Next Article in Journal
Current Research on Antiepileptic Compounds
Previous Article in Journal
An Efficient and Recyclable Nanoparticle-Supported Cobalt Catalyst for Quinoxaline Synthesis
 
 
Font Type:
Arial Georgia Verdana
Font Size:
Aa Aa Aa
Line Spacing:
Column Width:
Background:
Article

Condensation of Diacetyl with Alkyl Amines: Synthesis and Reactivity of p-Iminobenzoquinones and p-Diiminobenzoquinones

by
Carlos Espinoza-Hicks
,
Rafael Bautista
,
Saúl Frias-Puente
,
Vanessa Pelayo
,
Eder I. Martínez-Mora
,
Francisco Delgado
and
Joaquín Tamariz
*
Departamento de Química Orgánica, Escuela Nacional de Ciencias Biológicas, Instituto Politécnico Nacional. Prol. Carpio y Plan de Ayala, 11340 México, Mexico
*
Author to whom correspondence should be addressed.
Present address: Departamento de Investigación y Desarrollo, Signa, S.A. de C.V., Av. Industria Automotriz No. 301, Zona Industrial Toluca, 50200, Toluca, Edo. de México, Mexico.
Molecules 2015, 20(11), 20719-20740; https://doi.org/10.3390/molecules201119716
Submission received: 16 October 2015 / Revised: 5 November 2015 / Accepted: 6 November 2015 / Published: 20 November 2015
(This article belongs to the Section Organic Chemistry)

Abstract

:
Condensation reactions between diacetyl and α-branched primary alkylamines under mild and neutral conditions provided a mixture of 2,5-dimethylbenzoquinone(alkylimines), 2,5-dimethylbenzoquinone(bis-alkyldiimines), and N,N′-dialkyl-2,5-dimethylbenzene-1,4-diamines, which were efficiently separated as pure products by column chromatography. Both 2,5-dimethylbenzoquinone(alkylimines) and 2,5-dimethylbenzoquinone(bis-alkyldiimines) underwent an interchange of the alkylimino group when treated with anilines, followed by reductive aromatization, to provide diarylamines and 1,4-dianilinobenzenes, respectively. Evaluation was also made of the reactivity and selectivity of these compounds in the presence of anilines, thiophenols and alkylhalides.

1. Introduction

Diacetyl (1a), a yellow liquid with an intense buttery flavor, has been extensively used in food chemistry [1,2]. Its vicinal dicarbonyl group provides it an attractive and very particular reactive behavior. Consequently, both 1a and α-dicarbonyl compounds have been the object of a variety of pharmacological [3], phytochemical [4], photochemical [5], and synthetic studies [6,7]. For example, a series of α-dicarbonyl derivatives displays interesting fluorescent [8], structural [9], anti-corrosion [10], anti-inflammatory [11,12], antiprotozoal [13], or polymeric photoinitiator [14] properties. These derivatives can also be versatile substrates in the synthesis of a variety of compounds, including a large number of heterocycles [15,16,17,18,19,20], some building blocks (e.g., chiral α-hydroxy ketones [21,22]), and transition-metal ligands [23].
As part of an ongoing line of research, we used 1a and α-dicarbonyl compounds as the key precursors in the synthesis of captodative alkenes [24] and exo-heterocyclic dienes [25]. The behavior of these relevant conjugated π-systems was experimentally and theoretically evaluated in Diels-Alder [24,25,26,27] and 1,3-dipolar [28,29,30] cycloadditions. Their scaffold was functionalized through Pd(0)-catalyzed coupling procedures [31] and used in the transformation of ligand-containing transition-metal complexes [32].
Recently, as a result of the synthesis of novel 2-imidazolidinone-base outer-ring exo-heterocyclic dienes 5 [27], we found that a base-assisted condensation/cyclization cascade reaction of monoimino diacetyl derivatives 3 and isocyanates in the presence of a dehydrating agent provided the desired dienes in high yields (Scheme 1). The monoimino diacetyl derivatives 3 were efficiently prepared by reacting 1a with anilines 2 under neutral or Lewis acid catalysis conditions. However, derivatives 3 could not be prepared by using primary alkylamines. Only a limited number of old reports have described this kind of reaction, which exclusively yield brownish resins and oils, except for the thermochromic amber-yellow colored crystalline 2,5-dimethylbenzoquinone-bis-cyclohexyldiimine (8b) afforded by cyclohexylamine (6b) [33] (see below). All our attempts to purify these compounds by column chromatography over silica gel furnished decomposition resins.
Considering the limited scope of this reaction and the instability of the products, it is comprehensible that, to our best knowledge, no additional studies on this process have been reported. In spite of the drawbacks of an apparently disappointing and uninspiring reaction, we saw promise. With further investigation, in the mixture found of products 79, the proportion depended on the reaction conditions. Therefore, we herein describe the efforts to gain insight into the limits and scope of this interesting reaction between diacetyl (1a) and alkylamines 6.
Scheme 1. Reaction of diacetyl (1a) with anilines 2 and alkylamines 6.
Scheme 1. Reaction of diacetyl (1a) with anilines 2 and alkylamines 6.
Molecules 20 19716 g002

2. Results and Discussion

2.1. Condensation of Diacetyl (1a) with Amines 6

Table 1 summarizes the reaction conditions of the process between 1a and isopropylamine (6a). It appears that both the presence and proportion of two or three products depends not only on the number of mol equivalents of the amine, but also on the concentration of the reaction mixture (entries 1–4). Among the several solvents tested, methanol turned out to be the most efficient, though propanol could provide similar results albeit in lower yields (entry 5). The process yielded a larger proportion of iminoquinones 7a and 8a as well as their greater conversion when using twice the amount of 6a and at high dilution (entry 4).
Interestingly, when hydroquinone was added to quench the probable formation of radical species, 1,4-diaminobenzene compound 9a was the lone product (entry 6). This result suggests that the aromatization was readily performed under mild reductive conditions (see below). These three products could be separated as solids by flash column chromatography over 10% triethylamine pre-treated silica gel. However, if the crude mixture remained in the column for a long time, the yields decreased and many red and brown resin products were formed. Particular caution should be taken with products 7 and 8, keeping them under refrigeration. Despite their instability, they can be handled at room temperature for further transformations.
Table 1. Optimization of reaction conditions for the preparation of compounds 7a9a a. Molecules 20 19716 i001
Table 1. Optimization of reaction conditions for the preparation of compounds 7a9a a. Molecules 20 19716 i001
Entryi-PrNH2 (6a) (mol equiv.)Solvent (mmol/mL) bAdditive (10% mol)Products (%) c
10.5MeOH (0.46)----------7a (10), 9a (13)
20.5MeOH (1.14)----------7a (8), 8a (2), 9a (12)
31MeOH (0.46)----------7a (12), 8a (15), 9a (40)
42MeOH (0.23)----------7a (30), 8a (21), 9a (41)
50.5n-PrOH (0.46)----------7a (5), 9a (8)
62MeOH (0.23)hydroquinone9a (68)
a At room temperature for 48 h. b Concentration with respect to 1a (11.44 mmol). c After column chromatography.
Analogous results were obtained when other α-branched primary amines were used (Table 2). Thus, cyclohexylamine (6b) reacted with 1a under similar conditions to those used for 6a to yield the expected three products 7b/8b/9b (entry 1). Nevertheless, for (S)-methylbenzylamine (6c), the iminoquinone 7c was not observed (entry 2).
Table 2. Condensation of 1a with primary amines 6bf a. Molecules 20 19716 i002
Table 2. Condensation of 1a with primary amines 6bf a. Molecules 20 19716 i002
EntryAmineRProducts (%) b
16bcyclohexyl7b (29), 8b (23), 9b (39)
26c(S)-CH(Me)Ph7c (0), 8c (16), 9c (30)
36dn-butyl7d (0), 8d (0), 9d (18)
46en-propyl(c)
56fBn(c)
a With 2.0 mol equiv. of the amine in MeOH (0.23 mmol/mL) at room temperature for 48 h. b After column chromatography. c A complex mixture of products.
Also tested were primary n-alkylamines, such as n-propylamine (6e) and benzylamine (6f), obtaining a complex mixture of products (Table 2, entries 4–5). n-Butylamine (6d) afforded the corresponding 1,4-diaminobenzene 9d in low yield (18%). These results could not be improved even when modifying the solvent, temperature and reaction times. Therefore, it appears that this kind of processes (leading to the formation of iminoquinones 79) did not occur when primary amines were used, with the exception of n-butylamine that led to 9d in low yield.

