Abstract
The rates of deamidation reactions of asparagine (Asn) residues which occur spontaneously and nonenzymatically in peptides and proteins via the succinimide intermediate are known to be strongly dependent on the nature of the following residue on the carboxyl side (Xxx). The formation of the succinimide intermediate is by far the fastest when Xxx is glycine (Gly), the smallest amino acid residue, while extremely slow when Xxx is bulky such as isoleucine (Ile) and valine (Val). In this respect, it is very interesting to note that the succinimide formation is definitely accelerated when Xxx is histidine (His) despite its large size. In this paper, we computationally show that, in an Asn–His sequence, the His side-chain imidazole group (in the neutral Nε-protonated form) can specifically catalyze the formation of the tetrahedral intermediate in the succinimide formation by mediating a proton transfer. The calculations were performed for Ace−Asn−His−Nme (Ace = acetyl, Nme = methylamino) as a model compound by the density functional theory with the B3LYP functional and the 6-31+G(d,p) basis set. We also show that the tetrahedral intermediate, once protonated at the NH2 group, easily releases an ammonia molecule to give the succinimide species.
1. Introduction
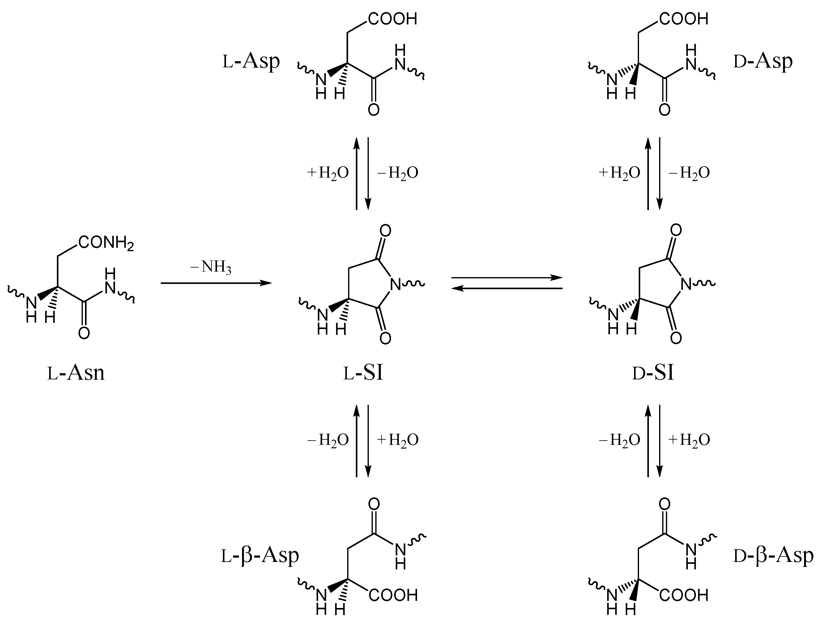
Succinimide (SI)-mediated reactions of asparagine (Asn) and aspartic acid (Asp) residues in peptides and proteins (Scheme 1) have been extensively studied in many fields of chemical, biological, and pharmaceutical sciences [1,2,3,4,5,6,7,8,9,10,11,12,13,14,15,16,17,18,19,20,21,22,23,24,25,26,27,28,29,30,31,32,33,34,35,36,37,38]. These reactions occur spontaneously and nonenzymatically both in vivo and in vitro, and produce biologically uncommon l-β-Asp, d-Asp, and d-β-Asp residues. In fact, these reactions may lead to protein degradations and, hence, to aging and pathologies [9,15,20,21,22,23,26,32,33,37,38]. In the case of Asn residues, the SI formation results in deamidation. Release of an ammonia molecule makes Asn deamidation reactions irreversible. The SI (l-SI) intermediate formed from an l-Asn residue can undergo hydrolysis either to an l-Asp or an l-β-Asp residue, typically in a ratio of 1:3 for peptides [1,2,3,4,5,7,8,13]. The d-Asp and d-β-Asp residues may also be formed because the SI intermediate is racemization-prone [39,40,41]. Since the rate of Asn deamidation varies widely depending on the peptide and protein structures, it has been proposed that this reaction functions as a molecular clock by regulating the timing of biological events such as protein turnover [18,25].
Scheme 1.
Succinimide (SI)-mediated nonenzymatic reactions of Asn and Asp residues.
