Evaluation of Inulin Replacing Chitosan in a Polyurethane/Polysaccharide Material for Pb2+ Removal
Abstract
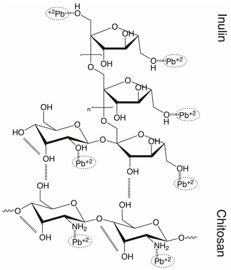
:1. Introduction
2. Results and Discussion
2.1. Blend Characterization
2.2. Removal Experiments
2.3. Kinetic Models
3. Materials and Methods
3.1. Chemical Compounds
3.2. Blends Manufacturing Process
3.3. Characterization and Methods
3.4. Removal Test
3.5. Theoretical Considerations
4. Conclusions
Acknowledgments
Author Contributions
Conflicts of Interest
References
- Cataldo, S.; Gianguzza, A.; Milea, D.; Muratore, N.; Pettignano, A. Pb (II) adsorption by a novel activated carbon—Alginate composite material. A kinetic and equilibrium study. Int. J. Biol. Macromol. 2016, 92, 769–778. [Google Scholar] [CrossRef] [PubMed]
- Ahmed, J.K.; Ahmaruzzaman, M. A review on potential usage of industrial waste materials for binding heavy metal ions from aqueous solutions. J. Water Process Eng. 2016, 10, 39–47. [Google Scholar] [CrossRef]
- Werkenthin, M.; Kluge, B.; Wessolek, G. Metals in European roadside soils and soil solution—A review. Environ. Pollut. 2014, 189, 98–110. [Google Scholar] [CrossRef] [PubMed]
- Wismer, T.; Dabvt, D.V.M. Lead. In Small Animal Toxicology, 3rd ed.; Elsevier Inc.: Amsterdam, The Netherlands, 2013. [Google Scholar] [CrossRef]
- Yoshinaga, J.; Yamasaki, K.; Yonemura, A.; Ishibashi, Y.; Kaido, T.; Mizuno, K.; Tanaka, A. Lead and other elements in house dust of Japanese residences e Source of lead and health risks due to metal exposure. Environ. Pollut. 2014, 189, 223–228. [Google Scholar] [CrossRef] [PubMed]
- Nabavi-Pelesaraei, A.B.; Bayat, R.; Hosseinzadeh-Bandbafha, H.; Afrasyabi, H.; Berrada, A. Prognostication of energy use and environmental impacts for recycle system of municipal solid waste management. J. Clean. Prod. 2017, 154, 602–613. [Google Scholar] [CrossRef]
- Zhang, C.X.; You, X.-Y. Application of EFDC model to grading the eutrophic state of reservoir: Case study in Tianjin Erwangzhuang Reservoir, China. Eng. Appl. Comput. Fluid Mech. 2017, 11, 111–126. [Google Scholar] [CrossRef]
- Chen, X.Y.; Chau, K.W. A hybrid double feedforward neural network for suspended sediment load estimation. Water Resour. Manag. 2016, 30, 2179–2194. [Google Scholar] [CrossRef]
- Kamath, A.; AlaganChella, M.A.; Bihs, H.; Arntsen, O.A. Energy transfer due to shoaling and decomposition of breaking and non-breaking waves over a submerged bar. Eng. Appl. Comput. Fluid Mech. 2017, 11, 450–466. [Google Scholar] [CrossRef]
- Wang, W.C.; Xu, D.M.; Chau, K.W.; Lei, G.J. Assessment of river water quality based on theory of variable fuzzy sets and fuzzy binary comparison method. Water Resour. Manag. 2014, 28, 4183–4200. [Google Scholar] [CrossRef]
- Wu, C.L.; Chau, K.W.; Fan, C. Prediction of rainfall time series using modular artificial neural networks coupled with data-preprocessing techniques. J. Hydrol. 2010, 389, 146–167. [Google Scholar] [CrossRef]
- Fu, F.; Wang, Q. Removal of heavy metal ions from wastewaters: A review. J. Environ. Manag. 2011, 92, 407–418. [Google Scholar] [CrossRef] [PubMed]
- Abo-Farha, S.A.; Abdel-Aal, A.Y.; Ashour, I.A.; Garamon, S.E. Removal of some heavy metal cations by synthetic resin purolite C100. J. Hazard. Mater. 2009, 169, 190–194. [Google Scholar] [CrossRef] [PubMed]
- Mousa, N.E.; Simonescu, C.M.; Onose, C.; Tardei, C.; Culit, D.C.; Lavric, V.; Simonescu, C.M. Pb2+ removal from aqueous synthetic solutions by calcium alginate and chitosan coated calcium alginate. React. Funct. Polym. 2016, 109, 137–150. [Google Scholar] [CrossRef]
