Abstract
A new series of quinazoline-4(3H)-ones are evaluated for anticonvulsant activity. After intraperitoneal (ip) injection to albino mice at a dose of 100 mg/kg body weight, synthesized quinazolin-4(3H)-ones (1–24) were examined in the maximal electroshock (MES) induced seizures and subcutaneous pentylenetetrazole (scPTZ) induced seizure models in mice. The Rotarod method was applied to determine the neurotoxicity. Most of the compounds displayed anticonvulsant activity in the scPTZ screen at a dose range of 0.204–0.376 mmol/mL. Out of twenty-four, compounds 8, 13 and 19 proved to be the most active with a remarkable protection (100%) against PTZ induced convulsions and four times more potent activity than ethosuximide. The structure-activity relationship concluded valuable pharmacophoric information, which was confirmed by the molecular docking studies using the target enzyme human carbon anhydrase II (HCA II). The studied quinazoline analogues suggested that the butyl substitution at position 3 has a significant effect on preventing the spread of seizure discharge and on raising the seizure threshold. However, benzyl substitution at position 3 has shown a strong anticonvulsant activity but with less seizure prevention compared to the butyl substitution.
1. Introduction
Epilepsy is a ubiquitous disease characterized by chronic and recurrent seizures usually caused by brief and excessive electrical discharges in a group of brain cells [1,2,3]. The World Health Organization (WHO) estimated that almost 80% of the people with epilepsy are living in developing countries and most of them do not receive adequate medication [4]. A wide variety of modalities such as yoga, surgery and drugs have been used for arresting and controlling seizures. Various ketogenic diets have been suggested as useful therapy in pharmacoresistant epileptic patients. This includes classic ketogenic diet, low glycemic index treatment, medium chain triglyceride administration, and a modified Atkins diet [5]. However, drug therapy remains the mainstay in epilepsy treatment. Moreover, remedy is symptomatic in that the available drugs inhibit seizures, but there is no effective prophylaxis or cure is available [6]. A vast number of antiepileptic agents are available to treat various types of seizures aiming to reduce seizure frequency and severity within the scope of a reasonable standard of side effects [7]. For instance, phenytoin, carbamazapine, ethosuccimide and sodium valproate are used to inhibit seizures. However, the ideal anti-seizure drug would suppress all seizures without causing any undesirable effects. Unfortunately, the remedy that is currently used does not only fail to control seizure activity in some patients, but it frequently remains inadequate and the patients suffer from a lot of specific problems like depression, neurotoxicity, sedation, ataxia, and hypnosis [7]. The currently used antiepileptic drugs abolish only the ictal but not the interictal epileptiform discharges. However, clinical evidence indicates that antiepileptic drugs are not affecting the interictal activity which is the activity that effectively stop seizures [8]. The undesirable side effects of the clinically used drugs often render therapy difficult; so there is high demand for new anticonvulsants [7].
The carbonic anhydrase inhibition (CA; EC 4.2.1.1) has demonstrated interesting pharmacologic applications such as anti-convulsant, anti-glaucoma and anti-cancer agents. These enzymes have shown a potential target for designing anti-convulsant drugs with a novel mechanism of action. The enzymes play an important role in the anion exchange processes [9]. 16 CA isozymes have been described to date in mammals and among them as catalysts for carbon dioxide hydration is CA II. This will allow the maintenance of pH homeostasis in the human body. It was reported that a series of quinazoline derivatives were designed and synthesized as potential CA inhibitors [10]. Moreover, a literature survey reveals that the chemistry of quinazolines and their derivatives has received considerable attention owing to their synthetic and effective anticonvulsant importance [11,12,13,14,15,16,17,18,19,20,21,22]. Methaqualone and mecloqualone (I, II), as quinazoline analogues, approved as anticonvulsant drugs [1] and the 6-chloro derivative of (I) was found to possess remarkable anticonvulsant potency against electroshock-induced convulsions (1.5 times than phenytoin sodium) and against pentylenetetrazol (PTZ)-induced seizures (10 times than troxidone) [17]. Over the years, medicinal chemists have modified and substituted different chemical moieties at position 3 of 4(3H)-quinazoline to yield structural analogues with potent anticonvulsant activity. The recent reported quinazoline analogues (III, IV) possess significant anticonvulsant activities (ED50 = 73.1 and 11.79 mg/kg) and showed a 100% protection against PTZ induced clonic convulsion [16,17].
