Abstract
A series of poly(ADP-ribose)polymerase (PARP)-1 inhibitors containing a novel scaffold, the 1H-thieno[3,4-d]imidazole-4-carboxamide moiety, was designed and synthesized. These efforts provided some compounds with relatively good PARP-1 inhibitory activity, and among them, 16l was the most potent one. Cellular evaluations indicated that the anti-proliferative activities of 16g, 16i, 16j and 16l against BRCA-deficient cell lines were similar to that of olaparib, while the cytotoxicities of 16j and 16l toward human normal cells were lower. In addition, ADMET prediction results indicated that these compounds might possess more favorable toxicity and pharmacokinetic properties. This study provides a basis for our further investigation.
1. Introduction
Poly(ADP-ribose)polymerases (PARPs) are nuclear enzymes that play important roles in the genomic repair process [1,2]. PARP-1, the most abundant and best-characterized member of the PARP superfamily [3], has emerged as a promising molecular target for the treatment of cancer in the past decade [4]. When activated by DNA damage, it catalyzes the transfer of ADP-ribose units to target proteins (using nicotinamide adenine dinucleotide (NAD+) as a substrate) to facilitate DNA repair. It is a key step in the base excision repair (BER) of single-strand DNA breaks (SSB) [5], which are involved in the resistance that often develops after traditional cancer therapies. Therefore, combination of PARP-1 inhibitors with radio- and chemo-therapy to enhance antitumor effects has been an initial focus in cancer treatment [6]. However, this strategy has been hampered by enhanced toxicity and has not succeeded despite 30 years of research [7].
Recently, PARP-1 inhibition has been demonstrated as an effective method for inducing synthetic lethality in cancers that have defective homologous recombination repair (HRR) pathway, such as cancers with BRCA-1/2 mutation [8,9]. For such cancers, PARP-1 inhibitors are emerging as promising monotherapy agents [10]. This strategy has facilitated the approval of olaparib (Figure 1) for advanced and relapsed ovarian cancer with germline BRCA mutations. A number of PARP-1 inhibitors have been discovered and several of them are in different stages of clinical trials, including veliparib [11], rucaparib [12] and niraparib (Figure 1). This brings hope for the treatment of other advanced refractory cancers, such as triple-negative breast, pancreatic, and prostate cancers [13,14,15]. Furthermore, the latest studies have shown that the antitumor effects of PARP-1 inhibitors were enhanced by combination with other agents, such as AKT inhibitors, C-Met inhibitors and PI3K inhibitors [16,17,18]. These findings have broadened the application area and increased the therapeutic potential of PARP-1 inhibitors. However, as the first on-market PARP-1 inhibitor [19], Olaparib is being used clinically at a high dose (400 mg twice-daily, 16 capsules) [20], and still has some deficiencies such as potential toxicity [21] and inadequate pharmacokinetic properties. Thus, efforts pursuing new inhibitors are still needed.
Figure 1.
Structures of PARP-1 inhibitors.
The design of PARP-1 inhibitors is usually based on the nicotinamide moiety of NAD+ to mimic the substrate-protein interaction of NAD+ with enzyme [22]. According to previous literatures [23,24], despite the large variety in chemical structures of current PARP-1 inhibitors, the common structural features are aromatic ring and carboxamide moiety, which are responsible for the formation of hydrogen bonds and pi-stacking interaction with PARP-1, respectively. On this basis, we have previously reported a series of potent phthalazinone-containing PARP-1 inhibitors with fairly good potency [25], such as XM-17 (Figure 1). In this study, we report a series of compounds containing a novel thieno-imidazole scaffold that can form a six-membered ’pseudo-cycle’ through an intramolecular hydrogen bond (Figure 2). Our preliminary efforts identified 16l as the best potential compound that displayed comparable enzymatic and anti-proliferative potency, lower cytotoxicity, and better predicted ADMET properties compared to olaparib.
Figure 2.
The design of novel PARP-1 inhibitors containing a thienoimidazole scaffold.
2. Results and Discussion
2.1. Chemistry
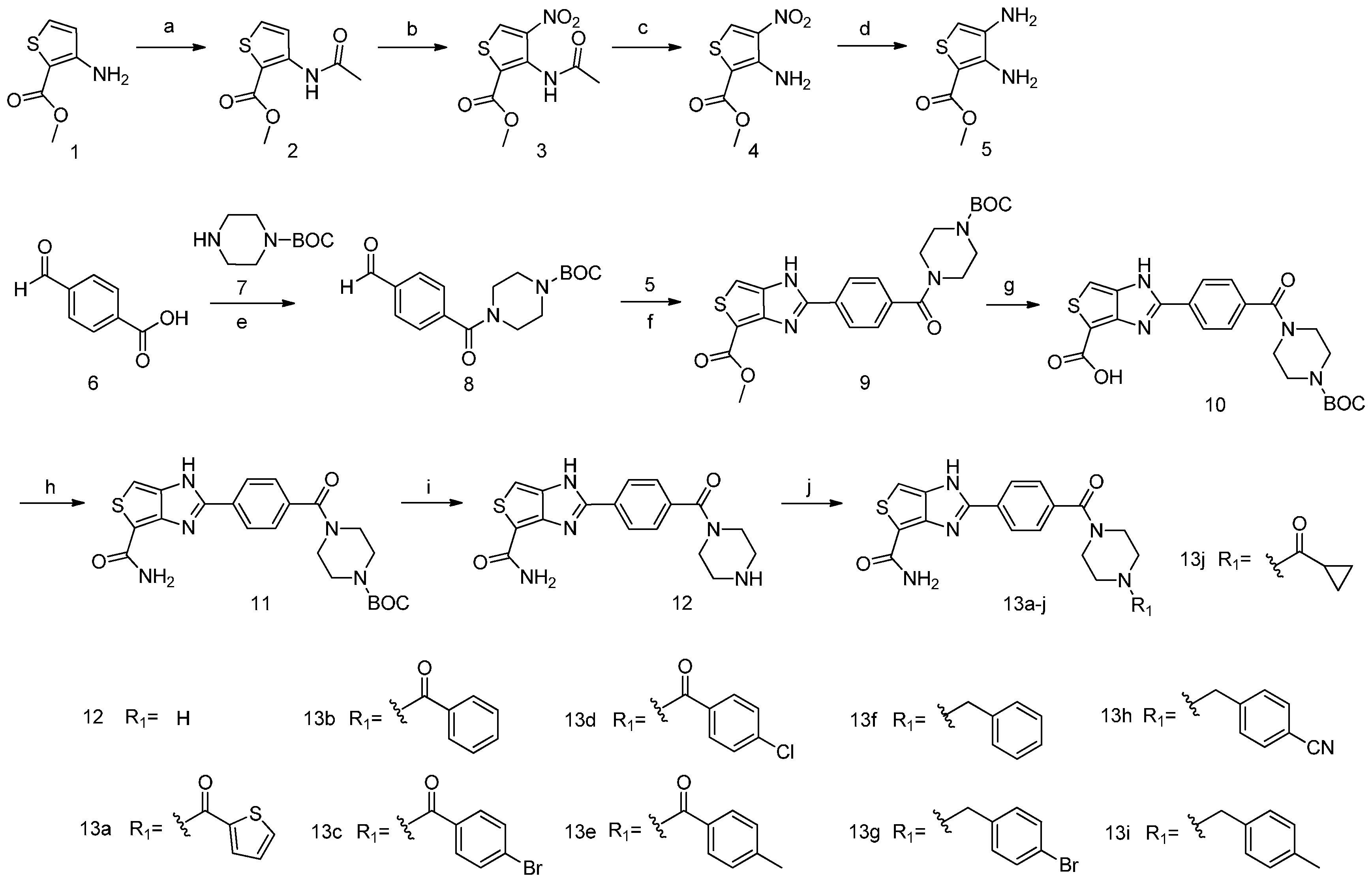
Synthesis of compounds 13a–j is outlined in Scheme 1. Briefly, acetylation of carboxylate 1 was followed by nitration with a mixture of concentrated nitric and sulphuric acids to obtain compound 3. Deprotection of the acetyl group with NaOCH3 furnished amine 4 that was converted to the key intermediate 5 by catalytic hydrogenation in the presence of Pd/C. Subsequently, acid 6 was coupled with piperazine 7 under standard amidation conditions (EDCI, HOBT, DIPEA), which yielded amide 8. Cyclization of the intermediate 5 with 8 in the presence of iodobenzene diacetate provided ester 9. Saponification of the ester 9 followed by ammonolysis provided compound 11. Deprotection of the BOC-group with trifluoroacetic acid yielded a secondary amine 12. Finally, amine 12 was coupled with various benzyl bromides or acyl chlorides to obtain the corresponding target compounds 13a–j.
