Abstract
Despite the long history of the investigation of nucleophilic addition to metal-bound isocyanides, some important aspects of the reaction mechanism remain unclear even for the simplest systems. In this work, the addition of the sp3-N, sp2-N, and mixed sp2/sp3-N nucleophiles (i.e., HNMe2, HN=CPh2, and H2N–N=CPh2, respectively) to isocyanides C≡NR coordinated to the platinum(II) centers in the complexes cis-[Pt(C≡NCy)(2-pyz)(dppe)]+ (2-pyz = 2-pyrazyl, dmpe = Me2PCH2CH2PMe2) and cis-[PtCl2(C≡NXyl)(C≡NMe)] was studied in detail by theoretical (DFT) methods. The mechanism of these reactions is stepwise associative rather than concerted and it includes the addition of a nucleophile to the isocyanide C atom, deprotonation of the nucleophilic moiety in the resulting intermediate, and protonation of the isocyanide N atom to give the final product. The calculated activation energy (ΔG≠) of all reactions is in the range of 19.8–22.4 kcal/mol.
1. Introduction
Isocyanides (C≡NR) are highly demanding reagents toward materials with valuable properties [1,2,3] and they have a broad application in multicomponent [4,5,6,7,8,9,10,11,12] and insertion [4,13,14,15,16,17,18] reactions, catalysis [4,13,14,19,20,21,22], and polymer chemistry [15]. One of the most important types of the reactivity involving isocyanides is nucleophilic addition (NA) at the carbon atom of the C≡N group (Scheme 1). This reaction is one of the most efficient and promising methods for the synthesis of heteroatom stabilized carbenes—species of superior importance exhibiting valuable biological [23,24], catalytic [19,25,26,27,28,29,30,31,32,33,34,35,36,37,38,39], and photophysical [40,41,42,43] properties. These reactions typically require the presence of a metal center to activate C≡NR. The first metal-mediated reaction of C≡NR species was observed more than 100 years ago by Tschugajeff (Chugaev) and Skanawy-Grigorjewa [44,45]. As a result of the interaction between K2[PtCl4] and C≡NMe and the following addition of hydrazine, the first complex of a heteroatom-stabilized carbene was obtained [46,47,48,49]. Since that time, the metal-mediated addition of the monofunctional O- [50,51,52,53,54], N- [34,35,36,37,41,43,51,52,53,54,55,56,57,58,59,60,61,62,63,64,65,66,67,68,69,70], and other [71,72,73,74,75,76,77,78] nucleophiles as well as bifunctional nucleophiles [27,34,53,62,64,79,80,81,82,83,84,85,86,87,88,89] to isocyanides was broadly investigated [1,2,3,90,91].
Scheme 1.
Addition of nucleophile Nu–H to isocyanides (formal charges are omitted).
The N–H nucleophiles with the sp3 type of the nitrogen orbital hybridization (e.g., amines and hydrazines) are among the most common reagents used in this reaction, and their addition to C≡NR has been intensively exploring over several decades [34,35,36,37,41,43,51,52,53,54,55,56,57,58,59,60,61,62,63,64,65,66,67,68,69,70,92], including the experimental kinetic studies [93,94]. However, surprisingly, despite the long history of these researches, some important aspects of the reaction mechanism still remain unknown, even for the simplest systems. First, the experiments indicate the negative activation entropy and, therefore, the associative general type of the mechanism for the NA of amines to metal-bound isocyanides and the bimolecular rate limiting step of this reaction. Meanwhile, experimental results cannot discriminate the concerted (Ia) and stepwise (A) mechanism of the nucleophilic attack—both of them exhibiting the associative activation mode [93,94]. Second, the addition of N–H nucleophiles of the sp2-N type (imines [95]) or the mixed sp2/sp3-N type, such as hydrazones [32], to metal-bound isocyanides was reported only recently and, to the best of our knowledge, no mechanistic studies of these processes were undertaken. Third, hydrazones bear two nucleophilic centers which may competitively participate in the NA to C≡NR. However, in contrast to the sp3-N bifunctional nucleophiles, no analysis of the regioselectivity from the mechanistic point of view was done in this case.
The main goal of this work is to fill this gap in the understanding of the intimate mechanism of the NA of N–H nucleophiles to metal-bound isocyanides. The reactions of three N–H nucleophiles of the sp3-N, sp2-N, and sp2/sp3-N type (HNR2, HN=CPh2, and H2N–N=CPh2, respectively) with the complexes cis-[Pt(C≡NCy)(2-pyz)(dppe)]+ (I, 2-pyz = 2-pyrazyl, dppe = Ph2PCH2CH2PPh2) and cis-[PtCl2(C≡NXyl)2] (II) for which experimental data are available [32,93,94,95] were selected for this study. In the computational models, the dppe ligand was substituted by the dmpe ligand (dmpe = Me2PCH2CH2PMe2) and one of the C≡NXyl ligands in II which remains unreacted was replaced for the C≡NMe ligand.
2. Computational Details
The full geometry optimization of all structures and transition states (TSs) was carried out at the DFT level of theory by using the M06L functional [96] with the help of the Gaussian 09 [97] program package. No symmetry operations were applied. The geometry optimization was carried out by using a quasi-relativistic Stuttgart pseudopotential that describes 60 core electrons and the appropriate contracted basis set (8s7p6d)/[6s5p3d] [98] for the platinum atom and the 6-31G* basis set for other atoms. Single-point calculations were then performed on the basis of the equilibrium geometries found by using the 6-311+G** basis set for non-metal atoms. The solvent effects were taken into account in both optimization and single-point calculations using the SMD model [99] with dichloroethane (for reaction of complex 1) or chloroform (for reactions of complex 2) as solvents. If not stated otherwise, the energies discussed below are Gibbs free energies G(6-311+G**) calculated as G(6-311+G**) = E(6-311+G**) – E(6-31G*) + G(6-31G*) where the basis set used is indicated.
The Hessian matrix was calculated analytically for the optimized structures to prove the location of correct minima (no imaginary frequencies) or saddle points (only one imaginary frequency), and to estimate the thermodynamic parameters, with the latter calculated at 25 °C. The nature of all transition states was investigated by analysis of the vectors associated with the imaginary frequency and by the calculations of the intrinsic reaction coordinates (IRC) by using the method developed by Gonzalez and Schlegel [100,101,102]. The Wiberg bond indices [103] and atomic charges were computed by using the natural-bond orbital (NBO) partitioning scheme [104].
3. Results and Discussion
3.1. Mechanisms of NA to Isocyanides
There are three main types of the mechanisms for NA to isocyanides, i.e., concerted, dissociative, and associative (Scheme 2). The concerted mechanism involves one-step attack of a nucleophile (NuH) at the C atom of the C≡N group accompanied by simultaneous H-transfer to the isocyanide N atom. This mechanism includes one transition state which may be either 4-membered (a) or 6-membered (b) (Figure 1). In the latter case, either second molecule of the reagent or a solvent molecule directly participates in the formation of TS and plays the role of an H-transfer promoter.
Scheme 2.
Mechanisms of nucleophilic addition to metal-bound isocyanides (only one isomeric pathway is shown, formal charges are omitted).
Figure 1.
Types of transition state of the concerted nucleophilic addition to metal-bound isocyanides.