Based on the aforementioned considerations, bearing in mind the inherited anticonvulsant potency of quinazoline nuclei together with the similarities between methaqualone, mecloqualone, the reported anticonvulsants and our synthesized derivatives (A) (Figure 1), we report the evaluation of a new synthesized quinazolines series (1–24) [23,24,25] for anticonvulsant effects to explore the influence of butyl and benzyl groups at position 3 of the quinazolines (4–16,22,24) and (16–21,23), respectively. In addition, this study aims to investigate the electronic effect of the electron donating- and withdrawing groups at position 2- on the anticonvulsant activity and hence deduce the structure activity relationship (SAR).
Figure 1.
The structures of anticonvulsant and designed quinazolines.
2. Results and Discussion
2.1. Anticonvulsant Activity
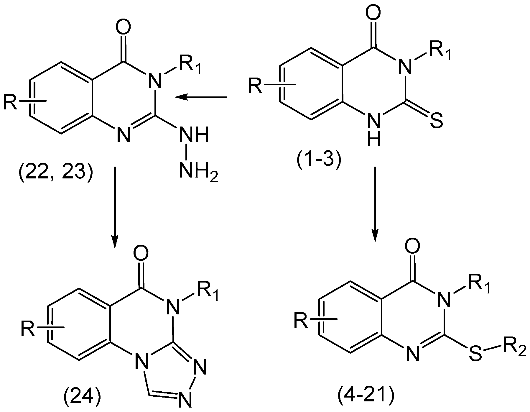
As shown in Scheme 1 and Table 1, the synthetic pathways and full physicochemical characterization of compounds 1–24 have been described [23,24,25].
Scheme 1.
Synthetic pathways for the quinazolines 1–24.
Table 1.
Synthesized quinazoline derivatives 1–24.
Animal seizure models are well known predictable techniques for the discovery of novel bioactive chemical agents for the preclinical treatment of epilepsy. These models cover diverse classes of epilepsy with different categories [26,27]. Early stages of anticonvulsant testing are feasible via the acute seizure model, induced by either electric (MES) or chemical (scPTZ) stimulus in normal animals, which are also labeled as the “gold standard screen tests” [28]. The anticonvulsant drug development (ADD) program protocol of National Institute of Health, provided by the epilepsy section of National Institute of Neurological Disorders and Stroke (NINIDS), has been adopted in the current investigation. The scPTZ screening test utilizes chemical stimuli to induce myoclonic seizures, simulating human generalized absence seizures (petit mal epilepsy) [28,29,30]. It is worth noting that this model simulates human tonic-clonic epilepsy and partial convulsions, with or without secondary generalization. Meanwhile, a MES test is conducted using electrical stimulus to induce generalized tonic-clonic seizures (grand mal epilepsy) and screen compounds that prevent seizure spreading. In the present investigation, test compounds 1–24 were injected at doses of 100 mg/kg (ip) and PTZ was used at a dose level of 85 mg/kg (sc), 45 min after the test compounds. This dose was found to be the minimum dose that induced 100% clonic convulsion. Any of the tested compounds that were able to prevent such episodes or that delayed this time pattern in varying magnitude will be considered to possess an anticonvulsant activity. Target compounds 1–24 have been initially evaluated by the scPTZ test, and candidates that raised seizure threshold and provided 100% protection were further tested by the MES screen. Additionally, all candidate compounds underwent an acute neurological toxicity test using the rotarod apparatus to identify minimal motor impairment. Anticonvulsant activity of the new candidates 1–24 were evaluated 45 min following compound administration. Results of the primary (phase-I) screening expressed as % protection of the tested products 1–24, as well as neurotoxicity are shown in Table 2. The obtained findings revealed that the initial evaluation of most candidates showed variable anticonvulsant activity ranging from 17–100% protection against scPTZ-induced seizures at the tested dose level equivalent to 100 mg/kg. Data obtained indicated that compounds 8 (0.248 mmol/kg), 13 (0.239 mmol/kg) and 19 (0.338 mmol/kg) were the most potent congeners exhibiting 100% protection against myoclonic seizures without neurotoxicity. In addition, compounds 8, 13 and 19 were more potent than ethosuximide by 4.3, 4.4, 3.13 folds, respectively, (3–4 folds). Meanwhile, the reference drugs phenobarbital and ethosuximide exhibited 100% protection at dose levels 0.13 and 1.06 mmol/kg, respectively. Moreover, compounds 16 (0.252 mmol/kg) and 15 (0.245 mmol/kg) exhibited an equipotent effect (83% protection) at the tested dose levels, which was almost four folds more potent than ethosuximide. On the other hand, compounds 17 and 23 lacked anti-seizure property at dose levels 0.329 and 0.291 mmol/kg, respectively. The remaining compounds exerted variable anticonvulsant potential ranging from 20% to 75% protection. Candidate compounds in this series are arranged according to the potency of raising seizure threshold in the following descending order: 8 = 13 = 19 > 15 = 16 > 22 > 3 = 6 = 7 = 20 = 24 > 1 = 10 = 11 > 2 = 4 = 9 = 12 = 21 > 14 > 5 > 18 (Figure 2).