2.2. Functionalization of Iminoquinone 7a. Synthesis of Diarylamines and Polysubstituted Benzene Rings

Iminoquinone 7a underwent substitution at the isopropylimino moiety when it reacted with anilines 2ac to furnish iminoquinones 10ac in moderate to good yields (Scheme 2). Diverse studies have used the latter kind of molecules as intermediates for oxidative couplings of anilines with phenols to form dyes [34,35]. Iminoquinones have more recently resulted from oxidative bioconjugated couplings of anilines [36,37]. Interestingly, only the first of the two possible (E) and (Z) geometric isomers was obtained presently, which may be due to the destabilizing steric interactions generated in the (Z) isomer. The geometry was established by NOE experiments and single crystal X-ray diffraction of 8a (Figure 1).
Figure 1. X-ray structure of 8a (ellipsoids at the 30% probability level).
Figure 1. X-ray structure of 8a (ellipsoids at the 30% probability level).
Molecules 20 19716 g001
Diarylamines have become important synthetic targets as fine chemicals and precursors of a variety of N-containing pharmacological and natural products [38,39,40], such as carbazoles and ellipticines [41,42,43,44,45]. Due to the importance of diarylamines, a great number of synthetic approaches have been designed for their preparation [46,47,48]. One of the shortest and most efficient methods is through the Buchwald-Hartwig reaction, which consists of a Pd-catalyzed cross-coupling of aryl halides and anilines [49,50,51,52,53,54]. Another is the Ullmann reaction via a Cu-catalyzed coupling of similar substrates [55,56].
Consequently, we have investigated the conversion of iminoquinones 10ac into polysubstituted diarylamines 1118. Aromatization of iminoquinones 10ac under mild treatment with sodium hydrosulfite led to diarylamines 11ac in high yields (Scheme 2). The latter compounds were reacted with different alkyl halides in order to obtain the O- or N-alkyl derivatives 12ad. Accordingly, benzyl bromide (1.0 mol equiv.) afforded the O-benzylated diarylamine 12a in high yield, while the reaction of 11ab with methyl bromoacetate led to phenoxyacetates 12bc, respectively, in good yields. When compound 11b was submitted to methylation with methyl iodine (2.0 mol equiv.), the O,N-dimethyl diarylamine 12d was yielded.
Scheme 2. Conversion of 7a into diarylamines 1114.
Scheme 2. Conversion of 7a into diarylamines 1114.
Molecules 20 19716 g003
A further functionalization of iminoquinone 10b was successfully accomplished by adding a series of thiols 13ad, furnishing the series of diarylamines 14ad in modest to good yields (Scheme 2). Thus, the aminophenolic ring became a pentasubstituted benzene ring. Although we expected that the most polarized enone-quinoid system of 10b would be the most reactive site for the nucleophilic conjugated addition, the imino-quinoid moiety was the site at which the conjugated addition of thiols 13ad took place, followed by spontaneous aromatization. Although both alkyl- and arylthiols reacted efficiently, the latter furnished the desired products in higher yields.
This preference may be the result of favorable electronic interactions between both species. Presumably, thiophenol (a soft nucleophile) is selectively added to the conjugated imino-quinoid moiety, which should be softer than the enone moiety. The latter is highly polarized by the oxygen atom, mainly due to its electronegativity, which turns the enone system into a harder electrophile [57]. Although the results of similar studies support the importance of these electronic effects to explain this chemoselectivity [58], steric hindrance cannot be ruled out. The conjugated attack of the bulky thiophenol to the enone may be restrained by the presence of the vicinal anilino group, whose (E) configuration places the aryl ring on the same side of the unsubstituted enone carbon. In addition, this aryl ring adopts a slightly non-coplanar conformation with respect to the plane formed by the imino-quinoid ring [59,60], which may enhance such steric repulsion.
The structure of phenols 14ad was unambiguously established by 2D and NOE NMR experiments. The 2D HMBC showed a clear three-bond correlation between the protons of the CH3-C6 methyl group, both carbon atoms attached to the OH group (C-1), and the lone benzene proton (C-5). A similar correlation was observed between the protons of the CH3-C3 methyl group and both carbon atoms at the base of the thioether and anilino groups (C-2 and C-4). Due to the close chemical shifts of the aromatic proton signals (selectively impeding irradiation as well as the ability to observe the corresponding signal enhancements), the NOE experiments were carried out with the O-allyl derivative of 14c (see compound 17c).
Taking into account the feasible nucleophilic conjugated addition of thiols 13 to 10b, anilines 2 were considered as potential nucleophiles. Therefore, the most nucleophilic p-anisidine (2b) was added to 10b, but no addition product was detected. In spite of this result, a trial was carried out starting from 7a and in the presence of an excess (2.0 mol equiv.) of 2b, followed by the reduction treatment, resulting in a mixture of 11b as the major product and the desired adduct 15 as the minor one (Scheme 3). Due to the difficulty of purifying the latter, the benzyl diarylamine 16 was generated (with compound 12a as the major product) in a one-pot procedure without the isolation of 15. It is worth mentioning that these reactions followed the same chemoselective addition pathway to the imino quinoid system as the thiols 13ad. The low yields of products 15 and 16, and the fact that other less activated anilines were unable to give the double addition, may be explained by the lower nucleophilicity of anilines with respect to thiols. Also unsuccessful was the conjugated addition of soft nucleophiles, such as dimethyl malonate or nitromethane carbanions to iminoquinone 7a or anilinoquinone 10b, that led to the recovery of the starting materials.
Scheme 3. Conversion of 7a into diarylamines 15 and 16.
Scheme 3. Conversion of 7a into diarylamines 15 and 16.
Molecules 20 19716 g004
In order to increase the number of substituents with valuable functional groups on the phenol ring, we investigated the allylation of phenols 11bc and 14c and subsequent Claisen rearrangement (Scheme 4). The first reaction proceeded efficiently to give the corresponding allyl ethers 17ac in high yields. Derivative 17b was submitted to the thermal Claisen rearrangement to furnish the expected [61] pentasubstituted allyl phenol 19b in a modest yield, observing the starting material and decomposition by-products. However, iminoquinone 18a was the main product in the case of 17a, found along with the starting material and by-products (phenol 19a was not isolated). The electron-demand of the para substituent (anilino group) in precursors 17ab is presumably involved in this unexpected selectivity [62].
Scheme 4. Synthesis of allyl aryl ethers 17ac and their Claisen rearrangement.
Scheme 4. Synthesis of allyl aryl ethers 17ac and their Claisen rearrangement.
Molecules 20 19716 g005
The thioaryl analogue 17c was used in NOE experiments to support the HMBC assignment of the structures of derivatives 14ad. The irradiation of the signal attributed to the methylene group of the allyl moiety generated a selective enhancement of the signal assigned to the ortho (with respect to the sulfur atom) aromatic protons of the thioether group. This result, along with that of other NOE experiments, confirmed that the addition of the thiophenols 13ad to iminoquinone 10b took place at the imino-quinoid moiety.

