Evaluation of the Antidiabetic Activity and Chemical Composition of Geranium collinum Root Extracts—Computational and Experimental Investigations
Abstract
:1. Introduction
2. Results and Discussion
2.1. Optimization of the Extraction Procedure
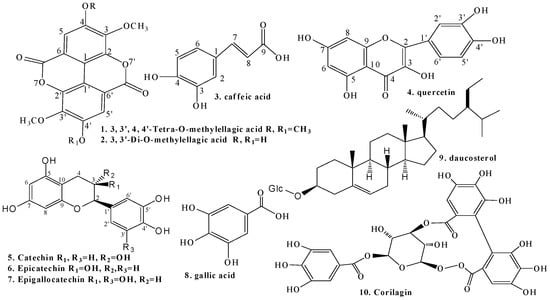
2.2. Spectral Identification of the Isolated Compounds
2.3. Total Polyphenolic Compounds
2.4. Total Flavonoids Contents
2.5. Antioxidant Activity
2.6. Antidiabetic Activities of Crude Extracts and Isolated Individual Compounds
2.7. Molecular Docking
3. Experimental Section
3.1. General Procedures
3.2. Plant Material
3.3. Extraction and Isolation Procedures
3.4. Characterization Data of Isolated Pure Compounds
3.5. Determination of Total Polyphenolic Compounds and Total Contents of Flavonoids
3.6. Antidiaibetic Activity: PTP-1B Enzymatic Assay
3.7. Molecular Docking
3.8. α-Glucosidase Inhibition Assay
3.9. Antioxidant Activity
4. Conclusions
Acknowledgments
Author Contributions
Conflicts of Interest
References
- Bhandari, M.R.; Jong-Anurakkun, N.; Hong, G.; Kawabata, J. α-Glucosidase and α-amylase inhibitory activities of Nepalese medicinal herb Pakhanbhed (Bergenia ciliata, Haw.). Food Chem. 2008, 106, 247–252. [Google Scholar] [CrossRef]
- Asase, A.; Kokubun, T.; Grayer, R.J.; Kite, G.; Simmonds, M.S.J.; Oteng-Yeboah, A.A.; Odamtten, G.T. Chemical constituents and antimicrobial activity of medicinal plants from Ghana: Cassia sieberiana, Haematostaphis barteri, Mitragyna inermis and Pseudocedrela kotschyi. Phytother. Res. 2008, 22, 1013–1016. [Google Scholar] [CrossRef] [PubMed]
- De Sousa, E.; Zanatta, L.; Seifriz, I.; Creczynski-Pasa, T.B.; Pizzolatti, M.G.; Szpoganicz, B.; Silva, F.R.M.B. Hypoglycemic effect and antioxidant potential of kaempferol-3,7-O-(α)-dirhamnoside from Bauhinia forficata leaves. J. Nat. Prod. 2004, 67, 829–832. [Google Scholar] [CrossRef] [PubMed]
- Jung, M.; Park, M.; Lee, H.C.; Kang, Y.-H.; Kang, E.S.; Kim, S.K. Antidiabetic agents from medicinal plants. Curr. Med. Chem. 2006, 13, 1203–1218. [Google Scholar] [CrossRef] [PubMed]
- Tang, D.; Chen, Q.-B.; Xin, X.-L.; Aisa, H.-A. Anti-diabetic effect of three new norditerpenoid alkaloids in vitro and potential mechanism via PI3K/Akt signaling pathway. Biomed. Pharmacother. 2017, 87, 145–152. [Google Scholar] [CrossRef] [PubMed]
- Chakroun, M.; Khemakhem, B.; Mabrouk, H.B.; El Abed, H.; Makni, M.; Bouaziz, M.; Drira, N.; Marrakchi, N.; Mejdoub, H. Evaluation of anti-diabetic and anti-tumoral activities of bioactive compounds from Phoenix dactylifera L’s leaf: In vitro and in vivo approach. Biomed. Pharmacother. 2016, 84, 415–422. [Google Scholar] [CrossRef] [PubMed]
- Shibkova, I.F.; Klyzikaeva, K.G. Geran Anchabir (tadj) Geranium Z, Flora of Tajik SSR. Science 1981, 340–345. [Google Scholar]
- Hodzhimatov, M. Wild Medicinal Plants of Tajikistan. In Tajik Soviet Encyclopedia; Irfon: Dushanbe, Tajik, 1989; pp. 368–370. [Google Scholar]
- Saleh, N.A.M.; El-karemy, Z.A.R.; Mansour, R.M.A.; Fayed, A.-A.A. A chemosystematic study of some geraniaceae. Phytochemistry 1983, 22, 2501–2505. [Google Scholar] [CrossRef]
