Abstract
The development of isoform selective inhibitors of the carbonic anhydrase (CA; EC 4.2.1.1) enzymes represents the key approach for the successful development of druggable small molecules. Herein we report a series of new benzenesulfamide derivatives (-NH-SO2NH2) bearing the 1-benzhydrylpiperazine tail and connected by means of a β-alanyl or nipecotyl spacer. All compounds 6a–l were investigated in vitro for their ability to inhibit the physiological relevant human (h) CA isoforms such as I, II, IV and IX. Molecular modeling provided further structural support to enzyme inhibition data and structure-activity relationship. In conclusion the hCA I resulted the most inhibited isoform, whereas all the remaining ones showed different inhibition profiles.
1. Introduction
The carbonic anhydrases (CAs, EC 4.2.1.1) are ubiquitous enzymes belonging to the superfamily of metalloenzymes [1,2,3]. To date, fifteen isoforms of these enzymes have been reported in humans, and they all differ for kinetic properties, sub-cellular localization and tissue distribution [1,2]. They all catalyze a simple as well as critical reaction, namely the reversible conversion of carbon dioxide to bicarbonate and protons [1,2]. These small molecules (carbon dioxide, protons and bicarbonate) are also involved as natural substrates of many other enzymes of particular interest, such as sodium–bicarbonate co-transporters (NBCs), sodium–proton exchangers (NHEs) or chloride–bicarbonate exchanger (AEs) [4,5,6]. Thus, CA enzymes are deeply involved in several physiological pathways and any disruption of their activities may result in physiological dysfunctions [1,2,3]. Therefore the ability to modulate the CA’s enzymatic activities by means of the use of small molecules acting as inhibitors or activators may give access to the pharmacological treatment of human diseases [7,8,9].
To date a large number of compounds have been explored and/or used as CA inhibitors (CAIs), and many of them exert their activity through different mechanisms [3,10,11,12,13]. Among them, the primary sulfonamide (R-SO2NH2)-containing compounds still represent the main class of CAIs explored, along with their bioisosteric analogs such as the sulfamides (-NH-SO2NH2) [14]. As reported from CA-ligand adduct X-ray crystallographic investigations the sulfamide moiety, when compared to the binding modes of the sulfonamides, ensures further interactions within the enzymatic cleft due to the presence of the additional nitrogen atom [3,14]. Despite the supplementary interaction points offered from the sulfamides within the CA, such a structural feature per se does not lead to selective isozyme binding [14]. Thus alternative design approaches have been developed with the aim to address the lack of selectively profiles associated to the CAIs of this type, and among others the tail approach is the most versatile (Figure 1) [14,15].
Figure 1.
The ring and the tail approaches used for the specific inhibition of the carbonic anhydrases.
As schematically reported above, such an approach takes advantage from the ability of the tail moieties of the ligand to specifically interact with the amino acid residues present at the rim of the enzyme cavity, which is the most variable among the various enzyme isoforms [14,15].
Pursuing this strategy, we have synthesized a new series of sulfamides compounds 6a–l bearing the 1-benzhydrylpiperazine tail and connected by means of a β-alanyl or nipecotyl spacer. All the obtained compounds then have been tested in vitro for their enzymatic activity on the dominant cytosolic physiological isoforms (hCA I, II), on the membrane-bound isoform hCA IV and on the transmembrane isoform hCA IX.
2. Results and Discussion
2.1. Chemistry
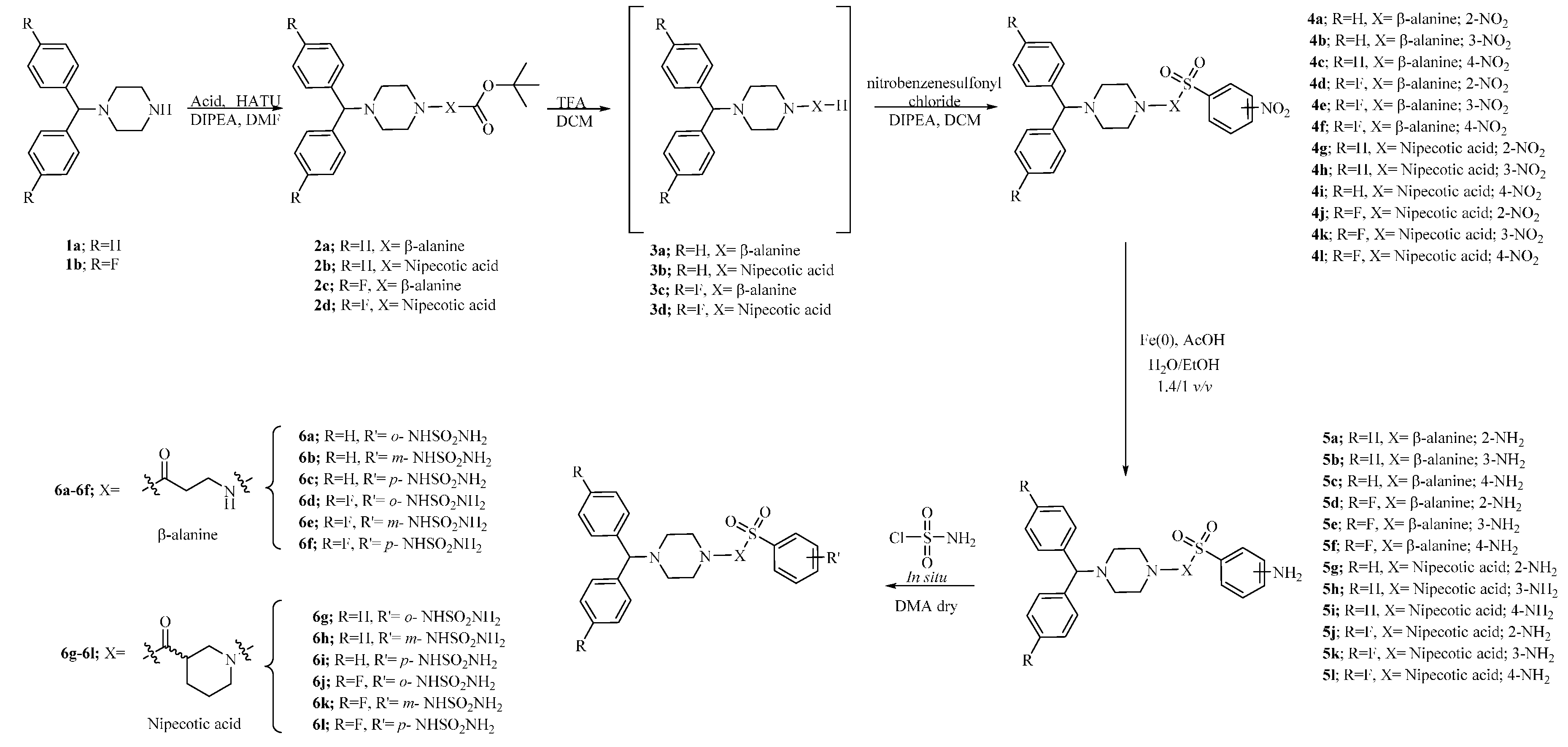
The aim of this study was to explore whether compounds bearing a sulfonamide bioisoster, such as the sulfamide (-NHSO2NH2) and installed into highly flexible alkyl-aryl scaffolds might show a significant enhancement of their selectivity profiles against the hCAs herein considered (I, II, IV and IX). In particular, we designed two series of compounds which differ in the spacer connecting to the 1-benzhydrylpiperazin tail with the sulfamide zinc binding group (Scheme 1).
Scheme 1.
General synthetic scheme of compounds 6a–l.
The intermediates 2a–d were obtained by coupling of the benzhydryl piperazines 1a,b with the appropriate acids [16,17], followed by treatment with TFA to afford the alkylamines 3a–d. Then the free amines were coupled with commercially available nitrobenzenesulfonyl chlorides and the thus obtained nitro derivatives 4a–l were reduced with Fe(0) in acidic media [18], to afford the amino derivatives 5a–l. The desired compounds 6a–l were obtained by treatment with freshly prepared sulfamoyl chloride [19]. All final compounds as well as their intermediates were characterized by means of 1H-, 13C-, 19F-NMR spectroscopy and HRMS, and were >95% pure as determined by HPLC.
2.2. Carbonic Anhydrase Inhibition
The final compounds 6a–l were investigated for their ability to inhibit the main physiological relevant hCAs (I, II, IV and IX) by means of the stopped flow CO2 hydrase assay [20]. Inhibition data, compared to those of the standard sulfonamide inhibitor acetazolamide (AAZ), are reported in Table 1.
Table 1.
Inhibition data of hCA I, hCA II, hCA IV, hCA IX with compounds 6a–l and the standard sulfonamide inhibitor acetazolamide (AAZ) by a Stopped flow CO2 hydrase assay [20].
In general all compounds tested showed high-medium KI inhibition values spanning between 45.8 and >10,000 nM. The following structure-activity-relationship (SAR) can be drawn:
- (i)
- The hCA I was the most inhibited isoform among those considered in this study, with KIs in the range of 45.8–659.6 nM, and 6j with a KI value of 2750.9 nM (Table 1). SAR analyses showed that among the compounds having the β-alanyl spacer (6a–c), the inhibition potencies were strictly dependent from the sulfamide regioisomer considered. In particular, as reported in Table 1, the meta- and the para-sulfamide derivatives 6b and 6c resulted in three to four time greater potencies than the ortho-sulfamide 6a. The introduction of a fluorine atom in 6a–c to afford the corresponding derivatives 6d–f, didn’t spoil the regioisomer-dependent inhibition trend. As reported in Table 1 the meta- and para-sulfamide fluoro containing derivatives 6e and 6f resulted 7 and 10 times more potent, respectively when compared to the ortho-regioisomer 6d (KIs of 94.0, 63.2 and 659.6 nM respectively). The kinetic data relative to each regioisomer 6a–c, when compared to its fluorinated derivative 6d–f, showed that the introduction of the halogen was slightly detrimental for the inhibition activity (as for 6a to 6d and 6b to 6e). Conversely the para regioisomer 6f showed a KI value modestly reduced when compared to its non-halogenated counterpart (compound 6c). As for the conformational restricted analogs 6g–l a different regioisomer inhibition trend was reported (Table 1). Within both the non-halogenated (compounds 6g–i) and halogenated (compounds 6j–l) series, the placement of the sulfamide moiety in ortho- and para-position of the phenyl ring was clearly detrimental for the inhibition potency when compared to the corresponding meta-analogs. In analogy, the introduction of fluorine in 6g–i to afford 6j–l, further enhanced the inhibition KI values of the ortho- and para-sulfamide derivatives (6g to 6j and 6i to 6l respectively). On the contrary the fluorination of the meta-regioisomer 6h to afford compound 6k determined a 1.6 fold increase of the inhibition potency, thus making it as the most potent inhibitor of the hCA I among the series here considered.
