Recent Developments in Chemical Synthesis with Biocatalysts in Ionic Liquids
Abstract
:1. Introduction

2. Chemical Synthesis with Enzymes in Ionic Liquids
2.1. Ionic Liquids as Solvents for Enzyme Catalysis






2.2. Developments in Sustainable Biocatalysis Employing Ionic Liquids
2.2.1. Ionic Liquid-Coated Enzymes as Heterogeneous Catalysts



2.2.2. Role of Enzymes and Ionic Liquid System in Biomass Conversion and Biofuel Production



2.2.3. Ionic Liquid-Based Supported Liquid Membranes in Separation Processes



2.2.4. Biocatalysis in Biphasic Ionic Liquid-Supercritical Carbon Dioxide Systems



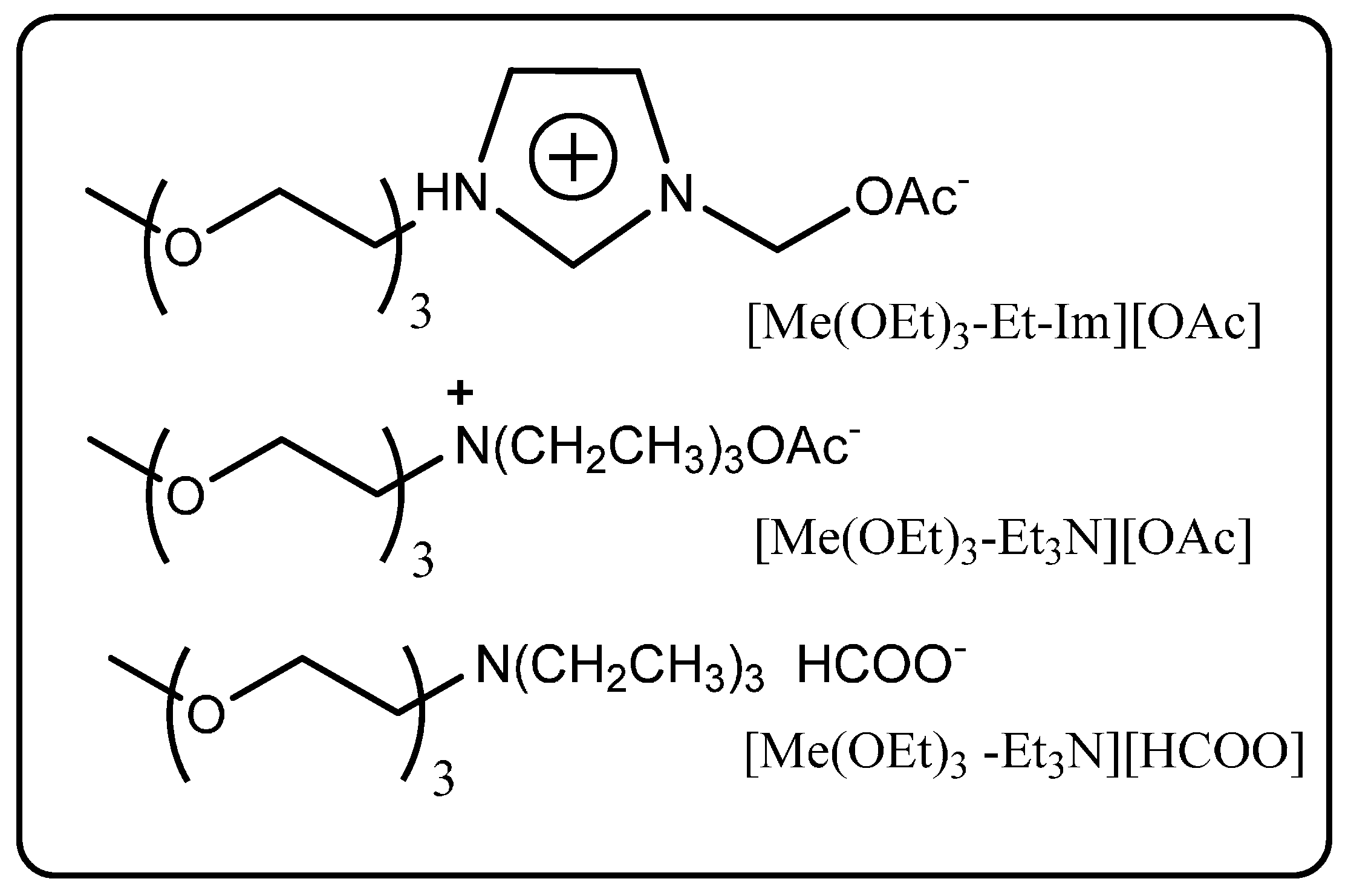
2.2.5. Use of Biodegradable Ionic-Based Deep Eutectic Solvents for Biocatalysis

2.3. Application of Ionic Liquids in Whole-Cell Biocatalysis: A Greener Perspective



3. Conclusions
Acknowledgments
Conflicts of Interest
References and Notes
- Anastas, P.T.; Kirchhoff, M.M. Origins, current status, and future challenges of green chemistry. Acc. Chem. Res. 2002, 35, 686–694. [Google Scholar] [CrossRef] [PubMed]
- Welton, T. Room-temperature ionic liquids. Solvents for synthesis and catalysis. Chem. Rev. 1999, 99, 2071–2083. [Google Scholar] [CrossRef] [PubMed]
- MacFarlane, D.R.; Forsyth, M.; Howlett, P.C.; Pringle, J.M.; Sun, J.; Annat, G.; Neil, W.; Izgorodina, E.I. Ionic liquids in electrochemical devices and processes: Managing interfacial electrochemistry. Acc. Chem. Res. 2007, 40, 1165–1173. [Google Scholar] [CrossRef] [PubMed]
- Dupont, J.; de Souza, R.F.; Suarez, P.A.Z. Ionic liquid (molten salt) phase organometallic catalysis. Chem. Rev. 2002, 102, 3667–3691. [Google Scholar] [CrossRef] [PubMed]
- Roosen, C.; Muller, P.; Greiner, L. Ionic liquids in biotechnology: Applications and perspectives for biotransformations. Appl. Microbiol. Biotechnol. 2008, 81, 607–614. [Google Scholar] [CrossRef] [PubMed]
- Wang, Z.S.; Koumura, N.; Cui, Y.; Miyashita, M.; Mori, S.; Hara, K. Exploitation of ionic liquid electrolyte for dye-sensitized solar cells by molecular modification of organic-dye sensitizers. Chem. Mater. 2009, 21, 2810–2816. [Google Scholar] [CrossRef]
- Riisager, A.; Fehrmann, R.; Haumann, M.; Wasserscheid, P. Supported ionic liquid phase (silp) catalysis: An innovative concept for homogeneous catalysis in continuous fixed-bed reactors. Eur. J. Inorg. Chem. 2006, 2006, 695–706. [Google Scholar] [CrossRef]
- Gruttadauria, M.; Riela, S.; Aprile, C.; Lo Meo, P.; D’Anna, F.; Noto, R. Supported ionic liquids. New recyclable materials for the l-proline-catalyzed aldol reaction. Adv. Synth. Catal. 2006, 348, 82–92. [Google Scholar] [CrossRef]
- Wasserscheid, P.; Keim, W. Ionic liquids—New “solutions” for transition metal catalysis. Angew. Chem. Int. Ed. 2000, 39, 3773–3789. [Google Scholar] [CrossRef]
