Abstract
Dammarane-type triterpenoids (DTT) widely distribute in various medicinal plants. They have generated a great amount of interest in the field of new drug research and development. Generally, DTT are the main bioactive ingredients abundant in Araliaceae plants, such as Panax ginseng, P. japonicas, P. notoginseng, and P. quinquefolium. Aside from Araliaceae, DTT also distribute in other families, including Betulaceae, Cucurbitaceae, Meliaceae, Rhamnaceae, and Scrophulariaceae. Until now, about 136 species belonging to 46 families have been reported to contain DTT. In this article, the genus classifications of plant sources of the botanicals that contain DTT are reviewed, with particular focus on the NMR spectral features and pharmacological activities based on literature reports, which may be benefit for the development of new drugs or food additives.
1. Introduction
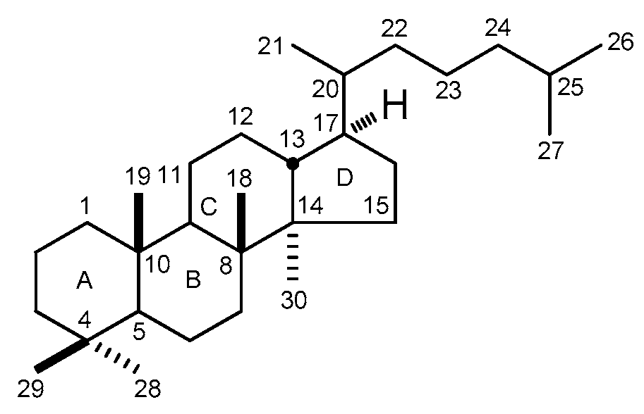
Dammarane-type triterpenoids (DTT) belong to tetracyclic ring triterpenoids. Their structural characteristic is with 5α-H, C8β-CH3, 9α-H, C10β-CH3, C13β-H, C14α-CH3, C17β-side chain, and 20R or S configuration (Figure 1). Usually, C-3, -6, -7, -12, -20, -23, -24, or -25 are replaced by hydroxyl group; C-3, -6, or -20 are substituted by saccharide groups; and olefinic bond are formatted between C-5 and -6, C-20 and -21, C-20 and -22, C-22 and -23, C-24 and -25 or C-25 and -26. Moreover, cyclization generally displays at C17-side chain. Specifically, a five-membered ring with epoxy bond is usually formed between C-20 and C-24, a five-membered lactone ring usually appears between C-21 and C-23, and a six-membered ring with epoxy bond displays between C-20 and C-25 for DTT. They are usually classified into protopanaxdiol (PPD) and protopanaxtriol (PPT, with 6-OH) groups based on their aglycone moieties.
Figure 1.
The basic skeleton of dammarane-type triterpenoids.
As one of the main secondary metabolites of a number of Traditional Chinese Medicines (TCM), DTT have gained more and more attention around the world owing to their remarkable biological activities [1], and display specific plant distribution.
In order to complete and enrich the resource investigation of DTT, we summarize the literatures (1965–2016) describing this type of triterpenoids, which were extracted from various botanicals. Thus, 136 species, 79 genera, and 46 families containing DTT are summarized to reveal their plant sources.
As is known, pharmacodynamic substance research is based on structural determination, among various structural analysis methods such as ultraviolet, infrared, optical rotation, circular dichroism, nuclear magnetic resonance (NMR), and Mass spectral analysis. NMR plays an important role in structural identification. Here, the characteristics of 1H- and 13C-NMR spectra for DTT together with the 13C-NMR chemical shift changes caused by various substituent groups for DTT are summarized. The work may be helpful to discriminate DTT rapidly and conveniently.
Furthermore, in pharmacological research, DTT, as well as their derivatives, showed various bioactivities such as anti-tumor, anti-inflammatory, immunostimulatory, neuronal cell proliferatory, anti-aging, anti-bacterial, anti-diabetes, and anti-osteoporosis abilities. Among the multiple DTT, ginsenoside Rg3 as the first anti-cancer monomer isolated from TCM, has been applied as a kind of auxiliary anti-cancer drug to increase efficacy and release of the chemotherapy-induced symptoms, and has been proven to be effective and safe [2,3]. Why does ginsenoside Rg3, a relatively rare DTT obtained from P. ginseng, exhibit excellent biological activity? Do other DTT perform similar ability? The explanations of their structure-activity relationships (SARs) summarized in the following might be helpful to answer these questions.
2. Plant Resources of DTT
In order to complete and enrich the resource investigation of DTT, we summarize the literatures (1965–2016) describing this type of triterpenoids, extracted from various botanicals. In Table 1, 136 species, from Araliaceae, Cucurbitaceae, Rhamnaceae, and Meliaceae families, together with 42 others are summarized [4,5,6,7,8,9,10,11,12,13,14,15,16,17,18,19,20,21,22,23,24,25,26,27,28,29,30,31,32,33,34,35,36,37,38,39,40,41,42,43,44,45,46,47,48,49,50,51,52,53,54,55,56,57,58,59,60,61,62,63,64,65,66,67,68,69,70,71,72,73,74,75,76,77,78,79,80,81,82,83,84,85,86,87,88,89,90,91,92,93,94,95,96,97,98,99,100,101,102,103,104,105,106,107,108,109,110,111,112,113,114,115,116,117,118,119,120,121,122,123,124,125,126,127,128,129,130,131,132].
Table 1.
Plant sources of DTT.
3. NMR Spectral Characteristic of DTT
Meanwhile, more than 760 kinds of DTT were reported from 1965 to 2016. Summarizing the DTT NMR data, we know that the characteristics of 1H-NMR spectra for dammarane-type sapogenin are always seven or eight singlet that belong to methyl signals in the high field δ 0.6~1.5. The chemical shift values of olefinic protons usually locate in δ 4.3~6.0, and the proton signals of oxygen carbon may appear in δ 4.0~5.5. For the 13C-NMR spectra, the chemical shift values are usually divided in 3~4 ranges: δ 8.0~60.0 (methyl, methene, methine, and quaternary carbon; angular methyl generally located in 8~35), δ 60.0~90.0 (oxygen-methine and quaternary carbon), δ 109.0~160.0 (olefinic carbon), and 170.0~220.0 (carbonyl carbons).
Besides these NMR techniques for structure identification of natural products, application of chemical shift rules summarized from reports on similar type compounds will be useful for structure determination.
Here, the aglycone parts’ NMR data of 33 representative common DTT were chosen to summarize the NMR chemical shift rules caused by varieties of substituent groups such as hydroxyl, carbonyl, olefinic bond, glycosyl, and cyclization. The work may be helpful to discriminate DTT rapidly and conveniently. As the 13C-NMR occupy more crucial positions than their 1H-NMR, the examples listed below were primarily elucidated by their carbon chemical shift values (Table 2).
Table 2.
13C-NMR data for the aglycone parts of compounds 1–33.
3.1. Hydroxyl
Hydroxyls usually occur at C-3, -6, -12 and/or -20 positions, however, the chemical shift values caused by hydroxyl substitution are different from each other (δC-3 ~78, δC-6 66~68, δC-12 70~72, δC-20 ~74, in C5D5N or CDCl3, Table 2).
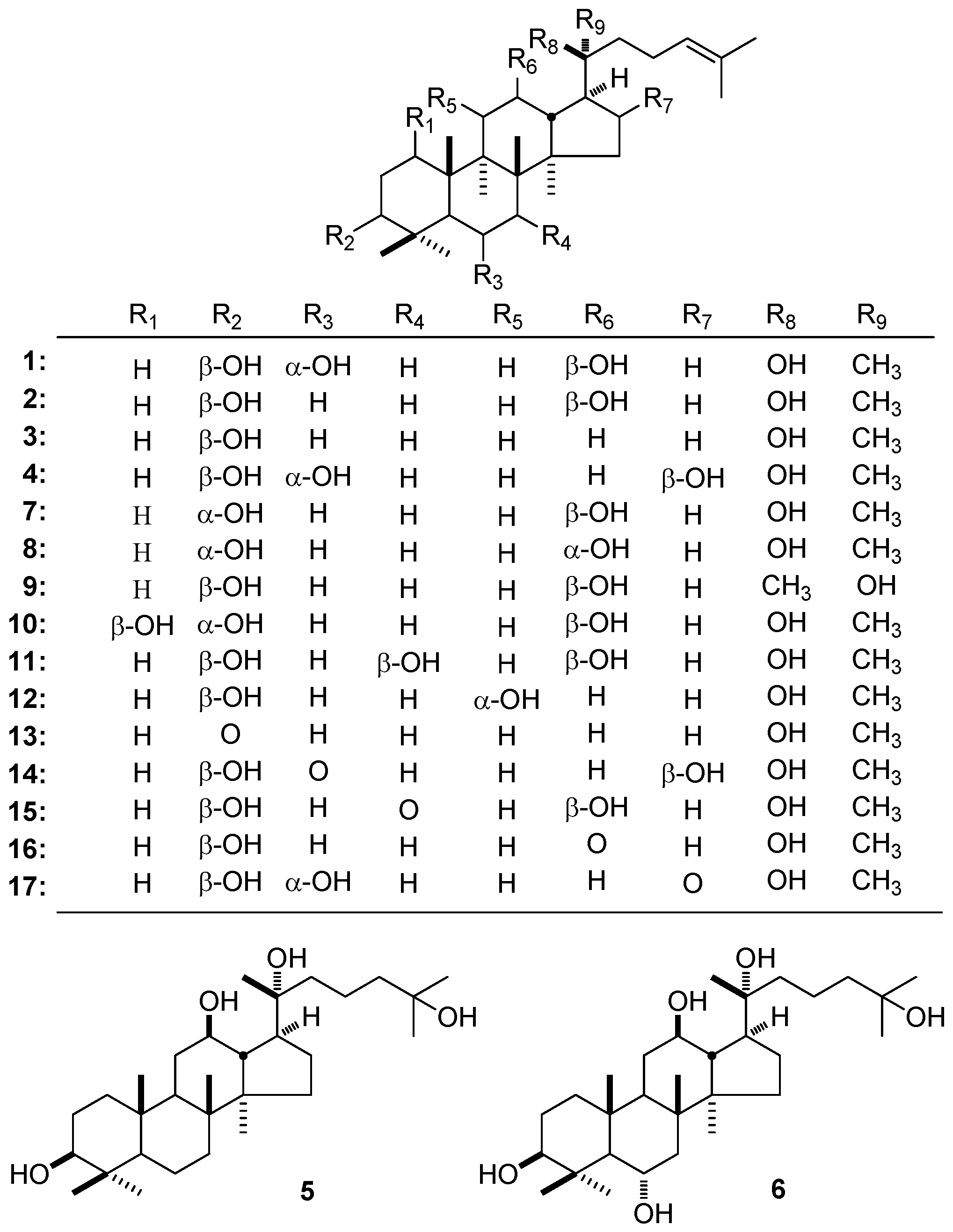
Among them, 6-OH is always the iconic difference between PPD and PPT (Figure 2). When there is a hydroxyl substituted at C-6, for example, 20S-PPT (1) vs. 20S-PPD (2), the 13C-NMR signals for the carbons except C-9 on B ring shift downfield. Meanwhile, those of C-18 and -19, which are adjacent to B ring, change the same way. On the other hand, because of the spatial relationship between C6-OH and 28-CH3, downfield displacement of C-28 exerts as well [133,134]. Meanwhile, comparing the NMR data of 20S-dammarenediol 1a (3) [135] and horipenoid E (4) [59], 20R-dammarane-3β,12β,20,25-tetrol (20R-25-OH PPD) (5), and 20R-dammarane-3β,6α,12β,20,25-tetrol (20R-25-OH PPT) (6) [136], the same hydroxyl substitution effects were observed. Here, the downfield shifts of C-5–7 could be explained by the α- and β-effects of hydroxyl substitution at C-6. In theory, the γ-effect of 6-OH should induce the upfield shifts of C-8 and C-10, the opposite between the fact and theory may be due to electron cloud density reduction around C-8 and C-10 caused by conformational change with the introduction of 6-OH.
