
- Lee, D.E.; Lee, K.W.; Byun, S.; Jung, S.K.; Song, N.; Lim, S.H.; Heo, Y.S.; Kim, J.E.; Kang, N.J.; Kim, B.Y.; et al. 7,3′,4′-Trihydroxyisoflavone, a metabolite of the soy isoflavone daidzein, suppresses ultraviolet B-induced skin cancer by targeting Cot and MKK4. J. Biol. Chem. 2011, 286, 14246–14256. [Google Scholar] [CrossRef] [PubMed]
- Choi, R.C.; Zhu, J.T.; Yung, A.W.; Lee, P.S.C.; Xu, S.L.; Guo, A.J.Y.; Zhu, K.Y.; Dong, T.T.X.; Tsim, K.W.K. Synergistic action of flavonoids, baicalein, and daidzein in estrogenic and neuroprotective effects: A development of potential health products and therapeutic drugs against Alzheimer’s disease. Evid. Based Complement. Altern. Med. 2013, 2013. [Google Scholar] [CrossRef] [PubMed]
- Sun, M.Y.; Ye, Y.; Xiao, L.; Rahman, K.; Xia, W.; Zhang, H. Daidzein: A review of pharmacological effects. Afri. J. Trad. Complement. Alternat. Med. 2016, 13, 117–132. [Google Scholar] [CrossRef]
- Roghani, M.; Vaez Mahdavi, M.R.; Jalali-Nadoushan, M.R.; Baluchnejadmojarad, T.; Naderi, G.; Roghani-Dehkordi, F.; TaghiJoghataei, M.; Kord, M. Chronic administration of daidzein, a soybean isoflavone, improves endothelial dysfunctionand attenuates oxidative stress in streptozotocin-induced diabetic rats. Phytother. Res. 2013, 27, 112–117. [Google Scholar] [CrossRef] [PubMed]
- Vitale, D.C.; Piazza, C.; Melilli, B.; Drago, F.; Salomone, S. Isoflavones: Estrogenic activity, biological effect and bioavailability. Eur. J. Drug Metab. Pharmacokinet. 2013, 38, 15–25. [Google Scholar] [CrossRef] [PubMed]
- Shang, Z.P.; Wang, F.; Dai, S.Y.; Lu, J.Q.; Wu, X.D.; Zhang, J.Y. Profiling and identification of (−)-epicatechin metabolites in rats using ultra-high performance liquid chromatography coupled with linear trap-Orbitrap mass spectrometer. Drug Test. Anal. 2017, 9, 1224–1235. [Google Scholar] [CrossRef] [PubMed]
- Prasad, B.; Singh, S. Identification of rat urinary metabolites of rifabutin using LC–MSn and LC–HR-MS. Eur. J. Pharm. Sci. 2010, 41, 173–188. [Google Scholar] [CrossRef] [PubMed]
- Diao, X.X.; Wohlfarth, A.; Pang, S.; Scheidweiler, K.B.; Huestis, M.A. High-resolution mass spectrometry for characterizing the metabolism of synthetic cannabinoid THJ-018 and its 5-fluoro analog THJ-2201 after incubation in human hepatocytes. Clin. Chem. 2016, 62, 157–169. [Google Scholar] [CrossRef] [PubMed]
- Prasad, B.; Garg, A.; Takwani, H.; Singh, S. Metabolite identification by liquid chromatography-mass spectrometry. Trend Anal. Chem. 2011, 30, 360–387. [Google Scholar] [CrossRef]
- Zhang, J.Y.; Wang, Z.J.; Li, Y.; Liu, Y.; Cai, W.; Li, C.; Lu, J.Q.; Qiao, Y.J. A strategy for comprehensive identification of sequential constituents using ultra-high-performance liquid chromatography coupled with linear ion trap-Orbitrap mass spectrometer, application study on chlorogenic acids in Flos Lonicerae Japonicae. Talanta 2016, 147, 16–27. [Google Scholar] [CrossRef] [PubMed]