- Fei, Z.F.; Geldbach, T.J.; Zhao, D.B.; Dyson, P.J. From dysfunction to bis-function: On the design and applications of functionalised ionic liquids. Chem. -Eur. J. 2006, 12, 2123–2130. [Google Scholar] [CrossRef] [PubMed]
- Lee, S.G. Functionalized imidazolium salts for task-specific ionic liquids and their applications. Chem. Commun. 2006, 1049–1063. [Google Scholar] [CrossRef] [PubMed]
- De Maria, P.D. “Nonsolvent” applications of ionic liquids in biotransformations and organocatalysis. Angew. Chem. Int. Ed. 2008, 47, 6960–6968. [Google Scholar] [CrossRef] [PubMed]
- Van Rantwijk, F.; Sheldon, R.A. Biocatalysis in ionic liquids. Chem. Rev. 2007, 107, 2757–2785. [Google Scholar] [CrossRef] [PubMed]
- Miao, W.S.; Chan, T.H. Ionic-liquid-supported peptide synthesis demonstrated by the synthesis of leu5-enkephalin. J. Org. Chem. 2005, 70, 3251–3255. [Google Scholar] [CrossRef] [PubMed]
- Fraga-Dubreuil, J.; Bazureau, J.P. Grafted ionic liquid-phase-supported synthesis of small organic molecules. Tetrahedron Lett. 2001, 42, 6097–6100. [Google Scholar] [CrossRef]
- Deetlefs, M.; Seddon, K.R. Assessing the greenness of some typical laboratory ionic liquid preparations. Green Chem. 2010, 12, 17–30. [Google Scholar] [CrossRef]
- Harjani, J.R.; Singer, R.D.; Garciac, M.T.; Scammells, P.J. Biodegradable pyridinium ionic liquids: Design, synthesis and evaluation. Green Chem. 2009, 11, 83–90. [Google Scholar] [CrossRef]
- Harjani, J.R.; Farrell, J.; Garcia, M.T.; Singer, R.D.; Scammells, P.J. Further investigation of the biodegradability of imidazolium ionic liquids. Green Chem. 2009, 11, 821–829. [Google Scholar] [CrossRef]
- Tao, J.H.; Zhao, L.S.; Ran, N.Q. Recent advances in developing chemoenzymatic processes for active pharmaceutical ingredients. Org. Process Res. Dev. 2007, 11, 259–267. [Google Scholar]
- Straathof, A.J.J.; Panke, S.; Schmid, A. The production of fine chemicals by biotransformations. Curr. Opin. Biotechnol. 2002, 13, 548–556. [Google Scholar] [CrossRef]
- Klibanov, A.M. Improving enzymes by using them in organic solvents. Nature 2001, 409, 241–246. [Google Scholar] [CrossRef] [PubMed]
- Klibanov, A.M. Enzymatic catalysis in anhydrous organic-solvents. Trends Biochem. Sci. 1989, 14, 141–144. [Google Scholar] [CrossRef]
- Magnuson, D.K.; Bodley, J.W.; Evans, D.F. The activity and stability of alkaline phosphatase in solutions of water and the fused salt ethylammonium nitrate. J. Sol. Chem. 1984, 13, 583–587. [Google Scholar] [CrossRef]
- Moniruzzaman, M.; Nakashima, K.; Kamiya, N.; Goto, M. Recent advances of enzymatic reactions in ionic liquids. Biochem. Eng. J. 2010, 48, 295–314. [Google Scholar] [CrossRef]
- Zhao, H. Methods for stabilizing and activating enzymes in ionic liquids. J. Chem. Technol. Biotechnol. 2010, 85, 891–907. [Google Scholar] [CrossRef]
