Optimization of Ultrasonic-Assisted Extraction of Flavonoid Compounds and Antioxidants from Alfalfa Using Response Surface Method
Abstract
:1. Introduction
2. Results and Discussion
2.1. Single-Factor Experiments
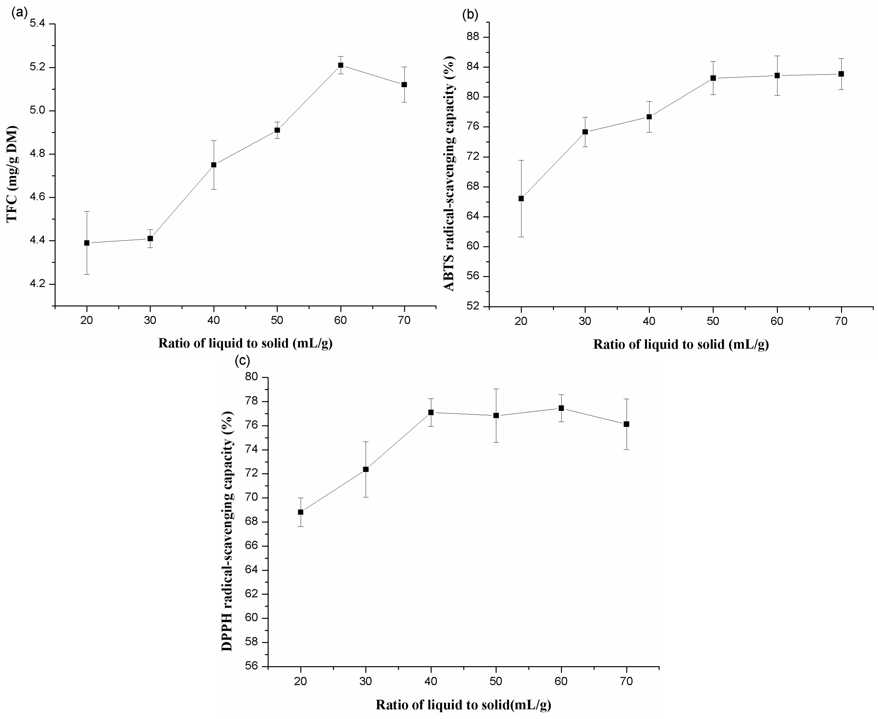
2.1.1. Effects of Different Ratio of Liquid to Solid

2.1.2. Effects of Different Extraction Temperature

2.1.3. Effects of Different Extraction Time

2.1.4. Effects of Different Ethanol Concentration

2.2. Optimization by RSM
2.2.1. Fitting the Model
| Run | X1(Rls) a | X2(Et) b | X3(T) c | X4(Ec) d | TFC (mg RE/g) | ABTS (%) | DPPH (%) | |||
|---|---|---|---|---|---|---|---|---|---|---|
| exp | pred | exp | pred | exp | pred | |||||
| 1 | 40(−1) | 50(−1) | 40(−1) | 30(−1) | 4.76 | 4.81 | 76.30 | 77.60 | 68.98 | 69.00 |
| 2 | 60(1) | 50(−1) | 40(−1) | 30(−1) | 5.40 | 5.46 | 78.85 | 79.01 | 75.03 | 74.96 |
| 3 | 40(−1) | 70(1) | 40(−1) | 30(−1) | 4.98 | 5.01 | 78.96 | 79.08 | 75.15 | 74.57 |
| 4 | 60(1) | 70(1) | 40(−1) | 30(−1) | 5.39 | 5.45 | 79.57 | 76.69 | 74.07 | 73.93 |
| 5 | 40(−1) | 50(−1) | 80(1) | 30(−1) | 4.98 | 4.98 | 80.04 | 80.12 | 70.38 | 70.79 |
| 6 | 60(1) | 50(−1) | 80(1) | 30(−1) | 5.25 | 5.28 | 84.38 | 84.51 | 73.57 | 73.05 |
| 7 | 40(−1) | 70(1) | 80(1) | 30(−1) | 4.94 | 4.92 | 80.76 | 80.98 | 76.15 | 76.85 |
| 8 | 60(1) | 70(1) | 80(1) | 30(−1) | 5.00 | 5.01 | 83.99 | 84.57 | 72.94 | 72.49 |
| 9 | 40(−1) | 50(−1) | 40(−1) | 50(1) | 5.35 | 5.41 | 83.10 | 82.85 | 71.86 | 72.24 |
| 10 | 60(1) | 50(−1) | 40(−1) | 50(1) | 6.07 | 6.06 | 82.02 | 82.06 | 81.09 | 80.04 |
| 11 | 40(−1) | 70(1) | 40(−1) | 50(1) | 5.89 | 5.82 | 84.36 | 84.50 | 75.70 | 75.87 |
| 12 | 60(1) | 70(1) | 40(−1) | 50(1) | 6.19 | 6.26 | 82.68 | 82.92 | 77.55 | 77.06 |
| 13 | 40(−1) | 50(−1) | 80(1) | 50(1) | 5.84 | 5.75 | 81.13 | 81.28 | 72.46 | 72.25 |
| 14 | 60(1) | 50(−1) | 80(1) | 50(1) | 6.00 | 6.04 | 83.27 | 83.47 | 75.83 | 76.33 |
| 15 | 40(−1) | 70(1) | 80(1) | 50(1) | 5.88 | 5.89 | 82.15 | 82.31 | 76.36 | 76.35 |
| 16 | 60(1) | 70(1) | 80(1) | 50(1) | 6.05 | 5.97 | 84.41 | 83.70 | 74.20 | 73.82 |
| 17 | 30(−2) | 60(0) | 60(0) | 40(0) | 5.24 | 5.27 | 79.40 | 78.89 | 73.36 | 72.71 |
| 18 | 70(2) | 60(0) | 60(0) | 40(0) | 6.08 | 6.01 | 81.77 | 81.69 | 75.06 | 76.14 |
| 19 | 50(0) | 40(−2) | 60(0) | 40(0) | 5.53 | 5.48 | 82.29 | 81.85 | 73.20 | 73.25 |
| 20 | 50(0) | 80(2) | 60(0) | 40(0) | 5.61 | 5.62 | 83.71 | 83.56 | 75.94 | 76.32 |
| 21 | 50(0) | 60(0) | 20(−2) | 40(0) | 5.51 | 5.41 | 77.83 | 77.35 | 75.13 | 75.79 |
| 22 | 50(0) | 60(0) | 100(2) | 40(0) | 5.23 | 5.30 | 80.77 | 80.66 | 74.59 | 74.35 |
| 23 | 50(0) | 60(0) | 60(0) | 20(−2) | 4.80 | 4.71 | 83.88 | 82.97 | 70.73 | 70.83 |
| 24 | 50(0) | 60(0) | 60(0) | 60(2) | 6.23 | 6.28 | 87.04 | 87.35 | 75.09 | 75.41 |
| 25 | 50(0) | 60(0) | 60(0) | 40(0) | 6.06 | 6.15 | 85.52 | 86.07 | 80.03 | 70.83 |
| 26 | 50(0) | 60(0) | 60(0) | 40(0) | 6.28 | 6.15 | 86.47 | 86.07 | 79.14 | 75.41 |
