Next Article in Journal
LC-UV Determination of Baicalin in Rabbit Plasma and Tissues for Application in Pharmacokinetics and Tissue Distribution Studies of Baicalin after Intravenous Administration of Liposomal and Injectable Formulations
Next Article in Special Issue
An Expeditious and Greener Synthesis of 2-Aminoimidazoles in Deep Eutectic Solvents
Previous Article in Journal
Oxyresveratrol: Structural Modification and Evaluation of Biological Activities
Previous Article in Special Issue
New Efficient Synthesis of 3,4-Dihydropyrimidin-2(1H)-ones Catalyzed by Benzotriazolium-Based Ionic Liquids under Solvent-Free Conditions
 
 
Font Type:
Arial Georgia Verdana
Font Size:
Aa Aa Aa
Line Spacing:
Column Width:
Background:
Article

Green Technique-Solvent Free Microwave Synthesis and Antimicrobial Evaluation of New Thiopyridine Arabinosides

1
Department of Clinical Pharmacy, College of Pharmacy, Taif University, Taif 5700, Saudi Arabia
2
Department of Microbiology, College of Pharmacy, Taif University, Taif 5700, Saudi Arabia
3
Department of Pharmaceutical Chemistry, College of Pharmacy, Taif University, Taif 5700, Saudi Arabia
*
Author to whom correspondence should be addressed.
Molecules 2016, 21(4), 477; https://doi.org/10.3390/molecules21040477
Submission received: 28 February 2016 / Revised: 30 March 2016 / Accepted: 1 April 2016 / Published: 19 April 2016
(This article belongs to the Special Issue Organic Reaction in Green Solvents)

Abstract

:
A green protocol has been applied to synthesize a novel series of 3-cyano-2-(tri-O-acetyl-β-d-arabinopyranosylthio)pyridines in a short reaction time, in higher yields and with simpler operations, when compared with the conventional heating method. Deacetylation of the obtained acetylated arabinosides produced 2-(β-d-arabinopyranosylthio)-3-cyanopyridines. The structures of the obtained products were confirmed on the basis of spectroscopic data (FT-IR, 1D, 2D-NMR). The synthesized compounds were screened for the antimicrobial activity against a selection of Gram positive and Gram negative bacteria.

Graphical Abstract

1. Introduction

In recent years, there has been increasing interest in the synthesis of nucleoside analogues due to their potential use to treat various diseases, such as AIDS, hepatitis, herpes, cancer and microbial infections [1,2,3,4,5,6,7]. On the other hand, thiopyridyl nucleosides have attracted noticeable attention because of their potential function as biological inhibitors, and ligands for carbohydrate-affinity chromatography of enzymes and proteins [8]. Nowadays, the development of green chemical methodologies is one of the most powerful tools in the synthesis of organic substances. Moreover solvent-free microwave irradiation approaches have been utilized to synthesize diverse chemical substances as an efficient green chemistry protocol. It has been reported to be an expeditious, simple, economical and environmentally benign synthetic methodology [9,10,11,12,13,14]. Thus, in continuation of our interest in developing green microwave syntheses of different novel functionalized pyridine compounds and their nucleosides with potentially significant medicinal and pharmacological applications due to their antagonistic activity against human cancer cells and antimicrobial activity [15,16,17], we were prompted to utilize a straightforward microwave-assisted route for the synthesis of thiopyridyl arabinosides as potential antimicrobial agents.

2. Result and Discussion

2.1. Chemistry

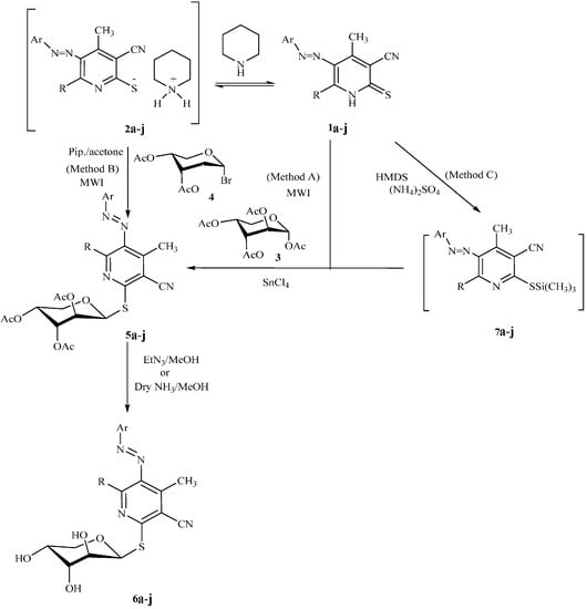
In the current report, we targeted dihydropyridine thioarabinosides 5aj using new, simple and efficient procedures. Three different strategies were used (Scheme 1) and the resulting yields were compared (Table 1). In method A, 3-cyano-2-(2″,3″,4″-tri-O-acetyl-β-d-arabinopyranosylthio)-pyridines 5aj were obtained in high yields by using microwave irradiation (MWI) of a homogenous solid mixture of 2-thiopyridines 1aj and 1″,2″,3″,4″-tetra-O-acetyl-α-d-arabinose (3) for 2–3 min using silica gel as a solid support. The solvent-free microwave irradiation method is considered as a green chemistry method offering high chemical yields and milder reaction conditions. The reaction of 2-thiopyridines 1aj with 2″,3″,4″-tri-O-acetyl-α-d-arabinopyranosyl bromide (4) using a catalytic amount of piperidine in dry acetone/DMF under short duration microwave irradiation also gave the corresponding nucleosides 5aj in good yield (Method B). On the other hand, the conventional method (method C) involved the reaction of 2-thiopyridines 1aj and hexamethyldisilazane (HMDS) in the presence of (NH4)2SO4 to give the corresponding 2-trimethylsilylthiopyridines 7aj. The thiopyridinium salts 7aj were subsequently treated in situ with 1″,2″,3″,4″-tetra-O-acetyl-α-d-arabinose (3) in the presence of redistilled SnCl4 to afford the same target nucleosides 5aj as the sole nucleoside products. The yields obtained via the microwave irradiation and conventional methods are listed for comparison in Table 1.
The structures of the obtained products 5aj were confirmed on the basis of their elemental analyses and spectral data (LC-MS/MS, IR, UV, 1D- and 2D-NMR). Thus, the analytical data for 5d revealed a molecular formula C26H28N4O7S (LC-MS (ionization method): m/z 540 [M]+). IR showed signals at υ 1655 and 2230 cm−1, assigned to the presence of a carbonitrile group. The 1H-NMR spectrum of compound 5d showed a doublet at δ = 6.36 ppm with the spin-spin coupling constant JH-1″-H-2″ = 2.8 Hz. This small spin-spin coupling indicates the formation of the β-isomer in 4C1 and 1C4. The use of piperidine as base to abstract hydrogen proton from the 2-thiopyridines 1aj affords the thiopyridinium salts 2aj which further attack the anomeric carbon of α-bromoarabinose 4 via equatorial attack. Inversion in the configuration of the anomeric carbon changes the stereochemistry of the obtained products 5aj to the β-configuration through a SN2 mechanism. The 13C-NMR spectrum showed three signals at δ = 168.9, 170.1 and 170.8 ppm assigned to the acetoxycarbonyl sugar carbon. The 2D-NOESY spectrum showed that H-1″ (δ = 6.36 ppm) had a cross-peak interaction with H-3″ (δ = 5.39 ppm), while no cross peak interaction was observed between the anomeric proton H-1″ and the methyl protons at C-6, indicating that the nucleosidic bond is formed between the anomeric carbon and the oxygen atom at C-2 forming an S-nucleoside as sole product. Dry ammonia or triethylamine in methanol were used to convert the protected nucleosides to their corresponding free nucleosides. The yield comparison between the two methods is given in Table 2.

