Abstract
Results of research into four-membered 2-halo-1,2λ5-oxaphosphetane phosphorus(V)-heterocycles are presented. The preparation of 2-halo-1,2λ5-oxaphosphetanes by reaction of P-haloylides with carbonyl compounds is described. The mechanism of asynchronous [2+2]-сycloaddition of ylides to aldehydes was proposed on the base of low-temperature NMR investigations. 2-Halo-1,2λ5-oxaphosphetanes were isolated as individual compounds and their structures were confirmed by 1Н-, 13C-, 19F- and 31Р-NMR spectra. These compounds are convenient reagents for preparing of various organic and organophosphorus compounds hardly available by other methods. Chemical and physical properties of the 2-halo-1,2λ5-oxaphosphetanes are reviewed. The 2-chloro-1,2λ5-oxaphosphetanes, rearrange with formation of 2-chloroalkyl-phosphonates or convert into trans-phosphorylated alkenes depending on the substituents at the α-carbon atom. Prospective synthetic applications of 2-halo-1,2λ5-oxaphosphetanes are analyzed. The 2-halo-1,2λ5-oxaphosphetanes may be easily converted to various alkenylphosphonates: allyl- or vinylphosphonates, phosphorus ketenes, thioketenes, ketenimines.
1. Introduction
One of the most interesting and intriguing classes of organophosphorus compounds are the 1,2-oxaphosphetanes—four-membered heterocycles containing pentacoordinated phosphorus [1,2,3,4,5,6,7]. Since 1,2-oxaphosphetanes are well-known intermediates in the Wittig reaction, a number of efforts have been made for their structural characterization both in solution and the solid state [8,9,10,11,12,13].
In 1967, Birum and Matthews had already reported the structural characterization (NMR and X-ray study) of the first isolated 1,2-oxaphosphetane 1. Compound 1 was prepared in 76% yield by allowing hexaphenylcarbodiphosphorane to react with hexafluoroacetone in dry diglyme [14] (Scheme 1).
Scheme 1.
First representative of stable 1,2-oxaphosphetanes isolated by Birum and Matthews.
Vedejs [3,4] succeeded in detecting of 1,2-oxaphosphetanes 2–4 by low temperature NMR spectroscopy during typical Wittig reactions and observed that these intermediates readily decompose upon warming to room temperature into alkenes and phosphine oxides (Scheme 2).
Scheme 2.
1,2-oxaphosphetanes 2–4 registered by low temperature NMR spectroscopy.
Schmutzler and co-workers reported several stabilized bis(trifluoromethylated) oxaphosphetanes 5, 6 (Scheme 3) [15] which were characterized by NMR, MS spectra and X-ray analysis. At room temperature Berry-pseudorotation was fast on the NMR time scale, impeding one from distinguishing apical and equatorial P-CF3 groups. Decreasing the temperature to −60 °C in toluene-d8 allowed resolving the signals for all CF3 groups of molecule 7 [16].
Scheme 3.
Stabilized bis(trifluoromethylated) oxaphosphetanes 5,6.
Kojima [17] reported the interesting anti-apicophilic spirophosphorane 8 bearing an oxaphosphetane ring. The structure of compounds 8 was confirmed by X-ray diffraction. Crystallization from hexane gave the pure anti-apicophilic derivative. Stereomutation of compound 8 was observed in the presence of acids and slowed down when DBU was present, suggesting that the isomerization into 9 is rather the result of a P–O bond breaking-recombination process. Evidently, this conversion represents an example of a thermodynamically stable oxaphosphetanes, in which pseudorotation is faster than alkene formation (Scheme 4).
Scheme 4.
Stereomutation of anti-apicophilic oxaphosphetane 8.
Most of the previously reported stable oxaphosphetane structures contain fluorine-bearing or bicyclic phosphole-type ligands either at the phosphorus position or at the 4 position in the oxaphosphetane ring 10, 11 [15,16,17,18,19,20]. Recently, Streubel and coworkers have prepared the first 1,2-oxaphosphetane complexes 12 formally similar to traditional oxaphosphetanes, using low-temperature ring expansion of epoxides with a Li/Cl phosphinidenoid complex [18] (Scheme 5).
Scheme 5.
Oxaphosphetanes stabilized by CF3 groups 10,11 and 1,2-oxaphosphetane complex 12.
Gilheany studied oxaphosphetane intermediates in the Wittig reaction by variable-temperature NMR spectroscopy [9,10,11]. Compound 13 was obtained by low-temperature acid quenching of the Wittig reaction of ylide with benzaldehyde, a suitable representative aromatic aldehyde (see Scheme 6). The major diastereomer was the syn-13 on the basis that the unquenched Wittig reaction gives the (Z)-alkene as the major product. In this manner, the syn/anti ratio of 13 was 89:11.
Scheme 6.
Stereospecific decomposition of oxaphosphetane 13.
Keglevich reported detection of enantiomers of P-stereogenic pentacoordinated phosphorus compounds [20]. Detailed 31P-NMR investigations of oxaphosphetes in optically active solvents have clearly shown that the most electronegative substituents (e.g., oxygen) prefers the apical position in a trigonal bipyramidal structure and that the pentacoordinated phosphorus atom is in a dynamic condition due to pseudorotation. Berger and coworkers found that 2-furyl groups on the phosphorus atom increase the thermal stabilities of oxaphosphetanes and succeeded in isolation and determination of the X-ray structure of tris(2-furyl) substituted oxaphosphetane, the stability of which is attributed to the electron-withdrawing properties of the 2-furyl group [21].
Among the stable oxaphosphetanes [1,2,3,4,5,6,7,8,9,10,11,12,13,14,15,16,17,18,19,20,21,22], 2-halo-1,2λ5-oxaphosphetanes 14, which possess relatively high stability and diverse reactivity, attract particular interest [23,24,25,26,27,28,29,30,31,32,33,34,35,36,37,38] (Scheme 7). These oxaphosphetanes containing fluorine, chlorine or bromine atoms bonded to phosphorus are an interesting class of pentacoordinated phosphorus heterocycles possessing peculiar properties. The chemical properties of 2-halo-1,2λ5-oxaphosphetanes, first of all of P-chloro- and P-fluoroylides, due to the presence of a labile halogen atom on phosphorus, are very specific and differ from the properties of triphenylphosphonium ylides. For example, reactions and conversions of 2-halo-1,2λ5-oxaphosphetanes proceed with preservation of the P-C bond and leads to the formation of different organophosphorus compounds. In addition, this type of compounds exhibit also physico-chemical properties uncharacteristic for traditional P,P,P-triorganosubstituted oxaphosphetanes. For the first time the 2-halo-1,2λ5-oxaphosphetanes were prepared in our laboratory almost twenty years ago and up to today we and some other authors are still studying their chemistry. In this article, we summarize the synthesis and properties of this type of organophosphorus compounds. The chemistry of 2-halo-1,2λ5-oxaphosphetanes was not previously analyzed, generalized or reviewed.
Scheme 7.
Examples of stable oxaphosphetanes.
2. Results and Discussion
2.1. General Description
Since pentacoordinated phosphoranes formally have 10 electrons in the valence shell, they display a specific bonding model. Therefore pentacoordinated phosphoranes take a trigonal bipyramidal structure and there are two ligating sites, apical and equatorial sites. The apical bond consists of three-center four-electron bond using the p orbital of the central phosphorus atom, while the equatorial bond is a typical s bond using sp2 hybrid orbital of the phosphorus atom. This three-center four-electron bond forms three molecular orbitals.