The SI formation from Asn residues has been regarded as an intramolecular nucleophilic substitution reaction occurring in two steps (cyclization-deammoniation) (Scheme 2) [42,43,44]. In the first step, the peptide-bond nitrogen of the following residue on the carboxyl side (Xxx), also commonly referred to as the n + 1 residue, attacks the Asn side-chain amide carbon to form a five-membered ring tetrahedral intermediate. In the second step, an NH3 molecule is released from the intermediate to give the SI species. Proton transfers have to occur concomitantly with the bond formation or cleavage in these steps; however, detailed proton transfer mechanisms have not been elucidated. Our recent calculations about SI formations from Asn and Asp residues suggest that proton transfers mediated by a carboxylic acid molecule may occur in acidic conditions [44,45]. It should also be noted that the SI-mediated mechanism of Asn deamidation, which involves the nucleophilic attack by the main-chain nitrogen of the following residue, is not applicable to free Asn. In this regard, it is interesting to note that free glutamine (Gln) may deamidate via another five-membered ring intermediate, 5-oxoproline, which results from nucleophilic attack by the Gln main-chain nitrogen on the side-chain amide carbon [46].
Scheme 2.
Two-step (cyclization-deammoniation) mechanism of succinimide (SI) formation from an Asn residue.
It has been well known that the rates of SI formation from Asn residues are strongly dependent on the nature, especially size, of the following residue Xxx [5,7,8,16,17,18,19,24,25]. The formation of the SI intermediate is by far the fastest when Xxx is glycine (Gly), the smallest amino acid residue, while extremely slow when Xxx is bulky, such as isoleucine (Ile) and valine (Val). In this respect, it is very interesting to note that the SI formation is definitely accelerated when Xxx is histidine (His) despite its large size [7,16,17,18,19,24,25]. For example, deamidation in pentapeptide Gly–Gly–Asn–His–Gly is 2.3 and 1.3 times faster than in Gly–Gly–Asn–Ala–Gly (Ala = alanine) and Gly–Gly–Asn–Ser–Gly (Ser = serine), respectively (Tris-HCl buffer, pH 7.4, 37 °C) [18]. Indeed, on average, Asn deamidation reactions seem to be fastest when Xxx = His except for when Xxx = Gly. Goolcharran et al. [17] investigated pH-dependence of deamidation in a pentapeptide Gly–Gln–Asn–His–His, and showed that the n + 1 His residue acts as a catalyst at all pH values investigated (pH 5–10). Since pKa of the doubly protonated cationic form of the His side chain (imidazole ring) is around 6, the His residue is expected to exist mostly in the neutral state (equilibrium between the Nδ- and Nε-protonated forms) at physiological pH.
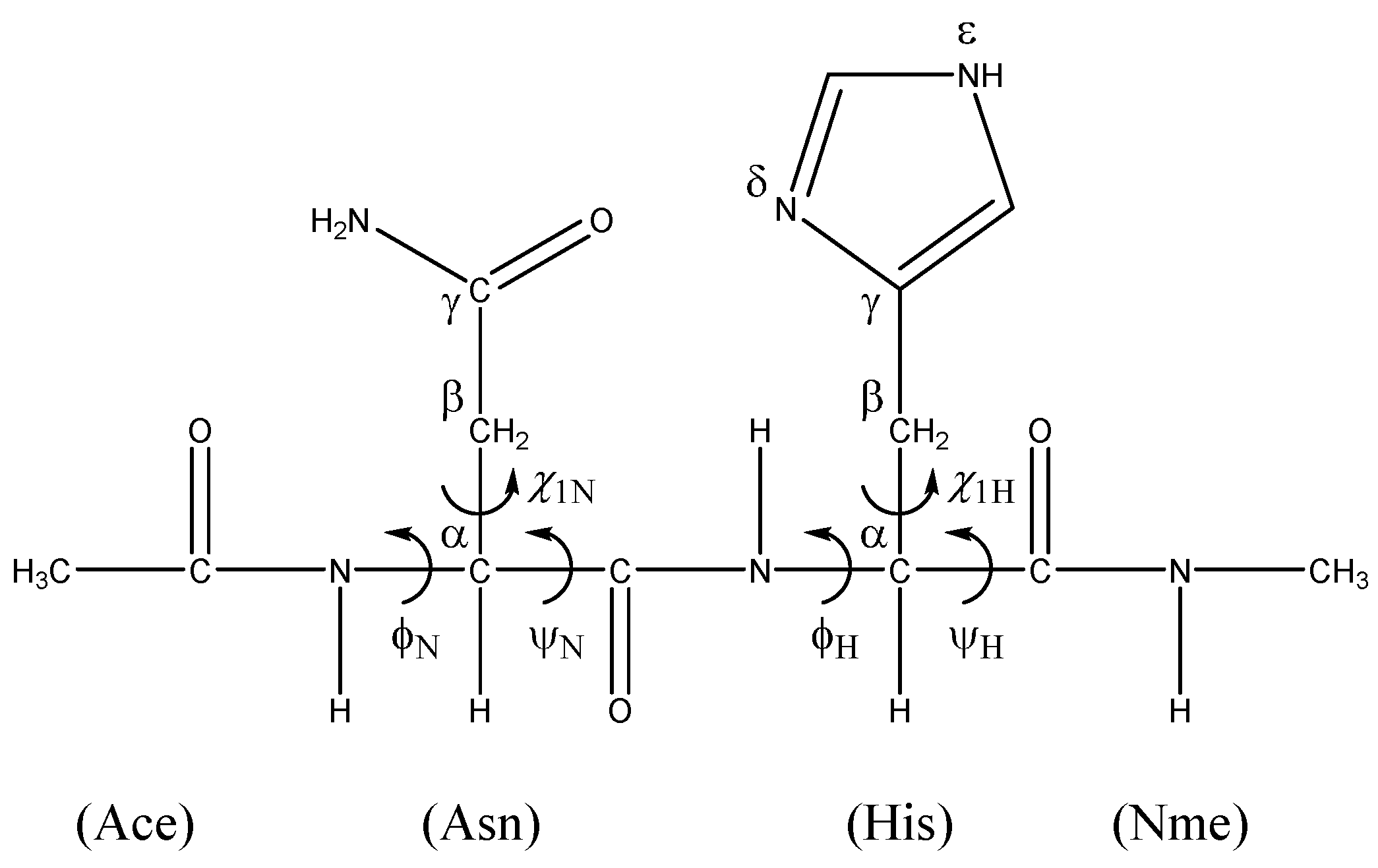