| 27 | 50(0) | 60(0) | 60(0) | 40(0) | 6.18 | 6.15 | 85.76 | 86.07 | 79.95 | 79.73 |
| 28 | 50(0) | 60(0) | 60(0) | 40(0) | 6.11 | 6.15 | 86.13 | 86.07 | 80.13 | 79.73 |
| 29 | 50(0) | 60(0) | 60(0) | 40(0) | 6.16 | 6.15 | 86.23 | 86.07 | 79.23 | 79.73 |
| 30 | 50(0) | 60(0) | 60(0) | 40(0) | 6.10 | 6.15 | 86.32 | 86.07 | 79.90 | 79.73 |
| Response | Model Equation a | |
|---|---|---|
| Y1 | TFC(mg RE/g) | Y1 = 6.15 + 0.18X1 + 0.034X2 − 0.027X3 + 0.39X4 − 0.053X1X2 − 0.090X1X3 − 0.001724X1X4 − 0.066X2X3 + 0.052X2X4 + 0.040X3X4 − 0.13X12 − 0.15X22 − 0.2X32 − 0.16X42 |
| Y2 | ABTS radical-scavenging capability (%) | Y2 = 225.29 + 11.75X1 + 4.41X2 + 16.40X3 + 28.77X4 + 0.64X1X2 + 8.87X1X3 + 4.80X1X4 + 0.38X2X3 + 0.031X2X4 + 16.73X3X4 + 57.38X12 + 19.46X22 + 85.62X32 + 1.42X42 |
| Y3 | DPPH radical-scavenging capability (%) | Y3 = 277.99 + 17.73X1 + 14.15X2 + 3.10X3 + 31.50X4 + 43.73X1X2 + 13.82X1X3 + 3.36X1X4 + 0.23X2X3 + 3.79X2X4 + 3.21X3X4 + 48.28X12 + 41.95X22 + 37.23X32 + 74.86X42 |
| Source | Sum of Squares | Degree of Freedom | Mean Square | f-Value | p-Value | Significant b | |
|---|---|---|---|---|---|---|---|
| Y1 | Model a | 6.93 | 14 | 0.50 | 69.03 | ˂0.0001 | ** |
| X1 | 0.82 | 1 | 0.82 | 115.29 | ˂0.0001 | ** | |
| X2 | 0.029 | 1 | 0.029 | 4.02 | 0.0634 | ||
| X3 | 0.018 | 1 | 0.018 | 2.55 | 0.1309 | ||
| X4 | 3.7 | 1 | 3.70 | 522.30 | ˂0.0001 | ** | |
| X1X2 | 0.045 | 1 | 0.045 | 6.37 | 0.0234 | * | |
| X1X3 | 0.13 | 1 | 0.13 | 18.20 | 0.0007 | ** | |
| X1X4 | 4.758 × 10−5 | 1 | 4.758 × 10−5 | 6.708 × 10−3 | 0.9358 | ||
| X2X3 | 0.069 | 1 | 0.069 | 9.79 | 0.0069 | ** | |
| X2X4 | 0.044 | 1 | 0.044 | 6.15 | 0.0255 | * | |
| X3X4 | 0.026 | 1 | 0.026 | 3.66 | 0.0749 | ||
| X12 | 0.45 | 1 | 0.45 | 63.11 | ˂0.0001 | ** | |
| X22 | 0.61 | 1 | 0.61 | 85.71 | ˂0.0001 | ** | |
| X32 | 1.09 | 1 | 1.09 | 153.67 | ˂0.0001 | ** | |
| X42 | 0.74 | 1 | 0.74 | 103.82 | ˂0.0001 | ** | |
| Residual | 0.11 | 15 | 7.092× 10−3 | ||||
| Lack of fit | 0.076 | 10 | 7.552× 10−3 | 1.22 | 0.4360 | ||
| Pure error | 0.031 | 5 | 6.172× 10−3 | ||||
| R2 = 0.9849; Adj R2 = 0.9708; Pred R2 = 0.9319; Adeq Precision = 26.390; C.V.% = 1.49 | |||||||
| Source | Degree of Freedom | ABTS Radical Scavenging Capacity (%) | DPPH Radical Scavenging Capacity (%) | ||||||||||
|---|---|---|---|---|---|---|---|---|---|---|---|---|---|
| Sum of Squares | Mean Square | f-Value | p-Value | Significant b | Sum of Squares | Mean Square | f-Value | p-Value | Significant b | ||||
| Y2 Model a | 14 | 225.29 | 16.09 | 54.25 | ˂0.0001 | ** | Y3 277.99 | 19.86 | 44.25 | ˂0.0001 | ** | ||
| X1 | 1 | 11.75 | 11.75 | 39.62 | ˂0.0001 | ** | 17.73 | 17.73 | 39.51 | ˂0.0001 | ** | ||
| X2 | 1 | 4.41 | 4.41 | 14.86 | 0.0016 | * | 14.15 | 14.15 | 31.53 | ˂0.0001 | ** | ||
| X3 | 1 | 16.40 | 16.40 | 55.29 | ˂0.0001 | ** | 3.10 | 3.10 | 6.90 | 0.0190 | * | ||
| X4 | 1 | 28.77 | 28.77 | 97.01 | ˂0.0001 | ** | 31.50 | 31.50 | 70.21 | ˂0.0001 | ** | ||