Figure 2.
The structure of compounds 1–17.
Though the hydroxyl substituted at C-3, -12, and -20 positions is commonly in 3β, 12β, and 20S configuration, there may be some transformations occasionally. The configuration changes could cause various changes in chemical shift values. For example, the 13C-NMR signals for C-1–5 of betulafolienetriol (7) [72] [δ 25.4 (C-2), 33.6 (C-1), 37.6 (C-4), 49.5 (C-5), 76.2 (C-3)] with 3α-OH are in upper field than those of 20S-PPD (2) [134] [δ 27.4 (C-2), 39.0 (C-1), 39.0 (C-4), 56.0 (C-5), 78.8 (C-3)] with 3β-OH (Table 2). However, 3α-OH substitution will make the δ value of C-29 shift downfield (2: δ 15.5; 7: δ 22.1). While when 12-OH performs α-configuration, the influence seems wider, the signals for carbons on C and D rings shift upfield in different levels [(3α,12α)-dammar-24-ene-3,12,20-triol (8) [134]: δ 24.1 (C-16), 29.0 (C-11), 45.3 (C-9 and C-13), 46.9 (C-17), 48.8 (C-14), 68.4 (C-12) vs. 7 [72]: δ 26.5 (C-16), 30.9 (C-11), 47.7 (C-13), 49.9 (C-9), 51.7 (C-14), 53.5 (C-17), 71.0 (C-12)]. That of C-22 changes slightly (8: δ 36.3; 7: δ 34.7) because of the spatial proximity between 12-OH and C-22. Moreover, the configuration of 20-OH will mainly affect the chemical shift of C-17, -21, and -22 [20R-PPD (9) [134]: δ 21.8 (C-21), 42.3 (C-22), 49.9 (C-17) vs. 20S-PPD (2) [134]: δ 26.8 (C-21), 34.8 (C-22), 53.6 (C-17)]. According to the above-summarized rules, we can clarify the configuration of DTT rapidly (Table 2) (Figure 2).
Besides the common hydroxyl substituted position mentioned above, there are also some special examples as following: (1) When C-1 is replaced by a hydroxyl group, the NMR signals of C-1–3, 7–12 shift to lower field, but those of C-5 and -19 shift to upper field [probosciderol B (10) [72] vs. 7 [72]); (2) 7-OH substitution may not only cause the δ values of C-6–8 shift downfield, but also influence those of C-5, -15, -16, and -18 [7β-hydroxyl 20S-protopanaxatriol (11) [137]: δ 10.7 (C-18), 27.6 (C-6), 28.5 (C-16), 36.1 (C-15), 46.0 (C-8), 54.2 (C-5), 74.7 (C-7) vs. 2 [133]: δ 16.2 (C-18), 18.7 (C-6), 26.8 (C-16), 31.8 (C-15), 35.2 (C-7), 40.0 (C-8), 56.3 (C-5)]; (3) The effects of the 11-OH are profound, spatial related carbon exert chemical shift values in different degrees [dammar-24-en-3β,11α,20S-triol (12) [138]: δ 39.6 (C-10), 40.8 (C-12), 41.1 (C-13), 41.7 (C-1), 41.8 (C-22), 50.3 (C-17), 56.1 (C-9), 70.5 (C-11) vs. 2 [133]: δ 32.0 (C-11), 35.8 (C-22), 37.3 (C-10), 39.5 (C-1), 48.5 (C-13), 50.4 (C-9), 54.7 (C-17), 70.9 (C-12)]; (4) The comparison of [20S-dammarenediol 1a (3) [139] and 20S-PPD (2) [134], along with (3α,12α)-dammar-24-ene-3,12,20-triol (8) [134] and dammar-24-en-3β,11α,20S-triol (12) [138], indicate that 12-OH substitution may influence the chemical environment around the C-11–14, 16, 17, and 20–22 (Table 2) (Figure 2). The above-mentioned changes could be explained by the α-, β-, and γ-effects and conformational change with the introduction of hydroxyl.
3.2. Carbonyl
Carbonyl always derives from the oxidation of hydroxyl. This is why carbonyl usually locates at C-3, -6, -7 and/or -12. When carbonyl appears at the C-3 position, the influence is limited to carbons right next to it as well as the C-29 methyl, all the influenced carbon signals shift downfield in different levels [20S-20-hydroxydammar-24-en-3-one (13) [119]: δ 21.0 (C-29), 34.1 (C-2), 47.4 (C-4), 218.2 (C-3) vs. 20S-dammarenediol 1a (3) [135]: δ 15.4 (C-29), 27.4 (C-2), 39.1 (C-4), 78.9 (C-3)]. Though the carbonyl substitution at C-6 is not common, there has still been a rule that almost all the related carbon exerted downfield displacement except C-10 which may be caused by the spatial relationship [horipenoid G (14) [59]: δ 16.7 (C-18), 17.6 (C-19), 28.5 (C-28), 38.8 (C-4), 44.5 (C-10), 47.3 (C-8), 53.7 (C-7), 66.3 (C-5), 212.3 (C-6) vs. horipenoid E (4) [59]: δ 17.8 (C-18), 18.8 (C-19), 32.4 (C-28), 39.7 (C-10), 40.7 (C-4), 41.9 (C-8), 48.3 (C-7), 62.1 (C-5), 67.9 (C-6)]. Owing to the existence of carbonyl at C-7, the signals of carbons around C-7 shift downfield except C-5 and -14 (which performs upfield shift) [7-oxo-20S-protopanaxatriol (15) [135] δ 18.8 (C-30), 33.2 (C-15), 37.1 (C-6), 49.9 (C-13), 50.2 (C-14), 54.1 (C-5), 56.0 (C-8), 214.0 (C-7) vs. 2 [133]: δ 17.0 (C-30), 18.7 (C-6), 31.8 (C-15), 35.2 (C-7), 40.0 (C-8), 48.5 (C-13), 51.6 (C-14), 56.3 (C-5)]. Carbonyl can appear at C-12, as what we have summarized above, the change at C-12 may affect the carbon related to it as well as the side chain [12-keto-20S-protopanaxadiol (3β,20S-dihydroxydammar-24-en-12-one) (16) [139]: δ 37.8 (C-22), 39.1 (C-11), 46.1 (C-17), 53.4 (C-9), 54.7 (C-14), 56.2 (C-13), 214.1 (C-12) vs. 2 [134]: δ 31.2 (C-11), 34.8 (C-22), 47.7 (C-13), 50.2 (C-9), 51.6 (C-14), 53.6 (C-17), 70.8 (C-12)]. An unusual carbonyl substitution appears at C-16 of PPT like horipenoid H (17) [59], as a result, the signals of carbons right next to it move downfield, while the C-14 and C-22 shift upfield [17 [59]: δ 41.3 (C-22), 45.8 (C-14), 50.5 (C-15), 58.5 (C-17), 220.6 (C-16) vs. 4 [59]: δ 44.3 (C-22), 44.6 (C-15), 48.3 (C-14), 52.2 (C-17), 74.2 (C-16)].
3.3. Cyclization
Moreover, cyclization generally displays at C17-side chain. A five-membered ring with epoxy bond is usually formed between C-20 and C-24 for DTT, to maintain the consistency of deuterated solvent, here we make a δ values’ comparison between betulafoliene-oxide-I (20S,24R-epoxy) (18) [140] [δ 27.3 (C-26), 27.6 (C-27), 28.7 (C-23), 32.8 (C-22), 49.9 (C-17), 70.1 (C-25), 85.6 (C-24), 86.7 (C-20)] and 2 [133] [δ 17.6 (C-27), 22.9 (C-23), 25.8 (C-26), 35.8 (C-22), 54.7 (C-17), 72.9 (C-20), 126.2 (C-24), 130.6 (C-25)], the characteristic signals belonging to olefinic carbons disappear while the signals of δ 86.7 (C-20) and 85.6 (C-24) occur, which indicate the existence of an epoxy ring. Moreover, the configuration of C-20 and -24 may play an important role in the chemical shifts of carbons around them. For example, betulafoliene-oxide-II (19) [140] with 20S,24S-epoxy displays δ 29.0 and 88.3 for C-27 and -24, respectively. While those of betulafoliene oxide-I (18) [140] with 20S,24R-epoxy are δ 27.6 (C-27) and 85.6 (C-24). However, the configuration change of C-20 can lead itself to shift downfield, but make the carbons related to it shift upfield (20R,24R-epoxy-3,12,25-triol-dammarane (20) [55]: δ 21.3 (C-21), 25.9 (C-23), 39.1 (C-22); 18 [140]: δ 26.9 (C-21), 32.8 (C-22), 28.7 (C-23)).
Meanwhile, a five-membered lactone ring usually appears between C-21 and C-23. The effect of the lactone ring is similar to that of five-membered ring with epoxy bond, except the obvious downfield movement of C-13, the electron-withdrawing effect of the lactone group make the two olefinic carbons shift contrast ((23S)-3β-hydroxydammar-20,24-dien-21-oic acid 21,23-lactone (21) [141]: δ 37.5 (C-17), 46.7 (C-13), 78.0 (C-23), 121.9 (C-24), 137.8 (C-25), 140.3 (C-20), 145.7 (C-22), 173.9 (C-21) vs. 3 [135]: δ 22.6 (C-23), 24.8 (C-21), 40.5 (C-22), 42.3 (C-13), 49.9 (C-17), 75.4 (C-20), 124.7 (C-24), 131.6 (C-25)).
Furthermore, six-membered ring with epoxy bond displays between C-20 and C-25 is also a special transformation of DTT, the chemical shift changes of it exhibit similar rules like those of five-membered ring substitution (3β,12β-dihydroxy-20R,25-epoxydammarane (22) [142]: δ 16.3 (C-23), 19.4 (C-21), 27.1 (C-27), 33.0 (C-26), 36.5 (C-24), 73.1 (C-25), 76.7 (C-20) vs. 2 [134]: δ 17.8 (C-27), 22.4 (C-23), 25.8 (C-26), 26.8 (C-21), 74.0 (C-20), 125.2 (C-24), 131.4 (C-25)). Besides the significantly changed positions, the signals of C-13 and C-17 shift downfield slightly as well (Table 2) (Figure 3).
Figure 3.
The structure of compounds 18–26.
3.4. Olefinic Bond
Olefinic bond is one of the most common transformations on the side chain. In this paper, we summarize different combinations of them. The same as the other substitution forms, olefinic bond on the side chain influence not only itself but also the carbons on the D ring in different levels. In general, the substituted carbons appear characterized olefinic carbon signals on 13C-NMR, the signals of carbons right next to it shift upfield, while those of the meta- ones exert downfield because of the spatial relationship between them (DHPPD-I (23) [143]: δ 27.1 (C-23), 30.8 (C-16), 32.7 (C-22), 33.8 (C-15), 48.2 (C-17), 52.4 (C-13), 72.5 (C-12), 108.1 (C-21), 155.5 (C-20) vs. 2 [133]: δ 22.9 (C-23), 26.8 (C-16), 26.9 (C-21), 31.8 (C-15), 35.8 (C-22), 48.5 (C-13), 54.7 (C-17), 70.9 (C-12), 72.9 (C-20)). When olefinic bond locates between C-20 and C-22, the chemical shift values of C-20 related carbons shift upfield apparently beside C-17 (DHPPD-II (24) [143]: δ 13.2 (C-21), 28.7 (C-16), 32.6 (C-15), 50.4 (C-13), 50.9 (C-17)), 123.6 (C-22), 140.1 (C-20) vs. 23). The changes at C-24 and C-25 mainly affect the signals of carbons on side chain (25,26-en-24R-hydroxyl-20S-protopanaxadiol (25) [144]: δ 30.8 (C-23), 32.1 (C-22), 76.4 (C-24), 110.1 (C-26), 150.2 (C-25) vs. 2 [133]: δ 22.9 (C-23), 25.8 (C-26), 35.8 (C-22), 126.2 (C-24), 130.6 (C-25). Moreover, the different configuration at C-24 may make no sense on the chemical shift, for example, there is nearly no obvious differences between 25,26-en-24S-hydroxyl-20S)-protopanaxadiol (26) [144] and 25 (Table 2) (Figure 3).