In this paper, a possible reaction mechanism is computationally shown for SI formation in an Asn–His sequence, where the side-chain imidazole group (in its neutral Nε-protonated form) catalyzes the formation of the tetrahedral intermediate. The calculations were performed by the density functional theory (DFT) for a model compound Ace–Asn–His–Nme (Figure 1), where Ace and Nme stand for acetyl and methylamino groups, respectively. In the proposed mechanism, abstraction of the His main-chain NH proton by the Nδ atom and subsequent transfer of the abstracted proton to the Asn side-chain oxygen atom occur in the first cyclization step. It is also shown that the intermediate, once protonated at the NH2 group, readily releases an NH3 molecule to form the SI species.
Figure 1.
The model compound (Ace–Asn–His–Nme) used in the present study. Both the Asn and His residues are in the l-configuration. The φN (C–N–Cα–C) and ψN (N–Cα–C–N) dihedral angles characterize the main-chain conformation of the Asn residue, and φH and ψH are the corresponding dihedral angles of the His residue. The χ1N and χ1H dihedral angles (N–Cα–Cβ–Cγ) are for the side chains of the Asn and His residues, respectively.
2. Results and Discussion
Figure 2 shows the energy profile obtained from the present calculations, and Figure 3, Figure 4, Figure 5, Figure 6, Figure 7, Figure 8 and Figure 9 show optimized geometries. Geometry optimizations were performed by using the B3LYP functional and the 6-31+G(d,p) basis set, and relative energies were corrected for the zero-point energy (ZPE) and the hydration free energy calculated by the SM8 (solvation model 8) continuum model [47,48]. The reactant, transition state, intermediate, and product are abbreviated as R, TS, INT, and P, respectively, and PC stands for the product complex formed between P, an NH3 molecule, and a proton (see below). The second step (deammoniation) was calculated for the NH2-protonated form of the intermediate (INT2). Therefore, in order to compare energies between the first and the second steps, an experimental free energy of hydration was added to the energies of the first-step geometries (R, TS1, and INT1) (see below for more details). The Cartesian coordinates, total energies, ZPEs, and SM8 hydration free energies of the optimized geometries are provided in the Supplementary Materials.
Figure 2.
Energy profile for the SI formation from the model compound shown in Figure 1. ZPE- and hydration free energy-corrected relative energies are shown in kcal·mol−1. R: reactant; TS: transition state; INT: intermediate; P: product; PC: product complex. The imaginary frequency (cm−1) is also shown for TS1 and TS2.
Figure 3.
The optimized geometry of the reactant R (model compound, Figure 1) (φN = −167°, ψN = −178°, χ1N = −138°, φH = −88°, ψH = 64°, χ1H = −73°). Relevant interatomic distances are shown in Å. The α carbon of Asn is indicated by an asterisk.
Figure 4.
The optimized geometry of TS1, the transition state of the first step (cyclization) (φN = −169°, ψN = −158°, χ1N = 170°, φH = −83°, ψH = 78°, χ1H = −59°). Relevant interatomic distances are shown in Å. The asterisked carbon corresponds to the Asn α carbon in the reactant R.
Figure 5.
The optimized geometry of INT1, the intermediate directly connected to TS1 (φN = −169°, ψN = −150°, χ1N = 155°, φH = −85°, ψH = 85°, χ1H = −65°). Relevant bond distances are shown in Å. The asterisked carbon corresponds to the Asn α carbon in the reactant R.
Figure 6.