- Moniruzzaman, M.; Kamiya, N.; Goto, M. Activation and stabilization of enzymes in ionic liquids. Org. Biomol. Chem. 2010, 8, 2887–2899. [Google Scholar] [CrossRef] [PubMed]
- Yang, Z. Hofmeister effects: An explanation for the impact of ionic liquids on biocatalysis. J. Biotechnol. 2009, 144, 12–22. [Google Scholar] [CrossRef] [PubMed]
- Zhao, H. Effect of ions and other compatible solutes on enzyme activity, and its implication for biocatalysis using ionic liquids. J. Mol. Catal. B Enzym. 2005, 37, 16–25. [Google Scholar] [CrossRef]
- De Gonzalo, G.; Lavandera, I.; Durchschein, K.; Wurm, D.; Faber, K.; Kroutil, W. Asymmetric biocatalytic reduction of ketones using hydroxy-functionalised water-miscible ionic liquids as solvents. Tetrahedron Asymmetry 2007, 18, 2541–2546. [Google Scholar] [CrossRef]
- Lau, R.M.; Sorgedrager, M.J.; Carrea, G.; van Rantwijk, F.; Secundo, F.; Sheldon, R.A. Dissolution of candida antarctica lipase b in ionic liquids: Effects on structure and activity. Green Chem. 2004, 6, 483–487. [Google Scholar]
- Erbeldinger, M.; Mesiano, A.J.; Russell, A.J. Enzymatic catalysis of formation of z-aspartame in ionic liquid—An alternative to enzymatic catalysis in organic solvents. Biotechnol. Prog. 2000, 16, 1129–1131. [Google Scholar] [CrossRef] [PubMed]
- Lau, R.M.; van Rantwijk, F.; Seddon, K.R.; Sheldon, R.A. Lipase-catalyzed reactions in ionic liquids. Org. Lett. 2000, 2, 4189–4191. [Google Scholar]
- Harjani, J.R.; Naik, P.U.; Nara, S.J.; Salunkhe, M.M. Enzyme mediated reactions in ionic liquids. Curr. Org. Synth. 2007, 4, 354–369. [Google Scholar] [CrossRef]
- Yang, Z.; Pan, W.B. Ionic liquids: Green solvents for nonaqueous biocatalysis. Enzym. Microb. Technol. 2005, 37, 19–28. [Google Scholar] [CrossRef]
- Sureshkumar, M.; Lee, C.K. Biocatalytic reactions in hydrophobic ionic liquids. J. Mol. Catal. B Enzym. 2009, 60, 1–12. [Google Scholar] [CrossRef]
- Sheldon, R.A. Biocatalysis in ionic liquids. RSC Catal. Ser. 2014, 15, 20–43. [Google Scholar]
- Lozano, P.; Bernal, J.M.; Garcia-Verdugo, E.; Vaultier, M.; Luis, S.V. Biocatalysis in Ionic Liquids; CRC Press: Boca Raton, FL, USA, 2015; pp. 31–66. [Google Scholar]
- Stein, F.; Kragl, U. Biocatalytic Reactions in Ionic Liquids; John Wiley & Sons, Inc.: Hoboken, NJ, USA, 2014; pp. 193–216. [Google Scholar]
- Klembt, S.; Dreyer, S.; Eckstein, M.; Kragl, U. Biocatalytic reactions in ionic liquids. In Ionic Liquids in Synthesis, 2nd ed.; Wasserscheid, P., Welton, T., Eds.; Wiley-VCH Verlags GmbH & Co KGaA: Weinheim, Germany, 2008; Volume 2, pp. 641–661. [Google Scholar]
- Schöfer, S.H.; Kaftzik, N.; Wasserscheid, P.; Kragl, U. Enzyme catalysis in ionic liquids: Lipase catalysed kinetic resolution of 1-phenylethanol with improved enantioselectivity. Chem. Commun. 2001, 425–426. [Google Scholar] [CrossRef]
