Inhibitory Effects of Constituents from the Aerial Parts of Rosmarinus officinalis L. on Triglyceride Accumulation
Abstract
:1. Introduction
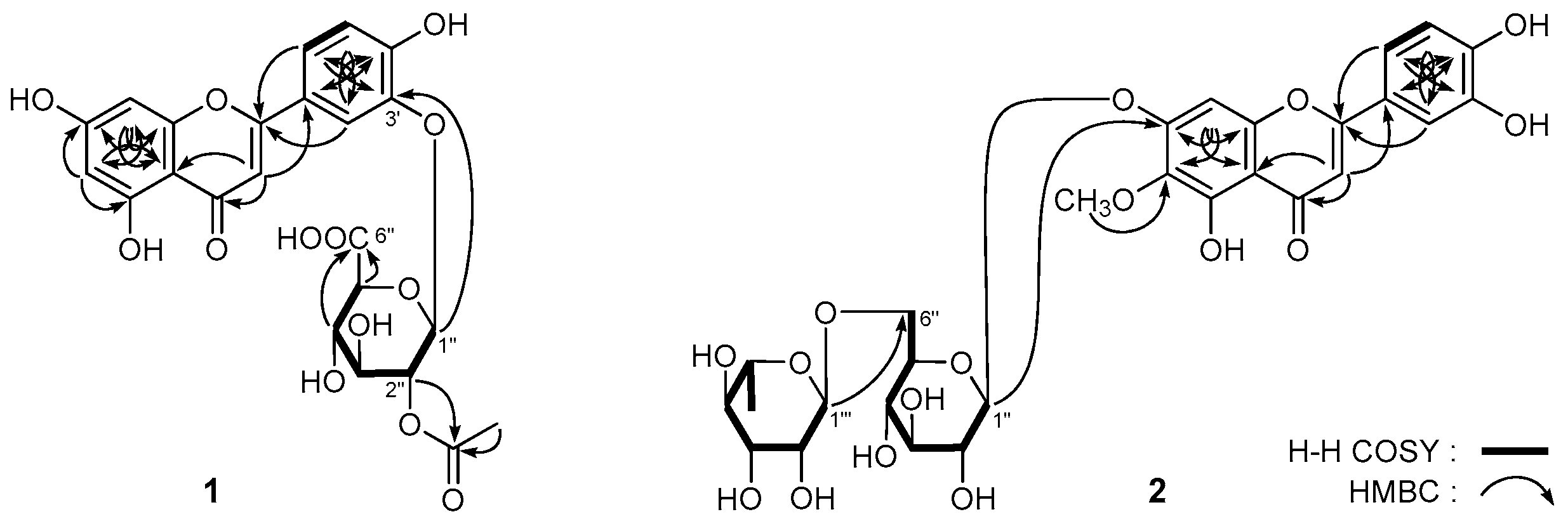
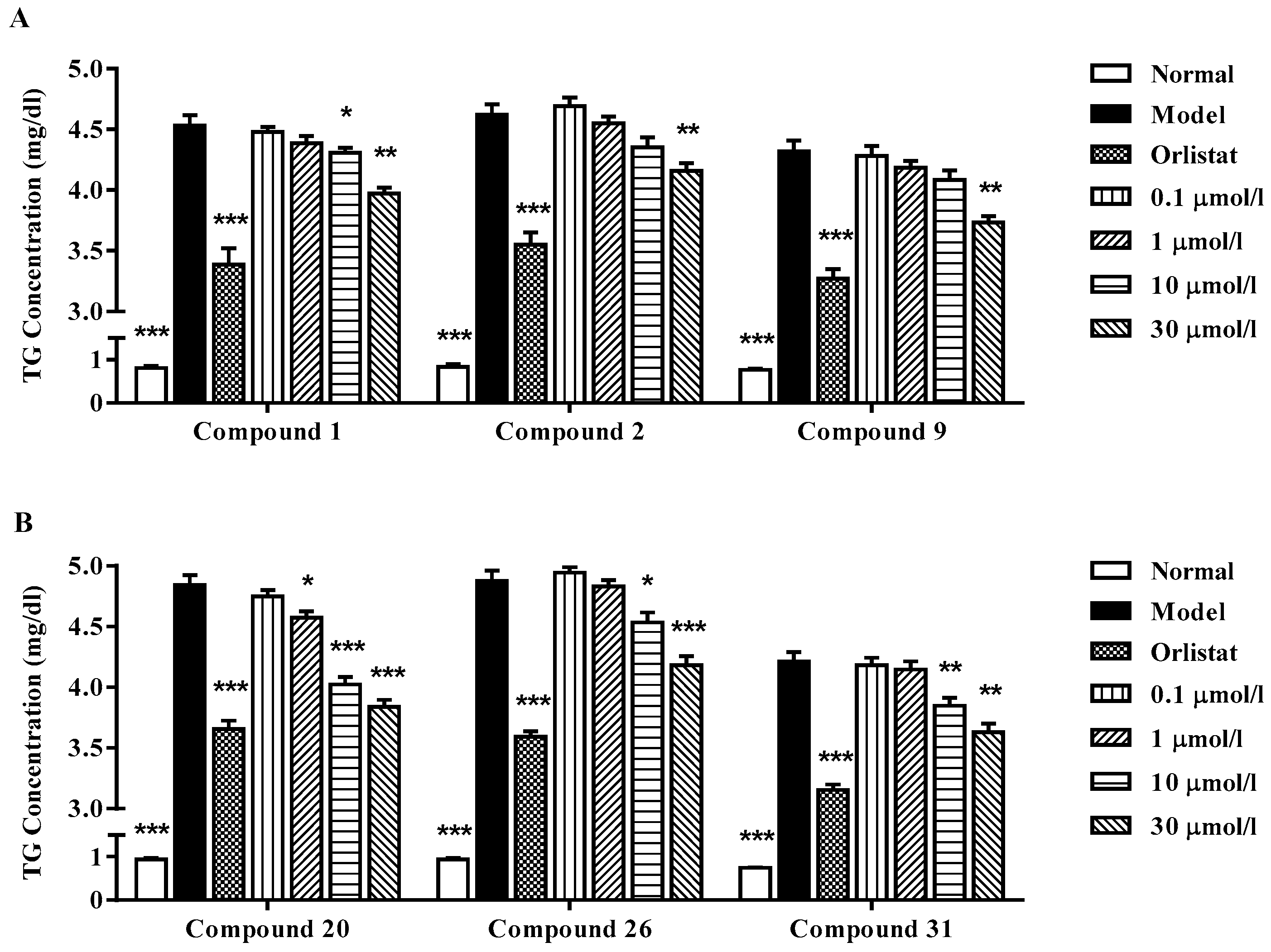
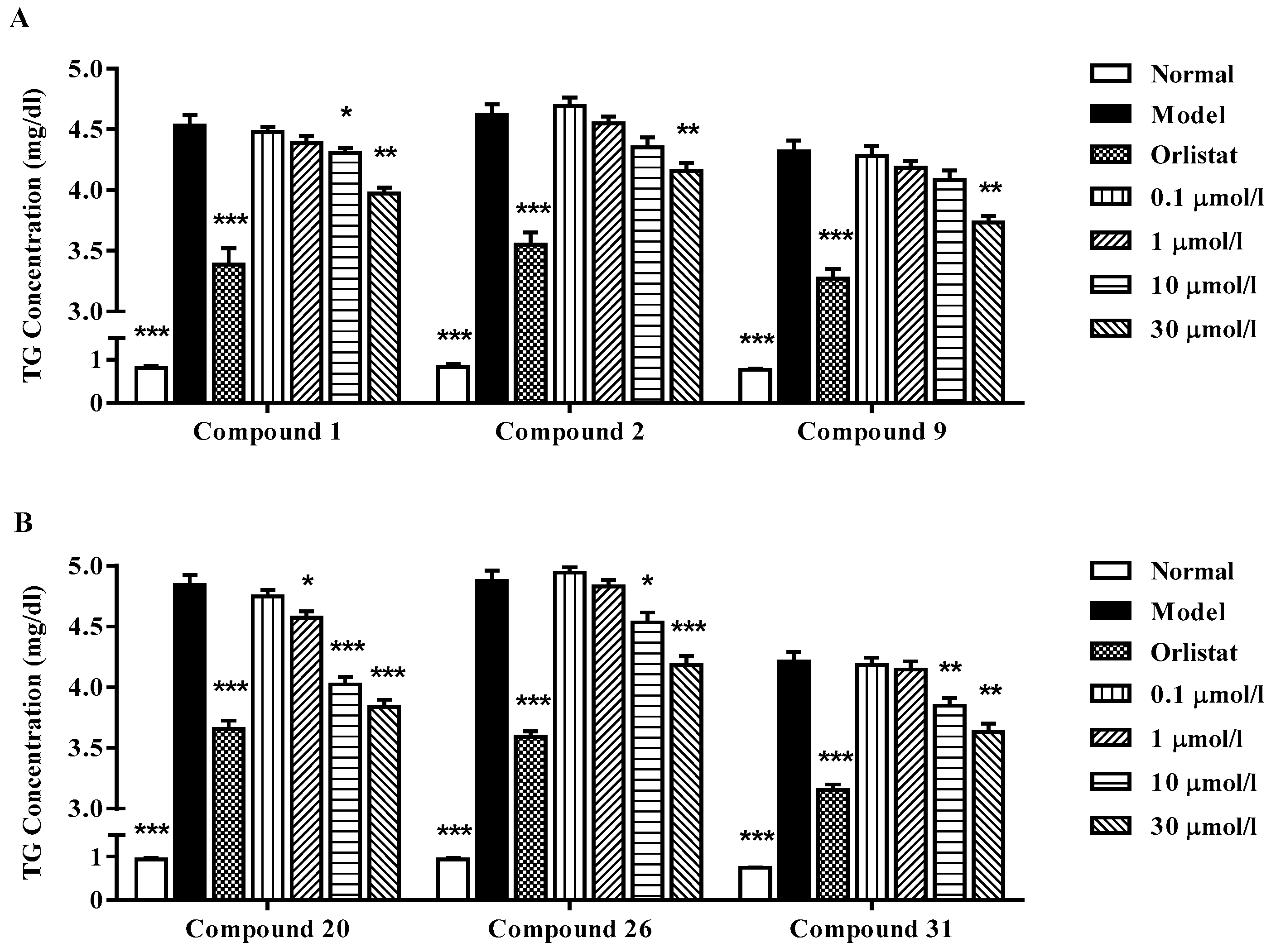
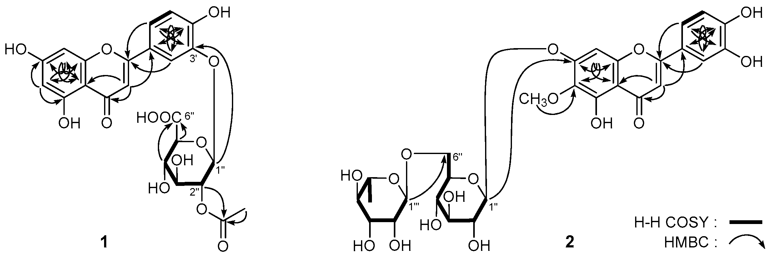
2. Results and Discussion
3. Experimental Section
3.1. General
3.2. Plant Material
3.3. Extraction and Isolation
3.4. Evaluation of Effects on Sodium oleate-induced TG Accumulation in HepG2 Cells
3.5. Statistical Analysis
4. Conclusions
Acknowledgments
Author Contributions
Conflicts of Interest
References
- Moore, J.; Yousef, M.; Tsiani, E. Anticancer Effects of Rosemary (Rosmarinus officinalis L.) Extract and Rosemary Extract Polyphenols. Nutrients 2016, 8, 731. [Google Scholar] [CrossRef] [PubMed]