- Elhassan, G.O.M.; Adhikari, A.; Abdalla, O.M.; Shukrulla, A.; Khalid, A.; Iqbal Choudhary, M.; Mesaik, M.A.; Yagi, S. Chemical constituents of euphorbia polyacantha Boiss. and their immunomodulatory properties. Rec. Nat. Prod. 2015, 9, 146–152. [Google Scholar]
- Sata, T. Spectral differentiation of 3,3′-di-O-methylellagic acid from 4,4′-di-O-methylellagic acid. Phytochemistry 1987, 26, 2124–2125. [Google Scholar] [CrossRef]
- Chang, S.W.; Kim, K.H.; Lee, I.K.; Choi, S.U.; Ryu, S.Y.; Lee, K.R. Phytochemical constituents of Bistorta manshuriensis. Nat. Prod. Sci. 2009, 15, 234–240. [Google Scholar]
- Jiang, L.; Numonov, S.; Bobakulov, K.; Qureshi, M.; Zhao, H.; Aisa, H. Phytochemical profiling and evaluation of pharmacological activities of Hypericum scabrum L. Molecules 2015, 20, 11257–11271. [Google Scholar] [CrossRef] [PubMed]
- Qureshi, M.N.; Numonov, S.; Abudurexiti, A.; Aisa, H.A. Phytochemical investigations and evaluation of antidiabetic potential of Prunus dulcis nuts. LWT Food Sci. Technol. 2016, 66, 311–317. [Google Scholar] [CrossRef]
- Zang, X.; Shang, M.; Xu, F.; Liang, J.; Wang, X.; Mikage, M.; Cai, S. A-Type proanthocyanidins from the stems of Ephedra sinica (Ephedraceae) and their antimicrobial activities. Molecules 2013, 18, 5172–5189. [Google Scholar] [CrossRef] [PubMed]
- Liu, M.; Yang, S.; Jin, L.; Hu, D.; Wu, Z.; Yang, S. Chemical constituents of the ethyl acetate extract of Belamcanda chinensis (L.) DC roots and their antitumor activities. Molecules 2012, 17, 6156–6169. [Google Scholar] [CrossRef] [PubMed]
- Numonov, S.R.; Usmanova, S.K.; Aisa, H.A. Chemical composition of Dracocephalum heterophyllum. Chem. Nat. Compd. 2013, 49, 511–513. [Google Scholar] [CrossRef]
- Conegero, L.D.S.; Ide, R.M.; Nazari, A.S.; Sarragiotto, M.H.; Dias Filho, B.P.; Nakamura, C.V.; Carvalho, J.E.D.; Foglio, M.A. Constituintes químicos de Alchornea glandulosa (Euphorbiaceae). Quim. Nova 2003, 26, 825–827. [Google Scholar] [CrossRef]
- Yen, G.-C.; Chen, C.-S.; Chang, W.-T.; Wu, M.-F.; Cheng, F.-T.; Shiau, D.-K.; Hsu, C.-L. Antioxidant activity and anticancer effect of ethanolic and aqueous extracts of the roots of Ficus beecheyana and their phenolic components. J. Food Drug Anal. 2017, 30, 1–11. [Google Scholar] [CrossRef]
- Li, Q.; Zhang, X.; Cao, J.; Guo, Z.; Lou, Y.; Ding, M.; Zhao, Y. Depside derivatives with anti-hepatic fibrosis and anti-diabetic activities from Impatiens balsamina L. flowers. Fitoterapia 2015, 105, 234–239. [Google Scholar] [CrossRef] [PubMed]
- Zhang, J.; Shen, Q.; Lu, J.-C.; Li, J.-Y.; Liu, W.-Y.; Yang, J.-J.; Li, J.; Xiao, K. Phenolic compounds from the leaves of Cyclocarya paliurus (Batal.) Ijinskaja and their inhibitory activity against PTP1B. Food Chem. 2010, 119, 1491–1496. [Google Scholar] [CrossRef]
- Oboh, G.; Ogunsuyi, O.B.; Ogunbadejo, M.D.; Adefegha, S.A. Influence of gallic acid on α-amylase and α-glucosidase inhibitory properties of acarbose. J. Food Drug Anal. 2016, 24, 627–634. [Google Scholar] [CrossRef]