The dissociative mechanism includes the initial deprotonation of NuH, addition of the deprotonated fragment to the isocyanide C atom, and protonation of the isocyanide N atom. The deprotonation of NuH may be assisted by any base from the reaction mixture, e.g., water molecules often coming as moisture with organic solvents, nucleophilic additives or ligands or nucleophile itself.
The associative mechanism starts with the nucleophilic attack of NuH at the isocyanide C atom to give an acyclic intermediate which may be converted into the final product as a result of the proton transfer which, in turn, may be either concerted or stepwise.
3.2. Reaction of the sp3-N Nucleophiles. Comparison with the Experimental Kinetic Data
The simplest representatives of the N–H nucleophiles featuring the sp3 hybridization of the nitrogen atom orbitals are amines. In this section, the reaction between dimethylamine HNMe2 and the isocyanide Pt complex cis-[Pt(C≡NCy)(2-pyz)(dmpe)]+ (1) is discussed. As was indicated in the Introduction, experimental kinetic data are available for the similar system HNEt2 + cis-[Pt(C≡NCy)(2-pyz)(dppe)]+. Therefore, comparison of the calculated and experimental kinetic parameters allows the testing of the computational method and model used in this work. Additionally, some mechanistic features of this simple process still remain uncertain (see Introduction).
3.2.1. Concerted Mechanism
The calculations revealed that the concerted mechanism is not realized for this process. Indeed, an extensive search of the potential energy surface (PES) indicated that there is no minimum corresponding to any of the TSs of the concerted mechanism. All attempts of its location led to TSs of the stepwise pathways discussed below. This result is different from that found previously for NA to nitriles N≡CR for which both 4-membered and 6-membered cyclic TSs of the concerted NA were located [105].
3.2.2. Dissociative Mechanism
Within this mechanism, H2O, HNMe2, and the pyrazine ligand in 1 were considered as bases for the initial proton abstraction from HNMe2 (reactions 1–3). The PCM-based solvation models often fail to estimate correctly solvent effects for processes, in which the number of species with the same charge is not preserved in the course of the reaction. Therefore, straightforward calculations of the ΔGs values of reactions 1–3 as a difference ΣGs(products) – ΣGs(reactants) is not appropriate. To study the possibility of realization of the dissociative mechanism, a scan of the potential energy surface with the fixed N–H bond of HNMe2 and relaxed other bonds was undertaken for the systems H2O···H–NMe2, Me2(H)N···H–NMe2, and 1···H–NMe2. The energy of the systems monotonously increases upon enhancement of the NH internuclear distance, demonstrating the absence of any TS for these processes (Figure 2). The lowest limits of the activation energy Ea,s estimated from the energy curves are 97.6, 30.9, and 43.3 kcal/mol for reactions 1–3, respectively. Taking into account that the entropic factor is insignificant for these processes, the estimates for the ΔGs≠ limits should also be close to these values. Thus, the dissociative mechanism may be ruled out due to inefficient deprotonation of the nucleophile.
HNMe2 + H2O → NMe2− + H3O+
HNMe2 + HNMe2 → NMe2− + H2NMe2+
HNMe2 + cis-[Pt(CNCy)(2-pyz)(dmpe)]+ → NMe2− + cis-[Pt(CNCy)(2-pyzH)(dmpe)]2+
Figure 2.
Total energy vs. the N–H distance in the systems H2O···H–NMe2 (A), Me2(H)N···H–NMe2 (B), and 1···H–NMe2 (C).
3.2.3. Associative Mechanism
This pathway starts with the formation of the orientation van der Waals complexes OC1 between HNMe2 and 1 (Figure 3). The process is exothermic by –5.8 kcal/mol but endoergonic by 6.5 kcal/mol due to unfavorable entropic factor. OC1 transforms into transition state TS1 corresponding to the formation of the CN bond between reactant molecules and then into the acyclic intermediate INT1.
Figure 3.
Energy profile for the associative mechanism of the nucleophilic addition of HNMe2 to cis-[Pt(C≡NCy)(2-pyz)(dmpe)]+.
The proton transfer INT1 → P1 may occur either in a concerted or in a stepwise manner. Four-membered TS2 of the concerted H-transfer was found, whereas no 6-membered transition state of this route was located. However, a high energy of TS2 relative to the level of initial reactants (36.3 kcal/mol) indicates that the pathway based on this TS is not realized.
The stepwise H-transfer in INT1 includes (i) energetically neutral formation of the orientation complex OC2 between INT1 and the second HNMe2 molecule, (ii) deprotonation of INT1 with HNMe2 via TS3 to give intermediate INT2 with very low activation barrier of 1.4 kcal/mol relative to OC2, and (iii) protonation of the isocyanide N atom by H2NMe2+ via TS4 affording the final product P1. The Gibbs free energy of TS4 is lower than that of INT2. This phenomenon is accounted for by the fact that total energy of the system was minimized upon the geometry optimization rather than Gibbs free energy. Indeed, in terms of total energy, the Es value of TS2 is higher than that of INT2 by 0.7 kcal/mol.
Thus, the computational results indicate that the most plausible mechanism of the reaction between HNMe2 and 1 is of the stepwise associative type. The first nucleophilic attack is the rate limiting step, while the proton transfer in INT1 occurs very fast with assistance of the second nucleophile molecule. These theoretical predictions are in agreement with strongly negative experimental activation entropy value of –43 ± 3 e.u. for the reaction HNEt2 + I. The calculated enthalpy and Gibbs free energy of activation (6.9 and 21.6 kcal/mol) are in good agreement with the corresponding experimental values 7.0 ± 0.8 and 19.8 ± 1.7 kcal/mol [93], thus validating the used computational method and model.
3.3. Reactions of the sp2-N and sp2/sp3-N Nucleophiles
In this section, reactions of the NH nucleophiles with predominantly sp2 and intermediate between sp2 and sp3 types of the nitrogen orbital hybridization are discussed. Imines HN=CR2 are the simplest representatives of the first group of NuH, whereas hydrazones R’HN–N=CR2 are typical examples of the second group. The natural bond orbital (NBO) analysis of benzophenone hydrazone H2N–N=CPh2 shows that hybridization of the amino nitrogen orbital forming the σ-NBO with the central N atom is sp2.5. Additions of benzophenone imine HN=CPh2 and benzophenone hydrazone H2N–N=CPh2 to the xylylisocyanide ligand in the complex cis-[PtCl2(CNMe)(CNXyl)] (2) were calculated as examples of these types of NA.
3.3.1. Concerted and Dissociative Mechanisms
Similarly to the previous case, no transition states of the concerted NA were found for the reactions of 2 with both the imine and the hydrazone. On the other hand, the lowest limits of the activation energy Ea,s found for the proton dissociation from HN=CPh2 or H2NN=CPh2 are in the range of 29.0–65.3 kcal/mol (reactions 4–7) (Figures S1 and S2 in Supplementary Material). The hydrazone appears to be a stronger acid than imine and a stronger base than water due to ambivalent character of this reagent. Thus, the dissociative pathway could be realized, in principle, only for the reaction of H2N–N=CPh2 with 2 when another molecule of hydrazone plays the role of a base, while for the imine HN=CPh2 this mechanism may be excluded.