- Özverdi, A.; Erdem, M. Cu2+, Cd2+ and Pb2+ adsorption from aqueous solutions by pyrite and synthetic iron sulphide. J. Hazard. Mater. 2006, 137, 626–632. [Google Scholar] [CrossRef] [PubMed]
- Azalea, Z.; Marsin, M.; Juhanni, K.; Karim, A.; Aini, W.; Ibrahim, W. Preparation of methacrylamide-functionalized crosslinked chitosan by free radical polymerization for the removal of lead ions. Carbohydr. Polym. 2016, 151, 1091–1099. [Google Scholar] [CrossRef]
- Mallakpour, S.; Madani, M. Adsorbent for the removal of lead ions. Carbohydr. Polym. 2016, 147, 53–59. [Google Scholar] [CrossRef] [PubMed]
- Argüello, L.; Hernandez-martínez, A.R.; Rodríguez, A.; Gustavo, A.; Esparza, R.; Estevez, M. Novel chitosan/polyurethane/anatasetitaniaporoushybridcompositeforremoval of metal ionswaste. J. Chem. Technol. Biotechnol. 2016, 91, 2185–2197. [Google Scholar] [CrossRef]
- Cho, D.; Jeon, B.; Jeong, Y.; Nam, I.; Choi, U. Synthesis of hydrous zirconium oxide-impregnated chitosan beads and their application for removal of fluoride and lead. Appl. Surf. Sci. 2016, 372, 13–19. [Google Scholar] [CrossRef]
- Gupta, A.; Yunus, M.; Sankararamakrishnan, N. Equilibrium and dynamic studies of the removal of As (III) and As (V) from contaminated aqueous systems using a functionalized biopolymer. J. Chem. Technol. Biotechnol. 2012, 87, 546–552. [Google Scholar] [CrossRef]
- Mohamed, M.; Zulkali, D.; Ahmad, A.L.; Norulakmal, N.H. Comparative studies of Oryza sativa L. husk and chitosan as lead adsorbent. J. Chem. Technol. Biotechnol. 2006, 81, 1324–1327. [Google Scholar] [CrossRef]
- Suc, N.; van Thi, H.; Ly, Y. Lead (II) removal from aqueous solution by chitosan flake modified with citric acid via crosslinking with glutaraldehyde. J. Chem. Technol. Biotechnol. 2013, 88, 1641–1649. [Google Scholar] [CrossRef]
- Rahul, R.; Jha, U.; Sen, G.; Mishra, S. Carboxymethyl inulin: A novel flocculant for wastewater treatment. Int. J. Biol. Macromol. 2014, 63, 1–7. [Google Scholar] [CrossRef] [PubMed]
- Rahul, R.; Jha, U.; Sen, G.; Mishra, S. A novel polymeric flocculant based on polyacrylamide grafted inulin: Aqueous microwave assisted synthesis. Carbohydr. Polym. 2014, 99, 11–21. [Google Scholar] [CrossRef] [PubMed]
- Curcio, S.; Ricca, E.; Saraceno, A.; Iorio, G.; Calabrò, V. A mass transport/kinetic model for the description of inulin hydrolysis by immobilized inulinase. J. Chem. Technol. Biotechnol. 2015, 90, 1782–1792. [Google Scholar] [CrossRef]
- Georgina, A.; Pontes, O.; Lima, K.; Gonc, S.; Soares, A.A.; Pessoa, J.; Bandeira, M. Identification and determination of the inulin content in the roots of the Northeast Brazilian species Pombalia calceolaria L. Carbohydr. Polym. 2016, 149, 391–398. [Google Scholar] [CrossRef]
- Silva, M.F.; Golunski, M.; Rigo, D.; Luccio, D.; Mazutti, M.A.; Pergher, S.B.C.; Treichel, H. Liquefied petroleum gas as solvent medium for the treatment of immobilized inulinases. J. Chem. Technol. Biotechnol. 2013, 88, 280–286. [Google Scholar] [CrossRef]
- Zhang, W.; Yang, J.; Wu, X.; Hu, Y.; Yu, W.; Wang, J.; Kumar, R.V. A critical review on secondary lead recycling technology and its prospect. Renew. Sustain. Energy Rev. 2016, 61, 108–122. [Google Scholar] [CrossRef]
- Zhang, Y.; Huo, X.; Cao, J.; Yang, T.; Xu, L.; Xu, X. Elevated lead levels and adverse effects on natural killer cells in children from an electronic waste recycling area. Environ. Pollut. 2016, 213, 143–150. [Google Scholar] [CrossRef] [PubMed]