- (ii)
- As for the hCA II, all compounds herein considered showed medium-high KI inhibition values and comprised between 89.8 and 6456.0 nM (Table 1). In general most of compounds bearing a conformational restricted spacer moiety, as in 6g–l, showed higher inhibition KI values when compared to their corresponding flexible analogs 6a–f (Table 1). Conversely the compound 6g resulted in a 5.3 fold potency increase when compared to its corresponding unrestricted analog 6a (KI 89.8 and 472.8 nM respectively). The introduction of the fluoro moiety within 6a–c to afford the derivatives 6d–f, determined an increase of the inhibition potencies of 2.5 fold for 6d and 6e and 1.07 fold for compound 6f respectively. Conversely, among compounds 6g–l the fluorination resulted detrimental for the inhibition activity against the hCA II. A 72.5 fold increase of the KI value was obtained for compound 6j when compared to its non-halogenated counterpart. In analogy the fluorination slightly spoiled the inhibition potency also for 6l, which was 1.7 fold less potent than 6i. Conversely a slight potency improvement (1.2-fold) was observed for the meta-fluorinated derivative 6k when compared to its analog 6h. The KI inhibition values among the non-fluorinated compounds 6a–c and 6g–i resulted particularly affected from the sulfamide ZGB regioisomers. As reported in Table 1 the potency ranking for compounds 6a–c was meta > para > ortho, whereas the constrained analogs 6g–i showed the opposite trend. As for the fluorinated derivatives 6d–f and 6j–l, the meta-substituted compounds 6e and 6k were still the most potent, however a switch between the para and ortho substituted derivatives was observed.
- (iii)
- In analogy to the hCA I isoform, the inhibition data on compounds 6a–l on the hCA IV, revealed a potency decrease for the conformational restricted series 6g–l when compared with their flexible analogs 6a–f, with the only exception represented by the meta-sulfamide substituted compound 6h (Table 1). Among the conformationally unrestricted series 6a–f, the introduction of the fluorine moiety on compound 6a and 6b, to afford 6d and 6e, determined a 1.3- and 5.6- fold increase, respectively, of the inhibition potency. On the other hand the same substitution within 6c to afford 6f resulted detrimental (1.6 fold) for their kinetic potency.Among the conformationally restricted series 6g–l the introduction of the fluoro moiety resulted detrimental for the inhibition potency of the ortho and para derivatives (compounds 6j and 6l respectively). The meta-sulfamide substituted derivative 6k resulted slightly more potent when compared to its corresponding non-fluorinated counterpart 6h (1.2-fold).
- (iv)
- The tumor associated isoform hCA IX was poorly inhibited by the compounds herein reported with KIs spanning between 2682.4 and 216.7 nM, whereas compound 6a and its conformationally restricted derivative 6g were ineffective (KI > 10,000 nM). Interestingly the fluorination resulted in a clear enhancement of the inhibition activities. Noteworthy when the fluorine moiety was introduced within compounds 6a and 6g, to afford 6d and 6j respectively, the inhibition activity was restored (KIs of 735.1 and 1233.3 nM respectively). SAR evaluation within the 6a–f series showed that the meta-sulfamide substituted derivatives 6b and 6e were more potent when compared to their corresponding regioisomers. The same kinetic trend was also observed within the fluoro-substituted constrained derivatives 6j–l, and not for their non-fluorinated counterparts 6g–i (Table 1). Interestingly the meta derivatives 6e and 6k were the most potent inhibitors against the hCA IX among the series here considered (KI 216.7 and 296.5 nM respectively).
2.3. Molecular Modeling
To decipher the possible binding mode of hCA I inhibitors studied herein, and to provide a structural support to the SAR above discussed, molecular modeling studies were conducted. Thanks to the availability of the crystallographic structure of hCA I isoform, molecular docking simulations were performed on a representative subset of sulfamides 6a–l. In particular, 6c, 6e and 6f bearing the β-alanine spacer were selected to monitor the influence of the sulfamide regioisomer on the binding mode, as well as the possible role of fluorine atoms. Compound 6k was selected as it showed the strongest inhibition value for hCA I among the test set, and bears a conformationally restrained linker. It is worth mentioning that both enantiomers of 6k were modeled and provided comparable poses; however, only the R-enantiomer is discussed due to its higher agreement with SAR. Based on prior structural data, [21,22,23,24] a covalent docking approach was carried out with the GOLD program (version 5.2.2) [25,26] to link directly the terminal nitrogen atom of the sulfamide group to the catalytic Zn(II) ion in molecular docking simulations.
Consistent with the design strategy used in this work, the sulfamide core of 6c, 6e, 6f and 6k was well inserted inside the narrow hCA I catalytic cleft (Figure 2). Besides the constrained binding to the Zn(II) ion, the sulfamide moiety established the canonical H-bond interactions with Thr199 (residues numbering in agreement with the crystallographic structure). The phenyl ring occupies a position that is highly comparable with available structural data, [23] whereas the sulfamide group interacted with the side chain of Gln92 in 6c, 6f and 6k (Figure 2A,B,D, respectively). This interaction did noit occur with 6e because of the different orientation imposed by the meta-sulfamide moiety coupled with the β-alanyl linker, even if the high affinity for the enzyme was guaranteed in 6e by the peculiar H-bond interaction between the linker’s carbonyl group and the His67 residue (Figure 2C). Whether meta- and para-sulfamides are allowed to fit the catalytic site, the ortho-substitution resulted sterically not allowed by molecular docking, and in agreement with experimental evidences and SAR (Table 1).
Figure 2.
Predicted binding mode of compounds 6c (A), 6f (B), 6e (C) and 6k (D). Small molecules are showed as yellow sticks, non-polar hydrogen atoms are omitted. The crystallographic structure of hCA I (PDB ID: 4WR7) is shown as green cartoon and grey transparent surface. Residues within 5 Å from the ligands are showed as green lines, residues contacted by the inhibitors and described in the text are showed as sticks and labeled. The catalytic Zn(II) ion is shown as grey sphere. Polar interactions between inhibitors and hCA I are highlighted by dashed lines.
As expected from the rational design, the linker projects the tail portion of these hCA I inhibitors towards the rim of the catalytic site. This is a solvent-exposed region endowed with a high variability among CAs, and in hCA I is composed by a number of hydrophobic and aromatic residues such as Pro3, Trp5, Tyr20 (Figure 2) that are involved in binding to the inhibitors. The hydrophobic cleft that accommodates the aromatic tail of 6c, 6e, 6f and 6k is further complemented by residues Pro202 and Tyr204 (Figure 2). Overall, the tail of inhibitors 6c and 6f is docked in a highly superimposable manner (Figure 2A,B), thus suggesting that the introduction of fluorine does not impact on the binding to hCA I at a structural level. The weaker affinity of 6c than 6f could be explained by the higher hydrophobicity of the phenyl rings in 6c compared to the fluorine derivatives in 6f, particularly when occupying a solvent-exposed cleft.
In the case of 6e, the different sulfamide regioisomer determines a slightly different positioning of the tail moiety, which is more included in the catalytic tunnel than 6c and 6f (Figure 2C). Accordingly, fluorine atoms occupy an unfavorable region less exposed to the solvent, as also supported by the slightly higher efficacy of the non-fluorinated analogue 6b (Table 1). Moreover, the protonated NH group of the piperazine moiety of 6e points towards the surface of the protein, whereas in all other compounds it is exposed to the solvent, that further explains the relatively lower affinity of 6e.
Finally, the conformationally restrained 6k shares a similar binding conformation with 6c and 6f (Figure 2D) even if they bear a different sulfamide regioisomer. The combination between meta-sulfamide zinc-binding group and a restrained linker provides the stronger inhibition of hCA I. Also in this compound, the solvent exposed fluorine atoms provide a noticeable gain of hCA I inhibition with respect to the unsubstituted phenyl ring in the analogue 6h (Table 1).
3. Experimental Protocols
3.1. Chemistry
Anhydrous solvents and all reagents were purchased from Sigma-Aldrich (Milan, Italy), Alfa Aesar (Milan, Italy) and TCI (Milan, Italy). All reactions involving air- or moisture-sensitive compounds were performed under a nitrogen atmosphere using dried glassware and syringes techniques to transfer solutions. Nuclear magnetic resonance spectra (1H-NMR: 400 MHz; 13C-NMR: 100 MHz; 19F-NMR: 376 MHz) were recorded in DMSO-d6 using an Avance III 400 MHz spectrometer (Bruker, Milan, Italy). Chemical shifts are reported in parts per million (ppm) and the coupling constants (J) are expressed in Hertz (Hz). Splitting patterns are designated as follows: s, singlet; d, doublet; t, triplet; q, quadruplet; m, multiplet; brs, broad singlet; dd, double of doublets. The assignment of exchangeable protons (OH and NH) was confirmed by the addition of D2O. Analytical thin-layer chromatography (TLC) was carried out on silica gel F-254 plates (Merck, Milan, Italy). Melting points (m.p.) were carried out in open capillary tubes and are uncorrected. The solvents used in MS measures were acetone, acetonitrile (Chromasolv grade), purchased from Sigma–Aldrich and mQ water 18 MX, obtained from Millipore’s Simplicity system (Milan, Italy). The mass spectra were obtained using a 1200 L triple quadrupole system (Varian, Palo Alto, CA, USA) equipped by Electrospray Source (ESI) operating in both positive and negative ions. Stock solutions of analytes were prepared in acetone at 1.0 mg mL−1 and stored at 4 °C. Working solutions of each analyte were freshly prepared by diluting stock solutions in a mixture of mQ H2O/ACN 1:1 (v/v) up to a concentration of 1.0 μg mL−1. The mass spectra of each analyte were acquired by introducing, via syringe pump at 10 μL min−1, of the its working solution. Raw-data were collected and processed by Varian Workstation Vers. 6.8 software.
3.1.1. General Procedure for the Synthesis of Compounds 2a–d
Compounds 1a,b (1.0 eq) and the appropriate N-Boc-protected carboxylic acid (1.1 eq) in DMF (10.0 mL) were treated with DIPEA (2.0 eq), and HATU (1.5 eq) at r.t. for 30 min. When the reaction was complete (TLC monitoring), it was quenched with slush and extracted with ethyl acetate (3 × 15 mL). The combined organic layers were washed with H2O (3 × 15 mL), dried over Na2SO4, filtered-off and concentrated under reduced pressure to afford the title compounds 2a–d [17] as white solids.
tert-Butyl (3-(4-benzhydrylpiperazin-1-yl)-3-oxopropyl)carbamate (2a). Using 1a and N-Boc-β-alanine as starting materials and the general procedure described above compound 2a was obtained in 95% yield. 1H-NMR: δ 1.12 (9H, s, 3 × CH3), 2.26 (4H, m, 2 × piperazine-CH2), 2.47 (2H, t, J = 7.2, COCH2), 3.08 (2H, m, CH2NH), 3.38 (4H, m, 2 × piperazine-CH2), 4.30 (1H, s, CH), 7.17 (2H, appt, J = 7.4, Ar-H), 7.28 (4H, appt, J = 7.4, Ar-H), 7.41 (4H, d, J = 7.4, Ar-H), 7.6 (1H, brs, NH).
tert-Butyl 3-(4-benzhydrylpiperazine-1-carbonyl)piperidine-1-carboxylate (2b). Using 1a and N-Boc-nipecotic acid as starting materials compound 2b was obtained in 80% yield. 1H-NMR: δ 1.13 (9H, s, 3 × CH3), 1.30 (1H, m, piperidine-CH), 1.50 (1H, m, piperidine-CH), 1.73 (2H, m, piperidine-CH2), 2.30 (4H, m, 2 × piperazine-CH2), 2.75 (3H, m, piperidine-CH2, COCH), 3.49 (4H, m, 2 × piperazine-CH2), 3.71 (2H, m, piperidine-CH2), 4.30 (1H, s, CH) 7.18 (2H, appt, J = 7.2, Ar-H), 7.29 (4H, appt, J = 7.2, Ar-H), 7.42 (4H, d, J = 7.2, Ar-H).
tert-Butyl (3-(4-(bis(4-fluorophenyl)methyl)piperazin-1-yl)-3-oxopropyl)carbamate (2c). Using 1b and N-Boc-β-alanine as starting materials compound 2c was obtained in 99% yield. 1H-NMR: δ 1.12 (9H, s, 3 × CH3), 2.26(4H, m, 2 × piperazine-CH2), 2.47 (2H, t, J = 7.2, COCH2), 3.08 (2H, m, CH2NH), 3.38 (4H, m, 2 × piperazine-CH2), 4.30 (1H, s, CH), 7.12 (4H, m, Ar-H), 7.42 (4H, m, Ar-H), 7.6 (1H, brs, NH).
tert-Butyl 3-(4-(bis(4-fluorophenyl)methyl)piperazine-1-carbonyl)piperidine-1-carboxylate (2d). Using 1b and N-Boc-nipecotic acid are as starting materials compound 2d was obtained in 95% yield. 1H-NMR: δ 1.13 (9H, s, 3 × CH3), 1.30 (1H, m, piperidine-CH), 1.50 (1H, m, piperidine-CH), 1.73 (2H, m, piperidine-CH2), 2.30 (4H, m, 2 × piperazine-CH2), 2.75 (3H, m, piperidine-CH2, COCH), 3.49 (4H, m, 2 × piperazine-CH2), 3.71 (2H, m, piperidine-CH2), 4.30 (1H, s, CH), 7.12 (4H, m, Ar-H), 7.42 (4H, m, Ar-H).
