Synthetic Strategy and Anti-Tumor Activities of Macrocyclic Scaffolds Based on 4-Hydroxyproline
Abstract
:1. Introduction


2. Results and Discussion
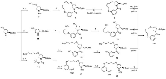
2.1. Chemistry

| Entry | Catalyst | Temperature (°C) | Time (h) | Ring Size | Yield (%) b | Ratio (1,4-:1,5-) |
|---|---|---|---|---|---|---|
| 1 | Thermal | 110 | 24 | 15,14 | 20 | 5:1 |
| 2 | CuI | 110 | 2 | 15 | 55 | >99:1 |
| 3 | Cp*RuCl(COD) | 50 | 24 | 14 | 0 | - |
| 4 | Cp*RuCl(COD) | 110 | 24 | 14 | 0 | - |
| 5 | Cp*RuCl(PPh3)2 | 80 | 8 | 14 | 33 | <1:99 |
| 6 | [Cp*RuCl]4 | 80 | 4 | 14 | 48 | <1:99 |
| 7 | [Cp*RuCl]4 | 110 | 4 | 14 | 41 | <1:99 |

| Entry | Path | Reagents | Time (h) | Yield (%) b |
|---|---|---|---|---|
| 1 | b | DEAD, PPh3 | 24 | 0 |
| 2 | b | TMAD, TBP | 24 | 0 |
| 3 | b | ADDP, TBP | 24 | 0 |
| 4 | c | DEAD, PPh3 | 4 | 10 |
| 5 | c | TMAD, TBP | 4 | 21 |
| 6 | c | ADDP, TBP | 4 | 23 |
| 7 | d | HOBt, EDCI, Et3N | 1 | 39 |
| 8 | d | HATU, DIEA | 1 | 39 |

2.2. In Vitro Anti-Tumor Screening
| Compound | R | IC50 (μmol/L) | |||
|---|---|---|---|---|---|
| A549 | MDA-MB-231 | Hep G2 | |||
![]() | 22 | OH | 32.24 | 45.14 | 44.17 |
| 23 | NH2 | 26.79 | 29.94 | 37.28 | |
| 24 | NHPh | 45.73 | 35.58 | 46.26 | |
| 25 | NHCH2CH(CH3)2 | 37.73 | 42.47 | 48.27 | |
![]() | 26 | OH | 37.11 | 34.28 | 44.88 |
| 27 | NH2 | 41.28 | 27.99 | 34.71 | |
| 28 | NHPh | 46.29 | 43.68 | 36.28 | |
| 29 | NHCH2CH(CH3)2 | 32.18 | 43.19 | 37.31 | |
![]() | 30 | OH | 11.23 | 10.26 | 23.21 |
| 31 | NH2 | 5.21 | 12.33 | 31.94 | |
| 32 | NHPh | 4.76 | 9.67 | 26.26 | |
| 33 | NHCH2CH(CH3)2 | 2.55 | 11.87 | 41.10 | |
![]() | 34 | OH | >100 | 96.15 | 96.16 |
| 35 | NH2 | 89.54 | 90.54 | 91.47 | |
| 36 | NHPh | 54.31 | 85.32 | 95.39 | |
| 37 | NHCH2CH(CH3)2 | 77.93 | 86.27 | 73.06 | |
![]() | 38 | OH | >100 | 92.34 | >100 |
| 39 | NH2 | 63.74 | 57.33 | >100 | |
| 40 | NHPh | 87.99 | 76.36 | 68.39 | |
| 41 | NHCH2CH(CH3)2 | 34.91 | 47.28 | >100 | |
![]() | 42 | OH | >100 | >100 | 87.39 |
| 43 | NH2 | 69.74 | 65.96 | 64.88 | |
| 44 | NHPh | 98.24 | 23.11 | 88.13 | |
| 45 | NHCH2CH(CH3)2 | 93.57 | 88.69 | 89.58 | |
| Cisplatin | 15.42 | 19.68 | 17.35 | ||
3. Materials and Methods
3.1. General Information
3.2. Synthesis
3.2.1. Procedure for the Preparation of Methyl (12R,14S)-16-Oxo-2,11-dioxa-5,6,7,15-tetraaza-tetracyclo[15.3.1.112,15.05,9]docosane-6,8,1(21),17,19-pentaene-14-carboxylate (6a)
3.2.2. Procedure for the Preparation of Methyl (11R,13S)-15-Oxo-2,10-dioxa-5,6,7,14-tetraaza-tetracyclo[14.3.1.15,8.111,14]docosane-6,8(21),1(20),16,18-pentaene-13-carboxylate (6b)
3.2.3. General Procedure for the Preparation of Methyl (4Z,8R,10S)-12-Oxo-2,7-dioxa-11-aza-tricyclo [11.3.1.18,11]octadecane-4,1(17),13,15-tetraene-10-carboxylate (9) and Compounds 10a–c
3.2.4. General Procedure for the Preparation of Compounds 22–45
3.3. Cytotoxicity Assays
4. Conclusions
Supplementary Materials
Acknowledgments
Author Contributions
Conflicts of Interest
References
- Giordanetto, F.; Kihlberg, J. Macrocyclic drugs and clinical candidates: What can medicinal chemists learn from their properties. J. Med. Chem. 2014, 57, 278–295. [Google Scholar] [CrossRef] [PubMed]