- Zhang, J.Y.; Wang, Z.J.; Zhang, Q.; Wang, F.; Ma, Q.; Lin, Z.Z.; Lu, J.Q.; Qiao, Y.J. Rapid screening and identification of target constituents using full scan-parent ions list-dynamic exclusion acquisition coupled to diagnostic product ions analysis on a hybrid LTQ-Orbitrap mass spectrometer. Talanta 2014, 124, 111–122. [Google Scholar] [CrossRef] [PubMed]
- Cai, W.; Zhang, J.Y.; Dong, L.Y.; Yin, P.H.; Wang, C.G.; Lu, J.Q.; Zhang, H.G. Identification of the metabolites of ixerin Z from Ixeris sonchifolia Hance in rats by HPLC-LTQ-Orbitrap mass spectrometry. J. Pharm. Biomed. 2015, 107, 290–297. [Google Scholar] [CrossRef] [PubMed]
- Shang, Z.P.; Cai, W.; Cao, Y.F.; Wang, F.; Wang, Z.B.; Lu, J.Q.; Zhang, J.Y. An integrated strategy for rapid discovery and identification of the sequential piperine metabolites in rats using ultra high-performance liquid chromatography/high resolution mass spectrometry. J. Pharm. Biomed. 2017, 146, 387–401. [Google Scholar] [CrossRef] [PubMed]
- Yang, M.; Zhou, Z.; Guo, D.A. A strategy for fast screening and identification of sulfur derivatives in medicinal Pueraria species based on the fine isotopic pattern filtering method using ultra-high-resolution mass spectrometry. Anal. Chim. Acta 2015, 894, 44–53. [Google Scholar] [CrossRef] [PubMed]
- Renaud, J.B.; Kelman, M.J.; Qi, T.F.; Seifert, K.A.; Sumarah, M.W. Product ion filtering with rapid polarity switching for the detection of all fumonisins and AAL-toxins. Rapid Commun. Mass Spectrom. 2015, 29, 2131–2139. [Google Scholar] [CrossRef] [PubMed]
- Kelman, M.J.; Renaud, J.B.; Seifert, K.A.; Mack, J.; Sivagnanam, K.; Yeung, K.K.C.; Sumarah, M.W. Identification of six new Alternaria sulfoconjugated metabolites by high-resolution neutral loss filtering. Rapid Commun. Mass Spectrom. 2015, 29, 1805–1810. [Google Scholar] [CrossRef] [PubMed]
- Shang, Z.P.; Xin, Q.Q.; Zhao, W.J.; Li, Q.Q.; Zhang, J.Y.; Cong, W.H. Rapid Profiling and identification of puerarin metabolites in rat urine and plasma after oral administration by UHPLC-LTQ-Orbitrap mass spectrometer. J. Chromatogr. B 2017, 1068–1069, 180–192. [Google Scholar] [CrossRef] [PubMed]
- Zhang, J.Y.; Wang, F.; Zhang, H.; Lu, J.Q.; Qiao, Y.J. Rapid identification of polymethoxylated flavonoids in traditional Chinese medicines with a practical strategy of stepwise mass defect filtering coupled to diagnostic product ions analysis based on a hybrid LTQ-Orbitrap mass spectrometer. Phytochem. Anal. 2014, 25, 405–414. [Google Scholar] [CrossRef] [PubMed]
- Kang, J.; Hick, L.A.; Price, W.E. A fragmentation study of isoflavones in negative electrospray ionization by MSn, ion trap mass spectrometry and triple quadrupole mass spectrometry. Rapid Commun. Mass Spectrom. 2007, 21, 857–868. [Google Scholar] [CrossRef] [PubMed]
- Li, Y.H.; Dai, H.X.; Li, X.R.; Wang, L.J.; Xue, M. Analysis fragment pathway of puerarin by electron spray ionization mass spectrometry. J. Chin. Mass Spectrom. Soc. 2007, 28, 224–228. [Google Scholar]
- Tolleson, W.H.; Doerge, D.R.; Churchwell, M.I.; Marques, M.M.; Roberts, D.W. Metabolism of biochanin A and formononetin by human liver microsomes in vitro. J. Agric. Food Chem. 2002, 50, 4783–4790. [Google Scholar] [CrossRef] [PubMed]