3.1.2. General Procedure for the Synthesis of Compounds 4a–l
A stirred solution of compounds 2a–d (1.0 eq) in DCM (10.0 mL) was treated with TFA (3.0 eq) and stirred at r.t. for 2h. The reaction mixture was concentrated to dry and co-distilled twice with DCM to afford the corresponding alkyl amines 3a–d as TFA salts (not isolated), which were readily dissolved in DCM (10.0 mL) and treated with DIPEA (5.0 eq) and the appropriate sulfonyl chloride (1.2 eq). The reaction solutions were stirred at r.t. for 1 h, then concentrated to dry and the residue obtained was purified by silica gel column chromatography using ethyl acetate in n-hexane (20–40% v/v) as eluents to afford the titled compounds 4a–l as white solids.
N-(3-(4-Benzhydrylpiperazin-1-yl)-3-oxopropyl)-2-nitrobenzenesulfonamide (4a). Using 3a and 2-nitro- benzenesulfonyl chloride as starting materials compound 4a was obtained in 29% yield according to the general procedure described above; TLC: Rf = 0.39 (ethyl acetate/n-hexane 70% v/v); 1H-NMR: δ 2.22 (4H, m, 2 × piperazine-CH2), 2.45 (2H, t, J = 7.2, COCH2), 3.08 (2H, m, CH2NH), 3.38 (4H, m, 2 × piperazine-CH2), 4.28 (1H, s, CH), 7.17 (2H, appt, J = 7.4, Ar-H), 7.28 (4H, appt, J = 7.4, Ar-H), 7.41 (4H, d, J = 7.4, Ar-H), 7.91 (5H, m, overlapping signals; exchangeable with D2O, SO2NHCH2, 4 × Ar-H); 13C-NMR: δ 32.4, 41.0, 44.7, 51.1, 74.6, 124.4, 126.9, 127.5, 128.5, 129.5, 132.5, 132.7, 134.0, 142.4, 147.7, 168.2; MS (ESI) m/z = 508.9 [M + 1]+.
N-(3-(4-Benzhydrylpiperazin-1-yl)-3-oxopropyl)-3-nitrobenzenesulfonamide (4b). Using 3a and 3-nitro-benzenesulfonyl chloride as starting materials compound 4b was obtained in 56% yield; TLC: Rf = 0.28 (ethyl acetate/n-hexane 50% v/v); 1H-NMR: δ 2.23 (4H, m, 2 × piperazine-CH2), 2.42 (2H, t, J = 6.8, COCH2), 2.98 (2H, t, J = 6.8, CH2NH), 3.37 (4H, m, 2 × piperazine-CH2), 4.27 (1H, s, CH), 7.18 (2H, appt, J = 7.4, Ar-H), 7.28 (4H, appt, J = 7.4, Ar-H), 7.40 (4H, d, J = 7.4, Ar-H), 7.88 (1H, t, J = 7.6, Ar-H), 7.96 (1H, s, exchangeable with D2O, CH2NHSO2), 8.19 (1H, d, J = 7.6, Ar-H), 8.46 (1H, d, J = 7.6, Ar-H), 8.51 (1H, s, Ar-H); 13C-NMR: δ 32.4, 38.8, 44.7, 51.0, 74.7, 121.3, 126.8, 126.9, 127.5, 128.5, 131.2, 132.5, 142.1, 142.4, 147.9, 168.7; MS (ESI) m/z = 508.9 [M + 1]+.
N-(3-(4-Benzhydrylpiperazin-1-yl)-3-oxopropyl)-4-nitrobenzenesulfonamide (4c). Using 3a and 4-nitro-benzenesulfonyl chloride as starting materials compound 4c was obtained in 54% yield; TLC: Rf = 0.72 (ethyl acetate/n-hexane 70% v/v); 1H-NMR: δ 2.27 (4H, m, 2 × piperazine-CH2), 2.50 (2H, t, J = 6.8, COCH2), 3.05 (2H, t, J = 6.8, CH2NH), 3.37 (4H, m, 2 × piperazine-CH2), 4.32 (1H, s, CH), 7.24 (2H, appt, J = 7.4, Ar-H), 7.34 (4H, appt, J = 7.4, Ar-H), 7.46 (4H, d, J = 7.4, Ar-H), 8.03 (1H, s, exchangeable with D2O, CH2NHSO2), 8.08 (2H, d, J = 8.8, Ar-H), 8.46 (2H, d, J = 8.8, Ar-H); 13C-NMR: δ 32.4, 38.9, 44.6, 51.1, 74.7, 124.5, 126.9, 127.5, 128.0, 128.5, 142.4, 146.0, 149.4, 168.0; MS (ESI) m/z = 508.9 [M + 1]+.
N-(3-(4-(bis(4-Fluorophenyl)methyl)piperazin-1-yl)-3-oxopropyl)-2-nitrobenzenesulfonamide (4d). Using 3c and 2-nitrobenzenesulfonyl chloride as starting materials compound 4d was obtained in 53% yield; TLC: Rf = 0.30 (MeOH/DCM 10% v/v); 1H-NMR: δ 2.20 (4H, m, 2 × piperazine-CH2), 2.47 (2H, m, COCH2), 3.08 (2H, t, J = 6.8, CH2NH), 3.38 (4H, m, 2 × piperazine-CH2), 4.37 (1H, s, CH), 7.12 (4H, m, Ar-H), 7.42 (4H, m, Ar-H), 7.85–7.98 (5H, m, exchangeable with D2O, SO2NHCH2, 4 × Ar-H); 13C-NMR: δ 32.4, 39.1, 44.6, 50.8, 72.5, 116.2 (d, 2JC–F 21), 124.5, 129.3, 130.3 (d, 3JC–F 8), 132.7, 134.0, 138.3, 138.5, 147.7, 162.1 (d, 1JC–F 242), 168.2; δF (376 MHz, DMSO-d6) −115.6 (2F, s); MS (ESI) m/z = 543.43 [M − 1]+.
N-(3-(4-(bis(4-Fluorophenyl)methyl)piperazin-1-yl)-3-oxopropyl)-3-nitrobenzenesulfonamide (4e). Using 3c and 3-nitrobenzenesulfonyl chloride as starting materials compound 4e was obtained in 66%; TLC: Rf = 0.25 (MeOH/DCM 5% v/v); 1H-NMR: δ 2.19 (4H, m, 2 × piperazine-CH2), 2.43 (2H, m, COCH2), 2.98 (2H, t, J = 6.8, CH2NH), 3.34 (4H, m, 2 × piperazine-CH2), 4.36 (1H, s, CH), 7.11 (4H, t, J = 9.0, Ar-H), 7.42 (4H, mAr-H), 7.88 (1H, t, J = 7.6, Ar-H), 7.96 (1H, s, exchangeable with D2O, CH2NHSO2), 8.19 (1H, d, J = 7.6, Ar-H), 8.46 (1H, d, J = 7.6, Ar-H), 8.51 (1H, s, Ar-H); 13C-NMR: δ 32.4, 38.8, 44.7, 51.4, 72.6, 116.0 (d, 2JC–F 21), 121.4, 127.0, 130.3 (d, 3JC–F 8), 132.6, 138.2, 138.4, 142.1, 147.9, 162.1 (d, 1JC–F 242), 168.1; δF (376 MHz, DMSO-d6) −115.6 (2F, s); MS (ESI) m/z = 545.11 [M + 1]+.
N-(3-(4-(bis(4-Fluorophenyl)methyl)piperazin-1-yl)-3-oxopropyl)-4-nitrobenzenesulfonamide (4f). Using 3c and 4-nitrobenzenesulfonyl chloride as starting materials compound 4f was obtained in 48% yield; TLC: Rf = 0.48 (MeOH/DCM 5% v/v); 1H-NMR: δ 2.19 (4H, m, 2 × piperazine-CH2), 2.43 (2H, t, J = 6.8, COCH2), 2.98 (2H, q, J = 6.8, CH2NH), 3.36 (4H, m, 2 × piperazine-CH2), 4.36 (1H, s, CH), 7.12 (4H, t, J = 8.8, Ar-H), 7.41 (4H, mAr-H), 7.97 (1H, t, J = 5.6, exchangeable with D2O, CH2NHSO2), 8.02 (2H, d, J = 9.2, Ar-H), 8.40 (2H, d, J = 9.2, Ar-H); 13C-NMR: δ 32.6, 38.8, 44.6, 51.4, 72.6, 115.9 (d, 2JC–F 21), 124.6, 128.1, 130.3 (d, 3JC–F 8), 138.6, 146.0, 149.5, 162.0 (d, 1JC–F 242), 168.1; 19F-NMR: δ −115.6 (2F, s); MS (ESI) m/z = 545.09 [M + 1]+.
(4-Benzhydrylpiperazin-1-yl)(1-((2-nitrophenyl)sulfonyl)piperidin-3-yl)methanone (4g). Using 3b and 2-nitrobenzenesulfonyl chloride as starting materials compound 4g was obtained in 31% yield; TLC: Rf = 0.40 (ethyl acetate/n-hexane 60% v/v); 1H-NMR: δ 1.30 (1H, m, piperidine-CH), 1.50 (1H, m, piperidine-CH), 1.73 (2H, m, piperidine-CH2), 2.30 (4H, m, 2 × piperazine-CH2), 2.75 (3H, m, piperidine-CH2, COCH), 3.49 (4H, m, 2 × piperazine-CH2), 3.71 (2H, m, piperidine-CH2), 4.30 (1H, s, CH) 7.18 (2H, appt, J = 7.2, Ar-H), 7.29 (4H, appt, J = 7.2, Ar-H), 7.42 (4H, d, J = 7.2, Ar-H) 7.90 (2H, m, Ar-H), 8.02 (2H, m, Ar-H); 13C-NMR: δ 23.9, 26.6, 41.0, 44.7, 45.8, 47.9, 51.9, 74.6, 124.1, 126.9, 127.5, 128.5, 129.6, 130.1, 132.2, 134.6, 142.4, 147.7, 170.2 ; MS (ESI) m/z = 548.9 [M + 1]+.