HN=CPh2 + H2O → N=CPh2− + H3O+ Ea,s ≥ 65.3 kcal/mol
HN=CPh2 + HN=CPh2 → N=CPh2− + H2N=CPh2+ Ea,s ≥ 35.6 kcal/mol
H2N–N=CPh2 + H2O → HN–N=CPh2− + H3O+ Ea,s ≥ 57.8 kcal/mol
H2N–N=CPh2 + H2N–N=CPh2 → HN–N=CPh2− + H2N–N(H)=CPh2+ Ea,s ≥ 29.0 kcal/mol
3.3.2 Associative Mechanism
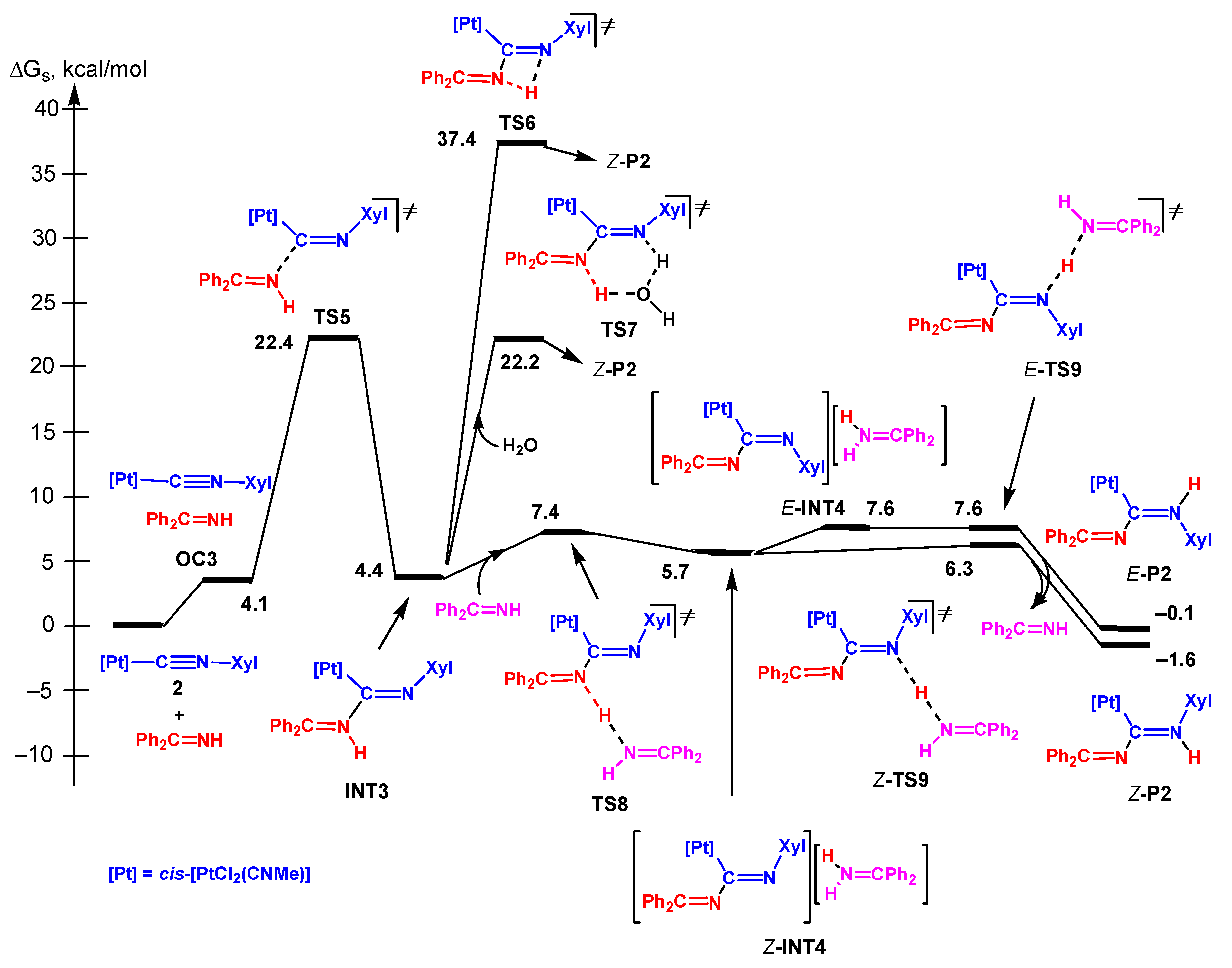
This pathway includes the formation of orientation complexes OC3 and OC4, transition states associated with the C–N bond creation (TS5 and TS10), and intermediates INT3 and INT5 (Figure 4 and Figure 5). The further H-transfers INT3 → P2 and INT5 → P3 in these intermediates occur in a stepwise manner. The second molecule of NuH abstracts a proton from INT3 and INT5 to give deprotonated species INT4 and INT7. In these complexes, a nitrogen inversion in the bent isocyanide ligand should occur easily. Hence, there are two possible channels for the protonation of INT4 and INT7 leading either to Z-isomer or to E-isomer of the final products P2 and P3. The overall activation barriers for this pathway are 22.4 and 19.8 kcal/mol for the reactions of the imine and the hydrazone, respectively.
Figure 4.
Energy profile for the associative mechanism of nucleophilic addition of HN=CPh2 to the C≡NXyl ligand in cis-[PtCl2(C≡NMe)(C≡NXyl)].
Figure 5.
Energy profile for the associative mechanism of nucleophilic addition of H2N–N=CPh2 to the C≡NXyl ligand in cis-[PtCl2(C≡NMe)(C≡NXyl)].
3.3.3. Nucleophilic Addition by the Imino N Atom of Hydrazone
The hydrazone molecule H2N–N=CPh2 has two nucleophilic centers, i.e., the amino and imino nitrogen atoms. Hence, the hydrazone may also attack the isocyanide carbon atom by another, imino nitrogen atom. The amino N atom has significantly higher negative effective NBO atomic charge than the imino N atom (–0.67 vs. –0.27 e). However, the imino N atom is a stronger nucleophile from the thermodynamic point of view. Among two protonated structures, H3N–N=CPh2+ and H2N–N(H)=CPh2+, the latter is 5.9 kcal/mol more stable than the former. The corresponding intermediate INT6 was also found to be more stable than INT5 by 2.8 kcal/mol (Figure 5). However, transition state TS11 leading to INT6 is higher in energy than TS10 by 3.2 kcal/mol that correlates with the atomic charge distribution—one of the principal factors determining the kinetic of nucleophilic additions. Thus, the participation of the imino N atom in the reaction is less favorable and, therefore, other steps of this mechanism were not calculated.
3.3.4. Mechanism Involving the Dipole Tautomeric form of Hydrazone
The H-transfer from the amino N atom to the imino nitrogen in the H2N–N=CPh2 molecule leads to the dipole tautomeric form HN––N+(H)=CPh2 and thus should enhance the nucleophilic properties of the terminal nitrogen atom. Indeed, the activation barrier for the NA of HN––N+(H)=CPh2 to 2 is 15.3 kcal/mol vs. 19.8 kcal/mol for the H2N–N=CPh2 form. However, the tautomerization is very endoergonic process (by 16.1 kcal/mol) and, as a result, the overall activation barrier for this mechanism is much higher (31.3 kcal/mol, Figure 5).
3.3.5. Analysis of the Energy Profiles
Analysis of the energy profiles for these reactions indicates the following (Figure 3, Figure 4 and Figure 5). First, the most plausible mechanism is of the stepwise associative type. Second, in the case of hydrazone, the amino nitrogen atom participates in the reaction rather than the imino N atom despite the latter is a stronger nucleophile than the former from the thermodynamic point of view. Third, the rate limiting step of the whole process is the initial nucleophilic addition via TS5 and TS10, while the further H-transfer step requires very low activation barrier.
