Next Article in Journal
Optimized 4,5-Diarylimidazoles as Potent/Selective Inhibitors of Protein Kinase CK1δ and Their Structural Relation to p38α MAPK
Next Article in Special Issue
Revision of the Structure of Acremine P from a Marine-Derived Strain of Acremonium persicinum
Previous Article in Journal
Silane Modified Diopside for Improved Interfacial Adhesion and Bioactivity of Composite Scaffolds
Previous Article in Special Issue
Synthesis of Substituted α-Trifluoromethyl Piperidinic Derivatives
 
 
Font Type:
Arial Georgia Verdana
Font Size:
Aa Aa Aa
Line Spacing:
Column Width:
Background:
Article

Synthesis of Novel Saccharin Derivatives

by
Gregory M. Rankin
and
Sally-Ann Poulsen
*
Griffith Institute for Drug Discovery, Griffith University, Don Young Road, Nathan, Queensland 4111 Australia
*
Author to whom correspondence should be addressed.
Molecules 2017, 22(4), 516; https://doi.org/10.3390/molecules22040516
Submission received: 3 March 2017 / Revised: 20 March 2017 / Accepted: 20 March 2017 / Published: 23 March 2017
(This article belongs to the Special Issue Women in Organic Chemistry)

Abstract

:
The synthesis of saccharin (1,2-benzisothiazol-3-one-1,1-dioxide) derivatives substituted on the benzene ring has seen limited development despite the longevity of this compound’s use as an artificial sweetener. This type of saccharin derivative would however present attractive properties for the development of new bioactive, drug-like small molecule compounds. Here we report the derivatisation of the benzene ring of saccharin using Cu(I)-catalyzed azide alkyne cycloaddition (CuAAC) to synthesise a diverse library of novel saccharin-1,2,3-triazole conjugates. All library compounds retain the capability for interactions with biomolecules via the unmodified sulfonamide and lactam groups of the parent saccharin core heterocycle. The compounds also encompass alternate orientations of the 1,2,3-triazole heterocycle, thus further adding diversity to the potential hydrogen bonding interactions of these compounds with biomolecules of therapeutic interest. Our findings demonstrate that specifically functionalized derivatives of saccharin may be prepared from either saccharin azide or saccharin alkyne building blocks in high yield using CuAAC.

Graphical Abstract

1. Introduction

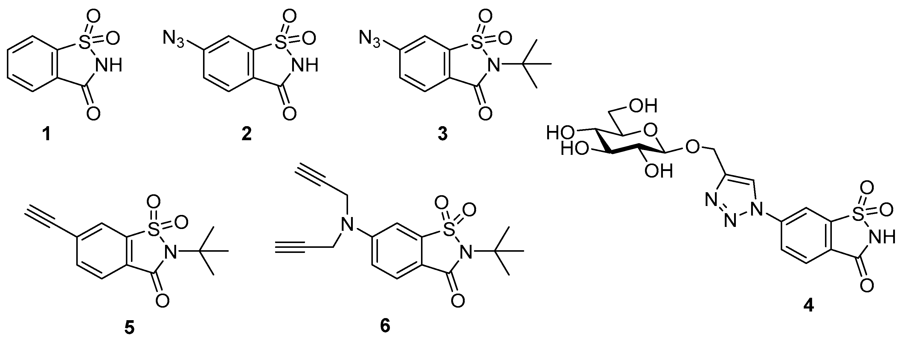
Several different synthetic routes have been applied to construct the heterocyclic compound 1,2-benzisothiazol-3-one-1,1-dioxide, commonly known as saccharin (1, Figure 1), a synthetic calorie-free sugar substitute [1,2]. Alkylation methods to prepare N- and O-substituted (carbonyl oxygen) derivatives of 1 are well established and these have provided researchers with the straightforward synthesis of novel and potentially bioactive molecules [3,4,5,6]. In addition to N- and O-alkylation, compounds derivatised on the benzene moiety of 1 are particularly desirable, as these compounds retain both the cyclic sulfonamide and lactam groups which can participate in strong noncovalent interactions with biomolecular targets such as enzymes. The synthesis of the latter derivatives is reliant on the application of synthetic acumen to introduce a latent handle on the benzene moiety of 1 for subsequent derivatisation; this modification’s methodology is however much less developed than the straightforward alkylation of 1.
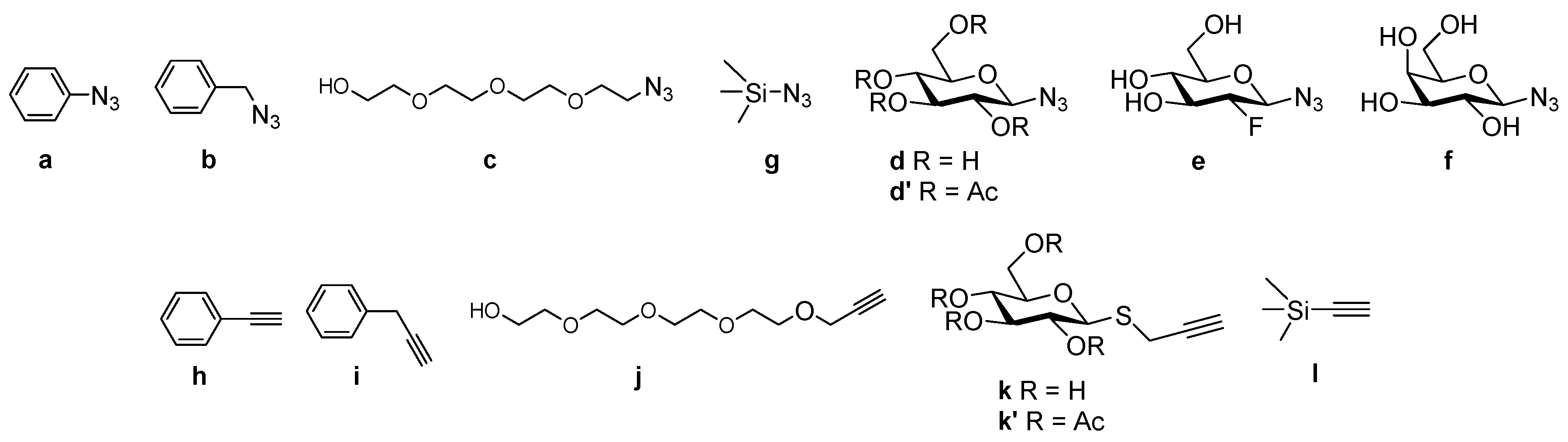
Compound 1 is a weak acid, the measured pKa of the cyclic sulfonamide NH hydrogen is 1.3 [7], and the anion of 1 readily forms complexes with metal(II) cations [8]. Klebe and Supuran first demonstrated that the metal binding characteristics of 1 could be utilised to target metalloenzyme inhibition, specifically the zinc metalloenzyme carbonic anhydrase (CA) [9]. We further elaborated this finding through the design and synthesis of a small library of compounds based on 1 that retain the cyclic sulfonamide core (allowing for zinc binding) with the addition of a ‘tail’ group to the benzene ring of 1 [10]. The ‘tail’ approach to develop CA inhibitors is well established, with the physicochemical properties of the ‘tail’ group as a key driver to CA inhibitor isozyme selectivity across the CA family, of which there are 12 catalytically active isozymes in humans [11]. Cu(I)-catalyzed azide alkyne cycloaddition (CuAAC or click chemistry) is the reaction between an azide (R-N3) and an alkyne (R-C≡CH) to form a 1,2,3-triazole [12]. We demonstrated that CuAAC is a robust and versatile approach to link a selected tail group to a CA zinc binding pharmacophore [13,14,15,16,17,18]. To achieve the synthesis of compounds derivatised on the benzene ring of 1 via CuAAC, we prepared two novel azides, 6-azidosaccharin 2 and t-butyl protected 6-azidosaccharin 3 (Figure 1) [10]. One compound from this initial study, the 1,2,3-triazole glycoconjugate 4, exhibited remarkable selectivity for CA IX, a CA isozyme that underpins the survival of hypoxic tumour cells (Figure 1) [10]. In the protein X-ray crystal structure of 4 in complex with a CA IX mimic protein, as anticipated, 4 was found coordinated to the active site zinc via the cyclic sulfonamide anion, while the tail moiety of 4 contributed to further interactions with the outer rim of the CA IX-mimic active site residues [19]. Here we report further development of the derivatisation of the benzene ring of scaffold 1. Specifically, we have substantially expanded the scope of CuAAC with the design and synthesis of the novel alkyne 5 and bis-alkyne 6, complementary building blocks to the t-butyl protected 6-azidosaccharin 3 (Figure 1). The building blocks 3, 5, and 6 enable access to triazoles with a reversed arrangement of substituents, i.e., with the saccharin fragment as either the 4-substituent or the 1-substituent of the 1,2,3-triazole formed by CuAAC. This is important as the 1,4-disubstituted 1,2,3-triazole is a bioisostere of a Z-amide bond, hence the positioning of the H-bond donor and H-bond acceptor is also reversed with the use of complementary saccharin building blocks [20]. Derivatisation of 5 with a diverse panel of azides (ag), derivatization of 6 with glycosyl azide (d), and the further derivatization of 3 with alkyne partners (hl) is described. Partner azides (ag) and alkynes (hl) were selected to encompass variable physicochemical properties (Figure 2). All compounds retain the sulfonamide and lactam moieties of 1.

2. Results and Discussion

In our previous study using 6-azidosaccharins, we established that it was preferable to undertake CuAAC reactions with N-t-butyl protected 6-azidosaccharin 3, followed by removal of the t-butyl protecting group, over the more direct synthetic approach of using 6-azidosaccharin 2 [10]. Specifically, the ease of synthesis and isolated yield substantially improved when using 3 owing to the simplified reaction workup and product purification. We attributed these advantages to the blockade of metal complex formation between 3 and Cu2+ (from the CuSO4 used for CuAAC) by the N-t-butyl protecting group. Building on this experience we selected N-t-butyl-6-ethynyl-1,2-benzisothiazole-3-one-1,1-dioxide (N-t-butyl-protected 6-ethynylsaccharin 5) as the target building block for CuAAC in the present study (Figure 1). Additionally, N-t-butyl-6-N,N-bis(prop-2-yn-1-yl)amino-1,2-benzisothiazole-3-one-1,1-dioxide 6 was selected as the bis-alkyne rather than the unprotected form without the t-butyl protecting group (Figure 1).
The synthetic route to alkynes 5 and 6 and the earlier reported azide 3 have a common precursor, N-t-butyl-6-aminosaccharin 7 [10] (Scheme 1). Iodination of 7 with sodium nitrite and potassium iodide was achieved following a literature procedure used for iodination of similar aromatic and heterocyclic compounds to give the N-protected 6-iodosaccharin 8 in an 83% yield [21]. The Sonogashira cross-coupling reaction between 8 and ethynyltrimethylsilane l generated the trimethylsilyl protected alkyne 9 in high yield. Removal of the trimethylsilyl group of 9 under standard conditions of K2CO3 in methanol proceeded, however these conditions additionally caused ring opening at the C-N bond of the heterocycle. The successful removal of this silyl group was instead achieved using mild acidic reaction conditions (tetrabutylammonium fluoride (TBAF)/1% AcOH in tetrahydrofuran (THF)) to afford the target alkyne 5 in an almost quantitative yield. Next, to install the two terminal alkyne groups of 6, the amino saccharin compound 7 [10] was treated with propargyl bromide (2.2 equivalents (equiv)) in the presence of Cs2CO3.
The target triazole derivatives of compound 1 for this study are shown in Figure 3. Compounds derived from alkyne 5 and azides ag include the phenyl derivative 10, benzyl derivative 11, tetraethylene glycol (PEG) derivative 12, sugar derivatives 1315, and unsubstituted triazole derivative 16 (Figure 3A). The ‘sugar coated’ bis-triazole saccharin derivative 17 (generated from 6 and azide d/d′) comprises two glucose moieties (Figure 3B). The novel target triazoles derived from azide 8 and alkynes hl include the benzyl derivative 19, PEG derivative 20, sugar derivatives 21 and 22, and unsubstituted triazole 16 (Figure 3C). We have previously reported the phenyl derivative 18 [10].
The reaction of 5 with azidobenzene a [22], benzylazide b [23], and PEG azide c [24] was carried out under typical CuAAC conditions (0.2 equiv of CuSO4∙5H2O and 0.4 equiv of sodium ascorbate, t-BuOH:water 1:1, 45 °C) to generate triazoles 2426, respectively, in 74%–97% yield (Scheme 2). Subsequent removal of the N-t-butyl group of 2426 was achieved following reflux in trifluoracetic acid (TFA) for 18 h to furnish the target derivatives of 1, triazoles 1012, respectively, in high yield (85%–99%). The reaction of alkyne 5 and 2,3,4,6-tetra-O-acetyl-β-d-glucopyranosyl azide d′ [25] at 50 °C produced triazole 27 in high yield (90%). As we had concerns that the harsh basic conditions promote opening of the saccharin heterocyclic ring, the acetyl groups of 27 were hydrolysed using HCl in MeOH instead of the more usual Zemplén conditions of methoxide in MeOH [26], to afford 28 in a 94% yield, however a lengthy reaction time of 90 h was required (Scheme 2). The N-t-butyl group of 28 was removed with refluxing in TFA for 18 h to yield the target glycoconjugate 13 in high yield. The bis-triazole saccharin glycoconjugate 33 was prepared from bis-alkyne 6 and per-O-acetylated glucosyl azide d′ [25] in high yield (87%) (Scheme 3). Deacetylation of 33 under acidic conditions (HCl in MeOH, 90 h) gave the free sugar 34, and cleavage of the N-t-butyl group of 34 with TFA furnished the target bis-triazole saccharin glycoconjugate compound 17 (Scheme 3). As the acidic conditions to remove the acetyl groups of 27 and 33 required a prolonged reaction time (90 h), this prompted us to investigate an alternate route to synthesise the glycoconjugates 14 and 15. This route employed free glycosyl azides e and f, instead of the corresponding per-O-acetylated glycosyl azides, to eliminate the need for deprotection of the sugar hydroxyl groups following CuAAC, thus removing the dependence on this synthetic bottleneck [25,27,28,29]. The reaction of alkyne 5 and free glycosyl azides e and f [25,27,28,29] via CuAAC proceeded smoothly to form intermediates 29 and 30 (Scheme 2). Subsequent removal of the N-t-butyl protecting groups of these intermediates by overnight refluxing in TFA afforded target glycoconjugates 14 and 15, respectively. Next, CuAAC of azidotrimethylsilane (TMSN3) g with alkyne 5 gave the monosubstituted triazole 31 as an inseparable mixture of thermodynamically stable tautomers [30]. Cleavage of the N-t-butyl group of 31 using TFA furnished a mixture of 32a and 32b, where 1H nuclear magnetic resonance (NMR) and high resolution mass spectrometry (HRMS) analysis confirmed triazole N-alkylation, with the t-butyl group on either the N-1 (32a) or N-2 (32b) of the triazole ring. Although the reaction of 5 with azidotrimethylsilane g did not yield the intended target triazole 16, both 32a and 32b are novel compounds that retain the cyclic sulfonamide functional group of 1.
The target compounds prepared from the reaction of azidosaccharin 3 [10] with alkynes hl have similar physicochemical diversity to azides ag reacted with the ethynylsaccharin 5 (Figure 3). We have previously reported the synthesis of the phenyl derivative 18 while all other compounds are novel [10]. Reaction of azide 3 with 3-phenyl-1-propyne (benzyl alkyne) i and PEG alkyne j [31] under standard CuAAC conditions gave triazoles 35 and 36, respectively (Scheme 4). Acid mediated cleavage of the t-butyl protecting group in refluxing TFA furnished the target saccharin compounds 19 and 20, respectively. CuAAC of ethynyltrimethylsilane (TMSC≡CH) l and azide 3 [10] gave 37, a 1-substituted 1,2,3-triazole. Consistent with the outcome of deprotection of the related 1-substituted triazole 31, treatment of 37 with TFA removed the N-t-butyl group from the sulfonamide nitrogen, but furnished the alternate N-alkylation product 38, where the t-butyl group is on N-3 of the 1,2,3-triazole instead of the desired target compound 16 (Scheme 4). 1H-NMR and HRMS confirmed the formation of 38. Finally, the reaction of saccharin azide 3 and propargyl 2,3,4,6-tetra-O-acetyl-thio-β-d-glucopyranoside k′ [14] using CuAAC gave glycoconjugate 39 in high yield. Acidic cleavage of the acetyl groups of 39 (HCl in MeOH, 90 h) gave the free sugar derivative 40. Given the long 90 h reaction time, triazole 40 was also prepared directly from 3 utilising propargyl thio-β-d-glucopyranoside k [32], as described for 14 and 15. Oxidation of 39 and 40 with m-chloroperbenzoic acid (mCPBA) gave sulfones 41 and 42 in high yields, respectively. Compound 42 was also prepared by the deacetylation of 41 under acidic conditions, and this demonstrated the versatility of protecting group manipulation in the presence of the saccharin core scaffold. The N-t-butyl protecting group of 40 and 42 was removed by refluxing in TFA for 18 h to afford 21 and 22, respectively (Scheme 4).