- Itoh, T.; Akasaki, E.; Kudo, K.; Shirakami, S. Lipase-catalyzed enantioselective acylation in the ionic liquid solvent system: Reaction of enzyme anchored to the solvent. Chem. Lett. 2001, 30, 262–263. [Google Scholar] [CrossRef]
- Cantone, S.; Hanefeld, U.; Basso, A. Biocatalysis in non-conventional media-ionic liquids, supercritical fluids and the gas. Green Chem. 2007, 9, 954–971. [Google Scholar] [CrossRef]
- Gorke, J.; Srienc, F.; Kazlauskas, R. Toward advanced ionic liquids. Polar, enzyme-friendly solvents for biocatalysis. Biotechnol. Bioprocess Eng. 2010, 15, 40–53. [Google Scholar] [CrossRef]
- Mohile, S.S.; Potdar, M.K.; Harjani, J.R.; Nara, S.J.; Salunkhe, M.M. Ionic liquids: Efficient additives for candida rugosa lipase-catalyzed enantioselective hydrolysis of butyl 2-(4-chlorophenoxy)propionate. J. Mol. Catal. B Enzym. 2004, 30, 185–188. [Google Scholar] [CrossRef]
- Rasalkar, M.S.; Potdar, M.K.; Salunkhe, M.M. Pseudomonas cepacia lipase-catalysed resolution of racemic alcohols in ionic liquid using succinic anhydride: Role of triethylamine in enhancement of catalytic activity. J. Mol. Catal. B Enzym. 2004, 27, 267–270. [Google Scholar] [CrossRef]
- Lourenco, N.M.T.; Barreiros, S.; Afonso, C.A.M. Enzymatic resolution of indinavir precursor in ionic liquids with reuse of biocatalyst and media by product sublimation. Green Chem. 2007, 9, 734–736. [Google Scholar] [CrossRef]
- Mai, N.L.; Ahn, K.; Bae, S.W.; Shin, D.W.; Morya, V.K.; Koo, Y.-M. Ionic liquids as novel solvents for the synthesis of sugar fatty acid ester. Biotechnol. J. 2014, 9, 1565–1572. [Google Scholar] [CrossRef] [PubMed]
- Lee, J.K.; Kim, M.-J. Ionic liquid-coated enzyme for biocatalysis in organic solvent. J. Org. Chem. 2002, 67, 6845–6847. [Google Scholar] [CrossRef] [PubMed]
- Itoh, T.; Matsushita, Y.; Abe, Y.; Han, S.-H.; Wada, S.; Hayase, S.; Kawatsura, M.; Takai, S.; Morimoto, M.; Hirose, Y. Increased enantioselectivity and remarkable acceleration of lipase-catalyzed transesterification by using an imidazolium peg-alkyl sulfate ionic liquid. Chem. Eur. J. 2006, 12, 9228–9237. [Google Scholar] [CrossRef] [PubMed]
- Nakashima, K.; Kamiya, N.; Koda, D.; Maruyama, T.; Goto, M. Enzyme encapsulation in microparticles composed of polymerized ionic liquids for highly active and reusable biocatalysts. Org. Biomol. Chem. 2009, 7, 2353–2358. [Google Scholar] [CrossRef] [PubMed]
- Yu, C.-Y.; Wei, P.; Li, X.-F.; Zong, M.-H.; Lou, W.-Y. Using ionic liquid in a biphasic system to improve asymmetric hydrolysis of styrene oxide catalyzed by cross-linked enzyme aggregates (cleas) of mung bean epoxide hydrolases. Ind. Eng. Chem. Res. 2014, 53, 7923–7930. [Google Scholar] [CrossRef]
- Rehmann, L.; Ivanova, E.; Gunaratne, H.Q.N.; Seddon, K.R.; Stephens, G. Enhanced laccase stability through mediator partitioning into hydrophobic ionic liquids. Green Chem. 2014, 16, 1462–1469. [Google Scholar] [CrossRef]