The optimized geometry of INT2, the protonated intermediate directly connected to TS2 (φN = −174°, ψN = −105°, χ1N = 88°, φH = −95°, ψH = 144°, χ1H = −54°). Relevant bond distances are shown in Å. The asterisked carbon corresponds to the Asn α carbon in the reactant R.
Figure 7.
The optimized geometry of TS2, the transition state of the second step (deammoniation from the protonated intermediate, INT2) (φN = −174°, ψN = −116°, χ1N = 103°, φH = −74°, ψH = 112°, χ1H = −62°). Relevant interatomic distances are shown in Å. The asterisked carbon corresponds to the Asn α carbon in the reactant R.
Figure 8.
The optimized geometry of the product complex PC (complex between the SI product and an NH3 molecule) (φN = −163°, ψN = −147°, χ1N = 146°, φH = −80°, ψH = 91°, χ1H = −56°). The imidazole ring is in the cationic form. Relevant interatomic distances are shown in Å. The asterisked carbon corresponds to the Asn α carbon in the reactant R.
Figure 9.
The optimized geometry of the SI product P (φN = −172°, ψN = −145°, χ1N = 140°, φH = −90°, ψH = 71°, χ1H = −53°). The imidazole ring is in a neutral form. Hydrogen bond distances are shown in Å. The asterisked carbon corresponds to the Asn α carbon in the reactant R.
Figure 3 shows the optimized geometry for the reactant R, i.e., the model compound. In this geometry, the Asn residue is in an extended conformation (φN = −167°, ψN = −178°) while φH = −88° and ψH = 64°. This conformation enables the His imidazole ring to participate in the reaction. As described below, a somewhat complicated process to the neutral tetrahedral intermediate (INT1) proceeds in a single step from this reactant conformer via the transition state TS1 (Figure 4).
In R, the NH hydrogen of the His main chain forms a hydrogen bond (2.148 Å) to the amide oxygen of the Asn side chain; therefore, the distance between the His main-chain nitrogen and the amide carbon of the Asn side chain (the two atoms to be bonded) is as long as 3.349 Å. In the initial stage of the first step, proton transfer occurs from the His main-chain NH toward the His Nδ atom to form a cationic form of the imidazole ring (the initial distance between the NH hydrogen and His Nδ atoms is 2.922 Å). The proton-transferred state corresponds to a very flat region on the potential energy surface, but no energy minimum was found in this region. This proton transfer (abstraction of the NH proton) enhances the nucleophilicity of the main-chain N atom, and induces nucleophilic attack of this nitrogen on the Asn side-chain amide carbon. This attack results in cyclization to a five-membered ring. Concomitantly with this N–C bond formation, proton transfer occurs from the His Nδ to the Asn side-chain amide oxygen, resulting in a gem-hydroxylamine tetrahedral intermediate (INT1, Figure 5). At TS1, the distance of the forming N–C bond is 2.200 Å, and the transferring proton is closer to the oxygen atom than to the Nδ atom (see Figure 4).
These changes occur in a single step via TS1, as revealed by intrinsic reaction coordinate (IRC) calculations followed by full geometry optimizations, and this first step is predicted to be rate-determining in the SI formation. The activation barrier (i.e., the energy difference between R and TS1) is 20.2 kcal·mol−1 (after ZPE and hydration free energy correction). Considering that typical experimental values for activation energies of Asn deamidation reactions are 20–24 kcal·mol−1 [1,4,5,36], we may say that the His imidazole ring (neutral form) can catalyze SI formation in the Asn–His sequence by acting as a proton-transfer mediator. It should be noted that the Asn main-chain carboxyl oxygen forms a hydrogen bond to the NH hydrogen of Nme throughout the first step (the distances are 2.067, 1.989, and 2.204 Å in R, TS1, and INT1, respectively). This hydrogen bond is important in placing the His side chain in the right position to catalyze the cyclization as a proton-transfer mediator. Upon cyclization, a new hydrogen bond (2.291 Å) is formed between the NH2 group and the His oxygen. The energy of INT1 relative to R is 13.8 kcal·mol−1.
The second step (NH3 release) was calculated for the NH2-protonated form of the tetrahedral intermediate (INT2). This is based on the pKa value of 9.96 for 1-amino-1-propanol (conjugate acid) [49]. Although this is only one example which we found in the literature for pKa values of gem-hydroxylamine species, it is fully expected that the NH2 group on the five-membered ring of INT1 is rapidly protonated at neutral or physiological pH.