| X1X2 | 1 | 0.64 | 0.64 | 2.16 | 0.1626 | 43.73 | 43.73 | 97.46 | 0.0234 | * | |||
| X1X3 | 1 | 8.87 | 8.87 | 29.91 | ˂0.0001 | ** | 13.82 | 13.82 | 30.80 | 0.0007 | ** | ||
| X1X4 | 1 | 4.80 | 4.80 | 16.19 | 0.0011 | ** | 3.36 | 3.36 | 7.48 | 0.9358 | |||
| X2X3 | 1 | 0.38 | 0.38 | 1.29 | 0.2732 | 0.23 | 0.23 | 0.50 | 0.0069 | ** | |||
| X2X4 | 1 | 0.031 | 0.031 | 0.10 | 0.7508 | 3.79 | 3.79 | 8.44 | 0.0255 | * | |||
| X3X4 | 1 | 16.73 | 16.73 | 56.40 | ˂0.0001 | ** | 3.21 | 3.21 | 7.15 | 0.0749 | |||
| X12 | 1 | 57.38 | 57.38 | 193.46 | ˂0.0001 | ** | 48.28 | 48.28 | 107.60 | ˂0.0001 | ** | ||
| X22 | 1 | 19.46 | 19.46 | 65.60 | ˂0.0001 | ** | 41.95 | 41.95 | 93.49 | ˂0.0001 | ** | ||
| X32 | 1 | 85.62 | 85.62 | 288.68 | ˂0.0001 | ** | 37.23 | 37.23 | 82.98 | ˂0.0001 | ** | ||
| X42 | 1 | 1.42 | 1.42 | 4.78 | 0.0451 | * | 74.86 | 74.86 | 166.84 | ˂0.0001 | ** | ||
| Residual | 15 | 4.45 | 0.30 | 6.73 | 0.45 | ||||||||
| Lack of fit | 10 | 3.79 | 0.38 | 2.87 | 0.1279 | 5.81 | 0.58 | 3.17 | 0.4527 | ||||
| Pure error | 5 | 0.66 | 0.13 | 0.92 | 0.18 | ||||||||
| R2 = 0.9806; Adj R2 = 0.9626; Pred R2 = 0.9009; Adeq Precision = 25.970; C.V.% = 0.66 | R2 = 0.9764; Adj R2 = 0.9543; Pred R2 = 0.8788; Adeq Precision = 23.316; C.V.% = 0.89 | ||||||||||||
2.2.2. Analysis of Response Surfaces



2.2.3. Verification of Predictive Model
| Response | Optimum Extraction Conditions b | Maximum Value | % Difference (CV) | ||||
|---|---|---|---|---|---|---|---|
| X1 | X2 | X3 | X4 | Experimental a | Predicted | ||
| Y1(RE mg/g) | 57.16 | 62.33 | 57.08 | 52.14 | 6.40 ± 0.08 | 6.46 | 1.32 |
| Y2 (%) | 47.29 | 63.73 | 51.62 | 60 | 87.38 ± 0.55 | 87.76 | 0.63 |
| Y3 (%) | 60.30 | 54.56 | 45.59 | 46.67 | 80.72 ± 0.54 | 80.48 | 0.67 |
2.2.4. Comparison with Conventional Extraction
| Methods | TFC | TPC | ABTS | DPPH | FRAP | |
|---|---|---|---|---|---|---|
| Ultrasonic-assisted extraction | E1 | 39.15 ± 0.63 a | 66.51 ± 1.52 a | 86.55 ± 0.07 a,b | 79.23 ± 0.68 a | 33.18 ± 0.14 b |
| E2 | 36.13 ± 0.68 b | 68.02 ± 0.43 a | 87.38 ± 0.68 a | 71.98 ± 0.13 b | 36.24 ± 0.11 a | |
| E3 | 34.88 ± 0.35 b | 58.35 ± 0.11 b | 85.58 ± 0.54 b | 80.72 ± 0.67 a | 32.68 ± 0.28 c | |
| Conventional | E4 | 29.73 ± 1.20 c | 48.36 ± 0.29 c | 70.85 ± 0.68 c | 66.73 ± 3.66 c | 32.65 ± 0.19 c |
3. Materials and Methods
3.1. Sample Collection and Pretreatment
3.2. Extraction of Flavonoids and Antioxidants
3.2.1. Ultrasound-Assisted Extraction of Flavonoids and Antioxidants from Alfalfa
3.2.2. Conventional Extraction
3.3. Single-Factor Experiments
3.4. Experimental Design
3.5. Determination of Total Flavonoid Content
3.6. Determination of Total Phenolic Content
3.7. Determination of Antioxidant Activity
3.7.1. DPPH Radical Scavenging Capacity Measurement
3.7.2. ABTS Radical Scavenging Capacity Measurement
3.7.3. Ferric-Reducing Antioxidant Power Assay (FRAP)
3.8. Statistical Analysis