3.5. Glycosyl
The hydroxyls of triterpene sapogenin are generally replaced by monosaccharide or polysaccharide, the glycosidation shifts induced by them are at the range of 8~10. When glycosidation displays in C-3, the change of chemical shift values almost exclusively performance in C-2 and -3 [20S-ginsenoside Rh2 (27) [133]: δ 26.8 (C-2), 88.9 (C-3) vs. 2 [133]: δ 28.2 (C-2), 77.9 (C-3)]. The C6-glycoside is similar to C3-glycoside, the signal of C-6 shifts downfield while C-7 displaces reversely [20S-ginsenoside Rh1 (28) [145]: δ 45.2 (C-7), 80.1 (C-6) vs. 1 [133]: δ 47.4 (C-7), 67.6 (C-6)]. Moreover, the difference of glycosyl substitution would not cause any obvious chemical shift [20S-ginsenoside Rg3 (29) [133] vs. 27 [133]; 28 vs. 20S-ginsenoside Rf (30) [145]. For the reason that the glycosyl replaced C-12 mainly occurs in the constituents from P. japonicas collected in Kumamoto and Miyazaki prefectures, thus we give an example [chikusetsusaponin FK7 (31) [146]: δ 27.9 (C-11), 46.8 (C-13), 78.5 (C-12) vs. 29 [133]: δ 32.0 (C-11), 48.6 (C-13), 71.0 (C-12)]. Glycosidation at C-20 is also a common situation; different from the previous ones, the changes caused by C20-glycoside are not limited to itself and connected ones, it also affects the carbons spatially adjacent [20S-ginsenoside F2 (32) [133] δ 22.5 (C-21), 30.9 (C-11), 51.7 (C-17), 83.4 (C-20) vs. 27 [133]: δ 27.2 (C-21), 32.3 (C-11), 54.8 (C-17), 73.0 (C-20)]. The nucleus of gypenoside XVII (33) [133] is nearly the same as 32; the theory that glycosidation shift would not change as the amount of the glycosides can be confirmed again (Table 2) (Figure 4).
Figure 4.
The structure of compounds 27–33.
4. Pharmacological Effects of DTT
Many herbal medicines containing DTT as major constituents have been reported for their various biological activities, including inflammation, immunodeficiency, cancer, diabetes, fungal infection, bacterial infection, osteoporosis, and central nervous system dysfunction. In this part, we summarized pharmacological activities and SARs of DTT.
4.1. Anti-Tumor Activity
In TCM clinic, some herbal medicines, enriched in DTT were used as complementary and alternative agents in cancer treatment, which are helpful for preventing tumor cell metastasis, relieving side effects of radiotherapy and chemotherapy, and improving clinical cure rate, such as P. ginseng [147], P. notoginseng [148], D. binecteriferum [149], etc. Much literatures reported that DTT showed cytotoxicity in many kinds of cancer cell lines.
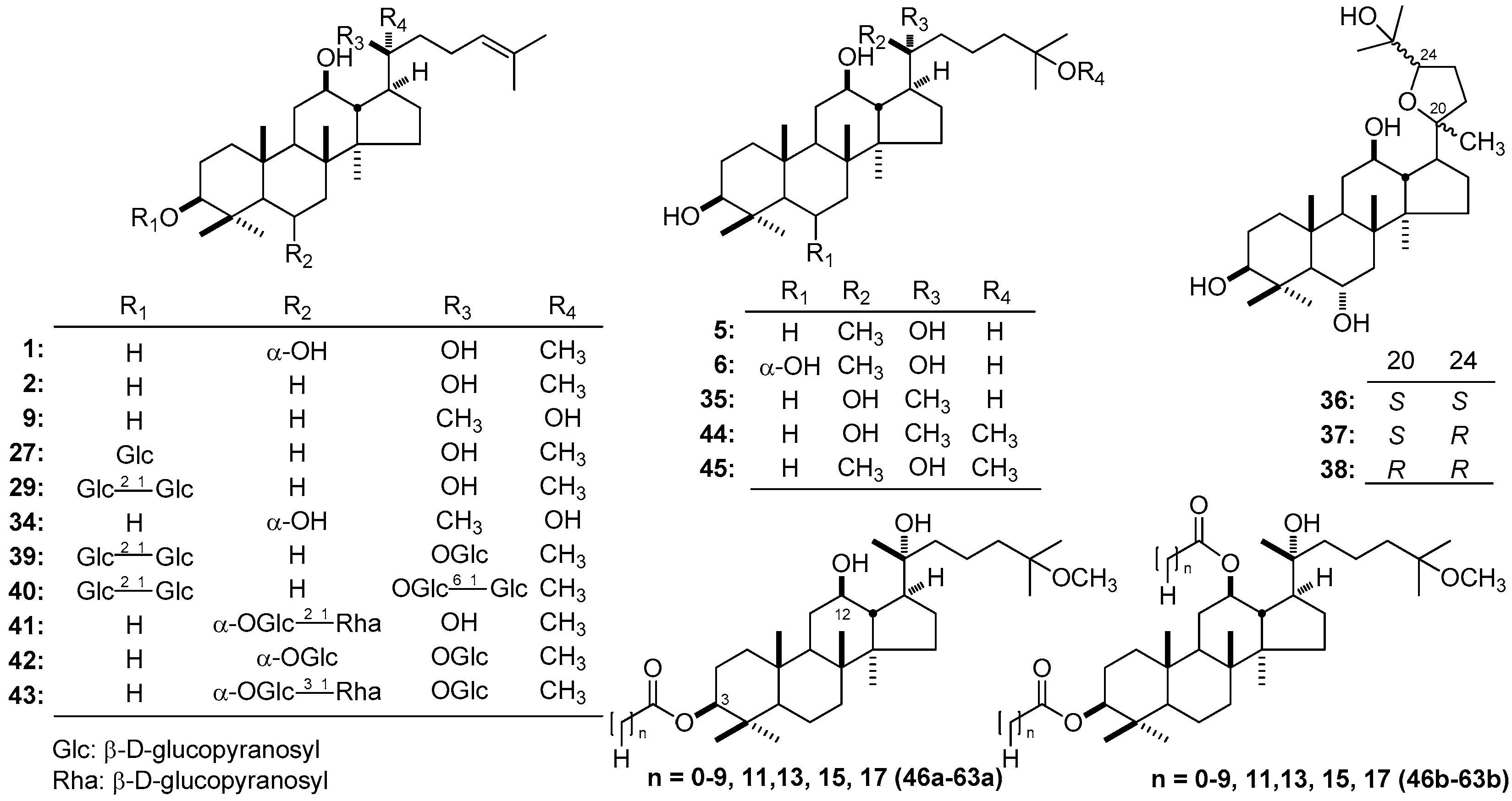
In vitro experiments have been carried out to analyze the cytotoxicities of DTT obtained from P. ginseng [150] in three human cancer cell lines, including human leukemia cell line HL-60, human gastric cancer cell line NCI-N87, and human hepatoma cell line HepG2. As a result, 20S-PPD (2), 20R-PPD (9), 20S-PPT (1), 20R-PPT (34), 20S-dammarane-3β,12β,20,25-tetrol (20S-25-OH PPD) (35), and 20R-25-OH PPD (5) (Figure 5) showed cytotoxicties against HL-60 cells with IC50 at 15.53 ± 0.81, 23.42 ± 0.93, 22.79 ± 3.54, 28.68 ± 6.26, 4.21 ± 0.24, and 11.89 ± 4.04 μM; against NCI-N87 cells with IC50 at 50.02 ± 12.21, 56.92 ± 5.11, 53.19 ± 5.77, 65.34 ± 3.62, 60.14 ± 4.70, and 61.76 ± 2.49 μM; and against HepG2 cells with IC50 at 45.67 ± 5.22, 69.07 ± 1.49, 43.44 ± 4.87, 58.29 ± 4.15, 6.69 ± 1.86, and 27.12 ± 5.97 μM, respectively. (20S,24S)-dammar-20,24-epoxy-3β,6α,12β,25-tetraol (36), (20S,24R)-dammar-20,24-epoxy-3β,6α,12β,25-tetraol (37), and (20R,24R)-dammar-20,24-epoxy-3β,6α,12β,25-tetraol (38) (Figure 5) did not result in cytotoxicity against these human cancer cell lines. The comparison of the activities between 2 and 9, 1 and 34, and 35 and 5 indicated that the configuration at the C-20 would affect their anti-proliferative potency, and the 20S-type was stronger than the 20R-type. Moreover, their biological effects showed that PPD-type sapogenins may be a little stronger than those of PPT-type sapogenins (2 vs. 1, and 9 vs. 34). On the other hand, the results suggested that whether cyclization at the C-17 side chain (1 and 34 vs. 36–38), and the presence of 25-hydroxyl group (2 vs. 35, and 9 vs. 5) could play important roles in affecting the anti-proliferative potency.
Figure 5.
The structure of compounds 1, 2, 5, 6, 9, 27, 29, 34–45, 46a–63a, and 46b–63b.
Four kinds of human cancer cell lines [breast (MCF-7), lung (H838) and prostate (LNCaP (p53 wt) and PC3)] were used to determine the anti-tumor activities of ten dammarane-type terpenoids [20S-PPD (2), 20R-25-OH PPD (5), 20R-25-OH PPT (6), 20S-ginsenoside Rh2 (27), 20S-ginsenoside Rg3 (29), 20S-ginsenoside Rd (39), 20S-ginsenoside Rb1 (40), 20S-ginsenoside Rg2 (41), 20S-ginsenoside Rg1 (42), and 20S-ginsenoside Re (43)] with different side-chains (C-22–C-27), different numbers and positions of sugar moieties by Wang et al. [136], and SARs were studied. Anti-proliferative activities order of dammarane-type terpenoids on human cancer cell lines is: PPD-type > PPT-type (25-OH PPD vs. 25-OH PPT) and 25-OH PPD > PPD. Moreover, it indicated that increasing the number of sugar moieties would reduce the anti-proliferative potency. Furthermore, further anti-cancer activity evaluation with thirteen cell lines representing five types of human malignancies (glioma, pancreatic, lung, breast, and prostate) indicated that 2, 27, and 5 could inhibit the growth of all cell lines tested, and may be 5–15-fold stronger than those of 20S-ginsenoside Rg3 (29).
It is interesting that though 25-hydroxyl group in PPD-type terpenoids has been found to play important roles in anti-proliferative potency, when it is replaced by methoxyl, the activity is still notable. For example, the IC50 values of 20S-25-methoxyl-dammarane-3β,12β,20-triol (25S-OCH3-PPD) (44) for most cell lines were in the lower μM order, which is 5–15-fold greater than 20S-PPD (2) and 10–100-fold higher than compound 29 [151].
Moreover, the importance of hydroxyl substitutions at C-3 and C-12 for anti-proliferative activity of DTT have been evaluated by comparing the cytotoxic activities of 20R-25-methoxyl-dammarane-3β,12β,20-triol (25R-OCH3 PPD) (45) and its analogs substituted at the C-3 or C-3 and C-12 positions with fatty acid groups (46a–63a, and 46b–63b, Figure 5) in four different human tumor cell lines (A549, Hela, HT-29 and MCF-7) and a normal cell line (IOSE144) [152]. Consequently, compounds 45, 46a–63a, and 46b–63b showed anti-proliferative activities against all tumor cell lines with low toxicities in the normal cell line. SARs of the 45 derivatives suggested that the difference in the substituents may affect the anti-proliferative activity of the compounds. The longer the side chain of 45 is, the lower the anti-proliferative activity would be. On the other hand, the data obtained by Liu et al. indicated that C-3 and C-12 might be active sites of dammarane-type sapogenins and the hydroxyl substitutions at C-3 and C-12 would also be crucial.