Scheme 1.
Synthetic route for target compounds 13a–j. Reactions and conditions: (a) (CH3O)2CO; (b) HNO3, H2SO4, −25 °C; (c) CH3ONa, CH3OH; (d) Pd/C, CH3OH; (e) EDCI, HOBt, DIPEA, DCM; (f) i) 1,4-dioxane; ii) iodobenzene diacetate, 55 °C; (g) 4N NaOH, CH3OH; (h) i) CDI, DMF; ii) NH3·H2O; (i) TFA; (j) TEA or K2CO3, DMF.
Synthesis of compounds 16a–n is shown in Scheme 2. Cyclization of the intermediate 5 with substituted benzaldehydes in the presence of iodobenzene diacetate provided intermediates 14a–n. Hydrolysis of esters 14a–o provided intermediates 15a–n. Lastly, ammonolysis furnished imidazo [3,4-d]thienocarboxamide derivatives 16a–n.
Scheme 2.
Synthetic route for target compounds 16a–n. Reactions and conditions: (a) i) 1,4-dioxane; ii) iodobenzene diacetate, 55 °C; (b) 4N NaOH, CH3OH; (c) i) CDI, DMF; ii) NH3·H2O.
2.2. Biological Evaluation
2.2.1. PARP-1 Enzyme Inhibitory Activity
All target compounds were evaluated in vitro for their PARP-1 enzyme inhibitory activity. Compounds that showed >50% inhibition at 10 μM were selected to determine their IC50 values. The IC50 values of target compounds 12 and 13a–j against PARP-1 enzyme are shown in Table 1.
Table 1.
Structure and PARP-1 enzyme inhibitory activity of compounds 12 and 13a–j. a
Unfortunately, all target compounds showed limited activity (IC50 0.723–3.864 μM) compared to the control compounds. The ortho-thenoyl- and benzoyl-substituted compounds 13a and 13b showed weaker inhibitory effects than veliparib and olaparib. Introduction of electron-withdrawing and donating groups on the benzene ring (compounds 13c–e) did not elicit significant changes in the inhibitory activity. Similarly, there was no change in the activity of substituted benzyl compounds 13f–i. However, the cyclopropyl substituted compound 13j showed better activity than the aryl-substituted compounds. Interestingly, compound 12 without substitution proved to be the most potent one. This indicates that the large piperazine side chains could not be tolerated on the thienoimidazole scaffold. In addition, it indicates that higher potency of the compounds was associated with smaller size of the R1 substituents. Based on this structure-activity relationship, a series of compounds 16a–n without the piperizine groups were designed and synthesized.
IC50 values of compounds 16a–n against PARP-1 enzyme are shown in Table 2. Most of these compounds showed better activity than compounds 13a–j due to the removal of the large piperazine side chains. The most potent compound was 16l that showed an IC50 value of 0.043 μM, which is only four times less potent than the reference compound. Introduction of an electron-withdrawing or donating group at the phenyl para position contributed to the activity of compounds (16b, 16c, 16f, 16i, 16j, 16l vs. 16a). Compounds featuring substitutions at the para position were generally more active than the corresponding analogues containing substitutions at the meta or ortho position (16c vs. 16d, 16f vs. 16h, 16j vs. 16k, 16l vs. 16m and 16n), with only one exception (16f vs. 16g).
Table 2.
The structures and PARP-1 enzyme inhibitory activity of compounds 16a–n. a
2.2.2. Anti-Proliferative Activity on BRCA1/2-Deficient Cell Lines
In 2005, two landmark studies [26,27] were published and revealed that PARP-1 inhibitors were synthetically lethal in tumor cells with BRCA-1/2 mutation, which led to a major interest in this class of drug. Synthetic lethality means that when PARP-1 inhibitors suppress the role of BER pathway, the unrepaired SSBs would accumulate and collapse the DNA replication forks to form potentially lethal DSBs, and the normal cells would survive by repairing these DSBs by HRR pathway in this case, but in BRCA-deficient tumor cells, unrepaired DSBs would result in cell death. Studies showed that over 20% of high-grade serous ovarian cancers exhibited germline or somatic mutations in this gene [28].
HCC1937 (with BRCA1 mutation) and CAPAN-1 (with BRCA2 mutation) human tumor cell lines are commonly used for evaluating the anti-proliferative potencies of PARP-1 inhibitors as monotherapy in vitro. Preliminary PARP-1 enzyme assay identified some compounds with good inhibitory activities. The four most active compounds (16g, 16i, 16j, and 16l) were selected and their in vitro anti-proliferative activity against HCC1937 and CAPAN-1 cell lines was further evaluated (Table 3). Interestingly, the four compounds displayed similar or improved activities compared with control compounds. Especially on the BRCA-1 deficient HCC1937 cell line, four compounds displayed 2.5~3.8-fold better activities than olaparib.
Table 3.
Anti-proliferative activity of compounds against BRCA-1 and BRCA-2 deficient cell lines. a,b
The difference in cellular activities might be due to the different membrane permeability, and we tried to explain it through ADMET properties prediction preliminarily (Table 4). Further investigations into their biological activities and mechanism of action are underway.
Table 4.
Selected ADMET properties of compounds.
2.2.3. Cytotoxicity Assay on Normal Human Lung Fibroblast (HLF) Cells
Given the good results on BRCA1/2-deficient cell lines, the four compounds 16g, 16i, 16j, 16l were further preliminarily assayed for their cytotoxicity on normal human cells. As shown in Table 5, among these compounds, 16j and 16l showed lower cytotoxicity with IC50 values greater than 300 µM, and the inhibition rate (32.37%, 27.94%) was far lower than olaparib and veliparib (91.45%, 93.64%) at the concentration of 300 µM.
Table 5.
The results of cytotoxicity assay on normal human lung fibroblast cells. a,b
2.3. ADMET Prediction
We further predicted the ADMET properties of compound 16g, 16i, 16j and 16l using ADMET Predictor 7.0 (Simulations Plus, Inc., WestLancaster, CA, USA, 2014) to preliminarily validate their druggability. This computer program has been consistently ranked as the most accurate, quick and useful tool to predict the crucial physicochemical and biological properties for candidate compounds [29]. The selected ADMET properties of compounds are listed in Table 4, with emphasis on the absorption, metabolism and toxicity properties. ADMET_risk means the overall evaluation of compounds by ADMET predictor 7.0, and it demonstrated that 16j and 16l had better ADMET properties than olaparib (1, 1 vs. 4.85). In detail, 16j and 16l are predicted to have better oral absorption properties than olaparib, see in Sw, FaSSGF, logP and Peff values; Toxicity prediction indicated that the toxic risk of 16j and 16l are smaller than that of Olaparib, and this result is correspond with the cytotoxicity assay on HLF cells. It appears that the compounds with electron-donating groups (16j, 16l) possess better ADMET properties than those with electron-withdrawing groups (16g, 16i).