Fourth, a distinctive feature of the reaction of the imine with 2 is much higher relative stability of INT3 and TS8 (sp2 N nucleophile) compared to INT5 and TS14 (sp2/sp3 N nucleophile). INT3 and TS8 are only slightly higher in energy than the initial reactants level (by 4.4 and 7.4 kcal/mol), whereas the energies of INT5 and TS14 are comparable with those of the rate limiting TS10 (16.1 and 18.2 kcal/mol). Such a difference is accounted for by an extra stabilization of INT3 and TS8 due to the conjugation in the N=C–N=C fragments and delocalization of electron density. Indeed, the calculated Wiberg bond indices of two C=N bonds in INT3 are lower than those in INT5 (1.76 and 1.43 vs. 1.86 and 1.70), and the Wiberg index of the C–N bond is higher in INT3 than in INT5 (0.96 vs. 0.79). Correspondingly, the C–N bond is noticeably shorter in INT3 than in INT5 (1.45 Å vs. 1.56 Å).
Fifth, the Z-isomer of the final products Z-P2 and Z-P3 is more thermodynamically stable than the corresponding E-isomer (by 1.4–3.5 kcal/mol). The formation of Z-P2 is both kinetically and thermodynamically controlled. In contrast, for the reaction with hydrazone, Z-P3 is the thermodynamic product, while E-P3 is the kinetic one. There is no experimental data about the structure of the P2 type product. Meanwhile, the E-P3 type product was experimentally isolated and its structure was determined by the X-ray diffraction. A low activation barrier of the E-P3 to Z-P3 isomerization (10.6 kcal/mol) should permit this process in solution. Therefore, the experimental structural data for E-P3 may be accounted for by an effect of the crystal packing which stabilizes the E-configuration in the solid state due to favorable intermolecular interactions.
Sixth, ΔGs of formation of the reaction product with the imine, Z-P2, is only slightly negative (−1.6 kcal/mol), whereas the final reaction product with the hydrazone, Z-P3, is clearly exoergonic (by −9.1 kcal/mol). This correlates with the experimental detection of unreacted isocyanide in the reaction mixture cis-[PtCl2(CNXyl)2] + HN=CPh2 under synthesis conditions and with the fact that P2 was not isolated in solid state [95], while the product E-P3 was successfully isolated and characterized [32].
Seventh, the distribution of the Wiberg bond indices in the reaction products P2 and P3 indicates that these complexes has an electronic structure intermediate between two resonance forms a and b (Figure 6).
Figure 6.
Resonance structures of the nucleophilic addition products.
Eighth, the overall activation energies of all three reactions discussed above are similar (19.8–22.4 kcal/mol), demonstrating the low effect of the nitrogen orbital hybridization on the reactivity of the NH-nucleophiles. The kinetic information obtained here for the reactions with imines and hydrazones is particularly important since no experimental kinetic data are available for these processes.
4. Final Remarks
Metal-mediated nucleophilic addition to isocyanides is a very important route toward highly demanding heteroatom-stabilized carbene species. Despite a long history of the investigation of these processes, some important information about the intimate reaction mechanism remained unclear. In this work, a theoretical DFT study has been undertaken with the aim to fill this gap for the reactions of three types of the NH-nucleophiles (i.e., sp3-N, sp2-N, and sp2/sp3-N types) with Pt-bound C≡NR. The calculations demonstrated that in all cases the mechanism is stepwise of the associative type (A), and it includes addition of a nucleophile to the isocyanide C atom, deprotonation of the resulting intermediate (e.g., by the second molecule of a nucleophile or by another base from the reaction mixture), and the protonation of the isocyanide N atom to give the final product. The nucleophilic addition step is rate limiting for the whole process. The overall activation energy weakly depends on the nucleophile nature and varies from 19.8 to 22.4 kcal/mol. To our knowledge, this is the first estimate of the kinetic parameters for the metal-mediated NA of the sp2-N and sp2/sp3-N nucleophiles to isocyanides. Alternative mechanisms (i.e. concerted and dissociative) were found to be not feasible. In the case of hydrazones, which are bifunctional nucleophiles, participation of the amine N atom is more preferable than the imine N atom, and the regioselectivity of this reaction is charge-driven.
Supplementary Materials
The following are available online at www.mdpi.com/1420-3049/22/7/1141/s1, Figure S1: total energy vs. the N–H distance in the systems H2O···H–N=CPh2, Ph2C=(H)N···H–N=CPh2, Figure S2: total energy vs. the N–H distance in the systems H2O···H–N(H)–N=CPh2, Ph2C=(NH2)N···H–N(H)–N=CPh2, Table S1: calculated total energies, enthalpies, Gibbs free energies, and entropies, Table S2: Cartesian atomic coordinates of the equilibrium structures.
Acknowledgments
The authors are grateful to the Russian Science Foundation (grant 14-43-00017P) for support of this study.
Author Contributions
M.L.K. performed calculations, analyzed the data, and wrote the paper; V.Yu.K. analyzed the data and wrote the paper.
Conflicts of Interest
The authors declare no conflict of interest.