2.2. Antimicrobial Activity

The antimicrobial activity of the synthesized compounds was investigated against a panel of standard Gram-negative (Proteus vulgaris and Escherichia coli) and Gram-positive (Bacillus subtilis and Staphylococcus aureus) bacterial strains (Figure 1). Concerning the antimicrobial activity data in Table 3, some of the synthesized compounds exhibited antibacterial potential comparable to reference drugs such as penicillin and ceftazidime. Concerning the activity against the Gram-positive bacterium Staphylococcus aureus, compounds 5j and 6j showed higher activity compared to the reference drugs, and compounds 5e, 6b and 6h exhibited good activity, whereas compounds 5c, 5h, 6c, 6e and 6f showed moderate activity. Compound 6e showed good activity against Gram-negative bacterium Escherichia coli. On the other hand, compound 6j showed good activity against Proteus vulgaris.

3. Materials and Methods

3.1. General Information

The microwave synthetic protocol was done using a CEM Microwave system (CEM Corporation, Matthews, VA, USA). Melting points were determined on a (Pyrex capillary) Gallenkamp apparatus (A. Gallenkamp & Co, London, UK). Infrared spectra were recorded with a Nicolet Nexus 470 FT-IR spectrometer (Thermo Scientific, Waltham, MA, USA) in the range 4000–400 cm−1 on samples in potassium bromide disks. 1H-NMR, 13C-NMR and 2D-NMR (COSY, NOESY, ROESY, G-HMBC and G-HMQC) spectra were obtained on a Gemini 400 MHz FT NMR spectrometer (Varian, Agilent Technologies, Edinburgh, UK) in CDCl3 and DMSO-d6; chemical shifts were recorded in δ (ppm) units, relative to Me4Si as an internal standard. The mass spectra were recorded on an LCMS-QP 800 LC-MS (Shimadzu, Tokyo, Japan). Elemental analysis data were obtained using a 2400 II series CHN Analyzer (Perkin Elmer, Waltham, MA, USA). Thin-layer chromatography (TLC) was carried out on precoated silica gel F254 plates (Merck, Kenilworth, NJ, USA) and UV light was used for visualization. Column chromatography was performed on a Merck silica gel. The reagents were purchased from Sigma-Aldrich (St. Louis, MO, USA) and used without further purification.

3.2 Chemistry

3.2.1. General Procedures for the Synthesis of 3-Cyano-2-(2″,3″,4″-tri-O-acetyl-β-d-arabinopyranos-ylthio)-pyridines 5aj

Microwave Method A

A solution of 2-thiopyridine 1aj (0.01mol) and 1″,2″,3″,4″-tetra-O-acetyl-α-d-arabinose (3, 0.32 g, 0.01 mol), in a mixture of dichloromethane/methanol (80/20, v/v %) was treated with silica gel (200–400 mesh, 1.0 g), and then the solvent was removed by evaporation. The solid residue was transferred into a 10-mL vial and irradiated at 200 W power for 2–3 min using the CEM Microwave system (CEM Corporation, Matthews, NC, USA). Purification by flash chromatography (CHCl3/cyclohexane, 1:4) was used to afford the desired arabinoside compounds 5aj.

Microwave Method B

To a solution of 2-thiopyridine 1aj (0.01 mol) and a catalytic amount of piperidine in acetone (5 mL), a solution of 2,3,4-tri-O-acetyl-α-d-arabinopyranosyl bromide (4, 3.79 g, 0.11 mol) in acetone (5 mL) was added with stirring at room temperature. The mixture was irradiated for a suitable time as shown in Table 1 using the CEM Microwave system and then the solvent was removed under reduced pressure. Flash column was used to purify the product using n-hexanes/EtOAc (4:1) as eluent to afford the desired products 5aj.

Conventional Synthesis Method C (Silyl Method)

A mixture of 2-thiopyridine 1aj (0.01 mol), anhydrous hexamethyldisilazane (HMDS, 25 mL) and a catalytic amount of ammonium sulfate (0.02 g) was stirred and heated under reflux for 48 h. The excess of HMDS was removed under reduced pressure, providing the silylated base as a colorless oil. To a cold solution of the silylated base in dry MeCN (30 mL) a solution of 1″,2″,3″,4″-tetra-O-acetyl-α-d-arabinopyranose (3, 3.49 g, 11.0 mmol) in dry acetonitrile (10 mL) was added followed by the addition of tin (IV) chloride (1.60 mL, 0.13 mol). The mixture was stirred at 0 °C for 20 min, then at room temperature for an additional 4–8 h until the reaction was completed as judged by TLC analysis, then poured into saturated sodium bicarbonate solution (50 mL) and extracted with chloroform (3 × 50 mL). The extract was dried over anhydrous MgSO4, filtered, and concentrated under reduced pressure. Silica-gel chromatography of the residue eluting with gradient MeOH (0%–2%) in CHCl3 afforded pure nucleoside 5aj.