3. Materials and Methods

3.1. General Chemistry

All starting materials and reagents were purchased from commercial suppliers. All solvents were available commercially dried or dried prior to use. Reaction progress was monitored by thin layer chromatography (TLC) using silica gel-60 F254 plates (Merck Millipore, Darmstadt, Germany) with detection by short wave ultraviolet (UV) fluorescence (λ = 254 nm) and staining with 5% w/v dodecamolybdophosphoric acid in ethanol or vanillin staining (5 g of vanillin in a mixture of EtOH:H2O:H2SO4 = 85:10:2.75) with subsequent heating. Silica gel flash chromatography was performed using silica gel 60 Å (230–400 mesh) (Merck Millipore, Darmstadt, Germany). NMR (1H, 13C, 19F, gradient correlation spectroscopy (gCOSY), and heteronuclear single quantum coherence (HSQC) spectra were recorded on either a 400 or 500 MHz spectrometer at 30 °C. 1H-NMR spectra were obtained at 500 MHz and were referenced to the residual solvent peak (CDCl3 δ 7.26 ppm, dimethylsulfoxide (DMSO)-d6 δ 2.50 ppm). 13C-NMR spectra were recorded at 125 MHz and were referenced to the internal solvent (CDCl3 δ 77.0 ppm, DMSO-d6 δ 39.5 ppm). 19F-NMR spectra were recorded at 376 MHz. Multiplicity is indicated as follows: s (singlet); d (doublet); t (triplet); m (multiplet); dd (doublet of doublet); ddd (doublet of doublet of doublet); b (broad). Coupling constants are reported in hertz (Hz). Melting points are uncorrected. Low and high resolution mass spectra (MS) were recorded using electrospray ionization (ESI) in positive ion and/or negative ion modes as stated. All MS analysis samples were prepared as solutions in methanol. The purity of all compounds was ≥95% as determined by HPLC with UV. 1H-, 13C-, and 19F-NMR spectra of all novel compounds are provided in the supporting information.
N-t-Butyl-6-amino-1,2-benzisothiazole-3-one-1,1-dioxide 7, N-t-butyl-6-azido-1,2-benzisothiazole-3-one-1,1-dioxide 3, and phenyl derivative 18 were synthesised using methods we have previously reported [10]. Azide and alkyne building blocks that were not commercially available were prepared in accordance with the literature, including: azidobenzene a [22], benzylazide b [23], PEG azide c [24], 2,3,4,6-tetra-O-acetyl-β-d-glucopyranosyl azide d′ [25], 2-deoxy-2-fluoro-β-d-glucopyranosyl azide e [28], 2-deoxy-2-fluoro-β-d-glycopyranosyl azide f [28], propargyl 2,3,4,6-tetra-O-acetyl-thio-β-d-glucopyranoside k′ [14], propargyl thio-β-d-glucopyranoside k [32], and PEG alkyne j [31].

3.2. General Procedure 1—CuAAC

A mixture of azide (1.0 equiv) and alkyne (1.0 equiv) was prepared in t-butyl alcohol/H2O (1:1, 6–10 mL). To the mixture was added a solution of sodium ascorbate (0.4 equiv) in water (0.25 mL) followed by a solution of CuSO4.5H2O (0.2 equiv) in water (0.25 mL). The resulting suspension was stirred vigorously at the temperature and time indicated below. The solvent was removed in vacuo and the residue was purified by column chromatography on silica gel using the eluent conditions described below.

3.3. N-t-Butyl-6-ethynyl-1,2-benzisothiazole-3-one-1,1-dioxide (5)

TBAF (1.0 M in THF, 0.328 mL, 0.328 mmol) was added to a solution of N-t-butyl-6-trimethylsilylethynyl-1,2-benzisothiazole-3-one-1,1-dioxide (9) (0.100 g, 0.298 mmol) and acetic acid (0.051 mL, 0.894 mmol) in THF (5 mL). The reaction mixture was stirred for 5 min, then quenched by the addition of water (20 mL) and extracted into EtOAc (3 × 30 mL). The combined organic fractions were washed with brine (30 mL), dried with MgSO4, filtered, and the solvent was removed in vacuo. The residue was purified by column chromatography on silica gel (EtOAc/hexane = 1:9) to give the title compound 5 (0.076 g, 97%) as a pale yellow solid. m.p. 162–164 °C (EtOAc/hexane); 1H-NMR (500 MHz, CDCl3) δ 1.76 (s, 9H, tBu), 3.40 (s, 1H, CHalkyne), 7.83 (dd, J = 1.3, 7.9 Hz, 1H, Ar-H), 7.90 (dd, J = 0.7, 1.4 Hz, 1H, Ar-H), 7.93 (dd, J = 0.7, 7.9 Hz, 1H, Ar-H); 13C-NMR (125 MHz, CDCl3) δ 27.9 (C(CH3)3), 61.6 (C(CH3)3), 80.9 (PhCCH), 83.1 (PhCCH), 123.6 (Ar-CH), 124.6 (Ar-CH), 126.8 (Ar-C), 129.1 (Ar-C), 137.5 (Ar-CH), 138.2 (Ar-C), 159.4 (C=O); HRMS-ESI [M + Na]+ Calcd. for C13H13NNaO3S: 286.0508. Found: 286.0529.

3.4. N-t-Butyl-6-N,N-bis(prop-2-yn-1-yl)amino-1,2-benzisothiazole-3-one-1,1-dioxide (6)

To a solution of N-t-butyl-6-amino-1,2-benzisothiazole-3-one-1,1-dioxide 7 [10] (0.100 g, 0.393 mmol) in DMF (5 mL) was added cesium carbonate (0.256 g, 0.786 mmol) and the solution was cooled to 0 °C. Propargyl bromide 80% solution in toluene (0.096 mL, 0.865 mmol) was added dropwise and the solution was left to stir for 48 h. The solvent was removed in vacuo. The residue was dissolved into EtOAc (50 mL) and washed with water (3 × 40 mL). The combined organic fractions were washed with brine (50 mL), dried (MgSO4), and the solvent was removed in vacuo. The residue was purified by column chromatography on silica gel (EtOAc/hexane = 1:9 to 1:2) to give the title compound 6 (0.098 g, 75%) as a white solid. m.p. 178–180 °C (EtOAc/hexane); 1H-NMR (500 MHz, (CD3)2SO) δ 1.37 (s, 9H, tBu), 3.27 (t, J = 2.3 Hz, 2H, CH2CCH), 4.43 (d, J = 2.5 Hz, 4H, NCH2), 7.29 (dd, J = 2.4, 8.8 Hz, 1H, Ar-H), 7.42 (d, J = 2.3 Hz, 1H, Ar-H), 7.85 (d, J = 8.7 Hz, 1H, Ar-H); 13C-NMR (125 MHz, (CD3)2SO) δ 27.5 (C(CH3)3), 40.3 (NCH2), 59.8 (C(CH3)3), 75.6 (CH2CCH), 78.7 (CH2CCH), 103.7 (Ar-CH), 114.2 (Ar-C), 118.6, 125.5 (Ar-CH), 139.4, 151.9 (Ar-C), 159.8 (C=O); HRMS-ESI [M + Na]+ Calcd. for C17H18N2NaO3S: 353.0930. Found: 353.0944.

3.5. N-t-Butyl-6-iodo-1,2-benzisothiazole-3-one-1,1-dioxide (8)

To a solution of p-toluenesulfonic acid, pTsOH·H2O (4.49 g, 23.6 mmol) in CH3CN (20 mL) was added N-t-butyl-6-amino-1,2-benzisothiazole-3-one-1,1-dioxide (7) [10] (2.00 g, 7.86 mmol). The resulting suspension of amine salt was cooled to 10–15 °C and to this was added, dropwise, a solution of NaNO2 (1.09 g, 15.7 mmol) and KI (3.26 g 19.7 mmol) in H2O (5 mL). The reaction mixture was stirred for 10 min, then warmed to r.t. and stirred for 1 h. To the reaction mixture was added H2O (10 mL), NaHCO3 (1.0 M; until pH = 9–10) and Na2S2O3 (2.0 M, 5 mL). The solution was extracted with EtOAc (3 × 50 mL) and the combined organic extracts were washed with brine (100 mL), dried (MgSO4), and the solvent was removed in vacuo. The residue was purified by column chromatography on silica gel (EtOAc/hexane = 1:2) to give the title compound 8 (2.39 g, 83%) as a light brown solid. m.p. 166–168 °C (EtOAc/hexane); 1H-NMR (500 MHz, CDCl3) δ 1.75 (s, 9H, tBu), 7.69 (dd, J = 0.6, 8.0 Hz, 1H, Ar-H), 8.11 (dd, J = 1.4, 8.0 Hz, 1H, Ar-H), 8.16 (dd, J = 0.5, 1.4 Hz, 1H, Ar-H); 13C-NMR (125 MHz, CDCl3) δ 27.8 (C(CH3)3), 61.6 (C(CH3)3), 101.1 (Ar-C), 125.8 (Ar-CH), 126.8 (Ar-C), 129.0 (Ar-CH), 139.0 (Ar-C), 143.3 (Ar-CH), 159.6 (C=O); HRMS-ESI [M + Na]+ Calcd. for C11H12INNaO3S: 387.9475. Found: 387.951.

3.6. N-t-Butyl-6-trimethylsilylethynyl-1,2-benzisothiazole-3-one-1,1-dioxide (9)

N-t-Butyl-6-iodo-1,2-benzisothiazole-3-one-1,1-dioxide (8) (1.00 g, 2.74 mmol), Pd(PPh3)Cl2 (0.077 g, 0.110 mmol) and CuI (0.026 g, 0.137 mmol) were dried together under high vacuum and then flushed with argon. Triethylamine (20 mL) was added and the reaction mixture was stirred and heated to 40 °C. To this was added ethynyltrimethylsilane l (0.468 mL, 3.29 mmol) and the solution was stirred for 2 h. The reaction mixture was filtered through a pad of Celite and washed with EtOAc (100 mL). The residue was purified by column chromatography on silica gel (EtOAc/hexane = 1:19 to 1:9) to give the title compound 9 (0.871 g, 95%) as a light brown solid. m.p. 114–115 °C (EtOAc/hexane); 1H-NMR (500 MHz, CDCl3) δ 0.27 (s, 9H, Si(CH3)3), 1.76 (s, 9H, tBu), 7.78 (dd, J = 1.3, 7.9 Hz, 1H, Ar-H), 7.87 (dd, J = 0.7, 1.3 Hz, 1H, Ar-H), 7.90 (dd, J = 0.7, 7.9 Hz, 1H, Ar-H); 13C-NMR (125 MHz, CDCl3) δ −0.3 (Si(CH3)3), 27.9 (C(CH3)3), 61.5 (C(CH3)3), 101.7 (Si(CH3)3C), 101.8 (Si(CH3)3CC), 123.4 (Ar-CH), 124.5 (Ar-CH), 126.3 (Ar-C), 130.2 (Ar-C), 137.2 (Ar-CH), 138.1 (Ar-C), 159.6 (C=O); HRMS-ESI [M + Na]+ Calcd. for C16H21NNaO3SSi: 358.0904. Found: 358.0899.