- Tiong, S.; Looi, C.; Hazni, H.; Arya, A.; Paydar, M.; Wong, W.; Cheah, S.-C.; Mustafa, M.; Awang, K. Antidiabetic and antioxidant properties of alkaloids from Catharanthus roseus (L.) G. Don. Molecules 2013, 18, 9770–9784. [Google Scholar] [CrossRef] [PubMed]
- Umeno, A.; Horie, M.; Murotomi, K.; Nakajima, Y.; Yoshida, Y. Antioxidative and antidiabetic effects of natural polyphenols and isoflavones. Molecules 2016, 21, 708. [Google Scholar] [CrossRef] [PubMed]
- Phosrithong, N.; Nuchtavorn, N. Antioxidant and anti-inflammatory activites of Clerodendrum leaf extracts collected in Thailand. Eur. J. Integr. Med. 2016, 8, 281–285. [Google Scholar] [CrossRef]
- Qureshi, M.N.; Stecher, G.; Bonn, G.K. Determination of total polyphenolic compounds and flavonoids in Juglans regia leaves. Pak. J. Pharmaceut.Sci. 2014, 27, 865–869. [Google Scholar]
- Numonov, S.R.; Qureshi, M.N.; Aisa, H.A. Development of HPLC protocol and simultaneous quantification of four free flavonoids from Dracocephalum heterophyllum Benth. Int. J. Anal. Chem. 2015, 2015, 5. [Google Scholar] [CrossRef] [PubMed]
- Ali, J.; Khan, A.; Ullah, N. Essential oil chemical composition and antimicrobial activity of sour oranges (Citrus aurantium) peels. J. Pharm. Res. 2012, 5, 1690–1693. [Google Scholar]
- Bozorov, K.; Ma, H.-R.; Zhao, J.-Y.; Zhao, H.-Q.; Chen, H.; Bobakulov, K.; Xin, X.-L.; Elmuradov, B.; Shakhidoyatov, K.; Aisa, H.A. Discovery of diethyl 2,5-diaminothiophene-3,4-dicarboxylate derivatives as potent anticancer and antimicrobial agents and screening of anti-diabetic activity: Synthesis and in vitro biological evaluation. Part 1. Eur. J. Med. Chem. 2014, 84, 739–745. [Google Scholar] [CrossRef] [PubMed]
- Yili, A.; Yimamu, H.; Ghulameden, S.; Qing, Z.; Aisa, H.; Morlock, G. Determination of antidiabetic polysaccharides of Ocimum basilicum seeds indigenous to xinjiang of China by high-performance thin-layer chromatography-UV/Vis-mass spectrometry. J. Planar Chromat. Modern TLC 2014, 27, 11–18. [Google Scholar] [CrossRef]
- Han, Y.; Belley, M.; Bayly, C.I.; Colucci, J.; Dufresne, C.; Giroux, A.; Lau, C.K.; Leblanc, Y.; McKay, D.; Therien, M.; et al. Discovery of [(3-bromo-7-cyano-2-naphthyl)(difluoro)methyl]phosphonic acid, a potent and orally active small molecule PTP1B inhibitor. Bioorg. Med. Chem. Lett. 2008, 18, 3200–3205. [Google Scholar] [CrossRef] [PubMed]
- Krishnan, N.; Krishnan, K.; Connors, C.R.; Choy, M.S.; Page, R.; Peti, W.; Van Aelst, L.; Shea, S.D.; Tonks, N.K. PTP1B inhibition suggests a therapeutic strategy for Rett syndrome. J. Clin. Investig. 2015, 125, 3163–3177. [Google Scholar] [CrossRef] [PubMed]
- Sim, L.; Willemsma, C.; Mohan, S.; Naim, H.Y.; Pinto, B.M.; Rose, D.R. Structural basis for substrate selectivity in human maltase-glucoamylase and sucrase-isomaltase N-terminal domains. J. Biol. Chem. 2010, 285, 17763–17770. [Google Scholar] [CrossRef] [PubMed]
- Ren, L.; Qin, X.; Cao, X.; Wang, L.; Bai, F.; Bai, G.; Shen, Y. Structural insight into substrate specificity of human intestinal maltase-glucoamylase. Protein Cell 2011, 2, 827–836. [Google Scholar] [CrossRef] [PubMed]