- Wessjohann, L.A.; Ruijter, E.; Daniel, G.R.; Brandt, W. What can a chemist learn from nature’s macrocycles?—A brief, conceptual view. Mol. Dive. 2005, 9, 171–186. [Google Scholar] [CrossRef]
- Driggers, E.M.; Hale, S.P.; Lee, J.; Terrett, N.K. The exploration of macrocycles for drug discovery—An underexploited structural class. Nat. Rev. Drug Discov. 2008, 7, 608–624. [Google Scholar] [CrossRef] [PubMed]
- Mallinson, J.; Collins, I. Macrocycles in new drug discovery. Future Med. Chem. 2012, 4, 1409–1438. [Google Scholar] [CrossRef] [PubMed]
- Bogden, A.R.; Davies, N.L.; James, K. Comparison of diffusion coefficients for matched pairs of macrocyclic and linear molecules over a drug-like molecular weight range. Org. Biomol. Chem. 2011, 9, 7727–7733. [Google Scholar] [CrossRef] [PubMed]
- Marsanlt, E.; Peterson, M.I. Macrocycles are great cycles: Applications, opportunities, and challenges of synthetic macrocycles in drug discovery. J. Med. Chem. 2011, 54, 1961–2004. [Google Scholar] [CrossRef] [PubMed]
- Kohll, R.M.; Walsh, C.T.; Burkart, M.D. Biomimetic synthesis and optimization of cyclic peptide antibiotics. Nature 2002, 418, 658–661. [Google Scholar] [CrossRef] [PubMed]
- Nagarajan, R. Structure-activity relationships of vancomycin-type glycopeptides antibiotics. J. Antibiot. 1993, 46, 1181–1195. [Google Scholar] [CrossRef] [PubMed]
- Gerhard, U.; Mackay, R.A.; Williams, D.H. The role of the sugar and chlorine substituents in the dimerization of vancomycin antibiotics. J. Am. Chem. Soc. 1993, 115, 232–237. [Google Scholar] [CrossRef]
- Walsh, C.T. Vancomycin resistance: Decoding the molecular logic. Science 1993, 261, 308–309. [Google Scholar] [CrossRef] [PubMed]
- Wright, G.D.; Walsh, C.T. d-Alanyl-d-alanine ligases and the molecular mechanism of vancomycin resistance. Acc. Chem. Res. 1992, 25, 468–473. [Google Scholar] [CrossRef]
- Yasuzawa, T.; Shirahata, K.; Sano, H. K-13, a novel inhibitir of angiotensin I converting enzyme produced by micromonospora halophytica subsp. exilisia. II. Structure determination. J. Antibiot. 1987, 40, 455–458. [Google Scholar] [CrossRef] [PubMed]
- Bigot, A.; Bois-Choussy, M.; Zhu, J. An efficient total synthesis of K-13, a non-competitive inhibitor of ACE I. Tetrahedron Lett. 2000, 41, 4573–4578. [Google Scholar] [CrossRef]
- Tamai, S.; Kaneda, M.; Nakamura, S. Piperazinomycin, a new antifungal antibiotic I. Fermentation, isolation, characterization and biological properties. J. Antibiot. 1982, 35, 1130–1136. [Google Scholar] [CrossRef] [PubMed]
- Morita, H.; Yamamiya, T.; Takeya, K.; Itokawa, H. New antitumor bicyclic hexapeptides, RA-XI, -XII and -XIV from Rubia cordifolia. Chem. Pharm. Bull. 1992, 40, 1352–1354. [Google Scholar] [CrossRef] [PubMed]
- Itokawa, H.; Takeya, K. Antitumor Substtances from Higher Plants. Heterocycles 1993, 35, 1467–1501. [Google Scholar] [CrossRef]
- Pyluck, A.; Yuan, R.; Galligan, E., Jr.; Primakoff, P.; Myles, D.; Sampson, N.S. ECD peptides inhibit in vitro fertilization in mice. Bioorg. Med. Chem. Lett. 1997, 7, 1053–1058. [Google Scholar] [CrossRef]
