Abstract
Phytophthora blight of pepper caused by Phytophthora capsici Leonian is a destructive disease throughout the world. Cuminic acid, extracted from the seed of Cuminum cyminum L., belongs to the benzoic acid chemical class. In this study, the sensitivity and biochemical response of P. capsici to cuminic acid was determined. The mean EC50 (50% effective concentration) values for cuminic acid in inhibiting mycelial growth and zoospore germination of the 54 studied P. capsici isolates were 14.54 ± 5.23 μg/mL and 6.97 ± 2.82 μg/mL, respectively. After treatment with cuminic acid, mycelial morphology, sporangium formation and mycelial respiration were significantly influenced; cell membrane permeability and DNA content increased markedly, but pyruvic acid content, adenosine triphosphate (ATP) content, and ATPase activity decreased compared with the untreated control. In pot experiments, cuminic acid exhibited both protective and curative activity. Importantly, POD and PAL activity of the pepper leaves increased after being treated with cuminic acid. These indicated that cuminic acid not only showed antifungal activity, but also could improve the defense capacity of the plants. All the results suggested that cuminic acid exhibits the potential to be developed as a new phytochemical fungicide, and this information increases our understanding of the mechanism of action of cuminic acid against Phytophthora capsici.
1. Introduction
Pepper (Capsicum annum L.), one of the most important market vegetables, is grown worldwide. At present, the pepper industry of China occupies over 1.3 million hectares, producing an annual output valued at nearly 27 billion dollars [1]. However, Phytophthora blight caused by the heterothallic oomycete pathogen Phytophthora capsici Leonian is a major problem affecting the yield and quality of marketable peppers throughout the world [2,3,4,5,6,7,8,9]. The disease cycle is very short. In the early stages, the first signs of disease are brown necrotic areas on the root and crown of plants, after which the disease disperses rapidly to the whole plant through splashing rain or overhead irrigation waters, especially under the condition of wet soils over 18 °C and prolonged wet periods with air temperatures ranging from 24 to 29 °C [10,11,12]. The pathogen is soilborne and can infect roots, crowns and even foliar parts of pepper plants at different developmental phases [13]. It can also survive for several years as oospores in soil or as mycelium in plant residues, which are the primary forms of inocula [14].
Chemical measures remain the principal methods for control of Phytophthora blight due to limited resistant cultivars developed. The phenylamide fungicides metalaxyl or mefenoxam were the most widely used fungicides in controlling this disease [4,15], and consequently, high levels of resistance to phenylamide fungicides have been reported due to the repeated applications [16,17]. The strobilurin fungicides have also been used for control of Phytophthora blight for many years. However, the European and Mediterranean Plant Protection Organization (EPPO) has shown that P. capsici can easily develop resistance to this fungicide [15,18]. Moreover, isolates resistant to strobilurin fungicides have been reported in several important fungi, such as Alternaria alternata, Pseudoperonospora cubensis, and Blumeria graminis f.sp. tritici [19,20,21,22]. Owing to advantages in environment and health safety, and to minimize the risk of resistance development, many antifungal agents from plant extracts have been studied, such as limonoids from Khaya ivorensis A Chev [23], 1,2-Dihydro-6α-acetoxyazadirone from the fruit of Chisochton paniculatus (Roxb.) Hiern [24], and allicin from Allium sativum L. [25].
Cuminic acid (p-isopropylbenzoic acid, Figure 1), was extracted from the seed of Cuminum cyminum L. [26]. Previous studies have shown that it exhibited potential antifungal activity on several plant pathogens both in vivo and in vitro, such as Sclerotinia sclerotiorum (Lib.) de Bary, Gaeumannomyces graminis var tritici, and Rhizoctonia cerealis van der Hoeven [27,28]. The mycelia growth of S. sclerotiorum, R. cerealis, and P. capsici were completely inhibited when treated with cuminic acid at 200 μg/mL. In greenhouse experiments, over 50% protective efficacy against Blumeria graminis was obtained when cuminic acid was applied at 1000 μg/mL; 57% efficacy against S. sclerotiorum was obtained when treated with cuminic acid at 100 μg/mL, which was equal to the efficacy obtained with procymidone at the same concentration. Moreover, the EC50 values of cuminic acid against S. sclerotiorum and P. capsici for mycelial growth were 7.3 and 19.6 μg/mL, respectively, which were lower than the previously reported EC50 values of the natural compound eugenol [28,29].
Figure 1.
Chemical structure of cuminic acid.
Benzoic acid is frequently used as food preservative [30]. However, cuminic acid, despite being a benzoic acid derivative, has not been registered as food preservative in China. Although previous studies had shown that it exhibited potential antifungal activity, few literature references have reported the biochemical effects or the mechanism of action of cuminic acid against phytopathogens. Therefore, the present work aimed to: (i) determine the sensitivity of P. capsici mycelial growth and zoospore germination to cuminic acid; (ii) evaluate the effect of cuminic acid on the morphological and physiological characteristics of P. capsici. This information will provide new reference data for further investigation of the mode of action of cuminic acid against P. capsici and other phytopathogens.
2. Results
2.1. Sensitivity to Cuminic Acid and Metalaxyl
The EC50 values of cuminic acid for inhibition of mycelial growth of 54 P. capsici isolates ranged from 6.87 to 23.75 μg/mL, and the average EC50 value was 14.54 ± 5.23 μg/mL. Furthermore, EC50 values of cuminic acid for inhibition of zoospore germination of the 54 P. capsici isolates examined ranged from 2.86 to 9.64 μg/mL and the average EC50 value was 6.97 ± 2.82 μg/mL, indicating that cuminic acid had a strong inhibitory effect on P. capsici zoospore germination (Figure 2).