References
- Boyarskiy, V.P.; Bokach, N.A.; Luzyanin, K.V.; Kukushkin, V.Yu. Metal-mediated and metal-catalyzed reactions of isocyanides. Chem. Rev. 2015, 115, 2698–2779. [Google Scholar] [CrossRef] [PubMed]
- Gulevich, A.V.; Zhdanko, A.G.; Orru, R.V.A.; Nenajdenko, V.G. Isocyanoacetate derivatives: Synthesis, reactivity, and application. Chem. Rev. 2010, 110, 5235–5331. [Google Scholar] [CrossRef] [PubMed]
- Hahn, F.E.; Jahnke, M.C. Heterocyclic carbenes: Synthesis and coordination chemistry. Angew. Chem. Int. Ed. 2008, 47, 3122–3172. [Google Scholar] [CrossRef] [PubMed]
- Vlaar, T.; Ruijter, E.; Maes, B.U.W.; Orru, R.V.A. Palladium-catalyzed migratory insertion of isocyanides: An emerging platform in cross-coupling chemistry. Angew. Chem. Int. Ed. 2013, 52, 7084–7097. [Google Scholar] [CrossRef] [PubMed]
- Zhu, J.P. Recent developments in the isonitrile-based multicomponent synthesis of heterocycles. Eur. J. Org. Chem. 2003, 7, 1133–1144. [Google Scholar] [CrossRef]
- Dömling, A. Recent developments in isocyanide based multicomponent reactions in applied chemistry. Chem. Rev. 2006, 106, 17–89. [Google Scholar] [CrossRef] [PubMed]
- Hulme, C.; Lee, Y.-S. Emerging approaches for the syntheses of bicyclic imidazo[1,2-x]-heterocycles. Mol. Divers. 2008, 12, 1–15. [Google Scholar] [CrossRef] [PubMed]
- El Kaim, L.; Grimaud, L. Beyond the Ugi reaction: Less conventional interactions between isocyanides and iminium species. Tetrahedron 2009, 65, 2153–2171. [Google Scholar] [CrossRef]
- Sadjadi, S.; Heravi, M.M. Recent application of isocyanides in synthesis of heterocycles. Tetrahedron 2011, 67, 2707–2752. [Google Scholar] [CrossRef]
- Heravi, M.M.; Moghimi, S. Catalytic multicomponent reactions based on isocyanides. J. Iran. Chem. Soc. 2011, 8, 306–373. [Google Scholar] [CrossRef]
- van Berkel, S.S.; Bogels, B.G.M.; Wijdeven, M.A.; Westermann, B.; Rutjes, F.P.J.T. Recent advances in asymmetric isocyanide-based multicomponent reactions. Eur. J. Org. Chem. 2012, 19, 3543–3559. [Google Scholar] [CrossRef]
- Ramon, R.; Kielland, N.; Lavilla, R. Recent Progress in Nonclassical Isocyanide-Based MCRs; Wiley-VCH Verlag GmbH & Co., KGaA.: New York, NY, USA, 2012; p. 299. [Google Scholar]
- Lang, S. Unravelling the labyrinth of palladium-catalysed reactions involving isocyanides. Chem. Soc. Rev. 2013, 42, 4867–4880. [Google Scholar] [CrossRef] [PubMed]
- Qiu, G.; Ding, Q.; Wu, J. Recent advances in isocyanide insertion chemistry. Chem. Soc. Rev. 2013, 42, 5257–5269. [Google Scholar] [CrossRef] [PubMed]
- Suginome, M.; Ito, Y. Transition metal-mediated polymerization of isocyanides. Adv. Polym. Sci. 2004, 171, 77–136. [Google Scholar] [CrossRef]
- Gómez, M. (Alkyl)(monocyclopentadienyl)niobium and -tantalum complexes in insertion processes. Eur. J. Inorg. Chem. 2003, 20, 3681–3697. [Google Scholar] [CrossRef]
- Antiñolo, A.; Garcıá-Yuste, S.; Otero, A.; Villaseñor, E. On the insertion processes of unsaturated molecules into the Nb–X σ-bond of “Cp′2NbX” moieties (Cp′ = η5-C5H4SiMe3; X = H, C, P). J. Organomet. Chem. 2007, 692, 4436–4447. [Google Scholar] [CrossRef]
- Lauzon, J.M.P.; Schafer, L.L. Tantallaaziridines: From synthesis to catalytic applications. Dalton Trans. 2012, 41, 11539–11550. [Google Scholar] [CrossRef] [PubMed]
- Boyarskiy, V.P.; Luzyanin, K.V.; Kukushkin, V.Yu. Acyclic diaminocarbenes (ADCs) as a promising alternative to N-heterocyclic carbenes (NHCs) in transition metal catalyzed organic transformations. Coord. Chem. Rev. 2012, 256, 2029–2056. [Google Scholar] [CrossRef]
- Ito, H.; Kato, T.; Sawamura, M. Design and synthesis of isocyanide ligands for catalysis: Application to Rh-catalyzed hydrosilylation of ketones. Chem. Asian J. 2007, 2, 1436–1446. [Google Scholar] [CrossRef] [PubMed]
- Xu, Y.; Hu, X.; Shao, J.; Yang, G.; Wu, Y.; Zhang, Z. Hydration of alkynes at room temperature catalyzed by gold(I) isocyanide compounds. Green Chem. 2015, 17, 532–537. [Google Scholar] [CrossRef]
- Liu, M.; Reiser, O. A copper(I) isonitrile complex as a heterogeneous catalyst for azide–alkyne cycloaddition in water. Org. Lett. 2011, 13, 1102–1105. [Google Scholar] [CrossRef] [PubMed]
- Ray, S.; Mohan, R.; Singh, J.K.; Samantaray, M.K.; Shaikh, M.M.; Panda, D.; Ghosh, P. Anticancer and antimicrobial metallopharmaceutical agents based on palladium, gold, and silver N-heterocyclic carbene complexes. J. Am. Chem. Soc. 2007, 129, 15042–15053. [Google Scholar] [CrossRef] [PubMed]
- Barnard, P.J.; Wedlock, L.E.; Baker, M.V.; Berners-Price, S.J.; Joyce, D.A.; Skelton, B.W.; Steer, J.H. Luminescence studies of the intracellular distribution of a dinuclear gold(I) N-heterocyclic carbene complex. Angew. Chem. Int. Ed. 2006, 45, 5966–5970. [Google Scholar] [CrossRef] [PubMed]
- Nolan, S.P.; Navarro, O. C–C bond formation by cross-coupling. In Comprehensive Organometallic Chemistry III, 1st ed.; Canty, A., Ed.; Elsevier: Oxford, UK, 2007; Volume 11, pp. 1–38. [Google Scholar]
- Marion, N.; Nolan, S.P. Well-defined N-heterocyclic carbenes−palladium(II) precatalysts for cross-coupling reactions. Acc. Chem. Res. 2008, 41, 1440–1449. [Google Scholar] [CrossRef] [PubMed]
- Tskhovrebov, A.G.; Luzyanin, K.V.; Kuznetsov, M.L.; Sorokoumov, V.N.; Balova, I.A.; Haukka, M.; Kukushkin, V.Yu. Substituent R-dependent regioselectivity switch in nucleophilic addition of N-phenylbenzamidine to PdII- and PtII-complexed isonitrile RN≡C giving aminocarbene-like species. Organometallics 2011, 30, 863–874. [Google Scholar] [CrossRef]
- Díez-González, S.; Marion, N.; Nolan, S.P. N-heterocyclic carbenes in late transition metal catalysis. Chem. Rev. 2009, 109, 3612–3676. [Google Scholar] [CrossRef] [PubMed]
- Slaughter, L.M. Acyclic aminocarbenes in catalysis. ACS Catal. 2012, 2, 1802–1816. [Google Scholar] [CrossRef]
- Kremzow, D.; Seidel, G.; Lehmann, C.W.; Furstner, A. diaminocarbene- and Fischer-carbene complexes of palladium and nickel by oxidative insertion: Preparation, structure, and catalytic activity. Chem. Eur. J. 2005, 11, 1833–1853. [Google Scholar] [CrossRef] [PubMed]