- Feng, Y.; Wang, Z.; Jin, S.; Burgess, K. SNAr cyclizations to from cyclic peptidomimetics of-turus. J. Am. Chem. Soc. 1998, 120, 10768–10769. [Google Scholar] [CrossRef]
- Virgilio, A.; Bray, A.A.; Zhang, W.; Trinh, L.; Snyder, M.; Morrissey, M.M. Synthesis and evaluation of a library of peptidomimetics based upon the β-turn. Tetrahedron 1997, 53, 6635–6644. [Google Scholar] [CrossRef]
- Burgess, K.; Lim, D.; Bois-Choussy, M.; Zhu, J. Rapid and efficient solid phase syntheses of cyclic peptides with endocyclic biaryl ether bonds. Tetrahedron Lett. 1997, 38, 3345–3348. [Google Scholar] [CrossRef]
- Tschcsche, R.; Kaufßmann, E.U.; Eckhardt, G. Alkaloide aus rhamnaceen, XVI. Über die struktur des zizyphins-a. Tetrohedron Lett. 1973, 28, 2577–2580. [Google Scholar] [CrossRef]
- Schmidt, U.; Lieberknecht, A.; Bökens, H.; Griesser, H. Total synthesis of zizyphin A and N-acetylzizyphin B. Angew. Chem. Int. Ed. Engl. 1981, 20, 1026–1027. [Google Scholar] [CrossRef]
- Lin, H.-Y.; Chen, C.H.; You, B.J.; Lin, K.C.S.C.; Le, S.-S. Cyclopeptide Alkaloids from Paliurus ramossisimus. J. Nat. Prod. 2000, 63, 1338–1343. [Google Scholar] [CrossRef] [PubMed]
- Toumi, M.; Couty, F.; Evano, G. Total synthesis of the cyclopeptide alkaloid paliurine E. Insights into Macrocyclization by Ene-Enamide RCM. J. Org. Chem. 2008, 73, 1270–1281. [Google Scholar] [CrossRef] [PubMed]
- Lexi-Comp Online. Medical Database; Lexi-Comp, Inc.: Hudson, OH, USA, 2013. [Google Scholar]
- Chen, S.C.A.; Slavin, M.A.; Sorrell, T.C. Echinocandin antifungal drugs in fungal infections: A Comparison. Drugs 2011, 71, 11–41. [Google Scholar] [CrossRef] [PubMed]
- Holt, S.L.; Drew, R.H. Echinocandins: Addressing outstanding questions surrounding treatment of invasive fungal infections. Am. J. Health Syst. Pharm. 2011, 68, 1207–1220. [Google Scholar] [CrossRef] [PubMed]
- Wiederhold, N.P.; Lewis, R.E. The echinocandin antifungals: An overview of the pharmacology, spectrum and clinical efficacy. Expert Opin. Investig. Drugs 2003, 12, 1313–1333. [Google Scholar] [CrossRef] [PubMed]
- McCauley, J.A.; McIntyre, C.J.; Rudd, M.T.; Nguyen, K.T.; Romano, J.J.; Butcher, J.W.; Gilbert, K.F.; Bush, K.J.; Holloway, M.K.; Swestock, J.; et al. Discovery of vaniprevir (MK-7009), a macrocyclic hepatitis C virus NS3/4a protease inhibitor. J. Med. Chem. 2010, 53, 2443–2463. [Google Scholar] [CrossRef] [PubMed]
- Song, Z.J.; Tellers, D.M.; Journet, M.; Kuethe, J.T.; Lieberman, D.; Humphrey, G.; Zhang, F.; Peng, Z.; Waters, M.S.; Zewge, D.; et al. Synthesis of vaniprevir (MK-7009): Lactamization to Prepare a 22-Membered Macrocycle. J. Org. Chem. 2011, 76, 7804–7815. [Google Scholar] [CrossRef] [PubMed]
- Seiwert, S.D.; Andrews, S.W.; Jiang, Y.; Serebryany, V.; Tan, H.; Kossen, K.; Rajagopalan, P.T.; Misialek, S.; Stevens, S.K.; Stoycheva, A.; et al. Preclinical Characteristics of the Hepatitis C Virus NS3/4A Protease Inhibitor ITMN-191 (R7227). Antimicrob. Agents Chemother. 2008, 52, 4432–4441. [Google Scholar] [CrossRef] [PubMed]