- Turner, M.B.; Spear, S.K.; Huddleston, J.G.; Holbrey, J.D.; Rogers, R.D. Ionic liquid salt-induced inactivation and unfolding of cellulase from trichoderma reesei. Green Chem. 2003, 5, 443–447. [Google Scholar] [CrossRef]
- Toral, A.R.; de los Rios, A.P.; Hernandez, F.J.; Janssen, M.H.A.; Schoevaart, R.; van Rantwijk, F.; Sheldon, R.A. Cross-linked candida antarctica lipase b is active in denaturing ionic liquids. Enzym. Microb. Technol. 2007, 40, 1095–1099. [Google Scholar] [CrossRef]
- Zhao, H.; Baker, G.A.; Song, Z.; Olubajo, O.; Crittle, T.; Peters, D. Designing enzyme-compatible ionic liquids that can dissolve carbohydrates. Green Chem. 2008, 10, 696–705. [Google Scholar] [CrossRef]
- Vancov, T.; Alston, A.-S.; Brown, T.; McIntosh, S. Use of ionic liquids in converting lignocellulosic material to biofuels. Renew. Energy 2012, 45, 1–6. [Google Scholar] [CrossRef]
- Long, J.; Li, X.; Guo, B.; Wang, F.; Yu, Y.; Wang, L. Simultaneous delignification and selective catalytic transformation of agricultural lignocellulose in cooperative ionic liquid pairs. Green Chem. 2012, 14, 1935–1941. [Google Scholar] [CrossRef]
- Shi, J.; Gladden, J.M.; Sathitsuksanoh, N.; Kambam, P.; Sandoval, L.; Mitra, D.; Zhang, S.; George, A.; Singer, S.W.; Simmons, B.A.; et al. One-pot ionic liquid pretreatment and saccharification of switchgrass. Green Chem. 2013, 15, 2579–2589. [Google Scholar] [CrossRef]
- Sun, N.; Parthasarathi, R.; Socha, A.M.; Shi, J.; Zhang, S.; Stavila, V.; Sale, K.L.; Simmons, B.A.; Singh, S. Understanding pretreatment efficacy of four cholinium and imidazolium ionic liquids by chemistry and computation. Green Chem. 2014, 16, 2546–2557. [Google Scholar] [CrossRef]
- Moniruzzaman, M.; Ono, T. Ionic liquid assisted enzymatic delignification of wood biomass: A new green’ and efficient approach for isolating of cellulose fibers. Biochem. Eng. J. 2012, 60, 156–160. [Google Scholar] [CrossRef]
- Melero, J.A.; Iglesias, J.; Morales, G. Heterogeneous acid catalysts for biodiesel production: Current status and future challenges. Green Chem. 2009, 11, 1285–1308. [Google Scholar] [CrossRef]
- Ha, S.H.; Lan, M.N.; Lee, S.H.; Hwang, S.M.; Koo, Y.-M. Lipase-catalyzed biodiesel production from soybean oil in ionic liquids. Enzym. Microb. Technol. 2007, 41, 480–483. [Google Scholar] [CrossRef]
- Gamba, M.; Lapis, A.A.M.; Dupont, J. Supported ionic liquid enzymatic catalysis for the production of biodiesel. Adv. Synth. Catal. 2008, 350, 160–164. [Google Scholar] [CrossRef]
- Zhao, H.; Song, Z.; Olubajo, O.; Cowins Janet, V. New ether-functionalized ionic liquids for lipase-catalyzed synthesis of biodiesel. Appl. Biochem. Biotechnol. 2010, 162, 13–23. [Google Scholar] [CrossRef] [PubMed]