3.2.2. Product Characterization

3-Cyano-4,6-dimethyl-2-(2″,3″,4″-tri-O-acetyl-β-d-arabinopyranosylthio)-5-phenylazopyridine (5a): MP 132 °C; IR (KBr, cm−1) υ 2224 (CN); COSY; 1H-NMR (CDCl3) δ = 2.04, 2.11 and 2.19 (3 s, 9H, 3CH3CO), 2.27 (s, 3H, CH3), 2.59 (s, 3H,CH3), 3.74, 3.82 (dd, 1H, H-5a″, J = 3.9, 8.5 Hz), 4.17, 4.28 (dd, 1H, H-5b″, J = 3.9, 8.5 Hz), 5.33–5.37 (m, 3H, H-2″, H-3″ and H-4″), 6.46 (d, 1H, H-1″, JH-1″H-2″ = 2.3 Hz), 7.34–7.92 (m, 5H, Ar-H); 13C-NMR (CDCl3) δ = 18.1 (CH3), 21.0, 21.1 and 21.2 (3CH3CO), 23.4 (CH3), 59.7 (C-5″), 65.7 (C-4″), 68.1 (C-3″), 69.0 (C-2″), 92.5 (C-1″), 97.3 (C-3), 113.9 (CN), 122.5–155.1 (Ar-C), 159.1 (C-2), 168.9, 169.6 and 170.4 (3CO); LC-MS (ionization method): m/z 527 [M + H]+; Anal. Calcd. for C25H26N4O7S: C, 57.03; H, 4.98; N, 10.64%. Found: C, 57.10; H, 5.01; N, 10.73%.
3-Cyano-4,6-dimethyl-2-(2″,3″,4″-tri-O-acetyl-β-d-arabinopyranosylthio)-5-(4′-bromophenylazo)pyridine (5b): MP 141 °C; IR (KBr, cm−1) υ 2228 (CN); COSY; NOESY; gHMBC; 1H-NMR (CDCl3) δ = 2.07, 2.15 and 2.25 (3s, 9H, 3CH3CO), 2.55 (s, 3H,CH3), 2.59 (s, 3H,CH3), 3.72, 3.79 (dd, 1H, H-5a, J = 4.6, 8.5 Hz), 4.10, 4.15 (dd, 1H, H-5b, J = 4.6, 8.5 Hz), 5.20–5.31 (m, 3H, H-2″, H-3″, H-4″ ); 6.41 (d, 1H, H-1″, JH-1″H-2″ = 2.6 Hz), 7.58 (d, 2H, Ar-H, J = 8.7 Hz), 7.76 (d, 2H, Ar-H, J = 8.7 Hz); 13C-NMR (CDCl3) δ = 17.8 (CH3), 21.0, 21.5 and 22.0 (3CH3CO), 23.3 (CH3), 59.5 (C-5″), 65.1 (C-4″), 67.5 (C-3″), 68.8 (C-2″), 92.7 (C-1″), 96.9 (C-3), 113.8 (CN), 123.9–155.2 (Ar-C), 161.1 (C-2), 168.9, 169.8 and 170.2 (3CO); LC-MS (ionization method): m/z 605 [M + 1]; Anal. Calcd. for C25H25BrN4O7S: C, 49.59; H, 4.16; N, 9.25%. Found: C, 49.66; H, 4.05; N, 9.31%.
3-Cyano-4,6-dimethyl-2-(2″,3″,4″-tri-O-acetyl-β-d-arabinopyranosylthio)-5-(4′-chlorophenylazo)pyridine (5c): MP 129 °C; IR (KBr, cm−1) υ 2228 (CN); COSY; NOESY; gHMBC; 1H-NMR (CDCl3) δ = 2.10, 2.15 and 2.19 (3s, 9H, 3CH3CO), 2.55 (s, 3H,CH3), 2.59 (s, 3H,CH3), 3.74, 3.82 (dd, 1H, H-5a, J = 3.8, 8.4 Hz), 4.12, 4.18 (dd, 1H, H-5b, J = 3.8, 8.4 Hz), 5.31–5.39 (m, 3H, H-2″, H-3″ and H-4″), 6.42 (d, 1H, H-1″, JH-1″H-2″ = 2.7 Hz), 7.51(d, 2H, Ar-H, J = 4.8 Hz); 7.81 (d, 2H, Ar-H, J = 4.8 Hz); 13C-NMR (CDCl3) δ = 18.2 (CH3), 21.1, 21.15 and 22.0 (3CH3CO), 23.4 (CH3), 60.2 (C-5″), 66.1 (C-4″), 68.1 (C-3″), 68.7 (C-2″), 92.7 (C-1″), 96.8 (C-3), 113.8 (CN), 124.5–155.6 (Ar-C), 160.8 (C-2), 169.6, 170.2 and 170.9 (3CO); LC-MS (ionization method): m/z 546 [M + 1]; Anal. Calcd. for C25H25ClN4O7S: C, 53.52; H, 4.49; N, 9.99%. Found: C, 53.77; H, 4.39; N, 10.06%.
3-Cyano-4,6-dimethyl-2-(2″,3″,4″-tri-O-acetyl-β-d-arabinopyranosylthio)-5-(4′-methylphenylazo)pyridine (5d): MP 134 °C; IR (KBr, cm−1) υ 2230 (CN); COSY; 1H-NMR (CDCl3) δ = 2.07, 2.15 and 2.19 (3s, 9H, 3CH3CO), 2.42 (s, 3H, CH3), 2.51 (s, 3H, CH3), 2.55 (s, 3H, CH3), 3.74, 3.77 (dd, 1H, H-5a″, J = 2.3, 8.0 Hz), 4.12, 4.17 (dd, 1H, H-5b″, J = 2.3, 8.0 Hz), 5.36–5.41 (m, 3H, H-2″, H-3″ and H-4″), 6.40 (d, 1H, H-1″, JH-1″H-2″ = 2.7 Hz), 7.31 (d, 2H, Ar-H, J = 8.1 Hz); 7.80 (d, 2H, Ar-H, J = 8.1 Hz); 13C-NMR (CDCl3) δ = 17.8 (CH3), 21.1, 21.3 and 21.8 (3CH3CO), 23.1 (CH3), 29.7 (CH3), 59.5 (C-5″), 65.7 (C-4″), 67.8 (C-3″), 68.8 (C-2″), 92.4 (C-1″), 96.8 (C-3), 114.1 (CN), 122.3–155.4 (Ar-C), 159.9 (C-2), 168.9, 170.1 and 170.8 (3CO); LC-MS (ionization method): m/z 540 [M]; Anal. Calcd. for C26H28N4O7S: C, 57.77; H, 5.22; N, 10.36%. Found: C, 57.81; H, 5.12; N, 10.20%.
3-Cyano-4,6-dimethyl-2-(2″,3″,4″-tri-O-acetyl-β-d-arabinopyranosylthio)-5-(4′-methoxyphenylazo)pyridine (5e): MP 142 °C; IR (KBr, cm−1) υ 2227 (CN); COSY; 1H-NMR (CDCl3) δ = 2.05, 2.15 and 2.19 (3s, 9H, 3CH3CO), 2.55 (s, 3H, CH3), 2.59 (s, 3H, CH3), 3.52 (s, 3H, OCH3), 3.68, 3.71 (dd, 1H, H-5a″, J = 2.5, 8.0 Hz), 4.11, 4.16 (dd, 1H, H-5b″, J = 2.5, 8.0 Hz), 5.35–5.41 (m, 3H, H-2″, H-3″ and H-4″), 6.41 (d, 1H, H-1″, JH-1″H-2″ = 2.7 Hz), 7.31 (d, 2H, Ar-H, J = 8.0 Hz); 7.80 (d, 2H, Ar-H, J = 8.0 Hz); 13C-NMR (CDCl3) δ = 21.0, 21.2 and 21.9 (3CH3CO), 22.8 (CH3), 29.7 (CH3), 40.3 (OCH3), 59.8 (C-5″), 65.8 (C-4″), 67.8 (C-3″), 69.1 (C-2″), 92.6 (C-1″), 97.3 (C-3), 114.0 (CN), 123.1–155.4 (Ar-C), 160.3 (C-2), 169.5, 170.4 and 170.9 (3CO); LC-MS (ionization method): m/z 557 [M + 1]; Anal. Calcd. for C26H28N4O8S: C, 56.11; H, 5.07; N, 10.07%. Found: C, 56.32; H, 5.19; N, 10.23%.