(4-Benzhydrylpiperazin-1-yl)(1-((3-nitrophenyl)sulfonyl)piperidin-3-yl)methanone (4h). Using 3b and 3-nitrobenzenesulfonyl chloride as starting materials compound 4h was obtained in 47% yield; TLC: Rf = 0.47 (ethyl acetate/n-hexane 60% v/v); 1H-NMR: δ 1.29 (1H, m, piperidine-CH), 1.52 (1H, m, piperidine-CH), 1.73 (2H, m, piperidine-CH2), 2.30 (4H, m, 2 × piperazine-CH2), 2.71 (1H, m, COCH), 2.86 (2H, m, piperidine-CH2), 3.49 (4H, m, 2 × piperazine-CH2), 3.71 (2H, m, piperidine-CH2), 4.31 (1H, s, CH), 7.18 (2H, appt, J = 7.4, Ar-H), 7.30 (4H, appt, J = 7.4, Ar-H), 7.43 (4H, d, J = 7.4, Ar-H), 7.96 (1H, t, J = 8.8, Ar-H), 8.19 (1H, d, J = 8.8, Ar-H), 8.39 (1H, s, Ar-H); 8.55 (1H, d, J = 8.8, Ar-H); 13C-NMR: δ 23.6, 26.6, 41.0, 44.9, 45.9, 48.0, 51.9, 74.7, 121.8, 126.9, 127.5, 127.6, 127.7, 128.6, 131.6, 133.3, 142.5, 148.1, 170.3; MS (ESI) m/z = 548.9 [M + 1]+.
(4-Benzhydrylpiperazin-1-yl)(1-((4-nitrophenyl)sulfonyl)piperidin-3-yl)methanone (4i). Using 3b and 4-nitrobenzenesulfonyl chloride compound 4i was obtained in 45% yield; TLC: Rf = 0.33 (ethyl acetate/n-hexane 40% v/v); 1H-NMR: δ 1.22 (1H, m, piperidine-CH), 1.53 (1H, m, piperidine-CH), 1.69 (2H, m, piperidine-CH2), 2.32 (6H, m, 2 × piperazine-CH2, piperidine-CH2), 2.80 (1H, m, COCH), 3.49 (4H, m, 2 × piperazine-CH2), 3.54 (2H, m, piperidine-CH2), 4.30 (1H, s, CH), 7.18 (2H, appt, J = 7.4, Ar-H), 7.30 (4H, appt, J = 7.4, Ar-H), 7.43 (4H, d, J = 7.4, Ar-H), 7.99 (2H, d, J = 9.0), 8.43 (2H, d, J = 9.0); 13C-NMR: δ 23.6, 26.6, 41.0, 44.8, 45.9, 48.1, 51.9, 74.6, 124.7, 126.9, 127.5, 128.5, 128.8, 141.3, 142.4, 149.9, 170.3; MS (ESI) m/z = 548.9 [M + 1]+.
(4-(bis(4-Fluorophenyl)methyl)piperazin-1-yl)(1-((2-nitrophenyl)sulfonyl)piperidin-3-yl)methanone (4j). Using 3d and 2-nitrobenzenesulfonyl chloride as starting materials compound 4j was obtained in 57% yield; TLC: Rf = 0.52 (ethyl acetate/n-hexane 70% v/v); 1H-NMR: δ 1.25 (1H, m, piperidine-CH), 1.50 (1H, m, piperidine-CH), 1.74 (2H, m, piperidine-CH2), 2.26 (4H, m, 2 × piperazine-CH2), 2.63 (1H, m, COCH), 2.75 (2H, m, piperidine-CH2), 3.46 (4H, m, 2 × piperazine-CH2), 3.64 (2H, m, piperidine-CH2), 4.41 (1H, s, CH), 7.12 (4H, t, J = 8.4, Ar-H), 7.43 (4H, m, Ar-H), 7.87 (4H, m, Ar-H); 13C-NMR: δ 23.9, 26.6, 41.0, 44.7, 45.7, 47.8, 51.7, 72.5, 115.2, 116.2 (d, 2JC–F 21), 129.3, 129.4, 129.9, 131.1 (d, 3JC–F 9), 134.6, 138.3, 147.7, 162.1 (d, 1JC–F 242), 170.2; 19F-NMR: δ −115.6 (2F, s); MS (ESI) m/z = 585.24 [M + 1]+.
(4-(bis(4-Fluorophenyl)methyl)piperazin-1-yl)(1-((3-nitrophenyl)sulfonyl)piperidin-3-yl)methanone (4k). Using 3d and 3-nitrobenzenesulfonyl chloride as starting materials compound 4k was obtained in 68% yield; TLC: Rf = 0.53 (ethyl acetate/n-hexane 70% v/v); 1H-NMR: δ 1.17 (1H, m, piperidine-CH), 1.55 (1H, m, piperidine-CH), 1.69 (2H, m, piperidine-CH2), 2.26 (6H, m, 2 × piperazine-CH2, piperidine-CH2), 2.80 (1H, m, COCH), 3.63(6H, m, 2 × piperazine-CH2, piperidine-CH2), 4.41 (1H, s, CH), 7.12 (4H, t, J = 8.4, Ar-H), 7.43 (4H, m, Ar-H), 7.96 (1H, t, J = 8.8, Ar-H), 8.16 (1H, d, J = 8.8, Ar-H), 8.35 (1H, m, Ar-H); 8.55 (1H, d, J = 8.8, Ar-H); 13C-NMR: δ 23.6, 26.6, 41.1, 44., 45.9, 48.0, 51.8, 72.6, 115.3 (d, 2JC–F 21), 121.8, 129.3, 129.4, 129.4, 130.5 (d, 3JC–F 8, 133.3), 137.5, 138.4, 148.1, 161 (d, 1JC–F 242), 170.3; 19F-NMR: δ −115.6 (2F, s) MS (ESI) m/z = 585.14 [M + 1]+.
(4-(bis(4-Fluorophenyl)methyl)piperazin-1-yl)(1-((4-nitrophenyl)sulfonyl)piperidin-3-yl)methanone (4l). Using 3d and 4-nitrobenzenesulfonyl chloride as starting materials compound 4l was obtained in 57% yield; TLC: Rf = 0.84 (ethyl acetate/n-hexane 70% v/v); 1H-NMR: δ 1.15 (1H, m, piperidine-CH), 1.55 (1H, m, piperidine-CH), 1.69 (2H, m, piperidine-CH2), 2.26 (6H, m, 2 × piperazine-CH2, piperidine-CH2), 2.81 (1H, m, COCH), 3.56 (6H, m, 2 × piperazine-CH2, piperidine-CH2), 4.39 (1H, s, CH), 7.12 (4H, t, J = 8.4, Ar-H), 7.43 (4H, m, Ar-H), 7.98 (2H, d J = 9.2, Ar-H) 8.42 (2H, d J = 9.2, Ar-H); 13C-NMR: δ 23.6, 26.6, 41.0, 44.7, 45.8, 48.0, 51.7, 72.5, 115.3 (d, 2JC–F 21), 124 .6, 128.9, 129.3 (d, 3JC–F 9), 138.2, 141.4, 149.9, 162.0 (d, 1JC–F 24), 170.2; MS (ESI) m/z = 585.15 [M + 1]+.
3.1.3. General Procedure for the Synthesis of Amino Benzensulfonamides 5a–l
The appropriate nitrobenzenesulfonamides 4a–l (1.0 eq) in a solution of H2O (0.4 mL) and EtOH (0.3 mL) was treated with glacial AcOH (0.05 mL) and Fe (0) (12.0 eq). The reaction mixture was stirred at 75 °C for 1 h (TLC monitoring), then cooled to r.t. and diluted with EtOAc (10.0 mL). The mixture was filtered through Celite 521®, washed with a saturated NaHCO3 aqueous solution (3 × 15 mL), brine (3 × 10 mL) and dried over Na2SO4. The organic solvent was evaporated in vacuo to give an oil residue, which was triturated from Et2O, to afford the titled compounds 5a–l [18] as white solids.
2-Amino-N-(3-(4-benzhydrylpiperazin-1-yl)-3-oxopropyl)benzenesulfonamide (5a). Compound 5a was obtained in 80% yield; m.p. 151–153 °C; TLC: Rf = 0.17 (ethyl acetate/n-hexane 70% v/v); 1H-NMR: δ 2.30 (4H, m, 2 × piperazine-CH2), 2.42 (2H, t, J = 7.2, COCH2), 2.93 (2H, m, CH2NH), 3.33 (4H, m, overlapped with the water peak, 2 × piperazine-CH2), 4.34 (1H, s, CH), 5.92 (2H, s, exchangable with D2O, NH2), 6.63 (1H, t, J = 7.2, Ar-H), 6.83 (1H, m, Ar-H), 7.25 (3H, m, overlapping signals, exchangeable with D2O, SO2NHCH2, 2 × Ar-H), 7.33 (4H, t, J = 7.6, Ar-H), 7.47 (5H, m, 5 × Ar-H); 13C-NMR: δ 33.4, 41.9, 45.6, 52.5, 75.6, 116.1, 117.8, 120.6, 127.9, 128.5, 129.5, 129.9, 134.4, 143.4, 147.2, 169.3; m/z (ESI positive) 479.2 [M + H]+.
3-Amino-N-(3-(4-benzhydrylpiperazin-1-yl)-3-oxopropyl)benzenesulfonamide (5b). Compound 5b was obtained in 85% yield; m.p. 110–112 °C; TLC: Rf = 0.11 (ethyl acetate/n-hexane 50% v/v); 1H-NMR: δ 2.29 (4H, m, 2 × piperazine-CH2), 2.46 (2H, t, m, COCH2), 3.33 (6H, m, NHCH2, 2 X piperazine-CH2), 4.34 (1H, s, CH), 5.59 (2H, s, exchangeable with D2O, NH2), 6.99 (1H, m, Ar-H), 7.02 (1H, m, Ar-H), 7.23 (3H, t, J = 7.6, Ar-H), 7.29 (5H, m, Ar-H), 7.46 (5H, m, overlapping signals, exchangeable with D2O, CH2NHSO2, 4 × Ar-H); 13C-NMR: δ 33.4, 38.4, 45.8, 52.5, 75.6, 116.4, 120.7, 122.5, 126.2, 127.6, 128.2, 129.4, 141.1, 141.6, 148.3, 164.3; m/z (ESI positive) 479.2 [M + H]+.
4-Amino-N-(3-(4-benzhydrylpiperazin-1-yl)-3-oxopropyl)benzenesulfonamide (5c). Compound 5c was obtained in 53% yield; m.p. 146–148 °C; TLC: Rf = 0.25 (ethyl acetate/n-hexane 70% v/v); 1H-NMR: δ 2.26 (4H, m, 2 × piperazine-CH2), 2.48 (2H, t, J = 7.0, COCH2) 3.05 (2H, t, J = 7.0, NHCH2), 3.43 (4H, m, 2 × piperazine-CH2), 4.32 (1H, s, CH), 5.95 (2H, s, exchange with D2O, NH2), 6.63 (1H, d, J = 8.0, Ar-H), 7.23 (3H, m, Ar-H), 7.34 (5H, m, Ar-H), 7.45 (6H, m, overlapping signals, exchangeable with D2O, CH2NHSO2, 5 × Ar-H); 13C-NMR: δ 33.4, 38.4, 45.8, 52.5, 75.6, 117.6, 127.9, 128.5, 128.7, 129.5, 133.4, 143.4, 144.1, 169.3; m/z (ESI positive) 479.2 [M + H]+.