Figure 2.
Frequency distributions of EC50 values of 54 P. capsici isolates for cuminic acid and metalaxyl for inhibition of mycelial growth and zoospore germination, respectively.
The EC50 values of metalaxyl for inhibition of mycelial growth and zoospore germination ranged from 0.089 to 1.71 μg/mL and 5.17 to 18.75 μg/mL with average EC50 values of 0.144 ± 0.053 μg/mL and 11.72 ± 3.62 μg/mL, respectively. All the distributions of the EC50 values were unimodal (Figure 2).
2.2. Effect of Cuminic Acid on Mycelial Morphology and Sporangium Formation
The ultrastructure of P. capsici mycelia treated with cuminic acid was observed by SEM. After treatment with cuminic acid, mycelia were severely deformed, displaying excessive branching. Moreover, the surface of mycelia had numerous protuberances and intensive hyphal tops, while untreated plates appeared natural (Figure 3a,b). In addition, formation of sporangia by P. capsici was natural when plates were not treated with cuminic acid; whereas, sporangium formation by P. capsici was significantly influenced by cuminic acid at 20 μg/mL (Figure 3c,d).
Figure 3.
Effect of cuminic acid on (a,b) mycelial morphology and (c,d) sporangium formation of P. capsici. (a,c): Untreated plates; (b,d): Plates treated with cuminic acid at 20 μg/mL.
2.3. Mycelial Respiration
Mycelial respiration tests of P. capsici showed that the oxygen consumption rate was disparate when treated with cuminic acid at different concentration. When treated with cuminic acid at 5 μg/mL, the oxygen consumption rate of mycelia was higher than that of untreated control. Interestingly, when treated with cuminic acid at 10 μg/mL, the oxygen consumption rate of mycelia decreased. Mycelial respiration was significantly suppressed when treated with cuminic acid at 20 μg/mL (Figure 4). ZJ1 and H4 were randomly selected isolates, W5 was the most insensitive to metalaxyl among the 54 P. capsici isolates. However, the trends of respiration rate were uniform. Together, these data suggested that low concentrations of cuminic acid might enhance the mycelial respiration, while mycelial respiration could be inhibited when treated with cuminic acid at critical concentrations.
Figure 4.
Effect of different concentrations of cuminic acid on mycelial respiration of three P. capsici isolates ZJ1, H4, and W5. Values are means and standard errors.
2.4. Cell Membrane Permeability
As shown in Figure 5, the relative conductivity of P. capsici mycelia increased over time whether treated with cuminic acid or not. After treatment with cuminic acid, the cell membrane permeability of P. capsici isolates ZJ1, H4, W5 was always higher than that of the untreated controls. After 10 h, the relative conductivity was stable. These results suggested that cuminic acid might lead to cell membrane damage and mycelia electrolyte leakage increase of P. capsici.
Figure 5.
Mycelial relative conductivity of three wide-type P. capsici isolates ZJ1, H4, and W5 with or without cuminic acid treatment. Values are means and standard errors.
2.5. DNA and Pyruvic Acid Content
When treated with cuminic acid, the DNA contents of the three isolates ZJ1, H4, W5 were significantly higher than that of the control (Figure 6a). In contrast with DNA content, pyruvic acid contents of the three isolates ZJ1, H4, W5 treated with cuminic acid were different from the control, and were reduced by 42.4%, 49.68%, and 41.88%, respectively (Figure 6b).

Figure 6.
Comparison in DNA content, pyruvic acid content, ATP content, and ATPase activity of mycelia of three P. capsici isolates ZJ1, H4, and W5 treated with or without cuminic acid. (a) DNA content; (b) pyruvic acid content; (c) ATP content; and (d) ATPase activity. Values are means and standard errors.
These data indicated that cuminic acid might inhibit the synthesis of pyruvic acid and affect the metabolism of DNA in P. capsici.
2.6. ATP Content and ATPase Activity
ATP is the direct source and a classical indicator of energy needed by all life organisms in vivo. Moreover, ATPase activity is a critical indictor of the rate of energy utilization [31]. After treatment with cuminic acid, ATP contents were significantly lower than that of the control (Figure 6c). As showed in Figure 6d, ATPase activities of the three isolates ZJ1, H4, W5 treatment with cuminic acid were significantly lower than that of the control. These data suggested that cuminic acid could not only decrease the activity of ATPase, but also inhibit the energy production in P. capsici.
2.7. Protective and Curative Activity of Cuminic Acid
The pepper seedlings died whether irrigated with spore suspension before or after irrigating with water. With an increased concentration of cuminic acid, the plants grew better and better (Figure 7). When irrigated with cuminic acid at 1000 μg/mL, over 65% protective and curative efficacies were obtained. Importantly, there was no significant difference between the protective activity of cuminic acid at 1000 μg/mL and metalaxyl at 250 μg/mL. In addition, the efficacy obtained by cuminic acid for protective activity was always higher than that for curative activity at the same concentration (Table 1).
Figure 7.
Protective (A) and curative (B) activity of cuminic acid. a, f: water control; b, g: treated with metalaxyl at 250 μg/mL; c, h: treated with cuminic acid at 250 μg/mL; d, i: treated with cuminic acid at 500 μg/mL; e, j: treated with cuminic acid at 1000 μg/mL.
Table 1.
Protective and curative activity of cuminic acid against P. capsici.