DTT have been clarified to exhibit significant inhibitory activities to breast cell lines. Bacopasides É (64) and VII (65) isolated from B. monniera [153] could remarkably inhibit human breast cancer cell line MDAMB-231 adhesion, migration and Matrigel invasion in vitro at the concentration of 50 μM. Meanwhile, both 64 and 65 showed strong inhibitory ability in mouse implanted with sarcoma S180 in vivo at 50 μmol/kg. On the other hand, both their in vitro and in vivo activities were obviously stronger than those of their homolog, bacopasaponin C (66) (IC50: 12.3, 14.3, and 34.9 μM for 64, 65, and 66, respectively). Results revealed that the substitute positions of isobutenyl may play an important role in anti-tumor potency by comparing the activities of 65 and 66. Besides, the activity would be enhanced by the substitution of sulfonyl at 6′′′ (Figure 6).
Figure 6.
The structure of compounds 64–66.
Moreover, the cytotoxicity against the human breast cancer cells MDA-MB-435 of three similar DTT with furan ring in their side-chain, (23S)-3β-hydroxydammar-20,24-dien-21-oic acid 21,23-lactone (21), (20S,23R)-3β,20β-dihydroxydamma-24-dien-21-oic acid 21,23-lactone (67) and (20S,24S)-20,24-epoxydammarane-3β,12β,25-triol (68) were tested. Only compound 21 was found to have significant cytotoxic activity (IC50 = 3.9 μg/mL), while 67 and 68 showed no activities, which suggested that the double bond between C-20 and C-22 of the 21,23-lactone moiety might be relatively essential for the cytotoxic activity [141]. According to the experiment carried out by Phongmaykin et al. [84], cabraleadiol (69), eichlerialactone (70), cabraleahydroxylactone (71), and cabralealactone (72) (Figure 7) found in C. penduliflorus presented weak cytotoxicity against breast cancer line with the IC50 values of 17.5, 12.5, 18.0, and 16.9 μg/mL, respectively.
Figure 7.
The structure of compounds 21, 67–72.
Among the multiple DTT summarized above, ginsenoside Rg3, one of characteristic protopanaxadiol ginsenosides of P. ginseng, has been studied the most, and has been exploited to be an effective adjuvant therapeutic agent against various cancers. Researchers have demonstrated that it could exhibit protective activities against cervical, prostate, breast, lung, gastric, colorectal, liver, and skin cancer cell lines [154].
The successful clinical applications of ginsenoside Rg3 are because it can promote apoptosis, inhibit tumor angiogenesis, inhibit proliferation, invasion and metastasis of tumor cells, impact tumor gene expression signaling, reverse multi-drug resistance, and enhance immunity of patients. Currently, a clinical monomer formulation, “shenyi capsule”, a capsule in combination with chemotherapy, is widely used in a variety of tumors [155].
Although ginsenoside Rg3 shows good inhibitory effect of cancer, its poor aqueous solubility and liposolubility are not ideal for clinical applications. Recent studies hves revealed a ginsenoside Rg3 bile salt-phosphatidylcholine-based mixed micelle system (BS-PC-MMS) that was carried out using response surface methodology based on a central composite design [156]. Thus, a proper mean for new agents like ginsenoside Rg3 has been established to advance the studies of DTT in anti-cancer properties. On the other hand, according to the SARs mentioned above, can we revolve anticancer agent research around ginsenoside Rg3, and develop anti-tumor drug with high efficiency and low toxicity?
4.2. Anti-Inflammatory Activity
Inflammation is considered as the body’s protective response to various chronic diseases, such as, tumor, hypertension and diabetes. The ability that DTT can inhibit inflammation has been predescribed. According to the report [157], when the MTT assay was used to evaluate the cytotoxic effects of 2α,3β,12β,20S-tetrahydroxydammar-24-ene-3-O-[β-d-glucopyranosyl(1→4)-β-d-glucopyranosyl]-20-O-[β-d-xylopyranosyl(1→6)-β-d-glucopyranoside] (73) and 2α,3β,12β,20S-tetrahydroxydammar-24-ene-3-O-β-d-glucopyranosyl-20-O-[β-d-6-O-acetylglucopyranosyl(1→2)-β-d-glucopyranoside] (74) obtained from G. pentaphyllum, they showed no cytotoxicities on BEAS-2B cells in either the presence or absence of interleukin-4 (IL-4), but significantly down-regulated IL-4-induced eotaxin production in a concentration-dependent mannar, which indicated that DTT might have potential inflammatory activity, and they may be of benefit to allergic diseases. In addition, three PPT type derivations: ginsenjilinol (75), ginsenoside Rf (30), and ginsenoside Re5 (76) isolated from the roots and rhizomes of P. ginseng have been proven to exhibit anti-inflammatory activity by inhibiting nitric oxide production by lipopolysaccharide-induced RAW 264.7 [158] (Figure 8).
Figure 8.
The structure of compounds 30, 73–76.
4.3. Immunomodulatory Activity
Immunity is a physiological function of human body. Depending on its feature of identifying “self” and “non-self” components, the antigenic material invading into the body or the cells and tumor cell damage produced by the body itself could be effectively undermined and excluded, which could keep human from being affected by a disease. 27-Demethyl-(E,E)-20(22),23-dien-3β,6α,12β-trihydroxydammar-25-one (77) (Figure 9) has been excavated out from P. ginseng by the bioassay-guided assay [159]. As mentioned above, the overproduction of NO could induce not only inflammation but also the immune response. Thus, the inhibitory action of DTT on NO production has been evaluated by the study on LPS-activated mouse peritoneal macrophage. Consequently, the results implied that DTT can significantly affect cellular immunity by increasing interleukin-12 expression, Th1 response-mediated cytokine IL-2, and decreasing Th2 response-mediated cytokines IL-4 and IL-6 expression through suppressing NO production.
Figure 9.
The structure of compounds 77–83.
4.4. Anti-Diabetic Activity
As early as 2010, the inhibitory effect of the DTT 3β-acetoxy-20-oxo-21-nordammaran-23-oic acid (78) on diabetes through α-glucosidase suppressing activity has been speculated [60]. Since then, in vitro assays towards the protein tyrosine phosphatase 1B (PTP1B) were developed to evaluate their bioactivity against diabetes. As a result, five DTT with furan ring in their side-chain, gypensapogenins E (79), F (80), and G (81); (20S,23S)-3β,20-dihydroxyldammarane-24-ene-21-oic acid-21,23-lactone (82); and (20R,23R)-3β,20-dihydroxyldammarane-24-ene-21-oic acid-21,23-lactone (83) [160], were found to have the inhibitory ability towards the enzyme activity of PTP1B. Among them, the inhibitory activity of 79 and 81 are stronger than 80, which suggest that the activity of DTT might be associated with the -OH in C-3 and the configuration in C-23 of the aglycone; on the other hand, the configuration of C-20 and -23 played important role to inhibitory activity of PTP1B (82 vs. 83) (Figure 9).
4.5. Other Biological Activities
PC12 cells were used to evaluate their neurite outgrowth promoting effects of DTT. Consequently, 20R-ginsenoside SL1 (84), 20R-ginsenoside ST2 (85), and 3β,12β-dihydroxydammarane-(E)-20(22),24-diene-6-O-β-d-xylopyranosyl(1→2)-β-d-glucopyranoside (86) obtained from P. notoginseng, decreased the ratio of the neurite-bearing cells percentage, and exhibited moderate enhancing activity of the neurite outgrowth of NGF-mediated PC12 cells [161] (Figure 10).
Figure 10.
The structure of compounds 29, 41, 84–90.
On the other hand, as the bioactive constituents in P. ginseng, 6α,20S-dihydroxydammar-3,12-dione-24-ene (87) [162], 6α,20S,25-trihydroxydammar-3,12-dione-23-ene (88) [162], dammar-20(22)E,24-diene-3β,6α,12β-triol (89) [11,162], 20S-ginsenoside Rg3 (29) [136], ginsenoslaloside-I (90) [11], and 20S-ginsenoside Rg2 (41) [136,163] (Figure 10) showed silent information regulator two homolog 1 (SIRT1) activation activity.
Generally, based on the above-mentioned studies, numerous investigations suggested that the kinds of activities of different DTT would be related to the types of aglycone and glycoside and the number of sugars linked to the dammarane skeleton. This information may be useful for evaluating the SARs of other dammarane-type sapogenins and for developing novel antineoplastic agents.
5. Conclusions
As an important secondary metabolite from numerous herbal medicines, DTT have generated a great amount of interest in the field of new drug research and development. This paper summarized plant resources, NMR spectral characteristic and pharmacological function of DTT on the basis of literatures published over the last few decades.
In the field of plant resources and NMR spectral characteristic, DTT from 46 families have been summarized. Although the planar structures of DTT have been elucidated more and more clearly by 1D and/or 2D NMR and other spectroscopes, the absolute configuration still cannot be identified comprehensively. The more precise explanation of the change of chemical shift caused by diversity substitutions should be established.
In the field of pharmacological activities, natural DTT showed various activities, including anti-cancer, anti-inflammation, immunodeficiency, anti-diabetes, and so on. Especially, SARs were deeply investigated in several kinds of tumor cell lines and animal implanted with sarcoma model, which can be utilized in future as lead compounds discovery. However, the anti-tumor mechanism and in vivo research are not enough, which restrict further application in drug development.
Acknowledgments
Part of this research was supported by Programs for New Century Excellent Talents in University (NCET-12-1069), National Natural Science Foundation of China (81173524).
Author Contributions
Yi Zhang and Tao Wang obtained fundings, contributed to conception and design the review; JingYa Ruan wrote the manuscript; Chang Zheng, and YanXia Liu classified the literatures; Lu Qu drafted the structures; and Lifeng Han and Haiyang Yu perfected the English. All authors discussed, edited and approved the final version.
Conflicts of Interest
The authors declare no conflict of interest.