- Totta, P.; Acconcia, F.F.; Cassidy, A.; Cassidy, A.; Weinberg, P.D.; Rimbach, G.; Marino, M. Daidzein-sulfate metabolites affect transcriptional and antiproliferative activities of estrogen receptor-beta in cultured human cancer cells. J. Nutr. 2005, 135, 2687–2693. [Google Scholar] [PubMed]
- Chen, Y.C.; Sugiyama, Y.; Hirota, A. Isolation of a new metabolite from biotransformation of daidzein by Aspergillus oryzae. Biosci. Biotechnol. Biochem. 2009, 73, 1877–1879. [Google Scholar] [CrossRef] [PubMed]
- Tian, Z.; Wan, M.; Wang, Z.; Wang, B. The preparation of genistein and LC-MS/MS on-line analysis. Drug Dev. Res. 2010, 61, 6–12. [Google Scholar] [CrossRef]
- Seo, S.G.; Yang, H.; Shin, S.H.; Min, S.; Kim, Y.A.; Yu, J.G.; Lee, D.E.; Chung, M.Y.; Heo, Y.S.; Kwon, J.Y.; et al. A metabolite of daidzein, 6,7,4′-trihydroxyisoflavone, suppresses adipogenesis in 3T3-L1 preadipocytes via ATP-competitive inhibition of PI3K. Mol. Nutr. Food Res. 2013, 57, 1446–1455. [Google Scholar] [CrossRef] [PubMed]
- Muthyala, R.S.; Ju, Y.H.; Sheng, S.; Williams, L.D.; Doerge, D.R.; Katzenellenbogen, B.; Helferich, W.G.; Katzenellenbogen, J.A. Equol, a natural estrogenic metabolite from soy isoflavones: Convenient preparation and resolution of R- and S-equols and their differing binding and biological activity through estrogen receptors alpha and beta. Bioorg. Med. Chem. 2004, 12, 1559–1567. [Google Scholar] [CrossRef] [PubMed]
- Choi, E.J.; Kim, G.H. The antioxidant activity of daidzein metabolites, O-desmethylangolensin and equol, in HepG2 cells. Mol. Med. Rep. 2014, 9, 328–332. [Google Scholar] [CrossRef] [PubMed]
- Gardana, C.; Simonetti, P. Long-term kinetics of daidzein and its main metabolites in human equol-producers after soymilk intake: Identification of equol-conjugates by UPLC-orbitrap-MS and influence of the number of transforming bacteria on plasma kinetics. Int. J. Food Sci. Nutr. 2016, 68, 496–506. [Google Scholar] [CrossRef] [PubMed]
Sample Availability: Samples of the compounds are not available from the authors. |





| Peak | Ion Mode | tR/min | Formula | Theoretical Mass m/z | Experimental Mass m/z | Error (ppm) | MS/MS Product Ions | Identification/Reactions | U | P |
|---|---|---|---|---|---|---|---|---|---|---|
| M0 | N | 6.30 | C15H9O4 | 253.0495 | 253.0498 | 0.29 | MS2[253]: 224(100), 209(99), 225(86), 197(45), 208(32), 196(17), 135(16), 211(15), 223(15), 180(10) | ![]() | + | + |
| P | 6.30 | C15H11O4 | 255.0657 | 255.0644 | −0.72 | MS2[255]: 255(100), 199(27), 137(19), 227(14), 256(13) | + | + | ||
| M1 | P | 3.36 | C15H11O7S | 335.0219 | 335.0227 | 0.83 | MS2[335]: 255(100), 243(53), 253(28), 305(27), 223(25), 225(25), 271(17), 265(13), 307(11), 227(11) | ![]() | + | − |
| M2 | N | 3.36 | C15H13O7S | 337.0376 | 337.0385 | −1.85 | MS2[337]: 257(100), 255(15) MS3[257]: 215(100), 121(81), 135(74), 239(62), 242(31), 229(25), 173(24), 147(19), 197(18), 149(15), 213(15), 214(10) | ![]() | + | − |
| M3 | N | 3.46 | C21H19O9 | 415.1023 | 415.1032 | 0.88 | MS2[415]: 295(100) MS3[295]: 267(100), 277(3), 293(2) | ![]() | + | − |