Table 2.
Anticonvulsant activity and neurotoxicity of compounds 1–24 relative to the reference standards against both pentylenetetrazol and electro-induced seizures in adult male albino mice.
Figure 2.
The scPTZ protection activity of the synthesized compounds 1–24 compared with phenobarbital and ethosuximide as reference drugs.
Furthermore, compounds 8, 13 and 19 subjected to MES-induced seizure and produced 17, 33 and 33% protection against MES-induced seizure (Figure 3), respectively. These findings suggest that 8, 13 and 19 possess the ability to prevent the spread of seizure discharge and to raise seizure threshold. In the current investigation, all candidates 1–24 were devoid of neurotoxicologically effects (motor dysfunction), which has detected by using the rotarod screen [31].
Figure 3.
MES-induced seizure protection activity of the synthesized compounds 8, 13 and 19 compared with diphenylhydantoin as a reference drug.
Based on the results in Table 2, structure activity correlation of the compounds 1–24 netted some valuable pharmacophoric information about the anticonvulsant activity. The parent compounds 1, 2 and 3 exhibited anticonvulsant activity (50%, 33%, 67%, respectively), however, compound 3 appeared stronger than 1 and 2. The increase in activity may be due to the fact that compound 3 has a highly lipophilic group (butyl) that enhanced such activity. A variation in the anticonvulsant activity was noticed with chemical transformation of 3 into 4–15, 22 and 24. Compounds 4, 5, 9, 10–12 and 14 showed low activity; 8, 13 and 15 exhibited the highest activity in relation to the parent 3.
In regards to the benzyl substitution at position 3, compound 21 has shown the same activity as its parent 2 (33%), however, compound 20 demonstrated potent activity (67%) and compounds 16 and 19 showed the highest activity in regards to 1.
It can be concluded that variation and configuration of substituents on S-benzyl ring affected the anticonvulsant activity. This is seen in the increment of anticonvulsant activity in compounds 8 and 13 containing electron withdrawing (Cl) and electron donating (OCH3) groups, in which both compounds showed the 100% protection against scPTZ-induced seizures. This indicates that the presence of Cl group in 8 enhanced the lipophilicity, which positively affected the anticonvulsant activity. Whereas, the presence of an electron donating group was beneficial for the efficiency observed in compound 13.
Incorporation of heteroalkyl groups into 1 and 3 afforded 19 and 15 with highly increase in the protection against scPTZ-induced seizures. This suggests that the presence of benzodiazoxazole and morphilinoethyl moieties might play a substantial role in the anticonvulsant activity. Moreover, compound 19 showed a high protection activity against scPTZ-and MES-induced seizures protection activity than 15 (Figure 3). Hydrazinolysis of 1 and 3 produced the anticonvulsant active 22 (75%) and inactive 23 (0%) products.
Furthermore, it was found that cyclization of 22 into corresponding triazole 24 was not found to be fruitful as the presence of this five membered ring and showed a slight decrease in the percentage of protection against seizure (67%).
2.2. Molecular Docking
A series of aromatic/heterocyclic compounds were prepared to design carbonic anhydrase inhibitors. In 2009, a group of isoquinoline derivatives were prepared by Rosaria Gitto and evaluated against several mice CA isoforms. Some of them have shown weak anticonvulsant activity with low CA selectivity [32]. However, in 2009, De Simone examined these derivatives against all mammalian carbonic anhydrases. Strong inhibition of CA II, VII, IX, and XII were correlated with sufficiently high liposolubility [33]. CA II controls the bicarbonate-mediated virulence induction and the conversion of CO2 into bicarbonate, which plays an important role in virulence induction. hCA II x-ray crystal structure in complex with dithiocarbamate was reported. The amino acid residues involved in the binding were Asn67, Gln92, Phe131, Leu198 and Pro202. This finding provided a deep understanding at the atomic level of the interactions between the enzyme and the inhibitor [34].
Docking analyses were performed to obtain more insights into the binding mode of docked ligands and the active site of hCA II isomer, i.e., the investigation of interaction of the high (13), moderate (2) and low anticonvulsant (5) synthesized quinazoline derivatives to the active site hCAII. The scores of docking results are based on the free binding energies and the hydrogen bond interactions involved in the binding mode. The obtained docking scores of results of low (5), moderate (3) and high (13) synthesized derivatives are presented in Table 3. The docked quinazoline 13 in the active binding site is shown in Figure 4. The closest interactions between quinazolines 3, 5 and 13 with the residue of hCA II are shown in Figure 5.
Table 3.
Docking binding energies and binding interactions of quinazoline derivatives 3, 5 and 13.