2.4. Molecular Docking
In order to validate the results obtained from enzyme inhibition assay, a docking study was performed for compound 16l and the catalytic domain of human PARP-1 (PDB code: 2RD6), as shown in Figure 3 and Figure 4.
Figure 3.
Proposed binding mode of compound 16l overlaid with the X-ray co-crystal structure of Veliparib. Key amino acids are depicted as sticks and the atoms are coloured as carbon-grey, hydrogen-grey, nitrogen-purple and oxygen-red. Ligands are distinguished by differently coloured carbon atoms; Veliparib coloured as carbon-green and compound 16l coloured as carbon-orange.
Figure 4.
2D diagram of compound 16l docking in the catalytic domain of human PARP-1 (PDB code: 2RD6).
Consistent with previous reports, three key hydrogen-bonding interactions between the carboxamide group of 16l with Gly-202 and Ser-243 were observed. Moreover, 1-NH of the thienoimidazole ring appeared to have formed a water-mediated hydrogen bond with Glu-327. Thienoimidazole ring exhibited a characteristic p-stacking interaction with Tyr-246. Figure 3 shows an X-ray co-crystal structure of veliparib overlaid with compound 16l in PARP-1 catalytic domain. Both compounds demonstrated similar conformation in the active site. The carboxamide group achieved an optimal orientation through an intramolecular hydrogen bond for interacting with the key amino acids.
3. Experimental Section
3.1. General
All reagents and solvents were used as received from commercial sources. All reactions were monitored by thin-layer (TLC). Melting points (m.p., °C, uncorrected) were determined in open glass capillaries with an YRT-3 (Tianda Tianfa Technology Co., Ltd., Tianjin, China) electrothermal melting point apparatus. The 1H-NMR and 13C-NMR spectra were recorded in DMSO-d6 on a JNM-ECA-400 400 MHz spectrometer (JEOL Ltd., Tokyo, Japan), and chemical shifts are expressed as δ values relative to TMS as internal standard. ESI spectra (positive ion mode) were recorded on an API 3000 triple-quadrupole mass spectrometer (AB Sciex, Concord, ON, Canada).
3.2. Chemical Synthesis
3.2.1. Synthesis of Compounds 13a–j
Methyl 3-acetamidothiophene-2-carboxylate (2). Methyl 3-aminothiophene-2-carboxylate (1, 50.0 g, 318.09 mmol) was added portionwise to acetic anhydride (600 mL) and stirred at room temperature for 6 h. The mixture was then poured into cold water and white precipitate was generated. Sodium hydroxide was added until the acetic anhydride layer disappeared. The white solid was filtrated and washed with water (50.72 g, 80.0%). ESI-MS m/z: 200.2 [M + H]+, 223.3 [M + Na]+. 1H-NMR (DMSO), δ (ppm): 9.99 (s, 1H), 7.92 (d, J = 7.8 Hz, 1H), 7.87 (d, J = 7.8 Hz, 1H), 3.83 (s, 3H), 2.16 (s, 3H).
Methyl 3-acetamido-4-nitrothiophene-2-carboxylate (3). A solution of 2 (15.0 g, 75.29 mmol) in 95%–98% sulfuric acid (150 mL) was cooled to −30 °C. Then 65%–68% nitric acid (10 mL) was added dropwise, and the temperature was controlled under −20 °C. After reaction, the mixture was poured into 800 mL ice water. The yellow solid was filtrated and washed with water. The crude was purified through recrystallization in dichloromethane to afford the title compound as a white solid (5.5 g, 29.8%). ESI-MS m/z: 245.2 [M + H]+, 267.2 [M + Na]+. 1H-NMR (DMSO), δ (ppm): 10.26 (s, 1H), 8.61 (s, 1H), 3.85 (s, 3H), 2.06 (s, 3H).
Methyl 3-amino-4-nitrothiophene-2-carboxylate (4). Sodium methoxide (8.1 g, 149.9 mmol) was added portionwise to a solution of 3 (24.4 g, 99.9 mmol) in CH3OH (600 mL) and stirred at 55 °C for 8 h. After reaction, the mixture was poured into cold water and the yellow product was collected by filtration without further purification (19.5 g, 96.5%). ESI-MS m/z: 203.1 [M + H]+, 225 [M + Na]+. 1H-NMR (DMSO), δ (ppm): 8.55 (s, 1H), 7.18 (s, 2H), 3.82 (s, 3H)
Methyl 3,4-diaminothiophene-2-carboxylate (5). 10% Pd/C (2.0 g) was added to a solution of 4 (20.2 g, 100 mmol) in CH3OH (300 mL). Hydrogen was passed over to 4 bar pressure and the mixture was stirred at 40 °C for 8 h. After reaction, the Pd/C was filtered off and the organic phase was concentrated in vacuo to give the title compound as a yellow solid (15.6 g, 90.7%). ESI-MS m/z: 173.2 [M + H]+. 1H-NMR (DMSO), δ (ppm): 7.05 (s, 1H), 6.56 (s, 2H), 6.35 (s, 2H), 3.88 (s, 3H).
tert-Butyl 4-(4-formylbenzoyl)piperazine-1-carboxylate (8). 4-Formylbenzoic acid (6, 3.0 g, 10.0 mmol) was added into a 250 mL round-bottom flask and dissolved in 100 mL DCM. EDCI (2.3 g, 12.0 mmol), HOBt (0.013 g, 0.1 mmol), DIPEA (1.3 g, 10.0 mmol), N-BOC piperazine 7 (1.9 g, 10.1 mmol) was added successively and the mixture was stirred at room temperature overnight. After reaction, the mixture was washed with 1N NaOH, 1N HCl, brine, and then dried over Na2SO4. The organic was concentrated in vacuo to give the title compound as a white solid (5.8 g, 91.2%). ESI-MS m/z: 319.4 [M + H]+. 1H-NMR (DMSO-d6), δ: 10.06 (s, 1H), 7.81 (dd, 4H), 3.62 (s, 2H), 3.43 (s, 2H), 3.32 (s, 2H), 3.26 (s, 2H), 1.41 (s, 9H).
Methyl 2-(4-(4-(tert-butoxycarbonyl)piperazine-1-carbonyl)phenyl)-1H-thieno[3,4-d] imidazole-4-carboxylate (9). Intermediate 5 (1.7 g, 10.1 mmol) and 8 (3.18 g, 10.0 mmol) was added into a 100 mL round- bottom flask and dissolved in 1,4-dioxane (35 mL). The mixture was stirred at room temperature for 2 h and then heated up to 55 °C. Iodobenzene diacetate (6.4 g, 20.0 mmol) was added and the mixture was reacted for another 5 min. Then the reaction was quenched with saturated Na2S2O4 and NaHCO3 solution. The mixture was extracted with 50 × 3 EA and the combined organic layer was washed with brine, dried over anhydrous Na2SO4 and purified by column chromatography (PE–EA = 5:1) to afford 9 as a white solid (0.85 g, 18.1%). ESI-MS m/z: 471.5 [M + H]+. 1H-NMR (DMSO-d6), δ: 12.79 (s, 1H), 8.34 (d, J = 8.3 Hz, 2H), 7.83 (s, 1H), 7.59 (d, J = 8.3 Hz, 2H), 3.88 (s, 3H), 3.52 (m, 8H), 1.42 (s, 9H).