3-Cyano-4-methyl-2-(2″,3″,4″-tri-O-acetyl-β-d-arabinopyranosylthio)-5-phenylazo-6-phenylpyridine (5f): MP 177 °C; IR (KBr, cm−1) υ 2234 (CN); COSY; 1H-NMR (CDCl3) δ = 2.14, 2.21 and 2.25 (3s, 9H, 3CH3CO), 2.64 (s, 3H, CH3), 3.81, 3.86 (dd, 1H, H-5a″, J = 4.1, 8.5 Hz), 4.19, 4.25 (dd, 1H, H-5b″, J = 4.1, 8.5 Hz), 5.32–5.38 (m, 3H, H-2″, H-3″ and H-4″), 6.39 (d, 1H, H-1″, JH-1″H-2″ = 2.1 Hz), 7.21–7.76 (m, 10H, Ar-H); 13C-NMR (CDCl3) δ = 19.1 (CH3), 21.3, 21.4 and 21.5 (3CH3CO), 60.3 (C-5″), 65.7 (C-4″), 68.3 (C-3″), 69.1 (C-2″), 92.5 (C-1″), 98.3 (C-3), 114.3 (CN), 123.3–147.4 (Ar-C), 152.3 (C-2), 169.2, 169.9 and 170.4 (3CO); LC-MS (ionization method): m/z 589 [M + 1]; Anal. Calcd. for C30H28N4O7S: C, 61.21; H, 4.79; N, 9.52%. Found: C, 61.51; H, 4.83; N, 9.74%.
3-Cyano-4-methyl-2-(2″,3″,4″-tri-O-acetyl-β-d-arabinopyranosylthio)-6-phenyl-5-(4′-bromophenylazo)-pyridine (5g): MP 183 °C; IR (KBr, cm−1) υ 2227 (CN); COSY; 1H-NMR (CDCl3) δ = 2.15, 2.21 and 2.27 (3s, 9H, 3CH3CO), 2.66 (s, 3H, CH3), 3.79, 3.85 (dd, 1H, H-5a″, J = 4.2, 8.1 Hz,), 4.23, 4.29 (dd, 1H, H-5b″, J = 4.2, 8.1 Hz), 5.35–5.39 (m, 3H, H-2″, H-3″ and H-4″), 6.55 (d, 1H, H-1″, JH-1″–H-2″ = 2.0 Hz), 7.28–7.91 (m, 9H, Ar-H); 13C-NMR (CDCl3) δ =18.9 (CH3), 21.2, 21.3 and 21.4 (3CH3CO), 59.8 (C-5"), 65.8 (C-4″), 67.7 (C-3″), 68.9 (C-2″), 93.2 (C-1″), 98.4 (C-3), 114.1 (CN), 124.3–154.9 (Ar-C), 160.0 (C-2), 168.9, 169.7 and 170.8 (3CO); LC-MS (ionization method): m/z 667 [M + 1]; Anal. Calcd. for C30H27BrN4O7S: C, 53.98; H, 4.08; N, 8.39%. Found: C, 54.03; H, 4.19; N, 8.52%.
3-Cyano-4-methyl-2-(2″,3″,4″-tri-O-acetyl-β-d-arabinopyranosylthio)-6-phenyl-5-(4′-chlorophenylazo)-pyridine (5h): MP 172 °C; IR (KBr, cm−1) υ 2231 (CN); COSY, NOESY, gHMBC, gHMQC; 1H-NMR (CDCl3) δ = 2.16, 2.25 and 2.29 (3s, 9H, 3CH3CO), 2.65 (s, 3H,CH3), 3.80, 3.86 (dd, 1H, H-5a″, J = 4.0, 8.1 Hz), 4.20, 4.30 (dd, 1 H, H-5b″, J = 4.0, 8.1 Hz), 5.39–5.42 (m, 3H, H-2″, H-3″ and H-4″), 6.54 (d, 1 H, H-1″, JH-1″H-2″ = 1.9 Hz), 7.25–7.76 (m, 9H, Ar-H); 13C-NMR (CDCl3) δ = 19.1 (CH3), 21.2, 21.3 and 21.4 (3CH3CO), 60.1 (C-5″), 65.8 (C-4″), 67.8 (C-3″), 69.0 (C-2″), 93.1 (C-1″), 98.1 (C-3), 113.9 (CN), 123.4–155.1 (Ar-C), 159.8 (C-2), 169.3, 170.2 and 170.6 (3CO); LC-MS (ionization method): m/z 623 [M + 1]; Anal. Calcd. for C30H27ClN4O7S: C, 57.83; H, 4.37; N, 8.99%. Found: C, 57.58; H, 4.61; N, 9.20%.
3-Cyano-4-methyl-2-(2″,3″,4″-tri-O-acetyl-β-d-arabinopyranosylthio)-6-phenyl-5-(4-methylphenylazo)-pyridine (5i): MP 159 °C; IR (KBr, cm−1) υ 2231 (CN); COSY; 1H-NMR (CDCl3) δ = 2.15, 2.23 and 2.27 (3s, 9H, 3CH3CO), 2.47 (s, 3H, CH3), 2.63 (s, 3H, CH3), 3.78, 3.86 (dd, 1H, H-5a″, J = 4.1, 8.2 Hz,), 4.22, 4.35 (dd, 1H, H-5b″, J = 4.1, 8.2 Hz), 5.35–5.39 (m, 3 H, H-2″, H-3″ and H-4″), 6.53 (d, 1 H, H-1″, JH-1″H-2″ = 2.2 Hz), 7.30–7.81 (m, 9H, Ar-H); 13C-NMR (CDCl3) δ = 18.6 (CH3), 21.2, 21.3 and 21.4 (3 CH3CO), 22.0 (CH3), 60.1 (C-5″), 65.9 (C-4″), 68.2 (C-3″), 68.9 (C-2″), 93.1 (C-1″), 98.1 (C-3), 114.1 (CN), 122.5–154.0 (Ar-C), 159.7 (C-2), 168.5, 169.9 and 170.4 (3CO); LC-MS (ionization method): m/z 602 [M]; Anal. Calcd. for C31H30N4O7S: C, 61.78; H, 5.02; N, 9.30%. Found: C, 61.91; H, 5.20; N, 9.18%.
3-Cyano-4-methyl-2-(2″,3″,4″-tri-O-acetyl-β-d-arabinopyranosylthio)-6-phenyl-5-(4′-methoxyphenylazo)-pyridine (5j): MP 149 °C; IR (KBr, cm−1) υ 2229 (CN); COSY; 1H-NMR (CDCl3) δ = 2.15, 2.28 and 2.30 (3s, 9H, 3CH3CO), 2.61 (s, 3H, CH3), 3.65 (s, 3H, OCH3), 3.77, 3.87 (dd, 1H, H-5a″, J = 4.1, 8.1 Hz,), 4.23, 4.35 (dd, 1H, H-5b″, J = 4.1, 8.1 Hz), 5.37–5.41 (m, 3 H, H-2″, H-3″ and H-4″), 6.51 (d, 1 H, H-1″, JH-1″H-2″ = 2.2 Hz), 7.25–7.80 (m, 9H, Ar-H); 13C-NMR (CDCl3) δ = 18.7 (CH3), 21.2, 21.3 and 21.4 (3CH3CO), 45.7 (OCH3), 60.2 (C-5″), 65.5 (C-4″), 67.9 (C-3″), 68.9 (C-2″), 93.2 (C-1″), 98.2 (C-3), 114.1 (CN), 122.4–154.2 (Ar-C), 159.9 (C-2), 169.1, 169.8 and 170.4 (3CO); LC-MS (ionization method): m/z 619 [M + 1]; Anal. Calcd. for C31H30N4O8S: C, 60.18; H, 4.89; N, 9.06%. Found: C, 60.25; H, 5.10; N, 9.11%.