2.3. Functionalization of bis-Iminoquinone 8a Synthesis of Amino-Diarylamines and bis-Diarylamines

Since the substitution of the isopropylamino group in iminoquinone 7a by anilines 2ac proceeded to give iminoquinones 10ac, it was considered that bis-iminoquinone 8a could possibly undergo a mono- or bis-substitution by anilines 2ae (Scheme 5). Indeed, the addition of 1.0 mol equiv of deactivated anilines 2de to bis-iminoquinone 8a resulted in the formation of p-aminodiarylamines 20ab in low to modest yields. On the other hand, the addition of an excess of anilines 2ab and 2d produced a double substitution of the two isopropylamino groups by the aniline nucleophiles leading to corresponding bis-iminoquinones 21ac. The most activated p-anisidine (2b) was the most efficient aniline, while anilines 2a and 2d gave rise to the corresponding bis-iminoquinones 21a and 21c in lower yields, recovering the starting materials and side-products after 24 h of reaction (a longer reaction time afforded traces of the desired products and a deep red resin residue). This behavior is probably due to the lower nucleophilicity of these anilines, an idea supported by the fact that the double substitution did not take place when 8a was submitted to the addition of the deactivated aniline 2e.
Unlike bis-iminoquinone 8a, which suffers decomposition after remaining several hours at room temperature, bis-iminoquinones 21 are stable red oils or solids under the same conditions. The color of these compounds become yellow in methanol, methylene chloride or toluene solutions, as previously observed for 8b [33].
The reduction of 21b by treatment with sodium hydrosulfite provided bis-diarylamine 22a in high yield (Scheme 5). A one-pot reaction was also tried for the addition of anilines 2c and 2d to 8a, followed by reduction with sodium hydrosulfite, affording bis-diarylamines 22bc, respectively. These bis-iminoquinones 21 and 1,4-phenylenediamines 22 are of significant importance as conducting polymers [63] and as efficient substrates in electron-transfer [64] and electrochemical studies [65].
Scheme 5. Conversion of bis-imine 8a into aniline derivatives 2022.
Scheme 5. Conversion of bis-imine 8a into aniline derivatives 2022.
Molecules 20 19716 g006
The structure of these compounds was established by spectrometric analyses and X-ray diffraction. Figure 1 shows the X-ray structure of 8a, in which both imino moieties display an (E) configuration. Similarly, NOE experiments showed that bis-iminoquinones 21 possess (E,E) configurations, which is in agreement with previous X-ray diffraction evidence of compound 21a [59] and the bis-iminoquinone derived from 2c [60].

2.4. Mechanism of Formation of Compounds 79

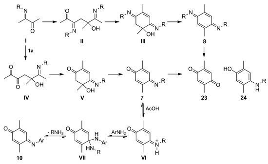
The proposed mechanism for the formation of compounds 79 is depicted in Scheme 6. As proposed by Carlson [33], diacetyl (1a) reacts with the amine to give rise to imino ketone I, which undergoes auto condensation to generate the imino aldol intermediate II. This is cyclized through an internal condensation followed by a loss of water to afford III (an intermediate isolated by Carlson for the case of 6b, but never observed or isolated in our trials), which leads to the isolation of bis-iminoquinones 8 after losing another molecule of water. These compounds undergo reduction to compounds 9 in the middle of the reaction. The latter conversion also takes place when leaving a methanolic solution of 8a at room temperature, which rapidly changes from yellow to a dark color, observing a mixture of 9a with a dark red resin.
Under standardized reaction conditions (Table 1 and Table 2), this process seems to be faster than that of the formation of iminoquinones 7, as observed by tlc and 1H-NMR. Compounds 8 before compounds 7, suggesting that the latter are formed via an independent pathway or through mono-hydrolysis of 8. The second hypothesis is not feasible, because there was no evidence of the formation of 7a when a solution of 8a remained for a long time under the same reaction conditions as those used for the synthesis of both compounds, leading rather to compound 9a and side-products. Therefore, it is presumed that iminoquinones 7 are formed via a pathway that includes the aldol condensation of I with another molecule of 1a to generate aldol IV, which by intramolecular aldolization yields intermediate V. Finally, products 7 are formed by the loss of a water molecule. This hypothesis is supported by the trials displayed in Table 1 (entries 1 and 5), in which only products 7a and 9a were generated by the presence of an excess of 1a in the middle of the reaction.
Scheme 6. Proposed reaction mechanism for the formation of iminoquinones 7 and 8, and transamination process from 7 to 10.
Scheme 6. Proposed reaction mechanism for the formation of iminoquinones 7 and 8, and transamination process from 7 to 10.
Molecules 20 19716 g007
Interestingly, quinone 23 was only isolated in traces from the reaction mixture. It is well known that this quinone results from the condensation of two molecules of diacetyl (1a) under basic conditions [33]. However, we have isolated it as the main product from the reaction between 1a and 2a after purification of the crude mixture by column chromatography using silica gel not pre-treated with triethylamine. This suggests that 23 proceeds from imines 7 and 8 by hydrolysis during the purification process, but not from the reaction.
Another interesting case is that of phenol 24, which was not observed or detected in the reaction mixture by NMR, suggesting that iminoquinones 7 are stable enough to undergo reduction under the reaction conditions. This is in contrast with compounds 8, in which the reductive aromatization takes place during the reaction or the purification process to yield p-dianilinobenzenes 9.
Regarding the transamination process from the iminoquinone 7a to 10ac and from diiminoquinone 8a to 21ac, the mechanism can be explained in terms of a series of equilibria promoted by the Brønsted acid catalyst (AcOH) in the presence of anilines 2, as summarized in Scheme 6. It is likely that the first acid-base equilibrium is established between 7 and the amino protonated species VI, and that this undergoes the attack of aniline 2 (which is more nucleophilic and less basic than the alkyl amine) to generate aminal species VII, followed by an elimination of the most basic amine (isopropylamine) to provide the observable aryliminoquinones 10. Additionally, this equilibrium seems to be favored by the higher stability of 10 than alkyliminoquinones 7, resulting from a more stable conjugated imino system. These arguments can also be applied to the transamination from 8a into bis-iminoquinones 21.