2-Amino-N-(3-(4-(bis(4-fluorophenyl)methyl)piperazin-1-yl)-3-oxopropyl)benzenesulfonamide (5d). Compound 5d was obtained in 65% yield; m.p. 149–152 °C; TLC: Rf = 0.52 (MeOH/DCM 10% v/v); 1H-NMR: δ 2.26 (4H, m, 2 × piperazine-CH2), 2.42 (2H, t, J = 6.6, COCH2), 3.01 (2H, q, J = 6.6, CH2NH), 3.46 (4H, m, 2 × piperazine-CH2), 4.43 (1H, s, CH), 5.92 (2H, s, exchangeable with D2O, NH2), 6.63 (1H, m, Ar-H), 6.84 (1H, m, Ar-H), 7.17 (4H, m, Ar-H), 7.28 (1H, m, Ar-H), 7.37 (1H, m, exchangeable with D2O, SO2NHCH2), 7.48 (5H, m, Ar-H); 13C-NMR: δ 32.3, 38.5, 45.3, 51.3, 72.6, 116.1, 116.2 (d, 2JC–F 21), 116.8, 117.8, 129.9, 130.3 (d, 3JC–F 8), 134.4, 139.3, 147.2, 162.1 (d, 1JC–F 242), 169.3; 19F-NMR: δ −115.6 (2F, s); m/z (ESI positive) 515.2 [M + H]+.
3-Amino-N-(3-(4-(bis(4-fluorophenyl)methyl)piperazin-1-yl)-3-oxopropyl)benzenesulfonamide (5e). Compound 5e was obtained in 45% yield; m.p. 140–142 °C; TLC: Rf = 0.20 (MeOH/DCM 5% v/v); 1H-NMR: δ 2.26 (4H, m, 2 × piperazine-CH2), 2.46 (2H, t, J = 7.0, COCH2), 2.95 (2H, q, J = 7.0, CH2NH), 3.45 (4H, m, piperazine-CH2), 4.43 (1H, s, CH), 5.62 (2H, s, exchange with D2O, NH2), 6.78 (1H, d, J = 7.0, Ar-H), 6.88 (1H, d, J = 7.0, Ar-H), 6.99 (1H, s, Ar-H), 7.19 (5H, m, Ar-H ), 7.33 (1H, s, exchangeable with D2O, SO2NHCH2) 7.47 (4H, m, Ar-H); 13C-NMR: δ 33.3, 40.4 (overlapped with DMSO peak), 44.7, 51.3, 73.5, 112.9, 114.9, 116.2 (d, 2JC–F 21), 119.0, 130.3 (d, 3JC–F 8), 130.8, 140.2, 142.5, 154.2, 162.0 (d, 1JC–F 242), 170.2; 19F-NMR: δ −115.6 (2F, s); m/z (ESI positive) 515.2 [M + H]+.
4-Amino-N-(3-(4-(bis(4-fluorophenyl)methyl)piperazin-1-yl)-3-oxopropyl)benzenesulfonamide (5f). Compound 5f was obtained in 53% yield; m.p. 160–162 °C (dec.); TLC: Rf = 0.42 (MeOH/DCM 5% v/v); 1H-NMR: δ 2.26 (4H, m, 2 × piperazine-CH2), 2.45 (2H, t, J = 6.6, COCH2), 2.90 (2H, q, J = 6.6, CH2NH), 3.37 (4H, m, 2 × piperazine-CH2), 4.42 (1H, s, CH), 5.96 (2H, s, exchangeable with D2O, NH2), 6.63 (2H, d, J = 8.8, Ar-H), 7.02 (1H, t, J = 6.6, exchangeable with D2O, SO2NHCH2), 7.18 (4H, m, Ar-H), 7.42 (2H, d, J = 8.8, Ar-H), 7.48 (4H, m, Ar-H); 13C-NMR: δ 33.3, 40.4 (overlap with DMSO peak), 44.7, 52.4, 73.6, 113.6, 116.3 (d, 2JC–F 21), 126.1, 129.3, 130.3 (d, 3JC–F 8), 139.3, 153.4, 162.0 (d, 1JC–F 242), 169.5; 19F-NMR: δ −115.6 (2F, s); m/z (ESI positive) 515.2 [M + H]+.
(1-((2-Aminophenyl)sulfonyl)piperidin-3-yl)(4-benzhydrylpiperazin-1-yl)methanone (5g). Compound 5g was obtained in 94% yield; m.p. 161–183 °C; TLC: Rf = 0.55 (ethyl acetate/n-hexane 60% v/v); 1H-NMR: δ 1.52 (2H, m, piperidine-CH2), 1.71 (2H, m, piperidine-CH2), 2.29 (6H, m, 2 × piperazine-CH2, piperidine-CH2), 2.79 (1H, m, COCH), 3.48 (4H, m, 2 X piperazine-CH2) 3.57 (2H, m, piperidine-CH2), 4.35 (1H, s, CH), 6.06 (2H, s, exchangeable with D2O, NH2), 6.65 (1H, t, J = 7.2, Ar-H), 6.87 (1H, d, J = 8.4, Ar-H), 7.22 (2H, m, Ar-H), 7.33 (5H, m, Ar-H), 7.36 (1H, m, Ar-H), 7.41 (4H, m, Ar-H); 13C-NMR: δ 24.6, 27.8, 42.0, 45.8, 46.7, 48.9, 52.9, 75.7, 116.2, 118.3, 127.9, 128.6, 129.5, 130.6, 132.5, 135.0, 143.4, 148.2, 171.5; m/z (ESI positive) 519.2 [M + H]+.
(1-((3-Aminophenyl)sulfonyl)piperidin-3-yl)(4-benzhydrylpiperazin-1-yl)methanone (5h). Compound 5h was obtained in 42% yield; m.p. 157–159 °C; TLC Rf = 0.26 (ethyl acetate/n-hexane 60% v/v); 1H-NMR: δ 1.57 (2H, m, piperidine-CH2), 1.72 (2H, m, piperidine-CH2), 2.29 (6H, m, 2 × piperazine-CH2, piperidine-CH2) 2.82 (1H, m, COCH), 2.49 (6H, m, 2 × piperazine-CH2, piperidine-CH2), 4.36 (1H, s, CH), 5.67 (2H, s, exchange with D2O, NH2), 6.82 (2H, m, Ar-H), 6.91 (1H, m, Ar-H), 7.26 (3H, m, Ar-H), 7.36 (4H, t, J = 7.6, Ar-H), 7.48 (4H, m, Ar-H); 13C-NMR: δ 24.6, 27.7, 35.6, 38.2, 47.0, 49.2, 52.5, 75.6, 114.2, 117.1, 118.7, 126.2, 127.8, 128.5, 129.5, 132.5, 143.4, 148.7, 175.2; m/z (ESI positive) 519.2 [M + H]+.
(1-((4-Aminophenyl)sulfonyl)piperidin-3-yl)(4-benzhydrylpiperazin-1-yl)methanone (5i). Compound 5i was obtained in 70% yield; m.p. 132–135 °C; TLC Rf = 0.38 (ethyl acetate/n-hexane 70% v/v); 1H-NMR: δ 1.60 (2H, m, piperidine-CH2), 1.73 (2H, m, piperidine-CH2), 2.35 (6H, m, 2 × piperazine-CH2, piperidine-CH2), 2.86 (1H, m, COCH), 3.62 (6H, m, 2 × piperazine-CH2, piperidine-CH2), 4.36 (1H, s, CH), 6.10 (2H, s, exchangeable with D2O peak, NH2), 6.67 (2H, d, J = 8.4, Ar-H), 7.23 (2H, t, J = 7.4, Ar-H), 7.36 (6H, m, Ar-H), 7.49 (4H, d, J = 7.4, Ar-H); 13C-NMR: δ) 24.5, 27.7, 42.0, 45.7, 47.3, 49.2, 52.5, 75.6, 113.6, 125.6, 127.8, 128.4, 129.4, 130.2, 143.3, 154.0, 171.3; m/z (ESI positive) 519.2 [M + H]+.
(1-((2-Aminophenyl)sulfonyl)piperidin-3-yl)(4-(bis(4-fluorophenyl)methyl)piperazin-1-yl)methanone (5j). Compound 5j was obtained in 62% yield; m.p. 160–162 °C (dec.); TLC: Rf = 0.72 (ethyl acetate/n-hexane 70% v/v); 1H-NMR: δ 1.56 (2H, m, piperidine-CH2), 1.73 (2H, m, piperidine-CH2), 2.24 (4H, m, 2 × piperazine-CH2), 2.37 (2H, m, piperidine-CH2), 2.80 (1H, m, COCH), 3.56 (6H, m, 2 × piperazine-CH2, piperidine-CH2), 4.41 (1H, s, CH), 6.05 (2H, s, exchangeable with D2O, NH2) 6.66 (1H, t, J = 7.8, Ar-H), 6.88 (1H, d, J = 7.8, Ar-H), 7.18 (4H, m, Ar-H), 7.31 (1H, t, J = 7.8, Ar-H), 7.41 (1H, d, J = 7.8, Ar-H), 7.48 (4H, m, Ar-H); 13C-NMR: δ 24.5, 27.6, 42.0, 44.6, 45.8, 48.9, 52.0, 73.6, 116.1, 116.2 (d, 2JC–F 21), 116.7, 118.2, 130.2, (d, 3JC–F 9), 130.8, 135.6, 139.2, 148.1, 162.1 (d, 1JC–F 242), 171.3; 19F-NMR: δ −115.6 (2F, s); m/z (ESI positive) 555.2 [M + H]+.
(1-((2-Aminophenyl)sulfonyl)piperidin-3-yl)(4-(bis(4-fluorophenyl)methyl)piperazin-1-yl)methanone (5k). Compound 5k was obtained in 72% yield; m.p. 160–162 °C (dec.); TLC: Rf = 0.38 (ethyl acetate/n-hexane 70% v/v); 1H-NMR: δ 1.57 (2H, m, piperidine-CH2), 1.73 (2H, m, piperidine-CH2), 2.29 (6H, m, 2 × piperazine-CH2, piperidine-CH2), 2.82 (1H, m, COCH), 3.55 (4H, m, 2 × piperazine-CH2), 3.63 (2H, m, piperidine-CH2), 4.45 (1H, s, CH), 5.68 (2H, s, exchangeable with D2O, NH2), 6.77 (2H, m, Ar-H), 6.92 (1H, s, Ar-H), 7.18 (4H, m, Ar-H ), 7.28 (1H, m, Ar-H), 7.48 (4H, m, Ar-H ); 13C-NMR: δ 24.6, 27.7, 41.9, 45.7, 47.0, 49.2, 52.3, 73.5, 112.4, 114.8, 116.3 (d, 2JC–F 21), 118.7, 130.3 (d, 3JC–F 8), 130.6, 136.8, 139.2, 150.4, 162.0 (d, 1JC–F 242), 171.4; 19F-NMR: δ −115.6 (2F, s); m/z (ESI positive) 555.2 [M + H]+.