4. Conclusions
Acknowledgments
Author Contributions
Conflicts of Interest
References
- Karimi, E.; Oskoueian, E.; Oskoueian, A.; Omidvar, V.; Hendra, R.; Nazeran, H. Insight into the functional and medicinal properties of Medicago sativa (Alfalfa) leaves extract. J. Med. Plant Res. 2013, 7, 290–297. [Google Scholar]
- Bora, K.S.; Sharma, A. Phytochemical and pharmacological potential of Medicago sativa: A review. Pharm. Biol. 2011, 49, 211–220. [Google Scholar] [CrossRef] [PubMed]
- Gaweł, E. Chemical compositions of lucerne leaf extract (EFL) and its applications as a phytobiotic in human nutrition. Acta Sci. Pol. Technol. Aliment. 2012, 11, 303–309. [Google Scholar] [PubMed]
- Zhu, J.M.; Li, N.; Zhang, Y.J.; Li, X.D.; Wang, C.Z. The research progress of alfalfa flavonoids. Pratac. Sci. 2009, 26, 156–162. [Google Scholar]
- Wang, S.P.; Dong, X.F.; Ma, H.; Cui, Y.M.; Tong, J.M. Purification, characterisation and protective effects of polysaccharides from alfalfa on hepatocytes. Carbohydr. Polym. 2014, 112, 608–614. [Google Scholar] [CrossRef] [PubMed]
- Sun, Y.; Long, R.C.; Zhang, T.J.; Yang, Q.C.; Zhou, H. Advances in the study of alfalfa saponin. Cao Ye Xue Bao 2013, 22, 274–283. [Google Scholar]
- Pietta, P.G. Flavonoids as antioxidants. J. Nat. Prod. 2000, 63, 1035–1042. [Google Scholar] [CrossRef] [PubMed]
- Heim, K.E.; Tagliaferro, A.R.; Bobilya, D.J. Flavonoid antioxidants: chemistry, metabolism and structure-activity relationships. J. Nutr. Biochem. 2002, 13, 572–584. [Google Scholar] [CrossRef]
- Caunii, A.; Pribac, G.; Grozea, I.; Gaitin, D.; Samfira, I. Design of optimal solvent for extraction of bio-active ingredients from six varieties of Medicago sativa. Chem. Cent. J. 2012, 6, 123. [Google Scholar] [CrossRef] [PubMed]
- Stochmal, A.; Piacente, S.; Pizza, C.; de Riccardis, F.; Leitz, R.; Oleszek, W. Alfalfa (Medicago sativa L.) flavonoids. 1. Apigenin and luteolin glycosides from aerial parts. J. Agric. Food Chem. 2001, 49, 753–758. [Google Scholar] [CrossRef] [PubMed]
- Stochmal, A.; Simonet, A.M.; Macias, F.A.; Oleszek, W. Alfalfa (Medicago sativa L.) flavonoids. 2. Tricin and chrysoeriol glycosides from aerial parts. J. Agric. Food Chem. 2001, 49, 5310–5314. [Google Scholar] [CrossRef] [PubMed]
- Wang, X.; Wu, Q.; Wu, Y.; Chen, G.; Yue, W.; Liang, Q. Response surface optimized ultrasonic-assisted extraction of flavonoids from Sparganii rhizoma and evaluation of their in vitro antioxidant activities. Molecules 2012, 17, 6769–6783. [Google Scholar] [CrossRef] [PubMed]
- Gao, Z.; Huang, K.; Yang, X.; Xu, H. Free radical scavenging and antioxidant activities of flavonoids extracted from the radix of Scutellaria baicalensis Georgi. Biochim. Biophys. Acta 1999, 1472, 643–650. [Google Scholar] [CrossRef]
- Zhang, Y.M.; Yan, S.J.; Cao, Z.Z.; Shi, S.L. Methodological Study for Total Flavonoid Extraction from Alfalfa by Microwave Assistance. Acta Agrestia Sin. 2008, 16, 76–80. [Google Scholar]