3. Experimental Section

3.1. General

Melting points were determined with a capillary melting point apparatus. IR spectra were recorded on a Perkin-Elmer 2000 spectrophotometer (PerkinElmer, Waltham, MA, USA). 1H (300 or 500 MHz) and 13C (75 or 125 MHz) NMR spectra were recorded on Varian Mercury-300 (Varian, Inc., Palo Alto, CA, USA), and Varian VNMR System instruments (Varian, Inc., Palo Alto, CA, USA), with TMS as internal standard; chemical shifts (δ) are reported in ppm. Assignment of the NMR signals was made by HMQC and HMBC 2D methods (for the 1H- and 13C-NMR spectra of the new compounds, see the supplementary figures). Mass spectra (MS) and high-resolution mass spectra (HRMS) were obtained in the electron impact (EI) (70 eV) mode and recorded on Polaris Q-Trace GC Ultra (Finnigan Co., Waltham, MA, USA) and Jeol JSM-GCMateII apparatuses (JEOL, Ltd., Tokyo, Japan), respectively. Elemental analyses were performed on a CE-440 Exeter Analytical instrument (Exeter Analytical, Inc., North Chelmsford, MA, USA), X-ray crystallographic measurements were collected on an Oxford XcaliburS diffractometer (Rigaku Co., Tokyo, Japan). Analytical thin-layer chromatography was carried out using E. Merck silica gel 60 F254 coated 0.25 plates, visualized by a long- and short-wavelength UV lamp. Flash column chromatography was performed over Natland International Co. (Morrisville, NC, USA) silica gel (230–400 mesh) and silica gel (230–400 mesh) pre-treated with trimethylamine (10%). All air moisture sensitive reactions were carried out under nitrogen using oven-dried glassware. MeOH, and toluene were freshly distilled over sodium, as well as methylene chloride over calcium hydride, prior to use. Acetone was dried by distillation after treatment with 4 Å molecular sieves. K2CO3 was dried overnight at 120 °C prior to use. Triethylamine was freshly distilled from NaOH. All other reagents were used without further purification.