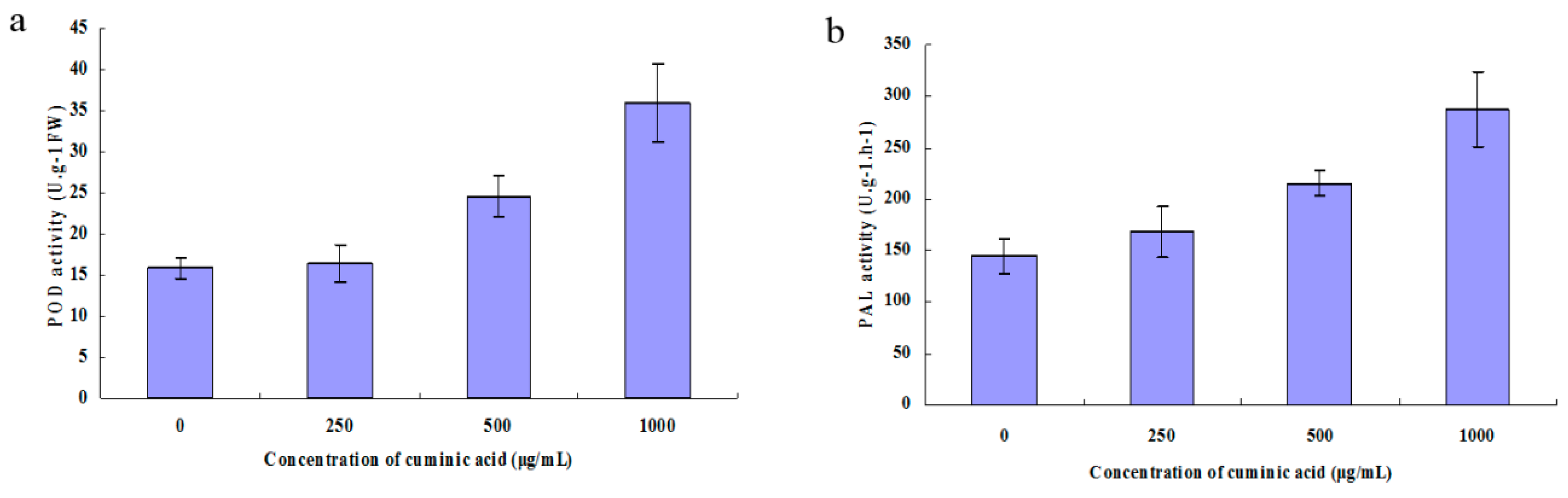
2.8. Peroxidase (POD) and Phenylalanine Ammonia-Lyase (PAL) Activity
There was no significant change in the activity of POD and PAL when treated with cuminic acid at low concentration. With the increased concentration of cuminic acid, POD and PAL activities increased markedly (Figure 8).
Figure 8.
POD (a) and PAL (b) activity of the pepper leaves treated with cuminic acid. Values are means and standard errors.
3. Discussion
The heterothallic oomycete pathogen P. capsici that is the causative agent of Phytophthora blight has developed resistance to phenylamide fungicides worldwide and control failures have occurred in the field [17]. Cuminic acid, belonging to the benzoic acid chemical class, was extracted from the seed of Cuminum cyminum L [26]. Previous studies had demonstrated that cuminic acid exhibited broad-spectrum antifungal activity and had better protective than curative activity against B. graminis [28]. In this study, we determined the effect of cuminic acid against P. capsici for inhibition of mycelial growth and zoospore germination. Although the 54 P. capsici isolates were collected from different places in Jiangsu Province, the distribution of the EC50 values for cuminic acid was unimodal over a sensitive range, indicating no resistant subpopulations among the isolates used in this study.
Numerous studies have demonstrated that sporangium formation and zoospore release are critical in all stages in the life cycle of P. capsici, which could provide the greatest opportunity for a rapid accumulation in the number of infective propagules and subsequent higher potential for host infection, disease occurrence and prevalence [17,32]. Therefore, introduction of fungicides that can disrupt the life cycle of P. capsici is recommended for consistent control of Phytophthora blight of pepper. As expected, in the present study, the mean EC50 values for cuminic acid in inhibiting zoospore germination were lower than that for inhibiting mycelial growth, indicating that zoospores were more sensitive to cuminic acid than mycelia. Although a previous study had indicated that the natural compound eugenol also exhibited antifungal activity against P. capsici, it had no activity on inhibition of zoospore germination [29]. Interestingly, the average EC50 value for cuminic acid in inhibiting mycelial growth of P. capsici was higher than that for metalaxyl, while the average EC50 value for cuminic acid in inhibiting zoospore germination was significantly lower than that for metalaxyl. These data suggested that if cuminic acid were applied in field, the life cycle of P. capsici might be disrupted due to the inhibition of zoospore germination, and that cuminic acid might have novel mode of action which was different from those of metalaxyl or eugenol. In addition, the efficacies for protective activity by cuminic acid were always higher than that for curative activity at the corresponding concentration. All the above indicated that cuminic acid has potential as a protective fungicide.