- Wang, L.; Yang, B.; Du, X.; Yi, C. Optimisation of supercritical fluid extraction of flavonoids from Pueraria lobata. Food Chem. 2008, 108, 737–741. [Google Scholar] [CrossRef] [PubMed]
- Huang, W.; Xue, A.; Niu, H.; Jia, Z.; Wang, J. Optimised ultrasonic-assisted extraction of flavonoids from Folium eucommiae and evaluation of antioxidant activity in multi-test systems in vitro. Food Chem. 2009, 114, 1147–1154. [Google Scholar] [CrossRef]
- Novak, I.; Janeiro, P.; Seruga, M.; Oliveira-Brett, A.M. Ultrasound extracted flavonoids from four varieties of Portuguese red grape skins determined by reverse-phase high-performance liquid chromatography with electrochemical detection. Anal. Chim. Acta 2008, 630, 107–115. [Google Scholar] [CrossRef] [PubMed]
- Wang, J.; Sun, B.; Cao, Y.; Tian, Y.; Li, X. Optimisation of ultrasound-assisted extraction of phenolic compounds from wheat bran. Food Chem. 2008, 106, 804–810. [Google Scholar] [CrossRef]
- Wang, L.; Weller, C.L. Recent advances in extraction of nutraceuticals from plants. Trends Food Sci. Technol. 2006, 17, 300–312. [Google Scholar] [CrossRef]
- Bezerra, M.A.; Santelli, R.E.; Oliveira, E.P.; Villar, L.S.; Escaleira, L.A. Response surface methodology (RSM) as a tool for optimization in analytical chemistry. Talanta 2008, 76, 965–977. [Google Scholar] [CrossRef] [PubMed]
- Ji, Y.B.; Dong, F.; Ma, D.B.; Miao, J.; Jin, L.N.; Liu, Z.F.; Zhang, L.W. Optimizing the extraction of anti-tumor polysaccharides from the fruit of Capparis spionosa L. by response surface methodology. Molecules 2012, 17, 7323–7335. [Google Scholar] [CrossRef] [PubMed]
- Lai, J.; Xin, C.; Zhao, Y.; Feng, B.; He, C.; Dong, Y.; Fang, Y.; Wei, S. Optimization of ultrasonic assisted extraction of antioxidants from black soybean (Glycine max var.) sprouts using response surface methodology. Molecules 2013, 18, 1101–1110. [Google Scholar] [CrossRef] [PubMed]
- Myers, R.H.; Montgomery, D.C.; Anderson-Cook, C.M. Response Surface Methodology: Process and Product Optimization Using Designed Experiments; John Wiley & Sons: Hoboken, NJ, USA, 2009; pp. 629–641. [Google Scholar]
- Dahmoune, F.; Nayak, B.; Moussi, K.; Remini, H.; Madani, K. Optimization of microwave-assisted extraction of polyphenols from Myrtus communis L. leaves. Food Chem. 2015, 166, 585–595. [Google Scholar] [CrossRef] [PubMed]
- Lai, J.; Wang, H.; Wang, D.; Fang, F.; Wang, F.; Wu, T. Ultrasonic extraction of antioxidants from Chinese sumac (Rhus typhina L.) fruit using response surface methodology and their characterization. Molecules 2014, 19, 9019–9032. [Google Scholar] [CrossRef] [PubMed]
- Zhang, G.; He, L.; Hu, M. Optimized ultrasonic-assisted extraction of flavonoids from Prunella vulgaris L. and evaluation of antioxidant activities in vitro. Innov. Food Sci. Emerg. Technol. 2011, 12, 18–25. [Google Scholar] [CrossRef]