3.2. Synthesis and Characterization

(E)-4-(Isopropylimino)-2,5-dimethylcyclohexa-2,5-dien-1-one (7a), (E,E)-N,N′-Diisopropyl-2,5-dimethylcyclohexa-2,5-diene-1,4-diimine (8a) and N,N′-Diisopropyl-2,5-dimethylbenzene-1,4-diamine (9a). A mixture of 2,3-butanedione (1a) (1.971 g, 22.91 mmol) and isopropylamine (6a) (2.707 g, 45.88 mmol) in MeOH (400 mL) was stirred at room temperature for 48 h. The crude reaction mixture was concentrated under vacuum, and the residue was purified by column chromatography over silica gel impregnated with triethylamine (10%) in hexane (40 g/g of crude, hexane) to give 7a (0.610 g, 30%) as a pale green-yellow solid, 8a (0.524 g, 21%) as a dark red solid, and 9a (1.04 g, 41%) as a red solid.
Data of 7a: Rf 0.53 (hexane/EtOAc, 8:2); mp 64–65 °C. IR (film): νmax 2969, 2925, 1652, 1631, 1604, 1518, 1461, 1376, 1256, 1169, 894 cm−1. 1H-NMR (500 MHz, CDCl3): δ = 1.25 (d, J = 6.0 Hz, 6H, (CH3)2CH), 2.00 (d, J = 1.5 Hz, 3H, CH3-C2), 2.15 (d, J = 1.5 Hz, 3H, CH3-C5), 4.18 (sept, J = 6.5 Hz, 1H, (CH3)2CH), 6.41 (q, J = 1.5 Hz, 1H, H-6), 7.10 (dq, J = 1.5, 0.5 Hz, 1H, H-3). 13C-NMR (125 MHz, CDCl3): δ = 16.1 (CH3-C2), 17.7 (CH3-C5), 24.2 ((CH3)2CH), 51.8 ((CH3)2CH), 122.2 (C-3), 129.3 (C-6), 140.0 (C-2), 150.9 (C-5), 156.1 (C-4), 188.3 (C-1). MS (70 eV): m/z (%) 177 (M+, 100), 162 (73), 149 (45), 134 (58), 117 (43), 106 (35), 91 (52), 77 (19). Anal. calcd for C11H15NO: C, 74.54; H, 8.53; N, 7.90. Found: C, 74.56; H, 8.49; N, 7.94.
Data of 8a: Rf 0.64 (hexane/EtOAc, 8:2); mp 94–95 °C. IR (film): νmax 2967, 2924, 1599, 1581, 1519, 1377, 1359, 1345, 1258, 1116, 875 cm−1. 1H-NMR (500 MHz, CDCl3): δ = 1.20 (d, J = 6.0 Hz, 6H, (CH3)2CH), 2.00 (d, J = 1.5 Hz, 6H, CH3-C2, CH3-C5), 4.08 (sept, J = 6.0 Hz, 2H, (CH3)2CH), 6.79 (br d, J = 1.5 Hz, 2H, H-3, H-6). 13C-NMR (125 MHz, CDCl3): δ = 18.5 (CH3-C2, CH3-C5), 24.2 (2(CH3)2CH), 50.4 (2(CH3)2CH), 118.4 (C-3, C-6), 143.3 (C-2, C-5), 156.9 (C-1, C-4). MS (70 eV): m/z (%) 218 (M+, 20), 203 (95), 161 (34), 146 (100), 145 (43), 132 (20), 117 (6), 91 (7). Anal. calcd for C14H22N2: C, 77.01; H, 10.16; N, 12.83. Found: C, 77.00; H, 10.21; N, 12.78.
Data of 9a: Rf 0.22 (hexane/EtOAc, 8:2); mp 53–54 °C. IR (film): νmax 3382, 2965, 2928, 1520, 1463, 1413, 1381, 1218, 1166, 1125, 1004, 857 cm−1. 1H-NMR (500 MHz, CDCl3): δ = 1.19 (d, J = 6.5 Hz, 6H, (CH3)2CH), 2.10 (s, 6H, CH3-C2, CH3-C5), 2.70 (br s, 2H, NH), 3.53 (sept, J = 6.5 Hz, 2H, (CH3)2CH), 6.46 (s, 2H, H-3, H-6). 13C-NMR (125 MHz, CDCl3): δ = 17.6 (CH3-C2, CH3-C5), 23.5 (2(CH3)2CH), 45.4 (2(CH3)2CH), 115.6 (C-3, C-6), 121.7 (C-2, C-5), 137.3 (C-1, C-4). MS (70 eV): m/z (%) 220 (M+, 98), 205 (100), 177 (99), 148 (20), 135 (56), 95 (15), 75 (6). HRMS (EI): m/z [M+] calcd for C14H24N2: 220.1940; found: 220.1938.
(E)-4-(Cyclohexylimino)-2,5-dimethylcyclohexa-2,5-dien-1-one (7b), (E,E)-N,N′-Dicyclohexyl-2,5-dimethylcyclohexa-2,5-diene-1,4-diimine (8b) and N,N′-Dicyclohexyl-2,5-dimethylbenzene-1,4-diamine (9b). The procedure for the preparation of 7a9a was followed using a mixture of 1a (1.971 g, 22.91 mmol) and cyclohexylamine (6b) (4.53 g, 45.8 mmol) in MeOH (400 mL) to give 7b (0.721 g, 29%) as a pale green-yellow solid, 8b (0.784 g, 23%) as a yellow solid, and 9b (1.34 g, 39%) as a dark brown solid.
Data of 7b: Rf 0.51 (hexane/EtOAc, 9:1); mp 63–64 °C. IR (film): νmax 2925, 2853, 1647, 1620, 1370, 1268, 1161, 900 cm−1. 1H-NMR (500 MHz, CDCl3): δ = 1.33 (qt, J = 12.0, 3.3 Hz, 1H, H-Cy), 1.43 (qt, J = 12.0, 3.3 Hz, 2H, H-Cy), 1.55–1.62 (m, 2H, H-Cy), 1.64–1.72 (m, 3H, H-Cy), 1.82–1.87 (m, 2H, H-Cy), 2.01 (d, J = 1.5 Hz, 3H, CH3-C2), 2.14 (d, J = 1.5 Hz, 3H, CH3-C5), 3.80–3.87 (m, 1H, NCH-Cy), 6.41 (br s, 1H, H-6), 7.08 (br s, J = 1.5 Hz, 1H, H-3). 13C-NMR (125 MHz, CDCl3): δ = 16.1 (CH3-C2), 17.7 (CH3-C5), 24.3 (2C-3′), 25.6 (C-4′), 34.3 (2C-2′), 60.3 (C-1′), 122.3 (C-3), 129.3 (C-6), 139.9 (C-2), 150.9 (C-5), 156.3 (C-4), 188.4 (C-1). HRMS (EI): m/z [M+] calcd for C14H19NO: 217.1467; found: 217.1470.
Data of 8b: Rf 0.68 (hexane/EtOAc, 9:1); mp 147–148 °C [Lit. [33] 145.6–147 °C]. IR (film): νmax 2923, 2850, 1598, 1575, 1454, 1351, 1166, 962, 889, 871 cm−1. 1H-NMR (500 MHz, CDCl3): δ = 1.28 (qt, J = 13.0, 2.5 Hz, 2H, H-Cy), 1.35 (qt, J = 13.0, 2.5 Hz, 4H, H-Cy), 1.40–1.48 (m, 4H, H-Cy), 1.56–1.61 (m, 6H, H-Cy), 1.72–1.79 (m, 4H, H-Cy), 2.02 (s, 6H, CH3-C2, CH3-C5), 3.61–3.68 (m, 2H, NCH-Cy), 6.70 (br s, 2H, H-3, H-6). 13C-NMR (125 MHz, CDCl3): δ = 18.4 (CH3-C2, CH3-C5), 24.7 (4C-3′), 25.8 (2C-4′), 34.2 (4C-2′), 59.0 (2C-1′), 118.5 (C-3, C-6), 143.3 (C-2, C-5), 157.1 (C-1, C-4). HRMS (EI): m/z [M+] calcd for C20H30N2: 298.2409; found: 298.2402.
Data of 9b: Rf 0.21 (hexane/EtOAc, 9:1); mp 108–109 °C. IR (film): νmax 3383, 2927, 2850, 1519, 1445, 1412, 1211, 1107, 850 cm−1. 1H-NMR (300 MHz, CDCl3): δ = 1.06–1.44 (m, 10H, H-Cy), 1.57–1.67 (m, 2H, H-Cy), 1.70–1.80 (m, 4H, H-Cy), 2.00–2.08 (m, 2H, H-Cy), 2.10 (s, 6H, CH3-C2, CH3-C5), 2.76 (br s, 2H, NH), 3.08–3.20 (m, 2Hz, NCH-Cy), 6.45 (s, 2H, H-3, H-6). 13C-NMR (75 MHz, CDCl3): δ = 17.7 (CH3-C2, CH3-C5), 25.1 (4C-3′), 26.0 (2C-4′), 34.0 (4C-2′), 53.0 (2C-1′), 115.4 (C-3, C-6), 121.5 (C-2, C-5), 137.0 (C-1, C-4). HRMS (EI): m/z [M+] calcd for C20H32N2: 300.2566; found: 300.2570.