2-(4-(4-(tert-Butoxycarbonyl)piperazine-1-carbonyl)phenyl)-1H-thieno[3,4-d]imidazole-4-carboxylic acid (10). Intermediate 9 (4.7 g, 9.9 mmol) was added into a 150 mL round-bottom flask and dissolved in CH3OH (75 mL), then 4N NaOH solution (10 mL) was added and the mixture was stirred at reflux overnight. After reaction, the pH was adjusted to 6–7 with 2N HCl. The resulting yellow solid was separated by filtration and used for the next step without further purification (4.2 g, 92.1%).
tert-Butyl 4-(4-(4-carbamoyl-1H-thieno[3,4-d]imidazol-2-yl)benzoyl)piperazine-1-carboxylate (11). Acid 10 (4.2 g, 9.2 mmol), CDI (1.5 g, 9.2 mmol) was dissolved in DMF (25 mL) and the mixture was stirred at room temperature for 2 h. Then the solution was added dropwise to aqueous ammonia (75 mL) and stirred overnight. The mixture was extracted with 100 mL × 3 EA and the combined organic layer was washed with brine, dried with anhydrous Na2SO4 and concentrated in vacuo. The crude product was recrystallized with CH3OH to give compound 11 as a white solid (3.2 g, 76.2%). ESI-MS m/z: 456.5 [M + H]+. 1H-NMR (DMSO-d6), δ: 12.51 (d, 1H), 8.35 (d, J = 8.3 Hz, 2H), 7.82 (s, 1H), 7.55–7.82 (m, 4H), 3.54 (m, 8H), 1.42 (s, 9H).
2-(4-(Piperazine-1-carbonyl)phenyl)-1H-thieno[3,4-d]imidazole-4-carboxamide (12). Compound 11 (3.2 g, 7.0 mmol) was dissolved in THF (45 mL) and TFA (10 mL) was added and stirred at room temperature. After reaction, the solvent was removed and diluted in 2N HCl. The solution was washed with EA and then adjusted the pH to 8–9 with 2N NaOH. The resulting precipitate was filtrated and recrystallized with CH3OH to give 12 as a yellow solid (2.2 g, 88.1%). m.p.: 286–289 °C. 1H-NMR (DMSO-d6), δ: 12.93 (s, 1H), 8.28 (d, J = 8 Hz, 2H), 7.77 (s, 1H), 7.48–7.97 (m, 3H), 3.56 (s, 4H), 3.38 (s, 4H), 1.93 (s, 1H). 13C-NMR (DMSO-d6), δ: 168.94, 162.69, 161.61, 159.37, 159.05, 137.39, 131.07, 128.08, 127.49, 118.77, 115.81, 42.79. ESI-HRMS: m/z [M + H]+, calculated for C17H17N5O2S: 356.1181; found: 356.1173.
2-(4-(4-(Thiophene-2-carbonyl)piperazine-1-carbonyl)phenyl)-1H-thieno[3,4-d]imidazole-4-carboxamide (13a). Compound 12 (0.20 g, 0.56 mmol), thiophene-2-carbonyl chloride (0.08 g, 0.56 mmol) was dissolved in DMF (5 mL). TEA (2 drops) was added and the mixture was stirred at room temperature overnight. Then the mixture was diluted with EA (100 mL) and washed with 30 mL × 3 water, brine and dried over Na2SO4. The solvent was removed and recrystallized with CH3OH to give 12a as a white solid (0.085 g, 33.2%). m.p.: 246–260 °C. 1H-NMR (DMSO-d6), δ: 12.64 (s, 1H), 8.32–8.15 (m, 2H), 7.65 (dd, J = 16.9, 7.3 Hz, 4H), 7.51 (s, 1H), 7.38 (t, 3H), 3.67 (s, 4H), 3.44 (s, 4H). 13C-NMR (DMSO-d6), δ: 169.36, 168.60, 162.58, 161.81, 150.45, 139.00, 138.01, 135.66, 130.48, 129.78, 128.54, 127.82, 127.11, 47.24, 41.59. ESI-HRMS: m/z [M + H]+, calculated for C22H19N5O3S2: 466.1007; found: 466.1001.
2-(4-(4-Benzoylpiperazine-1-carbonyl)phenyl)-1H-thieno[3,4-d]imidazole-4-carboxamide (13b). The title compound was obtained similarly to 13a as a white solid (0.096 mg, 37.2%). m.p.: 270–272 °C. 1H-NMR (DMSO-d6), δ: 12.60 (d, 1H), 8.25 (dd, J = 15.1, 6.1 Hz, 2H), 7.71 (s, 1H), 7.63 (d, J = 8.0 Hz, 2H), 7.33–7.51 (m, 7H), 3.69 (s, 4H), 3.43 (s, 4H). ESI-HRMS: m/z [M + H]+, calculated for C24H21N5O3S: 460.1443; found: 460.1437.
2-(4-(4-(4-Bromobenzoyl)piperazine-1-carbonyl)phenyl)-1H-thieno[3,4-d]imidazole-4-carboxamide (13c). The title compound was obtained similarly to 13a as a yellow solid (110 mg, 36.3%). m.p.: 294–296 °C. 1H-NMR (DMSO-d6), δ: 12.79 (s, 1H), 8.26 (d, J = 7.9 Hz, 2H), 7.79 (d, J = 5.0 Hz, 2H), 7.64 (d, J = 8.1 Hz, 2H), 7.46 (d, J = 3.3 Hz, 2H), 7.36 (s, 2H), 7.18–7.09 (m, 1H), 3.74 (s, 4H), 3.48 (s, 4H). ESI-HRMS: m/z [M + H]+, calculated for C24H20BrN5O3S: 538.0548; found: 538.0543.
2-(4-(4-(4-Chlorobenzoyl)piperazine-1-carbonyl)phenyl)-1H-thieno[3,4-d]imidazole-4-carboxamide (13d). The title compound was obtained similarly to 13a as a white solid (0.13 g, 46.8%). m.p.: 247–249 °C. 1H-NMR (DMSO-d6), δ: 12.62 (d, 1H), 8.24 (d, J = 6.9 Hz, 2H), 7.81 (d, J = 8.3 Hz, 2H), 7.66 (s, 1H), 7.56 (dd, J = 16.6, 8.3 Hz, 4H), 7.35 (d, J = 17.2 Hz, 2H), 3.64 (d, 4H), 3.38 (m, 4H). ESI-HRMS: m/z [M + H]+, calculated for C24H20ClN5O3S: 494.1053; found: 494.1051.
2-(4-(4-(4-Methylbenzoyl)piperazine-1-carbonyl)phenyl)-1H-thieno[3,4-d]imidazole-4-carboxamide (13e). The title compound was obtained similarly to 13a as a white solid (0.13 g, 46.8%). m.p.: 308–310 °C. 1H-NMR (DMSO-d6), δ: 12.63 (d, 1H), 8.24 d, 2H), 7.69 (s, 1H), 7.63 (d, J = 8.3 Hz, 2H), 7.38 (m, 2H), 7.30 (dd, J = 28.9, 8.4 Hz, 4H), 3.56 (d, 8H), 2.34 (s, 3H). ESI-HRMS: m/z [M + H]+, calculated for C25H23N5O3S: 474.1600; found: 474.1601.
2-(4-(4-Benzylpiperazine-1-carbonyl)phenyl)-1H-thieno[3,4-d]imidazole-4-carboxamide (13f). Compound 12 (0.20 g, 0.56 mmol), bromomethyl benzene (0.10 g, 0.56 mmol) was dissolved in DMF (5 mL). K2CO3 (0.15 g, 1.1 mmol) was added and the mixture was stirred at room temperature overnight. Then the mixture was diluted with EA (100 mL) and washed with 30 mL × 3 water, brine and dried over Na2SO4. The solvent was removed and recrystallized with CH3OH to give 12a as a white solid (0.12 g, 47.9%). m.p.: 285–288 °C. 1H-NMR (DMSO-d6), δ: 12.58 (d, 1H), 8.23 (d, J = 7.8 Hz, 2H), 7.68 (s, 1H), 7.64 (d, J = 8.3 Hz, 2H), 7.38 (m, 3H), 7.30 (m, 4H), 3.76 (s, 2H), 3.56 (d, 8H). ESI-HRMS: m/z [M + H]+, calculated for C24H23N5O2S: 446.1650; found: 446.1651.