References
- Hill, R.A.; Connolly, J.D. Triterpenoids. Nat. Prod. Rep. 2015, 32, 273–327. [Google Scholar] [CrossRef] [PubMed]
- Chen, M.W.; Yao, Y.; Shi, Z.H. Observation of curative effect of combined 20(R)-ginsenosided Rg3 with chemotherapy on nonsmall-cell lung cancers. Mil. Med. J. South China 2005, 19, 4–6. [Google Scholar]
- Jin, C.L.; Kou, X.G.; Miao, Z.H. Observation of ginsenosided Rg3 combined with chemotherapy as adjuvant treatment for elder nonsmall-cell lung patients. J. Xinxiang Med. Coll. 2011, 28, 229–232. [Google Scholar]
- Anjaneyulu, V.; Babu, J.S.; Krishna, M.M.; Connolly, J.D. 3-Oxo-20S,24R-epoxy-dammarane-25ξ,26-diol from Mangifera indica. Phytochemistry 1993, 32, 469–471. [Google Scholar] [CrossRef]
- Monaco, P.; Caputo, R.; Palumbo, G.; Mangoni, L. Neutral triterpenes from the galls of Pistacia terebinthus. Phytochemistry 1973, 12, 939–942. [Google Scholar] [CrossRef]
- Kim, G.S.; Jeong, T.S.; Kim, Y.O.; Baek, N.I.; Cha, S.W.; Lee, J.W.; Song, K.S. Human acyl-CoA: Cholesterol acyltransferase-inhibiting dammarane triterpenes from Rhus chinensis. J. Korean Soc. Appl. Biol. Chem. 2010, 53, 417–421. [Google Scholar] [CrossRef]
- Zhao, M.; Fu, L.W.; Li, N.; Tang, W.X.; Li, M.J.; Hasegawa, T.; Ogura, H.; Kataoka, T.; Hirose, K.; Ando, M. The ursane-, oleanane-, dammarane-, lupane-, and taraxasterane-type triterpenes isolated from Nerium oleander and their biological activities. J. Recent Progr. Med. Plants 2007, 16, 83–107. [Google Scholar]
- Siddiqui, B.S.; Ilyas, F.; Rasheed, M.; Begum, S. Chemical constituents of leaves and stem bark of Plumeria obtuse. Phytochemistry 2004, 65, 2077–2084. [Google Scholar] [CrossRef] [PubMed]
- Kim, K.S.; Choi, Y.H.; Lee, I.R.; Kwon, B.M.; Lee, S.H. A novel nortriterpene from Hedera rhombea. Arch. Pharm. Res. 1997, 20, 191–193. [Google Scholar] [CrossRef] [PubMed]
- Yoshizaki, K.; Devkota, H.P.; Fujino, H.; Yahara, S. Saponins composition of rhizomes, taproots, and lateral roots of satsuma-ninjin (Panax japonicus). Chem. Pharm. Bull. 2013, 61, 344–350. [Google Scholar] [CrossRef] [PubMed]
- Ma, L.Y.; Zhou, Q.L.; Yang, X.W. New SIRT1 activator from alkaline hydrolysate of total saponins in the stems-leaves of Panax ginseng. Bioorg. Med. Chem. Lett. 2015, 25, 5321–5325. [Google Scholar] [CrossRef] [PubMed]
- Hamid, K.; Alqahtani, A.; Kim, M.S.; Cho, J.L.; Cui, P.H.; Li, C.G.; Groundwater, P.W.; Li, G.Q. Tetracyclic triterpenoids in herbal medicines and their activities in diabetes and its complications. Curr. Top. Med. Chem. 2015, 15, 2406–2430. [Google Scholar] [CrossRef] [PubMed]
- Liu, J.P.; Lu, D.; Li, P.Y. Two new dammarane-type triterpene saponins from red American ginseng. J. Asian Nat. Prod. Res. 2011, 13, 198–204. [Google Scholar] [CrossRef] [PubMed]
- Zhu, S.; Zou, K.; Fushimi, H.; Cai, S.; Komatsu, K. Comparative study on triterpene saponins of Ginseng drugs. Planta Med. 2004, 70, 666–677. [Google Scholar] [CrossRef] [PubMed]
- Bedir, E.; Toyang, N.J.; Khan, I.A.; Walker, L.A.; Clark, A.M. A new dammarane-type triterpene glycoside from Polyscias fulva. J. Nat. Prod. 2001, 64, 95–97. [Google Scholar] [CrossRef] [PubMed]
- Zhao, Z.; Matsunami, K.; Otsuka, H.; Shinzato, T.; Takeda, Y.; Kawahata, M.; Yamaguchi, K. Schefflerins A–G, new triterpene glucosides from the leaves of Schefflera arboricola. Chem. Pharm. Bull. 2010, 58, 1343–1348. [Google Scholar] [CrossRef] [PubMed]
- Wu, C.; Duan, Y.H.; Li, M.M.; Tang, W.; Wu, X.; Wang, G.C.; Ye, W.C.; Zhou, G.X.; Li, Y.L. Triterpenoid saponins from the stem barks of Schefflera heptaphylla. Planta Med. 2013, 79, 1348–1355. [Google Scholar] [CrossRef] [PubMed]
- Phan, M.G.; Truong, T.T.C.; Phan, T.S.; Matsunami, K.; Otsuka, H. A new diarylheptanoid and a rare dammarane triterpenoid from Alnus nepalensis. Chem. Nat. Compd. 2011, 47, 735–737. [Google Scholar] [CrossRef]
- Hirata, T.; Ideo, R.; Aoki, T.; Suga, T. The structure of alnuserrutriol, a new C31 dammarane-type triterpenoid from the male flowers of Alnus serrulatoides. Bull. Chem. Soc. Jpn. 1982, 55, 639–640. [Google Scholar] [CrossRef]
- Fuchino, H.; Satoh, T.; Tanaka, N. Chemical evaluation of Betula species in Japan. III. Constituents of Betula maximowicziana. Chem. Pharm. Bull. 1996, 44, 1748–1753. [Google Scholar] [CrossRef]
- Hilpisch, U.; Hartmann, R.; Glombitza, K.W. New dammaranes, esterified with malonic acid, from leaves of Betula pendula. Planta Med. 1997, 63, 347–351. [Google Scholar] [CrossRef] [PubMed]
- Xiong, J.; Taniguchi, M.; Kashiwada, Y.; Yamagishi, T.; Takaishi, Y. Seven new dammarane triterpenes from the floral spikes of Betula platyphylla var. japonica. J. Nat. Med. 2011, 65, 217–223. [Google Scholar] [CrossRef] [PubMed]
- Fuchino, H.; Satoh, T.; Yokochi, M.; Tanaka, N. Chemical evaluation of Betula species in Japan. V. Constituents of Betula ovalifolia. Chem. Pharm. Bull. 1998, 46, 169–170. [Google Scholar] [CrossRef]
- Kuroyanagi, M.; Kawahara, N.; Sekita, S.; Satake, M.; Hayashi, T.; Takase, Y.; Masuda, K. Dammarane-type triterpenes from the Brazilian medicinal plant Cordia multispicata. J. Nat. Prod. 2003, 66, 1307–1312. [Google Scholar] [CrossRef] [PubMed]
- Nakamura, N.; Kojima, S.; Lim, Y.A.; Meselhy, M.R.; Hattori, M.; Gupta, M.P.; Correa, M. Dammarane-type triterpenes from Cordia spinescens. Phytochemistry 1997, 46, 1139–1141. [Google Scholar] [CrossRef]
- Vande Velde, V.; Lavie, D.; Zelnik, R.; Matida, A.K.; Panizza, S. Cordialin A and B, two new triterpenes from Cordia verbenacea DC. J. Chem. Soc. Perkin 1 1982, 11, 2697–2700. [Google Scholar] [CrossRef]
- Fattorusso, E.; Santacroce, C.; Xaasan, C.F. Dammarane triterpenes from the resin of Boswellia freerana. Phytochemistry 1985, 24, 1035–1036. [Google Scholar] [CrossRef]
- Manguro, L.O.; Ugi, I.; Lemmen, P. Dammarane triterpenes of Commiphora confusa resin. Chem. Pharm. Bull. (Tokyo) 2003, 51, 483–486. [Google Scholar] [CrossRef] [PubMed]
- Waterman, P.G.; Ampofo, S. Chemistry of the Burseraceae. Part 2. Dammarane triterpenes from the stem bark of Commiphora dalzielii. Phytochemistry 1985, 24, 2925–2928. [Google Scholar]
- Provan, G.J.; Waterman, P.G. Chemistry of the Burseraceae. Part 3. The mansumbinanes: Octanordammaranes from the resin of Commiphora incisa. Phytochemistry 1986, 25, 917–922. [Google Scholar] [CrossRef]
- Manguro, L.O.; Ugi, I.; Lemmen, P. Further bisabolenes and dammarane triterpenes of Commiphora kua resin. Chem. Pharm. Bull. (Tokyo) 2003, 51, 479–486. [Google Scholar] [CrossRef] [PubMed]
- Shen, T.; Wan, W.Z.; Wang, X.N.; Yuan, H.Q.; Ji, M.; Lou, H.X. A triterpenoid and sesquiterpenoids from the resinous exudates of Commiphora myrrha. Helv. Chim. Acta 2009, 92, 645–652. [Google Scholar] [CrossRef]
- Nagaya, H.; Tobita, Y.; Nagae, T.; Itokawa, H.; Takeya, K.; Halim, A.F.; Abdel Halim, O.B. Cytotoxic triterpenes from Cleome Africana. Phytochemistry 1997, 44, 1115–1119. [Google Scholar] [CrossRef]
- Ahmed, A.A.; Kattab, A.M.; Bodige, S.G.; Mao, Y.; Minter, D.E.; Reinecke, M.G.; Watson, W.H.; Mabry, T.J. 15α-Acetoxycleomblynol A from Cleome amblyocarpa. J. Nat. Prod. 2001, 64, 106–107. [Google Scholar] [CrossRef] [PubMed]
- Ahmad, V.U.; Qazi, S.; Zia, N.B.; Xu, C.F.; Clardy, J. Cleocarpone, a triterpenoid from Cleome brachycarpa. Phytochemistry 1990, 29, 670–672. [Google Scholar] [CrossRef]
- Das, P.C.; Patra, A.; Mandal, S.; Mallick, B.; Das, A.; Chatterjee, A. Cleogynol, a novel dammarane triterpenoid from Cleome gynandra. J. Nat. Prod. 1999, 62, 616–618. [Google Scholar] [CrossRef] [PubMed]
- Tu, L.; Zhao, Y.; Yu, Z.Y.; Cong, Y.W.; Xu, G.; Peng, L.Y.; Zhang, P.T.; Cheng, X.; Zhao, Q.S. Six new dammarane triterpenoids from Viburnum cylindricum. Helv. Chim. Acta 2008, 91, 1578–1587. [Google Scholar] [CrossRef]
- Machida, K.; Kikuchi, M. Studies on the constituents of Viburnum species. XIX. Six new triterpenoids from Viburnum dilatatum Thunb. Chem. Pharm. Bull. 1999, 47, 692–694. [Google Scholar] [CrossRef]
- Wang, K.W.; Sun, C.R.; Wu, X.D.; Pan, Y.J. Novel bioactive dammarane caffeoyl esters from Celastrus rosthornianus. Planta Med. 2006, 72, 370–372. [Google Scholar] [CrossRef] [PubMed]
- Kubo, I.; Fukuhara, K. Elabunin, a new cytotoxic triterpene from an East African medicinal plant, Elaeodendron buchananii. J. Nat. Prod. 1999, 53, 968–971. [Google Scholar] [CrossRef]
- Torpocco, V.; Chavez, H.; Estevez-Braun, A.; Ravelo, A.G. New dammarane triterpenes from Maytenus macrocarpa. Chem. Pharm. Bull. 2007, 55, 812–814. [Google Scholar] [CrossRef] [PubMed]
- Williams, R.B.; Norman, V.L.; Goering, M.G.; O’Neil-Johnson, M.; Eldridge, G.R.; Starks, C.M. Acetylated dammarane-type bisdesmosides from Combretum inflatum. J. Nat. Prod. 2013, 76, 1592–1597. [Google Scholar] [CrossRef] [PubMed]
- Simon, G.; Dewelle, J.; Nacoulma, O.; Guissou, P.; Kiss, R.; Daloze, D.; Braekman, J.C. Cytotoxic pentacyclic triterpenes from Combretum nigricans. Fitoterapia 2003, 74, 339–344. [Google Scholar] [CrossRef]
- Sharma, S.C.; Tandon, J.S. A dammarane triterpene from Commelina undulate. Phytochemistry 1982, 21, 2420–2421. [Google Scholar] [CrossRef]
- Schmidt, T.J.; von Raison, J.; Willuhn, G. New triterpene esters from flowerheads of Arnica lonchophylla. Planta Med. 2004, 70, 967–977. [Google Scholar] [CrossRef] [PubMed]
- Liu, J.; Wang, G.; Wang, G.; Yu, B.; Wang, F.; Liu, J. Study on Kalimeris indica triterpenes. Zhongchengyao 2010, 32, 462–465. [Google Scholar]
- Li, X.H.; Qi, H.Y.; Shi, Y.P. Dammarane- and taraxastane-type triterpenoids from Saussurea oligantha Franch. J. Asian Nat. Prod. Res. 2008, 10, 397–402. [Google Scholar] [CrossRef] [PubMed]
- Ding, W.; Zeng, F.L.; Xu, L.X.; Chen, Y.Y.; Wang, Y.F.; Wei, X.Y. Bioactive dammarane-type saponins from Operculina turpethum. J. Nat. Prod. 2011, 74, 1868–1874. [Google Scholar] [CrossRef] [PubMed]
- Fujioka, T.; Iwase, Y.; Okabe, H.; Mihashi, K.; Yamauchi, T. Studies on the constituents of Actinostemma lobatum Maxim. II. Structures of actinostemmosides G and H, new dammarane triterpene glycosides isolated from the herb. Chem. Pharm. Bull. 1987, 35, 3870–3873. [Google Scholar] [CrossRef]
- Yin, F.; Hu, L.H.; Lou, F.C.; Pan, R.X. Chemical studies on Gynostemma pentaphyllum Makino. In Proceedings of the 227th ACS National Meeting, Anaheim, CA, USA, 28 March–1 April 2004.