- Yang, L.; Cao, Y.L.; Jiang, J.G.; Lin, Q.S.; Chen, J.; Zhu, L. Response surface optimization of ultrasound-assisted flavonoids extraction from the flower of Citrus aurantium L. var. amara Engl. J. Sep. Sci. 2010, 33, 1349–1355. [Google Scholar] [PubMed]
- Zou, T.B.; Xia, E.Q.; He, T.P.; Huang, M.Y.; Jia, Q.; Li, H.W. Ultrasound-assisted extraction of mangiferin from mango (Mangifera indica L.) leaves using response surface methodology. Molecules 2014, 19, 1411–1421. [Google Scholar] [CrossRef] [PubMed]
- Pompeu, D.; Silva, E.; Rogez, H. Optimisation of the solvent extraction of phenolic antioxidants from fruits of Euterpe oleracea using Response Surface Methodology. Bioresour. Technol. 2009, 100, 6076–6082. [Google Scholar] [CrossRef] [PubMed]
- Hemwimol, S.; Pavasant, P.; Shotipruk, A. Ultrasound-assisted extraction of anthraquinones from roots of Morinda citrifolia. Ultrason. Sonochem. 2006, 13, 543–548. [Google Scholar] [CrossRef] [PubMed]
- Chan, E.; Lim, Y.; Wong, S.; Lim, K.; Tan, S.; Lianto, F.; Yong, M. Effects of different drying methods on the antioxidant properties of leaves and tea of ginger species. Food Chem. 2009, 113, 166–172. [Google Scholar] [CrossRef]
- Silva, E.; Rogez, H.; Larondelle, Y. Optimization of extraction of phenolics from Inga edulis leaves using response surface methodology. Sep. Purif. Technol. 2007, 55, 381–387. [Google Scholar] [CrossRef]
- Liyana-Pathirana, C.; Shahidi, F. Optimization of extraction of phenolic compounds from wheat using response surface methodology. Food Chem. 2005, 93, 47–56. [Google Scholar] [CrossRef]
- Lissi, E.A.; Modak, B.; Torres, R.; Escobar, J.; Urzua, A. Total antioxidant potential of resinous exudates from Heliotropium species, and a comparison of the ABTS and DPPH methods. Free Radic. Res. 1999, 30, 471–477. [Google Scholar] [CrossRef] [PubMed]
- Wang, M.; Li, J.; Rangarajan, M.; Shao, Y.; LaVoie, E.J.; Huang, T.C.; Ho, C.T. Antioxidative phenolic compounds from sage (Salvia officinalis). J. Agric. Food Chem. 1998, 46, 4869–4873. [Google Scholar] [CrossRef]
- Prior, R.L.; Wu, X.; Schaich, K. Standardized methods for the determination of antioxidant capacity and phenolics in foods and dietary supplements. J. Agric. Food Chem. 2005, 53, 4290–4302. [Google Scholar] [CrossRef] [PubMed]
- Mustafa, A.; Turner, C. Pressurized liquid extraction as a green approach in food and herbal plants extraction: A review. Anal. Chim. Acta 2011, 703, 8–18. [Google Scholar] [CrossRef] [PubMed]
- Garcia-Castello, E.; Rodriguez-Lopez, A.; Mayor, L.; Ballesteros, R.; Conidi, C.; Cassano, A. Optimization of conventional and ultrasound assisted extraction of flavonoids from grapefruit (Citrus paradisi L.) solid wastes. LWT-Food Sci. Technol. 2015, 64, 1114–1122. [Google Scholar] [CrossRef]
- Luthria, D.L.; Biswas, R.; Natarajan, S. Comparison of extraction solvents and techniques used for the assay of isoflavones from soybean. Food Chem. 2007, 105, 325–333. [Google Scholar] [CrossRef]