Benzoic acid has been commonly used as food preservative [30]. It inhibits the absorption of amino acids by interfering with the cell membrane permeability. Moreover, the enzyme activity of respiration and condensation reaction of acetyl coenzyme A could also be inhibited by benzoic acid at an intracellular level [30,33]. In the present work, after treatment with cuminic acid, mycelial morphology and sporangium formation were seriously affected, which might lead to damage of the mycelial structure. Then the increased mycelia electrolyte leakage might lead to enhanced relative conductivity of mycelia. In addition, DNA content increased markedly when treated with cuminic acid, indicating that DNA metabolism of P. capsici might be disordered and then accumulate. Pyruvic acid is the final product of the glycolytic pathway in glucose metabolism along with the generation of ATP [34]. Under aerobic conditions, pyruvic acid could be oxidized to produce acetyl CoA which is involved in the tricarboxylic acid cycle [35,36]. Decreased ATP content and ATPase activity after treated with cuminic acid was correlated with the decreased content of pyruvic acid. In addition, a similar phenomenon compared was observed with benzoic acid when the mycelia were treated with cuminic acid. These results suggested that the action mechanism of cuminic acid was similar with benzoic acid.
POD and PAL play important roles in plant defense. POD can enhance the woody content of young plant tissue, and oxidize phenols to quinones [37]. PAL is correlated with the plant resistance stress reaction in phenylpropanoid metabolism and plays an important role in the formation of secondary substances [38]. POD and PAL activities were increased after treated with cuminic acid, which indicated that cuminic acid could enhance the defense capacity of plants.
At present, there are nearly five hundred thousand plants throughout the world and over 1300 secondary compounds from plants have antifungal activity [39]. Considering the pesticide resistance and harmfulness to the environment, natural compounds extracted from plants are becoming more popular due to their specific antifungal activity, easy degradation, and human safety [40,41,42,43]. Moreover, natural compounds are often considered to be lead compounds for the synthesis of novel fungicides. For example, the strobilurin fungicides (azoxystrobin, picoxystrobin) were synthesized from strobilurin A [44]; fenpiclonil was synthesized from pyrrolnitrin [45]. Considering the potential antifungal activity, synthesis of new fungicides based on the structure of cuminic acid is underway in our laboratory.
In summary, all the data suggest that cuminic acid extracted from the seed of Cuminum cyminum L. exhibited the antifungal activity and show the potential value as a natural alternative to commercial fungicides for the control of Phytophthora blight of pepper. Importantly, cuminic acid can enhance the defense capacity of plants. Evaluation of cuminic acid for the control of some plant diseases caused by P. capsici, S. sclerotiorum are in progress in field experiments. The biochemical influence on P. capsici by cuminic acid suggests that it might inhibit energy generation and target genes correlated with the glycolytic pathway. Further study is still needed. These results should be valuable for fully understanding the mode of action of cuminic acid and useful for the development of new antifungal drugs.
4. Materials and Methods
4.1. Media, Pathogen and Fungicides
V-8 juice medium was prepared with 200 mL of V-8 juice, 2 g of CaCO3, 16 g of agar and 800 mL of distilled water [46]. Potato dextrose agar (PDA) was prepared with 200 g of potato, 20 g of agar, and 20 g of dextrose per liter of distilled water [47]. V-8 media were used for sporangium formation, zoospore germination and PDA was used for P. capsici mycelial growth.
Fifty-four single-sporangia isolates of P. capsici, collected from different locations in Jiangsu Province of China, were kindly provided by the Jiangsu Key Laboratory of Pesticide, College of Plant Protection, Nanjing Agricultural University and maintained on PDA slants at 4 °C. In these isolates, W5 was the most insensitive to metalaxyl.
Technical grade (98%) cuminic acid was purchased from Jianglai Biotechnology Company (Shanghai, China). Metalaxyl (98%) was provided by Wenzhou Pesticide Factory (Zhejiang, China). It was dissolved in methanol (>99.5%) to 10 mg/mL for the stock solutions, and then stored at 4 °C in the dark.
4.2. Determination of Sensitivity of Mycelial Growth to Cuminic Acid
Sensitivity of 54 P. capsici isolates to cuminic acid by mycelial growth was determined as follows: fresh mycelial plugs (5 mm in diameter) cut from the leading edge of an actively growing colony were transferred to a series of PDA plates containing 0, 3.125, 6.25, 12.5, 25 or 50 μg/mL cuminic acid. After 4 days of incubation in a growth chamber at 25 °C, colony diameter was measured by measuring the average diameter in two perpendicular directions. The EC50 values were calculated by regressing percentage growth inhibition against the log of fungicide concentration according to previous studies [15,47]. Each concentration has three replicates and the experiment was conducted three times.
4.3. Determination of Sensitivity of Zoospore Germination to Cuminic Acid
Samples of zoospores were prepared as follows: to induce sporangium formation, six mycelial plugs cut from each 1 to 2-week-old V-8 Petri dish were covered with sterile distilled water and kept in a growth chamber (12 h photoperiod) at 25 °C [15]. After 4 days, plenty of sporangia were produced. To encourage the release of zoospores, the culture with sporangia was placed at 4 °C for 30 min, and then incubated at 25 °C for 1 h. After zoospores were collected, V-8 juice broth containing 0, 3.125, 6.25, 12.5, 25, and 50 μg/mL cuminic acid were added to equal volumes of the zoospore suspensions (1 × 105), giving final concentrations of 0, 1.5625, 3.125, 6.25, 12.5, and 25 μg/mL (pre-test concentration) cuminic acid. After incubation for 1 h at 25 °C in darkness, the germination of zoospore was checked under an Olympus light microscope with the appearance of mycelial growth arising from germinating zoospore cysts. Germination was quantified at three sites by counting 200 zoospores per site. Then the inhibition rate of zoospore germination was determined and the EC50 values were calculated [48,49]. The experiment was performed twice with three plates per treatment.