- Thomsen, R.; Christensen, M.H. MolDock: A new technique for high-accuracy molecular docking. J. Med. Chem. 2006, 49, 3315–3321. [Google Scholar] [CrossRef] [PubMed]
- Halgren, T.A. Merck molecular force field. I. Basis, form, scope, parameterization, and performance of MMFF94. J. Comput. Chem. 1996, 17, 490–519. [Google Scholar] [CrossRef]
- Pan, Y.; Huang, N.; Cho, S.; MacKerell, A.D., Jr. Consideration of molecular weight during compound selection in virtual target-based database screening. J. Chem. Inf. Comput. Sci. 2003, 43, 267–272. [Google Scholar] [CrossRef] [PubMed]
- Snow Setzer, M.; Sharifi-Rad, J.; Setzer, W. The search for herbal antibiotics: An in-silico investigation of antibacterial phytochemicals. Antibiotics 2016, 5, 30. [Google Scholar] [CrossRef] [PubMed]
- McCue, P.; Kwon, Y.I.; Shetty, K. Anti-diabetic and anti-hypertensive potential of sprouted and solid-state bioprocessed soybean. Asia Pac. J. Clin. Nutr. 2005, 14, 145–152. [Google Scholar] [PubMed]
- Jaradat, N.A.; Shawahna, R.; Hussein, F.; Al-Lahham, S. Analysis of the antioxidant potential in aerial parts of Trigonella arabica and Trigonella berythea grown widely in Palestine: A comparative study. Eur. J. Integr. Med. 2016, 8, 623–630. [Google Scholar] [CrossRef]
- Zhao, Y.; Dou, J.; Wu, T.; Aisa, H. Investigating the antioxidant and acetylcholinesterase inhibition activities of Gossypium herbaceam. Molecules 2013, 18, 951–962. [Google Scholar] [CrossRef] [PubMed]
Sample Availability: Samples of the compounds are not available. |



| Sample | Total Polyphenolic Compounds, mg GAE/g Extract | Total Flavonoids, mg QE/g Extract | Antioxidant Activity IC50 Values (μg/mL) | Antidiabetic Activity (PTP-1B) IC50 Values (μg/mL) | Antidiabetic Activity (α-Glucosidase) IC50 Values (μg/mL) |
|---|---|---|---|---|---|
| H2O | 12.21 ± 0.10 | 3.31 ± 0.04 | 15.17 ± 0.84 | 0.13 ± 0.01 | 0.11 ± 0.01 |
| 30% EtOH | 83.74 ± 0.18 | 42.77 ± 0.12 | 10.89 ± 0.63 | 0.29 ± 0.02 | 0.10 ± 0.01 |
| 50% EtOH | 349.84 ± 0.21 | 96.07 ± 0.08 | 11.21 ± 0.49 | 0.10 ± 0.01 | 0.07 ± 0.01 |
| 70% EtOH | 180.14 ± 0.11 | 75.31 ± 0.07 | 12.69 ± 0.6 | 0.16 ± 0.01 | 0.09 ± 0.01 |
| EtOH absolute | 100.42 ± 0.14 | 55.68 ± 0.02 | 11.23 ± 0.7 | 0.43 ± 0.02 | 1.98 ± 0.21 |
| Vitamin C | 5.34 ± 0.42 | ||||
| PTP-1B a inhibitor | 1.46 ± 0.40 | ||||
| α-Glucosidase b | 2.19 ± 0.04 |
| Name of Compounds | Antidiabetic Activity | |
|---|---|---|
| (PTP-1B) IC50 Values (μg/mL) | (α-Glucosidase) IC50 Values (μg/mL) | |
| 3,3′,4,4′-Tetra-O-methylellagic acid | 21.64 ± 1.19 | No effect |
| 3,3′-Di-O-methylellagic acid | 6.26 ± 0.22 | No effect |
| Caffeic acid | 35.81 ± 1.62 | 22.49 ± 1.12 |
| Quercetin | 2.19 ± 0.2 | 4.15 ± 0.19 |
| Catechin | 0.62 ± 0.06 | 4.65 ± 0.20 |
| Epicatechin | 0.23 ± 0.04 | 2.62 ± 0.12 |
| Epigallocatechin | No effect | 42.44 ± 2.15 |
| Gallic acid | No effect | 68.30 ± 3.02 |
| Daucosterol | No effect | 30.19 ± 1.56 |
| Corilagin | 0.87 ± 0.09 | 5.59 ± 0.37 |