- Alothman, M.; Bhat, R.; Karim, A. Antioxidant capacity and phenolic content of selected tropical fruits from Malaysia, extracted with different solvents. Food Chem. 2009, 115, 785–788. [Google Scholar] [CrossRef]
- Otero-Pareja, M.J.; Casas, L.; Fernández-Ponce, M.T.; Mantell, C.; Ossa, E.J. Green extraction of antioxidants from different varieties of red grape pomace. Molecules 2015, 20, 9686–9702. [Google Scholar] [CrossRef] [PubMed]
- European Food Safety Authority. Scientific Opinion on the evaluation of the substances currently on the list in the annex to Commission Directive 96/3/EC as acceptable previous cargoes for edible fats and oils. Part II of III. EFSA J. 2012, 5, 150. [Google Scholar]
- The Joint FAO/WHO Expert Committee on Food Additives. Toxicological evaluation of some extraction solvents and certain other substances. In The FAO Nutrition Meetings Report Series 48A, Proceedings of the Fourteenth Meeting of the Joint FAO/WHO Expert Committee on Food Additives, Geneva, Switzerland, 24 June–2 July 1970.
- Butnariu, M. An analysis of Sorghum halepense’s behavior in presence of tropane alkaloids from Datura stramonium extracts. Chem. Cent. J. 2012, 6, 75. [Google Scholar] [CrossRef] [PubMed]
- Thoo, Y.Y.; Ho, S.K.; Liang, J.Y.; Ho, C.W.; Tan, C.P. Effects of binary solvent extraction system, extraction time and extraction temperature on phenolic antioxidants and antioxidant capacity from mengkudu (Morinda citrifolia). Food Chem. 2010, 120, 290–295. [Google Scholar] [CrossRef]
- Zhang, Z.S.; Li, D.; Wang, L.J.; Ozkan, N.; Chen, X.D.; Mao, Z.H.; Yang, H.Z. Optimization of ethanol-water extraction of lignans from flaxseed. Sep. Purif. Technol. 2007, 57, 17–24. [Google Scholar] [CrossRef]
- Yuan, J.; Huang, J.; Wu, G.; Tong, J.; Xie, G.; Duan, J.A.; Qin, M. Multiple responses optimization of ultrasonic-assisted extraction by response surface methodology (RSM) for rapid analysis of bioactive compounds in the flower head of Chrysanthemum morifolium Ramat. Ind. Crops Prod. 2015, 74, 192–199. [Google Scholar] [CrossRef]
- Shin, Y.; Liu, R.H.; Nock, J.F.; Holliday, D.; Watkins, C.B. Temperature and relative humidity effects on quality, total ascorbic acid, phenolics and flavonoid concentrations, and antioxidant activity of strawberry. Postharvest Biol. Technol. 2007, 45, 349–357. [Google Scholar] [CrossRef]
- Ebrahimzadeh, M.A.; Pourmorad, F.; Bekhradnia, A.R. Iron chelating activity, phenol and flavonoid content of some medicinal plants from Iran. Afr. J. Biotechnol. 2008, 7, 3188–3192. [Google Scholar]
- Tay, P.Y.; Tan, C.P.; Abas, F.; Yim, H.S.; Ho, C.W. Assessment of extraction parameters on antioxidant capacity, polyphenol content, epigallocatechin gallate (EGCG), epicatechin gallate (ecg) and iriflophenone 3-C-β-glucoside of agarwood (Aquilaria crassna) young leaves. Molecules 2014, 19, 12304–12319. [Google Scholar] [CrossRef] [PubMed]