4.4. Determination of Sensitivity of Mycelial Growth and Zoospore Germination to Metalaxyl
In sensitivity test experiment, metalaxyl was used as the control fungicide. 0, 0.0625, 0.125, 0.25, 0.5, and 1 μg/mL were used as the pre-test concentration for inhibition of mycelial growth, and 0, 3.125, 6.25, 12.5, 25, and 50 μg/mL were used as the pre-test concentration for inhibition of zoospore germination of 54 P. capsici isolates. The EC50 values were calculated for each isolate [15].
4.5. Effect of Cuminic Acid on Mycelial Morphology and Sporangium Formation of P. capsici
Mycelia plugs excised from the margin of 4-day-old colony of the isolate ZJ1 (randomly selected) were placed mycelia-side down on PDA or V-8 plates containing 20 μg/mL (The EC50 value for inhibition of mycelial growth) of cuminic acid. Plates without cuminic acid were used as control. After 3 days and 5 days at 25 °C in the dark, the margin of the medium area (10 mm × 10 mm) was cut and placed on slide glass and the mycelial morphology and sporangium formation of P. capsici treated with cuminic acid was observed by scanning electron microscope (GeminiSEM 300/VP, Carl Zeiss Jena, Thuringia, Germany), respectively [15,50]. There were three replicates and the experiment was conducted twice.
4.6. Effect of Cuminic Acid on Mycelial Respiration
Mycelial respiration was determined using the method reported previously [51,52]. Ten mycelial plugs (5 mm diameter) excised from the margins of 4-day-old colonies of each isolate ZJ1, H4 (randomly selected), W5 (most insensitive to metalaxyl) on PDA were transferred to 250-mL flasks containing 100 mL of PDB (PDA without agar). After the flasks were shaken at 175 rpm and 25 °C for 48 h, flasks were amended with cuminic acid at ultimate concentrations of 0, 5, 10, and 20 μg/mL. After shaking for another 2 h, the oxygen consumption rate by mycelia was measured with an oxygraph system (F12-ED, Julabo, Beijing, China).
4.7. Effect of Cuminic Acid on Cell Membrane Permeability
Three isolates ZJ1, H4 (randomly selected), W5 (most insensitive to metalaxyl) were used in this test. For each isolate, ten mycelial plugs were transferred to 250-mL flasks containing 100 mL of PDB. After the flasks were shaken at 175 rpm and 24 °C for 3 days, partial flasks were amended with cuminic acid at the concentration of their EC50 values. Flasks without cuminic acid were used as control. After 24 h, mycelia were collected. Then 0.5 g of fresh mycelia per sample was suspended in 25 mL of distilled water. Conductivity of the distilled water was measured after 1, 2, 4, 6, 8, 10 and 12 h with a conductivity meter (CON510 Eutech/Oakton, Singapore). After 12 h, the mycelia were boiled for 5 min to measure the final conductivity [36]. Three flasks for each treatment were used, and the experiment was performed three times. The relative conductivity of mycelia was calculated as follows:
Relative conductivity = Conductivity at different times/Final conductivity × 100%
4.8. Pyruvic Acid and DNA Content of Mycelia
Mycelia were collected as described above. Fresh mycelia samples were ground in liquid nitrogen. Then 0.5 g of mycelia powder per sample was transferred to a 1.5 mL centrifuge tube containing 1 mL Tris-HCL (50 mM, PH 7.5). After centrifuge at 1500 g for 10 min, pyruvic acid content was measured using a commercial assay kit (Jiancheng, Nanjing, China) according to the manufacturer’s instructions and absorbance of the solution was measured at 505 nm [53]. Three replicates for each treatment were used and the experiment was conducted twice.
In addition, 0.5 g of mycelia powder per sample obtained above was used for DNA extraction. Genomic DNA was extracted by a CTAB method according to previous studies [50,54]. Then the DNA samples were dissolved with 50μL of distilled water and the DNA content was determined using a spectrophotometer.
4.9. ATP Content and ATPase Activity
ATP content and ATPase activity in P. capsici mycelia were determined using a previously reported method [55]. Mycelial powders were prepared as described above. ATP content and ATPase activity were determined using commercial kits (Nanjing Jiancheng; Innova Biosciences, Shanghai, China) according to the manufacturer’s instructions, respectively. ATP content was defined as mmol per mg protein for tissue samples and the activity of ATPase was defined as 1 μmol inorganic phosphorus catalyzed by this enzyme in 1 mg protein in 1 h (μmol Pi/mg pro/h). There were three replicates for each isolate and the experiment was conducted twice.
4.10. Protective and Curative Activity of Cuminic Acid in Pot Experiments
The protective and curative activity of cuminic acid against P. capsici was tested according to a previous study with some modifications [56]. For protective activity, pepper seedlings with at least four true leaves were irrigated with 10 mL of water, metalaxyl at 250 μg/mL, cuminic acid at 250, 500, and 1000 μg/mL, respectively. After 24 h, pepper seedlings were irrigated with 10 mL of spore suspension (1 × 105). For curative activity, pepper seedlings were irrigated with the treatment as above at 24 h after irrigated with spore suspension (1 × 105). Then the irrigated plants were kept at 25 °C with 85% humidity for 20 day. The disease index and control efficacy were calculated [56]. Three pepper seedlings per pot and three pots per concentration were used. The experiment was repeated twice.