(1-((4-Aminophenyl)sulfonyl)piperidin-3-yl)(4-(bis(4-fluorophenyl)methyl)piperazin-1-yl)methanone (5l). Compound 5l was obtained in 60% yield; m.p. 160–162 °C (dec.); TLC: Rf = 0.42 (ethyl acetate/n-hexane 70% v/v); 1H-NMR: δ 1.56 (2H, m, piperidine-CH2), 1.72 (2H, m, piperidine-CH2), 2.26 (6H, m, 2 × piperazine-CH2, piperidine-CH2), 2.83 (1H, m, COCH), 3.54 (4H, m, 2 × piperazine-CH2), 3.61 (2H, m, piperidine-CH2), 4.45 (1H, s, CH), 6.10 (2H, s, exchangeable with D2O, NH2), 6.68 (2H, d, J = 8.8, Ar-H), 7.18 (4H, m, Ar-H), 7.35 (2H, d, J = 8.8, Ar-H), 7.48 (4H, m, Ar-H); 13C-NMR: δ 24.5, 27.8, 42.3, 45.7, 47.0, 49.2, 52.4, 73.5, 113.6, 116.3 (d, 2JC–F 21), 119.4, 130.3 (d, 3JC–F 8), 130.5, 139.2, 154.1, 162.0 (d, 1JC–F 242), 171.4; 19F-NMR: δ −115.6 (2F, s); m/z (ESI positive) 555.2 [M + H]+.
3.1.4. General Procedure for the Synthesis of Sulfamides 6a–l
The appropriate aminobenzensulfonamides 5a–l (1.0 eq) dissolved in dry DMA (5.0 mL) at 0 °C were treated with Et3N (1.3 eq) and freshly prepared sulfamoyl chloride until consumption of starting material was confirmed (TLC monitoring). Then the solution was quenched with slush and extracted with EtOAc (3 × 20 mL). The combined organic layers were washed with NaHCO3 aqueous solution. (3 × 10 mL), HCl aqueous solution 1.0 M (1 × 10 mL), brine (3 × 10 mL), dried over Na2SO4, filtered-off and concentrated under vacuo. The obtained residue was purified by trituration from Et2O to afford the titled sulfamides 6a–l [19] as white solids.
N-(3-(4-Benzhydrylpiperazin-1-yl)-3-oxopropyl)-2-(sulfamoylamino)benzenesulfonamide (6a). Compound 6a was obtained in 57% yield; m.p. 218–220 °C (dec.); TLC: Rf = 0.50 (MeOH/DCM 10% v/v); 1H-NMR: δ 2.28 (4H, m, 2 × piperazine-CH2), 2.45 (2H, t, J = 7.0, COCH2), 3.02 (2H, q, J = 7.0, CH2NH), 3.37 (4H, m, overlap with H2O, 2 × piperazine-CH2), 4.35 (1H, s, CH), 7.23 (3H, m, Ar-H), 7.33 (4H, t, J = 7.4, Ar-H), 7.46 (4H, d, J = 7.4, Ar-H), 7.58 (2H, s, exchangeable with D2O, NHSO2NH2), 7.50 (2H, m, Ar-H), 7.79 (1H, m, Ar-H), 8.02 (1H, m, exchangeable with D2O, SO2NHCH2) 8.81 (1H, s, exchangeable with D2O, NHSO2NH2); 13C-NMR: δ 33.1, 40.4, 45.5, 52.6, 75.5, 119.5, 123.0, 127.8, 128.5, 129.4, 130.0, 131.7, 136.4, 139.0, 143.9, 170.1; m/z (ESI positive) 558.0 [M + H]+.
N-(3-(4-Benzhydrylpiperazin-1-yl)-3-oxopropyl)-3-(sulfamoylamino)benzenesulfonamide (6b). Compound 6b was obtained in 54% yield; m.p. 165–167 °C; TLC: Rf = 0.42 (MeOH/DCM 10% v/v); 1H-NMR: δ 2.29 (4H, m, 2 × piperazine-CH2), 2.46 (2H, t, J = 7.0, COCH2), 2.97 (2H, m, CH2NH), 3.44 (4H, m, 2 × piperazine-CH2), 4.34 (1H, s, CH), 7.24 (2H, m, Ar-H), 7.28 (2H, s, exchangeable with D2O, NHSO2NH2), 7.33 (5H, m, Ar-H), 7.42 (1H, m, exchangeable with D2O, SO2NHCH2), 7.49 (5H, m, Ar-H), 7.62 (2H, m, Ar-H), 9.96 (1H, s, exchangeable with D2O, NHSO2NH2); 13C-NMR: δ 33.4, 40.4 (overlap with DMSO peak), 45.6, 52.5, 75.6, 116.4, 120.7, 122.5, 127.8, 128.5, 129.5, 130.6, 141.1, 143.4, 145.9, 169.2; m/z (ESI positive) 558.0 [M + H]+.
N-(3-(4-Benzhydrylpiperazin-1-yl)-3-oxopropyl)-4-(sulfamoylamino)benzenesulfonamide (6c). Compound 6c was obtained in 64% yield; m.p. 122–124 °C; TLC: Rf = 0.30 (ethyl acetate/n-hexane 80% v/v); 1H-NMR: δ 2.29 (4H, m, 2 × piperazine-CH2), 2.46 (2H, t, J = 7.0, COCH2), 2.92 (2H, q, J = 7.0, NHCH2), 3.43 (4H, m, 2 × piperazine-CH2), 4.34 (1H, s, CH), 7.22 (2H, m, Ar-H), 7.31 (6H, m, Ar-H), 7.40 (3H, m, exchangeable with D2O, NHSO2NH2, SO2NHCH2), 7.46 (4H, d, J = 7.6, Ar-H), 7.70 (2H, d, J = 8.4, Ar-H), 10.18 (1H, s, exchangeable with D2O, NHSO2NH2); 13C-NMR: δ 33.4, 38.4, 45.8, 52.5, 75.6, 117.6, 127.9, 128.5, 128.7, 129.5, 133.4, 143.4, 144.1, 169.3; m/z (ESI positive) 558.0 [M + H]+.
N-(3-(4-(bis(4-Fluorophenyl)methyl)piperazin-1-yl)-3-oxopropyl)-2(sulfamoylamino)benzenesulfonamide (6d). Compound 6d was obtained in 52% yield; m.p. 162–164 °C; TLC: Rf = 0.42 (MeOH/DCM 10% v/v); 1H-NMR: δ 2.26 (4H, m, 2 × piperazine-CH2), 2.45 (2H, t, J = 6.6, COCH2), 3.01 (2H, q, J = 6.6, CH2NH), 3.37 (4H, m, overlap with water peak, 2 × piperazine-CH2), 4.43 (1H, s, CH), 7.22 (5H, m, Ar-H), 7.43 (4H, m, Ar-H), 7.60 (2H, s, exchangeable with D2O, NHSO2NH2), 7.65 (2H, m, Ar-H), 7.75 (1H, m, Ar-H), 8,03 (1H, m, exchangeable with D2O, SO2NHCH2), 8.81 (1H, s, exchangeable with D2O, NHSO2NH2); 13C-NMR: δ 32.3, 38.5, 45.3, 51.3, 72.6, 115.1, 115.4 (d, 2JC–F 21), 118.4, 123.0, 130.0, 130.3 (d, 3JC–F 8), 135.9, 138.2, 139.6, 161.1 (d, 1JC–F 242), 169.3; 19F-NMR: δ −115.6 (2F, s); m/z (ESI positive) 594.0 [M + H]+.
N-(3-(4-(bis(4-Fluorophenyl)methyl)piperazin-1-yl)-3-oxopropyl)-3(sulfamoylamino)benzenesulfonamide (6e). Compound 6e was obtained in 87% yield; m.p. 182–184 °C; TLC: Rf = 0.37 (MeOH/DCM 10% v/v); 1H-NMR: δ 2.26 (4H, m, 2 × piperazine-CH2), 2.46 (2H, t, J = 7.0, COCH2), 2.95 (2H, q, J = 7.0, CH2NH), 3.40 (4H, m, piperazine-CH2), 4.43 (1H, s, CH), 7.17 (5H, m, Ar-H), 7.29 (2H, s, exchangeable with D2O, NHSO2NH2), 7.38 (1H, m, exchangeable with D2O, SO2NHCH2), 7.47 (6H, m, Ar-H), 7.60 (1H, s, Ar-H), 9.96 (1H, s, exchangeable with D2O, NHSO2NH2); 13C-NMR: δ 33.3, 40.4 (overlap with DMSO peak), 44.7, 51.3, 73.5, 116.2 (d, 2JC–F 21), 117.0, 121.5, 122.7, 130.3 (d, 3JC–F 8), 130.8, 136.1, 139.2, 141.3, 162.0 (d, 1JC–F 242), 169.3; 19F-NMR: δ −115.6 (2F, s); m/z (ESI positive) 594.0 [M + H]+.
N-(3-(4-(bis(4-Fluorophenyl)methyl)piperazin-1-yl)-3-oxopropyl)-4-(sulfamoylamino)benzenesulfonamide (6f). Compound 6f was obtained in 35% yield; m.p. 149–152 °C; TLC Rf = 0.21 (MeOH/DCM 5% v/v); 1H-NMR: δ 2.26 (4H, m, 2 × piperazine-CH2), 2.45 (2H, t, J = 6.6, COCH2), 2.92 (2H, q, J = 6.6, CH2NH), 3.37 (4H, m, overlapped with water peak, 2 × piperazine-CH2), 4.43 (1H, s, CH), 7.16 (4H, m, Ar-H), 7.22 (2H, d, J = 8.8, Ar-H), 7.40 (2H, s, exchangeable with D2O, NHSO2NH2), 7.47 (5H, m, 4 × Ar-H, exchangeable with D2O, SO2NHCH2), 7.76 (2H, d, J = 8.8, Ar-H), 10.20 (1H, s, exchangeable with D2O, NHSO2NH2); 13C-NMR: δ 33.3, 40.4 (overlapped with DMSO peak), 44.7, 52.4, 73.6, 116.3, 116.6 (d, 2JC–F 21), 129.4, 130.1, 130.3 (d, 3JC–F 8), 139.3, 142.9, 162.0 (d, 1JC–F 242), 169.5; 19F-NMR: δ −115.6 (2F, s); m/z (ESI positive) 594.0 [M + H]+.
(1-((2-Sulfamoylaminophenyl)sulfonyl)piperidin-3-yl)(4-benzhydrylpiperazin-1-yl)methanone (6g). Compound 6g was obtained in 73% yield; m.p. 143–145 °C (dec.); TLC: Rf = 0.25 (MeOH/DCM 5% v/v); 1H-NMR: δ 1.56 (2H, m, piperidine-CH2), 1.76 (2H, m, piperidine-CH2), 2.40 (4H, m, 2 × piperazine-CH2), 2.84 (1H, m, COCH), 3.49 (4H, m, 2 × piperazine-CH2), 3.62 (4H, m, 2 × piperidine-CH2), 4.35 (1H, s, CH), 7.25 (3H, m, Ar-H), 7.34 (4H, m, Ar-H), 7.46 (4H, m, Ar-H), 7.71 (5H, m, overlapping signals, exchangeable with D2O, NHSO2NH2, 3 × Ar-H), 8.16 (1H, s, exchangeable with D2O, NHSO2NH2); 13C-NMR: δ 24.5, 27.7, 42.0, 45.8, 46.7, 48.9, 52.5, 75.6, 119.0, 123.2, 127.8, 128.5, 129.4, 129.5, 132.4, 135.5, 138.2, 143.4, 171.3; m/z (ESI positive) 598.0 [M + H]+.