- Zhou, J.; Zheng, X.; Yang, Q.; Liang, Z.; Li, D.; Yang, X.; Xu, J. Optimization of ultrasonic-assisted extraction and radical-scavenging capacity of phenols and flavonoids from Clerodendrum cyrtophyllum turcz leaves. PLoS ONE 2013, 8, e68392. [Google Scholar] [CrossRef] [PubMed]
- Liu, Z.C.; Zhang, L.K.; Yu, C.; Feng, J.G. Optimization of ultrasound assisted extraction of flavonoids from germinated brown rice using response surface methodology. Food Sci. 2012, 8, 16. [Google Scholar]
- Ruiz-Gutiérrez, M.G.; Amaya-Guerra, C.A.; Quintero-Ramos, A.; Pérez-Carrillo, E.; Ruiz-Anchondo, T.J.; Báez-González, J.G.; Meléndez-Pizarro, C.O. Effect of extrusion cooking on bioactive compounds in encapsulated red cactus pear powder. Molecules 2015, 20, 8875–8892. [Google Scholar] [CrossRef] [PubMed]
- Wang, S.P.; Dong, X.F.; Tong, J.M. Optimization of enzyme-assisted extraction of polysaccharides from alfalfa and its antioxidant activity. Int. J. Biol. Macromol. 2013, 62, 387–396. [Google Scholar] [CrossRef] [PubMed]
- Thoo, Y.Y.; Ho, S.K.; Abas, F.; Lai, O.M.; Ho, C.W.; Tan, C.P. Optimal binary solvent extraction system for phenolic antioxidants from mengkudu (Morinda citrifolia) fruit. Molecules 2013, 18, 7004–7022. [Google Scholar] [CrossRef] [PubMed]
- Paz, M.; Gúllon, P.; Barroso, M.F.; Carvalho, A.P.; Domingues, V.F.; Gomes, A.M.; Becker, H.; Longhinotti, E.; Delerue-Matos, C. Brazilian fruit pulps as functional foods and additives: Evaluation of bioactive compounds. Food Chem. 2015, 172, 462–468. [Google Scholar] [CrossRef] [PubMed]
- Sample Availability: Samples of the compounds are available from the authors.
© 2015 by the authors. Licensee MDPI, Basel, Switzerland. This article is an open access article distributed under the terms and conditions of the Creative Commons Attribution license ( http://creativecommons.org/licenses/by/4.0/).
Share and Cite
Jing, C.-L.; Dong, X.-F.; Tong, J.-M. Optimization of Ultrasonic-Assisted Extraction of Flavonoid Compounds and Antioxidants from Alfalfa Using Response Surface Method. Molecules 2015, 20, 15550-15571. https://doi.org/10.3390/molecules200915550
Jing C-L, Dong X-F, Tong J-M. Optimization of Ultrasonic-Assisted Extraction of Flavonoid Compounds and Antioxidants from Alfalfa Using Response Surface Method. Molecules. 2015; 20(9):15550-15571. https://doi.org/10.3390/molecules200915550
Chicago/Turabian StyleJing, Chang-Liang, Xiao-Fang Dong, and Jian-Ming Tong. 2015. "Optimization of Ultrasonic-Assisted Extraction of Flavonoid Compounds and Antioxidants from Alfalfa Using Response Surface Method" Molecules 20, no. 9: 15550-15571. https://doi.org/10.3390/molecules200915550
APA StyleJing, C.-L., Dong, X.-F., & Tong, J.-M. (2015). Optimization of Ultrasonic-Assisted Extraction of Flavonoid Compounds and Antioxidants from Alfalfa Using Response Surface Method. Molecules, 20(9), 15550-15571. https://doi.org/10.3390/molecules200915550