3.7. 6-(1-Phenyl-1H-1,2,3-triazol-4-yl)-1,2-benzisothiazole-3-one-1,1-dioxide (10)

N-t-Butyl protected 24 (0.090 g, 0.235 mmol) was refluxed in TFA (3 mL) for 18 h. The solvent was removed in vacuo. EtOAc was added to the residue and the solid was collected by filtration to give the title compound 10 (0.065 g, 85%) as a white solid. m.p. greater than 300 °C (EtOAc); 1H-NMR (500 MHz, (CD3)2SO) δ 7.55 (t, J = 7.4 Hz, 1H, Ar-H), 7.66 (t, J = 7.9 Hz, 2H, Ar-H), 7.94 (d, J = 7.6 Hz, 2H, Ar-H), 8.13 (d, J = 8.0 Hz, 1H, Ar-H), 8.50 (dd, J = 1.4, 8.0 Hz, 1H, Ar-H), 8.60 (d, J = 1.4 Hz, 1H, Ar-H), 9.64 (s, 1H, CHtriazole); 13C-NMR (125 MHz, (CD3)2SO) δ 117.2, 120.1 (Ar-CH), 122.2 (CHtriazole), 125.8 (Ar-CH), 126.8 (Ar-C), 129.1, 130.1, 130.5 (Ar-CH), 136.3, 137.0, 140.7 (Ar-C), 145.0 (Ctriazole), 160.7 (C=O); HRMS-ESI [M − H] Calcd. for C15H9N4O3S: 325.0389. Found: 325.0378.

3.8. 6-(1-Benzyl-1H-1,2,3-triazol-4-yl)-1,2-benzisothiazole-3-one-1,1-dioxide (11)

N-t-Butyl protected 25 (0.080 g, 0.202 mmol) was refluxed in TFA (3 mL) for 18 h. The solvent was removed in vacuo and the residue was purified by column chromatography on silica gel (MeOH/CH2Cl2 = 1:4) and gave the title compound 11 (0.068 g, 99%) as a white solid. m.p. 247–249 °C (MeOH/CH2Cl2); 1H-NMR (500 MHz, (CD3)2SO) δ 5.67 (s, 2H, CH2), 7.33–7.43 (m, 5H, Ar-H), 7.66 (d, J = 8.2 Hz, 1H, Ar-H), 8.09–8.12 (m, 2H, Ar-H), 8.87 (s, 1H, CHtriazole); 13C-NMR (125 MHz, (CD3)2SO) δ 53.2 (CH2), 115.7, (Ar-CH), 122.9 (CHtriazole), 123.3, 128.0, 128.2, 128.8 (Ar-CH), 133.5, 133.6, 135.7, 145.5 (Ar-C), 146.0 (Ctriazole), 167.1 (C=O); HRMS-ESI [M − H] Calcd. for C16H11N4O3S: 339.0546. Found: 339.0534.

3.9. 6-(1-[2-[2-[2-(2-Hydroxyethoxy)ethoxy]ethoxy]ethyl]-1H-1,2,3-triazol-4-yl)-1,2-benzisothiazole-3-one-1,1-dioxide (12)

N-t-Butyl protected 26 (0.087 g, 0.180 mmol) was refluxed in TFA (3 mL) for 18 h. The solvent was removed in vacuo and the residue purified by reverse phase (RP-18) column chromatography (MeOH/H2O = 0:1 to 1:9, product eluting at 1:9) to give the title compound 12 (0.074 g, 96%) as a colourless oil which solidified to a white gum upon standing. 1H-NMR (500 MHz, (CD3)2SO) δ 3.34–3.37 (m, 2H, CH2), 3.42–3.52 (m, 10H, CH2), 3.54–3.57 (m, 2H, CH2), 3.88 (dd, J = 4.6, 5.6 Hz, 2H, CH2), 4.61 (t, J = 5.1 Hz, 1H, OH), 7.94 (d, J = 7.9 Hz, 1H, Ar-H), 8.32 (dd, J = 1.4, 7.9 Hz, 1H, Ar-H), 8.40 (d, J = 1.4 Hz, 1H, Ar-H), 8.86 (s, 1H, CHtriazole); 13C-NMR (125 MHz, (CD3)2SO) δ 49.9, 60.2, 68.5, 69.60, 69.64, 69.7, 69.8, 72.3 (CH2), 116.7, (Ar-CH), 124.0 (CHtriazole), 125.2 (Ar-CH), 128.0 (Ar-C), 129.9 (Ar-CH), 136.7, 141.9 (Ar-C), 144.2 (Ctriazole), 162.2 (C=O); HRMS-ESI [M + Na]+ Calcd. for C17H22N4NaO7S: 425.1136. Found: 425.1132.

3.10. 6-(1-β-d-Glucopyranosyl-1H-1,2,3-triazol-4-yl)-1,2-benzisothiazole-3-one-1,1-dioxide (13)

N-t-Butyl protected 28 (0.060 g, 0.128 mmol) was refluxed in TFA (1.5 mL) for 18 h. The solvent was removed in vacuo and the residue was purified by RP-18 column chromatography (MeOH/H2O = 0:1 to 1:9, product eluting at 1:19) to give the title compound 13 (0.050 g, 94%) as a white solid. m.p. 227–229 °C (MeOH/H2O); 1H-NMR (500 MHz, (CD3)2SO) δ 3.26 (t, J = 9.2 Hz, 1H, H-4), 3.42–3.49 (m, 2H, H-3, H-6), 3.50–3.55 (m, 1H, H-5), 3.71–3.78 (m, 2H, H-2, H-6), 5.64 (d, J = 9.2 Hz, 1H, H-1), 8.08 (d, J = 8.0 Hz, 1H, Ar-H), 8.45 (dd, J = 1.4, 8.0 Hz, 1H, Ar-H), 8.57 (d, J = 1.3 Hz, 1H, Ar-H), 9.23 (s, 1H, CHtriazole); 13C-NMR (125 MHz, (CD3)2SO) δ 60.7 (C-6), 69.6 (C-4), 72.5 (C-2), 76.6 (C-3), 80.0 (C-5), 87.8 (C-1), 117.0, (Ar-CH), 123.0 (CHtriazole), 125.7 (Ar-CH), 126.9 (Ar-C), 130.3 (Ar-CH), 137.2, 140.9 (Ar-C), 144.2 (Ctriazole), 161.0 (C=O); HRMS-ESI [M − H] Calcd. for C15H15N4O8S: 411.0616. Found: 411.0601.

3.11. 6-(1-[2-Deoxy-2-fluoro-β-d-glucopyranosyl]-1H-1,2,3-triazol-4-yl)-1,2-benzisothiazole-3-one-1,1-dioxide (14)

N-t-Butyl protected 29 (0.080 g, 0.170 mmol) was refluxed in TFA (1.5 mL) for 18 h. The solvent was removed in vacuo and the residue purified by RP-18 column chromatography (MeOH/H2O = 0:1 to 1:9, product eluting at 1:9) to give the title compound 14 (0.057 g, 81%) as a white solid. m.p. 274–276 °C (MeOH/H2O); 1H-NMR (500 MHz, (CD3)2SO) δ 3.35 (dd, J = 8.9, 9.8 Hz, 1H, H-4), 3.49 (dd, J = 5.7, 12.2 Hz, 1H, H-6), 3.67 (ddd, J = 2.0, 5.8, 9.9 Hz, 1H, H-5), 3.73 (dd, J = 2.0, 12.3 Hz, 1H, H-6), 3.82 (dt, J = 8.9, 15.6 Hz, 1H, H-3), 4.80 (dt, J = 9.0, 51.0 Hz, 1H, H-2), 6.20 (dd, J = 2.4, 9.1 Hz, 1H, H-1), 8.09 (d, J = 8.1 Hz, 1H, Ar-H), 8.43 (dd, J = 1.4, 8.1 Hz, 1H, Ar-H), 8.55 (d, J = 1.4 Hz, 1H, Ar-H), 9.35 (s, 1H, CHtriazole); 13C-NMR (125 MHz, (CD3)2SO) δ 60.3 (C-6), 69.3 (d, J = 8.0 Hz, C-4), 74.1 (d, J = 15.9 Hz, C-3), 79.9 (C-5), 84.2 (d, J = 24.2 Hz, C-1), 91.2 (d, J = 186.8 Hz, C-2), 117.2 (Ar-H), 123.1 (CHtriazole), 125.7 (Ar-CH), 127.1 (Ar-C), 130.1 (Ar-CH), 136.7, 140.1 (Ar-C), 144.7 (Ctriazole), 160 (C=O); 19F-NMR (376 MHz, (CD3)2SO) δ -193.6 (ddd, J = 2.4, 15.6, 51.1 Hz); HRMS-ESI [M − H] Calcd. for C15H14FN4O7S: 413.0573. Found: 413.0563.

3.12. 6-(1-β-d-Galactopyranosyl-1H-1,2,3-triazol-4-yl)-1,2-benzisothiazole-3-one-1,1-dioxide (15)

N-t-Butyl protected 30 (0.080 g, 0.171 mmol) was refluxed in TFA (1.5 mL) for 18 h. The solvent was removed in vacuo and the residue was purified by RP-18 column chromatography (MeOH/H2O = 0:1 to 1:19, product eluting at 1:32) to give the title compound 15 (0.024 g, 34%) as a white solid. m.p. 232–235 °C (MeOH/H2O); 1H-NMR (500 MHz, (CD3)2SO) δ 3.50–3.58 (m, 2H, 6-CH2), 3.60 (dd, J = 3.1, 9.4 Hz, 1H, H-3), 3.76–3.82 (m, 2H, H-4, H-5), 4.09 (t, J = 9.2 Hz, 1H, H-2), 5.57 (d, J = 9.1 Hz, 1H, H-1), 7.95 (d, J = 8.0 Hz, 1H, Ar-H), 8.30 (dd, J = 1.5, 7.9 Hz, 1H, Ar-H), 8.49 (d, J = 1.4 Hz, 1H, Ar-H), 9.16 (s, 1H, CHtriazole); 13C-NMR (125 MHz, (CD3)2SO) δ 60.5 (C-6), 68.4 (C-4), 69.4 (C-2), 73.5 (C-3), 78.5 (C-5), 88.4 (C-1), 116.7 (Ar-CH), 122.5 (CHtriazole), 124.9 (Ar-CH), 128.9 (Ar-C), 129.7 (Ar-CH), 136.1, 142.5 (Ar-C), 144.6 (Ctriazole), 162.9 (C=O); HRMS-ESI [M − H] Calcd. for C15H15N4O8S: 411.0616. Found: 411.0608.

3.13. 6-N,N-Bis([1-β-d-glucopyranosyl-1H-1,2,3-triazol-4-yl]methyl)amino-1,2-benzisothiazole-3-one-1,1-dioxide (17)

N-t-Butyl protected 34 (0.070 g, 0.095 mmol) was refluxed in TFA (2.0 mL) for 18 h. The solvent was removed in vacuo and the residue was purified by RP-18 column chromatography (MeOH/H2O = 0:1 to 1:9, product eluting at 1:9) to give the title compound 17 (0.057 g, 84%) as a white solid. m.p. 184–186 °C (MeOH/H2O); 1H-NMR (500 MHz, (CD3)2SO) δ 3.22 (t, J = 9.0 Hz, 2H, H-4), 3.38 (t, J = 8.9 Hz, 2H, H-3), 3.41–3.47 (m, 4H, H-5, H-6), 3.66–3.71 (m, 2H, H-6), 3.75 (t, J = 9.1 Hz, 2H, H-2), 4.48–4.72 (m, 2H, OH), 4.80–4.89 (m, 4H, NCH2), 5.03–5.46 (m, 6H, OH), 5.53 (d, J = 9.3 Hz, 2H, H-1), 7.30 (dd, J = 2.4, 8.9 Hz, 1H, Ar-H), 7.54 (d, J = 2.3 Hz, 1H, Ar-H), 7.68 (d, J = 8.8 Hz, 1H, Ar-H), 8.38 (s, 2H, CHtriazole); 13C-NMR (125 MHz, (CD3)2SO) δ 45.2 (NCH2), 60.7 (C-6), 69.6 (C-4), 72.1 (C-2), 76.9 (C-3), 80.0 (C-5), 87.5 (C-1), 102.8, (Ar-CH), 114.6 (Ar-C), 116.6 (Ar-C), 122.6 (CHtriazole), 125.7 (Ar-CH), 142.4 (Ar-C), 142.8 (Ctriazole), 152.8 (Ar-C), 161.4 (C=O); HRMS-ESI [M + Na]+ Calcd. for C25H32N8NaO13S: 707.1702. Found: 707.1756.