- Hinrichsen, H.; Benhamou, Y.; Wedemeyer, H.; Reiser, M.; Sentjens, R.E.; Calleja, J.L.; Forns, X.; Erhardt, A.; Cronlein, J.; Chaves, R.L.; et al. Short-term antiviral efficacy of BILN 2061, a hepatitis C virus serine protease inhibitor, in hepatitis C genotype 1 patients. Gastroenterology 2004, 127, 1347–1355. [Google Scholar] [CrossRef] [PubMed]
- Hong, H.; Huang, L.J.; Teng, D.W. A spirocyclic oxindole analogue: Synthesis and Antitumor Activities. Chin. Chem. Lett. 2011, 9, 1009–1012. [Google Scholar] [CrossRef]
- Huang, L.J.; Teng, D.W. An improved and scalable process for 3,8-diazabicyclo[3.2.1]octane analogues. Chin. Chem. Lett. 2011, 5, 523–526. [Google Scholar] [CrossRef]
- Cao, G.; Long, F.; Zhao, Y.; Wang, Y.; Huang, L.; Teng, D. Synthesis of spiropyrrolidinyl-benzoisothiazoline derivatives by 1,3-dipolar cycloaddition of benzoisothiazole-2,2-dioxide-3-ylidenes and azomethine ylide. Tetrahedron 2014, 70, 9359–9365. [Google Scholar] [CrossRef]
- Huisgen, R. 1,3-Dipor Cycloadditions. Past and Future. Angew. Chem. Int. Ed. 1963, 2, 565–598. [Google Scholar] [CrossRef]
- Rostovtsev, V.V.; Green, L.G.; Fokin, V.V.; Sharpless, K.B. A Stepwise Huisgen Cycloaddition Process: Copper(I)-Catalyzed Regioselective “Ligation” of Azides and Terminal Alkynes. Angew. Chem. Int. Ed. 2002, 41, 2596–2599. [Google Scholar] [CrossRef]
- Tornøe, C.W.; Christensen, C.; Meldal, M. Peptidotriazoles on Solid Phase: [1,2,3]-Triazoles by Regiospecific Copper(I)-Catalyzed 1,3-Dipolar Cycloadditions of Terminal Alkynes to Azides. J. Org. Chem. 2002, 67, 3057–3064. [Google Scholar] [CrossRef] [PubMed]
- Wang, Q.; Chan, T.R.; Hilgraf, R.; Fokin, V.V.; Sharpless, K.B.; Finn, M.G. Bioconjugation by Copper(I)-Catalyzed Azide-Alkyne [3+2] Cycloaddition. J. Am. Chem. Soc. 2003, 125, 3192–3193. [Google Scholar] [CrossRef] [PubMed]
- Wu, P.; Feldman, A.K.; Nugent, A.K.; Hawker, C.J.; Scheel, A.; Voit, B.; Pyun, J.; Fréchet, J.M.J.; Sharpless, K.B.; Fokin, V.V. Efficiency and Fidelity in a Click-Chemistry Route to Triazole Dendrimers by the Copper(I)-Catalyzed Ligation of Azides and Alkynes. Angew. Chem. Int. Ed. 2004, 43, 3928–3932. [Google Scholar] [CrossRef] [PubMed]
- Yoo, E.J.; Ahlquist, M.; Kim, S.H.; Bae, I.; Fokin, V.V.; Sharpless, K.B.; Chang, S. Copper-Catalyzed Synthesis of N-Sulfonyl-1,2,3-triazoles: Controlling Selectivity. Angew. Chem. Int. Ed. 2007, 46, 1730–1733. [Google Scholar] [CrossRef] [PubMed]
- Kumar, D.; Reddy, V.B.; Varma, R.S. A facile and regioselective synthesis of 1,4-disubstituted 1,2,3-triazoles using click chemistry. Tetrahedron Lett. 2009, 50, 2065–2068. [Google Scholar] [CrossRef]
- Zhang, L.; Chen, X.; Xue, P.; Sun, H.H.U.; Williams, I.D.; Sharpless, K.B.; Fokin, V.V.; Jia, G.J. Ruthenium-Catalyzed Cycloaddition of Alkynes and Organic Azides. J. Am. Chem. Soc. 2005, 127, 15998–15999. [Google Scholar] [CrossRef] [PubMed]
- Boren, B.C.; Narayan, S.; Rasmussen, L.K.; Zhang, L.; Zhao, H.; Lin, Z.; Jia, G.; Fokin, V.V. Ruthenium-Catalyzed Azide—Alkyne Cycloaddition: Scope and Mechanism. J. Am. Chem. Soc. 2008, 130, 8923–8930. [Google Scholar] [CrossRef] [PubMed]
- Rasmussen, L.K.; Boren, B.C.; Fokin, V.V. Ruthenium-Catalyzed Cycloaddition of Aryl Azides and Alkynes. Org. Lett. 2007, 9, 5337–5339. [Google Scholar] [CrossRef] [PubMed]