| M4 | P | 3.72 | C27H31O14 | 579.1708 | 579.1694 | −2.31 | MS2[579]: 255(100), 481(6) | ![]() | + | − |
| M5 | N | 3.85 | C15H9O4 | 253.0495 | 253.0503 | 0.84 | MS2[253]: 253(100), 209(53), 224(46), 225(41), 197(31), 168(18), 193(17), 158(16), 136(16), 149(16), 208(16), 155(15) | ![]() | + | − |
| P | 3.85 | C15H11O4 | 255.0657 | 255.0646 | −0.57 | MS2[255]: 199(100), 122(94), 137(73), 227(54), 237(24) MS3[199]: 181(100), 199(57), 153(23), 157(10), 129(9) | + | − | ||
| M6 | N | 3.85 | C21H19O9 | 415.1023 | 415.1031 | 0.76 | MS2[415]: 253(100), 191(14), 155(12), 252(10), 148(10), 164(10), 314(10) | ![]() | + | − |
| P | 3.85 | C21H21O9 | 417.1180 | 417.1170 | −0.94 | MS2[417]: 255(100) MS3[255]: 199(100), 227(49), 137(34), 145(23), 237(10), 153(7), 255(7), 211(5), 169(5), 181(4), 155(4) | + | − | ||
| M7 | N | 3.85 | C21H17O10 | 429.0815 | 429.0824 | 0.87 | MS2[429]: 253(100), 175(42), | ![]() | + | − |
| P | 3.85 | C21H19O10 | 431.0972 | 431.0963 | −0.96 | MS2[431]: 255(100), 342(13) MS3[255]: 199(100), 137(79), 227(57), 237(38), 145(16), 149(9), 165(5), 185(3), 169(3), 141(2), 255(2), 211(2), 129(2), 116(1), 180(1) | + | − | ||
| M8 | N | 3.97 | C16H11O5 | 283.0600 | 283.0608 | 0.78 | MS2[283]: 268(100) MS3[268]: 240(100), 239(3), 267(2), 253(2), 238(2) | ![]() | + | − |
| P | 3.97 | C16H13O5 | 285.0756 | 285.0752 | −0.52 | MS2[285]: 179(100), 165(18) MS3[179]: 81(100), 137(62), 151(46) | + | − | ||
| M9 | P | 4.13 | C15H11O7S | 335.0219 | 335.0229 | 0.98 | MS2[335]: 227(100), 255(62), 317(57), 273(48), 265(40), 307(23), 253(16), 121(13), 292(13), 149(11), 172(10) | ![]() | + | − |
| M10 | N | 4.26 | C21H19O9 | 415.1023 | 415.1032 | 0 | MS2[415]: 253(100), 252(82), 295(14) MS3[253]: 209(100), 225(44), 253(29), 211(26), 197(19), 235(14), 181(12), 185(10), 143(10), 251(8), 135(7) | ![]() | + | − |
| P | 4.26 | C21H21O9 | 417.1179 | 417.1171 | −1.96 | MS2[417]: 255(100) MS3[255]: 199(100), 237(42), 137(33), 145(15), 171(2) | + | − | ||
| M11 | N | 4.28 | C21H17O10 | 429.0815 | 429.0827 | 1.14 | MS2[429]: 253(100), 175(48), 140(44), 287(39), 147(37), 121(36), 203(36), 235(35), 135(35), 193(31), 119(31), 183(30) | ![]() | + | − |
| M12 | N | 4.36 | C27H29O15 | 593.1500 | 593.1506 | 0.89 | MS2[593]: 269(100), 431(31) MS3[269]: 241(100) | ![]() | + | − |
| P | 4.36 | C27H31O15 | 595.1657 | 595.1643 | −2.31 | MS2[595]: 271(100), 433(57) | + | − | ||
| M13 | N | 4.37 | C15H9O5 | 269.0444 | 269.0452 | 0.84 | MS2[269]: 269(100), 201(56), 225(55), 151(53), 241(38), 224(35), 169(34), 253(32), 252(28), 227(24) | ![]() | + | − |
| P | 4.37 | C15H11O5 | 271.0600 | 271.0594 | −0.68 | MS2[271]: 190(100), 215(95), 153(74), 243(55), 253(53), 149(41), 219(12), 225(12), 271(12) | + | − | ||
| M14 | P | 4.39 | C27H31O15 | 595.1657 | 595.1644 | −2.21 | MS2[595]: 433(100), 271(75), 433(29), 178(29), 502(26), 253(25), 199(24), 519(23), | ![]() | + | − |
| M15 | N | 4.50 | C21H19O11 | 447.0921 | 447.0931 | 0.98 | MS2[447]: 285(100) MS3[285]: 241(100), 285(97), 199(59), 243(50), 217(38), 257(31), 213(31), 197(31), 267(28), 169(24), 211(24), 201(22), 175(19), 151(9), 239(7), 229(6) | ![]() | + | + |