- Radice, S.; Turri, S.; Scicchitano, M. Fourier transform infrared studies on deblocking and crosslinking mechanisms of some fluorine containing monocomponent polyurethanes. Appl. Spectrosc. 2004, 58, 535–542. [Google Scholar] [CrossRef] [PubMed]
- Cardenas, G.; Miranda, S.P. FTIR and TGA studies of chitosan composite films. J. Chil. Chem. Soc. 2004, 49, 291–295. [Google Scholar] [CrossRef]
- Dan, A.; Ghosh, S.; Moulik, S.P. Physicochemical studies on the biopolymer inulin: A critical evaluation of its self-aggregation, aggregate-morphology, interaction with water, and thermal stability. Biopolymers 2009, 91, 687–699. [Google Scholar] [CrossRef] [PubMed]
- Hong, P.Z.; Li, S.D.; Ou, C.Y.; Li, C.P.; Yang, L.; Zhang, C.H. Thermogravimetric analysis of chitosan. J. Appl. Polym. Sci. 2007, 105, 547–551. [Google Scholar] [CrossRef]
- Jin, J.F.; Chen, Y.L.; Wang, D.N.; Hu, C.P.; Zhu, S.; Vanoverloop, L.; Randall, D. Structures and physical properties of rigid polyurethane foam prepared with rosin-based polyol. J. Appl. Polym. Sci. 2002, 84, 598–604. [Google Scholar] [CrossRef]
- Zhang, Y.; Shang, S.; Zhang, X.; Wang, D.; Hourston, D.J. Influence of the composition of rosin-based rigid polyurethane foams on their thermal stability. J. Appl. Polym. Sci. 1996, 59, 1167–1171. [Google Scholar] [CrossRef]
- Lewicki, J.P.; Pielichowski, K.; De La Croix, P.T.; Janowski, B.; Todd, D.; Liggat, J.J. Thermal degradation studies of polyurethane/POSS nanohybrid elastomers. Polym. Degrad. Stab. 2010, 95, 1099–1105. [Google Scholar] [CrossRef]
- Trovati, G.; Sanches, E.A.; Neto, S.C.; Mascarenhas, Y.P.; Chierice, G.O. Characterization of polyurethane resins by FTIR, TGA, and XRD. J. Appl. Polym. Sci. 2010, 115, 263–268. [Google Scholar] [CrossRef]
- Liu, W.; Tian, J.; Chen, L.; Guo, Y. Temporal and spatial characteristics of lead emissions from the lead-acid battery manufacturing industry in China. Environ. Pollut. 2017, 220, 696–703. [Google Scholar] [CrossRef] [PubMed]
- Karthik, R.; Meenakshi, S. Chemical modification of chitin with polypyrrole for the uptake of Pb(II) and Cd(II) ions. Int. J. Biol. Macromol. 2015, 78, 157–164. [Google Scholar] [CrossRef] [PubMed]
- Karthik, R.; Meenakshi, S. Removal of Pb(II) and Cd(II) ions from aqueous solution using polyaniline grafted chitosan. Chem. Eng. J. 2015, 263, 168–177. [Google Scholar] [CrossRef]
- Tian, G.; Wang, W.; Zong, L.; Wang, A. MgO/palygorskite adsorbent derived from natural Mg-rich brine and palygorskite for high-efficient removal of Cd(II) and Zn(II) ions. J. Environ. Chem. Eng. 2017, 5, 1027–1036. [Google Scholar] [CrossRef]
- Wang, W.; Zong, L.; Wang, A. A nanoporous hydrogel based on vinyl-functionalized alginate for efficient absorption and removal of Pb2+ ions. Int. J. Biol. Macromol. 2013, 62, 225–231. [Google Scholar] [CrossRef] [PubMed]
- Oppon, C.; Hackney, P.M.; Shyha, I.; Birkett, M. Effect of Varying Mixing Ratios and Pre-Heat Temperature on the Mechanical Properties of Polyurethane (PU) Foam. Procedia Eng. 2015, 132, 701–708. [Google Scholar] [CrossRef]
- Krzek, J.A.N.; Apola, A.; Stolarczyk, M.; Rzeszutko, W.O. Analysis spectrophotometric determination of Pb (II), Fe (Iii) and Bi (III) in complexes with 1, 2-Diaminocyclohexane-N,N,Ní,Ní-Tetraacetic Acid (Dact). Acta Pol. Pharm. 2007, 64, 3–8. [Google Scholar] [PubMed]
- Beauchemin, D. Inductively coupled plasma mass spectrometry. Anal. Chem. 2008, 80, 4455–4486. [Google Scholar] [CrossRef] [PubMed]
- Yan, J.; Indra, E.M. Colorimetric Method for Determining Pb2+ Ions in Water Enhanced with Non-Precious-Metal Nanoparticles. Anal. Chem. 2012, 84, 6122–6127. [Google Scholar] [CrossRef] [PubMed]