- Wu, P.; Fokin, V.V. Catalytic azide-alkyne cycloaddition: Reactivity and applications. Aldrichim. Acta 2007, 40, 7–17. [Google Scholar] [CrossRef]
- Kelly, A.R.; Wei, J.; Kesavan, S.; Marié, J.-C.; Windmon, N.; Young, D.W.; Marcaurelle, L.A. Accessing Skeletal Diversity Using Catalyst Control: Formation of n and n + 1 Macrocyclic Triazole Rings. Org. Lett. 2009, 11, 2257–2260. [Google Scholar] [CrossRef] [PubMed]
- Grubbs, R.H. Handbook of Metathesis; Wiley-VCH: Weinheim, Germany, 2003. [Google Scholar]
- Fürstner, A.; Langemann, K. Conformationally Unbiased Macrocyclization Reactions by Ring Closing Metathesis. J. Org. Chem. 1996, 61, 3942–3943. [Google Scholar] [CrossRef] [PubMed]
- Kulkarni, A.K.; Diver, S.T. Ring Synthesis by Stereoselective, Methylene-Free Enyne Cross Metathesis. J. Am. Chem. Soc. 2004, 126, 8110–8111. [Google Scholar] [CrossRef] [PubMed]
- Fürstner, A.; Davies, P.W. Alkyl methathesis. Chem. Commun. 2005, 18, 2307–2320. [Google Scholar] [CrossRef] [PubMed]
- Gradillas, A.; Pérez-Castells, J. Macrocyclization by Ring-Closing Metathesis in the Total Synthesis of Natural Products: Reaction Conditions and Limitations. Angew. Chem. Int. Ed. 2006, 45, 6086–6101. [Google Scholar] [CrossRef] [PubMed]
- Illuminati, G.; Mandolini, L. Ring closure reactions of bifunctional chain molecules. Acc. Chem. Res. 1981, 14, 95–102. [Google Scholar] [CrossRef]
- Galli, L.C.; Mandolini, L. The Role of Ring Strain on the Ease of Ring Closure of Bifunctional Chain Molecules. Eur. J. Org. Chem. 2000, 18, 3117–3125. [Google Scholar] [CrossRef]
- Conrad, J.C.; Eelman, M.D.; Silva, J.A.D.; Monfette, S.; Parnas, H.H.; Snelgrove, J.L.; Fogg, D.E. Oligomers As Intermediates In Ring-Closing Metathesis. J. Am. Chem. Soc. 2007, 129, 1024–1025. [Google Scholar] [CrossRef] [PubMed]
- Sample Availability: Samples of the compounds 16–39 are available from the authors.
© 2016 by the authors. Licensee MDPI, Basel, Switzerland. This article is an open access article distributed under the terms and conditions of the Creative Commons by Attribution (CC-BY) license ( http://creativecommons.org/licenses/by/4.0/).
Share and Cite
Cao, G.; Yang, K.; Li, Y.; Huang, L.; Teng, D. Synthetic Strategy and Anti-Tumor Activities of Macrocyclic Scaffolds Based on 4-Hydroxyproline. Molecules 2016, 21, 212. https://doi.org/10.3390/molecules21020212
Cao G, Yang K, Li Y, Huang L, Teng D. Synthetic Strategy and Anti-Tumor Activities of Macrocyclic Scaffolds Based on 4-Hydroxyproline. Molecules. 2016; 21(2):212. https://doi.org/10.3390/molecules21020212
Chicago/Turabian StyleCao, Guorui, Kun Yang, Yue Li, Longjiang Huang, and Dawei Teng. 2016. "Synthetic Strategy and Anti-Tumor Activities of Macrocyclic Scaffolds Based on 4-Hydroxyproline" Molecules 21, no. 2: 212. https://doi.org/10.3390/molecules21020212
APA StyleCao, G., Yang, K., Li, Y., Huang, L., & Teng, D. (2016). Synthetic Strategy and Anti-Tumor Activities of Macrocyclic Scaffolds Based on 4-Hydroxyproline. Molecules, 21(2), 212. https://doi.org/10.3390/molecules21020212