| PTP-1B a and acarbose b | 1.46 ± 0.40 | 2.19 ± 0.11 |
| Ligand | Protein Tyrosine Phosphatase 1B | α-Glucosidase | ||||||
|---|---|---|---|---|---|---|---|---|
| 3CWE a | 4Y14 b | 3LPP c | 3TOP d | |||||
| Edock | DSnorm | Edock | DSnorm | Edock | DSnorm | Edock | DSnorm | |
| Co-crystallized ligand | −87.4 | −79.5 | −125.0 | −116.1 | −116.0 | −110.9 | −130.3 | −108.3 |
| 3,3′,4,4′-Tetra-O-methylellagic acid | −91.4 | −92.5 | −98.6 | −99.8 | −55.9 | −56.6 | −83.2 | −84.2 |
| 3,3′-Di-O-methylellagic acid | −82.4 | −85.7 | −93.3 | −97.0 | −59.8 | −62.2 | −72.2 | −75.1 |
| Caffeic acid | −78.2 | −99.6 | −81.5 | −103.8 | −69.6 | −88.6 | −65.9 | −83.9 |
| Catechin | −86.9 | −94.3 | −86.9 | −94.4 | −77.5 | −84.1 | −83.5 | −90.7 |
| Corilagin | −111.9 | −93.7 | −101.2 | −84.4 | −107.5 | −89.9 | −120.4 | −100.8 |
| Daucosterol | −12.6 | −10.8 | −86.4 | −74.6 | −103.4 | −89.3 | −129.3 | −111.6 |
| Ellagic acid | −82.3 | −88.1 | −92.3 | −98.9 | −51.7 | −55.4 | −72.5 | −77.6 |
| Epicatechin | −87.4 | −94.9 | −95.7 | −103.9 | −76.5 | −83.1 | −82.3 | −89.4 |
| Epigallocatechin | −91.9 | −98.0 | −98.5 | −105.1 | −79.8 | −85.1 | −89.2 | −95.1 |
| Gallic acid | −75.5 | −97.9 | −78.8 | −102.3 | −70.4 | −91.3 | −67.0 | −86.9 |
| Quercetin | −93.4 | −100.0 | −92.6 | −99.2 | −84.7 | −90.7 | −87.7 | −93.9 |
© 2017 by the authors. Licensee MDPI, Basel, Switzerland. This article is an open access article distributed under the terms and conditions of the Creative Commons Attribution (CC BY) license (http://creativecommons.org/licenses/by/4.0/).
Share and Cite
Numonov, S.; Edirs, S.; Bobakulov, K.; Qureshi, M.N.; Bozorov, K.; Sharopov, F.; Setzer, W.N.; Zhao, H.; Habasi, M.; Sharofova, M.; et al. Evaluation of the Antidiabetic Activity and Chemical Composition of Geranium collinum Root Extracts—Computational and Experimental Investigations. Molecules 2017, 22, 983. https://doi.org/10.3390/molecules22060983
Numonov S, Edirs S, Bobakulov K, Qureshi MN, Bozorov K, Sharopov F, Setzer WN, Zhao H, Habasi M, Sharofova M, et al. Evaluation of the Antidiabetic Activity and Chemical Composition of Geranium collinum Root Extracts—Computational and Experimental Investigations. Molecules. 2017; 22(6):983. https://doi.org/10.3390/molecules22060983
Chicago/Turabian StyleNumonov, Sodik, Salamet Edirs, Khayrulla Bobakulov, Muhammad Nasimullah Qureshi, Khurshed Bozorov, Farukh Sharopov, William N. Setzer, Haiqing Zhao, Maidina Habasi, Mizhgona Sharofova, and et al. 2017. "Evaluation of the Antidiabetic Activity and Chemical Composition of Geranium collinum Root Extracts—Computational and Experimental Investigations" Molecules 22, no. 6: 983. https://doi.org/10.3390/molecules22060983
APA StyleNumonov, S., Edirs, S., Bobakulov, K., Qureshi, M. N., Bozorov, K., Sharopov, F., Setzer, W. N., Zhao, H., Habasi, M., Sharofova, M., & Aisa, H. A. (2017). Evaluation of the Antidiabetic Activity and Chemical Composition of Geranium collinum Root Extracts—Computational and Experimental Investigations. Molecules, 22(6), 983. https://doi.org/10.3390/molecules22060983