2-(4-(4-(4-Bromobenzyl)piperazine-1-carbonyl)phenyl)-1H-thieno[3,4-d]imidazole-4-carboxamide (13g). The title compound was obtained similarly to compound 13f as a yellow solid (0.14 g, 47.5%). m.p.: 285–288 °C. 1H-NMR (DMSO-d6), δ: 265 °C–266 °C 1H-NMR (DMSO-d6), δ: 12.82 (s, 1H), 8.26 (d, 2H), 7.32–7.66 (m, 9H), 3.33–3.64 (m, 8H), 3.95 (s, 2H). ESI-HRMS: m/z [M+H]+, calculated for C24H22Br N5O2S: 524.0756; found: 524.0758.
2-(4-(4-(4-Cyanobenzyl)piperazine-1-carbonyl)phenyl)-1H-thieno[3,4-d]imidazole-4-carboxamide (13h). The title compound was obtained similarly to compound 13f as a white solid (0.09 g, 34.0%). m.p.: 284–286 °C. 1H-NMR (DMSO-d6), δ: 12.65 (d, 1H), 8.24 (d, J = 6.9 Hz, 2H), 7.81 (d, J = 8.3 Hz, 2H), 7.69 (s, 1H), 7.56 (dd, J = 16.6, 8.3 Hz, 4H), 7.38 (d, 2H), 3.64 (d, 4H), 3.38 (m, 4H), 3.18 (s, 2H). ESI-HRMS: m/z [M + H]+, calculated for C25H22N6O2S: 471.1603; found: 471.1596.
2-(4-(4-(4-Methylbenzyl)piperazine-1-carbonyl)phenyl)-1H-thieno[3,4-d]imidazole-4-carboxamide (13i). The title compound was obtained similarly to 13f as a white solid (0.15 g, 58.0%). m.p.: 272–273 °C. 1H-NMR (DMSO-d6), δ: 12.65 (s, 1H), 8.30 (d, J = 8.3 Hz, 2H), 7.84 (d, 2H), 7.78 (s, 1H), 7.58 (m, 4H), 7.35 (m, 2H), 3.87 (s, 3H), 3.43–3.58 (m, 8H), 2.45 (s, 3H). ESI-HRMS: m/z [M + H]+, calculated for C25H25N5O2S: 460.1807; found: 460.1809.
2-(4-(4-(Cyclopropanecarbonyl)piperazine-1-carbonyl)phenyl)-1H-thieno[3,4-d]imidazole-4-carboxamide (13j). The title compound was obtained similarly to compound 13f as a white solid (0.15 g, 58.0%). m.p.: 272–273 °C. 1H-NMR (DMSO-d6), δ: 12.64 (d, 2H), 8.25 (dd, J = 16.1, 8.0 Hz, 2H), 7.75–7.25 (m, 5H), 3.65 (d, 8H), 1.99 (s, 1H), 0.75 (m, 4H). ESI-HRMS: m/z [M + H]+, calculated for C21H21N5O3S: 424.1443; found: 424.1441.
3.2.2. Synthesis of Compounds 16a–n
Methyl 2-phenyl-1H-thieno[3,4-d]imidazole-4-carboxylate (14a). To a solution of 5 (1.7 g, 9.9 mmol) in 1,4-dioxane (35 mL) was added benzaldehyde (1.9 g, 11.0 mmol). The mixture was stirred at room temperature for 4 h and then heated up to 55 °C. Iodobenzene diacetate (6.4 g, 19.9 mmol) was added and the reaction mixture was stirred for 5 min. After reaction, saturated Na2S2O3 and NaHCO3 solution was added and the mixture was extracted with DCM (3 × 40 mL). The combined organic was washed with water, brine, dried over Na2SO4 and purified by column chromatography (PE:EA = 5:1) to afford 14a as a white solid (0.85 g, 32.9%). ESI-MS m/z: 259.3 [M + H]+.
2-Phenyl-1H-thieno[3,4-d]imidazole-4-carboxylic acid (15a). Intermediate 14a (0.85 g, 3.3 mmol) was added into a 50 mL round-bottom flask and dissolved in CH3OH (25 mL), then 4N NaOH solution (7 mL) was added and the mixture was stirred at reflux overnight. After reaction, the pH was adjusted to 6–7 with 2N HCl. The resulting white solid was separated by filtration and used for the next step without further purification (0.68 g, 84.6%).
2-Phenyl-1H-thieno[3,4-d]imidazole-4-carboxamide (16a). Compound 15a (0.68 g, 2.8 mmol), CDI (0.45 g, 9.2 mmol) was dissolved in DMF (10 mL) and the mixture was stirred at room temperature for 2 h. Then the solution was added dropwise to aqueous ammonia (45 mL) and stirred overnight. The mixture was extracted with 60 × 3 EA and the combined organic layer was washed with brine, dried with anhydrous Na2SO4 and concentrated in vacuo. The crude product was recrystallized with CH3OH to give 16a as a white solid (0.15 g, 22.1%). m.p.: 256–257 °C. 1H-NMR (DMSO-d6), δ: 12.54 (d, 1H), 8.18 (m, 2H), 7.69 (s, 1H), 7.62–7.55 (m, 3H), 7.52 (s, 1H), 7.35 (s, 1H). 13C-NMR (DMSO-d6), δ: 162.66, 150.60, 139.05, 131.22, 129.53, 129.09, 127.20, 113.82, 110.20, 101.06. ESI-HRMS: m/z [M + H]+, calculated for C12H9N3OS: 244.0544, found: 244.0539.
2-(4-Fluorophenyl)-1H-thieno[3,4-d]imidazole-4-carboxamide (16b). The title compound was obtained similarly to 16a as a white solid (0.18 g, 20.9%). m.p.: 244–246 °C. 1H-NMR (DMSO-d6), δ: 12.75 (d, 1H), 8.29–8.17 (m, 2H), 7.63 (d, 1H), 7.44 (m, 3H), 7.34 (d, 1H). ESI-HRMS: m/z [M + H]+, calculated for C12H8FN3OS: 262.0450, found: 262.0451.
2-(4-Chlorophenyl)-1H-thieno[3,4-d]imidazole-4-carboxamide (16c). The title compound was obtained similarly to 16a as a white solid (0.14 g, 16.5%). m.p.: 245–246 °C. 1H-NMR (DMSO-d6), δ: 12.63 (d, 1H), 8.13–8.27 (m, 2H), 7.59–7.66 (m, 2H), 7.33–7.49 (m, 3H). ESI-HRMS: m/z [M + H]+, calculated for C12H8ClN3OS: 278.0155, found: 278.0152.
2-(2-Chlorophenyl)-1H-thieno[3,4-d]imidazole-4-carboxamide (16d). The title compound was obtained similarly to 16a as a white solid (0.10 g, 13.2%). m.p.: 202–204 °C. 1H-NMR (DMSO-d6), δ: 12.50 (d, 1H), 7.85 (d, J = 6.7 Hz, 1H), 7.72–7.64 (m, 2H), 7.64–7.50 (m, 2H), 7.49–7.21 (m, 2H). 13C-NMR (DMSO-d6), δ: 162.56, 160.56, 151.70, 149.95, 138.73, 132.10, 130.51, 129.37, 127.47, 114.40, 110.81, 101.67. ESI-HRMS: m/z [M + H]+, calculated for C12H8ClN3OS: 278.0155, found: 278.0148.