4.11. Peroxidase (POD) and Phenylalanine Ammonia-Lyase (PAL) Activity
Pepper leaves cut from the plants treated with cuminic acid in the above section were broken on ice. POD and PAL activity were determined using commercial kits (Jiancheng) according to the manufacturer’s instructions. One unit of POD activity was defined as a change of one in absorbance per min; one unit of PAL activity was defined as the increase of one in absorbance per h [37]. Five leaves per treatment were used and the experiment was repeated twice.
4.12. Statistical Analysis
Statistical analysis of data was performed using the Sigmastat statistical software package (SPSS 14.0, IBM, Chicago, IL, USA). EC50 values of the isolates were calculated by linear regression of the log of the colony diameter or zoospore germination versus the fungicide concentrations. When the ANOVA was significant, means were separated with the least significant difference test (LSD, p = 0.05).
Acknowledgments
This study was sponsored by the funding from National Natural Science Foundation of China (NSFC 31272074) and China Postdoctoral Science Foundation (2016M592846).
Author Contributions
Yong Wang and Yang Sun conducted the experiments and wrote the manuscript; Ying Zhang provided materials and analyzed the data; and Juntao Feng and Xing Zhang conceived whole experiment. All authors have read and approved the final manuscript.
Conflicts of Interest
The authors declare no conflict of interest.
References
- Zhang, H.S. Research progress in resistance of Phytophthora capsici Leonian to fungicide. Agrochem. Res. Appl. 2011, 15, 11–14. [Google Scholar]
- Huang, B.K.; Kim, C.H. Phytophthora blight of pepper and its control in Korea. Plant Dis. 1995, 79, 221–227. [Google Scholar]
- Ristaino, J.B.; Johnston, S.A. Ecologically based approaches to management of Phytophthora blight on bell pepper. Plant Dis. 1999, 83, 1080–1089. [Google Scholar] [CrossRef]
- Hausbeck, M.K.; Lamour, K.H. Phytophthora capsici on vegetable crops: Research progress and management challenges. Plant Dis. 2004, 88, 1292–1303. [Google Scholar] [CrossRef]
- Babadoos, M. Outbreak of Phytophthora foliar blight and fruit rot in processing pumpkin fields in Illinois. Plant Dis. 2000, 84, 1345. [Google Scholar] [CrossRef]
- Erwin, D.C.; Ribeiro, O.K. Phytophthora Disease Worldwide; American Phytopathological Society: St. Paul, MN, USA, 1996. [Google Scholar]
- Lee, B.K.; Kim, B.S.; Chang, S.W.; Hwang, B.K. Aggressiveness to pumpkin cultivars of isolates of Phytophthora capsici from pumpkin and bell pepper. Plant Dis. 2001, 85, 497–500. [Google Scholar] [CrossRef]
- Leonian, L.H. Stem and fruit blight of bell pepper caused by Phytophthora capsici. Phytopathology 1922, 12, 401–408. [Google Scholar]
- Tamietli, G.; Valentino, D. Physiological characterization of a population of Phytophthora capsici Lcon. from northern Italy. J. Plant Pathol. 2001, 62, 127–129. [Google Scholar]
- Black, L.L.; Green, S.K.; Hartman, G.L.; Poulos, J.M. Phytophthora blight. In Pepper Disease: A Field Guide; Asian Vegetable Research and Development Center: Taiwan, China, 1991; pp. 1–50. [Google Scholar]
- Jiang, Z.Q.; Guo, Y.H.; Li, S.M.; Qi, H.Y.; Guo, J.H. Evaluation of biocontrol efficiency of different Bacillus preparations and field application methods against Phytophthora blight of bell pepper. Biol. Control 2006, 36, 216–223. [Google Scholar] [CrossRef]
- Zitter, T.A. Phytophthora Blight of Cucurbits, Pepper, Tomato, and Eggplant; New York State Agricultural Experiment Station: Geneva, NY, USA, 1989. [Google Scholar]
- Ozgonen, H.; Erkilic, A. Growth enhancement and Phytophthora blight (Phytophthora capsici Leonian) control by arbuscular mycorrhizal fungal inoculation in pepper. Crop Prot. 2007, 26, 1682–1688. [Google Scholar] [CrossRef]
- Lamour, K.H.; Hausbeck, M.K. Investigating the spatiotemporal genetic structure of Phytophthora capsici in Michigan. Phytopathology 2001, 91, 973–980. [Google Scholar] [CrossRef] [PubMed]
- Matheron, M.E.; Porchas, M. Impact of azoxystrobin, dimethomorph, fluazinam, fosetyl-Al, and metalaxyl on growth sporulation and zoospore cyst germination of three Phytophthora spp. Plant Dis. 2000, 84, 454–458. [Google Scholar] [CrossRef]
- Lamour, K.H.; Hausbeck, M.K. Mefenoxam insensitivity and the sexual stage of Phytophthora capsici in Michigan cucurbit fields. Phytopathology 2000, 90, 396–400. [Google Scholar] [CrossRef] [PubMed]