3.14. 6-(4-Benzyl-1H-1,2,3-triazol-1-yl)-1,2-benzisothiazole-3-one-1,1-dioxide (19)

N-t-Butyl protected 35 (0.080 g, 0.202 mmol) was refluxed in TFA (3 mL) for 18 h. The solvent was removed in vacuo and the residue was purified by column chromatography on silica gel (MeOH/CH2Cl2 = 1:9 to 1:4) to give the title compound 19 (0.044 g, 64%) as a light brown solid. m.p. 177–179 °C (MeOH/CH2Cl2); 1H-NMR (500 MHz, (CD3)2SO) δ 4.12 (s, 2H, CH2), 7.21–7.26 (m, 1H, Ar-H), 7.31–7.34 (m, 4H, Ar-H), 8.10 (d, J = 8.3 Hz, 1H, Ar-H), 8.43 (dd, J = 1.9, 8.4 Hz, 1H, Ar-H), 8.65 (d, J = 1.9 Hz, 1H, Ar-H), 8.86 (s, 1H, CHtriazole); 13C-NMR (125 MHz, (CD3)2SO) δ 31.2 (CH2) 111.9, (Ar-CH), 121.5 (CHtriazole), 124.8, 126.3, 126.4 (Ar-CH), 128.0 (Ar-C), 128.5, 128.6 (Ar-CH), 138.8, 140.8, 142.3 (Ar-C), 147.8 (Ctriazole), 161.4 (C=O); HRMS-ESI [M − H] Calcd. for C16H11N4O3S: 339.0546. Found: 339.0532.

3.15. 6-[4-(13-Hydroxy-2,5,8,11-tetraoxatridec-1-yl)-1H-1,2,3-triazol-1-yl]-1,2-benzisothiazole-3-one-1,1-dioxide (20)

N-t-Butyl protected 36 (0.080 g, 0.156 mmol) was refluxed in TFA (3 mL) for 18 h. The solvent was removed in vacuo and the residue was purified by RP-18 column chromatography (MeOH/H2O = 0:1 to 1:9, product eluting at 1:9) to give the title compound 20 (0.052 g, 73%) as a colourless oil. 1H-NMR (500 MHz, (CD3)2SO) δ 3.38–3.41 (m, 2H, CH2), 3.45–3.53 (m, 10H, CH2), 3.55–3.58 (m, 2H, CH2), 3.61–3.64 (m, 2H, CH2), 4.58 (t, J = 5.5 Hz, 1H, OH), 4.63 (s, 2H, CH2), 7.78 (d, J = 8.1 Hz, 1H, Ar-H), 8.18 (dd, J = 1.9, 8.1 Hz, 1H, Ar-H), 8.23 (d, J = 1.9 Hz, 1H, Ar-H), 8.98 (s, 1H, CHtriazole); 13C-NMR (125 MHz, (CD3)2SO) δ 60.2, 63.3, 69.1, 69.7, 69.74, 69.79, 69.8, 72.3 (CH2), 110.8, (Ar-CH), 122.7 (CHtriazole), 123.3, 124.2 (Ar-CH), 134.3, 138.5, 145.4 (Ar-C), 147.1 (Ctriazole), 166.7 (C=O); HRMS-ESI [M + Na]+ Calcd. for C18H24N4NaO8S: 479.1207. Found: 479.1202.

3.16. 6-(4-{[β-d-Glucopyranosyl]thiomethyl}-1H-1,2,3-triazol-1-yl)-1,2-benzisothiazole-3-one-1,1-dioxide (21)

N-t-Butyl protected 40 (0.100 g, 0.194 mmol) was refluxed in TFA (1.5 mL) for 18 h. The solvent was removed in vacuo and the residue was purified by RP-18 column chromatography (MeOH/H2O = 0:1 to 1:9, product eluting at 1:9) to give the title compound 21 (0.057 g, 64%) as a white solid. m.p. 176–178 °C (MeOH/H2O); 1H-NMR (500 MHz, (CD3)2SO) δ 3.03–3.10 (m, 2H, H-2, H-4), 3.16 (t, J = 8.6 Hz, 1H, H-3), 3.20 (ddd, J = 2.0, 6.4, 9.8 Hz, 1H, H-5), 3.46 (dd, J = 6.4, 11.9 Hz, 1H, H-6), 3.73 (dd, J = 2.0, 11.9 Hz, 1H, H-6), 3.95 (d, J = 14.4 Hz, 1H, SCH2), 4.09 (d, J = 14.4 Hz, 1H, SCH2), 4.34 (d, J = 9.6 Hz, 1H, H-1), 7.99 (d, J = 8.3 Hz, 1H, Ar-H), 8.31 (dd, J = 1.9, 8.3 Hz, 1H, Ar-H), 8.47 (d, J = 1.8 Hz, 1H, Ar-H), 8.92 (s, 1H, CHtriazole); 13C-NMR (125 MHz, (CD3)2SO) δ 22.9 (SCH2), 61.3 (C-6), 70.1 (C-4), 73.2 (C-2), 78.1 (C-3), 81.0 (C-5), 84.0 (C-1), 111.5, (Ar-CH), 122.0 (CHtriazole), 124.3, 125.6 (Ar-CH), 130.3, 140.0, 143.9 (Ar-C), 146.2 (Ctriazole), 163.2 (C=O); HRMS-ESI [M + H]+ Calcd. for C16H19N4O8S2: 459.0638. Found: 459.0665.

3.17. 6-(4-{[β-d-Glucopyranosyl]sulfonylmethyl}-1H-1,2,3-triazol-1-yl)-1,2-benzisothiazole-3-one-1,1-dioxide (22)

N-t-Butyl protected 42 (0.120 g, 0.220 mmol) was refluxed in TFA (1.5 mL) for 18 h. The solvent was removed in vacuo and the residue was purified by RP-18 column chromatography (MeOH/H2O = 0:1 to 1:9, product eluting at 5:95) to give the title compound 22 (0.046 g, 43%) as a white solid. m.p. 186–189 °C (MeOH/H2O); 1H-NMR (500 MHz, (CD3)2SO) δ 3.08 (dd, J = 8.8, 9.8 Hz, 1H, H-4), 3.29 (t, J = 8.8 Hz, 1H, H-3), 3.43 (ddd, J = 1.9, 6.8, 9.9 Hz, 1H, H-5), 3.51 (dd, J = 6.8, 12.1 Hz, 1H, H-6), 3.59 (t, J = 9.1 Hz, 1H, H-2), 3.80 (dd, J = 1.8, 12.2 Hz, 1H, H-6), 4.51 (d, J = 9.5 Hz, 1H, H-1), 4.70 (d, J = 14.7 Hz, 1H, SCH2), 4.85 (d, J = 14.7 Hz, 1H, SCH2), 8.14 (d, J = 8.3 Hz, 1H, Ar-H), 8.42 (dd, J = 1.9, 8.4 Hz, 1H, Ar-H), 8.65 (d, J = 1.8 Hz, 1H, Ar-H), 9.15 (s, 1H, CHtriazole); 13C-NMR (125 MHz, (CD3)2SO) δ 48.3 (SCH2), 61.1 (C-6), 69.2 (C-2), 69.5 (C-4), 77.5 (C-3), 81.6 (C-5), 88.6 (C-1), 112.4, (Ar-CH), 124.7 (CHtriazole), 125.3, 126.4 (Ar-CH), 128.4, 136.9, 140.7 (Ar-C), 142.2 (Ctriazole), 161.3 (C=O); HRMS-ESI [M + Na]+ Calcd. for C16H18N4NaO10S2: 513.0356. Found: 513.0404.

3.18. N-t-Butyl-6-(1-phenyl-1H-1,2,3-triazol-4-yl)-1,2-benzisothiazole-3-one-1,1-dioxide (24)

The title compound 24 was prepared from N-t-butyl-6-ethynyl-1,2-benzisothiazole-3-one-1,1-dioxide 5 (0.150 g, 0.570 mmol) and azidobenzene a [22] (0.068 g, 0.570 mmol) at 45 °C in 2 h according to general procedure 1. Purification of the crude product by flash chromatography (EtOAc/hexane = 9:1 to 1:1) gave the title compound 24 (0.162 g, 74%) as a yellow solid. m.p. 207–208 °C (EtOAc/hexane); 1H-NMR (500 MHz, (CD3)2SO) δ1.71 (s, 9H, tBu), 7.53–7.56 (m, 1H, Ar-H), 7.64–7.68 (m, 2H, Ar-H), 7.91–7.95 (m, 2H, Ar-H), 8.15 (d, J = 8.0 Hz, 1H, Ar-H), 8.51 (dd, J = 1.4, 8.0 Hz, 1H, Ar-H), 8.61 (d, J = 1.4 Hz, 1H, Ar-H), 9.65 (s, 1H, CHtriazole); 13C-NMR (125 MHz, (CD3)2SO) δ 27.3 (C(CH3)3), 60.5 (C(CH3)3), 116.7, 120.0 (Ar-CH), 122.3 (CHtriazole), 125.1 (Ar-C), 125.7, 129.1, 130.0, 130.8 (Ar-CH), 136.3, 137.2, 138.1 (Ar-C), 144.8 (Ctriazole), 159.2 (C=O); HRMS-ESI [M + Na]+ Calcd. for C19H18N4NaO3S: 405.0992. Found: 405.0993.

3.19. N-t-Butyl-6-(1-benzyl-1H-1,2,3-triazol-4-yl)-1,2-benzisothiazole-3-one-1,1-dioxide (25)

The title compound 25 was prepared from N-t-butyl-6-ethynyl-1,2-benzisothiazole-3-one-1,1-dioxide 5 (0.099 g, 0.376 mmol) and benzylazide b [23] (0.050 g, 0.376 mmol) at 45 °C in 2 h according to general procedure 1. Purification of the crude product by flash chromatography (EtOAc/hexane = 9:1 to 1:2) gave the title compound 25 (0.144 g, 97%) as a white solid. m.p. 156–157 °C (EtOAc/hexane); 1H-NMR (500 MHz, (CD3)2SO) δ1.69 (s, 9H, tBu), 5.70 (s, 2H, CH2), 7.33–7.44 (m, 5H, Ar-H), 8.09 (d, J = 8.1 Hz, 1H, Ar-H), 8.46 (dd, J = 1.4, 8.1 Hz, 1H, Ar-H), 8.58 (d, J = 1.4 Hz, 1H, Ar-H), 8.98 (s, 1H, CHtriazole); 13C-NMR (125 MHz, (CD3)2SO) δ 27.3 (C(CH3)3), 53.3 (CH2), 60.5 (C(CH3)3), 116.6, (Ar-CH), 124.1 (CHtriazole), 124.9 (Ar-C), 125.5, 128.1, 128.3, 128.9, 130.7 (Ar-CH), 135.5, 137.6, 138.1 (Ar-C), 144.3 (Ctriazole), 159.3 (C=O); HRMS-ESI [M + Na]+ Calcd. for C20H20N4NaO3S: 419.1148. Found: 419.1141.

3.20. N-t-Butyl-6-(1-[2-[2-[2-(2-hydroxyethoxy)ethoxy]ethoxy]ethyl]-1H-1,2,3-triazol-4-yl)-1,2-benzisothiazole-3-one-1,1-dioxide (26)

The title compound 26 was prepared from N-t-butyl-6-ethynyl-1,2-benzisothiazole-3-one-1,1-dioxide 5 (0.100 g, 0.380 mmol) and PEG azide c [24] (0.083 g, 0.380 mmol) at 45 °C in 16 h according to general procedure 1. Purification of the crude product by flash chromatography (MeOH/EtOAc = 0:1 to 5:95) gave the title compound 26 (0.167 g, 91%) as a pale-yellow oil. 1H-NMR (500 MHz, (CD3)2SO) δ 1.71 (s, 9H, tBu), 3.34–3.37 (m, 2H, CH2), 3.41–3.48 (m, 6H, CH2), 3.48–3.52 (m, 2H, CH2), 3.54–3.57 (m, 2H, CH2), 3.88 (dd, J = 4.5, 5.6 Hz, 2H, CH2), 4.53 (t, J = 5.1 Hz, 1H, OH), 4.63 (t, J = 5.1 Hz, 2H, CH2), 8.11 (d, J = 8.1 Hz, 1H, Ar-H), 8.46 (dd, J = 1.4, 8.1 Hz, 1H, Ar-H), 8.58 (d, J = 1.4 Hz, 1H, Ar-H), 8.92 (s, 1H, CHtriazole); 13C-NMR (125 MHz, (CD3)2SO) δ 27.3 (C(CH3)3), 50.0, 60.1 (CH2), 60.5 (C(CH3)3), 68.5, 69.60, 69.62, 69.69, 69.73, 72.3 (CH2), 116.5, (Ar-CH), 124.4 (CHtriazole), 124.8 (Ar-C), 125.5, 130.7 (Ar-CH), 137.8, 138.1 (Ar-C), 143.8 (Ctriazole), 159.3 (C=O); HRMS-ESI [M + Na]+ Calcd. for C21H30N4NaO7S: 505.1727. Found: 505.1739.

3.21. N-t-Butyl-6-(1-[2,3,4,6-tetra-O-acetyl-β-d-glucopyranosyl]-1H-1,2,3-triazol-4-yl)-1,2-benzisothiazole-3-one-1,1-dioxide (27)

The title compound 27 was prepared from N-t-butyl-6-ethynyl-1,2-benzisothiazole-3-one-1,1-dioxide 5 (0.100 g, 0.380 mmol) and 2,3,4,6-tetra-O-acetyl-β-d-glucopyranosyl azide d′ [25] (0.142 g, 0.380 mmol) at 50 °C in 2 h according to general procedure 1. Purification of the crude product by flash chromatography (EtOAc/hexane = 2:1 to 1:1) gave the title compound 27 (0.217 g, 90%) as a white solid. m.p. 112–115 °C (EtOAc/hexane); 1H-NMR (500 MHz, (CD3)2SO) δ 1.71 (s, 9H, tBu), 1.83 (s, 3H, OCOCH3), 1.99 (s, 3H, OCOCH3), 2.02 (s, 3H, OCOCH3), 2.05 (s, 3H, OCOCH3), 4.11 (dd, J = 2.3, 12.6 Hz, 1H, H-6), 4.19 (dd, J = 5.4, 12.7 Hz, 1H, H-6), 4.46 (ddd, J = 2.3, 5.4 10.1 Hz, 1H, H-5), 5.16 (dd, J = 9.3, 10.1 Hz, 1H, H-4), 5.57 (t, J = 9.3 Hz, 1H, H-2), 5.64 (t, J = 9.5 Hz, 1H, H-3), 6.49 (d, J = 9.0 Hz, 1H, H-1), 8.14 (dd, J = 0.6, 8.0 Hz, 1H, Ar-H), 8.44 (dd, J = 1.5, 8.1 Hz, 1H, Ar-H), 8.58 (d, J = 1.3 Hz, 1H, Ar-H), 9.35 (s, 1H, CHtriazole); 13C-NMR (125 MHz, (CD3)2SO) δ 19.9, 20.2, 20.4, 20.5 (OCOCH3), 27.3 (C(CH3)3), 60.6 (C(CH3)3), 61.7 (C-6), 67.5 (C-4), 70.4 (C-2), 71.9 (C-3), 73.4 (C-5), 84.0 (C-1), 116.7, (Ar-CH), 123.2 (CHtriazole), 125.3 (Ar-C), 125.7, 131.0 (Ar-CH), 136.9, 138.1 (Ar-C), 144.6 (Ctriazole), 159.2 (C=O), 168.6, 169.3, 169.5, 170.0 (OCOCH3); HRMS-ESI [M + H]+ Calcd. for C27H33N4O12S: 637.1810. Found: 637.1811.