Figure 4.
Docking of quinazoline 13 in the active site of hCA II (left), and the electrostatic surface potential of hCA II in complex with 13 (right).

Figure 5.
2D and 3D closest interactions between hCA II and quinazolines 3, 5 and 13 when bound to the enzyme.
The variation of binding energy of the stable enzyme-ligand complexes is in good agreement with the observed anticonvulsant activities of quinazoline derivatives. Indeed, quinazoline 13 exhibited the highest activity with the lowest energy of −4.01 kcal/mol among the three docked quinazolines. However, the less active one, 5, possesses the highest energy (−3.19 kcal/mol). In addition, the higher anticonvulsant activity of quinazoline 13 compared to quinazolines 3 and 5 may also refer to the number of established hydrogen bonding in enzyme-ligand complexes. On one hand, two hydrogen bonds are formed between 13 and amino acid residues of hCA II active site Asn62 and Gln92 (see Table 3 and Figure 5). On the other hand, only one hydrogen is formed in case of 3 in the active site with the amino acid residue Gln92. However, no hydrogen bonds are formed between quinazoline 5 and the closest amino acid in the active site of hCA II. Moreover, compound 13 binds to 10 amino acid residues at the active site compared to compound 5, which exhibited only 5 binding amino acid residues and compound 3 with only 4 amino acids binding. This may support the notion that the high activity presented by compound 13 is because of the higher number of hydrogen bonds and binding amino acid residues at the hCA II active site. The docking of the selected quinazoline derivatives reveal that they bind to the active site of hCA II in a similar manner to the previous reported docking studies [35,36].
3. Materials and Methods
3.1. Animals
Adult male Swiss albino mice weighing 18–25 g were used in the current study. They were obtained from Animals House Colony of the National Research Centre, Cairo, Egypt. The animals were housed under standardized conditions (room temperature 23 + 2 °C; relative humidity 55 + 5%; 12 h-light/dark cycle) and had free access to tap water and standard rat chow throughout the entire experimental period. Procedures involving animals and their care were performed after the ethics committee of the National Research Center (16090) and in accordance with the recommendations for the proper care and use of laboratory animals “Canadian Council on Animal Care Guidelines, 1984”. Extensive efforts were made to minimize animal suffering and the proper number of animals were used to obtain reliable data.
3.2. Drugs and Chemicals
Diphenylhydantoin (Nasr Co., Giza, Egypt), Ethosuximide (Pfizer Co., Giza, Egypt), Phenobarbital (Memphis Co. for Pharmaceutical and Chemical Industries, Cairo, Egypt). Tween-80 and Pentylenetetrazol were purchased from Sigma (St. Louis, MO, USA). The reference drugs and tested compounds were suspended in 7% tween-80 and administered intraperitoneal at a volume of 0.1 mL/10 g body weight.
3.3. Methods
One week following adaptation to laboratory conditions, the animals were randomly assigned to control and experimental groups consisting of six mice each.
3.3.1. Subcutaneous Pentylenetetrazol (scPTZ) Screen
This test produces threshold or minimal (clonic) seizures. Subcutaneous (sc) injection of aqueous solution of PTZ at a dose of 85 mg/kg was administered in the loose fold of skin at the back of the mouse neck. This dose (called convulsive dose 97 (CD97)), causes seizures in more than 97% of animals [37]. The test is carried out by giving scPTZ, 45 min after intraperitoneal injection (i.p.) of the test compounds at a dose level equivalent to 100 mg/kg. The tested animals were closely monitored for the occurrence of seizures for 30 min. A threshold convulsion was defined as one episode of clonic convulsions, which persisted for at least 5 s. Absence of a single 5 s episode of clonic spasms during the 30 min period of observation is taken as the end point in this test [28,38].
3.3.2. Maximal Electroshock Seizure (MES) Screen
Electroconvulsions were induced by a fixed current intensity of 25 mA and 0.2 s stimulus duration, which was delivered via ear clip electrodes using a Rodent Shocker generator (constant-current stimulator Type 221, Hugo Sachs Elektronik, Freiburg, Germany), forty-five min following i.p. injection of the test compound. The criterion for the occurrence of seizure activity was the tonic hind limb extension (i.e., the hind limbs of animals outstretched 180° to the plane of the body axis) [39].
3.3.3. Neurotoxicity
The neurotoxicity of the animals was evaluated by adopting the rotarod test [31]. In this test, the animals were pre-trained to maintain equilibrium on a rotating 1 inch diameter knurled plastic rod (rotarod, UGO Basile, 47600, Varese, Italy) at a fixed speed of 10 rpm for 60 s in each of the three trials. Only animals that fulfill this criterion were included in the experiment. The animals in the experimental groups (n = 6) were given an ip injection of one of the test compounds. Forty-five min later, the mice were placed again on the rotating rod and the motor performance time was monitored for up to 60 s. Neurotoxicity was indicated by the inability of the animal to maintain equilibrium on the rod for at least 60 s.