- Yu, D.; Wang, C.; Yin, Y.; Zhang, A.; Gao, G.; Fang, X. A synergistic effect of microwave irradiation and ionic liquids on enzyme-catalyzed biodiesel production. Green Chem. 2011, 13, 1869–1875. [Google Scholar] [CrossRef]
- Zhang, K.P.; Lai, J.Q.; Huang, Z.L.; Yang, Z. Penicillium expansum lipase-catalyzed production of biodiesel in ionic liquids. Bioresour. Technol. 2011, 102, 2767–2772. [Google Scholar] [CrossRef] [PubMed]
- Lai, J.-Q.; Hu, Z.-L.; Wang, P.-W.; Yang, Z. Enzymatic production of microalgal biodiesel in ionic liquid [bmim][pf6]. Fuel 2012, 95, 329–333. [Google Scholar] [CrossRef]
- Pellegrino, J.J.; Noble, R.D. Enhanced transport and liquid membranes in bioseparations. Trends Biotechnol. 1990, 8, 216–224. [Google Scholar] [CrossRef]
- Branco, L.C.; Crespo, J.G.; Afonso, C.A.M. Highly selective transport of organic compounds by using supported liquid membranes based on ionic liquids. Angew. Chem. Int. Ed. 2002, 114, 2895–2897. [Google Scholar] [CrossRef]
- Miyako, E.; Maruyama, T.; Kamiya, N.; Goto, M. Use of ionic liquids in a lipase-facilitated supported liquid membrane. Biotechnol. Lett. 2003, 25, 805–808. [Google Scholar] [CrossRef] [PubMed]
- Miyako, E.; Maruyama, T.; Kamiya, N.; Goto, M. Enzyme-facilitated enantioselective transport of (S)-ibuprofen through a supported liquid membrane based on ionic liquids. Chem. Commun. 2003, 2926–2927. [Google Scholar] [CrossRef]
- Hernandez-Fernandez, F.J.; de los Rios, A.P.; Tomas-Alonso, F.; Gomez, D.; Villora, G. On the development of an integrated membrane process with ionic liquids for the kinetic resolution of rac-2-pentanol. J. Membr. Sci. 2008, 314, 238–246. [Google Scholar] [CrossRef]
- Audia, J.E.; Britton, T.C.; Droste, J.J.; Folmer, B.K.; Huffman, G.W.; John, V.; Latimer, L.H.; Mabry, T.E.; Nissen, J.S. Preparation of N-(phenylacetyl)di- and Tripeptide Derivatives for Inhibiting β-Amyloid Peptide Release. WO9822494, 28 May 1998. [Google Scholar]
- Hernandez-Fernandez, F.J.; de los Rios, A.P.; Tomas-Alonso, F.; Gomez, D.; Villora, G. Kinetic resolution of 1-phenylethanol integrated with separation of substrates and products by a supported ionic liquid membrane. J. Chem. Technol. Biotechnol. 2009, 84, 337–342. [Google Scholar] [CrossRef]
- Kamat, S.V.; Beckman, E.J.; Russell, A.J. Enzyme-activity in supercritical fluids. Crit. Rev. Biotechnol. 1995, 15, 41–71. [Google Scholar] [CrossRef]
- Mesiano, A.J.; Beckman, E.J.; Russell, A.J. Supercritical biocatalysis. Chem. Rev. 1999, 99, 623–633. [Google Scholar] [CrossRef] [PubMed]
- Lozano, P. Enzymes in neoteric solvents: From one-phase to multiphase systems. Green Chem. 2010, 12, 555–569. [Google Scholar] [CrossRef]
- Lozano, P.; de Diego, T.; Gmouh, S.; Vaultier, M.; Iborra, J.L. Criteria to design green enzymatic processes in ionic liquid/supercritical carbon dioxide systems. Biotechnol. Prog. 2004, 20, 661–669. [Google Scholar] [CrossRef] [PubMed]