3.22. N-t-Butyl-6-(1-β-d-glucopyranosyl-1H-1,2,3-triazol-4-yl)-1,2-benzisothiazole-3-one-1,1-dioxide (28)

To a solution of 27 (0.149 g, 0.234 mmol) in methanol (9.2 mL) was added HCl (0.8 mL). The reaction was stirred at rt for 90 h and the solvent was removed in vacuo. The residue was purified by column chromatography on silica gel (MeOH/CH2Cl2 = 0:1 to 1:9) to give the title compound 28 (0.103 g, 94%) as a white solid. m.p. 169–170 °C (MeOH/CH2Cl2); 1H-NMR (500 MHz, (CD3)2SO) δ 1.70 (s, 9H, tBu), 3.26 (t, J = 9.3 Hz, 1H, H-4), 3.45 (t, J = 8.9 Hz, 1H, H-3), 3.47–3.55 (m, 2H, H-5, H-6), 3.70–3.78 (m, 2H, H-2, H-6), 5.65 (d, J = 9.2 Hz, 1H, H-1), 8.13 (d, J = 8.1 Hz, 1H, Ar-H), 8.49 (dd, J = 1.4, 8.0 Hz, 1H, Ar-H), 8.61 (d, J = 1.3 Hz, 1H, Ar-H), 9.26 (s, 1H, CHtriazole); 13C-NMR (125 MHz, (CD3)2SO) δ 27.3 (C(CH3)3), 60.5 (C(CH3)3), 60.7 (C-6), 69.6 (C-4), 72.5 (C-2), 76.6 (C-3), 80.0 (C-5), 87.8 (C-1), 116.6 (Ar-CH), 123.1 (CHtriazole), 125.0 (Ar-C), 125.6, 130.7 (Ar-CH), 137.5, 138.1 (Ar-C), 144.1 (Ctriazole), 159.3 (C=O); HRMS-ESI [M + H]+ Calcd. for C19H25N4O8S: 469.1388. Found: 469.1397.

3.23. N-t-Butyl-6-(1-[2-deoxy-2-fluoro-β-d-glucopyranosyl]-1H-1,2,3-triazol-4-yl)-1,2-benzisothiazole-3-one-1,1-dioxide (29)

The title compound 29 was prepared from N-t-butyl-6-ethynyl-1,2-benzisothiazole-3-one-1,1-dioxide 5 (0.057 g, 0.217 mmol) and 2-deoxy-2-fluoro-β-d-glucopyranosyl azide e [28] (0.045 g, 0.217 mmol) at 50 °C in 2 h according to general procedure 1. Purification of the crude product by flash chromatography (MeOH/CH2Cl2 = 1:9) gave the title compound 29 (0.103 g, quant.) as a white solid. m.p. 142–144 °C (MeOH/CH2Cl2); 1H-NMR (500 MHz, (CD3)2SO) δ 1.71 (s, 9H, tBu), 3.32–3.38 (m, 1H, H-4), 3.46–3.51 (m, 1H, H-6), 3.67 (ddd, J = 2.0, 5.7, 9.9 Hz, 1H, H-5), 3.73 (ddd, J = 2.0, 5.6, 12.1 Hz, 1H, H-6), 3.82 (dtd, J = 5.4, 8.9, 14.4 Hz, 1H, H-3), 4.72 (t, J = 5.8 Hz, 1H, OH-6), 4.79 (dt, J = 9.0, 51.0 Hz, 1H, H-2), 5.52 (d, J = 5.6 Hz, 1H, OH-4), 5.88 (d, J = 5.4 Hz, 1H, OH-3), 6.20 (dd, J = 2.4, 9.1 Hz, 1H, H-1), 8.14 (d, J = 8.1 Hz, 1H, Ar-H), 8.47 (dd, J = 1.5, 8.1 Hz, 1H, Ar-H), 8.59 (d, J = 1.4 Hz, 1H, Ar-H), 9.37 (s, 1H, CHtriazole); 13C-NMR (125 MHz, (CD3)2SO) δ 27.3 (C(CH3)3), 60.3 (C-6), 60.5 (C(CH3)3), 69.3 (d, J = 8.0 Hz, C-4), 74.1 (d, J = 16.0 Hz, C-3), 79.9 (C-5), 84.2 (d, J = 24.3 Hz, C-1), 91.2 (d, J = 186.8 Hz, C-2), 116.7 (Ar-H), 123.2 (CHtriazole), 125.3 (Ar-C), 125.7, 131.0 (Ar-CH), 137.1, 138.1, (Ar-C), 144.5 (Ctriazole), 159.2 (C=O); 19F-NMR (376 MHz, (CD3)2SO) δ -193.6 (ddd, J = 1.7, 15.6, 51.3 Hz); HRMS-ESI [M + Na]+ Calcd. for C19H23FN4NaO7S: 493.1164. Found: 493.1166.

3.24. N-t-Butyl-6-(1-β-d-galactopyranosyl-1H-1,2,3-triazol-4-yl)-1,2-benzisothiazole-3-one-1,1-dioxide (30)

The title compound 30 was prepared from N-t-butyl-6-ethynyl-1,2-benzisothiazole-3-one-1,1-dioxide 5 (0.103 g, 0.390 mmol) and β-d-galactopyranosyl azide f [25] (0.080 g, 0.390 mmol) at 50 °C in 2 h according to general procedure 1. Purification of the crude product by flash chromatography (MeOH/CH2Cl2 = 0:1 to 1:9) gave the title compound 30 (0.161 g, 88%) as a white solid. m.p. 195–196 °C (MeOH/CH2Cl2); 1H-NMR (500 MHz, (CD3)2SO) δ 1.70 (s, 9H, tBu), 3.49–3.58 (m, 2H, 6-CH2), 3.58–3.63 (m, 1H, H-3), 3.77–3.83 (m, 2H, H-4, H-5), 4.08 (td, J = 5.8, 9.2, 9.3 Hz, 1H, H-2), 4.71 (t, J = 5.6 Hz, 1H, OH-6), 4.76 (d, J = 4.3 Hz, 1H, OH-4), 5.11 (d, J = 5.5 Hz, 1H, OH-3), 5.32 (d, J = 5.8 Hz, 1H, OH-2), 5.59 (d, J = 9.1 Hz, 1H, H-1), 8.11 (d, J = 8.1 Hz, 1H, Ar-H), 8.52 (dd, J = 1.5, 8.1 Hz, 1H, Ar-H), 8.67 (d, J = 1.3 Hz, 1H, Ar-H), 9.24 (s, 1H, CHtriazole); 13C-NMR (125 MHz, (CD3)2SO) δ 27.3 (C(CH3)3), 60.5 (C(CH3)3 and C-6), 68.4 (C-4), 69.5 (C-2), 73.4 (C-3), 78.5 (C-5), 88.4 (C-1), 116.7 (Ar-CH), 123.0 (CHtriazole), 125.0 (Ar-C), 125.5, 130.1 (Ar-CH), 137.6, 138.1 (Ar-C), 144.1 (Ctriazole), 159.3 (C=O); HRMS-ESI [M + H]+ Calcd. for C19H25N4O8S: 469.1388. Found: 469.1340.

3.25. N-t-Butyl-6-1H-1,2,3-triazol-4-yl-1,2-benzisothiazole-3-one-1,1-dioxide (31)

N-t-Butyl-6-ethynyl-1,2-benzisothiazole-3-one-1,1-dioxide 5 (0.150 g, 0.570 mmol) and azidotrimethylsilane g (0.151 mL, 1.14 mmol) were dissolved in tert-butyl alcohol/H2O (1:1, 8 mL). To the reaction mixture was added a solution of sodium ascorbate (0.045 g, 0.228 mmol) in water (0.25 mL) followed by a solution of CuSO4·5H2O (0.028 g, 0.114 mmol) in water (0.25 mL). The suspension was stirred vigorously at 45 °C overnight. The solvent was removed in vacuo and the residue was purified by column chromatography on silica gel (EtOAc/hexane = 2:3) to give the title compound 31 (0.086 g, 50%) as a white solid. m.p. greater than 300 °C (EtOAc/hexane); 1H-NMR (500 MHz, (CD3)2SO) δ 1.70 (s, 9H, tBu), 8.10 (d, J = 8.1 Hz, 1H, Ar-H), 8.46 (dd, J = 1.4, 8.1 Hz, 1H, Ar-H), 8.62 (d, J = 1.4 Hz, 1H, Ar-H), 8.75 (s, 1H, CHtriazole), 15.5 (brs, 1H, NH); 13C-NMR (125 MHz, (CD3)2SO) δ 27.3 (C(CH3)3), 60.5 (C(CH3)3), 116.9, (Ar-CH), 125.0 (Ar-C), 125.5 (Ar-CH), 127.3 (CHtriazole), 131.1 (Ar-CH), 137.7, 138.1 (Ar-C), 143.5 (Ctriazole), 159.3 (C=O); HRMS-ESI [M − H] Calcd. for C13H13N4O3S: 305.0703. Found: 305.0690.

3.26. 6-(1-t-Butyl-1H-1,2,3-triazol-4-yl)-1,2-benzisothiazole-3-one-1,1-dioxide (32a) and 6-(2-t-Butyl-1H-1,2,3-triazol-4-yl)-1,2-benzisothiazole-3-one-1,1-dioxide (32b)

N-t-Butyl protected 31 (0.085 g, 0.277 mmol) was refluxed in TFA (3 mL) for 18 h. The solvent was removed in vacuo and the residue was purified by column chromatography on silica gel (MeOH/CH2Cl2 = 1:9) to give the title compounds 32a and 32b (0.068 g, 80%) as white solids. m.p. 203–204 °C (MeOH/CH2Cl2); 1H-NMR (500 MHz, (CD3)2SO) δ1.67 (s, 9H, tBu), 7.97 (d, J = 8.0 Hz, 0.7H, Ar-H), 8.00 (d, J = 8.3 Hz, 0.3H, Ar-H), 8.30 (dd, J = 1.4, 7.8 Hz, 0.7H, Ar-H), 8.39 (dd, J = 1.4, 7.8 Hz, 0.3H, Ar-H), 8.47–8.50 (m, 1H, Ar-H), 8.53 (s, 0.7H, CHtriazole), 9.08 (s, 0.3H, CHtriazole); 13C-NMR (125 MHz, (CD3)2SO) δ 29.1, 29.4 (C(CH3)3), 59.6, 63.2 (C(CH3)3), 116.7, 117.2 (Ar-CH), 121.5 (CHtriazole), 125.1, 125.2 (Ar-CH), 127.6, 128.6 (Ar-C), 129.7, 130.4 (Ar-CH), 132.3 (CHtriazole), 136.1, 137.1, 141.7, 142.0 (Ar-C), 143.9, 144.2 (Ctriazole), 162.0, 162.3 (C=O); HRMS-ESI [M − H] Calcd. for C13H13N4O3S: 305.0714. Found: 305.0715.

3.27. N-t-Butyl-6-N,N-bis([1-{2,3,4,6-tetra-O-acetyl-β-d-glucopyranosyl}-1H-1,2,3-triazol-4-yl]methyl) amino-1,2-benzisothiazole-3-one-1,1-dioxide (33)

The title compound 33 was prepared from saccharin bis-alkyne 6 (0.108 g, 0.327 mmol) and 2,3,4,6-tetra-O-acetyl-β-d-glucopyranosyl azide d′ [25] (0.244 g, 0.654 mmol) at 45 °C in 2 h according to general procedure 1. Purification of the crude product by flash chromatography (EtOAc/hexane = 1:1 to 7:3) gave the title compound 33 (0.308 g, 87%) as a white solid. m.p. 197–199 °C (EtOAc/hexane); 1H-NMR (500 MHz, (CD3)2SO) δ 1.63 (s, 9H, tBu), 1.73 (s, 6H, OCOCH3), 1.95 (s, 6H, OCOCH3), 1.99 (s, 6H, OCOCH3), 2.02 (s, 6H, OCOCH3), 4.07 (dd, J = 2.4, 12.5 Hz, 2H, H-6), 4.13 (dd, J = 5.5, 12.6 Hz, 2H, H-6), 4.36 (ddd, J = 2.5, 5.4 10.2 Hz, 2H, H-5), 4.84 (s, 4H, NCH2), 5.15 (dd, J = 9.1, 10.1 Hz, 2H, H-4), 5.54 (t, J = 9.3 Hz, 2H, H-3), 5.59 (t, J = 9.2 Hz, 2H, H-2), 6.34 (d, J = 8.8 Hz, 2H, H-1), 7.18 (dd, J = 2.4, 9.0 Hz, 1H, Ar-H), 7.44 (d, J = 2.4 Hz, 1H, Ar-H), 7.68 (d, J = 8.8 Hz, 1H, Ar-H), 8.42 (s, 2H, CHtriazole); 13C-NMR (125 MHz, (CD3)2SO) δ 19.7, 20.2, 20.4, 20.5 (OCOCH3), 27.4 (C(CH3)3), 45.5 (NCH2), 59.6 (C(CH3)3), 61.7 (C-6), 67.5 (C-4), 70.1 (C-2), 72.0 (C-3), 73.2 (C-5), 83.8 (C-1), 102.5 (Ar-CH), 113.0 (Ar-C), 117.4 (Ar-CH), 122.5 (CHtriazole), 125.4 (Ar-CH), 139.6 (Ar-C), 143.6 (Ctriazole), 152.8 (Ar-C), 159.9 (C=O), 168.4, 169.3, 169.5, 170.0 (OCOCH3); HRMS-ESI [M + Na]+ Calcd. for C45H56N8NaO21S: 1099.3173. Found: 1099.3144.