(E,E)-2,5-Dimethyl-N,N′-bis((S)-1-phenylethyl)cyclohexa-2,5-diene-1,4-diimine (8c) and 2,5-Dimethyl-N,N′-bis((S)-1-phenylethyl)benzene-1,4-diamine (9c). The procedure for the preparation of 7a9a was followed using a mixture of 1a (0.098 g, 1.14 mmol) and (S)-phenylethylamine (6c) (0.278 g, 2.3 mmol) in MeOH (10 mL) to give 8c (0.031 g, 16%) as a yellow solid and 9c (0.059 g, 30%) as a dark brown oil.
Data of 8c: Rf 0.65 (hexane/EtOAc, 8:2); mp 108–109 °C; [ α ] D 22 = −44.28 (c 0.473, CHCl3). IR (film): νmax 1699, 1493, 1450, 1354, 1125, 760, 699 cm−1. 1H-NMR (500 MHz, CDCl3): δ = 1.49 (d, J = 6.5 Hz, 6H, CH3CH), 2.17 (d, J = 1.5 Hz, 6H, CH3-C2, CH3-C5), 5.08 (q, J = 6.5 Hz, 2H, CH3CH), 6.89 (br s, 1H, H-3, H-6), 7.19–7.24 (m, 2H, H-4′′), 7.30–7.34 (m, 4H, H-3′′), 7.43–7.46 (m, 4H, H-2′′). 13C-NMR (125 MHz, CDCl3): δ = 18.5 (CH3-C2, CH3-C5), 25.7 (2CH3CH), 58.9 (2CH3CH), 118.5 (C-3, C-6), 126.58 (2C-4′′), 126.61 (4C-2′′), 128.4 (4C-3′′), 144.1 (C-2, C-5), 146.2 (2C-1′′), 157.5 (C-1, C-4). MS (70 eV): m/z (%) 342 (M+, 22), 328 (23), 327 (100), 300 (14), 237 (12), 222 (24), 208 (26), 105 (20), 97 (24), 86 (38), 71 (43), 57 (45). HRMS (EI): m/z [M+] calcd for C24H26N2: 342.2096; found: 342.2090.
Data of 9c: Rf 0.32 (hexane/EtOAc, 9:1); [ α ] D 22 = +10.75 (c 0.282, CHCl3). IR (film): νmax 3417, 2969, 1448, 1414, 1520, 1371, 1224, 769, 698 cm−1. 1H-NMR (300 MHz, CDCl3): δ = 1.47 (d, J = 6.6 Hz, 6H, CH3CH), 2.02 (s, 6H, CH3-C2, CH3-C5), 3.30 (br s, 2H, NH), 4.39 (q, J = 6.6 Hz, 2H, CH3CH), 6.21 (s, 2H, H-3, H-6), 7.22–7.37 (m, 10H, PhH). 13C-NMR (75 MHz, CDCl3): δ = 17.6 (2CH3Ar), 25.1 (2CH3CH), 54.0 (2CH3CH), 114.7 (C-3, C-6), 120.6 (C-2, C-5), 125.8 (4C-2′′), 126.5 (2C-4′′), 128.4 (4C-3′′), 136.9 (C-1, C-4), 145.9 (2C-1ʹʹ). HRMS (EI): m/z [M+] calcd for C24H28N2: 344.2253; found: 344.2257.
N,N′-Dibutyl-2,5-dimethylbenzene-1,4-diamine (9d). The procedure for the preparation of 7a9a was followed using a mixture of 1a (1.971 g, 22.91 mmol) and n-butylamine (6d) (3.34 g, 45.8 mmol) in MeOH (400 mL) to give 9d (0.512 g, 18%) as a dark brown oil. Rf 0.44 (hexane/EtOAc, 8:2). IR (film): νmax 3369, 2955, 2925, 1518, 1469, 1413, 1222, 1214, 994, 855, 742 cm−1. 1H-NMR (500 MHz, CDCl3): δ = 0.96 (t, J = 7.5 Hz, 6H, N(CH2)3CH3), 1.44 (sext, J = 7.5 Hz, 4H, N(CH2)2CH2CH3), 1.62 (qu, J = 7.0 Hz, 4H, NCH2CH2CH2CH3), 2.12 (s, 6H, CH3-C2, CH3-C5), 2.98 (br s, 2H, NH), 3.08 (br t, J = 7.0 Hz, 4H, NCH2(CH2)2CH3), 6.44 (s, 2H, H-3, H-6). 13C-NMR (125 MHz, CDCl3): δ = 13.9 (2N(CH2)3CH3), 17.4 (CH3-C2, CH3-C5), 20.4 (2N(CH2)2CH2CH3), 32.0 (2NCH2CH2CH2CH3), 45.0 (2NCH2(CH2)2CH3), 114.1 (C-3, C-6), 121.1 (C-2, C-5), 138.3 (C-1, C-4). MS (70 eV): m/z (%) 248 (M+, 70), 205 (100), 191 (32), 135 (10), 120 (11), 81 (26). HRMS (EI): m/z [M+] calcd for C16H28N2: 248.2253; found: 248.2260.
(E)-2,5-Dimethyl-4-(phenylimino)cyclohexa-2,5-dien-1-one (10a). A mixture of 7a (0.442 g, 2.50 mmol) and aniline (2a) (0.233 g, 2.50 mmol) in toluene (40 mL) was stirred at room temperature for 10 min. Then, glacial acetic acid (0.524 g, 8.74 mmol) was added dropwise and the mixture was stirred at room temperature for 12 h. The crude mixture was concentrated under vacuum and purified by column chromatography over silica gel (10 g/g crude, hexane/EtOAc, 8:2) to give 10a (0.316 g, 60%) as a dark red solid. Rf 0.66 (hexane/EtOAc, 8:2); mp 73–74 °C. IR (film): νmax 1649, 1633, 1603, 1497, 1482, 1262, 1204, 1159, 900, 762, 697 cm−1. 1H-NMR (300 MHz, CDCl3): δ = 1.93 (d, J = 1.5 Hz, 3H, CH3-C2), 2.27 (d, J = 1.5 Hz, 3H, CH3-C5), 6.55 (q, J = 1.5 Hz, 1H, H-6), 6.78 (q, J = 1.5 Hz, 1H, H-3), 6.80–6.85 (m, 2H, H-2′), 7.17-7.22 (m, 1H, H-4′), 7.34–7.44 (m, 2H, H-3′). 13C-NMR (75 MHz, CDCl3): δ = 16.1 (CH3-C2), 18.0 (CH3-C5), 120.2 (C-2′), 125.4 (C-4′), 125.6 (C-3), 129.2 (C-3′), 131.1 (C-6), 141.5 (C-2), 149.5 (C-4), 150.2 (C-1′), 158.5 (C-5), 188.4 (C-1). HRMS (EI): m/z [M+] calcd for C14H13NO: 211.0997; found: 211.0989.
(E)-4-((4-Methoxyphenyl)imino)-2,5-dimethylcyclohexa-2,5-dien-1-one (10b). The procedure for the preparation of 10a was followed using a mixture of 7a (0.202 g, 1.14 mmol) and 4-methoxyaniline (2b) (0.140 g, 1.14 mmol) and glacial acetic acid (0.524 g, 8.74 mmol) in toluene (20 mL) to give 10b (0.227 g, 82%) as a dark red solid. Rf 0.40 (hexane/EtOAc, 1:1); mp 79–80 °C. IR (film): νmax 1648, 1628, 1599, 1499, 1246, 1164, 1033, 902, 843, 762 cm−1. 1H-NMR (500 MHz, CDCl3): δ = 1.95 (d, J = 1.5 Hz, 3H, CH3-C2), 2.26 (d, J = 1.5 Hz, 3H, CH3-C5), 3.84 (s, 3H, CH3O), 6.52 (br d, J = 1.5 Hz, 1H, H-6), 6.83–6.86 (m, 2H, H-2′), 6.90 (br d, J = 1.5 Hz, 1H, H-3), 6.93–6.97 (m, 2H, H-3′). 13C-NMR (125 MHz, CDCl3): δ = 15.8 (CH3-C2), 17.7 (CH3-C5), 55.4 (CH3O), 114.2 (C-3′), 122.4 (C-2′), 125.3 (C-3), 130.4 (C-6), 140.7 (C-2), 143.1 (C-1′), 149.4 (C-5), 157.7 (C-4), 157.9 (C-4′), 188.1 (C-1). MS (70 eV): m/z (%) 241 (M+, 70), 226 (36), 210 (100), 198 (22), 182 (40), 167 (26), 155 (18). HRMS (EI): m/z [M+] calcd for C15H15NO2: 241.1103; found: 241.1090.