It is generally known that pentacoordinated phosphoranes rapidly undergo intramolecular positional isomerization without bond cleavage. A very rapid non-dissociative intramolecular site exchange is usually explained by the Berry pseudorotation mechanism [19,22,23].
The 2-halo-1,2λ5-oxaphosphetanes (halogen = chlorine, bromine, fluorine) are the most stable representatives of this type of compounds. They can be purified by distillation under vacuum and stored in a refrigerator. At the same time they possess interesting chemical properties and participate in various chemical transformations [24,25,26,27,28].
The stability of 2-halo-oxaphosphetanes changes in the same sequence of substituents R4 at the endocyclic carbon atoms at position 4. The most stable are compounds containing strong electron-accepting groups at C(4), drawing off electron density from the oxygen atom as a result of which the three-centre apical bond O—P—Hal is strengthened. Chloro-oxaphosphetanes, having less electron-accepting substituents at C(4), are dissociated to a large extent and correspondingly are converted into vinylphosphine oxides at room temperature.
2.2. Synthesis of 2-Halo-1,2λ5-oxaphosphetane
Available methods for the synthesis of 2-halo-1,2λ5-oxaphosphetanes can be used for investigation of the reaction mechanism of phosphorus ylides with carbonyl compounds as well as for preparing stable oxaphosphetanes that can be used as reactants for organic synthesis. The 2-halo-1,2λ5-oxaphosphetanes were prepared by reaction of P-fluoro-, chloro- or bromoylides with carbonyl compounds. P-Chloro- and P-bromoylides react with active ketones, containing a trifluoromethyl group, with the formation of stable [2+2]-cycloaddition products, 2-chloro- or 2-bromo-1,2λ5-oxaphosphetenes 14 were isolated in yields close to quantitative as crystalline substances or as liquids distillable in vacuum (Scheme 8, Table 1) [29,30,31,32,33,34,35,36,37,38,39,40,41,42].
Scheme 8.
Synthesis of 2-halo-1,2λ5-oxaphosphetanes. Hlg = F, Cl, Br; R1 = Alk, Ph; CR2R3 = CH2, CHAlk, CAlk2, CHPh, CHSiMe3, CCl2, CBr2; CR4R5 = C=O, CNPh, CHAlk, CAlk2, CHPh, CPh2, CH2CH = CH2.
Table 1.
2-Chloro- and 2-bromo-1,2λ5-oxaphosphetanes.
The addition of P-halogen-ylides to ketones proceeded stereoselectively and led predominantly to the formation of one of the possible 2-halo-1,2λ5-oxaphosphetane diastereomers. 2-Halo-1,2λ5-oxaphosphetanes dissociate at the P-halogen bond in solution with the formation of cyclic phosphonium salts, as a result of which an equilibrium is established between the forms with five- and four-coordinate phosphorus atoms. Dissociation of 2-halo-1,2λ5-oxaphosphetanes is enhanced by reducing the electron-accepting properties of substituents and also by increasing priority solvent. The 2-halo-1,2λ5-oxaphosphetanes containing electron-accepting groups at C(4) are distinctly stabler than oxaphosphetanes with alkyl groups in this position [25,26,27].
The reaction of P-bromomethylides with fluorinated acetophenone afforded in high yield oxaphosphetanes 15, which were isolated as crystalline compounds (Scheme 9 and Table 1, entries 10–13). The compounds 15 exist in solution as cyclic phosphonium salt.
Scheme 9.
Ionized form of 2-bromo-1,2λ5-oxaphosphetanes 15.
At the same time the 2-chloro-1,2λ5-oxaphosphetanes 16 exist as mixture of P(IV) and P(V)-forms. These compounds can be distilled under vacuum and dissolved in non-polar solvents (benzene) (Scheme 10 and Table 1, entries 1–9). Reaction of P-Fluoroylids with aldehydes and ketones proceeds in ether or pentane at −40–−20 °С and leads to the formation of stable 2-fluoro-1,2λ5-oxaphosphetanes 17 (Scheme 11 and Table 2).
Scheme 10.
P(IV) and P(V)-forms of 2-chloro-1,2λ5-oxaphosphetane 16.
Scheme 11.
2-Fluoro-1,2λ5-oxaphosphetane 17.
Table 2.
2-Fluoro-1,2λ5-oxaphosphetanes [26,32,37].
The compounds 17 are liquids distilling in vacuo, the structure of which was proved by means of mass and NMR spectra. The 31Р-NMR spectra of 2-fluoro-oxaphosphetanes 17 present doublets with 800 Hz 1JРF constants in the high magnetic field of a NMR spectrum at −37–−8 ppm. This corresponds to a pentacoordinate state of compounds 17 [24,26,27,28,29,30,31]. Tetracoordinated forms of 2-fluoro-oxaphosphetanes 17 were not registered by 19F- and 31P-NMR spectroscopy (Scheme 11).
C-Silyl-P-chloroylides 18 react with carbonyl compounds to afford 2-chloro-1,2λ5-oxaphosphetanes 19. The oxaphosphetanes 19 bearing an electronegative CF3 substituent at С-4 are relatively stable and can be isolated and analyzed by NMR (Scheme 12). The NMR spectra of these compounds reveal signals at 0.2 ppm, singlet (Me3Si), at 2 ppm, doublet, 3JPH 18.0 Hz (С3Н), and at 4.5 ppm (С4Н). 13С-NMR signals of С-3 and С-4 carbons were found at 30 and 90 ppm, correspondingly. The 31P-NMR signals of 2-chloro-1,2λ5-oxaphosphetanes 19 at δP +48 ppm (R1 = i-PrO) and at δP = 60 ppm (R1 = Et2N) correspond to tetracoordinate phosphorus included in four-membered phosphetane cycle (Table 1) [25,32].
Scheme 12.
Silylated 2-halogene-1,2λ5-oxaphosphetanes 19.
Sotiropulos and Bertrand [33] reported the addition of phosphacumulene ylides 20 bearing the diazo group to isocyanates, leading to the formation of products 22. It was proposed that initial nucleophilic attack of the ylide carbon atom on the carbonyl carbon gives a oxaphosphetane 21, which depending on the relationship of the oxygen atom (or NR group) to nitrogen or phosphorus rearranges into products of 1,4- or 1,5-cyclisation 22 (Scheme 13). Benzaldehyde gives the 2-chlorooxaphosphetane 23 with the ylide 20 which readily eliminates hydrogen chloride and a nitrogen molecule being converted into an acetylene phosphonate 24 (Scheme 14).
Scheme 13.
Adduct of phosphacumulene-ylide 20 with isocyanate.
Scheme 14.
Reaction of phosphacumulene-ylide 20 with benzaldehyde.
A number of 2-fluoro-1,2λ5-oxaphosphetanes 25 were prepared by reaction of P-fluoroylides with aldehydes and ketones (Scheme 15, Table 2). The 2-fluoro-1,2λ5-oxaphosphetanes 25 are stable compounds, which can be isolated and purified by distillation under vacuum or by crystallization from non-polar solvents. These compounds are much distinguished from unstable adducts of carbonyl compounds with triphenylphosphonium ylides. Cycloadducts of P-fluoroylides with carbonyl compounds, 2-fluoro-1,2λ5-oxaphosphetanes, are also much more stable than 2-chloro- or 2-bromo-1,2λ5-oxaphosphetanes [25,26,27,28,29,30,31].
Scheme 15.
Synthesis of 2-fluoro-1,2λ5-oxaphosphetanes 25. R1 = Alk, Ph; CR2R3 = CH2, CHAlk, CAlk2, CHPh, CHSiMe3, CCl2, CBr2; CR4R5 = C=O, CNPh, CHAlk, CAlk2, CHPh, CPh2, CH2CH = CH2.