Figure 6 shows the optimized geometry of INT2. To compare the energies of the neutral and protonated forms of the intermediate, INT1 and INT2, the hydration free energy of proton (H+) has to be added to the energy of the former (note that the electronic energy of a bare proton is zero). We used an experimental value of −265.9 kcal·mol−1 [50] for the hydration free energy of proton. Thus, the energy profile shown in Figure 2 was obtained by adding this value for R, TS1, and INT1. As seen from Figure 2, the intermediate was calculated to be stabilized by 8 kcal·mol−1 upon protonation, so that the energy of INT2 relative to R is 5.8 kcal·mol−1. Moreover, there are noticeable geometrical differences between INT1 and INT2 as may be seen from the dihedral angle values shown in the captions of Figure 5 and Figure 6. It seems that this is mainly due to changes in hydrogen bonds. The hydrogen bond involving Nme is broken in INT2. Instead, the hydrogen bond involving the His oxygen has been highly strengthened upon protonation (from 2.291 Å to 1.580 Å) because of the positive charge of the NH3+ group.
From INT2, an NH3 molecule is released via the transition state TS2 (Figure 7). The local activation barrier of this process is only 2.7 kcal·mol−1. Concomitantly with the C–N bond cleavage, proton transfer occurs from the OH group to the His Nδ atom producing an SI ring and a cationic form of the imidazole ring. The geometry of the resulting product complex (PC) is shown in Figure 8. In TS2, the distance of the cleaving C–N bond is 1.952 Å; the corresponding distances in INT2 and PC are 1.541 and 3.324 Å, respectively. The proton transfer is almost completed in TS2 (the N–H distance is 1.078 Å). In PC, the released NH3 molecule is hydrogen-bonded to the His oxygen (2.291 Å) and the NH hydrogen of Nme again forms a hydrogen bond (2.263 Å) to one of the SI oxygens. The other SI oxygen forms a hydrogen bond (1.750 Å) to the cationic imidazole ring. PC was calculated to be more stable than R by 4.9 kcal·mol−1.
The geometry of the SI product (P) shown in Figure 9 was obtained by removing the NH3 molecule and the proton bound to the His Nε atom from PC and optimizing the remaining part. While geometrical change in this optimization is small, the separated state (P + NH3 + H+) is higher in energy than PC by about 14 kcal·mol−1 (9.2 kcal·mol−1 relative to R). Here, the energy of “H+” is the experimental hydration free energy of proton (see above), corresponding to a hydrated H3O+ ion. Although part of this large value may be attributed to basis-set superposition error, the separated products will be entropically favored. Indeed, SI formation from Asp residues was shown to be entropy-driven for short peptides [13]. Therefore, the Asn reactant state and the SI product state are expected to be comparable in free energy.
3. Computational Methods
Figure 1 shows the model compound used in the present study, in which an Asn–His sequence is capped with Ace and Nme groups on the N- and C-termini, respectively. All calculations were performed using Spartan’14 [51]. As in our previous studies [40,41,44,45], energy-minimum and transition state geometries were located in vacuum without any constraints by DFT, with the B3LYP functional and the 6-31+G(d,p) basis set. Vibrational frequency calculations were performed for all of the optimized geometries to confirm them as energy minima (with no imaginary frequency) or transition states (with a single imaginary frequency) and to correct the relative energies for ZPE. IRC calculations were performed from the transition states followed by full geometry optimizations to confirm that each transition state connects two energy minima, as shown in Figure 2. Furthermore, hydration effects have been included by single-point calculations at the same level of theory employing the SM8 continuum model [47,48].
4. Conclusions
The present calculations have shown that succinimide formation in an Asn–His sequence can be specifically catalyzed intramolecularly by the His imidazole ring (in its Nε-protonated form). The catalytic effect of the imidazole ring operates in the first step of the cyclization-deammoniation mechanism. In the very initial stage of the reaction, the His main-chain NH proton is abstracted by the His Nδ atom. This enhances the nucleophilicity of the His main-chain nitrogen, which then attacks the amide carbon of the Asn side chain resulting in cyclization. Proton transfer from the His Nδ atom to the Asn side-chain oxygen occurs concomitantly with this cyclization. It is interesting to note that this complicated process to form the five-membered ring tetrahedral intermediate occurs in a single step. The intermediate, which is a gem-hydroxylamine species, is expected to be rapidly protonated at the NH2 group. We have shown that the protonated intermediate can easily undergo deammoniation resulting in the succinimide product.
Supplementary Materials
The following are available online at: http://www.mdpi.com/1420-3049/21/3/327/s1, the Cartesian coordinates, total energies, zero-point energies, and SM8 hydration free energies of the optimized geometries.
Author Contributions
O.T. performed the calculations, and the results were discussed by all of the authors. The manuscript was drafted by O.T., and all of the authors approved the final version.
Conflicts of Interest
The authors declare no conflict of interest.