- Zhang, Y.; Adelakun, T.A.; Qu, L.; Li, X.; Li, J.; Han, L.; Wang, T. New terpenoid glycosides obtained from Rosmarinus officinalis L. aerial parts. Fitoterapia 2014, 99C, 78–85. [Google Scholar] [CrossRef] [PubMed]
- Li, Z.; Chen, Z.; Li, X.; Xu, Q.; Yang, S. Chemical constituents in roots and stems of Physalis alkekengi var. franchetii. Zhongcaoyao 2012, 43, 1910–1912. [Google Scholar]
- Ren, Y.; Yang, J. Study on chemical constituents of Saussurea tridactyla Sch-Bip II. Zhongguo Yaoxue Zazhi 2001, 36, 590–593. [Google Scholar]
- Okamura, N.; Haraguchi, H.; Hashimoto, K.; Yagi, A. Flavonoids in Rosmarinus officinalis leaves. Phytochemistry 1994, 37, 1463–1466. [Google Scholar] [CrossRef]
- Sathiamoorthy, B.; Gupta, P.; Kumar, M.; Chaturvedi, A.K.; Shukla, P.K.; Mauryam, R. New antifungal flavonoid glycoside from Vitex negundo. Bioorg. Med. Chem. Lett. 2007, 17, 239–242. [Google Scholar] [CrossRef] [PubMed]
- Na, Z.; Feng, Y.; Xu, Y. Chemical constituents from aerial parts of Eupatorium odoratum. Zhongcaoyao 2012, 43, 1896–1900. [Google Scholar]
- Chen, S.; Wang, L.; Gao, G.; Liao, M.; Xiao, P. Studies on flavonoids from Aquilegia oxysepala. Zhongguo Zhongyao Zazhi 1999, 24, 158–160. [Google Scholar] [PubMed]
- Zheng, D.; Zhang, X.-Q.; Wang, Y.; Ye, W.-C. Chemical constituents of the aerial parts of Blumea riparia. Zhongguo Tianran Yaowu 2007, 5, 421–424. [Google Scholar]
- Pan, C.; Zhang, G.; Mi, W.; Chenm, L.; Wang, Q.; He, J. Flavoniod glycosides from whole plant of Leontopodium leontopodioides (Wild.) Beauv. Shenyang Yaoke Daxue Xuebao 2009, 26, 886–888. [Google Scholar]
- Wu, F.-H.; Liang, J.-Y.; Chen, R.; Wang, Q.-Z.; Li, W.-G. Chemical constituents and hepatoprotective activity of Plantago depressa. Zhongguo Tianran Yaowu 2006, 4, 435–439. [Google Scholar]
- Gao, J.; Li, J.; An, Y.; Liu, X.; Qian, Q.; Wu, Y.; Zhang, Y.; Wang, T. Increasing effect of Tangzhiqing formula on IRS-1-dependent PI3K/AKT signaling in muscle. BMC Complement. Altern. Med. 2014, 14, 198. [Google Scholar] [CrossRef] [PubMed]
- Sample Availability: Samples of all the compounds are available from the authors.