3.28. N-t-Butyl-6-N,N-bis([1-β-d-glucopyranosyl-1H-1,2,3-triazol-4-yl]methyl)amino-1,2-benzisothiazole- 3-one-1,1-dioxide (34)

To a solution of 33 (0.110 g, 0.102 mmol) in methanol (9.2 mL) was added HCl (0.8 mL). The reaction was stirred at rt for 90 h and the solvent was removed in vacuo. The residue was purified by RP-18 column chromatography (MeOH/H2O = 5:95 to 1:1, product eluting at 1:1) to give the title compound 34 (0.069 g, 92%) as a white solid. m.p. 203–205 °C (MeOH/CH2Cl2); 1H-NMR (500 MHz, (CD3)2SO) δ 1.65 (s, 9H, tBu), 3.19–3.25 (m, 2H, H-4), 3.35–3.47 (m, 6H, H-3, H-5, H-6), 3.66–3.77 (m, 4H, H-2, H-6), 4.61 (t, J = 5.6 Hz, 2H, OH-6), 4.80–4.89 (m, 4H, NCH2), 5.15 (d, J = 5.5 Hz, 2H, OH-4), 5.27 (d, J = 4.9 Hz, 2H, OH-3), 5.36 (d, J = 6.0 Hz, 2H, OH-2), 5.53 (d, J = 9.2 Hz, 2H, H-1), 7.34 (dd, J = 2.4, 9.0 Hz, 1H, Ar-H), 7.56 (d, J = 2.3 Hz, 1H, Ar-H), 7.73 (d, J = 8.8 Hz, 1H, Ar-H), 8.36 (s, 2H, CHtriazole); 13C-NMR (125 MHz, (CD3)2SO) δ 27.5 (C(CH3)3), 45.2 (NCH2), 59.6 (C(CH3)3), 60.7 (C-6), 69.6 (C-4), 72.1 (C-2), 76.9 (C-3), 79.9 (C-5), 87.5 (C-1), 102.2 (Ar-CH), 112.7 (Ar-C), 117.2 (Ar-CH), 122.6 (CHtriazole), 125.7 (Ar-CH), 139.7 (Ar-C), 142.7 (Ctriazole), 153.0 (Ar-C), 159.9 (C=O); HRMS-ESI [M + Na]+ Calcd. for C29H40N8NaO13S: 763.2328. Found: 763.2366.

3.29. N-t-Butyl-6-(4-benzyl-1H-1,2,3-triazol-1-yl)-1,2-benzisothiazole-3-one-1,1-dioxide (35)

The title compound 35 was prepared from N-t-butyl-6-azido-1,2-benzisothiazole-3-one-1,1-dioxide 3 [10] (0.150 g, 0.535 mmol) and 3-phenyl-1-propyne i (0.067 mL, 0.535 mmol) at 45 °C in 2 h according to general procedure 1. Purification of the crude product by flash chromatography (EtOAc/hexane = 1:4 to 1:2) gave the title compound 35 (0.185 g, 87%) as a light brown solid. m.p. 171–173 °C (EtOAc/hexane); 1H-NMR (500 MHz, (CD3)2SO) δ 1.70 (s, 9H, tBu), 4.12 (s, 2H, CH2), 7.21–7.26 (m, 1H, Ar-H), 7.31–7.34 (m, 4H, Ar-H), 8.20 (d, J = 8.4 Hz, 1H, Ar-H), 8.52 (dd, J = 1.9, 8.4 Hz, 1H, Ar-H), 8.78 (d, J = 1.9 Hz, 1H, Ar-H), 8.88 (s, 1H, CHtriazole); 13C-NMR (125 MHz, (CD3)2SO) δ 27.3 (C(CH3)3), 31.2 (CH2), 60.8 (C(CH3)3), 111.7, (Ar-CH), 121.5 (CHtriazole), 125.1 (Ar-C), 125.5, 126.4, 126.6, 128.5, 128.6 (Ar-CH), 138.6, 138.7, 141.5 (Ar-C), 148.0 (Ctriazole), 158.7 (C=O); HRMS-ESI [M + Na]+ Calcd. for C20H20N4NaO3S: 419.1148. Found: 419.1144.

3.30. N-t-Butyl-6-[4-(13-hydroxy-2,5,8,11-tetraoxatridec-1-yl)-1H-1,2,3-triazol-1-yl]-1,2-benzisothiazole-3-one-1,1-dioxide (36)

The title compound 36 was prepared from N-t-butyl-6-azido-1,2-benzisothiazole-3-one-1,1-dioxide 3 [10] (0.100 g, 0.357 mmol) and PEG alkyne j [31] (0.083 mL, 0.357 mmol) at 45 °C in 2 h according to general procedure 1. Purification of the crude product by flash chromatography (MeOH/CH2Cl2 = 0:1 to 5:95) gave the title compound 36 (0.135 g, 74%) as a pale yellow oil. 1H-NMR (500 MHz, (CD3)2SO) δ 1.71 (s, 9H, tBu), 3.38–3.41 (m, 2H, CH2), 3.44–3.54 (m, 10H, CH2), 3.56–3.59 (m, 2H, CH2), 3.63–3.66 (m, 2H, CH2), 4.55 (t, J = 5.4 Hz, 1H, OH), 4.66 (s, 2H, CH2), 8.23 (d, J = 8.4 Hz, 1H, Ar-H), 8.55 (dd, J = 1.9, 8.4 Hz, 1H, Ar-H), 8.82 (d, J = 1.9 Hz, 1H, Ar-H), 9.09 (s, 1H, CHtriazole); 13C-NMR (125 MHz, (CD3)2SO) δ 27.3 (C(CH3)3), 60.2 (CH2), 60.8 (C(CH3)3), 63.3, 69.2, 69.68, 69.73, 69.8, 72.3 (CH2), 111.9, (Ar-CH), 122.9 (CHtriazole), 125.3 (Ar-C), 125.8, 126.7 (Ar-CH), 138.6, 141.4 (Ar-C), 145.8 (Ctriazole), 158.7 (C=O); HRMS-ESI [M + Na]+ Calcd. for C22H32N4NaO8S: 535.1833. Found: 535.1845.

3.31. N-t-Butyl-6-1H-1,2,3-triazol-1-yl-1,2-benzisothiazole-3-one-1,1-dioxide (37)

N-t-Butyl-6-azido-1,2-benzisothiazole-3-one-1,1-dioxide 3 [10] (0.150 g, 0.535 mmol) and ethynyltrimethylsilane l (0.152 mL, 1.07 mmol) were dissolved in tert-butyl alcohol/H2O (1:1, 8 mL). To the reaction mixture was added a solution of sodium ascorbate (0.042 g, 0.214 mmol) in water (0.25 mL) followed by a solution of CuSO4.5H2O (0.027 g, 0.107 mmol) in water (0.25 mL). The suspension was stirred vigorously at 45 °C overnight. The solvent was removed in vacuo and the residue was purified by column chromatography on silica gel (EtOAc/hexane = 1:4 to 1:1) to give the title compound 37 (0.073 g, 45%) as a pale yellow solid. m.p. 187–188 °C (EtOAc/hexane); 1H-NMR (500 MHz, (CD3)2SO) δ 1.71 (s, 9H, tBu), 8.09 (d, J = 1.2 Hz, 1H, CHtriazole), 8.24 (d, J = 8.4 Hz, 1H, Ar-H), 8.56 (dd, J = 1.9, 8.4 Hz, 1H, Ar-H), 8.82 (d, J = 1.9 Hz, 1H, Ar-H), 9.11 (d, J = 1.3 Hz, 1H, CHtriazole); 13C-NMR (125 MHz, (CD3)2SO) δ 27.3 (C(CH3)3), 60.8 (C(CH3)3), 116.9, (Ar-CH), 124.0 (CHtriazole), 125.3 (Ar-C), 125.9, 126.7 (Ar-CH), 135.1 (CHtriazole), 138.6, 141.4 (Ar-C), 158.7 (C=O); HRMS-ESI [M − H] Calcd. for C13H13N4O3S: 305.0714. Found: 305.0712.

3.32. 6-(3-t-Butyl-1H-1,2,3-triazol-1-yl)-1,2-benzisothiazole-3-one-1,1-dioxide (38)

N-t-Butyl protected 37 (0.080 g, 0.261 mmol) was refluxed in TFA (3 mL) for 18 h. The solvent was removed in vacuo. EtOAc was added to the residue and the solid collected by filtration to give the title compound 38 (0.058 g, 89%) as an off white solid. m.p. 166–168 °C (EtOAc); 1H-NMR (500 MHz, (CD3)2SO) δ 1.71 (s, 9H, tBu), 7.93 (d, J = 8.1 Hz, 1H, Ar-H), 8.26 (dd, J = 2.0, 8.1 Hz, 1H, Ar-H), 8.45 (d, J = 1.9 Hz, 1H, Ar-H), 9.39 (d, J = 1.7 Hz, 1H, CHtriazole), 9.72 (d, J = 1.7 Hz, 1H, CHtriazole); 13C-NMR (125 MHz, (CD3)2SO) δ 28.5 (C(CH3)3), 66.6 (C(CH3)3), 113.3, 124.4, 125.4 (Ar-CH), 129.2, 129.8 (CHtriazole), 136.7, 136.8, 147.0 (Ar-C), 165.9 (C=O); HRMS-ESI [M + H]+ Calcd. for C13H13N4O3S: 305.0714. Found: 305.0702.

3.33. N-t-Butyl-6-(4-{2,3,4,6-tetra-O-acetyl-[β-d-glucopyranosyl]thiomethyl}-1H-1,2,3-triazol-1-yl)-1,2- benzisothiazole-3-one-1,1-dioxide (39)

The title compound 39 was prepared from N-t-butyl-6-amino-1,2-benzisothiazole-3-one-1,1-dioxide 3 [10] (0.300 g, 1.07 mmol) and propargyl 2,3,4,6-tetra-O-acetyl-thio-β-d-glucopyranoside k′ [14] (0.431 g, 1.07 mmol) at 40 °C in 2 h according to general procedure 1. Purification of the crude product by flash chromatography (EtOAc/hexane = 2:3 to 1:1) gave the title compound 39 (0.656 g, 90%) as a white solid. m.p. 96–98 °C (EtOAc/hexane); 1H-NMR (500 MHz, (CD3)2SO) δ 1.71 (s, 9H, tBu), 1.94 (s, 3H, OCOCH3), 1.98 (s, 6H, 2 × OCOCH3), 1.99 (s, 3H, OCOCH3), 3.99–4.16 (m, 5H, H-5, SCH2, CH2-6), 4.91–5.00 (m, 3H, H-1, H-2, H-4), 5.31 (t, J = 9.0 Hz, 1H, H-3), 8.24 (d, J = 8.4 Hz, 1H, Ar-H), 8.52 (dd, J = 1.9, 8.4 Hz, 1H, Ar-H), 8.78 (d, J = 1.9 Hz, 1H, Ar-H), 8.95 (s, 1H, CHtriazole); 13C-NMR (125 MHz, (CD3)2SO) δ 20.3, 20.4, 20.4, 20.5 (OCOCH3), 23.1 (SCH2), 27.3 (C(CH3)3), 60.8 (C(CH3)3), 61.8 (C-6), 68.1 (C-4), 69.6 (C-2), 72.9 (C-3), 74.4 (C-5), 80.9 (C-1), 111.9, (Ar-CH), 122.4 (CHtriazole), 125.3 (Ar-C), 125.7, 126.7 (Ar-CH), 138.6, 141.4 (Ar-C), 145.3 (Ctriazole), 158.7 (C=O), 169.1, 169.2, 169.5, 170.0 (OCOCH3); HRMS-ESI [M + Na]+ Calcd. for C28H34N4NaO12S2: 705.1507. Found: 705.1551.