Abbreviations
The following abbreviations are used in this manuscript:
| DFT | density functional theory |
| INT | intermediate |
| IRC | intrinsic reaction coordinate |
| P | product |
| PC | product complex |
| R | reactant |
| SI | succinimide |
| TS | transition state |
| ZPE | zero-point energy |
References
- Geiger, T.; Clarke, S. Deamidation, isomerization, and racemization at asparaginyl and aspartyl residues in peptides. Succinimide-linked reactions that contribute to protein degradation. J. Biol. Chem. 1987, 262, 785–794. [Google Scholar] [PubMed]
- Capasso, S.; Mazzarella, L.; Sica, F.; Zagari, A. Deamidation via cyclic imide in asparaginyl peptides. Pept. Res. 1989, 2, 195–200. [Google Scholar] [PubMed]
- Stephenson, R.C.; Clarke, S. Succinimide formation from aspartyl and asparaginyl peptides as a model for the spontaneous degradation of proteins. J. Biol. Chem. 1989, 264, 6164–6170. [Google Scholar] [PubMed]
- Patel, K.; Borchardt, R.T. Chemical pathways of peptide degradation. II. Kinetics of deamidation of an asparaginyl residue in a model hexapeptide. Pharm. Res. 1990, 7, 703–711. [Google Scholar] [CrossRef] [PubMed]
- Patel, K.; Borchardt, R.T. Chemical pathways of peptide degradation. III. Effect of primary sequence on the pathways of deamidation of asparaginyl residues in hexapeptides. Pharm. Res. 1990, 7, 787–793. [Google Scholar] [CrossRef] [PubMed]
- Wright, H.T.; Urry, D.W. Nonenzymatic deamidation of asparaginyl and glutaminyl residues in proteins. Crit. Rev. Biochem. Mol. Biol. 1991, 26, 1–52. [Google Scholar] [CrossRef] [PubMed]
- Tyler-Cross, R.; Schirch, V. Effects of amino acid sequence, buffers, and ionic strength on the rate and mechanism of deamidation of asparagine residues in small peptides. J. Biol. Chem. 1991, 266, 22549–22556. [Google Scholar] [PubMed]
- Clarke, S.; Stephenson, R.C.; Lowenson, J.D. Lability of asparagine and aspartic acid residues in proteins and peptides: Spontaneous deamidation and isomerization reactions. In Stability of Protein Pharmaceuticals, Part A: Chemical and Physical Pathways of Protein Degradation; Ahern, T.J., Manning, M.C., Eds.; Plenum Press: New York, NY, USA, 1992; pp. 1–29. [Google Scholar]
- Roher, A.E.; Lowenson, J.D.; Clarke, S.; Wolkow, C.; Wang, R.; Cotter, R.J.; Reardon, I.M.; Zürcher-Neely, H.A.; Heinrikson, R.L.; Ball, M.J.; Greenberg, B.D. Structural alterations in the peptide backbone of β-amyloid core protein may account for its deposition and stability in Alzheimer’s disease. J. Biol. Chem. 1993, 268, 3072–3083. [Google Scholar] [PubMed]
- Capasso, S.; Mazzarella, L.; Sica, F.; Zagari, A.; Salvadori, S. Kinetics and mechanism of succinimide ring formation in the deamidation process of asparagine residues. J. Chem. Soc. Perkin Trans. 1993, 2, 679–682. [Google Scholar] [CrossRef]
- Capasso, S.; Kirby, A.J.; Salvadori, S.; Sica, F.; Zagari, A. Kinetics and mechanism of the reversible isomerization of aspartic acid residues in tetrapeptides. J. Chem. Soc. Perkin Trans. 1995, 2, 437–442. [Google Scholar] [CrossRef]
- Riha, W.E., III; Izzo, H.V.; Zhang, J.; Ho, C.T. Nonenzymatic deamidation of food proteins. Crit. Rev. Food Sci. Nutr. 1996, 36, 225–255. [Google Scholar] [CrossRef] [PubMed]
- Capasso, S. Thermodynamic parameters of the reversible isomerization of aspartic residues via a succinimide derivative. Thermochim. Acta 1996, 286, 41–50. [Google Scholar] [CrossRef]
- Powell, M.F. A compendium and hydropathy/flexibility analysis of common reactive sites in proteins: Reactivity at Asn, Asp, Gln, and Met motifs in neutral pH solution. In Formulation, Characterization, and Stability of Protein Drugs; Pearlman, R., Wang, Y.J., Eds.; Springer Science + Business Media: New York, NY, USA, 1996; pp. 1–140. [Google Scholar]
- Fujii, N.; Takemoto, L.J.; Momose, Y.; Matsumoto, S.; Hiroki, K.; Akaboshi, M. Formation of four isomers at the Asp-151 residue of aged human αA-crystallin by natural aging. Biochem. Biophys. Res. Commun. 1999, 265, 746–751. [Google Scholar] [CrossRef] [PubMed]