- Fonseca, G.S.; Scholten, J.D.; Dupont, J. Iridium nanoparticles prepared in ionic liquids: An efficient catalytic system for the hydrogenation of ketones. Synlett 2004, 1525–1528. [Google Scholar] [CrossRef]
- Valkenberg, M.H.; de Castro, C.; Holderich, W.F. Immobilisation of ionic liquids on solid supports. Green Chem. 2002, 4, 88–93. [Google Scholar] [CrossRef]
- Mehnert, C.P. Supported ionic liquid phases. Chem. -Eur. J. 2004, 11, 50–56. [Google Scholar] [CrossRef] [PubMed]
- Lozano, P.; Garcia-Verdugo, E.; Piamtongkam, R.; Karbass, N.; De Diego, T.; Burguete, M.I.; Luis, S.V.; Iborra, J.L. Bioreactors based on monolith-supported ionic liquid phase for enzyme catalysis in supercritical carbon dioxide. Adv. Synth. Catal. 2007, 349, 1077–1084. [Google Scholar] [CrossRef]
- Lozano, P.; De Diego, T.; Sauer, T.; Vaultier, M.; Gmouh, S.; Iborra, J.L. On the importance of the supporting material for activity of immobilized candida antarctica lipase b in ionic liquid/hexane and ionic liquid/supercritical carbon dioxide biphasic media. J. Supercrit. Fluids 2007, 40, 93–100. [Google Scholar] [CrossRef]
- Lozano, P.; de Diego, T.; Mira, C.; Montague, K.; Vaultier, M.; Iborra, J.L. Long term continuous chemoenzymatic dynamic kinetic resolution of rac-1-phenylethanol using ionic liquids and supercritical carbon dioxide. Green Chem. 2009, 11, 538–542. [Google Scholar] [CrossRef]
- Lozano, P.; de Diego, T.; Vaultier, M.; Iborra, J.L. Dynamic kinetic resolution of sec-alcohols in ionic liquids/supercritical carbon dioxide biphasic systems. Int. J. Chem. React. Eng. 2009, 7. [Google Scholar] [CrossRef]
- Imperato, G.; Konig, B.; Chiappe, C. Ionic green solvents from renewable resources. Eur. J. Org. Chem. 2007, 2007, 1049–1058. [Google Scholar] [CrossRef]
- Gorke, J.T.; Srienc, F.; Kazlauskas, R.J. Hydrolase-catalyzed biotransformations in deep eutectic solvents. Chem. Commun. 2008, 1235–1237. [Google Scholar] [CrossRef] [PubMed]
- Fujita, K.; Nakamura, N.; Igarashi, K.; Samejima, M.; Ohno, H. Biocatalytic oxidation of cellobiose in an hydrated ionic liquid. Green Chem. 2009, 11, 351–354. [Google Scholar] [CrossRef]
- Zhao, H.; Baker, G.A.; Holmes, S. New eutectic ionic liquids for lipase activation and enzymatic preparation of biodiesel. Org. Biomol. Chem. 2011, 9, 1908–1916. [Google Scholar] [CrossRef] [PubMed]
- Cull, S.G.; Holbrey, J.D.; Vargas-Mora, V.; Seddon, K.R.; Lye, G.J. Room-temperature ionic liquids as replacements for organic solvents in multiphase bioprocess operations. Biotechnol. Bioeng. 2000, 69, 227–233. [Google Scholar] [CrossRef]
- Howarth, J.; James, P.; Dai, J. Immobilized baker’s yeast reduction of ketones in an ionic liquid, [bmim]PF6 and water mix. Tetrahedron Lett. 2001, 42, 7517–7519. [Google Scholar] [CrossRef]