3.34. N-t-Butyl-6-(4-{[β-d-glucopyranosyl]thiomethyl}-1H-1,2,3-triazol-1-yl)-1,2-benzisothiazole-3-one-1,1-dioxide (40)

The title compound 40 was prepared using two different synthetic routes, A and B.
  • The title compound 40 was prepared from N-t-butyl-6-amino-1,2-benzisothiazole-3-one-1,1-dioxide 3 [10] (0.200 g, 0.714 mmol) and propargyl thio-β-d-glucopyranoside (k) [32] (0.167 g, 0.714 mmol) at 40 °C in 2 h according to general procedure 1. Purification of the crude product by flash chromatography (MeOH/CH2Cl2 = 0:1 to 3:17) gave the title compound 40 (0.324 g, 88%) as a white solid.
  • To a solution of 39 (0.385 g, 0.564 mmol) in methanol (9.2 mL) was added HCl (0.8 mL). The reaction was stirred at r.t. for 90 h and the solvent was removed in vacuo. The residue was purified by column chromatography on silica gel (MeOH/CH2Cl2 = 0:1 to 1:9) to give the title compound 40 (0.255 g, 88%) as a white solid. m.p. 155–157 °C (MeOH/CH2Cl2); 1H-NMR (500 MHz, (CD3)2SO) δ 1.71 (s, 9H, tBu), 3.03–3.11 (m, 2H, H-2, H-4), 3.15 (dd, J = 4.8, 8.6 Hz, 1H, H-3), 3.20 (ddd, J = 2.0, 6.5, 8.6 Hz, 1H, H-5), 3.42–3.48 (m, 1H, H-6), 3.73 (ddd, J = 2.0, 5.9, 11.9 Hz, 1H, H-6), 3.97 (d, J = 14.4 Hz, 1H, SCH2), 4.10 (d, J = 14.4 Hz, 1H, SCH2), 4.36 (d, J = 9.6 Hz, 1H, H-1), 4.70 (t, J = 5.8 Hz, 1H, OH-6), 4.97 (d, J = 5.3 Hz, 1H, OH-4), 5.05 (d, J = 4.8 Hz, 1H, OH-3), 5.18 (d, J = 5.9 Hz, 1H, OH-2), 8.22 (d, J = 8.4 Hz, 1H, Ar-H), 8.50 (dd, J = 1.9, 8.4 Hz, 1H, Ar-H), 8.76 (d, J = 1.9 Hz, 1H, Ar-H), 8.97 (s, 1H, CHtriazole); 13C-NMR (125 MHz, (CD3)2SO) δ 22.9 (SCH2), 27.3 (C(CH3)3), 60.8 (C(CH3)3), 61.3 (C-6), 70.1 (C-4), 73.1 (C-2), 78.1 (C-3), 81.0 (C-5), 84.1 (C-1), 111.8, (Ar-CH), 122.2 (CHtriazole), 125.2 (Ar-C), 125.7, 126.7 (Ar-CH), 138.6, 141.4 (Ar-C), 146.6 (Ctriazole), 158.7 (C=O); HRMS-ESI [M + H]+ Calcd. for C20H27N4O8S2: 515.1265. Found: 515.1269.

3.35. N-t-Butyl-6-(4-{2,3,4,6-tetra-O-acetyl-[β-d-glucopyranosyl]sulfonylmethyl}-1H-1,2,3-triazol-1-yl)-1,2-benzisothiazole-3-one-1,1-dioxide (41)

To a stirred solution of 39 (0.250 g, 0.366 mmol) in anhydrous CH2Cl2 (5 mL) at 0 °C was added mCPBA (0.737 g, 2.56 mmol) in anhydrous CH2Cl2 (2 mL) dropwise. The solution was allowed to warm to r.t. over 2 h. The reaction mixture was diluted with CH2Cl2 (50 mL), washed with H2O (30 mL), brine (30 mL), dried (MgSO4), and the solvent was removed in vacuo. The residue was purified by column chromatography on silica gel (EtOAc/hexane = 1:1 to 3:2) to give the title compound 41 (0.260 g, 99%) as a white solid. m.p. 172–174 °C (EtOAc/hexane); 1H-NMR (500 MHz, (CD3)2SO) δ 1.72 (s, 9H, tBu), 1.94 (s, 3H, OCOCH3), 1.95 (s, 3H, OCOCH3), 2.00 (s, 3H, OCOCH3), 2.03 (s, 3H, OCOCH3), 4.17–4.28 (m, 3H, H-5, CH2-6), 4.78–4.87 (m, 2H, SCH2), 5.01–5.06 (m, 1H, H-4), 5.14–5.20 (m, 1H, H-1), 5.37–5.45 (m, 2H, H-2, H-3), 8.26 (d, J = 8.4 Hz, 1H, Ar-H), 8.59 (dd, J = 2.0, 8.5 Hz, 1H, Ar-H), 8.89 (d, J = 2.0 Hz, 1H, Ar-H), 9.14 (s, 1H, CHtriazole); 13C-NMR (125 MHz, (CD3)2SO) δ 20.2, 20.29, 20.33, 20.5 (OCOCH3), 27.3 (C(CH3)3), 46.9 (SCH2), 60.9 (C(CH3)3), 61.4 (C-6), 65.7 (C-2), 67.2 (C-4), 72.5 (C-3), 74.9 (C-5), 84.9 (C-1), 112.3, (Ar-CH), 124.8 (CHtriazole), 125.6 (Ar-C), 126.1, 126.7 (Ar-CH), 135.8, 138.6 (Ar-C), 141.2 (Ctriazole), 158.7 (C=O), 168.6, 169.2, 169.5, 170.1 (OCOCH3); HRMS-ESI [M + Na]+ Calcd. for C28H34N4NaO14S2: 737.1405. Found: 737.1486.

3.36. N-t-Butyl-6-(4-{[β-d-glucopyranosyl]sulfonylmethyl}-1H-1,2,3-triazol-1-yl)-1,2-benzisothiazole-3-one-1,1-dioxide (42)

The title compound 42 was prepared using two different synthetic routes, A and B.
  • To a stirred solution of 40 (0.150 g, 0.292 mmol) in anhydrous CH2Cl2 (5 mL) at 0 °C was added mCPBA (0.587 g, 2.04 mmol) in anhydrous CH2Cl2 (2 mL) dropwise. The solution was allowed to warm to rt over 2 h and the solvent was removed in vacuo. The residue was purified by column chromatography on silica gel (MeOH/CH2Cl2 = 1:9 to 3:17) to give the title compound 42 (0.126 g, 79%) as a white solid.
  • To a solution of 41 (0.220 g, 0.308 mmol) in methanol (9.2 mL) was added HCl (0.8 mL). The reaction was stirred at rt for 90 h and the solvent was removed in vacuo. The residue was purified by column chromatography on silica gel (MeOH/CH2Cl2 = 0:1 to 1:9) to give the title compound 42 (0.117 g, 69%) as a white solid. m.p. 145–146 °C (MeOH/CH2Cl2); 1H-NMR (500 MHz, (CD3)2SO) δ 1.72 (s, 9H, tBu), 3.08 (ddd, J = 5.4, 8.8, 9.8 Hz, 1H, H-4), 3.28 (td, J = 5.5, 8.8 Hz, 1H, H-3), 3.42 (ddd, J = 1.9, 6.8, 9.8 Hz, 1H, H-5), 3.51 (ddd, J = 5.5, 6.9, 12.1 Hz, 1H, H-6), 3.60 (td, J = 6.1, 9.1 Hz, 1H, H-2), 3.80 (ddd, J = 1.9, 6.2, 12.2 Hz, 1H, H-6), 4.51 (d, J = 9.5 Hz, 1H, H-1), 4.73 (d, J = 14.7 Hz, 1H, SCH2), 4.85 (d, J = 14.7 Hz, 1H, SCH2), 4.99 (t, J = 5.8 Hz, 1H, OH-6), 5.17 (d, J = 5.5 Hz, 1H, OH-4), 5.24 (d, J = 5.5 Hz, 1H, OH-3), 5.55 (d, J = 6.1 Hz, 1H, OH-2), 8.25 (d, J = 8.4 Hz, 1H, Ar-H), 8.51 (dd, J = 2.0, 8.4 Hz, 1H, Ar-H), 8.81 (d, J = 1.9 Hz, 1H, Ar-H), 9.18 (s, 1H, CHtriazole); 13C-NMR (125 MHz, (CD3)2SO) δ 27.3 (C(CH3)3), 48.2 (SCH2), 60.9 (C(CH3)3), 61.0 (C-6), 69.2 (C-2), 69.5 (C-4), 77.5 (C-3), 81.6 (C-5), 88.7 (C-1), 112.2, (Ar-CH), 124.8 (CHtriazole), 125.5 (Ar-C), 126.0, 126.8 (Ar-CH), 137.0, 138.6 (Ar-C), 141.3 (Ctriazole), 158.7 (C=O); HRMS-ESI [M + Na]+ Calcd. for C20H26N4NaO10S2: 569.0983. Found: 569.0994.

4. Conclusions

In summary, we have demonstrated that specifically functionalized derivatives of 1 may be prepared from either saccharin azide or saccharin alkyne building blocks in high yield using CuAAC. The application of novel alkyne building blocks 5 and 6 and azide building block 3 proved remarkably straightforward to handle. Moreover, the novel target compounds all retain the capability for interactions with the metal centres of metalloenzymes via the sulfonamide anion. The compounds also present two orientations of the 1,2,3-triazole, thus further adding diversity to the potential hydrogen bonding interactions of these compounds with biomolecules of therapeutic interest. Collectively the novel compounds described here represent desirable attributes not found in the more usual N-alkylated saccharin derivatives.

Supplementary Materials

Supplementary materials are available online.

Acknowledgments

We thank the Australian Research Council (grant number FT110100185 to S.-A.P.), the Cancer Council Queensland (Project APP1058222 to S.-A.P.), and Griffith University (Postdoctoral Fellow to G.M.R.) for financial support. We additionally thank the Australian Research Council for infrastructure support including NMR (grant number LE140100119) and mass spectrometry (grant number LE120100170).

Author Contributions

Sally-Ann Poulsen and Gregory M. Rankin conceived and designed the experiments and analyzed the data; Gregory M. Rankin performed the experiments and contributed to editing of the manuscript; Sally-Ann Poulsen wrote the manuscript.

Conflicts of Interest

The authors declare no conflict of interest.