| M16 | N | 4.56 | C15H11O4 | 255.0652 | 255.0661 | 0.94 | MS2[255]: 135(100), 254(13), 149(10) MS3[149]: 121(100) | ![]() | + | − |
| M17 | P | 4.56 | C15H11O7S | 335.0219 | 335.0232 | 1.38 | MS2[335]: 255(100), 227(32), 149(22), 253(15), 271(11) MS3[255]: 149(100), 237(13) | ![]() | + | − |
| M18 | P | 4.58 | C14H11O3 | 227.0701 | 227.0697 | −0.50 | MS2[227]: 184(100), 209(96), 150(81), 209(52), 199(46), 209(28), 185(28), 199(19), 159(16), 183(15), 209(14), 123(14) | ![]() | + | − |
| M19 | N | 4.61 | C15H9O5 | 269.0444 | 269.0453 | 0.93 | MS2[269]: 269(100), 151(64), 225(61), 201(51), 224(41), 197(34), 253(27), 241(26), 199(12), 239(12), 240(11) | ![]() | + | − |
| P | 4.61 | C15H11O5 | 271.0600 | 271.0595 | −0.59 | MS2[271]: 153(100), 215(73), 243(60), 253(33), 149(26), 145(18), 159(15), 271(12) | + | − | ||
| M20 | N | 4.61 | C21H19O10 | 431.0972 | 431.0983 | 1.06 | MS2[431]: 268(100), 269(78), 311(11) MS3[268]: 267(100), 239(83), 240(48), 226(43), 223(42), 195(20), 241(19), 225(18), 212(17), 201(10) | ![]() | + | − |
| P | 4.61 | C21H21O10 | 433.1129 | 433.1118 | −2.48 | MS2[433]: 271(100), 392(11) MS3[271]: 153(100), 215(72), 243(55), 145(22), 253(21), 149(21), 271(20), 225(19), 159(14), 199(12), 187(11) | + | − | ||
| M21 | N | 4.87 | C15H9O4 | 253.0495 | 253.0504 | 0.92 | MS2[253]: 211(100), 209(81), 224(68), 225(62), 135(35), 197(30), 117(16) | ![]() | + | − |
| M22 | N | 4.87 | C15H9O7S | 333.0063 | 333.0071 | 2.46 | MS2[333]: 253(100) MS3[253]: 211(100), 209(78), 225(57), 224(36), 135(27), 253(26), 251(20), 197(19), 117(18), 223(12), 133(11) | ![]() | + | − |
| P | 4.87 | C15H11O7S | 335.0219 | 335.0214 | −0.55 | MS2[335]: 255(100) MS3[225]: 137(100), 227(77), 199(72), 237(46), 198(26), 255(19), 181(17), 153(14), 171(8), 119(7), 145(6), 209(5) | + | − | ||
| M23 | N | 4.87 | C21H19O11 | 447.0921 | 447.0931 | 0.95 | MS2[447]: 284(100), 285(82), 327(25), 255(21), 270(12), 200(12), 269(11), 124(11) | ![]() | + | − |
| M24 | N | 4.94 | C16H11O5 | 283.0600 | 283.0608 | 0.78 | MS2[283]: 268(100), 151(12) MS3[268]: 240(100), 224(6), 267(5), 239(4), 163(2) | ![]() | + | − |
| P | 4.94 | C16H13O5 | 285.0756 | 285.0751 | −0.59 | MS2[285]: 165(100), 191(17), 207(11) MS3[165]: 137(100), 123(79), 109(21) | + | − | ||
| M25 | N | 5.01 | C21H19O10 | 431.0972 | 431.0983 | 1.03 | MS2[431]: 268(100), 269(31) MS3[268]: 267(100), 240(99), 239(45), 224(38), 199(22), 223(19), 211(7), 251(7) | ![]() | + | − |
| M26 | N | 5.18 | C15H13O3 | 241.0858 | 241.0867 | 0.87 | MS2[241]: 212(100), 135(42), 121(19), 119(16) | ![]() | + | − |
| P | 5.18 | C15H15O3 | 243.1015 | 243.1010 | −0.51 | MS2[243]: 123(100), 107(44), 137(9) MS3[123]: 95(100) | + | − | ||
| M27 | N | 5.18 | C21H21O9 | 417.1180 | 417.1191 | 1.10 | MS2[417]: 175(100), 241(24), 113(23), 399(20), 181(13) MS3[175]: 113(100) | ![]() | + | + |
| M28 | N | 5.27 | C15H9O5 | 269.0444 | 269.0454 | 0.96 | MS2[269]: 241(100), 213(28), 253(11), 251(10) MS3[241]: 213(100), 197(18) | ![]() | + | − |