3.4. Molecular Docking
It is reported that the anticonvulsant, antepileptic and antiseizure drugs may account for hCA inhibition [35,36]. The choice of consistent hCA enzyme was based on reported litterature [40]. Hence, X-ray coordinates of the hCA II isomer was taken from the RCSB data bank (PDB file with code 3F8E), in which, cis-2-hydroxy-4-(1S-3–methylbutyl)-3-methoxy-cinamic acid perfectly fits with the active site of [41]. Water molecules were removed, polar hydrogen atoms and Kollman charge were added to the enzyme structure using the automated tool in AutoDoc 4.2.6 (The Scripps Research Institute (TSRI), La Jolla, CA, USA) [42]. The active site was identified based on co-crystallized ligand structure in the addcuct structure (i.e., enzyme-ligand complex) [41]. The docking study was validated by re-docking of the original ligand into the enzyme active sites, that lead to an RMSD value less than 2 Å. The optmization of quinazoline derivatives geometries (1–24) was carried out by using molecular mechanics force field MM+ as implemented in HyperChemTM program Release 7.52 for windows (Hypercube, Inc., Gainesville, FL, USA). The optimized structures were saved as pdb files. Nonpolar hydrogens were merged and rotatable bonds were defined for each ligand. Docking studies were performed by Lamarckian genetic algorithm, with 500 as the total number of run for each binding site. In each respective run, a population of 150 individuals with 27,000 generations and 250,000 energy evaluations were employed. Operator weights for crossover, mutation, and elitism were set to 0.8, 0.02, and 1, respectively. The binding site was defined using a grid of 20 × 20 × 20 points each with a grid space of 0.375 Å centered at coordinates x = −5.095, y = 6.414, and z = 9.427. The calculation have been carried out using an Intel (R) Core (TM) i5-3770 CPU @ 3.40 GHz workstation (Windows version, Dell Inc., Round Rock, TX, USA). Cluster analyses were performed on docked results using a root mean-square deviation (RMSD) tolerance of 2.0 Å. The protein-ligand complexes were visualized and analyzed using AutoDockTools and Discovery Studio version 4.0 (Accelrys Software Inc., San Diego, CA, USA).
4. Conclusions
The results revealed that most of the compounds displayed 17–100% anticonvulsant activity in the scPTZ screen at a dose range of 0.204–0.376 mmol/kg. Compounds 8, 13 and 19 appeared the most potent in this series at doses of 0.248, 0.239 and 0.338 mmol/kg, respectively. They were 3–4 fold more potent than ethosuxmide (1.06 mmol/kg) and less than phenobarbital (0.13 mmol/kg). The butyl substitution at position 3 plays a significant role in the anticonvulsant activity and the seizure spreading, which presented in compounds 8 and 13. The benzodiazoxazole moiety at position 2 enhances the anticonvulsant activity of the benzyl substituted compounds at position 3 with less seizure prevention as in the case of compound 19. Moreover, the methyl substituted quinazoline ring displayed a stronger anticonvulsant activity than the methoxy substitution. Molecular docking results showed that the high anticonvulsant potency of the synthesized quinazolines is mainly due to the lowest binding energy of the stable complex ligand-enzyme, as well as the number of hydrogen bonds and intermolecular amino acids binding at the active site of hCA II.
Acknowledgments
The authors extend their appreciation to the Deanship of Scientific Research at King Saud University for funding this work through the research group project no. RG-1435-068.
Author Contributions
H.A.A., R.A.-S. and M.M. designed the work, the protocol of the study, synthesized-analyzed of compounds and wrote the manuscript. R.E.D. wrote and revised the manuscript. Y.A.M. and H.N.A. performed the biological studies and wrote their experimental data. E.-H.A. performed and interpreted the docking study helped in interpretation of the anticonvulsant study. All the authors revised the whole manuscript.
Conflicts of Interest
The authors declare no conflict of interest.