The stability of 2-fluoro-oxaphosphetanes is explained by the high electronegativity of the fluorine atom, compared to the electronegativities of chlorine and bromine. The P-F bond in 2-fluoro-1,2λ5-oxaphosphetanes is very strong, and, therefore, these compounds do not dissociate with formation of cyclic phosphonium salts, what is observed, for example, with 2-chloro-1,2λ5-oxaphosphetanes. Various stable 2-fluoro-1,2λ5-oxaphosphetanes were synthesized, isolated as pure specimens, and characterized (Table 2). Typical representatives of such compounds 26–29 are shown in Scheme 16, Scheme 17 and Scheme 18 [26,29].
Scheme 16.
The simplest representatives of 2-Fluoro-1,2λ5-oxaphosphetanes 26,27.
Scheme 17.
2-Fluoro-1,2λ5-oxaphosphetane 28.
Scheme 18.
2-Fluoro-1,2λ5-oxaphosphetane 29.
The 31P-NMR spectra of compounds 25 show a doublet at −6 to −45 ppm with 760–850 Hz PF coupling constants appropriate for axial fluorine atoms. The 31P-NMR spectra of 2-fluoro-1,2λ5-oxaphosphetanes exhibit a doublet in the range −6 to −45 ppm, belonging to the five-coordinate phosphorus with corresponding coupling constants on axial fluorine atoms (760–850 Hz). The 19F-NMR spectra of 2-fluoro-1,2λ5-oxaphosphetanes exhibit doublets with the same PF coupling constants.
The P,P-difluoroylides 30 react with aldehydes and active ketones to afford the stable oxaphosphetanes 31 bearing two fluorine atoms at the phosphorus (Scheme 19) [34,35,36]. The compounds 31 (R=CF3) were distilled under reduced pressure without decomposition and were characterized by means of NMR spectroscopy.
Scheme 19.
2,2-Difluoro-1,2λ5-oxaphosphetanes 31.
The 19F-NMR spectra contain two double doublets at −47 and −65 ppm with expected coupling constants for the axial and equatorial fluorine atoms: 1JPFa = 915 Hz, 1JPFe = 1025 Hz, and 2JFaFe = 62 Hz. Apparently [2+2]-cycloaddition of the C=O group to the ylide 15 proceeds with high stereoselectivity, because the 19F- and 31P-NMR spectra show the signals belonging to the single diastereomer of the compounds 31. The signals of the second diastereomer, the existence of which one can suppose as a consequence of the presence of two asymmetric endocyclic C-3 and C-4 carbon atoms are absent. The 13C-NMR spectra reveal the presence of the signals at 62.5 ppm (1JCP = 150 Hz, 2JCF = 53 Hz) and 75.6 ppm due to the C-3 and C-4 carbon atoms in complete accordance with the assigned structure of oxaphosphetane (Figure 1 and Figure 2).
Figure 1.
31P-NMR spectrum of 2-(diethylamino)-2,2-difluoro-4-tolyl-3-propyl-4-(trifluorophenyl-1,2λ5-oxaphosphetane 31 (See Table 2, entry 15).
Figure 2.
19F-NMR spectra of 2-(diethylamino)-2,2-difluoro-4-tolyl-3-propyl-4-(trifluorophenyl-1,2λ5-oxaphosphetane 31 (see Table 2, entry 15).
P-Fluoroylides add easily isocyanates, carbon dioxide and carbon disulfide with formation of oxaphosphetanes 32–35. For example, the reaction of P-fluoroylides with phenyl isocyanate resulted in the formation of 2-fluorooxaphosphetane 34 which was stable during several hours at ambient temperature. Compound 34 was purified by crystallization in pentane and isolated as colorless crystalline matter. In IR spectra of compounds was found the strong band at 1730 cm−1 belonging to the C=O bond in a four-membered cycle. The 31Р-NMR spectra disclosed a doublet with constant 1JPF = 780 Hz and a doublet with the same constant in 19F-NMR spectra. The oxaphosphetanes 32–35 convert at room temperature slowly and at heating quickly into phosphorylated heterocumulenes (ketenes, thioketenes, ketenimines, see Scheme 20) [29,37,38,39].
Scheme 20.
Addition of heterocumulenes (X=C=Y) to P-fluoroylides.
2.3. Properties of Oxaphosphetanes
The cycloaddition of P-halogenylides to aldehydes and ketones proceeds stereoselectively and leads predominantly to the formation of one of the possible diastereomers of 2-halo-1,2λ5-oxaphosphetanes (Table 1 and Table 2). P-Haloylides (chloro- and bromo) react stereoselectively with aldehydes to give predominantly single diastereoisomers of 2-halo-oxaphosphetanes, bearing asymmetric endocyclic C-3 and C-4 carbon atoms (dr ~7:1–15:1). It was established by NMR that the ratio of diastereoisomers of 2-halooxaphosphetanes containing asymmetric atoms at C(3) and C(4) was within the limits ~99:1–90:10. The ratio of diastereomers after completion of the reaction was approximately 6:4–9:1. However on heating, as a result of permutational changes in the molecule, the ratio of diastereomers grew in favour of the thermodynamically more stable diastereomer. 2-Fluoro- and 2-chloroxaphosphetanes containing chiral phosphorus or endocyclic carbon atoms exist as mixtures of diastereomers whose ratio depends on the nature of the starting reagents (Scheme 21). The diastereomeric purity of the compounds, assessed by NMR spectroscopy, was 80%–96%. The reaction of α,α,α-trifluoroacetophenone with P,P-difluoroylides proceeded with very high stereo-selectivity to furnish only one diastereomer of compound. At the same time 2-halo-1,2λ5-oxa-phosphetanes bearing asymmetric phosphorus atom are formed with low stereoselectivity (dr~ 3:1).
Scheme 21.
Diastereomeric composition of 2-chloro- and 2-fluoro-1,2λ5-oxaphosphetanes.
The reaction of P-halogenylides with aldehydes leads to the formation of an erythro-oxaphosphetanes with the oxygen in the apical position, because of the tendency of electron-acceptor atoms to occupy this position [40]. The preferred orientation of the transition state leading to the erythro-oxaphosphetane is stereoselective approach of the ylide nucleophilic center to the carbonyl group at an angle of 107°, with the double bonds of both reagents arranged in one plane. This was associated with the Burgi-Dunitz trajectory concept (Scheme 22) [41]. The first step of reaction stereoselectively leads to the formation of the betaine B. The conversion of reagents into oxaphosphetane requires minimum energy when it proceeds with the non-synchronous formation of bonds between the carbonyl and ylidic carbon atoms. On the second step the betaine converts into oxaphosphetane C with low stereoselectivity, because of free rotation around of the P-C bond [28,42]. This mechanism of asynchronous addition of P-haloylides to carbonyl compounds was confirmed by low temperature NMR investigations. The reaction of di-tert-butylсhlorphosphonium methylide with Ph(CF3)C=O was studied by 31Р-NMR at low temperature (−70–0 °C) in diethyl ether solution. At −70 °С was found only a decreasing signal of P-chloroylide (+114 ppm) and a growing signal of 2-chloro-1,2λ5-oxaphosphetane (+9.9 ppm). The signal which could be referred to betaine was not found, probably, because of the high speed of betaine cyclisation into 2-chloroxaphosphetane. However the reaction of tert-butyl(diethylamino)chlorophosphonium methylide with benzaldehyde began at −70 °С and led to the formation of erythro-betaine which was registered by increasing signal δP +106 ppm, located in more weaker field than the signal of initial P-chloroylide (+102 ppm) (Figure 3). The betaine formation was proceeded stereoselectively as in the 31P-(1Н-)NMR spectrum only one diastereomer signal was registered. The rise of temperature to −50 °С led to the formation of two signals of threo and erythro-oxaphosphetane diastereomers δР + 92.6 and +84.6 ppm in the ratio of 2:1. Evidently, the formation of diastereomers proceeded via SN2@P substitution with inversion of configuration at the phosphorus atom [43]. The formation of isomers indicates on the nucleophilic substitution at asymmetric tetracoordinate phosphorus atom, proceeding with partial inversion of configuration. At −50–−40 °С the oxaphosphetane was converted into 2-chloralkylphosphine oxide, which was also formed as two threo- and erythro-diastereomers in the ratio of 2:1 (δР +48.7 and +49.2 ppm). The conversion was completed at −20 °С. The threo- and erythro diastereomers were separated and isolated in pure state by chromatography and crystallization (m.p. 100 and 123 °С, see Table 3, entries 13, 14). Although at present many of the puzzling features about the reaction mechanism of ylides phosphorus with carbonyl compounds have been clarified, it seems there is no general mechanism, which could explain the progress of the reaction, transition states and stereochemistry. Nevertheless in case of P-chloroylide addition to aldehydes, on the basis of presented above stereochemical researches the asynchronous [2+2]-сycloaddition seems to be the most likely mechanism.