3.2.3. General Procedure for Nucleoside Deacetylation: Synthesis of 2-(β-d-Arabinopyranosylthio)-3-cyanopyridines 6aj

Method I

Triethylamine (1.0 mL) was added to a solution of protected arabinoside 5aj (0.01 mmol) in methanol (10 mL). The mixture was stirred for 12–14 h at room temperature. The solvent was evaporated under reduced pressure and the residue was co-evaporated with methanol until all the triethylamine was removed. The residue was crystallized from an appropriate solvent to give the corresponding deprotected arabinoside 6aj.

Method II

Dry ammonia gas was passed into a solution of protected nucleoside 5aj (0.5 g) in dry methanol (20 mL) at 0 °C for 30 min. The reaction mixture was stirred until reaction completion as shown by TLC using chloroform/methanol 9/1 as eluent (4–6 h). The resulting mixture was then concentrated under reduced pressure to afford a crude solid. The crude products were purified by silica gel chromatography (chloroform/methanol, 9/1). The products were crystallized from methanol to furnish pure compounds 6aj.

3.2.4. Product Characterization

2-(β-d-Arabinopyranosylthio)-3-cyano-4,6-dimethyl-5-phenylazopyridine (6a): MP 225 °C; IR (KBr, cm−1) υ 3431 (OH), 2237 (CN); COSY; 1H-NMR (DMSO-d6) δ 2.57 (s, 3H, CH3), 2.63 (s, 3H, CH3), 3.57–3.94 (m, 5H, H-2″, H-3″, H-4″ and 2H-5″), 4.84–5.43 (3OH, exchangeable with D2O), 6.04 (d,1H, H-1″, JH-1″H-2″ = 6.5 Hz,), 7.50–7.99 (m, 5H, Ar-H); 13C-NMR (DMSO-d6) δ = 18.8 (CH3), 23.2 (CH3), 65.9 (C-5″), 67.9 (C-4″), 70.4 (C-3″), 72.8 (C-2″), 96.3 (C-1″), 97.1 (C-3), 114.3 (CN), 121.5–154.8 (Ar-C), 160.8 (C-2); LC-MS (ionization method): m/z 401 [M + 1]+; Anal. Calcd. for C19H20N4O4S: C, 56.99; H, 5.03; N, 13.99%. Found: C, 57.17; H, 5.21; N, 14.21%.
2-(β-d-Arabinopyranosylthio)-3-cyano-4,6-dimethyl-5-(4′-bromophenylazo)pyridine (6b): MP 234 °C; IR (KBr, cm−1) υ 3417 (OH), 2228 (CN); COSY; NOESY; gHMBC; 1H-NMR (DMSO-d6) δ = 2.62 (s, 3H, CH3), 2.64 (s, 3H, CH3), 3.47–3.88 (m, 5H, H-2″, H-3″, H-4″, H-5a″ and H-5b″), 4.83–5.40 (3OH, exchangeable with D2O), 6.03 (d, H-1″, JH-1″H-2″ = 6.9 Hz), 7.69–7.85 (m, 4H, Ar-H); 13C-NMR (DMSO-d6) δ = 18.1 (CH3), 23.2 (CH3), 65.7 (C-5″), 67.3 (C-4″), 69.4 (C-3″), 72.5 (C-2″), 96.3 (C-1″), 97.6 (C-3), 114.4 (CN), 123.4–155.3 (Ar-C), 161.3 (C-2); LC-MS (ionization method): m/z 479 [M + 1] Anal. Calcd. for C19H19BrN4O4S: C, 47.61; H, 4.00; N, 11.69%. Found: C, 47.76; H, 4.04; N, 11.87%.
2-(β-d-Arabinopyranosylthio)-3-cyano-4,6-dimethyl-5-(4′-chlorophenylazo)pyridine (6c): MP 241 °C; IR (KBr, cm−1) υ 3382 (OH), 2228 (CN); COSY; NOESY; gHMBC; 1H-NMR (DMSO-d6) δ = 2.63 (s, 3H, CH3), 2.65 (s, 3H, CH3), 3.40–3.89 (m, 5H, H-2″, H-3″, H-4″, H-5a″ and H-5b″), 4.81–5.42 (3OH, exchangeable with D2O), 6.10 (d, ,1H, H-1″, JH-1″H-2″ = 6.9 Hz), 7.73 (d, 2H, Ar-H, J = 8.9 Hz), 7.93 (d, 2H, Ar-H, J = 8.9 Hz); 13C-NMR (DMSO-d6) δ = 18.2 (CH3), 23.3 (CH3), 65.7 (C-5″), 67.8 (C-4″), 70.1 (C-3″), 72.8 (C-2″), 96.6 (C-1″), 97.5 (C-3), 114.2 (CN), 124.0–155.1 (Ar-C), 161.8 (C-2); LC-MS (ionization method): m/z 435 [M + 1]+; Anal. Calcd. for C19H19ClN4O4S: C, 52.47; H, 4.40; N, 12.88%. Found: C, 52.51; H, 4.72; N, 13.03%.
2-(β-d-Arabinopyranosylthio)-3-cyano-4,6-dimethyl-5-(4′-methylphenylazo)pyridine (6d): MP 210 °C; IR (KBr, cm−1) υ 3388 (OH), 2230 (CN); COSY; NOESY; ROESY; gHMBC; gHMQC; 1H-NMR (DMSO-d6) δ = 2.45 (s, 3H, CH3), 2.63 (s, 3H, CH3), 2.64 (s, 3H, CH3), 3.64–3.92 (m, 5H, H-2″, H-3″, H-4″, H-5a″ and H-5b″), 4.79–5.43 (3OH, exchangeable with D2O), 6.03 (d, 1H, H-1″, JH-1″H-2″ = 6.9 Hz), 7.53 (d, 2H, Ar-H, J = 8.6 Hz), 7.91 (d, 2H, Ar-H, J = 8.6 Hz); 13C-NMR (DMSO-d6) δ = 18.3 (CH3), 21.3 (CH3), 22.4 (CH3), 66.4 (C-5″), 67.7 (C-4″), 70.8 (C-3″), 73.3 (C-2″), 97.0 (C-1″), 98.4 (C-3), 114.2 (CN), 123.3–155.7 (Ar-C), 162.0 (C-2); LC-MS (ionization method): m/z 414 [M]; Anal. Calcd. for C20H22N4O4S: C, 57.96; H, 5.35; N, 13.52%. Found C, 58.20; H, 5.22; N, 13.78%.