| P | 5.27 | C15H11O5 | 271.0600 | 271.0594 | −0.62 | MS2[271]: 215(100), 225(99), 153(98), 253(75), 243(38), 181(19), 161(16), 197(16), 253(11), 271(10) MS3[215]: 197(100), 169(24), 153(20), 187(15), 159(8), 215(6), 141(5), 173(3) | + | − | ||
| M29 | N | 5.51 | C15H9O5 | 269.0444 | 269.0453 | 0.90 | MS2[269]: 225(100), 213(62), 241(61), 240(47), 151(31), 224(27), 195(21), 181(20), 173(19), 253(14), 209(13) | ![]() | + | − |
| P | 5.51 | C15H11O5 | 271.0600 | 271.0594 | −0.65 | MS2[271]: 215(100), 243(84), 253(78), 153(63), 225(43), 253(37), 145(35), 121(30), 197(27), 15(19), 149(19), 151(18) | + | − | ||
| M30 | N | 5.60 | C16H11O6 | 299.0550 | 299.0558 | 0.84 | MS2[299]: 284(100) MS3[284]: 256(100), 240(30), 269(7), 267(7), 228(6), 150(4) | ![]() | + | − |
| P | 5.60 | C16H13O6 | 301.0701 | 301.0698 | −0.78 | MS2[301]: 286(100), 167(51), 245(49), 161(38), 255(33), 273(30), 283(29), 241(19), 283(11) MS3[286]: 258(100), 229(30), 153(15), 212(15), 213(8), 240(7), 200(6), 285(6), 269(6), 188(5), 184(5) | + | − | ||
| M31 | N | 5.70 | C15H13O4 | 257.0808 | 257.0817 | 0.90 | MS2[257]: 137(100), 161(44), 228(41), 147(22), 242(21), 214(21), 129(15), 189(14), 101(13), 229(13) | ![]() | + | − |
| M32 | N | 5.79 | C15H13O7S | 337.0376 | 337.0383 | 0.71 | MS2[337]: 257(100), 217(20) MS3[257]: 135(100), 137(92), 121(27), 147(16), 239(13), 109(10), 187(9), 103(6), 215(5), 151(2) | ![]() | + | − |
| M33 | N | 5.80 | C15H13O3 | 241.0858 | 241.0867 | 0.81 | MS2[241]: 121(100), 135(53), 119(18) | ![]() | + | − |
| M34 | N | 5.90 | C15H13O4 | 257.0808 | 257.0815 | 0.74 | MS2[257]: 137(100), 121(38), 147(17), 109(10) | ![]() | + | − |
| M35 | N | 5.90 | C15H13O7S | 337.0376 | 337.0383 | 0.65 | MS2[337]: 257(100) MS3[257]: 135(100), 121(40), 147(18), 109(9), 137(7), 242(2), 129(1), 197(1), 93(1)101(1) | ![]() | + | − |
| M36 | N | 6.30 | C14H9O3 | 225.0546 | 225.0548 | 0.20 | ![]() | + | − | |
| P | 6.30 | C14H11O3 | 227.0701 | 227.0698 | −0.45 | MS2[227]: 199(100), 182(95), 157(42), 184(23), 209(22), 181(21), 191(12), 171(11), 209(11), 149(10), 185(9) MS3[199]: 154(100), 171(25), 107(13), 143(11), 153(11) | + | − | ||
| M37 | P | 6.39 | C15H15O5 | 275.0908 | 275.0908 | −0.55 | MS2[275]: 151(100) MS3[151]: 123(100), 151(23), 141(8) | ![]() | + | − |
| M38 | N | 6.40 | C15H11O4 | 255.0651 | 255.0655 | 0.37 | MS2[255]: 149(100), 135(18), 254(13) MS3[149]: 121(100), 93(11) | ![]() | + | − |
| P | 6.40 | C15H13O4 | 257.08083 | 257.0802 | −0.58 | MS2[257]: 163(100), 123(58), 256(39), 200(19), 137(14) MS3[163]: 135(100), 167(15) | + | − | ||
| M39 | N | 6.52 | C15H9O6 | 285.0393 | 285.0403 | 0.98 | MS2[285]: 257(100), 229(24), 66(11), 217(10), 151(10) MS3[257]: 229(100), 146(4), 215(3), 185(2), 137(2) | ![]() | + | − |
| P | 6.52 | C15H11O6 | 287.0544 | 287.0546 | −0.42 | MS2[287]: 153(100), 269(59), 241(55), 231(46), 66(23), 259(20), 269(19), 149(12), 213(12), 269(12), 161(10) | + | − | ||
| M40 | N | 6.62 | C15H13O4 | 257.0808 | 257.0819 | 1.08 | MS2[257]: 137(100), 121(44), 147(22), 109(12) | ![]() | + | − |
| M41 | N | 6.62 | C16H11O5 | 283.0600 | 283.0611 | 1.00 | MS2[283]: 268(100) MS3[268]: 240(100), 239(9), 224(4), 267(3), 196(2), 184(2) | ![]() | + | − |