Scheme 22.
Mechanism of asynchronous [2+2]-сycloaddition of P-chloroylide to benzaldehyde.
Figure 3.
31P-(1Н-)NMR monitoring of the reaction of ylide a with PhCHO leading via the formation of betaine b, and oxaphosphetane c to the formation of β-chloroalkylphosphonates d and d′.
2-Halo-oxaphosphetanes exist in pentacoordinate form, but ionize under certain conditions with formation of tetracoordinate forms. In the mass spectra of 2-chlorooxaphosphetanes the peak of molecular ion was observed that indicated the covalent character of the P–Cl bond. All oxaphosphetanes show methyl carbons with lJPC values characteristic of equatorial placement in the trigonal bipyramid. The resonances of the methylene carbons of the phosphetane ring system lay downfield of the methyl carbons and the large measured lJPC values indicate equatorial placement. The four-membered ring is occupying an apical-equatorial plane where the O-P-C angle is 90°, and never a diequatorial plane or a diapical plane where the O-P-C angle would have to be 120 or 180°, respectively.
In the 1H-NMR spectra of the 2-halooxaphosphetanes possessing asymmetric carbon atom C4 the magnetic nonequivalence of protons СНaНb in the four-membered ring became apparent because the geminal spin-spin interaction arose between them. Each of the signals СНa and СНb was the double doublet with the coupling constant with phosphorus nucleus 2JPH = 20–22 Hz and a constant of geminal interaction 2JHH = 16–17 Hz. The chemical shifts 31P of 2-halogenoxaphosphetanes depended on the polarity of the solvent. Thus, in nonpolar solvents (diethyl ether, pentane) the signals of δP are located in the strong field of the 31P-NMR spectrum (from −3 to 10 ppm) that corresponds to the pentacoordinated state of the phosphorus atom. In polar solvents and especially in the presence of Lewis acids, like AlCl3, the values of δP were shifted downfield. For example, for 2-chloro-oxaphosphetanes the chemical shift of phosphorus, δP was as follows (ppm): 9 (pentane), 22 (СН2С12), 30 (СНС13), 35 (СН3СN), 45 (СНС13 + А1С13 (traces)). With the increase in amount of aluminum chloride up to equimolar level the value of δP 100 ppm was registered for 2-chlorooxaphosphetanes that was in accordance with the values of chemical shifts for the known alkoxyphosphonium salts and apparently indicated complete ionization of chlorophosphorane with the formation of phosphonium salt. The dependence of the chemical shift value of phosphorus in 2-chlorooxaphosphetanes on the solvent polarity and on the presence of Lewis acid is in accordance with the published data showing that chlorophosphoranes can be ionized with the formation of phosphonium structures. Herewith in the 31P-NMR spectrum the resultant signal is registered due to fast exchange in the phosphorus coordination 15A
15B. The value of δP is shifted downfield proportionally to the increase in the phosphonium structure content, which in its turn depends on the solvent polarity. Substitution of electron withdrawing CF3 group at C4 atom by hydrogen atom destabilizes the oxaphosphetane cycle and considerably reinforces the ionization of Р-С1 bond. The stability of 2-halogenoxaphosphetanes decreases, and positive values δР and ionization of Р-С1 bond increases in the sequence of substituents at С4 atom: СF3 > С6Н4F-4 >-C6N5 > С6Н4ОMе > H (Table 4) [25,30,31]. Chemical shifts of phosphorus in 2-bromo-1,2λ5-oxaphosphetanes (δР = +20–+75 ppm) were in the weaker fields relatively to chemical shifts of chloro-oxaphosphetanes. Evidently high positive values δР of 2-bromoxaphosphetanes is undoubtedly explained by bigger, than in case of 2-chlorooxaphosphetanes, contribution of phosphonium forms 15B in the equilibrium 15A
15B.
15B. The value of δP is shifted downfield proportionally to the increase in the phosphonium structure content, which in its turn depends on the solvent polarity. Substitution of electron withdrawing CF3 group at C4 atom by hydrogen atom destabilizes the oxaphosphetane cycle and considerably reinforces the ionization of Р-С1 bond. The stability of 2-halogenoxaphosphetanes decreases, and positive values δР and ionization of Р-С1 bond increases in the sequence of substituents at С4 atom: СF3 > С6Н4F-4 >-C6N5 > С6Н4ОMе > H (Table 4) [25,30,31]. Chemical shifts of phosphorus in 2-bromo-1,2λ5-oxaphosphetanes (δР = +20–+75 ppm) were in the weaker fields relatively to chemical shifts of chloro-oxaphosphetanes. Evidently high positive values δР of 2-bromoxaphosphetanes is undoubtedly explained by bigger, than in case of 2-chlorooxaphosphetanes, contribution of phosphonium forms 15B in the equilibrium 15A
15B.
Table 4.
Effect of solvent on δP of 2-chloro and 2-bromo-1,2λ5-oxaphosphetanes.