4(1-((3-Sulfamoylaminophenyl)sulfonyl)piperidin-3-yl)(4-benzhydrylpiperazin-1-yl)methanone (6h). Compound 6h was obtained in 44% yield; m.p. 150–152 °C; TLC: Rf = 0.39 (ethyl acetate/n-hexane 70% v/v); 1H-NMR: δ 1.59 (2H, m, piperidine-CH2), 1.73 (2H, m, piperidine-CH2), 2.27 (6H, m, 2 × piperazine-CH2, piperidine-CH2), 2.82 (1H, m, COCH), 3.56 (6H, m, 2 × piperazine-CH2, piperidine-CH2), 4.36 (1H, s, CH), 7.23 (2H, m, Ar-H), 7.34 (6H, m, overlapping signals, exchangeable with D2O, NHSO2NH2, 4 × Ar-H), 7.48 (6H, m, Ar-H), 7.57 (2H, Ar-H), 10.58 (1H, s, exchangeable with D2O, NHSO2NH2); 13C-NMR: δ 24.6, 27.7, 42.0, 45.8, 47.0, 49.2, 52.5, 75.6, 117.1, 121.3, 122.7, 127.9, 128.5, 129.5, 130.9, 132.6, 137.2, 141.4, 171.5; m/z (ESI positive) 598.0 [M + H]+.
(1-((4-Sulfamoylaminophenyl)sulfonyl)piperidin-3-yl)(4-benzhydrylpiperazin-1-yl)methanone (6i). Compound 6i was obtained in 39% yield; m.p. 183–185 °C (dec.); silica gel TLC Rf = 0.27 (ethyl acetate/n-hexane 70% v/v); 1H-NMR: δ 1.60 (2H, m, piperidine-CH2), 1.73 (2H, m, piperidine-CH2), 2.35 (6H, m, 2 × piperazine-CH2, piperidine-CH2), 2.86 (1H, m, COCH), 3.62 (6H, m, 2 × piperazine-CH2, piperidine-CH2), 4.36 (1H, s, CH), 7.23 (2H, t, J = 7.4, Ar-H), 7.36 (6H, m, Ar-H), 7.49 (6H, m, overlapping signals, exchangeable with D2O, NHSO2NH2, 4 × Ar-H), 7.64 (2H, d, J = 8.4, Ar-H), 10.49 (1H, s, exchange with D2O, NHSO2NH2); 13C-NMR: δ 24.5, 27.7, 42.0, 45.7, 47.3, 49.2, 52.5, 75.6, 113.6, 127.8, 128.5, 129.4, 129.8, 130.3, 140.9, 142.2, 171.5; m/z (ESI positive) 598.0 [M + H]+.
(1-((2-Sulfamoylaminophenyl)sulfonyl)piperidin-3-yl)(4-(bis(4-fluorophenyl)methyl)piperazin-1-yl)methanone (6j). Compound 6j was obtained in 25% yield; m.p. 142–144 °C; TLC: Rf = 0.58 (MeOH/DCM 10% v/v); 1H-NMR: δ 1.56 (2H, m, piperidine-CH2), 1.73 (2H, m, piperidine-CH2), 2.24 (4H, m, 2 × piperazine-CH2), 2.37 (2H, m, piperidine-CH2), 2.80 (1H, m, COCH), 3.56 (6H, m, 2 × piperazine-CH2, piperidine-CH2), 4.41 (1H, s, CH), 7.15 (3H, t, J = 8.4, Ar-H), 7.23 (2H, m, Ar-H), 7.45 (4H, m, Ar-H), 7.69 (5H, m, overlapping signals, exchangeable with D2O, NHSO2NH2, 3 × Ar-H), 8.82 (1H, s, exchangeable with D2O, NHSO2NH2); 13C-NMR: δ 24.5, 27.6, 42.0, 44.6, 45.8, 48.9, 52.0, 73.6, 115.9, 116.3 (d, 2JC–F 21), 119.1, 123.1, 130.2, (d, 3JC–F 9), 130.8, 135.6, 138.2, 139.3, 162.1 (d, 1JC–F 242), 171.3; 19F-NMR: δ −115.6 (2F, s); m/z (ESI positive) 634 [M + H]+.
(1-((3-Sulfamoylaminophenyl)sulfonyl)piperidin-3-yl)(4-(bis(4-fluorophenyl)methyl)piperazin-1-yl)methanone (6k). Compound 6k was obtained in 44% yield; m.p. 162–164 °C (dec.); TLC: Rf = 0.48 (MeOH/DCM 10% v/v); 1H-NMR: δ 1.57 (2H, m, piperidine-CH2), 1.73 (2H, m, piperidine-CH2), 2.29 (6H, m, 2 × piperazine-CH2, piperidine-CH2), 2.82 (1H, m, COCH), 3.55 (4H, m, 2 × piperazine-CH2), 3.63 (2H, m, piperidine-CH2), 4.45 (1H, s, CH), 7.18 (4H, m, Ar-H), 7.33 (3H, m, overlapping signals, exchangeable with D2O, NHSO2NH2, Ar-H), 7.48 (6H, m, Ar-H), 7.57 (1H, m, Ar-H), 9.97 (1H, s, exchangeable with D2O, NHSO2NH2); 13C-NMR: δ 24.6, 27.7, 41.9, 45.7, 47.0, 49.2, 52.3, 73.5, 116.3 (d, 2JC–F 21), 118.7, 121.5, 122.7, 130.3 (d, 3JC–F 8), 130.6, 136.8, 138.3, 139.3, 162.0 (d, 1JC–F 242), 171.4; 19F-NMR: δ −115.6 (2F, s); m/z (ESI positive) 634.0 [M + H]+.
(1-((4-Sulfamoylaminophenyl)sulfonyl)piperidin-3-yl)(4-(bis(4-fluorophenyl)methyl)piperazin-1-yl)methanone (6l). Compound 6l was obtained in 73% yield; m.p. 160–162 °C (dec.); TLC: Rf = 0.60 (MeOH/DCM 10% v/v); 1H-NMR: δ 1.56 (2H, m, piperidine-CH2), 1.72 (2H, m, piperidine-CH2), 2.26 (6H, m, 2 × piperazine-CH2, piperidine-CH2), 2.83 (1H, m, COCH), 3.54 (4H, m, 2 × piperazine-CH2), 3.61 (2H, m, piperidine-CH2), 4.45 (1H, s, CH), 7.18 (4H, m, Ar-H), 7.34 (2H, d, J = 8.4, Ar-H), 7.48 (6H, m, overlapping signals, exchangeable with D2O, NHSO2NH2, 4 × Ar-H), 7.65 (2H, d, J = 8.4, Ar-H), 10.29 (1H, s, exchangeable with D2O, NHSO2NH2); 13C-NMR: δ 24.5, 27.8, 42.3, 45.7, 47.0, 49.2, 52.4, 73.5, 116.3 (d, 2JC–F 21), 117.5, 127.1, 129.6, 130.3 (d, 3JC–F 8), 139.2, 144.7, 162.0 (d, 1JC–F 242), 171.4; 19F-NMR: δ −115.6 (2F, s); m/z (ESI positive) 634.0 [M + H]+.
3.2. CA Inhibition
An Applied Photophysics (Leatherhead, UK) stopped-flow instrument has been used for assaying the CA-catalysed CO2 hydration activity [20]. Phenol red (at a concentration of 0.2 mM) has been used as indicator, working at the absorbance maximum of 557 nm, with 20 mM Hepes (pH 7.5) as buffer, and 20 mM Na2SO4 (for maintaining constant the ionic strength), following the initial rates of the CA-catalyzed CO2 hydration reaction for a period of 10–100 s. The CO2 concentrations ranged from 1.7 to 17 mM for the determination of the kinetic parameters and inhibition constants. For each inhibitor at least six traces of the initial 5–10% of the reaction have been used for determining the initial velocity. The uncatalyzed rates were determined in the same manner and subtracted from the total observed rates. Stock solutions of inhibitor (0.1 mM) were prepared in distilled-deionized water and dilutions up to 0.01 nM were done thereafter with the assay buffer. Inhibitor and enzyme solutions were preincubated together for 15 min at room temperature prior to assay, in order to allow for the formation of the E-I complex. The inhibition constants were obtained by non-linear least-squares methods using PRISM 3 and the Cheng-Prusoff equation, as reported earlier [27,28,29], and represent the mean from at least three different determinations. All CA isoforms were recombinant ones obtained in-house as reported earlier [27,28,29].
3.3. Molecular Modeling
The low resolution crystallographic structure of hCA I isoform coded by PDB ID: 4WR7 (1.5 Å resolution) [23] was used as rigid receptor in molecular docking simulations performed by the GOLD program (version 5.2.2). [25,26] Based on prior knowledge, a covalent docking protocol was established. The binding site was centered on the catalytic Zn ion and had a radius of 13 Å. For each ligand, 25 runs of the Genetic Algorithm (GA) were performed. The CHEMPLP scoring function with default parameters was used, while the GA search efficiency was increased up to 200%. Ligands were prepared for docking by means of OpenEye software. In details, ligands were sketched in VIDA (version 4.3.0) [30] and their protonation state was assigned by QUACPAC (version 1.6.3.1) [31]. Ligand energy minimization was performed with SZYBKI (version 1.8.0.1)[32] whereas the hydrogen atom was manually removed from the sulfamide zinc-binding moiety.
4. Conclusions
In this study, we have reported the design and synthesis of 12 compounds bearing the sulfamide moiety as the zinc-binding-group (ZBG) and connected to a flexible tail section. All the synthesized compounds were evaluated for their inhibition potencies against the hCAs I, II, IV and IX. Almost all tested compounds showed high activity against the hCA I isoform. A SAR analysis revealed: (i) the meta-sulfamide fluoro-substituted constrained derivative 6k was the most potent inhibitor against this isoform with a KI value of 45.8 nM, 5.5-fold lower than the standard sulfonamide inhibitor acetazolamide (AAZ, KI = 250 nM); (ii) a regioisomeric effect of the ZBG on the hCA I inhibition values was also present, and in particular the introduction of the sulfamide in ortho-position of the phenyl ring was detrimental for the inhibition potency; (iii) the introduction of the fluorine moiety was detrimental for the inhibition potency. Molecular modeling studies further supported SAR and provided structural explanation for the observed hCA I inhibition.
As for the hCA II, compounds 6g–l were less potent when compared to their flexible analogues 6a–f. The only exception was represented by the ortho-constrained derivatives 6g, which was the most potent against this isoform (KI = 89.8 nM). Noteworthy, the introduction of a fluorine moiety in this derivative to afford compound 6j resulted in a 72-fold reduction of the inhibition potency, whereas the same modification on the flexible analog 6a to afford 6d resulted in a 2.5-fold enhancement of the inhibition potency.
The compound 6d was also the most active among the series in inhibiting the hCA IV isoform (KI 116.7 nM). Again reduction of the flexibility, as in 6g–l, proved detrimental for the inhibition potency against the hCA IV, except for the non-fluorinated meta-derivative 6h.
As for the hCA IX, the inhibition data of this isoform revealed a clearly enhancement of potency for the fluorinated compounds were compared to their non-halogenated analogs, up to full restoration of the activity for the ineffective ortho-derivatives (6a to 6d and 6g to 6j). Furthermore, compound 6j showed high selectivity for this isoform. The clear enhancement of the inhibition potency showed by these derivatives when the fluorine moiety was introduced, gave particular meaning to the role played by the fluorine atom in medicinal chemistry [33,34].
In conclusion, the compound series here reported showed different inhibition profiles against the various CA isoforms herein considered, thus representing a valuable source of new and valuable compounds for further development for medicinal chemistry purposes.
Acknowledgments
The authors wish to thank the OpenEye Free Academic Licensing Program for providing a free academic license for molecular modeling and chemoinformatics software.