2-(β-d-Arabinopyranosylthio)-3-cyano-4,6-dimethyl-5-(4′-methoxyphenylazo)pyridine (6e): MP 231 °C; IR (KBr, cm−1) υ 3381(OH), 2231 (CN); COSY; NOESY; ROESY; gHMBC; gHMQC; 1H-NMR (DMSO-d6) δ = 2.60 (s, 3H, CH3), 2.64 (s, 3H, CH3), 3.42 (s, 3H, OCH3), 3.57–3.93 (m, 5H, H-2″, H-3″, H-4″, H-5a″ and H-5b″), 4.69–5.40 (3OH, exchangeable with D2O), 6.04 (d, 1H, H-1″, JH-1″H-2″ = 6.9 Hz), 7.61 (d, 2H, Ar-H, J = 8.6 Hz), 7.97 (d, 2H, Ar-H, J = 8.6 Hz); 13C-NMR (DMSO-d6) δ = 21.4 (CH3), 21.5 (CH3), 46.2 (OCH3), 66.5 (C-5″), 67.8 (C-4″), 70.5 (C-3″), 73.2 (C-2″), 96.9 (C-1″), 98.1 (C-3), 114.3 (CN), 123.3–155.7 (Ar-C), 161.6 (C-2); LC-MS (ionization method): m/z 431 [M + 1]; Anal. Calcd. for C20H22N4O5S: C, 55.80; H, 5.15; N, 13.02%. Found C, 55.95; H, 5.81; N, 13.31%.
2-(β-d-Arabinopyranosylthio)-3-cyano-4-methyl-6-phenyl-5-phenylazopyridine (6f): MP 184 °C; IR (KBr, cm−1) υ 3437 (OH), 2227 (CN); COSY; 1H-NMR (DMSO-d6) δ = 2.60 (s, 3H, CH3), 3.34–4.32 (m, 5H, H-2″, H-3″, H-4″, H-5a″ and H-5b″), 4.94–5.40 (3OH, exchangeable with D2O), 6.04 (d, 1H, H-1″, JH-1″H-2″= 6.7 Hz), 7.33–7.81 (m, 10 H, Ar-H); 13C-NMR (DMSO-d6) δ = 18.2 (CH3), 66.1 (C-5″), 67.4 (C-4″), 70.8 (C-3″), 72.8 (C-2″), 97.8 (C-1″), 97.7 (C-3), 114.3 (CN), 121.8–154.1 (Ar-C), 161.4 (C-2); LC-MS (ionization method): m/z 463 [M + 1]; Anal. Calcd. for C24H22N4O4S: C, 62.32; H, 4.79; N, 12.11%. Found: C, 62.52; H, 4.92; N, 12.40%.
2-(β-d-Arabinopyranosylthio)-3-cyano-4-methyl-6-phenyl-5-(4′-bromophenylazo)pyridine (6g): MP 172 °C; IR (KBr, cm−1) υ 3423 (OH), 2230 (CN); COSY; 1H-NMR (DMSO-d6) δ = 2.56 (s, 3 H, CH3), 3.28–3.94 (m, 5H, H-2″, H-3″, H-4″, H-5a″ and H-5b″), 4.85–5.44 (3OH, exchangeable with D2O), 6.05 (d, 1H, H-1″, JH-1″H-2″ = 6.6 Hz), 7.47–7.91 (m, 9H, Ar-H); 13C-NMR (DMSO-d6) δ = 18.4 (CH3), 65.8 (C-5″), 67.5 (C-4″), 70.3 (C-3″), 72.7 (C-2″), 97.5 (C-1″), 98.1 (C-3), 114.1 (CN), 123.8–154.2 (Ar-C), 161.4 (C-2); LC-MS (ionization method): m/z 541 [M + 1]; Anal. Calcd. for C24H21BrN4O4S: C, 53.24; H, 3.91; N, 10.35%. Found: C, 53.33; H, 4.01; N, 10.56%.
2-(β-d-Arabinopyranosylthio)-3-cyano-4-methyl-6-phenyl-5-(4′-chlorophenyl-azo)pyridine (6h): MP 183 °C; IR (KBr, cm−1) υ 3422 (OH), 2231 (CN); COSY; 1H-NMR (DMSO-d6) δ = 2.54 (s, 3H, CH3), 3.32–3.92 (m, 5H, H-2″, H-3″, H-4″, H-5a″ and H-5b″), 4.83–5.47 (3OH, exchangeable with D2O), 6.05 (d, 1H, H-1″, JH-1″H-2″ = 6.5 Hz), 7.42–7.78 (m, 9H, Ar-H); 13C-NMR (DMSO-d6) δ = 18.7 (CH3), 65.5 (C-5″), 67.3 (C-4″), 70.3 (C-3″), 72.7 (C-2″), 97.4 (C-1″), 97.7 (C-3), 114.2 (CN), 122.8–154.3 (Ar-C), 161.1 (C-2); LC-MS (ionization method): m/z 497 [M + 1]; Anal. Calcd. for C24H21ClN4O4S: C, 58.00; H, 4.26; N, 11.27%. Found: C, 58.21; H, 4.43; N, 11.43%.
2-(β-d-Arabinopyranosylthio)-3-cyano-4-methyl-6-phenyl-5-(4′-methylphenylazo)pyridine (6i): MP 182 °C; IR (KBr, cm−1) υ 3431 (OH), 2234 (CN); COSY; 1H-NMR (DMSO-d6) δ = 2.41 (s, 3H, CH3), 2.53 (s, 3H, CH3), 3.38–3.90 (m, 5H, H-2″, H-3″, H-4″, H-5a″ and H-5b″), 4.47–5.39 (3OH, exchangeable with D2O), 6.04 (d, 1H, H-1″, JH-1″H-2″ = 6.4 Hz), 7.31–7.65 (m, 9H, Ar-H); 13C-NMR (DMSO-d6) δ = 18.2 (CH3), 21.7 (CH3), 65.9 (C-5″), 67.3 (C-4″), 70.4 (C-3″), 71.9 (C-2″), 97.4 (C-1″), 97.9 (C-3), 114.3 (CN), 122.0–153.6 (Ar-C), 161.1 (C-2); LC-MS (ionization method): m/z 476 [M]; Anal. Calcd. for C25H24N4O4S: C, 63.01; H, 5.08; N, 11.76%. Found: C, 62.89; H, 5.22; N, 11.89%.
2-(β-d-Arabinopyranosylthio)-3-cyano-4-methyl-6-phenyl-5-(4′-methoxyphenylazo)pyridine (6j): MP 194 °C; IR (KBr, cm−1) υ 3421 (OH), 2229 (CN); COSY; 1H-NMR (DMSO-d6) δ = 2.50 (s, 3H, CH3), 3.34–3.84 (m, 5H, H-2″, H-3″, H-4″, H-5a″ and H-5b″), 4.45 (s, 3H, OCH3), 4.79–5.41 (3OH, exchangeable with D2O), 6.00 (d, 1H, H-1″, JH-1″H-2″ = 6.6 Hz), 7.21–7.80 (m, 9H, Ar-H); 13C-NMR (DMSO-d6) δ = 18.4 (CH3), 45.2 (OCH3), 66.1 (C-5″), 67.2 (C-4″), 70.1 (C-3″), 72.4 (C-2″), 97.6 (C-1″), 98.1 (C-3), 113.9 (CN), 122.0–153.6 (Ar-C), 161.2 (C-2); LC-MS (ionization method): m/z 493 [M + 1]; Anal. Calcd. for C25H24N4O5S: C, 60.96; H, 4.91; N, 11.38%. Found: C, 61.07; H, 5.01; N, 11.17%.