2-(2,6-Dichlorophenyl)-1H-thieno[3,4-d]imidazole-4-carboxamide (16e). The title compound was obtained similarly to compound 16a as a white solid (0.12 g, 15.4%). Mp: 210–212 °C. 1H-NMR (DMSO-d6), δ: 12.56 (d, 1H), 7.88–7.74 (m, 3H), 7.65 (t, J = 7.8 Hz, 1H), 7.47–7.38 (m, 2H). ESI-HRMS: m/z [M + H]+, calculated for C12H7Cl2N3OS: 311.9765, found: 311.9767.
2-(4-(Trifluoromethyl)phenyl)-1H-thieno[3,4-d]imidazole-4-carboxamide (16f). The title compound was obtained similarly to compound 16a as a white solid (0.15 g, 22.6%). m.p.: 283–285 °C. 1H-NMR (DMSO-d6), δ: 12.78 (d, 1H), 8.40 (d, J = 8.3 Hz, 2H), 7.96 (d, J = 8.3 Hz, 2H), 7.79–7.27 (m, 3H). 13C-NMR (DMSO-d6), δ: 162.79, 161.13, 139.35, 133.87, 131.03, 128.30, 126.47, 125.86, 123.14, 102.05. ESI-HRMS: m/z [M + H]+, calculated for C13H8F3N3OS: 312.0418, found: 312.0414.
2-(3-(Trifluoromethyl)phenyl)-1H-thieno[3,4-d]imidazole-4-carboxamide (16g). The title compound was obtained similarly to compound 16a as a white solid (0.14 g, 21.8%). m.p.: 240–241 °C. 1H-NMR (DMSO-d6), δ: 12.79 (d, 1H), 8.56 (s, 1H), 8.50 (t, J = 10.9 Hz, 1H), 7.94 (t, J = 7.4 Hz, 1H), 7.83 (t, J = 7.8 Hz, 1H), 7.74–7.33 (m, 3H). 1H-NMR (DMSO-d6, D2O), δ: 8.45–8.54 (m, 2H), 7.96 (d, J = 7.9 Hz, 1H), 7.85 (t, J = 7.9 Hz, 1H), 7.49 (s, 1H). 13C-NMR (DMSO-d6), δ: 162.93, 161.39, 152.06, 150.58, 139.41, 131.56, 130.73, 128.05, 124.07, 114.94, 110.86, 101.91. ESI-HRMS: m/z [M + H]+, calculated for C13H8F3N3OS: 312.0418, found: 312.0413.
2-(2-(Trifluoromethyl)phenyl)-1H-thieno[3,4-d]imidazole-4-carboxamide (16h). The title compound was obtained similarly to compound 16a as a yellow solid (0.14 g, 32.5%). m.p.: 241–243 °C. 1H-NMR (DMSO-d6), δ: 12.57 (d, 1H), 7.97 (t, J = 9.4 Hz, 1H), 7.91–7.75 (m, 3H), 7.65 (s, 1H), 7.40 (s, 1H), 7.20 (s, 1H). 13C-NMR (DMSO-d6), δ: 162.95, 161.28, 150.69, 138.99, 133.08, 132.27, 131.54, 129.62, 128.35, 127.26, 125.52, 122.80, 114.84, 111.14, 102.11. ESI-HRMS: m/z [M + H]+, calculated for C13H8F3N3OS: 312.0418, found: 312.0413.
2-(4-Nitrophenyl)-1H-thieno[3,4-d]imidazole-4-carboxamide (16i). The title compound was obtained similarly to compound 16a as a yellow solid (0.12 g, 24.7%). m.p.: 278–279 °C. 1H-NMR (DMSO-d6), δ: 12.89 (d, 1H), 8.52–8.34 (m, 4H), 7.73–7.44 (m, 3H). 13C-NMR (DMSO-d6), δ: 162.85, 160.65, 150.62, 149.14, 139.36, 135.78, 128.80, 124.71, 115.40, 111.84, 102.24. ESI-HRMS: m/z [M + H]+, calculated for C12H8N4O3S: 289.0395, found: 289.0392.
2-(4-Methoxyphenyl)-1H-thieno[3,4-d]imidazole-4-carboxamide (16j). The title compound was obtained similarly to compound 16a as a white solid (0.16 g, 45.2%). m.p.: 240 °C–241 °C. 1H-NMR (DMSO-d6), δ: 12.53 (d, 1H), 8.14 (d, J = 8.9 Hz, 2H), 7.47 (m, 2H), 7.27 (s, 1H), 7.13 (d, J = 8.9 Hz, 2H), 3.86 (s, 3H). 13C-NMR (DMSO-d6), δ: 163.19, 160.12, 151.12, 139.51, 131.17, 130.67, 120.04, 117.59, 112.68, 101.45, 55.17. ESI-HRMS: m/z [M + H]+, calculated for C13H11N3O2S: 274.0650, found: 274.0651.
2-(3-Methoxyphenyl)-1H-thieno[3,4-d]imidazole-4-carboxamide (16k). The title compound was obtained similarly to compound 16a as a white solid (0.15 g, 38.2%). m.p.: 230–242 °C. 1H-NMR (DMSO-d6), δ: 12.52 (d, 1H), 7.76 (d, J = 7.4 Hz, 2H), 7.46 (m, 4H), 7.14 (d, J = 8.0 Hz, 1H), 3.87 (s, 3H). 13C-NMR (DMSO-d6), δ: 163.19, 159.98, 150.97, 139.42, 131.17, 130.67, 120.04, 117.59, 112.68, 101.24, 55.88. ESI-HRMS: m/z [M + H]+, calculated for C13H11N3O2S: 274.0650, found: 274.0648.
2-(p-Tolyl)-1H-thieno[3,4-d]imidazole-4-carboxamide (16l). The title compound was obtained similarly to compound 16a as a white solid (0.10 g, 19.8%). m.p.: 257–258 °C. 1H-NMR (DMSO-d6), δ: 12.65 (s, 1H), 8.08 (m, 2H), 7.66 (s, 1H), 7.53 (s, 1H), 7.39 (d, J = 8.1 Hz, 2H), 7.31 (s, 1H), 2.40 (s, 3H). 13C-NMR (DMSO-d6), δ: 163.24, 151.18, 141.48, 139.48, 137.64, 130.04, 127.64, 113.79, 110.38, 101.27, 21.58. ESI-HRMS: m/z [M + H]+, calculated for C13H11N3OS: 258.0701, found: 258.0698.
2-(m-Tolyl)-1H-thieno[3,4-d]imidazole-4-carboxamide (16m). The title compound was obtained similarly to compound 16a as a white solid (0.12 g, 26.2%). m.p.: 254–255 °C. 1H-NMR (DMSO-d6), δ: 12.65 (s, 1H), 8.03 (s, 1H), 7.97 (d, J = 7.7 Hz, 1H), 7.63 (s, 1H), 7.46 (t, J = 7.6 Hz, 2H), 7.39 (d, J = 7.5 Hz, 2H), 2.42 (s, 3H). 13C-NMR (DMSO-d6), δ: 163.03, 151.00, 139.41, 138.83, 132.30, 129.90, 129.40, 128.07, 124.78, 113.98, 110.50, 101.35, 21.51. ESI-HRMS: m/z [M + H]+, calculated for C13H11N3OS: 258.0701, found: 258.0696.