- Capasso, S. Estimation of deamidation rate of asparagine side chains. J. Peptide Res. 2000, 55, 224–229. [Google Scholar] [CrossRef]
- Goolcharran, C.; Stauffer, L.L.; Cleland, J.L.; Borchardt, R.T. The effects of a histidine residue on the C-terminal side of an asparaginyl residue on the rate of deamidation using model peptides. J. Pharm. Sci. 2000, 89, 818–825. [Google Scholar] [CrossRef]
- Robinson, N.E.; Robinson, A.B. Molecular Clocks. Proc. Natl. Acad. Sci. USA 2001, 98, 944–949. [Google Scholar] [CrossRef] [PubMed]
- Robinson, N.E.; Robinson, A.B.; Merrifield, R.B. Mass spectrometric evaluation of synthetic peptides as primary structure models for peptide and protein deamidation. J. Pept. Res. 2001, 57, 483–493. [Google Scholar] [CrossRef] [PubMed]
- Lindner, H.; Helliger, W. Age-dependent deamidation of asparagine residues in proteins. Exp. Gerontol. 2001, 36, 1551–1563. [Google Scholar] [CrossRef]
- Fujii, N.; Matsumoto, S.; Hiroki, K.; Takemoto, L. Inversion and isomerization of Asp-58 residue in human αA-crystallin from normal aged lenses and cataractous lenses. Biochim. Biophys. Acta 2001, 1549, 179–187. [Google Scholar] [CrossRef]
- Ritz-Timme, S.; Collins, M.J. Racemization of aspartic acid in human proteins. Aging Res. Rev. 2002, 1, 43–59. [Google Scholar] [CrossRef]
- Reissner, K.J.; Aswad, D.W. Deamidation and isoaspartate formation in proteins: Unwanted alterations or surreptitious signals? Cell. Mol. Life Sci. 2003, 60, 1281–1295. [Google Scholar] [CrossRef] [PubMed]
- Robinson, N.E.; Robinson, Z.W.; Robinson, B.R.; Robinson, A.L.; Robinson, J.A.; Robinson, M.L.; Robinson, A.B. Structure-dependent nonenzymatic deamidation of glutaminyl and asparaginyl peptapeptides. J. Pept. Res. 2004, 63, 426–436. [Google Scholar] [CrossRef] [PubMed]
- Robinson, N.E.; Robinson, A.B. Molecular Clocks: Deamidation of Asparaginyl and Glutaminyl Residues in Peptides and Proteins; Althouse Press: Cave Junction, OR, USA, 2004. [Google Scholar]
- Fujii, N. d-Amino acid in elderly tissues. Biol. Pharm. Bull. 2005, 28, 1585–1589. [Google Scholar] [CrossRef] [PubMed]
- Houchin, M.L.; Heppert, K.; Topp, E.M. Deamidation, acylation and proteolysis of a model peptide in PLGA films. J. Control. Release 2006, 112, 111–119. [Google Scholar] [CrossRef] [PubMed]
- Wakankar, A.A.; Borchardt, R.T. Formulation considerations for proteins susceptible to asparagine deamidation and aspartate isomerization. J. Pharm. Sci. 2006, 95, 2321–2336. [Google Scholar] [CrossRef] [PubMed]
- Wakankar, A.A.; Borchardt, R.T.; Eigenbrot, C.; Shia, S.; Wang, Y.J.; Shire, S.J.; Liu, J.L. Aspartate isomerization in the complementarity-determining regions of two closely related monoclonal antibodies. Biochemistry 2007, 46, 1534–1544. [Google Scholar] [CrossRef] [PubMed]
- Houchin, M.L.; Topp, E.M. Chemical degradation of peptides and proteins in PLGA: A review of reactions and mechanisms. J. Pharm. Sci. 2008, 97, 2395–2404. [Google Scholar] [CrossRef] [PubMed]
- Sadakane, Y.; Konoha, K.; Kawahara, M.; Nakagomi, K. Quantification of structural alterations of l-Asp and l-Asn residues in peptides related to neuronal diseases by reversed-phase high-performance liquid chromatography. Chem. Biodiv. 2010, 7, 1371–1379. [Google Scholar] [CrossRef] [PubMed]
- Hooi, M.Y.S.; Truscott, R.J.W. Racemisation and human cataract. d-Ser, d-Asp/Asn and d-Thr are higher in the lifelong proteins of cataract lenses than in age-matched normal lenses. AGE 2011, 33, 131–141. [Google Scholar] [CrossRef] [PubMed]
- Fujii, N.; Kawaguchi, T.; Sasaki, H.; Fujii, N. Simultaneous stereoinversion and isomerization at the Asp-4 residue in βB2-crystallin from the aged human eye lenses. Biochemistry 2011, 50, 8628–8635. [Google Scholar] [CrossRef] [PubMed]
- Sreedhara, A.; Cordoba, A.; Zhu, Q.; Kwong, J.; Liu, J. Characterization of the isomerization products of aspartate residues at two different sites in a monoclonal antibody. Pharm. Res. 2012, 29, 187–197. [Google Scholar] [CrossRef] [PubMed]