Author Contributions
E.B. performed the chemistry experiments; S.B. performed the in vitro kinetic experiments; M.M. and M.B. conceived and performed and analyzed the molecular modeling experiments; Y.T. designed the experiments on the precursors; V.S.M. performed the experiments on the precursors; V.V. analyzed the data on the precursors; G.B. performed and analyzed the mass spectra experiments; E.B., M.M. and F.C. wrote the paper, A.M., E.C., C.T.S. and F.C. supervised the project.
Conflicts of Interest
The authors declare no conflict of interest.
References
- Supuran, C.T. Carbonic anhydrases: Novel therapeutic applications for inhibitors and activators. Nat. Rev. Drug Discov. 2008, 7, 168–181. [Google Scholar] [CrossRef] [PubMed]
- Neri, D.; Supuran, C.T. Interfering with pH regulation in tumours as a therapeutic strategy. Nat. Rev. Drug Discov. 2011, 10, 767–777. [Google Scholar] [CrossRef] [PubMed]
- Alterio, V.; Di Fiore, A.; D’Ambrosio, K.; Supuran, C.T.; De Simone, G. Multiple binding modes of inhibitors to carbonic anhydrases: How to design specific drugs targeting 15 different isoforms? Chem. Rev. 2012, 112, 4421–4468. [Google Scholar] [CrossRef] [PubMed]
- Patricio, E.M.; Supuran, C.T.; Casey, J.R. Carbonic anhydrase inhibitors that directly inhibit anion transport by the human Cl-/HCO3-exchanger, AE1. Mol. Membr. Biol. 2004, 21, 423–433. [Google Scholar]
- Brown, B.F.; Quon, A.; Dyck, J.R.B.; Casey, J.R. Carbonic anhydrase II promotes cardiomyocyte hypertrophy. Can. J. Physiol. Pharmacol. 2012, 90, 1599–1610. [Google Scholar] [CrossRef] [PubMed]
- Villafuerte, F.C.; Swietach, P.; Youm, J.B.; Ford, K.; Cardenas, R.; Supuran, C.T.; Cobden, P.M.; Rohling, M.; Vaughan-Jones, R.D. Facilitation by intracellular carbonic anhydrase of Na+-HCO3− co-transport but not Na+/H+ exchange activity in the mammalian ventricular myocyte. J. Physiol. 2014, 592, 991–1007. [Google Scholar] [CrossRef] [PubMed]
- Supuran, C.T.; Scozzafava, A. Carbonic anhydrase inhibitors and their therapeutic potential. Expert Opin. Ther. Patents. 2000, 10, 575–600. [Google Scholar] [CrossRef]
- Canto de Souza, L.; Provensi, G.; Vullo, D.; Carta, F.; Scozzafava, A.; Costa, A.; Schmidt, S.D.; Passani, M.B.; Supuran, C.T.; Blandina, P. Carbonic anhydrase activation enhances object recognition memory in mice through phosphorylation of the extracellular signal-regulated kinase in the cortex and the hippocampus. Neuropharmacology 2017, 118, 148–156. [Google Scholar] [CrossRef] [PubMed]
- Ilies, M.; Banciu, M.D.; Ilies, M.A.; Scozzafava, A.; Caproiu, M.T.; Supuran, C.T. Carbonic anhydrase activators: Design of high affinity isozymes I, II, and IV activators, incorporating tri-/tetrasubstituted-pyridinium-azole moieties. J. Med. Chem. 2002, 45, 504–510. [Google Scholar] [CrossRef] [PubMed]
- Supuran, C.T. Advances in structure-based drug discovery of carbonic anhydrase inhibitors. Expert. Opin. Drug Discov. 2017, 12, 61–88. [Google Scholar] [CrossRef] [PubMed]
- Carta, F.; Aggarwal, M.; Maresca, A.; Scozzafava, A.; McKenna, R.; Masini, E.; Supuran, C.T. Dithiocarbamates strongly inhibit carbonic anhydrases and show antiglaucoma action in vivo. J. Med. Chem. 2012, 55, 1721–1730. [Google Scholar] [CrossRef] [PubMed]
- Carta, F.; Akdemir, A.; Scozzafava, A.; Masini, E.; Supuran, C.T. Xanthates and trithiocarbonates strongly inhibit carbonic anhydrases and show antiglaucoma effects in vivo. J. Med. Chem. 2013, 56, 4691–4700. [Google Scholar] [CrossRef] [PubMed]
- Vullo, D.; Durante, M.; Di Leva, F.S.; Cosconati, S.; Masini, E.; Scozzafava, A.; Novellino, E.; Supuran, C.T.; Carta, F. Monothiocarbamates Strongly Inhibit Carbonic Anhydrases in Vitro and Possess Intraocular Pressure Lowering Activity in an Animal Model of Glaucoma. J. Med. Chem. 2016, 59, 5857–5867. [Google Scholar] [CrossRef] [PubMed]
- Carta, F.; Supuran, C.T.; Scozzafava, A. Sulfonamides and their isosters as carbonic anhydrase inhibitors. Future Med. Chem. 2014, 6, 1149–1165. [Google Scholar] [CrossRef] [PubMed]
- Supuran, C.T. Structure-based drug discovery of carbonic anhydrase inhibitors. J. Enzyme Inhib. Med. Chem. 2012, 27, 759–772. [Google Scholar] [CrossRef] [PubMed]
- Pudukulatham, Z.; Zhang, F.X.; Gadotti, V.M.; Dahoma, S.M.; Swami., P.; Tamboli, Y.; Zamponi, G.W. Synthesis and characterization of a disubstituted piperazine derivative with T-type channel blocking action and analgesic properties. Mol. Pain 2016, 12, 1–10. [Google Scholar] [CrossRef] [PubMed]
- Tran, T.P.; Mullins, P.B.; am Ende, C.W.; Pettersson, M. Synthesis of pyridopyrazine-1,6-diones from 6-hydroxypicolinic acids via a one-pot coupling/cyclization reaction. Org. Lett. 2013, 15, 642–645. [Google Scholar] [CrossRef] [PubMed]
- Grandane, A.; Beļakovs, S.; Trapencieris, P.; Zalubovskis, R. Facile Synthesis of Coumarin Bioisosteres-1,2-Benzoxathiine 2,2-Dioxides. Tetrahedron 2012, 68, 5541–5546. [Google Scholar] [CrossRef]
- D’Ambrosio, K.; Smaine, F.Z.; Carta, F.; De Simone, G.; Winum, J.Y.; Supuran, C.T. Development of potent carbonic anhydrase inhibitors incorporating both sulfonamide and sulfamide groups. J. Med. Chem. 2012, 55, 6776–6783. [Google Scholar] [CrossRef] [PubMed]
- Khalifah, R.G. The carbon dioxide hydration activity of carbonic anhydrase. I. Stop-flow kinetic studies on the native human isoenzymes B and C. J. Biol. Chem. 1971, 246, 2561–2573. [Google Scholar] [PubMed]
- Supuran, C.T. How many carbonic anhydrase inhibition mechanisms exist? J. Enzyme Inhib. Med. Chem. 2016, 31, 345–360. [Google Scholar] [CrossRef] [PubMed]
- Mori, M.; Cau, Y.; Vignaroli, G.; Laurenzana, I.; Caivano, A.; Vullo, D.; Supuran, C.T.; Botta, M. Hit Recycling: Discovery of a Potent Carbonic Anhydrase Inhibitor by in Silico Target Fishing. ACS Chem. Biol. 2015, 10, 1964–1969. [Google Scholar] [CrossRef] [PubMed]
- Zubriene, A.; Smirnoviene, J.; Smirnov, A.; Morkunaite, V.; Michailoviene, V.; Jachno, J.; Juozapaitiene, V.; Norvaisas, P.; Manakova, E.; Grazulis, S.; et al. Intrinsic thermodynamics of 4-substituted-2, 3, 5, 6-tetrafluorobenzenesulfonamide binding to carbonic anhydrases by isothermal titration calorimetry. Biophys. Chem. 2015, 205, 51–65. [Google Scholar] [CrossRef] [PubMed]
- Alterio, V.; Monti, S.M.; Truppo, E.; Pedone, C.; Supuran, C.T.; De Simone, G. The first example of a significant active site conformational rearrangement in a carbonic anhydrase-inhibitor adduct: The carbonic anhydrase I-topiramate complex. Org. Biomol. Chem. 2010, 8, 3528–3533. [Google Scholar] [CrossRef] [PubMed]
- Verdonk, M.L.; Cole, J.C.; Hartshorn, M.J.; Murray, C.W.; Taylor, R.D. Improved protein-ligand docking using GOLD. Proteins 2003, 52, 609–623. [Google Scholar] [CrossRef] [PubMed]
- Jones, G.; Willett, P.; Glen, R.C.; Leach, A.R.; Taylor, R. Development and validation of a genetic algorithm for flexible docking. J. Mol. Biol. 1997, 267, 727–748. [Google Scholar] [CrossRef] [PubMed]
- Winum, J.Y.; Carta, F.; Ward, C.; Mullen, P.; Harrison, D.; Langdon, S.P.; Cecchi, A.; Scozzafava, A.; Kunkler, I.; Supuran, C.T. Ureido-substituted sulfamates show potent carbonic anhydrase IX inhibitory and antiproliferative activities against breast cancer cell lines. Bioorg. Med. Chem. Lett. 2012, 22, 4681–4685. [Google Scholar] [CrossRef] [PubMed]
- Carta, F.; Di Cesare Mannelli, L.; Pinard, M.; Ghelardini, C.; Scozzafava, A.; McKenna, R.; Supuran, C.T. A class of sulfonamide carbonic anhydrase inhibitors with neuropathic pain modulating effects. Bioorg. Med. Chem. 2015, 23, 1828–1840. [Google Scholar] [CrossRef] [PubMed]
- Allouche, F.; Chabchoub, F.; Carta, F.; Supuran, C.T. Synthesis of aminocyanopyrazoles via a multi-component reaction and anti-carbonic anhydrase inhibitory activity of their sulfamide derivatives against cytosolic and transmembrane isoforms. J. Enzyme Inhib. Med. Chem. 2013, 28, 343–349. [Google Scholar] [CrossRef] [PubMed]
- OpenEye Scientific Software; VIDA 4.3.0. OpenEye Scientific Software Inc.: Santa Fe, Argentina, 1997. Available online: http://www.eyesopen.com.
- OpenEye Scientific Software; QUACPAC 1.6.3.1. OpenEye Scientific Software Inc.: Santa Fe, Argentina, 1997. Available online: http://www.eyesopen.com.
- OpenEye Scientific Software; SZYBKI 1.8.0.1. OpenEye Scientific Software Inc.: Santa Fe, Argentina, 1997. Available online: http://www.eyesopen.com.
- Pan, J.; Lau, J.; Mesak, F.; Hundal, N.; Pourghiasian, M.; Liu, Z.; Bénard, F.; Dedhar, S.; Supuran, C.T.; Lin, K.S. Synthesis and evaluation of 18F-labeled carbonic anhydrase IX inhibitors for imaging with positron emission tomography. J. Enzyme Inhib. Med. Chem. 2014, 29, 249–255. [Google Scholar] [CrossRef] [PubMed]
- Gillis, E.P.; Eastman, K.J.; Hill, M.D.; Donnelly, D.J.; Meanwell, N.A. Applications of Fluorine in Medicinal Chemistry. J. Med. Chem. 2015, 58, 8315–8359. [Google Scholar] [CrossRef] [PubMed]
Sample Availability: Not available. |
© 2017 by the authors. Licensee MDPI, Basel, Switzerland. This article is an open access article distributed under the terms and conditions of the Creative Commons Attribution (CC BY) license (http://creativecommons.org/licenses/by/4.0/).