References

  1. Larsen, J.C. Artificial sweeteners. Nutrafoods 2012, 11, 3–9. [Google Scholar] [CrossRef]
  2. Weihrauch, M.R.; Diehl, V. Artificial sweeteners—Do they bear a carcinogenic risk? Ann. Oncol. 2004, 15, 1460–1465. [Google Scholar] [CrossRef] [PubMed]
  3. Aliyenne, A.O.; Khiari, J.E.; Kraıem, J.; Kacem, Y.; Hassine, B.B. Efficient access to chiral N-substituted saccharin analogues via the directed ortho-lithiation of 3-N-arylsulfonyloxazolidin-2-ones. Tetrahedron Lett. 2006, 47, 6405–6408. [Google Scholar] [CrossRef]
  4. Jakopin, Z.; Dolenc, M.S. Advances in the chemistry of saccharins: From synthetic novelties towards biologically active compounds. Curr. Med. Chem. 2010, 17, 651–671. [Google Scholar] [CrossRef] [PubMed]
  5. Carradori, S.; Secci, D.; De Monte, C.; Mollica, A.; Ceruso, M.; Akdemir, A.; Sobolev, A.P.; Codispoti, R.; De Cosmi, F.; Guglielmi, P.; et al. A novel library of saccharin and acesulfame derivatives as potent and selective inhibitors of carbonic anhydrase IX and XII isoforms. Bioorg. Med. Chem. 2016, 24, 1095–1105. [Google Scholar] [CrossRef] [PubMed]
  6. D’Ascenzio, M.; Carradori, S.; De Monte, C.; Secci, D.; Ceruso, M.; Supuran, C.T. Design, synthesis and evaluation of N-substituted saccharin derivatives as selective inhibitors of tumor-associated carbonic anhydrase XII. Bioorg. Med. Chem. 2014, 22, 1821–1831. [Google Scholar] [CrossRef] [PubMed]
  7. Pitman, I.H.; Dawn, H.; Higuchi, T.; Hussain, A.A. Prediction of chlorine potentials of N-chlorinated organic molecules. J. Chem. Soc. B 1969, 1230–1232. [Google Scholar] [CrossRef]
  8. Baran, E.J.; Yilmaz, V.Y. Metal complexes of saccharin. Coord. Chem. Rev. 2006, 250, 1980–1999. [Google Scholar] [CrossRef]
  9. Kohler, K.; Hillebrecht, A.; Wischeler, J.S.; Innocenti, A.; Heine, A.; Supuran, C.T.; Klebe, G. Saccharin inhibits carbonic anhydrases: Possible explanation for its unpleasant metallic aftertaste. Angew. Chem. Int. Ed. 2007, 46, 7697–7699. [Google Scholar] [CrossRef] [PubMed]
  10. Moeker, J.; Peat, T.S.; Bornaghi, L.F.; Vullo, D.; Supuran, C.T.; Poulsen, S.-A. Cyclic secondary sulfonamides: Unusually good inhibitors of cancer-related carbonic anhydrase enzymes. J. Med. Chem. 2014, 57, 3522–3531. [Google Scholar] [CrossRef] [PubMed]
  11. Supuran, C.T. Carbonic anhydrases: Novel therapeutic applications for inhibitors and activators. Nat. Rev. Drug Discov. 2008, 7, 168–181. [Google Scholar] [CrossRef] [PubMed]
  12. Meldal, M.; Tornoe, C.W. Cu-catalyzed azide-alkyne cycloaddition. Chem. Rev. 2008, 108, 2952–3015. [Google Scholar] [CrossRef] [PubMed]
  13. Lopez, M.; Salmon, A.; Supuran, C.; Poulsen, S.-A. Carbonic anhydrase inhibitors developed through ‘click tailing’. Curr. Pharm. Des. 2010, 16, 3277–3287. [Google Scholar] [CrossRef] [PubMed]
  14. Singer, M.; Lopez, M.; Bornaghi, L.F.; Innocenti, A.; Vullo, D.; Supuran, C.T.; Poulsen, S.-A. Inhibition of carbonic anhydrase isozymes with benzene sulfonamides incorporating thio, sulfinyl and sulfonyl glycoside moieties. Bioorg. Med. Chem. Lett. 2009, 19, 2273–2276. [Google Scholar] [CrossRef] [PubMed]
  15. Carroux, C.J.; Rankin, G.M.; Moeker, J.; Bornaghi, L.F.; Katneni, K.; Morizzi, J.; Charman, S.A.; Vullo, D.; Supuran, C.T.; Poulsen, S.-A. A prodrug approach toward cancer-related carbonic anhydrase inhibition. J. Med. Chem. 2013, 56, 9623–9634. [Google Scholar] [CrossRef] [PubMed]
  16. Tanpure, R.P.; Ren, B.; Peat, T.S.; Bornaghi, L.F.; Vullo, D.; Supuran, C.T.; Poulsen, S.-A. Carbonic anhydrase inhibitors with dual-tail moieties to match the hydrophobic and hydrophilic halves of the carbonic anhydrase active site. J. Med. Chem. 2015, 58, 1494–1501. [Google Scholar] [CrossRef] [PubMed]
  17. Wilkinson, B.L.; Bornaghi, L.F.; Houston, T.A.; Innocenti, A.; Supuran, C.T.; Poulsen, S.-A. A novel class of carbonic anhydrase inhibitors: Glycoconjugate benzene sulfonamides prepared by “click-tailing”. J. Med. Chem. 2006, 49, 6539–6548. [Google Scholar] [CrossRef] [PubMed]
  18. Wilkinson, B.L.; Bornaghi, L.F.; Houston, T.A.; Innocenti, A.; Vullo, D.; Supuran, C.T.; Poulsen, S.-A. Carbonic anhydrase inhibitors: Inhibition of isozymes I, II, and IX with triazole-linked O-glycosides of benzene sulfonamides. J. Med. Chem. 2007, 50, 1651–1657. [Google Scholar] [CrossRef] [PubMed]
  19. Mahon, B.P.; Hendon, A.M.; Driscoll, J.M.; Rankin, G.M.; Poulsen, S.-A.; Supuran, C.T.; McKenna, R. Saccharin: A lead compound for structure-based drug design of carbonic anhydrase IX inhibitors. Bioorg. Med. Chem. 2015, 23, 849–854. [Google Scholar] [CrossRef] [PubMed]
  20. Tron, G.; Pirali, T.; Billington, R.; Canonico, P.; Sorba, G.; Genazzani, A. Click chemistry reactions in medicinal chemistry: Applications of the 1,3-dipolar cycloaddition between azides and alkynes. Med. Res. Rev. 2008, 28, 278–308. [Google Scholar] [CrossRef] [PubMed]
  21. Krasnokutskaya, E.A.; Semenischeva, N.I.; Filimonov, V.D.; Knochel, P. A new, one-step, effective protocol for the iodination of aromatic and heterocyclic compounds via aprotic diazotization of amines. Synthesis 2007, 1, 81–84. [Google Scholar] [CrossRef]
  22. Bertrand, H.C.; Schaap, M.; Baird, L.; Georgakopoulos, N.D.; Fowkes, A.; Thiollier, C.; Kachi, H.; Dinkova-Kostova, A.T.; Wells, G. Design, synthesis, and evaluation of triazole derivatives that induce Nrf2 dependent gene products and inhibit the Keap1-Nrf2 protein-protein interaction. J. Med. Chem. 2015, 58, 7186–7194. [Google Scholar] [CrossRef] [PubMed]
  23. Michael, P.; Binder, W.H. A mechanochemically triggered “click” catalyst. Angew. Chem. Int. Ed. 2015, 54, 13918–13922. [Google Scholar] [CrossRef] [PubMed]
  24. Park, K.D.; Liu, R.; Kohn, H. Useful tools for biomolecule isolation, detection, and identification: Acylhydrazone-based cleavable linkers. Chem. Biol. 2009, 16, 763–772. [Google Scholar] [CrossRef] [PubMed]
  25. Carroux, C.J.; Moeker, J.; Motte, J.; Lopez, M.; Bornaghi, L.F.; Katneni, K.; Ryan, E.; Morizzi, J.; Shackleford, D.M.; Charman, S.A.; et al. Synthesis of acylated glycoconjugates as templates to investigate in vitro biopharmaceutical properties. Bioorg. Med. Chem. Lett. 2013, 23, 455–459. [Google Scholar] [CrossRef] [PubMed]
  26. Zemplén, G. Degradation of the reducing bioses. I. Direct determination of the constitution of cellobiose. Ber. Dtsch. Chem. Ges. 1926, 59, 1254–1266. [Google Scholar] [CrossRef]
  27. Geng, J.; Lindqvist, J.; Mantovani, G.; Chen, G.; Sayers, C.T.; Clarkson, G.J.; Haddleton, D.M. Well-defined poly(N-glycosyl 1,2,3-triazole) multivalent ligands: Design, synthesis and lectin binding studies. QSAR Comb. Sci. 2007, 26, 1220–1228. [Google Scholar] [CrossRef]
  28. Maschauer, S.; Prante, O. A series of 2-O-trifluoromethylsulfonyl-d-mannopyranosides as precursors for concomitant 18F-labeling and glycosylation by click chemistry. Carbohydr. Res. 2009, 344, 753–761. [Google Scholar] [CrossRef] [PubMed]
  29. Tanaka, T.; Nagai, H.; Noguchi, M.; Kobayashi, A.; Shoda, S.-I. One-step conversion of unprotected sugars to β-glycosyl azides using 2-chloroimidazolinium salt in aqueous solution. Chem. Commun. 2009, 3378–3379. [Google Scholar] [CrossRef] [PubMed]
  30. Belskaya, N.; Subbotina, J.; Lesogorova, S. Synthesis of 2H-1,2,3-triazoles. J. Heterocycl. Chem. 2015, 40, 51–116. [Google Scholar]
  31. Hugenberg, V.; Breyholz, H.-J.; Riemann, B.; Hermann, S.; Schober, O.; Schaefers, M.; Gangadharmath, U.; Mocharla, V.; Kolb, H.; Walsh, J.; et al. A new class of highly potent matrix metalloproteinase inhibitors based on triazole-substituted hydroxamates: (Radio)synthesis and in vitro and first in vivo evaluation. J. Med. Chem. 2012, 55, 4714–4727. [Google Scholar] [CrossRef] [PubMed]
  32. Lo Conte, M.; Staderini, S.; Marra, A.; Sanchez-Navarro, M.; Davis, B.G.; Dondoni, A. Multi-molecule reaction of serum albumin can occur through thiol-yne coupling. Chem. Commun. 2011, 47, 11086–11088. [Google Scholar] [CrossRef] [PubMed]
Sample Availability: Samples of the compounds may be made available from the authors and have been submitted to Compounds Australia academic compound collection (www.compoundsaustralia.com).
Figure 1. Saccharin 1, 6-azidosaccharin 2, N-t-butyl protected 6-azidosaccharin 3, derivatised saccharin glycoconjugate 4 [10], and new saccharin alkyne building blocks 5 and 6.
Figure 1. Saccharin 1, 6-azidosaccharin 2, N-t-butyl protected 6-azidosaccharin 3, derivatised saccharin glycoconjugate 4 [10], and new saccharin alkyne building blocks 5 and 6.
Molecules 22 00516 g001
Figure 2. Partner azides (ag) and alkynes (hl) for preparing derivatives of 1 using Cu(I)-catalyzed azide alkyne cycloaddition (CuAAC).
Figure 2. Partner azides (ag) and alkynes (hl) for preparing derivatives of 1 using Cu(I)-catalyzed azide alkyne cycloaddition (CuAAC).
Molecules 22 00516 g002
Scheme 1. Synthesis of N-t-butyl-protected 6-azidosaccharin 3 [10], N-t-butyl-protected 6-ethynylsaccharin 5, and N-t-butyl-protected bis-alkyne saccharin 6. Reagents and conditions: (i) pTsOH.H2O, NaNO2, KI, CH3CN, 10–15 °C → room temperature (rt), ~1 h, 83%; (ii) Pd(PPh3)Cl2, CuI, TMSC≡CH, Et3N, 40 °C, 2 h, 95%; (iii) TBAF, AcOH, THF, 5 min, rt, 97%; (iv) t-BuNO2, TMSN3, 0 °C → rt, 16 h, 46% [10]; (v) Cs2CO3, propargyl bromide, dimethylformamide (DMF), 0 °C, 48 h, 75%.
Scheme 1. Synthesis of N-t-butyl-protected 6-azidosaccharin 3 [10], N-t-butyl-protected 6-ethynylsaccharin 5, and N-t-butyl-protected bis-alkyne saccharin 6. Reagents and conditions: (i) pTsOH.H2O, NaNO2, KI, CH3CN, 10–15 °C → room temperature (rt), ~1 h, 83%; (ii) Pd(PPh3)Cl2, CuI, TMSC≡CH, Et3N, 40 °C, 2 h, 95%; (iii) TBAF, AcOH, THF, 5 min, rt, 97%; (iv) t-BuNO2, TMSN3, 0 °C → rt, 16 h, 46% [10]; (v) Cs2CO3, propargyl bromide, dimethylformamide (DMF), 0 °C, 48 h, 75%.
Molecules 22 00516 sch001
Figure 3. Target derivatives of 1 prepared using CuAAC. (A) Derivatives prepared from N-t-butyl-protected 6-ethynylsaccharin 5 and azide ag; (B) Derivative prepared from N-t-butyl-protected bis-alkyne saccharin 6 and azide d/d; (C) Derivatives prepared from N-t-butyl-6-aminosaccharin 7 and alkynes hl. We have previously reported the phenyl derivative 18 while all other compounds are novel [10].
Figure 3. Target derivatives of 1 prepared using CuAAC. (A) Derivatives prepared from N-t-butyl-protected 6-ethynylsaccharin 5 and azide ag; (B) Derivative prepared from N-t-butyl-protected bis-alkyne saccharin 6 and azide d/d; (C) Derivatives prepared from N-t-butyl-6-aminosaccharin 7 and alkynes hl. We have previously reported the phenyl derivative 18 while all other compounds are novel [10].
Molecules 22 00516 g003
Scheme 2. Synthesis of saccharin derivatives from N-t-butyl-protected 6-ethynylsaccharin 5. Reagents and conditions: (i) 5 (1 equiv), azide (1 equiv), sodium ascorbate (0.4 equiv), CuSO4·5H2O (0.2 equiv), 1:1 t-BuOH:water, 45–50 °C, 2 h–overnight; (ii) 5 (1 equiv), TMSN3 (2 equiv), sodium ascorbate (0.4 equiv), CuSO4·5H2O (0.2 equiv), 1:1 t-BuOH:water, 45–50 °C, overnight; (iii) 8% HCl in MeOH, r.t., 90 h; (iv) TFA, reflux, 18 h.
Scheme 2. Synthesis of saccharin derivatives from N-t-butyl-protected 6-ethynylsaccharin 5. Reagents and conditions: (i) 5 (1 equiv), azide (1 equiv), sodium ascorbate (0.4 equiv), CuSO4·5H2O (0.2 equiv), 1:1 t-BuOH:water, 45–50 °C, 2 h–overnight; (ii) 5 (1 equiv), TMSN3 (2 equiv), sodium ascorbate (0.4 equiv), CuSO4·5H2O (0.2 equiv), 1:1 t-BuOH:water, 45–50 °C, overnight; (iii) 8% HCl in MeOH, r.t., 90 h; (iv) TFA, reflux, 18 h.
Molecules 22 00516 sch002
Scheme 3. Synthesis of saccharin glycoconjugate 17 from bis-alkyne 6. Reagents and conditions: (i) CuSO4·5H2O (0.2 equiv), 1:1 t-BuOH:water, 45 °C, 87%; (ii) 8% HCl in MeOH, r.t., 90 h, 92%; (iii) TFA, reflux, 18 h, 84%.
Scheme 3. Synthesis of saccharin glycoconjugate 17 from bis-alkyne 6. Reagents and conditions: (i) CuSO4·5H2O (0.2 equiv), 1:1 t-BuOH:water, 45 °C, 87%; (ii) 8% HCl in MeOH, r.t., 90 h, 92%; (iii) TFA, reflux, 18 h, 84%.
Molecules 22 00516 sch003
Scheme 4. Synthesis of saccharin derivatives from N-t-butyl-protected 6-azidosaccharin 3. Reagents and conditions: (i) 3 (1 equiv), alkyne (1 equiv), sodium ascorbate (0.4 equiv), CuSO4·5H2O (0.2 equiv), 1:1 t-BuOH:water, 45 °C–50 °C, 2 h—overnight; (ii) 3 (1 equiv), TMSC≡CH (2 equiv), sodium ascorbate (0.4 equiv), CuSO4·5H2O (0.2 equiv), 1:1 t-BuOH:water, 45 °C, overnight; (iii) 8% HCl in MeOH, r.t., 90 h; (iv) mCPBA, CH2Cl2, 0 °C to r.t.; (v) TFA, reflux, 18 h. The phenyl derivative 18 as previously reported [10].
Scheme 4. Synthesis of saccharin derivatives from N-t-butyl-protected 6-azidosaccharin 3. Reagents and conditions: (i) 3 (1 equiv), alkyne (1 equiv), sodium ascorbate (0.4 equiv), CuSO4·5H2O (0.2 equiv), 1:1 t-BuOH:water, 45 °C–50 °C, 2 h—overnight; (ii) 3 (1 equiv), TMSC≡CH (2 equiv), sodium ascorbate (0.4 equiv), CuSO4·5H2O (0.2 equiv), 1:1 t-BuOH:water, 45 °C, overnight; (iii) 8% HCl in MeOH, r.t., 90 h; (iv) mCPBA, CH2Cl2, 0 °C to r.t.; (v) TFA, reflux, 18 h. The phenyl derivative 18 as previously reported [10].
Molecules 22 00516 sch004

Share and Cite

MDPI and ACS Style

Rankin, G.M.; Poulsen, S.-A. Synthesis of Novel Saccharin Derivatives. Molecules 2017, 22, 516. https://doi.org/10.3390/molecules22040516

AMA Style

Rankin GM, Poulsen S-A. Synthesis of Novel Saccharin Derivatives. Molecules. 2017; 22(4):516. https://doi.org/10.3390/molecules22040516

Chicago/Turabian Style

Rankin, Gregory M., and Sally-Ann Poulsen. 2017. "Synthesis of Novel Saccharin Derivatives" Molecules 22, no. 4: 516. https://doi.org/10.3390/molecules22040516

APA Style

Rankin, G. M., & Poulsen, S.-A. (2017). Synthesis of Novel Saccharin Derivatives. Molecules, 22(4), 516. https://doi.org/10.3390/molecules22040516

Article Metrics

Back to TopTop