References
- Zayed, M.F.; Ihmaid, S.K.; Ahmed, H.E.A.; El-Adl, K.; Asiri, A.M.; Omar, A.M. Synthesis, modelling, and anticonvulsant studies of new quinazolines showing three highly active compounds with low toxicity and high affinity to the GABA-A receptor. Molecules 2017, 22, 188. [Google Scholar] [CrossRef] [PubMed]
- Zhang, H.-J.; Shen, Q.-K.; Jin, C.-M.; Quan, Z.-S. Synthesis and pharmacological evaluation of new 3,4-Dihydroisoquinolin derivatives dontaining heterocycle as potential anticonvulsant agents. Molecules 2016, 21, 1635. [Google Scholar] [CrossRef] [PubMed]
- Marjan, N.A.; Zamansoltani, F.; Torabinejad, B. Antiepileptic effects of quinine in the pentylenetetrazole model of seizure. Seizure 2009, 18, 129–132. [Google Scholar]
- Reddy, D.S. Pharmacotherapy of catamenial epilepsy. Ind. J. Pharmacol. 2005, 37, 288–293. [Google Scholar] [CrossRef]
- Giordano, C.; Marchiò, M.; Timofeeva, E.; Biagini, G. Neuroactive peptides as putative 366 mediators of antiepileptic ketogenic diets. Front. Neurol. 2014, 5, 63–76. [Google Scholar] [CrossRef] [PubMed]
- Kneen, R.; Appleton, R.E. Alternative approaches to conventional antiepileptic drugs in the management of paediatric epilepsy. Arch. Dis. Child. 2006, 91, 936–941. [Google Scholar] [CrossRef] [PubMed]
- Goldenberg, M.M. Overview of drugs used for epilepsy and seizures etiology, diagnosis, and treatment. Pharm. Ther. 2010, 35, 392–415. [Google Scholar]
- D'Antuono, M.; Köhling, R.; Ricalzone, S.; Gotman, J.; Biagini, G.; Avoli, M. Antiepileptic drugs abolish ictal but not interictal epileptiform discharges in vitro. Epilepsia 2010, 51, 423–431. [Google Scholar] [CrossRef] [PubMed]
- Supuran, C.T. Structure-based drug discovery of carbonic anhydrase inhibitors. J. Enzym. Inhib. Med. Chem. 2012, 27, 759–772. [Google Scholar] [CrossRef] [PubMed]
- Thiry, A.; Dogne, J.-M.; Supuran, C.T.; Masereel, B. Carbonic Anhydrase Inhibitors as Anticonvulsant Agents. Curr. Top. Med. Chem. 2007, 7, 855–864. [Google Scholar] [CrossRef] [PubMed]
- Georgey, H.; Abdel-Gawad, N.; Abbas, S. Synthesis and anticonvulsant activity of some quinazolin-4-(3H)-one derivatives. Molecules 2008, 13, 2557–2569. [Google Scholar] [CrossRef] [PubMed]
- Boshta, N.M.; El-Essawy, F.A.; Ammar, R.M.; Ismail, A.; Wahba, N.E. Synthesis of some new quinazolin-4(3H)-one derivatives and evaluation of their anticonvulsant activity. Monatsh. Chem. Mon. 2016, 147, 2031–2042. [Google Scholar] [CrossRef]
- Jatav, V.; Mishra, P.; Kashaw, S.; Stables, J.P. CNS depressant and anticonvulsant activities of some novel 3-[5-substituted-1,3,4-thiadiazole-2-yl]-2-styrylquinazoline-4(3H)-ones. Eur. J. Med. Chem. 2008, 43, 1945–1954. [Google Scholar] [CrossRef] [PubMed]
- Kashaw, S.K.; Kashaw, V.; Mishra, P.; Jain, N.K.; Stables, J.P. Synthesis, anticonvulsant and CNS depressant activity of some new bioactive 1-(4-substituted–phenyl)-3-(4-oxo-2-phenyl/ethyl-4H-quinazolin-3-yl)-urea. Eur. J. Med. Chem. 2009, 44, 4335–4343. [Google Scholar] [CrossRef] [PubMed]
- Jatav, V.; Mishra, P.; Kashaw, S.; Stables, J.P. Synthesis and CNS depressant activity of some novel 3-[5-substituted-1,3,4-thiadiazole-2-yl]-2-styrylquinazoline-4(3H)-ones. Eur. J. Med. Chem. 2008, 43, 135–141. [Google Scholar] [CrossRef] [PubMed]
- Al-Salem, H.S.; Hegazy, G.H.; El-Taher, K.E.; El-Messery, S.M.; Al-Obaid, A.M.; El-Subbagh, H.I. Synthesis, anticonvulsant activity and molecular modeling study of some new hydrazinecarbothioamide, benzenesulfonohydrazide, and phenacylacetohy drazide analogues of 4(3H)-quinazolinone. Bioorg. Med. Chem. Lett. 2015, 25, 1490–1499. [Google Scholar] [CrossRef] [PubMed]