| P | 6.62 | C16H13O5 | 285.0756 | 285.0749 | −0.83 | MS2[285]: 285(100), 270(72), 286(22), 229(14), 225(13) MS3[285]: 270(100), 229(28), 285(25), 225(23), 145(17), 167(17), 257(11), 197(10), 253(7), 267(4), 123(3) | + | − | ||
| M42 | N | 6.73 | C16H13O5 | 285.0757 | 285.0760 | 0.30 | MS2[285]: 270(100), 149(24) MS3[270]: 242(100), 164(30), 241(26), 213(8), 151(5) | ![]() | + | − |
| M43 | N | 6.83 | C16H15O5 | 287.0913 | 287.0922 | 0.90 | MS2[287]: 151(100), 137(85), 272(82), 135(71), 165(23) | ![]() | + | − |
| M44 | N | 7.64 | C15H11O5 | 271.0600 | 271.0610 | 0.94 | MS2[271]: 165(100), 151(6) MS3[165]: 137(100), 121(23), 109(21), 93(6) | ![]() | + | − |
| P | 7.64 | C15H13O5 | 273.0757 | 273.0751 | −0.59 | MS2[273]: 179(100), 123(58), 153(47), 245(14), 159(11) | + | − | ||
| M45 | N | 8.05 | C15H9O5 | 269.0444 | 269.0453 | 0.86 | MS2[269]: 269(100), 225(49), 181(28), 201(24), 241(20), 151(16) | ![]() | + | − |
| P | 8.05 | C15H11O5 | 271.0600 | 271.0591 | −0.93 | MS2[271]: 153(100), 215(79), 243(60), 253(53), 149(45), 153(28), 225(23), 159(19), 197(17), 145(16), 209(16), 165(14) | + | − | ||
| M46 | N | 8.24 | C15H13O3 | 241.0858 | 241.0868 | 0.89 | MS2[241]: 121(100), 135(54), 119(15) | ![]() | + | − |
| P | 8.24 | C15H15O3 | 243.1015 | 243.1008 | −0.68 | MS2[243]: 123(100), 107(39), 133(12), MS3[123]: 95(100), 67(18), 79(7) | + | − | ||
| M47 | N | 8.24 | C16H11O6 | 299.0550 | 299.0555 | 0.53 | MS2[299]: 284(100), 239(22), 284(10) MS3[284]: 240(100), 256(47), 255(32), 227(29), 239(25), 214(24), 211(15), 267(13) | ![]() | + | − |
| P | 8.24 | C16H13O6 | 301.0701 | 301.0697 | −0.88 | MS2[301]: 286(100) | + | − | ||
| M48 | N | 8.33 | C15H11O5 | 271.0601 | 271.0608 | 0.78 | MS2[271]: 253(100), 270(41), 225(17), 151(15), 215(15), 227(12), 125(10) | ![]() | + | − |
| M49 | N | 8.44 | C16H11O6 | 299.0550 | 299.0557 | 0.75 | MS2[299]: 284(100) MS3[284]: 256(100), 227(27), 255(24), 284(18), 212(13), 228(12), 239(11), 211(11), | ![]() | + | − |
| P | 8.44 | C16H13O6 | 301.0701 | 301.0699 | −0.72 | MS2[301]: 286(100), 269(56), 241(18) MS3[286]: 258(100), 153(73), 229(9), 269(9), 285(7), 230(5), 134(3), 259(3), 202(2), 268(2), 212(1) | + | − | ||
| M50 | N | 8.74 | C16H11O6 | 299.0550 | 299.0558 | 0.84 | MS2[299]: 284(100), 254(60), 190(11), 255(11), MS3[284]: 256(100), 227(91), 239(84), 255(57), 240(54), 283(39), 188(22), 211(21), 283(20), 211(21), 283(20) | ![]() | + | − |
| P | 8.74 | C16H13O6 | 301.0701 | 301.0699 | −0.72 | + | − | |||
| M51 | P | 8.95 | C15H15O3 | 243.1015 | 243.1015 | −2.80 | MS2[243]: 123(100), 133(63), 107(15), 225(11) MS3[123]: 95(100) | ![]() | + | − |
| M52 | N | 9.65 | C15H11O3 | 239.0702 | 239.0710 | 0.79 | MS2[239]: 147(100), 195(28), 210(24), 197(17), 211(14), 132(12), 121(12), 105(12) | ![]() | + | − |
| P | 9.65 | C15H13O3 | 241.0854 | 241.0854 | −0.49 | MS2[241]: 213(100) MS3[213]: 119(100), 195(73), 167(62), 211(47), 171(45), 157(31), 185(25), 169(13) | + | − | ||