(E)-2,5-Dimethyl-4-(p-tolylimino)cyclohexa-2,5-dien-1-one (10c). The procedure of preparation for 10a was followed using a mixture of 7a (0.300 g, 1.69 mmol), 4-methylaniline (2c) (0.208 g, 1.69 mmol) and glacial acetic acid (0.524 g, 8.73 mmol) in toluene (20 mL) to give 10c (0.305 g, 80%) as a dark red solid. Rf 0.68 (hexane/EtOAc, 7:3); mp 88–89 °C. IR (film): νmax 2922, 1628, 1508, 1446, 1259, 1110, 1091, 1006, 903, 842, 804 cm−1. 1H-NMR (300 MHz, CDCl3): δ = 1.93 (d, J = 1.4 Hz, 3H, CH3-C2), 2.27 (d, J = 1.4 Hz, 3H, CH3-C5), 2.38 (s, 3H, CH3Ar), 6.53 (q, J = 1.4 Hz, 1H, H-6), 6.72–6.78 (m, 2H, H-2′), 6.84 (q, J = 1.4 Hz, 1H, H-3), 7.17–7.24 (m, 2H, H-3′). 13C-NMR (75 MHz, CDCl3): δ = 15.8 (CH3-C2), 17.8 (CH3-C5), 20.8 (CH3Ar), 120.3 (C-2′), 125.4 (C-3), 129.5 (C-3′), 130.6 (C-6), 135.1 (C-4′), 140.9 (C-2), 147.4 (C-1′), 149.4 (C-5), 158.1 (C-4), 188.3 (C-1). HRMS (EI): m/z [M+] calcd for C15H15NO: 225.1154; found: 225.1155.
2,5-Dimethyl-4-(phenylamino)phenol (11a). To a solution of 10a (0.100 g, 0.47 mmol) in Et2O (10 mL) a saturated aqueous solution of sodium hydrosulfite (30 mL) was added, and the mixture was stirred at room temperature for 12 h. The crude mixture was washed with CH2Cl2 (3 × 10 mL) and the organic layer was dried (Na2SO4), concentrated under vacuum and purified by column chromatography over silica gel (10 g/g crude, hexane/EtOAc, 9:1) to give 11a (0.090 g, 90%) as a pink oil. Rf 0.49 (hexane/EtOAc, 8:2). IR (film): νmax 3382, 2923, 1600, 1497, 1462, 1407, 1200, 864, 745, 694 cm−1. 1H-NMR (300 MHz, CDCl3): δ = 2.14 (s, 3H, CH3-C5), 2.18 (s, 3H, CH3-C2), 4.50–5.30 (br, 2H, NH, OH), 6.65 (s, 1H, H-6), 6.66–6.73 (m, 2H, H-2′), 6.77 (t, J = 7.3 Hz, 1H, H-4′), 6.98 (s, 1H, H-3), 7.14–7.22 (m, 2H, H-3′). 13C-NMR (75 MHz, CDCl3): δ = 15.4 (CH3-C2), 17.5 (CH3-C5), 114.6 (C-2′), 117.1 (C-6), 118.6 (C-4′), 121.9 (C-2), 126.8 (C-3), 129.2 (C-3′), 131.6 (C-5), 133.1 (C-4), 146.4 (C-1′), 150.4 (C-1). HRMS (EI): m/z [M+] calcd for C14H15NO: 213.1154; found: 213.1144.
4-((4-Methoxyphenyl)amino)-2,5-dimethylphenol (11b). The procedure for the preparation of 11a was followed using a mixture of 10b (0.099 g, 0.41 mmol) in Et2O (10 mL) and a saturated aqueous solution of sodium hydrosulfite (30 mL) to give 11b (0.085 g, 85%) as a red solid. Rf 0.25 (hexane/EtOAc, 8:2); mp 86–87 °C. IR (KBr): νmax 3406, 1511, 1466, 1246, 1193, 1179, 1036, 825 cm−1. 1H-NMR (500 MHz, CDCl3): δ = 2.13 (br s, 3H, CH3Ar), 2.16 (br s, 3H, CH3Ar), 3.76 (s, 3H, CH3O), 4.53–4.92 (br s, 2H, OH, NH), 6.61 (br s, 1H, H-6), 6.72–6.76 (m, 2H, H-2′), 6.78–6.81 (m, 2H, H-3′), 6.85 (br s, 1H, H-3). 13C-NMR (75 MHz, CDCl3): δ = 15.4 (CH3Ar), 17.4 (CH3Ar), 55.7 (CH3O), 114.8 (C-3′), 117.3 (C-6), 118.0 (C-2′), 121.9 (C-2), 123.8 (C-3), 129.0 (C-5), 135.0 (C-1′), 139.4 (C-4), 149.3 (C-1), 153.4 (C-4′). MS (70 eV): m/z (%) 243 (M+, 91), 228 (100), 200 (11), 185 (9), 168 (7), 134 (5), 77 (7). HRMS (EI): m/z [M+] calcd for C15H17NO2: 243.1259; found: 243.1260.
2,5-Dimethyl-4-((4-tolyl)amino)phenol (11c). The procedure for the preparation of 11a was followed using a mixture of 10c (0.200 g, 0.89 mmol) in Et2O (10 mL) and a saturated aqueous solution of sodium hydrosulfite (30 mL) to give 11c (0.193 g, 95%) as a brown solid. Rf 0.45 (hexane/EtOAc, 7:3); mp 104–105 °C. IR (film): νmax 3388, 2922, 1614, 1511, 1461, 1196, 993, 811, 738 cm−1. 1H-NMR (300 MHz, CDCl3): δ = 2.12 (s, 3H, CH3-C5), 2.16 (s, 3H, CH3-C2), 2.25 (s, 3H, CH3Ar), 4.70–5.50 (br, 2H, OH, NH), 6.62–6.67 (m, 2H, H-2′), 6.65 (br s, 1H, H-6), 6.93 (br s, 1H, H-3), 6.96–7.02 (m, 2H, H-3′). 13C-NMR (75 MHz, CDCl3): δ = 15.5 (CH3-C2), 17.5 (CH3-C5), 20.5 (CH3Ar), 115.3 (C-2′), 117.2 (C-6), 121.8 (C-2), 125.6 (C-3), 128.1 (C-4′), 129.7 (C-3′), 130.6 (C-5), 133.6 (C-4), 143.7 (C-1′), 150.1 (C-1). HRMS (EI): m/z [M+] calcd for C15H17NO: 227.1310; found: 227.1314.
4-(Benzyloxy)-N-(4-methoxyphenyl)-2,5-dimethylaniline (12a). To a mixture of 11b (0.137 g, 0.56 mmol) in acetone (15 mL) K2CO3 (0.116 g, 0.84 mmol) and benzyl bromide (0.115 g, 0.67 mmol) were added, and the mixture was stirred at reflux for 3 h. The crude mixture was filtered over Celite, concentrated under vacuum, and purified by column chromatography over silica gel (10 g/g crude, hexane/EtOAc, 8:2) to give 12a (0.169 g, 90%) as a white powder. Rf 0.44 (hexane/EtOAc, 8:2); mp 55–56 °C. IR (KBr): νmax 3412, 2961, 2916, 1521, 1465, 1382, 1293, 1249, 1197, 1098, 1037, 1014, 825, 744, 698 cm−1. 1H-NMR (500 MHz, CDCl3): δ = 2.16 (s, 3H, CH3-C5), 2.19 (s, 3H, CH3-C2), 3.72 (s, 3H, CH3O), 5.00 (s, 2H, CH2Ph), 6.72–6.80 (m, 4H, H-2′, H-3′), 6.74 (s, 1H, H-6), 6.89 (s, 1H, H-3), 7.29 (t, J = 7.5 Hz, 1H, H-4′′), 7.36 (t, J = 7.5 Hz, 2H, H-3′′), 7.43 (d, J = 7.5 Hz, 2H, H-2′′). 13C-NMR (125 MHz, CDCl3): δ = 16.0 (CH3-C2), 17.8 (CH3-C5), 55.5 (CH3O), 70.4 (CH2Ph), 114.6 (C-6), 114.64 (2C-3′), 118.2 (2C-2′), 123.3 (C-3), 125.3 (C-2), 127.1 (2C-2′′), 127.6 (C-4′′), 127.8 (C-5), 128.4 (2C-3′′), 135.1 (C-1′), 137.7 (C-1′′), 139.1 (C-4), 152.4 (C-1), 153.5 (C-4′). MS (70 eV): m/z (%) 333 (M+, 16), 243 (87), 228 (100), 212 (61), 197 (80), 179 (28), 135 (36), 108 (53), 91 (48), 77 (21). HRMS (EI): m/z [M+] calcd for C22H23NO2: 333.1729; found: 333.1715.