- Parra, G.; Ristaino, J.B. Resistance to mefenoxam and metalaxyl among field isolates of Phytophthora capsici causing Phytophthora blight of bell pepper. Plant Dis. 2001, 85, 1069–1075. [Google Scholar] [CrossRef]
- EPPO/OPPE. Solanaceous crops under protected cultivation. In Bulletin OPPE/EPPO Bulletin; European and Mediterranean Plant Protection Organisation, Wiley: Paris, France, 2004; Volume 34, pp. 65–67. [Google Scholar]
- Ma, Z.; Felts, D.; Michailides, T.J. Resistance to azoxystrobin in Alternaria isolates from pistachio in California. Pestic. Biochem. Phys. 2003, 77, 66–74. [Google Scholar] [CrossRef]
- Ishii, H.; Fraaije, B.A.; Sugiyama, T.; Noguchi, K.; Nishimura, K.; Takeda, T.; Amano, T.; Hollomon, D.W. Occurrence and molecular characterization of strobilurin resistance in cucumber powdery mildew and downy mildew. Phytopathology 2001, 91, 1166–1171. [Google Scholar] [CrossRef] [PubMed]
- Fraaije, B.A.; Butters, J.A.; Coelho, J.M.; Jones, D.R.; Hollomon, D.W. Following the dynamics of strobilurin resistance in Blumeria graminis f.sp. Tritici using quantitative allele-specific real-time PCR measurements with the fluorescent dye SYBR Green I. Plant Pathol. 2002, 51, 45–54. [Google Scholar] [CrossRef]
- Wang, Y.; Duan, Y.B.; Zhou, M.G. Control of Sclerotinia sclerotiorum infection in oilseed rape with strobilurin fungicide SYP-7017. Can. J. Plant Pathol. 2014, 36, 354–359. [Google Scholar] [CrossRef]
- Abdelgaleil, S.A.M.; Hashinaga, F.; Nakatani, M. Antifungal activity of limonoids from Khaya ivorensis. Pest Manag. Sci. 2005, 61, 186–190. [Google Scholar] [CrossRef] [PubMed]
- Bordoloi, M.; Saikia, B.; Mathur, R.K.; Goswami, B.N. 1,2-Dihydro-6α-acetoxyazadirone, a new antifungal meliacin from the fruit of Chisochton paniculatus. Phytochemistry 1993, 34, 583–584. [Google Scholar] [CrossRef]
- Yano, Y.; Satomi, M.; Oikawa, H. Antimicrobial effect of species and herbs on Vibrio parahaemolyticus. Int. J. Food Microbiol. 2006, 111, 6–11. [Google Scholar] [CrossRef] [PubMed]
- Hu, L.F.; Feng, J.T.; Zhang, X.; Zhang, Y.L. Isolation and Structure Detection of Fungicidal Components from Cuminum cyminum Seed. Chin. J. Pestic. Sci. 2007, 9, 330–334. [Google Scholar]
- Feng, J.T.; Han, L.R.; Fan, R.J.; Chen, C.Z.; Zhang, X. Effects of cuminic acid on the growth and development of Phytophthora capsici Leonian. Agric. Sci. China 2012, 45, 2628–2635. [Google Scholar]
- Hu, L.F.; Chen, C.Z.; Yi, X.H.; Feng, J.T.; Zhang, X. Inhibition of p-isopropyl Benzaldehyde and p-isopropyl Benzoic Acid extracted from Cuminum cyminum against Plant Pathogens. Acta Bot. Boreal. Occident. Sin. 2008, 28, 2349–2354. [Google Scholar]
- Zhang, J.; Wang, C.H.; Cheng, L.G.; Chen, H.; Shi, Z.Q. Inhibition activity of eugenol to Botrytis cinerea. Chin. J. Pestic. Sci. 2008, 10, 68–74. [Google Scholar]
- Gao, Z.B.; Yu, B.; Diao, H.; Yan, H.L.; Chen, D.W. The use of Benzoic acid in diets of swine and poultry. Chin. J. Anim. Nutr. 2014, 26, 1127–1133. [Google Scholar]
- Howard, H.T.H.; Clarke, A.H. A role for ATPase in the mechanism of ATP-dependent Ca and Phosphate deposition by isolated rachitic matrix vesicles. Int. J. Biochem. Cell Biol. 1995, 27, 1349–1356. [Google Scholar]
- Duniway, J.M. Role of physical factors in the development of Phytophthora diseases. In Phytophthora: Its Biology, Taxonomy, Ecology, and Pathology; Erwin, D.C., Bartnicki-Garcia, S., Tsao, P.H., Eds.; APS: St. Paul, MN, USA, 1983; pp. 175–187. [Google Scholar]
- Wang, S.W.; Gong, H.; Gao, A.; Zhao, T. Pharmaco toxicological study of preservative sodium benzoate. J. Anhui Agric. Sci. 2010, 38, 16724–16846. [Google Scholar]
- Donald, V.; Judith, G.V.; Charlotte, W.P. Fundamentals of Biochemistry, 2nd ed.; John Wiley and Sons, Inc.: Hoboken, NJ, USA, 2006; pp. 547–556. [Google Scholar]
- Stryer, L. Fatty acid metabolism. In Biochemistry, 4th ed.; W.H. Freeman and Company: New York, NY, USA, 1995; pp. 603–628. [Google Scholar]
- Stryer, L. Citric acid cycle. In Biochemistry, 4th ed.; W.H. Freeman and Company: New York, NY, USA, 1995; pp. 569–579, 614–616, 739–748, 770–773. [Google Scholar]
- Duan, Y.B.; Ge, C.Y.; Liu, S.M.; Feng, X.J.; Chen, C.J.; Zhou, M.G. Effect of phenylpyrrole fungicide fludioxonil on morphological and physiological characteristics of Sclerotinia sclerotiorum. Pestic. Biochem. Phys. 2013, 106, 61–67. [Google Scholar] [CrossRef]
- Dixon, R.A.; Paiva, N.L. Stress induced phenylpropanoid metabolism. Plant Cell 1995, 7, 1085–1097. [Google Scholar] [CrossRef] [PubMed]