- Dhudshia, B.; Thadani, A.N. Acyclic diaminocarbenes: Simple, versatile ligands for cross-coupling reactions. Chem. Commun. 2006, 6, 668–670. [Google Scholar] [CrossRef] [PubMed]
- Luzyanin, K.V.; Tskhovrebov, A.G.; Carias, M.C.; Guedes da Silva, M.F.C.; Pombeiro, A.J.L.; Kukushkin, V.Yu. Novel metal-mediated (M = Pd, Pt) coupling between isonitriles and benzophenone hydrazone as a route to aminocarbene complexes exhibiting high catalytic activity (M = Pd) in the Suzuki−Miyaura reaction. Organometallics 2009, 28, 6559–6566. [Google Scholar] [CrossRef]
- Slaughter, L. M. Covalent self-assembly of acyclic diaminocarbene ligands at metal centers. Commun. Inorg. Chem. 2008, 29, 46–72. [Google Scholar] [CrossRef]
- Moncada, A.I.; Manne, S.; Tanski, J.M.; Slaughter, L.M. Modular chelated palladium diaminocarbene complexes: Synthesis, characterization, and optimization of catalytic Suzuki−Miyaura cross-coupling activity by ligand modification. Organometallics 2006, 25, 491–505. [Google Scholar] [CrossRef]
- Bartolomé, C.; Ramiro, Z.; García-Cuadrado, D.; Pérez-Galán, P.; Raducan, M.; Bour, C.; Echavarren, A. M.; Espinet, P. Nitrogen acyclic gold(I) carbenes: Excellent and easily accessible catalysts in reactions of 1,6-enynes. Organometallics 2010, 29, 951–956. [Google Scholar] [CrossRef]
- Bartolomé, C.; García-Cuadrado, D.; Ramiro, Z.; Espinet, P. Synthesis and catalytic activity of gold chiral nitrogen acyclic aarbenes and gold hydrogen bonded heterocyclic carbenes in cyclopropanation of vinyl arenes and in intramolecular hydroalkoxylation of allenes. Inorg. Chem. 2010, 49, 9758–9764. [Google Scholar] [CrossRef] [PubMed]
- Hashmi, A.S.K.; Hengst, T.; Lothschütz, C.; Rominger, F. New and easily accessible nitrogen acyclic gold(I) carbenes: Structure and application in the gold-catalyzed phenol synthesis as well as the hydration of alkynes. Adv. Synth. Catal. 2010, 352, 1315–1337. [Google Scholar] [CrossRef]
- Seo, H.; Snead, D.R.; Abboud, K.A.; Hong, S. Bulky acyclic aminooxycarbene ligands. Organometallics 2011, 30, 5725–5730. [Google Scholar] [CrossRef]
- Cavarzan, A.; Scarso, A.; Sgarbossa, P.; Strukul, G.; Reek, J.N.H. Supramolecular control on chemo- and regioselectivity via encapsulation of (NHC)-Au catalyst within a hexameric self-assembled host. J. Am. Chem. Soc. 2011, 133, 2848–2851. [Google Scholar] [CrossRef] [PubMed]
- Catalano, V.J.; Etogo, A.O. Preparation of Au(I), Ag(I), and Pd(II) N-heterocyclic carbene complexes utilizing a methylpyridyl-substituted NHC ligand. Formation of a luminescent coordination polymer. Inorg. Chem. 2007, 46, 5608–5615. [Google Scholar] [CrossRef] [PubMed]
- Bartolomé, C.; Carrasco-Rando, M.; Coco, S.; Cordovilla, C.; Martín-Alvarez, J.M.; Espinet, P. Luminescent gold(I) carbenes from 2-pyridylisocyanide complexes: Structural consequences of intramolecular versus intermolecular hydrogen-bonding interactions. Inorg. Chem. 2008, 47, 1616–1624. [Google Scholar] [CrossRef] [PubMed]
- Xue, W.-M.; Chan, M.C.-W.; Su, Z.-M.; Cheung, K.-K.; Liu, S.-T.; Che, C.-M. Spectroscopic and excited-state properties of luminescent rhenium(I) N-heterocyclic carbene complexes containing aromatic diimine ligands. Organometallics 1998, 17, 1622–1630. [Google Scholar] [CrossRef]
- Lai, S.-W.; Chan, M.C.-W.; Cheung, K.-K.; Che, C.-M. Carbene and isocyanide ligation at luminescent cyclometalated 6-phenyl-2,2‘-bipyridyl platinum(II) complexes: Structural and spectroscopic studies. Organometallics 1999, 18, 3327–3336. [Google Scholar] [CrossRef]
- Tschugajeff, L.; Skanawy-Grigorjewa, M. Reaction of K2PtCl4 with isonitriles and hydrazine. J. Russ. Chem. Soc. 1915, 47, 776. [Google Scholar]
- Tschugajeff, L.; Grigorjewa, M.; Posnjak, A. Über die hydrazin-carbilamin-komplexe des platins. Z. Anorg. Allg. Chem. 1925, 148, 37–42. [Google Scholar] [CrossRef]
- Rouschias, G.; Shaw, B.L. The chemistry and structure of Chugaev’s salt and related compounds Containing a cyclic carbene ligand. J. Chem. Soc. A 1971, 2097–2104. [Google Scholar] [CrossRef]
- Burke, A.; Balch, A.L.; Enemark, J.H. Palladium and platinum complex resulting from the addition of hydrazine to coordinated isocyanide. J. Am. Chem. Soc. 1970, 92, 2555–2557. [Google Scholar] [CrossRef]
- Butler, W.M.; Enemark, J.H.; Parks, J.; Balch, A.L. Chelative addition of hydrazines to coordinated isocyanides. Structure of Chugaev’s red salt. Inorg. Chem. 1973, 12, 451–457. [Google Scholar] [CrossRef]
- Badley, M.; Chatt, J.; Richards, R.L. Isonitrile complexes of platinum(II) and their reactions with alcohols and amines to give carbene complexes. J. Chem. Soc. A 1971, 21–25. [Google Scholar] [CrossRef]
- Fehlhammer, W.P.; Bartel, K.; Metzner, R.; Beck, W. Reactions of cationic isocyanide platinum(II) complexes with water (from hexafluoroacetone-hydrate): Carboxamido and isocyanato complexes. Z. Anorg. Allg. Chem. 2008, 634, 1002–1004. [Google Scholar] [CrossRef]
- Crociani, B.; Boschi, T.; Belluco, U. Synthesis and reactivity of novel palladium(II)-isocyanide complexes. Inorg. Chem. 1970, 9, 2021–2025. [Google Scholar] [CrossRef]
- Michelin, R.A.; Zanotto, L.; Braga, D.; Sabatino, P.; Angelici, R.J. Transition-metal-promoted cyclization reactions of isocyanide ligands. Synthesis of cyclic diaminocarbenes from isocyanide complexes of palladium(II) and platinum(II) and X-ray structure of cis-Br2Pt[CN(C6H4-p-Me)CH2CH2N(H)](PPh3). Inorg. Chem. 1988, 27, 93–99. [Google Scholar] [CrossRef]
- Yu, I.; Wallis, C.J.; Patrick, B.O.; Diaconescu, P.L.; Mehrkhodavandi, P. Phosphine-tethered carbene ligands: Template synthesis and reactivity of cyclic and acyclic functionalized carbenes. Organometallics 2010, 29, 6065–6076. [Google Scholar] [CrossRef]
- Arias, J.; Bardají, M.; Espinet, P. Luminescence and mesogenic properties in crown-ether-isocyanide or carbene gold(I) complexes: Luminescence in solution, in the solid, in the mesophase, and in the isotropic liquid state. Inorg. Chem. 2008, 47, 3559–3567. [Google Scholar] [CrossRef] [PubMed]