- Yin, F.; Zhang, Y.N.; Yang, Z.Y.; Cheng, Q.Q.; Hu, L.H. Triterpene saponins from Gynostemma cardiospermum. J. Nat. Prod. 2006, 69, 1394–1398. [Google Scholar] [CrossRef] [PubMed]
- Ding, S.L.; Zhu, Z.Y. Gycomoside I: A new dammarane saponin from Gynostemma compressum. Planta Med. 1993, 59, 373–375. [Google Scholar] [CrossRef] [PubMed]
- Xiang, W.J.; Guo, C.Y.; Ma, L.; Hu, L.H. Dammarane-type glycosides and long chain sesquiterpene glycosides from Gynostemma yixingense. Fitoterapia 2010, 81, 248–252. [Google Scholar] [CrossRef] [PubMed]
- Kusumoto, K.; Nagao, T.; Okabe, H.; Yamauchi, T. Studies on the constituents of Luffa operculata Cogn. I. Isolation and structures of luperosides A-H, dammarane-type triterpene glycosides in the herb. Chem. Pharm. Bull. 1989, 37, 18–22. [Google Scholar] [CrossRef]
- Fujita, S.J.; Kasai, R.; Ohtani, K.; Yamasaki, K.; Chiu, M.H.; Nie, R.L.; Tanaka, O. Dammarane glycosides from aerial part of Neoalsomitra integrifoliola. Phytochemistry 1995, 39, 591–602. [Google Scholar] [CrossRef]
- Yang, J.L.; Shi, Y.P. Structurally diverse terpenoids from the rhizomes of Cyperus rotundus L. Planta Med. 2012, 78, 59–64. [Google Scholar] [CrossRef] [PubMed]
- Zhang, L.; Liu, Y.H.; Luo, W.; Guo, Z.Y.; Deng, Z.S.; Zou, K. Chemical constituents of petroleum ether part of endophytic fungus Lophiostoma sp. (X1-2) from Davidia involucrata Baill. Sanxia Daxue Xuebao Ziran Kexueban 2012, 34, 92–94. [Google Scholar]
- Zhang, Z.; Koike, K.; Guo, D.; Li, C.; Zheng, J.; Jia, Z.; Nikaido, T. Chemical constituents of Yunnan wintergreen root (Gaultheria yunnanensis) (III). Zhongcaoyao 1999, 30, 247–250. [Google Scholar]
- Yu, J.H.; Shen, Y.; Liu, H.B.; Leng, Y.; Zhang, H.; Yue, J.M. Dammarane-type triterpenoids as 11β-HSD1 inhibitors from Homonoia riparia. Org. Biomol. Chem. 2014, 12, 4716–4722. [Google Scholar] [CrossRef] [PubMed]
- Gao, H.Y.; Wu, D.; Lu, C.; Xu, X.M.; Huang, J.; Sun, B.H.; Wu, L.J. Constituents from the testas of Castanea mollissima Blume with α-glucosidase inhibitory activity. J. Asian Nat. Prod. Res. 2010, 12, 144–149. [Google Scholar] [CrossRef] [PubMed]
- Garo, E.; Hung, C.S.; Williams, R.B.; Olson, K.M.; Hu, J.F.; Rice, S.M.; Hough, G.W.; Goering, M.G.; O’Neil-Johnson, M.; Eldridge, G.R.; et al. Dammarane-type triterpene glycosides from Oncoba manii active against methicillin-resistant Staphylococcus aureus. Planta Med. 2009, 75, 541–543. [Google Scholar] [CrossRef] [PubMed]
- Xu, M.; Wang, D.; Zhang, Y.J.; Yang, C.R. Dammarane triterpenoids from the roots of Gentiana rigescens. J. Nat. Prod. 2007, 70, 880–883. [Google Scholar] [CrossRef] [PubMed]
- Yoshikawa, M.; Zhang, Y.; Wang, T.; Nakamura, S.; Matsuda, H. New triterpene constituents, foliasalacins A1-A4, B1-B3, and C, from the leaves of Salacia chinensis. Chem. Pharm. Bull. 2008, 56, 915–920. [Google Scholar] [CrossRef] [PubMed]
- Liu, Y.; Zhang, M.Q.; Li, X.L.; Xu, T.H.; Xie, S.X.; Xu, Y.J.; Xu, D.M. Study on chemical constituents of Cyclocarya paliurus. J. Asian Nat. Prod. Res. 2014, 16, 206–209. [Google Scholar] [CrossRef] [PubMed]
- Zhang, Q.; Yang, X.; Zhu, H.; Yao, Y.; Hao, X.; Song, B. Triterpenoids of Glechoma longituba (Nakai) Kupr. Zhongcaoyao 2006, 37, 1780–1781. [Google Scholar]
- Esquivel, B.; Guerrero, F.; Toscano, R.A. Tri-nordammarane triterpenoids and neoclerodane diterpenoids from Salvia aspera (Labiatae). Nat. Prod. Lett. 2002, 16, 129–135. [Google Scholar] [CrossRef] [PubMed]
- Kolak, U.; Kabouche, A.; Ozturk, M.; Kabouche, Z.; Topcu, G.; Ulubelen, A. Antioxidant diterpenoids from the roots of Salvia barrelieri. Phytochem. Anal. 2009, 20, 320–327. [Google Scholar] [CrossRef] [PubMed]
- Pedreros, S.; Rodriguez, B.; De la Torre, M.C.; Bruno, M.; Savona, G.; Perales, A.; Torres, M.R. Dammarane triterpenes of Salvia hierosolymitana. Phytochemistry 1990, 29, 919–922. [Google Scholar] [CrossRef]
- Ding, M.M.; Yan, F.L.; Tan, J.; Bai, Y.X.; Wang, X.; Yang, Y.X. Two new dammarane-type glycosides from Phlomis umbrosa. Nat. Prod. Res. 2014, 28, 18–23. [Google Scholar] [CrossRef] [PubMed]
- Gan, M.L.; Liu, M.T.; Gan, L.S.; Lin, S.; Liu, B.; Zhang, Y.L.; Zi, J.C.; Song, W.X.; Shi, J.G. Dammarane glycosides from the root of Machilus yaoshansis. J. Nat. Prod. 2012, 75, 1373–1382. [Google Scholar] [CrossRef] [PubMed]
- Li, N.; Yu, F.; Yu, S. Triterpenoids from Erythrophleum fordii. Acta Bot. Sin. 2004, 46, 371–374. [Google Scholar]
- Asai, T.; Hara, N.; Fujimoto, Y. Fatty acid derivatives and dammarane triterpenes from the glandular trichome exudates of Ibicella lutea and Proboscidea louisiana. Phytochemistry 2010, 71, 877–894. [Google Scholar] [CrossRef] [PubMed]
- Cui, B.L.; Chai, H.; Santisuk, T.; Reutrakul, V.; Farnsworth, N.R.; Cordell, G.A.; Pezzuto, J.M.; Kinghorn, A.D. Novel cytotoxic 1H-cyclopenta[b]benzofuran lignans from Aglaia elliptica. Tetrahedron 1997, 53, 17625–17632. [Google Scholar] [CrossRef]
- Phongmaykin, J.; Kumamoto, T.; Ishikawa, T.; Saifah, E.; Suttisri, R. Biologically active constituents of Aglaia erythrosperma. Nat. Prod. Res. 2011, 25, 1621–1628. [Google Scholar] [CrossRef] [PubMed]
- Fun, H.K.; Chantrapromma, S.; Supriadin, A.; Harneti, D.; Supratman, U. 3-epi-Dammarenediol II 1.075 hydrate. A dammarane triterpene from the bark of Aglaia eximia. Acta Crystallogr. Sect. E Struct. Rep. Online 2012, 68, o3089–o3090. [Google Scholar] [CrossRef] [PubMed]
- Joycharat, N.; Plodpai, P.; Panthong, K.; Yingyongnarongkul, B.; Voravuthikunchai, S.P. Terpenoid constituents and antifungal activity of Aglaia forbesii seed against phytopathogens. Can. J. Chem. 2010, 88, 937–944. [Google Scholar] [CrossRef]
- Roux, D.; Martin, M.T.; Adeline, M.T.; Hevenet, T.; Hadi, A.H.A.; Pais, M. Foveolins A and B, dammarane triterpenes from Aglaia foveolata. Phytochemistry 1998, 49, 1745–1748. [Google Scholar] [CrossRef]
- Mohamad, K.; Sevenet, T.; Dumontet, V.; Pais, M.; Van, T.M.; Hadi, H.; Awang, K.; Martin, M.T. Dammarane triterpenes and pregnane steroids from Aglaia lawii and A. tomentosa. Phytochemistry 1999, 51, 1031–1037. [Google Scholar] [CrossRef]
- Wang, D.X.; Yang, S.M. Chemical constituents from the leaves of Aglaia odorata. Z. Naturforsch. C 2013, 68, 82–86. [Google Scholar] [CrossRef] [PubMed]
- Hofer, O.; Pointinger, S.; Brecker, L.; Peter, K.; Greger, H. Silvaglenamin-a novel dimeric triterpene alkaloid from Aglaia silvestris. Tetrahedron Lett. 2009, 50, 467–468. [Google Scholar] [CrossRef]
- Harneti, D.; Tjokronegoro, R.; Safari, A.; Supratman, U.; Loong, X.M.; Mukhtar, M.R.; Mohamad, K.; Awang, K.; Hayashi, H. Cytotoxic triterpenoids from the bark of Aglaia smithii (Meliaceae). Phytochem. Lett. 2012, 5, 496–499. [Google Scholar] [CrossRef]
- Luo, X.D.; Wu, S.H.; Ma, Y.B.; Wu, D.G. Dammarane triterpenoids from Amoora yunnanensis. Heterocycles 2000, 53, 2795–2802. [Google Scholar] [CrossRef]
- Huang, S.S.; Jian, K.L.; Li, R.J.; Kong, L.Y.; Yang, M.H. Phytosteroids and triterpenoids with potent cytotoxicities from the leaves of Chisocheton cumingianus. RSC Adv. 2016, 6, 6320–6328. [Google Scholar] [CrossRef]
- Phongmaykin, J.; Kumamoto, T.; Ishikawa, T.; Suttisri, R.; Saifah, E. A new sesquiterpene and other terpenoid constituents of Chisocheton penduliflorus. Arch. Pharm. Res. 2008, 31, 21–27. [Google Scholar] [CrossRef] [PubMed]
- Chan, K.Y.; Mohamad, K.O.; Audrey, J.A.; Imiyabir, Z.; Chung, L.Y. Bioactivity-guided fractionation of the lipoxygenase and cyclooxygenase inhibiting constituents from Chisocheton polyandrus Merr. Fitoterapia 2012, 83, 961–967. [Google Scholar] [CrossRef] [PubMed]
- Yan, H.J.; Wang, J.S.; Kong, L.Y. Cytotoxic dammarane-type triterpenoids from the stem bark of Dysoxylum binectariferum. J. Nat. Prod. 2014, 77, 234–242. [Google Scholar] [CrossRef] [PubMed]
- Huang, R.; Harrison, L.J.; Sim, K.Y. A triterpenoid with a novel abeo-dammarane skeleton from Dysoxylum cauliflorum. Tetrahedron Lett. 1999, 40, 1607–1610. [Google Scholar] [CrossRef]
- Nugroho, A.E.; Momota, T.; Sugiura, R.; Hanzawa, M.; Yajima, E.; Nagakura, Y.; Yasuda, N.; Hirasawa, Y.; Wong, C.P.; Kaneda, T.; et al. Dysotriflorins A-M, triterpenoids from Dysoxylum densiflorum. Tetrahedron 2014, 70, 9661–9667. [Google Scholar] [CrossRef]
- Cao, P.; Liang, G.B.; Gao, X.; Wang, X.G.; Li, Z.Q. Three new nor-dammarane triterpenoids from Dysoxylum hainanense with particular cytotoxicity against glioma cell line. Arch. Pharm. Res. 2013, 36, 322–326. [Google Scholar] [CrossRef] [PubMed]