- Largitte, L.; Pasquier, R. A review of the kinetics adsorption models and their application to the adsorption of lead by an activated carbon. Chem. Eng. Res. Des. 2016, 109, 495–504. [Google Scholar] [CrossRef]
- Ho, Y.S.; McKay, G. Pseudo-second order model for sorption processes. Process Biochem. 1999, 34, 451–465. [Google Scholar] [CrossRef]
- Plazinski, Z.; Dziuba, J.; Rudzinski, W. Modeling of sorption kinetics: The pseudo-second order equation and the sorbateintraparticle diffusivity. Adsorption 2013, 19, 1055–1064. [Google Scholar] [CrossRef]
- Olu-Owolabi, B.; Diagboya, P.; Adebowale, K. Evaluation of pyrene sorption-desorption on tropical soils. J. Environ. Manag. 2014, 137, 1–9. [Google Scholar] [CrossRef] [PubMed]
- Kant, A.; Gaijon, P.; Nadeem, U. Adsorption equilibrium and kinetics of crystal violet dye from aqueous media onto waste material. Chem. Sci. Rev. Lett. 2014, 3, 1–13. [Google Scholar]
- Azizian, S. Kinetic models of sorption: A theoretical analysis. J. Colloid Interface Sci. 2004, 276, 47–52. [Google Scholar] [CrossRef] [PubMed]
Sample Availability: Samples of the compounds described in the text are available from the authors. |









| Kinetic Models | Material | |||
|---|---|---|---|---|
| PI | PC | PCI | ||
| Pseudofirst-order model | qe,exp (mg·g−1) | 0.2463 | 0.1915 | 0.5523 |
| qe,cal (mg·g−1) | 0.1611 | 0.1772 | 0.3482 | |
| k1 (min−1) | 0.00957 | 0.00180 | 0.00579 | |
| R2 | 0.8913 | 0.9463 | 0.8757 | |
| Pseudosecond-order model | qe,cal (mg·g−1) | 0.2603 | 0.2552 | 0.5938 |
| K2 (g·mg−1·min−1) | 0.10400 | 0.00906 | 0.02914 | |
| K2i (mgg−1·min−1) | 0.00705 | 0.00059 | 0.01027 | |
| R2 | 0.9996 | 0.6545 | 0.9992 | |
| Langmuir model | qm (mg·g−1) | 0.2669 | 0..4437 | 0.7402 |
| b (L·mg−1) | 1.7412 | 0.1393 | 0.1768 | |
| R2 | 0.9999 | 0.9821 | 0.9665 | |
| Freundlich model | K (mg·g−1) | 0.1682 | 0.0589 | 0.1505 |
| n | 0.2177 | 0.7141 | 0.4882 | |
| R2 | 0.9385 | 0.9939 | 0.8441 | |
| Sample | Inulin (g) | Chitosan (g) | Polyurethane (g) |
|---|---|---|---|
| PC | 0 | 3 | 3 |
| PI | 3 | 0 | 3 |
| PCI | 1.5 | 1.5 | 3 |
© 2017 by the authors. Licensee MDPI, Basel, Switzerland. This article is an open access article distributed under the terms and conditions of the Creative Commons Attribution (CC BY) license (http://creativecommons.org/licenses/by/4.0/).
Share and Cite
Hernández-Martínez, A.R.; Molina, G.A.; Jiménez-Hernández, L.F.; Oskam, A.H.; Fonseca, G.; Estevez, M. Evaluation of Inulin Replacing Chitosan in a Polyurethane/Polysaccharide Material for Pb2+ Removal. Molecules 2017, 22, 2093. https://doi.org/10.3390/molecules22122093
Hernández-Martínez AR, Molina GA, Jiménez-Hernández LF, Oskam AH, Fonseca G, Estevez M. Evaluation of Inulin Replacing Chitosan in a Polyurethane/Polysaccharide Material for Pb2+ Removal. Molecules. 2017; 22(12):2093. https://doi.org/10.3390/molecules22122093
Chicago/Turabian StyleHernández-Martínez, Angel Ramon, Gustavo A. Molina, Luis Fernando Jiménez-Hernández, Adrian Hendrik Oskam, Gerardo Fonseca, and Miriam Estevez. 2017. "Evaluation of Inulin Replacing Chitosan in a Polyurethane/Polysaccharide Material for Pb2+ Removal" Molecules 22, no. 12: 2093. https://doi.org/10.3390/molecules22122093
APA StyleHernández-Martínez, A. R., Molina, G. A., Jiménez-Hernández, L. F., Oskam, A. H., Fonseca, G., & Estevez, M. (2017). Evaluation of Inulin Replacing Chitosan in a Polyurethane/Polysaccharide Material for Pb2+ Removal. Molecules, 22(12), 2093. https://doi.org/10.3390/molecules22122093