- Crociani, B.; Uguagliati, P.; Belluco, U. Steric role of aromatic ring ortho-substituents in the mechanism of carbene formation from palladium(II) arylisocyanide complexes and anilines. J. Organomet. Chem. 1976, 117, 189–199. [Google Scholar] [CrossRef]
- Lazar, M.; Zhu, B.; Angelici, R.J. Non-nanogold catalysis of reactions of isocyanides, secondary amines, and oxygen to give ureas. J. Phys. Chem. C 2007, 111, 4074–4076. [Google Scholar] [CrossRef]
- Canovese, L.; Visentin, F.; Levi, C.; Bertolasi, V. Synthesis and mechanism of formation of novel NHC−NAC bis-carbene complexes of gold(I). Organometallics, 2011, 30, 875–883. [Google Scholar] [CrossRef]
- Ruiz, J.; García, L.; Mejuto, C.; Vivanco, M.; Díaz, M.R.; García-Granda, S. Strong electron-donating metalla-N-heterocyclic carbenes. Chem. Commun. 2014, 50, 2129–2132. [Google Scholar] [CrossRef] [PubMed]
- Anding, B.J.; Ellern, A.; Woo, L.K. Comparative study of rhodium and iridium porphyrin diaminocarbene and N-heterocyclic carbene complexes. Organometallics 2014, 33, 2219–2229. [Google Scholar] [CrossRef]
- Vicente, J.; Chicote, M.T.; Huertas, S.; Jones, P.G. 1,1-Ethylenedithiolato complexes of palladium(II) and platinum(II) with isocyanide and carbene ligands. Inorg. Chem. 2003, 42, 4268–4274. [Google Scholar] [CrossRef] [PubMed]
- Han, Y.; Huynh, H.V. Mixed carbene–isocyanide Pd(II) complexes: Synthesis, structures and reactivity towards nucleophiles. Dalton Trans. 2009, 12, 2201–2209. [Google Scholar] [CrossRef] [PubMed]
- Moncada, A.I.; Tanski, J.M.; Slaughter, L.M. Sterically Controlled formation of monodentate versus chelating carbene ligands from phenylhydrazine. J. Organomet. Chem. 2005, 690, 6247–6251. [Google Scholar] [CrossRef]
- Martínez-Martínez, A.-J.; Chicote, M.-T.; Bautista, D.; Vicente, J. Synthesis of palladium(II), -(III), and -(IV) complexes with acyclic diaminocarbene ligands. Organometallics 2012, 31, 3711–3719. [Google Scholar] [CrossRef]
- Hashmi, A.S.K.; Böhling, C.; Lothschütz, C.; Rominger, F. From isonitriles to carbenes: Synthesis of new NAC− and NHC−palladium(II) compounds and their catalytic activity. Organometallics 2011, 30, 2411–2417. [Google Scholar] [CrossRef]
- Heathcote, R.; Howell, J.A.S.; Jennings, N.; Cartlidge, D.; Cobden, L.; Coles, S.; Hursthouse, M. Gold(I)–isocyanide and gold(I)–carbene complexes as substrates for the laser decoration of gold onto ceramic surfaces. Dalton Trans. 2007, 1309–1315. [Google Scholar] [CrossRef] [PubMed]
- Bartolomé, C.; Carrasco-Rando, M.; Coco, S.; Cordovilla, C.; Espinet, P.; Martín-Alvarez, J.M. Gold(I)–carbenes Derived from 4-Pyridylisocyanidecomplexes: Supramolecular macrocycles supported by hydrogen bonds, and luminescent behavior. Dalton Trans. 2007, 45, 5339–5345. [Google Scholar] [CrossRef]
- Handa, S.; Slaughter, L.M. Enantioselective alkynylbenzaldehyde cyclizations catalyzed by chiral gold(I) acyclic fiaminocarbene complexes containing weak Au–arene interactions. Angew. Chem. Int. Ed. 2012, 51, 2912–2915. [Google Scholar] [CrossRef] [PubMed]
- Crespo, O.; Gimeno, M.C.; Laguna, A.; Montanel-Pérez, S.; Villacampa, M.D. Facile synthesis of gold(III) aryl–carbene metallacycles. Organometallics 2012, 31, 5520–5526. [Google Scholar] [CrossRef]
- Bertani, R.; Mozzon, M.; Michelin, R.A. Reactions of aziridine, thiirane, and oxirane with isocyanide ligands in complexes of palladium(II) and platinum(II): Syntheses of neutral five-membered cyclic diamino-, aminothio-, and aminooxycarbene compounds. Inorg. Chem. 1988, 27, 2809–2815. [Google Scholar] [CrossRef]
- Uguagliati, P.; Crociani, B.; Belluco, U.; Calligaro, L. Solvent, ligand and temperature effects on the rates of reactions of cis-[PdCl2(CNR)(L)] with secondary amines. J. Organomet. Chem. 1976, 112, 111–121. [Google Scholar] [CrossRef]
- Gonzalez-Fernandez, E.; Rust, J.; Alcarazo, M. Synthesis and reactivity of metal complexes with acyclic (amino) (ylide) carbene ligands. Angew. Chem. Int. Ed. 2013, 52, 11392–11395. [Google Scholar] [CrossRef] [PubMed]
- Viguri, M.E.; Huertos, M.A.; Perez, J.; Riera, L. Imidazole–nitrile or imidazole–isonitrile CC coupling on rhenium tricarbonyl complexes. Chem. Eur. J. 2013, 19, 12974–12977. [Google Scholar] [CrossRef] [PubMed]
- Kaufhold, O.; Stasch, A.; Pape, T.; Hepp, A.; Edwards, P.G.; Newman, P.D.; Hahn, F.E. Metal template controlled formation of [11]ane-P2CNHC macrocycles. J. Am. Chem. Soc. 2009, 131, 306–317. [Google Scholar] [CrossRef] [PubMed]
- Hahn, F.E.; Tamm, M.; Lügger, T. Equilibrium between isocyanide and carbene complexes in coordination compounds of 2,6-dihydroxyphenyl isocyanide. Angew. Chem. Int. Ed. Engl. 1994, 33, 1356–1359. [Google Scholar] [CrossRef]
- Menezes, F.M.C.; Kuznetsov, M.L.; Pombeiro, A.J.L. Isocyanide complexes with platinum and palladium and their reactivity toward cycloadditions with nitrones to form aminooxycarbenes: A theoretical study. Organometallics 2009, 28, 6593–6602. [Google Scholar] [CrossRef]
- Novikov, A.S.; Kuznetsov, M.L. Theoretical study of Re(IV) and Ru(II) bis-isocyanide complexes and their reactivity in cycloaddition reactions with nitrones. Inorg. Chim. Acta 2012, 380, 78–89. [Google Scholar] [CrossRef]
- Novikov, A.S.; Kuznetsov, M.L.; Pombeiro, A. J. L. Theory of the formation and decomposition of N-heterocyclic aminooxycarbenes through metal-assisted [2+3]-dipolar cycloaddition/retro-cycloaddition. Chem. Eur. J. 2013, 19, 2874–2888. [Google Scholar] [CrossRef] [PubMed]
- Kuznetsov, M.L.; Kukushkin, V.Yu. Diversity of reactivity modes upon interplay between Au(III)-bound isocyanides and cyclic nitrones: A theoretical consideration. Dalton Trans. 2017, 46, 786–802. [Google Scholar] [CrossRef] [PubMed]
- Herrmann, W.A. N-Heterocyclic carbenes: A new concept in organometallic catalysis. Angew. Chem. Int. Ed. 2002, 41, 1290–1309. [Google Scholar] [CrossRef]
- Spallek, M.J.; Riedel, D.; Rominger, F.A.; Hashmi, A.S.K.; Trapp, O. Six-membered, chiral NHCs derived from camphor: Structure–reactivity relationship in asymmetric oxindole synthesis. Organometallics 2012, 31, 1127–1132. [Google Scholar] [CrossRef]