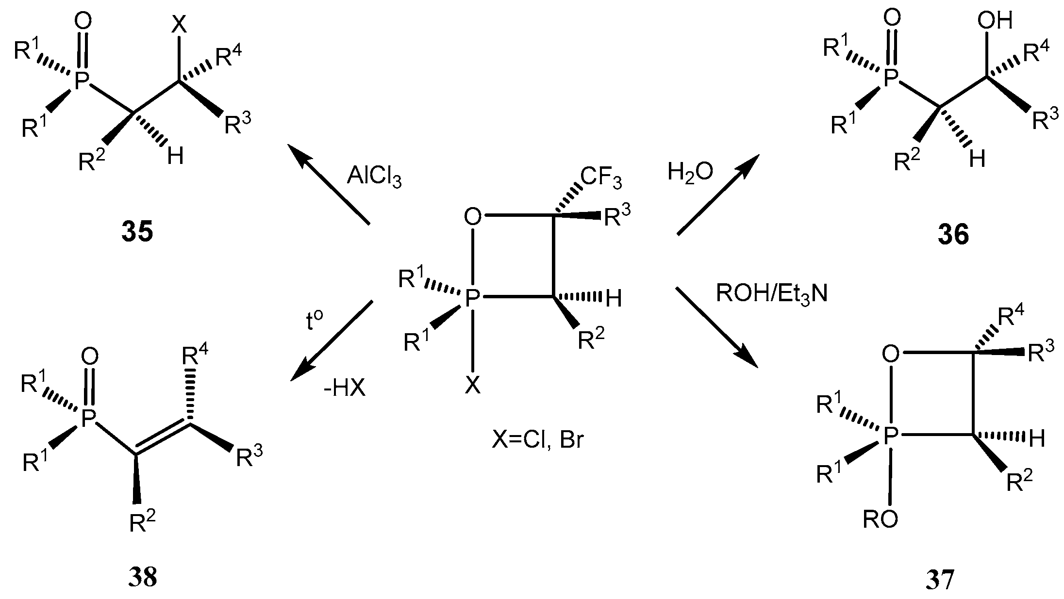
2-Chloro-1,2λ5-oxaphosphetanes enter into a number of interesting chemical conversions. Thus, 2- chloro-1,2λ5-oxaphosphetanes as a result of [1,3]-migration of chlorine atom to carbon atom underwent 2-chlorooxaphosphetane-2-chlorooxyphosphine oxide rearrangement to convert into the 2-chlorooxyphosphine oxides 35. Thermal stability of 2-chloro-1,2λ5-oxaphosphetanes was decreased in case of oxaphosphetanes which not contain at С4 atom strong acceptor substituents, which rearranged into chloroalkylphosphonates at room temperature (Table 3). At heating 2-chloralkylphosphine oxides yield vinylphosphine oxides 38. Hydrolysis of 2-chloro- and bromo-oxaphosphetanes led to the formation of 2-hydroxyalkylphosphine oxides 36 (Table 5). The chlorine atom of 2-сhloro-1,2λ5-oxaphosphetanes is easily substituted on methoxy- or phenoxy groups by reaction with methanol or phenol in the presence of triethylamine with formation of 2-alkoxyoxaphosphetanes 37, which at heating were converted into alkenes (Scheme 23, Table 1, entries 14, 15) [27,42].
Scheme 23.
Chemical reactions of 2-chloro and 2-bromo-1,2λ5-oxaphosphetanes.
The 2-chloro-1,2λ5-oxaphosphetanes not containing electron accepting groups at C-3 are unstable and rearrange easily into 2-cloroalkylphosphonates at temperature below +20 °C. The oxaphophetanes bearing at C4 electronegative CF3 groups convert into vinylphosphonates with elimination of hydrogen chloride at heading up to 150–160 °C. 2-Bromooxaphosphetanes are less stable than 2-chlorooxaphosphetanes and are converted into vinylphosphine oxides at room temperature. At heating (160–190 °С) 2-chloralkylphosphine oxides eliminate HCl to convert into vinylphosphine oxides (Scheme 24) [27,28,29,42].
Scheme 24.
2-Chloro-1,2λ5-oxaphosphetane-2-chloroalkylphosphonate rearrangement.
The oxaphosphetanes bearing a trimethylsilyl group at C-3 atom eliminate the trimethylchlorosilane moiety and convert into the phosphorylated alkenes 38. The conversion of oxaphosphetanes into alkenephosphonates proceeds at room temperature slowly, and at heating faster to give the alkenes 38 in good yields (Scheme 25). The phosphorylated alkenes 38 were purified by distillation under vacuum and isolated as pure compounds. The reaction of ylides 14 with aldehydes is regioselective. For example, the oxaphosphetanes obtained by reaction of silylated P-chloroylide 5 with terephthalic aldehyde depending on a ratio of initial reactants led to the formation of 1,4-bis-vinylphosphonobenzene or phosphonovinylbenzaldehyde, that represent interest as reactants for organic synthesis (See Table 6, entries 10, 11) [13,18,19,20].
Scheme 25.
Conversions of 2-chloro-1,2λ5-oxaphosphetanes 14.
Table 6.
Vinylphophonates 38 (Scheme 25).
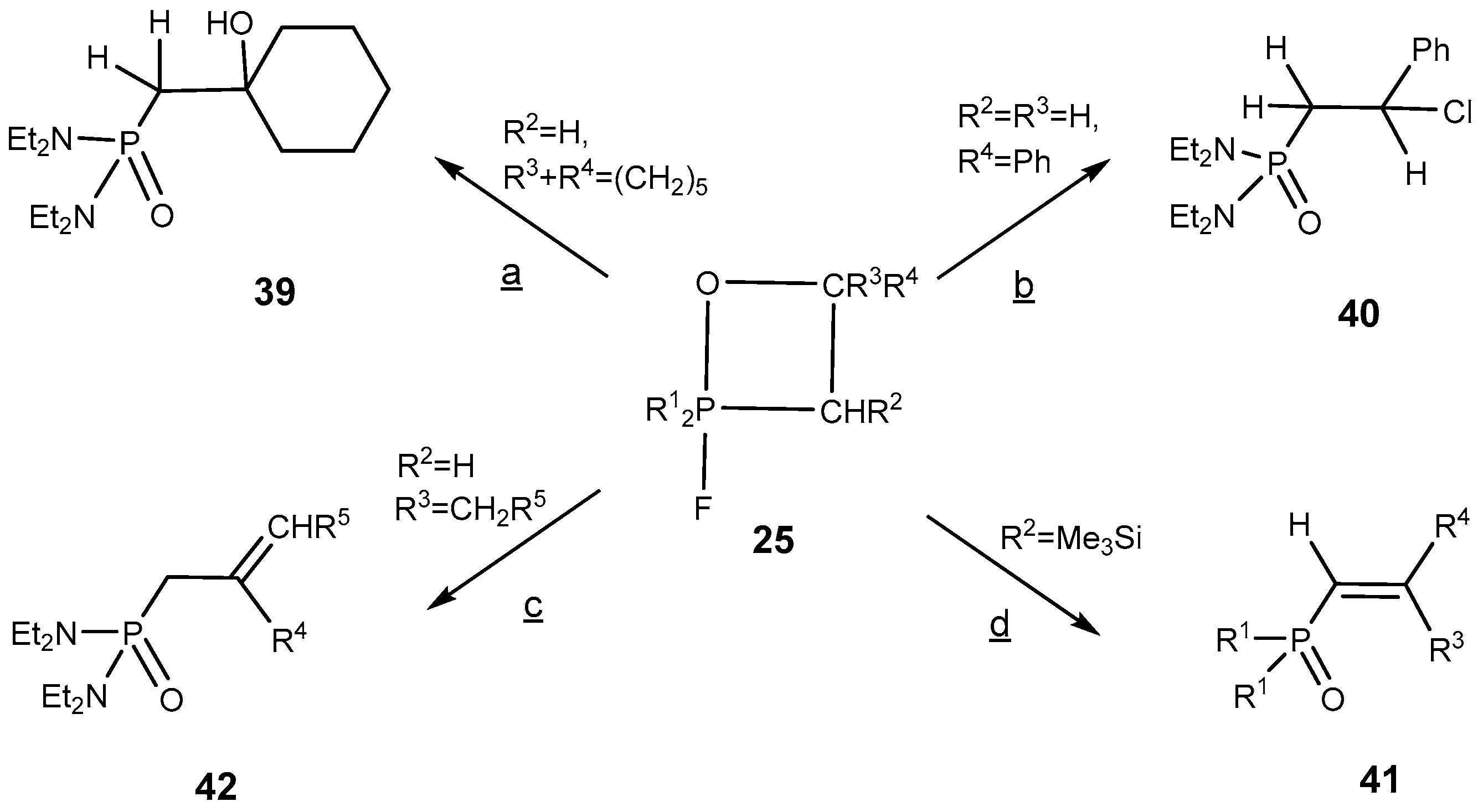
The 2-fluoro-1,2λ5-oxaphosphetanes enter readily into a number of interesting organophosphorus compounds proceeding without Р—С bond cleavage [26]. Thus, the treatment of 2-fluorooxaphosphetanes 25 with ether solution of HCl led to the formation of 2-chloro-oxaphosphetanes 40, which was isolated in good yield. At heating the 2-fluorooxaphosphetanes 25, in contrast to triphenyloxaphosphetanes, convert into phosphorylated alkenes: vinylphosphonates or allylphosphonates. The direction of reaction depended on substituents R2 and R3 at C-3 and C-4 of oxaphosphetane cycle. The 2-fluorooxaphosphetanes bearing at C-3 R2 = H, Alk, Аr, and at C-4 R3 = Alkyl eliminated HF to convert into the allylphosphonates 42 [39,44,45]. The reaction was catalyzed by boron trifluoride etherate. At the same time the 2-fluorooxaphosphetanes 25 bearing at C-3 substituent R = Me3Si eliminated Me3SiF and afforded the vinylphosphonates 41 (Scheme 26, Table 7). This reaction represent a convenient method for the preparation of phosphorylated alkenes that are versatile building blocks for organic synthesis [45,46,47,48]. 2-Fluoro-1,2λ5-oxaphosphetanes containing two alkyl groups at C3 as well eliminated hydrogen fluoride and afforded the allylphosphonates 42 (Scheme 26, Table 8).