- El-Azab, A.S.; Abdel-Hamide, S.G.; Sayed-Ahmed, M.M.; Hassan, G.S.; El-Hadiyah, T.M.; Al-Shabanah, O.A.; Al-Deeb, O.A.; El-Subbagh, H.I. Novel 4(3H)-quinazolinone analogs: Synthesis and anticonvulsant activity. Med. Chem. Res. 2013, 22, 2815–2827. [Google Scholar] [CrossRef]
- Aly, M.M.; Mohamed, Y.A.; El-Bayouki, K.A.; Basyouni, W.M.; Abbas, S.Y. Synthesis of some new 4(3H)-quinazolinone-2-carboxaldehyde thiosemicarbazones and their metal complexes and a study on their anticonvulsant, analgesic, cytotoxic and antimicrobial activities—Part-1. Eur. J. Med. Chem. 2010, 45, 3365–3373. [Google Scholar] [CrossRef] [PubMed]
- Kashaw, S.K.; Gupta, V.; Kashaw, V.; Mishra, P.; Stables, J.P.; Jain, N.K. Anticonvulsant and sedative-hypnotic activity of some novel 3-[5-(4-substituted)411-phenyl-1,3,4-oxadiazol-2-yl]-2-styrylquinazolin-4(3H)-ones. Med. Chem. Res. 2010, 19, 250–261. [Google Scholar] [CrossRef]
- Kashaw, S.K.; Kashaw, V.; Mishra, P.; Jain, N.K.; Stables, J.P. Design, synthesis, and potential CNS activity of some new bioactive 1-(4-substituted-phenyl)-3-(4-oxo-2-415 methyl-4H-quinazolin-3-yl)-urea. Med. Chem. Res. 2011, 20, 738–745. [Google Scholar] [CrossRef]
- Pandey, S.; Srivastava, R.S. Recent advancement in the field of anticonvulsants: A review. Lett. Drug Des. Discov. 2010, 7, 694–706. [Google Scholar] [CrossRef]
- Zappalà, M.; Grasso, S.; Micale, N.; Zuccalà, G.; Menniti, F.S.; Ferreri, G.; de Sarro, G.; De Micheli, C. 1-Aryl-6,7-methylenedioxy-3H-quinazolin-4-ones as anticonvulsant agents. Bioorg. Med. Chem. Lett. 2003, 13, 4427–4430. [Google Scholar] [CrossRef] [PubMed]
- Abuelizz, H.A.; Marzouk, M.; Ghabbour, H.; Al-Salahi, R. Synthesis and anticancer activity of new quinazoline derivatives. Saudi Pharm. J. 2017, in press. [Google Scholar] [CrossRef]
- Al-Omar, M.A.; Abdel-Hamide, S.G.; Al-Khamees, H.A.; El-Subbagh, H.I. Synthesis and biological screening of some new substituted-3H-quinazolin-4-one analogs as antimicrobial agents. Saudi Pharm. J. 2004, 12, 63–71. [Google Scholar]
- Alafeefy, A.M.; Ceruso, M.; Al-Tamimi, A.M.S.; del Prete, S.; Capasso, C.; Supuran, C.T. Quinazoline-sulfonamides with potent inhibitory activity against the α-carbonic anhydrase from Vibrio Cholera. Bioorg. Med. Chem. 2014, 22, 5133–5140. [Google Scholar] [CrossRef] [PubMed]
- Kamiński, K.; Rapacz, A.; Łuszczki, J.J.; Latacz, G.; Obniska, J.; Kieć-Kononowicz, K.; Filipek, B. Design, synthesis and biological evaluation of new hybrid anticonvulsants derived from N-benzyl-2-(2,5-dioxopy rrolidin-1-yl) propanamide and 2-(2,5-dioxopyrrolidin-1-yl) butan amide derivatives. Bioorg. Med. Chem. 2015, 23, 2548–2561. [Google Scholar] [CrossRef] [PubMed]
- Curia, G.; Longo, D.; Biagini, G.; Jones, R.S.; Avoli, M. The pilocarpine model of temporal lobe epilepsy. J. Neurosci. Methods 2008, 172, 143–157. [Google Scholar] [CrossRef] [PubMed]
- Krall, R.L.; Penry, J.K.; White, B.G.; Kupferberg, H.J.; Swinyard, E.A. Antiepileptic drug development: II. Anticonvulsant drug screening. Epilepsia 1978, 19, 409–428. [Google Scholar] [CrossRef] [PubMed]
- Löscher, W. Critical review of current animal models of seizures and epilepsy used in the discovery and development of new antiepileptic drugs. Seizure 2011, 20, 359–368. [Google Scholar] [CrossRef] [PubMed]
- White, H.S. Preclinical development of antiepileptic drugs: Past, present, and future directions. Epilepsia 2003, 44, 2–8. [Google Scholar] [CrossRef] [PubMed]