| No. | δC | δH (J in Hz) | No. | δC | δH (J in Hz) |
|---|---|---|---|---|---|
| 2 | 163.2 | - | 4′ | 151.7 | - |
| 3 | 103.1 | 6.81 (s) | 5′ | 116.8 | 7.01 (d, 8.0) |
| 4 | 181.7 | - | 6′ | 122.4 | 7.66 (br. d, ca. 8) |
| 5 | 161.4 | - | 1′′ | 98.8 | 5.39 (d, 8.0) |
| 6 | 98.8 | 6.21 (br. s) | 2′′ | 73.2 | 4.89 (dd, 8.0, 8.0) |
| 7 | 164.2 | - | 3′′ | 73.4 | 3.57 (dd, 8.0, 8.0) |
| 8 | 94.0 | 6.51 (br. s) | 4′′ | 71.5 | 3.55 (dd, 8.0, 8.0) |
| 9 | 157.2 | - | 5′′ | 75.2 | 4.01 (d, 8.0 Hz) |
| 10 | 103.6 | - | 6′′ | 170.3 | - |
| 1′ | 121.3 | - | 2′′-COCH3 | 169.1 | - |
| 2′ | 115.7 | 7.69 (br. s) | 2′′-COCH3 | 20.9 | 2.07 (s) |
| 3′ | 144.9 | - | 5-OH | - | 12.94 (br. s) |
| No. | δC | δH (J in Hz) | No. | δC | δH (J in Hz) |
|---|---|---|---|---|---|
| 2 | 164.8 | - | 1′′ | 100.3 | 5.13 (d, 7.5) |
| 3 | 102.4 | 6.70 (s) | 2′′ | 73.1 | 3.32 (m, overlapped) |
| 4 | 182.0 | - | 3′′ | 76.4 | 3.32 (m, overlapped) |
| 5 | 152.7 | - | 4′′ | 69.4 | 3.21 (dd, 9.0, 9.0) |
| 6 | 132.7 | - | 5′′ | 75.5 | 3.61 (m) |
| 7 | 156.3 | - | 6′′ | 65.8 | 3.51 (dd, 4.5, 12.0) |
| 8 | 94.2 | 6.89 (s) | 3.85 (br. d, ca. 12) | ||
| 9 | 152.1 | - | 1′′′ | 100.3 | 4.57 (br. s) |
| 10 | 105.8 | - | 2′′′ | 70.3 | 3.64 (br. d, ca. 3) |
| 1′ | 120.7 | - | 3′′′ | 70.7 | 3.46 (dd, 3.0, 9.0) |
| 2′ | 113.2 | 7.41 (d, 2.0) | 4′′′ | 71.9 | 3.15 (dd, 9.0, 9.0) |
| 3′ | 146.2 | - | 5′′′ | 68.2 | 3.42 (m) |
| 4′ | 150.8 | - | 6′′′ | 17.7 | 1.05 (d, 6.5) |
| 5′ | 115.9 | 6.90 (d, 8.0) | 6-OCH3 | 60.2 | 3.77 (s) |
| 6′ | 119.0 | 7.40 (dd, 2.0, 8.0) | 5-OH | - | 13.06 (br. s) |
© 2017 by the authors. Licensee MDPI, Basel, Switzerland. This article is an open access article distributed under the terms and conditions of the Creative Commons Attribution (CC-BY) license ( http://creativecommons.org/licenses/by/4.0/).
Share and Cite
Li, J.; Adelakun, T.A.; Wang, S.; Ruan, J.; Yang, S.; Li, X.; Zhang, Y.; Wang, T. Inhibitory Effects of Constituents from the Aerial Parts of Rosmarinus officinalis L. on Triglyceride Accumulation. Molecules 2017, 22, 110. https://doi.org/10.3390/molecules22010110
Li J, Adelakun TA, Wang S, Ruan J, Yang S, Li X, Zhang Y, Wang T. Inhibitory Effects of Constituents from the Aerial Parts of Rosmarinus officinalis L. on Triglyceride Accumulation. Molecules. 2017; 22(1):110. https://doi.org/10.3390/molecules22010110
Chicago/Turabian StyleLi, Jian, Tiwalade Adegoke Adelakun, Sijian Wang, Jingya Ruan, Shengcai Yang, Xiaoxia Li, Yi Zhang, and Tao Wang. 2017. "Inhibitory Effects of Constituents from the Aerial Parts of Rosmarinus officinalis L. on Triglyceride Accumulation" Molecules 22, no. 1: 110. https://doi.org/10.3390/molecules22010110
APA StyleLi, J., Adelakun, T. A., Wang, S., Ruan, J., Yang, S., Li, X., Zhang, Y., & Wang, T. (2017). Inhibitory Effects of Constituents from the Aerial Parts of Rosmarinus officinalis L. on Triglyceride Accumulation. Molecules, 22(1), 110. https://doi.org/10.3390/molecules22010110