3.3. Antimicrobial Activity

Controls including the use of the solvent (DMSO) without test compounds showed no antimicrobial activity for this solvent. The antibacterial reference penicillin and ceftazidime discs were tested concurrently as standards. The agar plate disc-diffusion method was used to assess the activity of the compounds. Sterilized filter paper discs (5 mm in diameter) were moistened with the compound solution in dimethyl sulphoxide of specific concentration (10 mg/mL of the compound in DMSO) at 37 °C for 24 h, and the diameter of the clear zone of inhibition surrounding the sample is taken as a measure of the plates were incubated at 37 °C for 48 h with the test discs in place, and the inhibition zones were measured in cm.

4. Conclusions

A series novel series of 3-cyano-2-(tri-O-acetyl-β-d-arabinopyranosylthio)pyridines 5aj were obtained utilizing microwave solvent free technique. In contrast to the conventional method, the salient feature of microwave method are rapid reaction rate, high chemical yield, and cleaner reaction condition. Spectroscopic data (FT-IR, 1D, 2D-NMR) revealed a clear structure elucidation for the resulted compounds. Antimicrobial activity of the obtained substances against growth of both G+ and G− tested bacteria has been investigated.

Acknowledgments

The authors would like to thank Saad Al-Zahrani, Vice President of Higher Studies & Research—Taif University for his immense support.

Author Contributions

I.A.M. and H.A.E. Conceived and designed the experiments; S.A., M.A. and H.A.E. performed the experiments; M.A. and H.A.E. analyzed the data; I.A.M., S.A., M.A. and H.A.E. contributed reagents/materials/analysis tools; I.A.M. and H.A.E. wrote the paper.

Conflicts of Interest

The authors declare no conflict of interest.