- Dunham, N.W.; Miya, T.S. A note on a simple apparatus for detecting neurological deficit in rats and mice. J. Am. Pharm. Assoc. Am. Pharm. Assoc. 1957, 46, 208–209. [Google Scholar] [CrossRef] [PubMed]
- Gitto, R.; Ferro, S.; Agnello, S.; de Luca, L.; de Sarro, G.; Russo, E.; Vullo, D.; Supuran, C.T.; Chimirri, A. Synthesis and evaluation of pharmacological profile of 1-aryl-6,7-dimethoxy-3,4-dihydroisoquinoline-2(1H)-sulfonamides. Bioorg. Med. Chem. 2009, 17, 3659–3664. [Google Scholar] [CrossRef] [PubMed]
- De Simone, G.; Scozzafava, A.; Supuran, C.T. Which carbonic anhydrases are targeted by the antiepileptic sulfonamides and sulfamates? Chem. Biol. Drug Des. 2009, 74, 317–321. [Google Scholar] [CrossRef] [PubMed]
- Carta, F.; Aggarwal, M.; Maresca, A.; Scozzafava, A.; McKenna, R.; Supuran, C.T. Dithiocarbamates: A new class of carbonic anhydrase inhibitors. Crystallographic and kinetic investigations. Chem. Commun. 2012, 48, 1868–1870. [Google Scholar] [CrossRef] [PubMed]
- Supuran, C.T. Carbonic anhydrases: Novel therapeutic applications for inhibitors and activators. Nat. Rev. Drug Discov. 2008, 7, 168–181. [Google Scholar] [CrossRef] [PubMed]
- Karataş, M.O.; Uslu, H.; Sarı, S.; Alagöz, M.A.; Karakurt, A.; Alıcı, B.; Bilen, C.; Yavuz, E.; Gencer, N.; Arslan, O. Coumarin or benzoxazinone based novel carbonic anhydrase inhibitors: Synthesis, molecular docking and anticonvulsant studies. J. Enzym. Inhib. Med. Chem. 2016, 31, 760–772. [Google Scholar] [CrossRef] [PubMed]
- Behairy, M.F.; Aboul-Enein, M.N.; El-Azzouny, A.A.; Saleh, O.A.; Maklad, Y.A.; Aboutabl, M.E.; Maghraby, A.S. Design, synthesis, and biological profile of novel N-(5-aryl-1,3,4-thiadiazol-2-yl) hydrazinecarboxamides. Eur. J. Chem. 2014, 5, 488–496. [Google Scholar] [CrossRef]
- Alam, O.; Mullick, P.; Verma, S.P.; Gilani, S.J.; Khan, S.A.; Siddiqui, N.; Ashsan, W. Synthesis, anticonvulsant and toxicity screening of newer pyrimidine semicarbazone derivatives. Eur. J. Med. Chem. 2010, 45, 2467–2472. [Google Scholar] [CrossRef] [PubMed]
- Luszczki, J.J.; Czuczwar, M.; Gawlik, P.; Sawiniec-Pozniak, G.; Czuczwar, K.; Czuczwar, S.J. 7-Nitroindazole potentiates the anticonvulsant action of some second-generation antiepileptic drugs in the mouse maximal electroshock-induced seizure model. J. Neural. Transm. 2006, 113, 1157–1168. [Google Scholar] [CrossRef] [PubMed]
- D’Ambrosio, K.; Carradori, S.; Monti, S.M.; Buonanno, M.; Secci, D.; Vullo, D.; Supuran, C.T.; de Simone, G. Out of the active site binding pocket for carbonic anhydrase inhibitors. Chem. Commun. 2015, 51, 302–305. [Google Scholar] [CrossRef] [PubMed]
- Maresca, A.; Temperini, C.; Vu, H.; Pham, N.B.; Poulsen, S.-A.; Scozzafava, A.; Quinn, R.J.; Supuran, C.T. Non-Zinc Mediated Inhibition of Carbonic Anhydrases: Coumarins Are a New Class of Suicide Inhibitors. J. Am. Chem. Soc. 2009, 131, 3057–3062. [Google Scholar] [CrossRef] [PubMed]
- Morris, G.M.; Huey, R.; Lindstrom, W.; Sanner, M.F.; Belew, R.K.; Goodsell, D.S.; Olson, A.J. AutoDock4 and AutoDockTools4: Automated docking with selective receptor flexibility. J. Comput. Chem. 2009, 30, 2785–2791. [Google Scholar] [CrossRef] [PubMed]
Sample Availability: Samples of the compounds 1–24 are available from the authors. |
© 2017 by the authors. Licensee MDPI, Basel, Switzerland. This article is an open access article distributed under the terms and conditions of the Creative Commons Attribution (CC BY) license (http://creativecommons.org/licenses/by/4.0/).