Scheme 26.
Chemical properties of 2-fluoro-1,2λ5-oxaphosphetanes. a = H2O (-HF); b = HCl, ether (-HF); c = 100–120 °C, ~0.5 h (-HF) or BF3·Et2O, +20 °C, 168 h; d = 60–80 °C (-Me3SiF).
Table 8.
Allylphosphonates 28.
The reaction occurs by the 1,4-elimination as shown in Scheme 26 [25]. Opposite to 2,2,2-triphenyloxaphosphetanes, upon heating, the decyclization of 2-fluorooxaphosphetanes led to the formation of phosphorylated alkenes 41, 42.
At heating to +100 °C the 2-fluoro-3-silyloxaphosphetanes 25, bearing CF3 group at С-4, afforded a mixture of E- and Z-vinylphosphonates 29, 30 in the ratio 2:1 with elimination of Me3SiF. However the slow conversion of oxaphosphetane at +20 °С during several days provided almost pure vinylphosphonates E-29, containing only 2%–3% of Z-isomer (Scheme 27) [26]. This effect was explained by formation of carbocation intermediate and rotation of substituents around the C-C bond (Scheme 28).
Scheme 27.
Effect of temperature on the stereoselectivity of 2-fluoro-1,2λ5-oxaphosphetane conversion into vinylphosphonates.
Scheme 28.
The mechanism for the 2-fluoro-1,2λ5-oxaphosphetane conversion into allyl- or vinylphosphonates 44, 45.
The conversion of 2-fluoro-1,2λ5-oxaphosphetanes bearing alkyl groups at C-3 into allylphosphonates 42 represents an interesting example of 1,4-elimination as Scheme 28 and Table 8 show [45]. The study of the reaction mechanism showed that Lewis and Broensted acids actively catalyze the conversion of 2-fluorooxaphosphetanes into allylphosphine oxides. The reaction is autocatalytic because the evolving hydrogen fluoride catalyzes the transition of 2-fluorooxaphosphetanes into allylphosphine oxides. The decomposition of protonated 2-fluorooxaphosphetanes leads to the formation of oxonium salts and carbocation intermediates under conditions of EN1 elimination. We suppose that the 2-fluorooxaphosphetanes under condition of acid catalysis (with HF or BF3) via the formation of an oxonium intermediate F, convert to carbocation intermediate G which has a planar configuration [46]. The removal of a proton from the carbocation intermediate G depends on electronic effects of the substituents. Alkyl groups possessing the +I-effect and the effect of hyperconjugation stabilize the positive charge and reduce the energy of intermediate G formation. Therefore, the intermediate G′ leading to allylphosphonates is energetically more favorable than this one that is converted into vinylphosphonates.
In addition, even in case when the initial 2-fluorooxaphosphetanes 25 exist as a mixture of threo- and erythro-diastereomers, they converted into pure E-vinylphosphonates. Probably, this effect can be explained by rotation of substituents around the C-C bond in carbocation intermediate G. However, the presence of Me3Si at С-3 in G” leads to the elimination of Me3SiF, which has a high energy of formation, that creates a preference for the formation of vinylphosphonates 45 (Scheme 28) [26,40].
The formation of carbocation intermediate G was experimentally confirmed (Scheme 29). The treatment of 2-hydroxyphosphonate 46 with trifluoracetic acid and refluxing for several hours, generated the carbocation intermediate, as a result of acid-catalyzed dehydration of alcohol.
Scheme 29.
The conversion of hydroxyphosphonate 46 into the allylphosphonate 47.
After that the carbocation intermediate is converted into allylphosphonate 47, which is identical to the one obtained from 2-fluorooxaphosphetane 25 [26,40,45].
The reaction of P-fluoroylides with carbonyl compounds is a convenient method for the synthesis of allylphosphonates having various applications in the synthesis of naturally occurring compounds (Scheme 30) [45,46,47]. In this case, the carbonyl compounds can be used twice for the constructing of diene structures: first in reaction with P-fluoroylide and then in the Wittig reaction with allylphosphonate. This reaction was used for preparing analogs of the juvenile hormone.
Scheme 30.
Synthetic application of allylphosphonates.
The cycloadducts of P-fluoroylides with carbon dioxide or with carbon disulfide were isolated as colorless liquids or crystalline substances. Their structure was confirmed by the NMR spectra. Upon gentle heating or at room temperature these cycloadducts 32–35 (Table 2, entries 21, 22) are converted to phosphorylated ketenes or thioketenes 48 (Scheme 31). Stable [2+2]-cycloadducts of 2-fluoroylides with alkyl and aryl isothiocyanates were also synthesized and converted into phosphorylated ketenimines. The reaction of P-fluoroylides with carbon disulfide gives unstable cycloadducts that at temperatures above 0 °C converted completely into phosphorylated thioketenes in high yields. Phosphorylated thioketenes are red liquids distillable in vacuum and susceptible for various transformations [29,36,37]. The same phosphorylated ketenes or thioketenes 29 were prepared by reaction of P-cloroylides corresponding with CO2 and CS2 (See Scheme 31 and Table 9) [37,38,39].
Scheme 31.
Preparation of phosphorylated ketenes, thioketenes, ketenimines 48 (Table 9).
Table 9.
Preparation of phosphorylated ketenes, thioketenes, ketenimines 48 (Scheme 31).
3. Conclusions
In conclusion, this review has summarized the achievements in the synthesis and properties of stable four-membered phosphorus heterocycles-2-chloro-, 2-bromo- and 2-fluoro-1,2λ5-oxa-phosphetanes. These interesting compounds were obtained by reaction of P-halogenylides with various carbonyl compounds (aldehydes, ketones, isocyanates, carbon dioxide, and others). The 2-chloro and 2-bromo-1,2λ5-oxaphosphetanes, depending on the halogen nature and substituents at the α-carbon atom, underwent the rearrangement into 2-haloalkylphosphonates or with elimination of hydrogen halides were converted into trans-phosphorylated alkenes. Hydrolysis of 2-halo-1,2λ5-oxaphosphetanes led to the formation of 2-hydroxyalkylphosphonates. The 2-fluoro-oxaphosphetanes, bearing alkyl groups at the С-4 atom at heating as a result of 1,4-elimination of hydrogen fluoride are turned to allylphosphonates. Upon heating 3-silyl-2-fluoro-1,2λ5-oxaphosphetanes easily eliminate the trimethylsilylfluoride to convert into E-vinylphosphonates in high yields. These reactions provide efficient protocols for the preparation of various phosphorylated alkenes (vinylphosphonates, allylphosphonates, phosphorus ketenes, ketenimines, thioketenes) and can be useful for fine organic synthesis.