| M53 | N | 9.65 | C15H13O4 | 257.0808 | 257.0817 | 0.90 | MS2[257]: 239(100), 109(67), 163(40), 242(29), 213(29), 148(21), 147(18), 136(15), 224(14) MS3[239]: 145(100), 223(54), 221(20), 197(14), 211(13), 171(11), 195(10), 133(10), 169(10), 119(7) | ![]() | + | − |
| P | 9.65 | C15H15O4 | 259.0959 | 259.0960 | −0.48 | MS2[259]: 149(100), 165(35), 121(11) MS3[149]: 121(100) | + | − | ||
| M54 | N | 9.65 | C16H15O5 | 287.0913 | 287.0921 | 0.79 | MS2[287]: 272(100) MS3[272]: 124(100) | ![]() | + | − |
| P | 9.65 | C16H17O5 | 289.1071 | 289.1064 | −0.57 | MS2[289]: 149(100), 271(77), 121(37), 195(16), 229(12) MS3[149]: 121(100), 120(39) | + | − | ||
| M55 | N | 9.93 | C16H11O4 | 267.0652 | 267.0660 | 0.89 | MS2[267]: 252(100) MS3[252]: 208(100), 223(97), 224(97), 251(96), 134(29) | ![]() | + | − |
| P | 9.93 | C16H13O4 | 269.0808 | 269.0802 | −0.64 | MS2[269]: 254(100), 237(44), 213(33), 253(13) MS3[254]: 237(100), 226(15), 253(14), 136(5), 254(3) | + | − | ||
| M56 | P | 10.30 | C17H15O5 | 299.0920 | 299.0904 | −0.92 | MS2[299]: 284(100), 166(22), 243(19), 239(12), 271(11) MS3[284]: 256(100), 166(30), 255(22), 267(14), 269(8) | ![]() | + | − |
| M57 | N | 11.76 | C15H9O4 | 253.0495 | 253.0505 | 1.02 | MS2[253]: 209(100), 225(42), 168(38), 180(38), 145(38), 137(37), 141(36), 235(34), 130(32), 103(32), 121(31), 119(31) | ![]() | + | − |
| P | 11.76 | C15H11O4 | 255.0657 | 255.0646 | −0.55 | MS2[255]: 199(100)137(67), 227(59), 237(24), 145(12) MS3[199]: 181(100), 171(30), 153(16), 169(9), 199(6) | + | − | ||
| M58 | N | 12.11 | C15H11O4 | 255.0652 | 255.0661 | 1.01 | MS2[255]: 149(100), 135(35), 254(30) MS3[149]: 121(100) | ![]() | + | − |
© 2018 by the authors. Licensee MDPI, Basel, Switzerland. This article is an open access article distributed under the terms and conditions of the Creative Commons Attribution (CC BY) license (http://creativecommons.org/licenses/by/4.0/).
Share and Cite
Zhao, W.; Shang, Z.; Li, Q.; Huang, M.; He, W.; Wang, Z.; Zhang, J. Rapid Screening and Identification of Daidzein Metabolites in Rats Based on UHPLC-LTQ-Orbitrap Mass Spectrometry Coupled with Data-Mining Technologies. Molecules 2018, 23, 151. https://doi.org/10.3390/molecules23010151
Zhao W, Shang Z, Li Q, Huang M, He W, Wang Z, Zhang J. Rapid Screening and Identification of Daidzein Metabolites in Rats Based on UHPLC-LTQ-Orbitrap Mass Spectrometry Coupled with Data-Mining Technologies. Molecules. 2018; 23(1):151. https://doi.org/10.3390/molecules23010151
Chicago/Turabian StyleZhao, Wenjing, Zhanpeng Shang, Qinqing Li, Moran Huang, Wenbin He, Zhibin Wang, and Jiayu Zhang. 2018. "Rapid Screening and Identification of Daidzein Metabolites in Rats Based on UHPLC-LTQ-Orbitrap Mass Spectrometry Coupled with Data-Mining Technologies" Molecules 23, no. 1: 151. https://doi.org/10.3390/molecules23010151
APA StyleZhao, W., Shang, Z., Li, Q., Huang, M., He, W., Wang, Z., & Zhang, J. (2018). Rapid Screening and Identification of Daidzein Metabolites in Rats Based on UHPLC-LTQ-Orbitrap Mass Spectrometry Coupled with Data-Mining Technologies. Molecules, 23(1), 151. https://doi.org/10.3390/molecules23010151



























