- Pfruender, H.; Midjojo, M.; Kragl, U.; Weuster-Botz, D. Efficient whole-cell biotransformation in a biphasic ionic liquid/water system. Angew. Chem. Int. Ed. 2004, 43, 4529–4531. [Google Scholar] [CrossRef] [PubMed]
- Xu, P.; Xu, Y.; Li, X.-F.; Yi Zhao, B.-Y.; Zong, M.-H.; Lou, W.-Y. Enhancing Asymmetric Reduction of 3-Chloropropiophenone with Immobilized Acetobacter sp. CCTCC M209061 Cells by Using Deep Eutectic Solvents as Cosolvents. ACS Sustain. Chem. Eng. 2015, 3, 718–724. [Google Scholar] [CrossRef]
- Pfruender, H.; Jones, R.; Weuster-Botz, D. Water immiscible ionic liquids as solvents for whole cell biocatalysis. J. Biotechnol. 2006, 124, 182–190. [Google Scholar] [CrossRef] [PubMed]
- Smirnova, S.V.; Torocheshnikova, I.I.; Formanovsky, A.A.; Pletnev, I.V. Solvent extraction of amino acids into a room temperature ionic liquid with dicyclohexano-18-crown-6. Anal. Bioanal. Chem. 2004, 378, 1369–1375. [Google Scholar] [CrossRef] [PubMed]
- Soto, A.; Arce, A.; Khoshkbarchi, M.K. Partitioning of antibiotics in a two-liquid phase system formed by water and a room temperature ionic liquid. Sep. Purif. Technol. 2005, 44, 242–246. [Google Scholar] [CrossRef]
- Arai, S.; Nakashima, K.; Tanino, T.; Ogino, C.; Kondo, A.; Fukuda, H. Production of biodiesel fuel from soybean oil catalyzed by fungus whole-cell biocatalysts in ionic liquids. Enzym. Microb. Technol. 2010, 46, 51–55. [Google Scholar] [CrossRef]
- Lim, A.; Zhang, C.; Oktavianawati, I.; Hearn, M.T.W. Continuous enzymatic conversion of xylan with product recovery by liquid-liquid two-phase extraction. Clayton, Victoria, Australia, Unpublished work . 2015. [Google Scholar]
© 2015 by the authors. Licensee MDPI, Basel, Switzerland. This article is an open access article distributed under the terms and conditions of the Creative Commons Attribution license ( http://creativecommons.org/licenses/by/4.0/).
Share and Cite
Potdar, M.K.; Kelso, G.F.; Schwarz, L.; Zhang, C.; Hearn, M.T.W. Recent Developments in Chemical Synthesis with Biocatalysts in Ionic Liquids. Molecules 2015, 20, 16788-16816. https://doi.org/10.3390/molecules200916788
Potdar MK, Kelso GF, Schwarz L, Zhang C, Hearn MTW. Recent Developments in Chemical Synthesis with Biocatalysts in Ionic Liquids. Molecules. 2015; 20(9):16788-16816. https://doi.org/10.3390/molecules200916788
Chicago/Turabian StylePotdar, Mahesh K., Geoffrey F. Kelso, Lachlan Schwarz, Chunfang Zhang, and Milton T. W. Hearn. 2015. "Recent Developments in Chemical Synthesis with Biocatalysts in Ionic Liquids" Molecules 20, no. 9: 16788-16816. https://doi.org/10.3390/molecules200916788
APA StylePotdar, M. K., Kelso, G. F., Schwarz, L., Zhang, C., & Hearn, M. T. W. (2015). Recent Developments in Chemical Synthesis with Biocatalysts in Ionic Liquids. Molecules, 20(9), 16788-16816. https://doi.org/10.3390/molecules200916788