- Aki, K.; Fujii, N.; Fujii, N. Kinetics of isomerization and inversion of aspartate 58 of α-crystalline peptide mimics under physiological conditions. PLoS ONE 2013, 8, e58515. [Google Scholar] [CrossRef] [PubMed]
- Connolly, B.D.; Tran, B.; Moore, J.M.R.; Sharma, V.K.; Kosky, A. Specific catalysis of asparaginyl deamidation by carboxylic acids: Kinetic, thermodynamic, and quantitative structure-property relationship analyses. Mol. Pharm. 2014, 11, 1345–1358. [Google Scholar] [CrossRef] [PubMed]
- Fujii, N.; Takata, T.; Fujii, N.; Aki, K. Isomerization of aspartyl residues in crystallins and its influence upon cataract. Biochim. Biophys. Acta 2016, 1860, 183–191. [Google Scholar] [CrossRef] [PubMed]
- Takata, T.; Fujii, N. Isomerization of Asp residues plays an important role in α-crystallin dissociation. FEBS J. 2015. [Google Scholar] [CrossRef] [PubMed]
- Radkiewicz, J.L.; Zipse, H.; Clarke, S.; Houk, K.N. Accelerated racemization of aspartic acid and asparagine residues via succinimide intermediates: An ab initio theoretical exploration of mechanism. J. Am. Chem. Soc. 1996, 118, 9148–9155. [Google Scholar] [CrossRef]
- Takahashi, O.; Kobayashi, K.; Oda, A. Modeling the enolization of succinimide derivatives, a key step of racemization of aspartic acid residues: Importance of a two-H2O mechanism. Chem. Biodiv. 2010, 7, 1349–1356. [Google Scholar] [CrossRef] [PubMed]
- Takahashi, O. Two-water-assisted racemization of the succinimide intermediate formed in proteins: A computational model study. Health 2013, 5, 2018–2021. [Google Scholar] [CrossRef]
- Catak, S.; Monard, G.; Aviyente, V.; Ruiz-López, M.F. Reaction mechanism of deamidation of asparaginyl residues in peptides: Effect of solvent molecules. J. Phys. Chem. A 2006, 110, 8354–8365. [Google Scholar] [CrossRef] [PubMed]
- Catak, S.; Monard, G.; Aviyente, V.; Ruiz-López, M.F. Deamidation of asparagine residues: Direct hydrolysis versus succinimide-mediated deamidation mechanisms. J. Phys. Chem. A 2009, 113, 1111–1120. [Google Scholar] [CrossRef] [PubMed]
- Manabe, N.; Kirikoshi, R.; Takahashi, O. Glycolic acid-catalyzed deamidation of asparagine residues in degrading PLGA matrices: A computational study. Int. J. Mol. Sci. 2015, 16, 7261–7272. [Google Scholar] [CrossRef] [PubMed]
- Takahashi, O.; Kirikoshi, R.; Manabe, N. Acetic acid can catalyze succinimide formation from aspartic acid residues by a concerted bond reorganization mechanism: A computational study. Int. J. Mol. Sci. 2015, 16, 1613–1626. [Google Scholar] [CrossRef] [PubMed]
- Halim, M.A.; Almatarneh, M.H.; Poirier, R.A. Mechanistic study of the deamidation reaction of glutamine: A computational approach. J. Phys. Chem. B 2014, 118, 2316–2330. [Google Scholar] [CrossRef] [PubMed]
- Marenich, A.V.; Olson, R.M.; Kelly, C.P.; Cramer, C.J.; Truhlar, D.G. Self-consistent reaction field model for aqueous and nonaqueous solutions based on accurate polarized partial charges. J. Chem. Theory Comput. 2007, 3, 2011–2033. [Google Scholar] [CrossRef] [PubMed]
- Cramer, C.J.; Truhlar, D.G. A universal approach to solvation modeling. Acc. Chem. Res. 2008, 41, 760–768. [Google Scholar] [CrossRef] [PubMed]
- Gokel, G.W. Dean’s Handbook of Organic Chemistry, 2nd ed.; McGraw-Hill: New York, NY, USA, 2004; Section 8; p. 9. [Google Scholar]
- Camaioni, D.M.; Schwerdtfeger, C.A. Comment on “Accurate experimental values for the free energies of hydration of H+, OH−, and H3O+”. J. Phys. Chem. A 2005, 109, 10795–10797. [Google Scholar] [CrossRef] [PubMed]
- Spartan’14, version 1.1.4 ed; software for molecular modeling; Wavefunction, Inc.: Irvine, CA, USA, 2014.
- Sample Availability: Samples of the compounds are not available from the authors.
© 2016 by the authors. Licensee MDPI, Basel, Switzerland. This article is an open access article distributed under the terms and conditions of the Creative Commons by Attribution (CC-BY) license ( http://creativecommons.org/licenses/by/4.0/).