2-(o-Tolyl)-1H-thieno[3,4-d]imidazole-4-carboxamide (16n). The title compound was obtained similarly to compound 16a as a white solid (0.14 g, 31.5%). m.p.: 222–223 °C. 1H-NMR (DMSO-d6), δ: 12.43 (s, 1H), 7.75 (d, J = 7.4 Hz, 1H), 7.63 (d, J = 12.3 Hz, 1H), 7.28–7.46 (m, 5H), 2.61 (s, 3H). 13C-NMR (DMSO-d6), δ: 163.98, 163.14, 152.79, 151.03, 138.94, 138.08, 131.93, 130.86, 130.00, 126.58, 114.24, 110.84, 101.45, 21.54. ESI-HRMS: m/z [M + H]+, calculated for C13H11N3OS: 258.0701, found: 258.0700.
3.3. PARP-1 Enzymatic Inhibition Assay
We used a commercially available 96-well assay kit (Cat# 4690-096-K, Trevigen, Gaithersburg, MD, USA) to evaluate the inhibitory activity. The procedure was according to the instructions provided by the manufacturer. The stock solutions of various test compounds were dissolved in DMSO and serially diluted to the required concentrations. 25 μL of 1 × Buffer was added to each well and 25 μL of appropriate 2 × NAD+ standards were added to 1B to 1G and 2B to 2G well of 96-well plate for standard curve. 25 μL of 2 μM NAD was added to 1H and 2H for PARP control. 25 μL of 2 μM NAD was added to wells for test compounds, then serially diluted compounds were added, and 1 μL of DMSO was added to the standard well. 25 μL of PARP Mix minus enzyme was added to 1A to 1G and 25 μL of PARP Mix plus enzyme was added to PARP control and compounds well. Veliparib and olaparib were used as control compounds. The 96-well plate was incubated at 25 °C for 30 min, then 50 μL Cycling Mix was added to all wells and mixed with pipette. Incubate the 96-well plate in the dark for 40 min at 25 °C. Then 50 μL stop solution was added to each well, and mixed with pipette. Fluorescence values were measured under the conditiond of 544 nm excitation wavelength and 590 nm emission wavelength. Then draw the standard curve and calculate the inhibition rate of each test compound. IC50 value of each compound was calculated according to the above results.
3.4. CellTiter Glo Assay for Cell Growth Inhibition
The growth inhibition potential of test compounds was determined on BRCA1-deficient cell lines HCC1937 and BRCA2-deficient cell lines CAPAN-1. The stock solutions of test compounds were dissolved in DMSO and serially diluted to the required concentrations for 9 doses. Cells were treated with compounds with duplications and incubated for 96 h at 37 °C under 5% CO2 atmosphere. 60 μL medium was removed from each well and plates were kept at room temperature for 30 min. 60 μL reagent (Celltiter Glo assay kit, Promega, Sunnyvale, CA, USA) per well was added and plates were shaked for 2 min. Cells were incubated avoiding light at room temperature for 30 min and the luminescence value was recorded by multiplate reader. GraphPad Prism 5 was used to plot effect-dose curves and calculate the IC50 values of compounds.
3.5. Cytotoxicity Assay on Normal Human Lung Fibroblast (HLF) Cells
The cytotoxic potencies of test compounds were determined on normal human lung fibroblast (HLF) cells. Cells were seeded into 96-well plate at 3000 cells/well. The stock solutions of test compounds were dissolved in DMSO and serially diluted to the required concentrations for 7 doses, and the final testing concentrations for these compounds were 0.3, 1, 3, 10, 30, 100, 300 µM. Cells were treated with compounds with triplications and incubated for 72 h at 37 °C under 5% CO2 atmosphere. The fraction of surviving cells after compound treatment was determined using the MTT assay. IC50 is defined as the drug concentration producing 50% decrease of cell growth.
3.6. ADMET Prediction
ADMET studies were performed in silico by using ADMET predictor 7.0 (Simulations Plus). The input files containing structures of testing compounds were prepared by Chemdraw 14.0 and saved in SDF format. These files were uploaded into the ADMET predictor software for further evaluations. Various pharmacokinetic parameters like logP and logD, human intestinal absorption, plasma protein binding (PPB), etc. were estimated for all compounds at pH 7.4. The output files display lists of compounds, ADMET properties and molecular discriptors in tab- delimited tabular format.
3.7. Docking
To prepare the receptor, the PDB file (PDB code: 2RD6) was downloaded and dealt with using Discovery Studio 3.0. Hydrogen atoms and electric charges were added after deleting the protein water molecules. Then residues within 5 Å of A861695 were selected and the sphere from selection prepared. To prepare the ligand the structure (16l) was drawn with Chemdraw 12.0 and the molecular energy minimized using the function (generate conformations). For molecular docking the CDocker protocols are run and the best confirmation selected and hydrogen bond interactions and π-π interactions display in the 2D diagram. The 3D image was presented with PyMOL.
4. Conclusions
In summary, this study reports the design, synthesis, and biological activity of novel 1H- thieno[3,4-d]imidazole-4-carboxamide derivatives as PARP-1 inhibitors. The preliminary enzymatic inhibitory activity of compounds 13a–j indicated that the large piperazine-containing side chains could not be tolerated in the thienoimidazole scaffold, but this also provided a basis for further designing PARP-1 inhibitors. The newly synthesized compounds 16a–n with short side chains displayed good enzymatic activities, and among them, 16l was the most potent one with activity comparable to olaparib. Cellular evaluations indicated that the anti-proliferative activity of 16g, 16i, 16j and 16l against BRCA-deficient cell lines was similar to that of olaparib, while the cytotoxicity of 16j and 16l toward human normal cells was lower. Furthermore, the ADMET prediction results indicated that these compounds might possess better toxic and pharmacokinetic properties. Further evaluation of the pharmacokinetic studies and anti-proliferative activities is on-going and will be reported in the near future.
Acknowledgments
This work was financially supported by the Major Program of Ministry of Science and Technology of China (No. 2013ZX09J13103) and the National Natural Science Foundation of China (No. 81102309).
Author Contributions
X.Z. and Z.Z. conceived the project; L.W. and X.Z. designed the experiments and executed the chemical synthesis; F.L., N.J. and W.Z. carried out the PARP-1 enzymatic activity experiments; L.W. wrote the paper. All authors discussed the results and commented on the manuscript.
Conflicts of Interest
The authors declare no conflict of interest.