Acknowledgments
This work was supported by grants of the State Foundation for Basic Research of Ukraine (Projects No 03.07/00047, No. F40.3/034 and No. F53.3/016), grant of the Science and Technology Center in Ukraine, STCU (Project No. 3558).), the research projects of the National Academy of Sciences of Ukraine (No. 0109U001795 and No. 0106U004307).
Author Contributions
O.I.K and A.O.K. conceived and designed the review. O.I.K. wrote the text of review. A.O.K. have prepared reaction schemes and did literature research on relevant articles for this review. Both authors discussed and approved the final version.
Conflicts of Interest
The authors declare no conflict of interest.
References
- López-Ortiz, F.; López, J.G.; Álvarez Manzaneda, R.; Pérez Álvarez, I.J. Isolable 1,2-Oxaphosphetanes: From curiosities to starting materials for the synthesis of olefins. Mini-Rev. Org. Chem. 2004, 1, 65–76. [Google Scholar] [CrossRef]
- Kawashima, T.; Kato, K.; Okazaki, R. Novel Synthetic Route to Isolable Pentacoordinate 1,2-Oxaphosphetanes and Mechanism of Their Thermolysis, the Second Step of the Wittig Reaction. J. Am. Chem. Soc. 1992, 114, 4008–2010. [Google Scholar] [CrossRef]
- Vedejs, E. Studies in Heteroelement-Based Synthesis. J. Org. Chem. 2004, 69, 5159–5167. [Google Scholar] [CrossRef] [PubMed]
- Vedejs, E.; Marth, C.F. Phosphorus-31 NMR Spectral Properties in Compound Characterization and Structural Analysis; Quin, L.D., Verkade, J.G., Eds.; VCH: New York, NY, USA, 1994; Chapter 23; pp. 297–313. [Google Scholar]
- Hamaguchi, M.; Iyama, Y.; Mochizuki, E.; Oshima, T. First isolation and characterization of 1,2-oxaphosphetanes with three phenyl groups at the phosphorus atom in typical Wittig reaction using cyclopropylidenetriphenylphosphorane. Tetrahedron Lett. 2005, 46, 8949–8952. [Google Scholar] [CrossRef]
- Robiette, R.; Richardson, J.; Aggarwal, V.K.; Harvey, J.N. Reactivity and selectivity in the Wittig reaction: A computational study. J. Am. Chem. Soc. 2006, 128, 2394–2409. [Google Scholar] [CrossRef] [PubMed]
- Kobayashi, J.; Kawashima, T. Chemistry of pentacoordinated anti-apicophilic phosphorus compounds. C. R. Chim. 2010, 13, 1249–1259. [Google Scholar] [CrossRef]
- Garcia-López, J.; Morán-Ramallal, A.; Gonzalez, J.; Roces, L.; García-Granda, S.; Iglesias, M.J.; Ona-Burgos, P.; López-Ortiz, F. Mechanisms of stereomutation and thermolysis of spiro-1,2-oxaphosphetanes: New insights into the second step of the Wittig reaction. J. Am. Chem. Soc. 2012, 134, 19504–19507. [Google Scholar] [CrossRef] [PubMed]
- Byrne, P.A.; Muldoon, J.; Ortin, Y.; Müller-Bunz, H.; Gilheany, D.G. Investigations on the Operation of Stereochemical Drift in the Wittig Reaction by NMR and Variable-Temperature NMR Spectroscopy of Oxaphosphetane Intermediates and Their Quench Products. Eur. J. Org. Chem. 2014, 2014, 86–98. [Google Scholar] [CrossRef]
- Byrne, P.A.; Gilheany, D.G. The Mechanism of phosphonium ylide alcoholysis and hydrolysis: Concerted addition of the OH bond across the P=C bond. Chem. Eur. J. 2016, 22, 9140–9154. [Google Scholar] [CrossRef] [PubMed]
- Byrne, P.A.; Gilheany, D.G. Unequivocal experimental evidence for a unified lithium salt-free Wittig reaction mechanism for all phosphonium ylide types: Reactions with β-heteroatom-substituted aldehydes are consistently selective for cis-oxaphosphetane-derived products. J. Am. Chem. Soc. 2012, 134, 9225–9239. [Google Scholar] [CrossRef] [PubMed]
- Byrne, P.A.; Gilheany, D.G. The modern interpretation of the Wittig reaction mechanism. Chem. Soc. Rev. 2013, 42, 6670–6696. [Google Scholar] [CrossRef] [PubMed]
- Restrepo-Cossio, A.A.; Cano, H.; Mari, F.; Gonzalez, C.A. Theoretical study of the mechanism of the Wittig reaction: Ab initio and MNDO-PM3 treatment of the reaction of unstabilized, semistabilized and stabilized ylides with acetaldehyde. Heteroatom Chem. 1997, 8, 557–569. [Google Scholar] [CrossRef]
- Birum, G.H.; Matthews, C.N. Reactions of Triphenyl-2,2-bis(trifluoromethyl)vinylide-nephosphorane, synthesized from a cyclic ylide-ketone adduct. J. Org. Chem. 1967, 32, 3554–3559. [Google Scholar] [CrossRef]
- Borkenhagen, F.; Neda, I.; Thönnessen, H.; Jones, P.G.; Schmutzler, R. An unusual rearrangement during the oxidative addition of hexafluoroacetone and trifluoroacetophenone to 2-bornanylen(dimethylphosphino)methyl imine-formation of a P=C double-bond. Z. Anorg. Allg. Chem. 1998, 624, 650–654. [Google Scholar] [CrossRef]
- Dieckbreder, U.; Röschenthaler, G.-V.; Kolomeitsev, A.A. P-Bis(trifluoromethyl) ylides: Synthesis and reactions. Heteroatom Chem. 2002, 13, 650–653. [Google Scholar] [CrossRef]
- Kojima, S.; Supino, M.; Matsukawa, S.; Nakamoto, M.; Akiba, K.-Y. First isolation and scheme 4 characterization of an anti-apicophilic spirophosphorane bearing an oxaphosphetane ring: A model for the possible reactive intermediate in the Wittig reaction. J. Am. Chem. Soc. 2002, 124, 7674–7675. [Google Scholar] [CrossRef] [PubMed]
- Kyri, A.W.; Nesterov, V.; Schnakenburg, G.; Streubel, R. Synthesis and Reaction of the First 1,2-Oxaphosphetane Complexes. Angew. Chem. Int. Ed. 2014, 53, 10809–10812. [Google Scholar] [CrossRef] [PubMed]
- Couzijn, E.P.A.; Slootweg, J.C.; Ehlers, A.W.; Lammertsma, K. Stereomutation of pentavalent compounds: Validating the berry pseudorotation. J. Am. Chem. Soc. 2010, 132, 18127–18140. [Google Scholar] [CrossRef] [PubMed]