- Swait, T. Secondary compounds of protective agents. Annu. Rev. Plant Physiol. 1997, 28, 479–501. [Google Scholar]
- Abdel-Monaim, M.F.; Abo-Elyousr, K.A.M.; Morsy, K.M. Effectiveness of plant extracts on suppression of damping-off and wilt diseases of lupine (Lupinus termis Forsik). Crop Prot. 2011, 30, 185–191. [Google Scholar] [CrossRef]
- Mahlo, S.M.; McGaw, L.J.; Eloff, J.N. Antifungal activity of leaf extracts from South African trees against plant pathogens. Crop Prot. 2010, 29, 1529–1533. [Google Scholar] [CrossRef]
- Jin, H.; Geng, Y.C.; Yu, Z.Y.; Tao, K.; Hou, T.P. Lead optimization and anti-plant pathogenic fungi activities of daphneolone analogues from Stellera chamaejasme L. Pestic. Biochem. Phys. 2009, 93, 133–137. [Google Scholar] [CrossRef]
- Akila, R.; Rajendran, L.; Harish, S.; Saveetha, K.; Raguchander, T.; Samiyappan, R. Combined application of botanical formulations and biocontrol agents for the management of Fusarium oxysporum f. sp. cubense (Foc) causing Fusarium wilt in banana. Biol. Control 2011, 57, 175–183. [Google Scholar] [CrossRef]
- Becker, W.F.; von Jagow, G.; Anke, T.; Steglich, W. Oudemansin, strobilurin A, strobilurin B and myxothiazol: New inhibitors of the bc1 segment of the respiratory chain with an E-β-methoxyacrylate system as common structural element. FEBS Lett. 1981, 132, 329–333. [Google Scholar] [CrossRef]
- Fujimura, M. Mechanism of action of dicarboximide and phenylpyrrole on the stress-response signal transduction pathway. J. Pestic. Sci. 2010, 35, 351–353. [Google Scholar] [CrossRef]
- Sujkowski, L.S.; Parra, G.R.; Gumpertz, M.L.; Ristaino, J.B. Temporal dynamics of Phytophthora blight on bell pepper in relation to the mechanisms of dispersal of primary inoculum of Phytophthora capsici in soil. Phytopathology 2000, 90, 148–156. [Google Scholar] [CrossRef] [PubMed]
- Kuang, J.; Hou, Y.P.; Wang, J.X.; Zhou, M.G. Sensitivity of Sclerotinia sclerotiorum to fludioxonil: In vitro determination of baseline sensitivity and resistance risk. Crop Prot. 2011, 30, 876–882. [Google Scholar] [CrossRef]
- Chen, X.R.; Xing, Y.P.; Li, Y.P.; Tong, Y.H.; Xu, J.R. RNA-Seq Reveals Infection-Related Gene Expression Changes in Phytophthora capsici. PLoS ONE 2013, 8, e74588. [Google Scholar] [CrossRef] [PubMed]
- Randall, T.A.; Dwyer, R.A.; Huitema, E.; Beyer, K.; Cvitanich, C. Large-scale gene discovery in the Oomycete Phytophthora infestans reveals likely components of phytopathogenicity shared with true fungi. Mol. Plant Microbe Interact. 2005, 18, 229–243. [Google Scholar] [CrossRef] [PubMed]
- Kang, Z.S. Ultrastructure of Plant Pathogenic Fungi; China Science and Technology Press: Beijing, China, 1996. [Google Scholar]
- Wang, Y.; Duan, Y.B.; Zhou, M.G. Molecular and biochemical characterization of boscalid resistance in laboratory mutants of Sclerotinia sclerotiorum. Plant Pathol. 2015, 64, 101–108. [Google Scholar] [CrossRef]
- Duan, Y.B.; Liu, S.M.; Ge, C.Y.; Feng, X.J.; Chen, C.J.; Zhou, M.G. In vitro inhibition of Sclerotinia sclerotiorum by mixtures of azoxystrobin, SHAM, and thiram. Pestic. Biochem. Phys. 2012, 103, 101–107. [Google Scholar] [CrossRef]
- Bacon, J.R.; Moates, G.K.; Ng, A.; Rhodes, M.J.C.; Smith, A.C.; Waldron, K.W. Quantitative analysis of flavour precursors and pyruvate levels in different tissues and cultivars of onion (Allium cepa). Food Chem. 1999, 64, 257–261. [Google Scholar] [CrossRef]
- Doohan, F.M.; Parry, D.W.; Jenkinson, P.; Nicholson, P. The use of species-specific PCR-based assays to analyse Fusarium ear blight of wheat. Plant Pathol. 1998, 47, 197–205. [Google Scholar] [CrossRef]
- Shao, W.Y.; Zhang, Y.; Ren, W.C.; Chen, C.J. Physiological and biochemical characteristics of laboratory induced mutants of Botrytis cinerea with resistance to fluazinam. Pestic. Biochem. Phys. 2015, 117, 19–23. [Google Scholar] [CrossRef] [PubMed]
- Qiu, S.X.; He, H.; Ruan, H.C.; Guan, X.; Hu, F.P. Biological control of pepper Phytophthora blight by endophytic TB2 (Bacillus sp.). Acta Phytopathol. Sin. 2004, 34, 173–179. [Google Scholar]
- Sample Availability: Samples of the compounds cuminic acid are available from the authors.
© 2016 by the authors. Licensee MDPI, Basel, Switzerland. This article is an open access article distributed under the terms and conditions of the Creative Commons Attribution (CC-BY) license ( http://creativecommons.org/licenses/by/4.0/).