- Zhang, Q.; Luo, S.; Wang, H. Dammarane triterpenoid from Dysoxylum hongkongense. Yunnan Zhiwu Yanjiu 1998, 20, 362–368. [Google Scholar]
- Hisham, A.; Bai, M.D.A.; Fumimoto, Y.; Hara, N.; Shimada, H. Complete 1H and 13C-NMR spectra assignment of cabraleadiol, a dammarane triterpene from Dysoxylum malabaricum Bedd. Magn. Reson. Chem. 1996, 34, 146–150. [Google Scholar] [CrossRef]
- Tantapakul, C.; Maneerat, W.; Sripisut, T.; Ritthiwigrom, T. Dammarane terpenoids from the fruits of Dysoxylum mollissimum. Nat. Prod. Commun. 2014, 9, 1553–1556. [Google Scholar] [PubMed]
- Mulholland, D.A.; Naidoo, N. Dammarane triterpenoids from Dysoxylum muellerii. Biochem. Syst. Ecol. 2000, 28, 295–297. [Google Scholar] [CrossRef]
- Singh, Y.; Aalbersberg, W. Dammarane triterpenoids from a Fijian medicinal plant, Dysoxylum richii. Part 2. Dammarane triterpenoids from Dysoxylum richii. Phytochemistry 1992, 31, 4033–4035. [Google Scholar] [CrossRef]
- Mahmod, I.I.; Kwong, H.C.; Mohamed, T.; Mohamed, I.; Ismail, I.S. (20S*,24S*)-25-Hydroxy-20,24-epoxy-A-homo-4-oxadammaran-3-one (Chrysura) isolated from the leaves of Walsura chrysogyne. Acta Crystallogr. Sect. E Struct. Rep. Online 2011, 67, o3296. [Google Scholar] [CrossRef] [PubMed]
- Kitajima, J.; Kimizuka, K.; Tanaka, Y. New dammarane-type acetylated triterpenoids and their related compounds of Ficus pumila fruit. Chem. Pharm. Bull. 1999, 47, 1138–1140. [Google Scholar] [CrossRef]
- Suga, A.; Takaishi, Y.; Nakagawa, H.; Iwasa, T.; Sato, M.; Okamoto, M. Chemical constituents from fruits and seeds of Myrica rubra (Myricaceae). Nat. Med. 2005, 59, 70–75. [Google Scholar]
- Januario, A.H.; Da Silva, M.F.D.G.F.; Vieira, P.C.; Fernandes, J.B. Dammarane and cycloartane triterpenoids from three Rapanea species. Phytochemistry 1992, 31, 1251–1253. [Google Scholar] [CrossRef]
- Xue, J.; Xie, L.; Liu, B.R.; Yu, L.X. Triterpenoids from the fruits of Forsythia suspense. Zhongguo Tianran Yaowu 2010, 8, 414–418. [Google Scholar]
- Hawas, U.W.; Gamal-Eldeen, A.M.; El-Desouky, S.K.; Kim, Y.K.; Huefner, A.; Saf, R. Induction of caspase-8 and death receptors by a new dammarane skeleton from the dried fruits of Forsythia koreana. Z. Naturforsch. C 2013, 68, 29–38. [Google Scholar] [CrossRef] [PubMed]
- Xu, X.H.; Yang, N.Y.; Qian, S.H.; Xie, N.; Duan, J.A. Dammarane triterpenes from Ligustrum lucidum. J. Asian Nat. Prod. Res. 2008, 10, 33–37. [Google Scholar] [CrossRef] [PubMed]
- Revesz, L.; Hiestand, P.; La Vecchia, L.; Naef, R.; Naegeli, H.U.; Oberer, L.; Roth, H.J. Isolation and synthesis of a novel immunosuppressive 17α-substituted dammarane from the flour of the Palmyrah palm (Borassus flabellifer). Bioorg. Med. Chem. Lett. 1999, 9, 1521–1526. [Google Scholar] [CrossRef]
- Yamashita, H.; Masuda, K.; Kobayashi, T.; Ageta, H.; Shiojima, K. Dammarane triterpenoids from rhizomes of Pyrrosia lingua. Phytochemistry 1998, 49, 2461–2466. [Google Scholar] [CrossRef]
- Arai, Y.; Hirohara, M.; Ageta, H. Fern constituents: Three new skeletal triterpenoid hydrocarbons isolated from Polypodiodes niponica. Tetrahedron Lett. 1989, 30, 7209–7212. [Google Scholar] [CrossRef]
- Mata, R.; Macias, M.L.; Rojas, I.S.; Lotina-Hennsen, B.; Toscano, R.A.; Anaya, A.L. Phytotoxic compounds from Esenbeckia yaxhoob. Phytochemistry 1998, 49, 441–449. [Google Scholar] [CrossRef]
- Oulad-Ali, A.; Guillaume, D.; Jiang, Y.L.; Weniger, B.; Anton, R. Mabioside B, a novel saponin from Colubrina elliptica. Nat. Prod. Lett. 1993, 2, 203–207. [Google Scholar] [CrossRef]
- Kennelly, E.J.; Lewis, W.H.; Winter, R.E.K.; Johnson, S.; Elvin-Lewis, M.; Gossling, J. Triterpenoid saponins from Gouania lupuloides. J. Nat. Prod. 1993, 56, 402–410. [Google Scholar] [CrossRef] [PubMed]
- Xu, F.F.; Zhang, X.Q.; Zhang, J.; Liu, B.; Jiang, J.; Wang, W.J.; Gao, M.H.; Jiang, R.W.; Ye, W.C. Two methyl-migrated 16,17-seco-dammarane triterpenoid saponins from the seeds of Hovenia acerba. J. Asian Nat. Prod. Res. 2012, 14, 135–140. [Google Scholar] [CrossRef] [PubMed]
- Yoshikawa, M.; Murakami, T.; Ueda, T.; Matsuda, H.; Yamahara, J.; Murakami, N. Bioactive saponins and glycosides. IV. Four methyl-migrated 16,17-seco-dammarane triterpene glycosides from Chinese natural medicine, Hoveniae Semen Seu Fructus, the seeds and fruit of Hovenia dulcis Thunb.: Absolute stereostructures and inhibitory activity on histamine release of hovenidulciosides A1, A2, B1, and B2. Chem. Pharm. Bull. 1996, 44, 1736–1743. [Google Scholar] [PubMed]
- Rambabu, P.; Ramana, K.V.; Ganapaty, S. Isolation and characterization of triterpenes from Zizyphus glabrata. Int. J. Chem. Sci. 2011, 9, 1014–1024. [Google Scholar]
- Schuhly, W.; Heilmann, J.; Calis, I.; Sticher, O. Novel triterpene saponins from Zizyphus joazeiro. Helv. Chim. Acta 2000, 83, 1509–1516. [Google Scholar] [CrossRef]
- Inoue, O.; Ogihara, Y.; Yamasaki, K. Application of carbon-13 nuclear magnetic resonance spectroscopy to the elucidation of the structure of a minor dammarane saponin from the seeds of Zizyphus jujuba. J. Chem. Res. 1978, 4, 144–145. [Google Scholar]
- Maciuk, A.; Lavaud, C.; Thepenier, P.; Jacquier, M.J.; Ghedira, K.; Zeches-Hanrot, M. Four new dammarane saponins from Zizyphus lotus. J. Nat. Prod. 2004, 67, 1639–1643. [Google Scholar] [CrossRef] [PubMed]
- Zhang, Y.Q.; Ma, G.J.; Xie, J.B. Tissue distribution of Jujuboside A in sprague-dawley rats determined by an efficient HPLC-ESI-MS/MS method. J. Liq. Chromatogr. Relat. Technol. 2015, 38, 215–221. [Google Scholar] [CrossRef]
- Rambabu, P.; Ramana, K.V.; Ganapaty, S. Dammarane and ceanothane triterpenes from Zizyphus xylopyra. Int. J. Chem. Sci. 2010, 8, 1231–1239. [Google Scholar]
- Homhual, S.; Bunyapraphatsara, N.; Kondratyuk, T.; Herunsalee, A.; Chaukul, W.; Pezzuto, J.M.; Fong, H.H.S.; Zhang, H.J. Bioactive dammarane triterpenes from the Mangrove plant Bruguiera gymnorrhiza. J. Nat. Prod. 2006, 69, 421–424. [Google Scholar] [CrossRef] [PubMed]
- Pakhathirathien, C.; Karalai, C.; Ponglimanont, C.; Subhadhirasakul, S.; Chantrapromma, K. Dammarane triterpenes from the hypocotyls and fruits of Ceriops tagal. J. Nat. Prod. 2005, 68, 1787–1789. [Google Scholar] [CrossRef] [PubMed]
- Jiang, Z.H.; Fukuoka, R.; Aoki, F.; Tanaka, T.; Kouno, I. Dammarane-type triterpene glycosides from the leaves of Rhoiptelea chiliantha. Chem. Pharm. Bull. 1999, 47, 257–262. [Google Scholar] [CrossRef]
- Asai, T.; Fujimoto, Y. 2-Acety-1-(3-glycosyloxyoctade- canoyl)glycerol and dammarane triterpenes in the exudates from glandular trichome-like secretory organs on the stipules and leaves of Cerasus yedoensis. Phytochem. Lett. 2011, 4, 38–42. [Google Scholar] [CrossRef]
- Grougnet, R.; Magiatis, P.; Mitaku, S.; Skaltsounis, A.L.; Cabalion, P.; Tillequin, F.; Michel, S. Dammarane triterpenes from Gardenia aubryi Vieill. Helv. Chim. Acta 2011, 94, 656–661. [Google Scholar] [CrossRef]
- Nuanyai, T.; Sappapan, R.; Vilaivan, T.; Pudhom, K. Dammarane triterpenes from the apical buds of Gardenia collinsae. Phytochem. Lett. 2011, 4, 183–186. [Google Scholar] [CrossRef]
- Mai, H.L.; Grellier, P.; Prost, E.; Lemoine, P.; Poullain, C.; Dumontet, V.; Deguin, B.; Vo, T.B.H.; Michel, S.; Grougnet, R. Triterpenes from the exudate of Gardenia urvillei. Phytochemistry 2016, 122, 193–202. [Google Scholar] [CrossRef] [PubMed]
- Cheng, L.; Shen, L.M.; Zhang, M.; Li, N.; Li, X.; Ma, Z.J.; Qu, H.B. Eleven new triterpenes from Eurycorymbus cavaleriei. Helv. Chim. Acta 2010, 93, 2263–2275. [Google Scholar] [CrossRef]
- Suhagia, B.N.; Rathod, I.S.; Sindhu, S. Sapindus mukorossi (areetha): An overview. Int. J. Pharm. Sci. Res. 2011, 2, 1905–1913. [Google Scholar]
- Ramasamy, S.; Chin, S.P.; Sukumaran, S.D.; Buckle, M.J.C.; Kiew, L.V.; Chung, L.Y. In silico and in vitro analysis of bacoside A aglycones and its derivatives as the constituents responsible for the cognitive effects of Bacopa monnieri. PLoS ONE 2015, 10, e0126565/1–e0126565/19. [Google Scholar] [CrossRef] [PubMed]
- Hong, Z.L.; Xiong, J.; Wu, S.B.; Zhu, J.J.; Hong, J.L.; Zhao, Y.; Xia, G.; Hu, J.F. Tetracyclic triterpenoids and terpenylated coumarins from the bark of Ailanthus altissima (“Tree of Heaven”). Phytochemistry 2013, 86, 159–167. [Google Scholar] [CrossRef] [PubMed]
- Srinivas, P.V.; Rao, R.R.; Rao, J.M. Two new tetracyclic triterpenes from the heartwood of Ailanthus excelsa Roxb. Chem. Biodivers. 2006, 3, 930–934. [Google Scholar] [CrossRef] [PubMed]