References

  1. Liu-Young, G.; Kozal, M.; Hepatis, C. Protease and polymerase inhibition in development. J. AIDS Patient Care STDS 2008, 22, 449–457. [Google Scholar] [CrossRef] [PubMed]
  2. Ayoub, W.; Keefe, E. Review article: Current antiviral therapy of chronic hepatitis B. Aliment. Pharmacol. Ther. 2008, 28, 167–177. [Google Scholar] [CrossRef] [PubMed]
  3. Jochmans, D. Novel HIV-1 reverse transcriptase inhibitors. Virus Res. 2008, 134, 171–185. [Google Scholar] [CrossRef] [PubMed]
  4. De Clercq, E. The discovery of antiviral agents: Ten different compounds, ten different stories. Med. Res. Rev. 2008, 28, 929–953. [Google Scholar] [CrossRef] [PubMed]
  5. De Clercq, E. Anti-HIV drugs: 25 compounds approved within 25 years after the discovery of HIV. Int. J. Antimicrob. Agent 2009, 33, 307–320. [Google Scholar] [CrossRef] [PubMed]
  6. Blagosklonny, M. Analysis of FDA approved anticancer drugs reveals the future of cancer therapy. Cell Cycle 2004, 3, 1035–1042. [Google Scholar] [CrossRef] [PubMed]
  7. Robak, T.; Korycka, A.; Kasznicki, M.; Wrzesien-Kus, A.; Smolewski, P. Purine nucleoside analogs for the treatment of hematological malignancies: Pharmacology and clinical applications. Curr. Cancer Drug Targets 2005, 5, 421–444. [Google Scholar] [CrossRef] [PubMed]
  8. El Ashry, E.; Awad, F.; Atta, A. Synthesis and role of glycosylthioheterocycles in carbohydrate chemistry. Tetrahedron 2006, 62, 2943–2998. [Google Scholar] [CrossRef]
  9. Varma, R. S. Chemical activation by mechanochemical mixing, microwave and ultrasonic irradiation. Green Chem. 2008, 10, 1129–1130. [Google Scholar] [CrossRef]
  10. De la Hoz, A.; Loupy, A. Microwaves in Organic Synthesis, 3rd ed.; Wiley: New York, NY, USA, 2012. [Google Scholar]
  11. Loupy, A.; Petit, A.; Hamelin, J.; Texier-Boullet, F.; Jacquault, P.; Mathé, D. New solvent free organic synthesis using focused microwaves. Synthesis 1999. [Google Scholar] [CrossRef]
  12. Roberts, B.A.; Strauss, C.R. Toward rapid, “green”, predictable microwave-assisted synthesis. Acc. Chem. Res. 2005, 38, 653–661. [Google Scholar] [CrossRef] [PubMed]
  13. Helmy, M.; Moustafa, M.; Eldeab, H.A. Microwave-Assisted Synthesis of New Series Some Acetyl Coumarin Derivatives and Studying of Some their Pharmacological Activities. J. Pharm. Sci. Res. 2015, 7, 83–88. [Google Scholar]
  14. Helmy, M.; Moustafa, H.; Eldeab, H. New Methodology for Synthesis of Coumarin Derivatives as Potent Antimicrobial Agents. Int. J. Adv. Pharm. Biol. Chem. 2014, 3, 983–990. [Google Scholar]
  15. Abdou, I.; Rateb, N.; Eldeab, H. Fast and efficient microwave synthetic methods for some new 2(1H)-pyridone arabinosides. Heterocycl. Commun. 2012, 18, 135–141. [Google Scholar] [CrossRef]
  16. Rateb, N.; Eldeab, H.; Abdou, I. Antimicrobial Evaluation of New Synthesized Pyridine Nucleosides under Solvent-Free Conditions. Nucleosides Nucleotides Nucleic Acids 2013, 32, 493–509. [Google Scholar] [CrossRef] [PubMed]
  17. Abdou, I.; Salem, A.; Adem, A.; Zohdy, H.; Eldeab, H. Substituted Pyridine Derivatives Useful in the Treatment of Cancer. UK Patent U0018-00011, 8 May 2014. [Google Scholar] U.S. Patent US 9051271, 9 June 2015.
  • Sample Availability: Not Available.
Scheme 1. Synthetic pathways of 3-cyano2-(2″,3″,4″-tri-O-acetyl-β-d-arabinopyranosylthio) pyridines 5aj.
Scheme 1. Synthetic pathways of 3-cyano2-(2″,3″,4″-tri-O-acetyl-β-d-arabinopyranosylthio) pyridines 5aj.
Molecules 21 00477 sch001
Figure 1. Antimicrobial activity of all synthesized compounds 5aj and 6aj.
Figure 1. Antimicrobial activity of all synthesized compounds 5aj and 6aj.
Molecules 21 00477 g001
Table 1. Comparison between the microwave and conventional methods in the synthesis of 3-cyano2-(2″,3″,4″-tri-O-acetyl-β-d-arabinopyranosylthio) pyridines 5aj.
Table 1. Comparison between the microwave and conventional methods in the synthesis of 3-cyano2-(2″,3″,4″-tri-O-acetyl-β-d-arabinopyranosylthio) pyridines 5aj.
Compd. NoRArMicrowave SynthesisConventional Synthesis
Reaction Time/min Yield (%)Reaction Time/h Yield (%)
Method AMethod BMethod C
5aCH3C6H53 (86)7 (82)56 (44)
5bCH34-BrC6H43 (88)7 (84)55 (42)
5cCH33-ClC6H43 (85)6 (81)55 (45)
5dCH34-CH3C6H42 (90)7 (85)56 (47)
5eCH34-OCH3C6H42 (90)6 (85)56 (51)
5fC6H5C6H52 (88)6 (87)56 (41)
5gC6H54-BrC6H42 (95)7 (90)55 (52)
5hC6H54-ClC6H42 (93)6 (88)55 (55)
5iC6H54-CH3C6H42 (89)8 (81)57 (49)
5jC6H54-OCH3C6H42 (95)8 (90)56 (53)
Table 2. Yield comparison between triethylamine (Method I) and dry ammonia (Method II).
Table 2. Yield comparison between triethylamine (Method I) and dry ammonia (Method II).
Compd. No.RArMethod I
Yield %
Method II
Yield %
6aCH3C6H59078
6bCH34-BrC6H49281
6cCH33-ClC6H49083
6dCH34-CH3C6H49180
6eCH34-OCH3C6H48981
6fC6H5C6H58677
6gC6H54-BrC6H48179
6hC6H54-ClC6H48476
6iC6H54-CH3C6H49081
6jC6H54-OCH3C6H48880
Table 3. Antimicrobial activity of all synthesized compounds 5aj and 6aj.
Table 3. Antimicrobial activity of all synthesized compounds 5aj and 6aj.
Compd. NoR1R2ArInhibition (%)
PV EC BS SA
5aCH3CH3C6H50.00.00.00.0
5bCH3CH34-BrC6H40.00.00.00.0
5cCH3CH34-ClC6H40.00.01114
5dCH3CH34-CH3C6H40.00.00.00.0
5eCH3CH34-OCH3C6H40.00.01215
5fC6H5CH3C6H50.00.00.00.0
5gC6H5CH34-BrC6H40.00.00.013
5hC6H5CH34-ClC6H4100.01014
5iC6H5CH34-CH3C6H40.00.00.00.0
5jC6H5CH34-OCH3C6H40.0141217
6aCH3CH3C6H50.00.00.00.0
6bCH3CH34-BrC6H40.00.01115
6cCH3CH34-ClC6H4110.01214
6dCH3CH34-CH3C6H40.00.00.00.0
6eCH3CH34-OCH3C6H40.0181113
6fC6H5CH3C6H5110.00.013
6gC6H5CH34-BrC6H40.00.00.00.0
6hC6H5CH34-ClC6H40.0121715
6iC6H5CH34-CH3C6H40.00.01112
6jC6H5CH34-OCH3C6H4180.01221
Control: DMSO0.00.00.00.0
Penicillin200.00.014
Ceftazidime0.0300.00.0

Share and Cite

MDPI and ACS Style

Maghrabi, I.A.; Alghamdi, S.; Alrobaian, M.; Eldeab, H.A. Green Technique-Solvent Free Microwave Synthesis and Antimicrobial Evaluation of New Thiopyridine Arabinosides. Molecules 2016, 21, 477. https://doi.org/10.3390/molecules21040477

AMA Style

Maghrabi IA, Alghamdi S, Alrobaian M, Eldeab HA. Green Technique-Solvent Free Microwave Synthesis and Antimicrobial Evaluation of New Thiopyridine Arabinosides. Molecules. 2016; 21(4):477. https://doi.org/10.3390/molecules21040477

Chicago/Turabian Style

Maghrabi, Ibrahim A., Saleh Alghamdi, Majed Alrobaian, and Hany A. Eldeab. 2016. "Green Technique-Solvent Free Microwave Synthesis and Antimicrobial Evaluation of New Thiopyridine Arabinosides" Molecules 21, no. 4: 477. https://doi.org/10.3390/molecules21040477

APA Style

Maghrabi, I. A., Alghamdi, S., Alrobaian, M., & Eldeab, H. A. (2016). Green Technique-Solvent Free Microwave Synthesis and Antimicrobial Evaluation of New Thiopyridine Arabinosides. Molecules, 21(4), 477. https://doi.org/10.3390/molecules21040477

Article Metrics

Back to TopTop