- Kollar, L.; Berente, Z.; Forintos, H.; Keglevich, G. Detection of the enantiomers of P-stereogenic pentacoordinated phosphorus compounds: 31P-NMR of oxaphosphetes in optically active solvents. Tetrahedron Asymmetry 2000, 11, 4433–4444. [Google Scholar] [CrossRef]
- Appel, M.; Blaurock, S.; Berger, S. A Wittig reaction with 2-furyl substituents at the phosphorus atom: Improved (Z) selectivity and isolation of a stable oxaphosphetane intermediate. Eur. J. Org. Chem. 2002, 2002, 1143–1148. [Google Scholar] [CrossRef]
- Kumara Swamy, K.C.; Satish Kumar, N. New Features in Pentacoordinate Phosphorus Chemistry. Acc. Chem. Res. 2006, 39, 324–333. [Google Scholar] [CrossRef] [PubMed]
- Ugi, I.; Marquarding, D.; Klusacek, H.; Gillespie, P.; Ramirez, F. Berry pseudorotation and turnstile rotation. Acc. Chem. Res., 1971, 4, 288–296. [Google Scholar] [CrossRef]
- Kolodiazhnyi, O.I.; Schmutzler, R. Synthesis and properties of phosphorus ylides containing fluorine atoms bonded to phosphorus. Synlett 2001, 2001, 1065–1078. [Google Scholar] [CrossRef]
- Kolodiazhna, O.O.; Kolodiazhnyi, O.I. Reaction of C-silyl-P-chloroalkylidene-phosphoranes with carbonyl compounds. Phosphorus Sulfur Silicon Relat. Elem. 2015, 190, 322–328. [Google Scholar]
- Kolodiazhna, A.O.; Kolodiazhnyi, O.I. Synthesis and properties of four-membered phosphorus heterocycles-2-fluoro-1,2λ5-oxaphosphetanes. Phosphorus Sulfur Silicon Relat. Elem. 2015, 190, 2232–2245. [Google Scholar] [CrossRef]
- Kolodyazhna, O.O.; Grishkun, E.V.; Sheiko, S.Yu.; Kolodyazhna, A.O.; Kolodyazhnyi, O.I. Synthesis and properties of tert-butylphenylmethylene(chloro)phosphorane. Russ. J. Gen. Chem. 2015, 85, 1639–1643. [Google Scholar] [CrossRef]
- Kolodiazhnyi, O.I. Phosphorus Ylides. Chemistry and Application in Organic Synthesis; Wiley-VCH: Weinheim, Germany, 1999; p. 565. [Google Scholar]
- Kolodyazhnyi, O.I. Chemistry of P-F ylides. Russ. J. Gen. Chem. 2005, 75, 1017–1039. [Google Scholar] [CrossRef]
- Kolodyazhnyi, O.I.; Kolodyazhnaya, A.O. A new approach towards synthesis of phosphorylated alkenes. Russ. J. Gen. Chem. 2015, 85, 359–365. [Google Scholar] [CrossRef]
- Kolodiazhnyi, O.I. P-Halogen-substituted phosphorus ylids. Russ. Chem. Rev. 1991, 60, 391–409. [Google Scholar] [CrossRef]
- Kolodiazhna, A.O.; Kolodiazhnyi, O.I.; Kolodiazhna, O.O. Stereoselective Method for the Synthesis of Phosphorylated Alkenes. U.S. Patent 111025, 10 March 2016. [Google Scholar]
- Sotiropoulos, J.-M.; Baceiredo, A.; Bertrand, G. Synthesis and reactivity of diazomethylenephosphoranes (>P=C=N2): New phosphacumulene ylides and first stable pseudounsaturated diazo derivatives. J. Am. Chem. Soc. 1987, 109, 4711–4712. [Google Scholar] [CrossRef]
- Kolodiazhnyi, O.I.; Ustenko, S.N. Synthesis and properties of P,P-Difluoroylids. Phosphorus Sulfur Silicon Relat. Elem. 1991, 62, 111–118. [Google Scholar] [CrossRef]
- Ustenko, S.N. Synthesis and Properties of New Types of Phosphorus P-halogenylides. Ph.D. Thesis, Institute of Organic Chemistry, National Academy of Sciences of Ukraine, Kiev, Ukraine, 12 October 1995. [Google Scholar]
- Golokhov, D.B. Р-Halogenoylides-Synthesis and Properties. Ph.D. Thesis, Institute of Organic Chemistry, Academy of Sciences of Ukraine, Kiev, Ukraine, 20 September 1990. [Google Scholar]
- Kolodyazhnyi, O.I. 2-Halogen-1,2λ5-oxaphosphetanes. Reaction of P-Fluoroylids with carbonyl compounds and carbon disulfide. Russ. J. Gen. Chem. 1986, 56, 821–827. [Google Scholar]
- Kolodiazhnyi, O.I. Thiocetenes phosphores. Tetrahedron Lett. 1987, 28, 881–884. [Google Scholar] [CrossRef]
- Kolodiazhnyi, O.I. Reaction de Wittig “anormale”. Tetrahedron Lett. 1985, 26, 439–442. [Google Scholar] [CrossRef]
- Kolodiazhnyi, O.I.; Golokhov, D.B. 2-Halogen-1,2λ5-oxaphosphetanes. III. About conversion of 2-fluorine-1,2λ5-oxaphosphetanes to alkenes. J. Gen. Chem. 1989, 59, 293–306. [Google Scholar]
- Burgi, H.B.; Dunitz, I.D.; Lehn, J.M.; Wipff, G. Stereochemistry of reaction paths at carbonyl centres. Tetrahedron 1974, 30, 1563–1572. [Google Scholar] [CrossRef]
- Kolodiazhnyi, O.I. 2-Halogen-1,2λ5-oxaphosphetanes. Russ. J. Gen. Chem. 1986, 56, 283–298. [Google Scholar]
- Van Bochove, M.A.; Swart, M.; Bickelhaupt, F.M. Nucleophilic substitution at phosphorus centers (SN2@P). Chem. Phys. Chem. 2007, 8, 2452–2463. [Google Scholar] [CrossRef] [PubMed]
- Kolodiazhnyi, O.I.; Kovalenko, A.B. Reaction of P-Halogenylides with carbonyl compounds. Synthesis of allylphosphonates. Russ. J. Gen. Chem. 1987, 57, 2147–2149. [Google Scholar]
- Kolodiazhnyi, O.I. Transformation des 2-fluoro-1,2λ5-oxaphosphetanes en allylphosphonates. Tetrahedron Lett. 1988, 29, 3663–3666. [Google Scholar] [CrossRef]
- Mayr, H.; Ammer, J.; Baidya, M.; Maji, B.; Nigst, T.A.; Ofial, A.R.; Singer, T. Scales of Lewis basicities toward C-centered Lewis acids (Carbocations). J. Am. Chem. Soc. 2015, 137, 2580–2599. [Google Scholar] [CrossRef] [PubMed]
- Corbridge, D.E.C. Phosphorus: Chemistry, Biochemistry and Technology, 6th ed.; CRC Press: Boca Raton, FL, USA, 2013; p. 1473. [Google Scholar]
- Robert, A.S., Jr. Practical Functional Group Synthesis; John Wiley & Sons, Inc.: Hoboken, NJ, USA, 2016; p. 685. [Google Scholar]
- Sample Availability: Samples of the compounds are not available from the authors.
© 2016 by the authors. Licensee MDPI, Basel, Switzerland. This article is an open access article distributed under the terms and conditions of the Creative Commons Attribution (CC-BY) license ( http://creativecommons.org/licenses/by/4.0/).





