- Ruiz, J.; Perandones, B.F.; García, G.; Mosquera, M.E.G. Synthesis of N-heterocyclic carbene complexes of manganese(I) by coupling isocyanide ligands with propargylamines and propargylic alcohols. Organometallics 2007, 26, 5687–5695. [Google Scholar] [CrossRef]
- Hashmi, A.S.K.; Lothschütz, C.; Graf, K.; Häffner, T.; Schuster, A.; Rominger, F. A short way to switchable carbenes. Adv. Synth. Catal. 2011, 353, 1407–1412. [Google Scholar] [CrossRef]
- Wanniarachchi, Y.A.; Slaughter, L.M. One-step assembly of a chiral palladium bis (acyclic diaminocarbene) complex and its unexpected oxidation to a bis (amidine) complex. Chem. Commun. 2007, 31, 3294–3296. [Google Scholar] [CrossRef] [PubMed]
- Wanniarachchi, Y.A.; Slaughter, L.M. Reversible chelate ring opening of a sterically crowded palladium bis(acyclic diaminocarbene) complex. Organometallics 2008, 27, 1055–1062. [Google Scholar] [CrossRef]
- Miltsov, S.; Karavan, V.; Boyarsky, V.; Gómez-de Pedro, S.; Alonso-Chamarro, J.; Puyol, M. New acyclic Pd–diaminocarbene catalyst for Suzuki arylation of meso-chlorosubstituted tricarboindocyanine dyes. Tetrahedron Lett. 2013, 54, 1202–1204. [Google Scholar] [CrossRef]
- Ryabukhin, D.S.; Sorokoumov, V.N.; Savicheva, E.A.; Boyarskiy, V.P.; Balova, I.A.; Vasilyev, A.V. Catalytic activity of palladium acyclic diaminocarbene complexes in the synthesis of 1,3-Diarylpropynones via Sonogashira reaction: Cross- versus homo-coupling. Tetrahedron Lett. 2013, 54, 2369–2372. [Google Scholar] [CrossRef]
- Balch, A.L.; Parks, J.E. Platinum and palladium complexes formed by chelative addition of amines to isocyanides. J. Am. Chem. Soc. 1974, 96, 4114–4121. [Google Scholar] [CrossRef]
- Zanella, R.; Boschi, T.; Crociani, B.; Belluco, U. Reactions of palladium(II) isocyanide complexes with bifunctional amines. J. Organomet. Chem. 1974, 71, 135–143. [Google Scholar] [CrossRef]
- Zanella, R.; Boschi, T.; Nicolini, M.; Belluco, U. The reactions of bis-isocyanide derivatives of PdII with bidentate ligands. J. Organomet. Chem. 1973, 49, C91–C94. [Google Scholar] [CrossRef]
- Michelin, R.A.; Pombeiro, A.J.L.; Guedes da Silva, M.F.C. Aminocarbene complexes derived from nucleophilic addition to isocyanide ligands. Coord. Chem. Rev. 2001, 218, 75–112. [Google Scholar] [CrossRef]
- Tamm, M.; Hahn, F.E. Reactions of β-functional phenyl isocyanides. Coord. Chem. Rev. 1999, 182, 175–209. [Google Scholar] [CrossRef]
- Crociani, B.; Di Bianca, F.; Fontana, A.; Forsellini, E.; Bombieri, G. Nucleophilic attack at Co-ordinated isocyanides promoted by the 2-pyridyl ligand. J. Chem. Soc. Dalton Trans. 1994, 4, 407–414. [Google Scholar] [CrossRef]
- Canovese, L.; Visentin, F.; Uguagliati, P.; Crociani, B.; Di Bianca, F. Mechanism of aminocarbene formation by nucleophilic attack on isocyanide ligands in platinum(II) 2-pyrazyl and 4-pyridyl complexes. J. Organomet. Chem. 1997, 535, 69–75. [Google Scholar] [CrossRef]
- Canovese, L.; Visentin, F.; Uguagliati, P.; Crociani, B. Mechanism of formation of (methoxy)(amino)—And bis(amino) carbene complexes by nucleophilic attack of methoxide ion and amines on platinum(II)-coordinated isocyanide in anhydrous methanol. J. Organomet. Chem. 1997, 543, 145–151. [Google Scholar] [CrossRef]
- Luzyanin, K.V.; Guedes da Silva, M.F.C.; Kukushkin, V.Y.; Pombeiro, A.J.L. First example of an imine addition to coordinated isonitrile. Inorg. Chim. Acta. 2009, 362, 833–838. [Google Scholar] [CrossRef]
- Zhao, Y.; Truhlar, D.G. A new local density functional for main-group thermochemistry, transition metal bonding, thermochemical kinetics, and noncovalent interactions. J. Chem. Phys. 2006, 125, 194101–194118. [Google Scholar] [CrossRef] [PubMed]
- Frisch, G.W.; Trucks, H.B.; Schlegel, G.E.; Scuseria, M.A.; Robb, J.R.; Cheeseman, G.; Scalmani, V.; Barone, B.; Mennucci, G.A.; Petersson, H.; et al. Gaussian 09; Revision A.01; Gaussian, Inc.: Wallingford, CT, USA, 2009. [Google Scholar]
- Andrae, D.; Haussermann, U.; Dolg, M.; Stoll, H.; Preuss, H. Energy-adjusted ab initio pseudopotentials for the second and third row transition elements. Theor. Chim. Acta 1990, 77, 123–141. [Google Scholar] [CrossRef]
- Marenich, A.V.; Cramer, C.J.; Truhlar, D.G. Universal solvation model based on solute electron density and a continuum model of the solvent defined by the bulk dielectric constant and atomic surface tensions. J. Phys. Chem. B 2009, 113, 6378–6396. [Google Scholar] [CrossRef] [PubMed]
- Gonzalez, C.; Schlegel, H.B. Improved algorithms for reaction path following: Higher-order implicit algorithms. J. Chem. Phys. 1991, 95, 5853–5860. [Google Scholar] [CrossRef]
- Gonzalez, C.; Schlegel, H.B. An improved algorithm for reaction path following. J. Chem. Phys. 1989, 90, 2154–2161. [Google Scholar] [CrossRef]
- Gonzalez, C.; Schlegel, H.B. Reaction path following in mass-weighted internal coordinates. J. Phys. Chem. 1990, 94, 5523–5527. [Google Scholar] [CrossRef]
- Wiberg, K.B. Application of the Pople–Santry–Segal CNDO method to the cyclopropylcarbinyl and cyclobutyl cation and to bicyclobutane. Tetrahedron 1968, 24, 1083–1096. [Google Scholar] [CrossRef]
- Reed, A.E.; Curtiss, L.A.; Weinhold, F. Intermolecular interactions from a natural bond orbital, donor-acceptor viewpoint. Chem. Rev. 1988, 88, 899–926. [Google Scholar] [CrossRef]
- Lasri, J.; Kuznetsov, M.L.; Guedes da Silva, M.F.C.; Pombeiro, A.J.L. PtII-mediated imine−nitrile coupling leading to symmetrical (1,3,5,7,9-pentaazanona-1,3,6,8-tetraenato)Pt(II) complexes containing the incorporated 1,3-diiminoisoindoline moiety. Inorg. Chem. 2012, 51, 10774–10786. [Google Scholar] [CrossRef] [PubMed]
Sample Availability: Not Avaiable. |
© 2017 by the authors. Licensee MDPI, Basel, Switzerland. This article is an open access article distributed under the terms and conditions of the Creative Commons Attribution (CC BY) license (http://creativecommons.org/licenses/by/4.0/).