References
- Ame, J.C.; Spenlehauer, C.; De Murcia, G. The PARP superfamily. BioEssays 2004, 26, 882–893. [Google Scholar] [CrossRef] [PubMed]
- Vos, M.D.; Schreiber, V.; Dantzer, F. The diverse roles and clinical relevance of PARPs in DNA damage repair: Current state of the art. Biochem. Pharmacol. 2012, 84, 137–146. [Google Scholar] [CrossRef] [PubMed]
- Gibson, B.A.; Kraus, W.L. New insights into the molecular and cellular functions of poly(ADP-ribose) and PARPs. Nat. Rev. Mol. Cell Biol. 2012, 13, 411–424. [Google Scholar] [CrossRef] [PubMed]
- Ricks, T.K.; Chiu, H.J.; Ison, G.; Kim, G.; McKee, A.E.; Kluetz, P.; Pazdur, R. Successes and Challenges of PARP Inhibitors in Cancer Therapy. Front. Oncol. 2015, 5, 222. [Google Scholar] [CrossRef] [PubMed]
- Javle, M.; Curtin, N.J. The role of PARP in DNA repair and its therapeutic exploitation. Br. J. Cancer 2011, 105, 1114–1122. [Google Scholar] [CrossRef] [PubMed]
- Powell, C.; Mikropoulos, C.; Kaye, S.B.; Nutting, C.M.; Bhide, S.A.; Newbold, K.; Harrington, K. Pre-clinical and clinical evaluation of PARP inhibitors as tumour-specific radiosensitisers. J. Cancer Treat Rev. 2010, 36, 566–575. [Google Scholar] [CrossRef] [PubMed]
- Horton, J.K.; Wilson, S.H. Strategic combination of DNA-damaging agent and PARP inhibitor results in enhanced cytotoxicity. Front. Oncol. 2013, 3, 257. [Google Scholar] [CrossRef] [PubMed]
- Plummer, R. Poly(ADP-ribose)polymerase (PARP) inhibitors: From bench to bedside. Clin. Oncol. 2014, 26, 250–256. [Google Scholar] [CrossRef] [PubMed]
- Scott, C.L.; Swisher, E.M.; Kaufmann, S.H. Poly (ADP-ribose) polymerase inhibitors: Recent advances and future development. J. Clin. Oncol. 2015, 33, 1397–1406. [Google Scholar] [CrossRef] [PubMed]
- Eskander, R.N.; Tewari, K.S. PARP inhibition and synthetic lethality in ovarian cancer. Expert Rev. Clin. Pharmacol. 2014, 7, 613–622. [Google Scholar] [CrossRef] [PubMed]
- Wagner, L.M. Profile of veliparib and its potential in the treatment of solid tumors. Onco Targets Ther. 2015, 8, 1931–1939. [Google Scholar] [CrossRef] [PubMed]
- Liu, J.F.; Konstantinopoulos, P.A.; Matulonis, U.A. PARP inhibitors in ovarian cancer: Current status and future promise. Gynecol. Oncol. 2014, 133, 362–369. [Google Scholar] [CrossRef] [PubMed]
- Zhou, Q.; Ji, M.; Zhou, J.; Jin, J.; Xue, N.; Chen, J.; Xu, B.; Chen, X. Poly(ADP-ribose)polymerases inhibitor, Zj6413, as a potential therapeutic agent against breast cancer. Biochem. Parmacol. 2016, 107, 29–40. [Google Scholar] [CrossRef] [PubMed]
- Sahin, I.H.; Lowery, M.A.; Stadler, Z.K.; Salo-Mullen, E.; Lacobuzio-Donahue, C.A.; Kelsen, D.P.; O’Reilly, E.M. Genomic instability in pancreatic adenocarcinoma: A new step towards precision medicine and novel therapeutic approaches. Expert Rev. Gastroenterol. Hepatol. 2016, 26, 1–13. [Google Scholar] [CrossRef] [PubMed]
- Khemlina, G.; Ikeda, S.; Kurzrock, R. Molecular landscape of prostate cancer: Implications for current clinical trials. Cancer Treat. Rev. 2015, 41, 761–766. [Google Scholar] [CrossRef] [PubMed]
- Michalarea, V.; Lopez, J.; Lorente, D.; Yap, T.A. 343 Translational phase I trial combining the AKT inhibitor AZD5363 (AZD) and PARP inhibitor Olaparib (Ola) in advanced cancer patients (pts). Eur. J. Cancer 2015, 51, S68–S68. [Google Scholar] [CrossRef]
- Du, Y.; Yamaguchi, H.; Wei, Y.K.; Hsu, J.L.; Wang, H.L.; Hsu, Y.H.; Lin, W.C.; Yu, W.H.; Leonard, P.G.; Lee, G.R.; et al. Blocking c-Met–mediated PARP1 phosphorylation enhances anti-tumor effects of PARP inhibitors. Nat. Med. 2016, 22, 194–201. [Google Scholar] [CrossRef] [PubMed]
- De, P.; Sun, Y.; Cartson, J.H.; Friedman, L.S.; Leyland-Jones, B.R.; Dey, N. Doubling down on the PI3K- AKT-mTOR pathway enhances the antitumor efficacy of PARP inhibitor in triple negative breast cancer model beyond BRCA–ness. Neoplasia 2014, 16, 43–72. [Google Scholar] [CrossRef] [PubMed]
- Deeks, E.D. Olaparib: First global approval. Drugs 2015, 75, 231–240. [Google Scholar] [CrossRef] [PubMed]
- Bixel, K.; Hays, J.L. Olaparib in the management of ovarian cancer. Pharmgenomics Pers. Med. 2015, 8, 127–135. [Google Scholar] [CrossRef] [PubMed]
- Kaye, S.B.; Lubinski, J.; Matulonis, U.; Ang, J.E.; Courley, C.; Karlan, B.Y.; Amit, A.; Bell-McGuinn, K.M.; Chen, L.M.; Friedlander, M.; et al. Phase II, open-Label, randomized, multicenter study comparing the efficacy and safety of Olaparib, a poly(ADP-Ribose) polymerase inhibitor, and pegylated liposomal doxorubicin in patients with BRCA1 or BRCA2 mutations and recurrent ovarian cancer. J. Clin. Oncol. 2011, 30, 372–379. [Google Scholar] [CrossRef] [PubMed]
- Chen, A. PARP inhibitors: Its role in treatment of cancer. Chin. J. Cancer 2011, 30, 463–471. [Google Scholar] [CrossRef] [PubMed]
- Zhu, G.D.; Gong, J.C.; Gandhi, V.B.; Liu, X.S.; Shi, Y.; Johnson, E.F.; Donawho, C.K.; Ellis, P.A.; Bouska, J.J.; Osterling, D.J.; et al. Discovery and SAR of orally efficacious tetrahydropyri dopyridazinone PARP inhibitors for the treatment of cancer. Bioorg. Med. Chem. 2012, 20, 4635–4645. [Google Scholar] [CrossRef] [PubMed]
- Ferraris, D.V. Evolution of Poly(ADP-ribose) Polymerase-1 (PARP-1) Inhibitors. From concept to clinic. J. Med. Chem. 2010, 53, 4561–4584. [Google Scholar] [CrossRef] [PubMed]
- Wang, L.X.; Zhou, X.B.; Xiao, M.L.; Jiang, N.; Liu, F.; Zhou, W.X.; Wang, X.K.; Zheng, Z.Z.; Li, S. Synthesis and biological evaluation of substituted 4-(thiophen-2-ylmethyl)-2H-phthalazin-1-ones as potent PARP-1 inhibitors. Bioorg. Med. Chem. Lett. 2014, 24, 3739–3743. [Google Scholar] [CrossRef] [PubMed]
- Farmer, H.; McCabe, N.; Lord, C.J.; Tutt, A.N.J.; Johnson, D.A.; Richardson, T.B.; Santarosa, M.; Dillon, K.J.; Hickson, I.; Knights, C.; et al. Targeting the DNA repair defect in BRCA mutant cells as a therapeutic strategy. Nature 2005, 434, 917–921. [Google Scholar] [CrossRef] [PubMed]
- Bryant, H.E.; Schultz, N.; Thomas, H.D.; Parker, K.M.; Flower, D.; Lopez, E.; Kyle, S.; Meuth, M.; Curtin, N.J.; Helleday, T.; et al. Specific killing of BRCA-2 deficient tumours with inhibitors of poly(ADP-ribose) polymerase. Nature 2005, 434, 913–917. [Google Scholar] [CrossRef] [PubMed]
- Curtin, N. PARP inhibitors for anticancer therapy. Biochem. Soc. Trans. 2014, 42, 82–88. [Google Scholar] [CrossRef] [PubMed]
- Lin, A.; Cai, Z.; Hu, G.; Li, Q. Identification of ALK5 inhibitor via structure-based virtual screening and ADMET prediction. J. Recept. Signal Transduct. Res. 2015, 35, 559–564. [Google Scholar] [CrossRef] [PubMed]
- Sample Availability: Samples of the compounds 12, 13a–j and 16a–n are available from the authors.
© 2016 by the authors. Licensee MDPI, Basel, Switzerland. This article is an open access article distributed under the terms and conditions of the Creative Commons Attribution (CC-BY) license ( http://creativecommons.org/licenses/by/4.0/).

