- Lee, I.S.; Oh, S.R.; Ahn, K.S.; Lee, H.K. Semialactone, isofouquierone peroxide and fouquierone, three new dammarane triterpenes from Rhus javanica. Chem. Pharm. Bull. 2001, 49, 1024–1026. [Google Scholar] [CrossRef] [PubMed]
- Appendino, G.; Gariboldi, P.; Wollenweber, E.; Sironi, A.; Molinari, H. Triterpenes from the frond exudate of the fern Notholaena greggii. Phytochemistry 1992, 31, 923–927. [Google Scholar] [CrossRef]
- Arriaga-Giner, J.F.; Rumbero, A.; Wollenweber, E. Notholaena terpenoids: Two new epimeric diterpenes from the frond exudate of the fern, Notholaena rigida. Z. Naturforsch. C 1997, 52, 292–294. [Google Scholar]
- Abdul Quader, M.; Gray, A.I.; Waterman, P.G.; Lavaud, C.; Massiot, G.; Hasan, C.M.; Ahmed, M.D. Capsugenin-25,30-O-β-diglucopyranoside: A new glycoside from the leaves of Corchorus capsularis. J. Nat. Prod. 1990, 53, 527–530. [Google Scholar] [CrossRef]
- Weng, X.X.; Shao, Y.; Chen, Y.Y.; Gao, W.; Cheng, L.; Kong, D.Y. Two new dammarane monodesmosides from Centella asiatica. J. Asian Nat. Prod. Res. 2011, 13, 749–755. [Google Scholar] [CrossRef] [PubMed]
- Li, H.; Zhang, Y.; Yang, C. A further investigation on the chemical constituents from the leaves of Panax notoginseng. Nat. Prod. Res. Dev. 2006, 18, 549–554. [Google Scholar]
- Asakawa, J.; Kasai, R.; Yamasaki, K.; Tanaka, O. Carbon-13 NMR study of Ginseng sapogenins and their related dammarane type triterpenes. Tetrahedron 1977, 33, 1935–1939. [Google Scholar] [CrossRef]
- Bianchini, J.P.; Gaydou, E.M.; Rafaralahitsimba, G.; Waegell, B.; Zahra, J.P. Dammarane derivatives in the fruit lipids of Olea madagascariensis. Phytochemistry 1988, 27, 2301–2304. [Google Scholar] [CrossRef]
- Wang, W.; Zhao, Y.; Rayburn, E.R.; Hill, D.L.; Wang, H.; Zhang, R. In vitro anti-cancer activity and structure-activity relationships of natural products isolated from fruits of Panax ginseng. Cancer Chemother. Pharmacol. 2007, 59, 589–601. [Google Scholar] [CrossRef] [PubMed]
- Chen, G.T.; Yang, M.; Nong, S.J.; Yang, X.; Ling, Y.; Wang, D.G.; Wang, X.Y.; Zhang, W. Microbial transformation of 20(S)-protopanaxadiol by Absidia corymbifera. Cytotoxic activity of the metabolites against human prostate cancer cells. Fitoterapia 2013, 84, 6–10. [Google Scholar] [CrossRef] [PubMed]
- Fuchino, H.; Satoh, T.; Tanaka, N. Chemical evaluation of Betula species in Japan. I. Constituents of Betula ermanii. Chem. Pharm. Bull. 1995, 43, 1937–1942. [Google Scholar] [CrossRef]
- Atopkina, L.N.; Denisenko, V.A. Synthesis of 3β,20S-dihydroxydammar-24-en-12-one 3,20-di-O-β-d-glucopyranoside (chikusetsusaponin-LT8), a glycoside from Panax japonicas. Chem. Nat. Compd. 2006, 42, 55–60. [Google Scholar] [CrossRef]
- Tanaka, O.; Yahara, S. Dammarane saponins of leaves of Panax pseudo-ginseng subsp. himalaicus. Phytochemistry 1978, 17, 1353–1358. [Google Scholar] [CrossRef]
- Bai, M.S.; Gao, J.M.; Fan, C.; Yang, S.X.; Zhang, G.; Zheng, C.D. Bioactive dammarane-type triterpenoids derived from the acid hydrolysate of Gynostemma pentaphyllum saponins. Food Chem. 2010, 119, 306–310. [Google Scholar] [CrossRef]
- Atopkina, L.N.; Denisenko, V.A. Glycosylation of panaxadiol. Chem. Nat. Compd. 2011, 46, 892–896. [Google Scholar] [CrossRef]
- Kang, K.S.; Kim, H.Y.; Yoo, H.H.; Piao, X.L.; Ham, J.; Yang, H.O.; Park, J.H. Protective effect of ginseng sapogenins against 2,2′-azobis (1-aminopropane) dihydrochloride (AAPH)-induced LLC-PK1 cell damage. Bioorg. Med. Chem. Lett. 2012, 22, 634–637. [Google Scholar] [CrossRef] [PubMed]
- Chen, G.T.; Yang, X.; Li, J.L.; Ge, H.J.; Song, Y.; Ren, J. Biotransformation of 20(S)-protopanaxadiol by Aspergillus niger AS 3.1858. Fitoterapia 2013, 91, 256–260. [Google Scholar] [CrossRef] [PubMed]
- Han, L.F.; Kaunda, J.S.; Liu, L.L.; Agyemang, K.; Wang, T.; Zhang, Y. Saponins from roots of Panax notoginseng. Chin. Herb. Med. 2014, 6, 159–163. [Google Scholar] [CrossRef]
- Yoshizaki, K.; Yahara, S. New triterpenoid saponins from fruits specimens of Panax japonicas collected in Kumamoto and Miyazaki Prefectures (1). Chem. Pharm. Bull. 2012, 60, 354–362. [Google Scholar] [CrossRef] [PubMed]
- Kim, K. Effect of ginseng and ginsenosides on melanogenesis and their mechanism of action. J. Ginseng Res. 2015, 39, 1–6. [Google Scholar] [CrossRef] [PubMed]
- Kim, S.J.; Kim, A.K. Anti-breast cancer activity of Fine Black ginseng (Panax ginseng Meyer) and ginsenoside Rg5. J. Ginseng Res. 2015, 39, 125–134. [Google Scholar] [CrossRef] [PubMed]
- Shareef, M.; Ashraf, M.A.; Sarfraz, M. Natural cures for breast cancer treatment. Saudi. Pharm. J. 2016, 24, 233–240. [Google Scholar] [CrossRef] [PubMed]
- Ma, L.Y.; Yang, X.W. Six new dammarane-type triterpenes from acidic hydrolysate of the stems-leaves of Panax ginseng and their inhibitory-activities against three human cancer cell lines. Phytochem. Lett. 2015, 13, 406–412. [Google Scholar] [CrossRef]
- Zhao, Y.; Wang, W.; Han, L.; Rayburn, E.R.; Hill, D.L.; Wang, H.; Zhang, R. Isolation, structural determination, and evaluation of the biological activity of 20(S)-25-methoxyl-dammarane-3β,12β,20-triol 20(S)-25-OCH3-PPD, a novel natural product from Panax notoginseng. Med. Chem. 2007, 3, 51–60. [Google Scholar] [CrossRef] [PubMed]
- Liu, Y.F.; Yuan, H.N.; Bi, X.L.; Piao, H.R.; Cao, J.Q.; Li, W.; Wang, P.; Zhao, Y.Q. 25-Methoxylprotopanaxadiol derivatives and their anti-proliferative activities. Steroids 2013, 78, 1305–1311. [Google Scholar] [CrossRef] [PubMed]
- Peng, L.; Zhou, Y.; Kong, D.Y.; Zhang, W.D. Antitumor activities of dammarane triterpene saponins from Bacopa monniera. Phytother. Res. 2010, 24, 864–868. [Google Scholar] [PubMed]
- Cheng, Y.; Hua, H.Q. Clinical research progress in anti-tumor effects of ginsenoside Rg3. Yixue Zongshu 2015, 21, 2938–2940. [Google Scholar]
- Lee, S.Y.; Kim, G.T.; Roh, S.H.; Song, J.S.; Kim, H.J.; Hong, S.S.; Kwon, S.W.; Park, J.H. Proteomic analysis of the anti-cancer effect of 20S-ginsenoside Rg3 in human colon cancer cell lines. Biosci. Biotechnol. Biochem. 2009, 73, 811–816. [Google Scholar] [CrossRef] [PubMed]
- Yu, X.; Xu, H.; Hu, M.N.; Luan, X.J.; Wang, K.Q.; Fu, Y.S.; Zhang, D.; Li, J.Y. Ginsenoside Rg3 bile salt-phosphatidylcholine-based mixed micelles: Design, characterization, and evaluation. Chem. Pharm. Bull. 2015, 63, 361–368. [Google Scholar] [CrossRef] [PubMed]
- Hung, T.M.; Thu, C.V.; Cuong, T.D.; Hung, N.P.; Kwack, S.J.; Huh, J.I.; Min, B.S.; Choi, J.S.; Lee, H.K.; Bae, K.H. Dammarane-type glycosides from Gynostemma pentaphyllum and their effects on IL-4-induced eotaxin expression in human bronchial epithelial cells. J. Nat. Prod. 2010, 73, 192–196. [Google Scholar] [CrossRef] [PubMed]
- Wang, H.P.; Yang, X.B.; Yang, X.W.; Liu, J.X.; Xu, W.; Zhang, Y.B.; Zhang, L.X.; Wang, Y.P. Ginsenjilinol, a new protopanaxatriol-type saponin with inhibitory activity on LPS-activated NO production in macrophage RAW 264.7 cells from the roots and rhizomes of Panax ginseng. J. Asian Nat. Prod. Res. 2013, 15, 579–587. [Google Scholar] [CrossRef] [PubMed]
- Tran, T.L.; Kim, Y.R.; Yang, J.L.; Oh, D.R.; Dao, T.T.; Oh, W.K. Dammarane triterpenes from the leaves of Panax ginseng enhance cellular immunity. Bioorg. Med. Chem. 2014, 22, 499–504. [Google Scholar] [CrossRef] [PubMed]
- Zhang, X.S.; Bi, X.L.; Xiao, W.; Cao, J.Q.; Xia, X.C.; Diao, Y.P.; Zhao, Y.Q. Protein tyrosine phosphatase 1B inhibitory effect by dammarane-type triterpenes from hydrolyzate of total Gynostemma pentaphyllum saponins. Bioorg. Med. Chem. Lett. 2013, 23, 297–300. [Google Scholar] [CrossRef] [PubMed]
- Gu, C.Z.; Lv, J.J.; Zhang, X.X.; Yan, H.; Zhu, H.T.; Luo, H.R.; Wang, D.; Yang, C.R.; Xu, M.; Zhang, Y.J. Minor dehydrogenated and cleavaged dammarane-type saponins from the steamed roots of Panax notoginseng. Fitoterapia 2015, 103, 97–105. [Google Scholar] [CrossRef] [PubMed]
- Yang, J.L.; Ha, T.K.Q.; Dhodary, B.; Kim, K.H.; Park, J.; Lee, C.H.; Kim, Y.C.; Oh, W.K. Dammarane triterpenes as potential SIRT1 activators from the leaves of Panax ginseng. J. Nat. Prod. 2014, 77, 1615–1623. [Google Scholar] [CrossRef] [PubMed]
- Ma, L.Y.; Zhou, Q.L.; Yang, X.B.; Wang, H.P.; Yang, X.W. Metabolism of 20(S)-ginsenoside Rg2 by rat liver microsomes: Bioactivation to SIRT1-activating metabolites. Molecules 2016, 21, 757. [Google Scholar] [CrossRef] [PubMed]
© 2016 by the authors. Licensee MDPI, Basel, Switzerland. This article is an open access article distributed under the terms and conditions of the Creative Commons Attribution (CC-BY) license ( http://creativecommons.org/licenses/by/4.0/).