Methyl 2-(2,5-dimethyl-4-(phenylamino)phenoxy)acetate (12b). The procedure for the preparation of 12a was followed with a mixture of 11a (0.104 g, 0.49 mmol), K2CO3 (0.102 g, 0.74 mmol) and methyl bromoacetate (0.083 g, 0.54 mmol) to give 12b (0.086 g, 62%) as a brown powder. Rf 0.41 (hexane/EtOAc, 8:2); mp 102–103 °C. IR (film): νmax 3387, 2923, 1600, 1497, 1406, 1196, 994, 862, 747, 694 cm−1. 1H-NMR (300 MHz, CDCl3): δ = 2.17 (s, 3H, CH3-C5′), 2.22 (s, 3H, CH3-C2′), 3.80 (s, 3H, CO2CH3), 4.63 (s, 2H, CH2CO2Me), 5.19 (br s, 1H, NH), 6.58 (s, 1H, H-6′), 6.69–6.75 (m, 2H, H-2′′), 6.78 (t, J = 7.2 Hz, 1H, H-4′′), 7.02 (s, 1H, H-3′), 7.14–7.24 (m, 2H, H-3′′). 13C-NMR (75 MHz, CDCl3): δ = 15.8 (CH3-C2′), 17.9 (CH3-C5′), 52.1 (CH2CO2CH3), 66.0 (CH2CO2Me), 114.1 (C-6′), 115.0 (2C-2′′), 118.8 (C-4′′), 125.6 (C-2′), 125.8 (C-3′), 129.2 (2C-3′′), 130.0 (C-5′), 134.0 (C-4′), 145.8 (C-1′′), 152.5 (C-1′), 169.8 (CO2Me). HRMS (EI): m/z [M+] calcd for C17H19NO3: 285.1365; found: 285.1377.
Methyl 2-(4-((4-methoxyphenyl)amino)-2,5-dimethylphenoxy)acetate (12c). The procedure for the preparation of 12a was followed using a mixture of 11b (0.081 g, 0.33 mmol), K2CO3 (0.066 g, 0.48 mmol) and methyl bromoacetate (0.057 g, 0.37 mmol) to give 12c (0.08 g, 76%) as a brown solid. Rf 0.47 (hexane/EtOAc, 8:2); mp 124–125 °C. IR (film): νmax 3340, 2922, 1755, 1508, 1438, 1233, 1198, 1116, 1034, 822 cm−1. 1H-NMR (300 MHz, CDCl3): δ = 2.17 (s, 3H, CH3-C5′), 2.20 (s, 3H, CH3-C2′), 3.76 (s, 3H, CH3O), 3.80 (s, 3H, CO2CH3), 4.61 (s, 2H, CH2CO2Me), 4.99 (br s, 1H, NH), 6.58 (s, 1H, H-6′), 6.79-6.82 (br s, 4H, H-2′′, H-3′′), 6.88 (s, 1H, H-3′). 13C-NMR (75 MHz, CDCl3): δ = 15.8 (CH3-C2′), 17.8 (CH3-C5′), 52.1 (CH2CO2CH3), 55.6 (CH3O), 66.4 (CH2CO2Me), 114.6 (2C-3′′), 114.7 (C-6′), 118.9 (2C-2′′), 122.3 (C-3′), 125.6 (C-2′), 126.9 (C-5′), 136.3 (C-4′), 138.4 (C-1′′), 151.2 (C-1′), 153.7 (C-4′′), 169.9 (CO2Me). HRMS (EI): m/z [M+] calcd for C18H21NO4: 315.1471; found: 315.1464.
4-Methoxy-N-(4-methoxyphenyl)-N,2,5-trimethylaniline (12d). A mixture of 11b (0.180 g, 0.74 mmol), iodomethane (0.210 g, 1.48 mmol) and K2CO3 (0.204 g, 1.48 mmol) in acetone (2 mL) was stirred at 60 °C for 24 h. Then, the crude mixture was filtered over Celite and concentrated under vacuum, and the residue was purified by column chromatography over silica gel (10 g/g crude, hexane/EtOAc, 99:1) to give 12d (0.082 g, 41%) as a pink oil. Rf 0.59 (hexane/EtOAc, 8:2). IR (film): νmax 2929, 1508, 1465, 1240, 1153, 1065, 1038, 818 cm−1. 1H-NMR (500 MHz, CDCl3): δ = 2.11 (s, 3H, CH3-C2), 2.15 (s, 3H, CH3-C5), 3.13 (s, 3H, NCH3), 3.72 (s, 3H, CH3O-C4′), 3.82 (s, 3H, CH3O-C4), 6.45–6.51 (m, 2H, H-2′), 6.70 (s, 1H, H-3), 6.74–6.79 (m, 2H, H-3′), 6.87 (s, 1H, H-6). 13C-NMR (125 MHz, CDCl3): δ = 15.7 (CH3-C5), 17.8 (CH3-C2), 39.5 (NCH3), 55.4 (CH3O-C4), 55.7 (CH3O-C4′), 112.3 (C-3), 113.8 (C-2′), 114.6 (C-3′), 125.4 (C-5), 130.0 (C-6), 134.7 (C-2), 139.8 (C-1), 144.4 (C-1′), 151.3 (C-4′), 155.6 (C-4). HRMS (EI): m/z [M+] calcd for C17H21NO2: 271.1572; found: 271.1573.
2-(Benzylthio)-4-((4-methoxyphenyl)amino)-3,6-dimethylphenol (14a). A mixture of 10b (0.096 g, 0.40 mmol), benzylthiol (13a) (0.055 g, 0.044 mmol) and DMAP (0.054 g, 0.44 mmol) in CH2Cl2 (20 mL) was stirred at room temperature for 24 h. Then the mixture was concentrated under vacuum and purified by column chromatography over silica gel (10 g/g crude, hexane/EtOAc, 95:5) to give 14a (0.080 g, 55%) as a purple oil. Rf 0.75 (hexane/EtOAc, 7:3). IR (film): νmax 3377, 2924, 1507, 1455, 1409, 1232, 1178, 1033, 1007, 820, 697 cm−1. 1H-NMR (500 MHz, CDCl3): δ = 2.15 (s, 3H, CH3-C3), 2.17 (s, 3H, CH3-C6), 3.76 (s, 3H, CH3O), 3.77 (s, 2H, CH2Ph), 4.91 (br s, 1H, NH), 6.60–6.64 (m, 2H, H-2′′), 6.76–6.80 (m, 2H, H-3′′), 6.88 (s, 1H, OH), 6.92 (s, 1H, H-5), 7.06–7.10 (m, 2H, H-2′), 7.20–7.26 (m, 3H, H-3′, H-4′). 13C-NMR (125 MHz, CDCl3): δ = 15.9 (CH3-C3), 16.3 (CH3-C6), 40.0 (CH2Ph), 55.7 (CH3O), 114.8 (C-3′′), 117.2 (C-2′′), 118.2 (C-2), 121.7 (C-6), 127.1 (C-5), 127.4 (C-4′), 128.5 (C-3′), 128.8 (C-2′), 134.0 (C-4), 134.1 (C-3), 137.3 (C-1′), 139.8 (C-1′′), 152.0 (C-1), 153.3 (C-4′′). HRMS (EI): m/z [M+] calcd for C22H23NO2S: 365.1449; found: 365.1448.
2-((2-Bromophenyl)thio)-4-((4-methoxyphenyl)amino)-3,6-dimethylphenol (14b). The procedure for the preparation of 14a was followed using a mixture of 10b (0.048 g, 0.20 mmol), o-bromobenzenethiol (13b) (0.038 g, 0.20 mmol) and DMAP (0.025 g, 0.20 mmol) to give 14b (0.064 g, 75%) as a purple oil. Rf 0.69 (hexane/EtOAc, 7:3). IR (film): νmax 3402, 2924, 1507, 1461, 1444, 1232, 1176, 1035, 1016, 820, 744 cm−1. 1H-NMR (500 MHz, CDCl3): δ = 2.24 (s, 3H, CH3-C6), 2.26 (s, 3H, CH3-C3), 3.77 (s, 3H, CH3O), 5.03 (br s, 1H, NH), 6.51 (d, J = 8.0 Hz, 1H, H-6′), 6.56 (s, 1H, HO), 6.70–6.75 (m, 2H, H-2′′), 6.77–6.83 (m, 2H, H-3′′), 6.99 (dd, J = 8.0, 7.5 Hz, 1H, H-4′), 7.08 (s, 1H, H-5), 7.10 (dd, J = 8.0, 7.5 Hz, 1H, H-5′), 7.53 (d, J = 8.0 Hz, 1H, H-3′). 13C-NMR (125 MHz, CDCl3): δ = 15.9 (CH3-C3), 16.4 (CH3-C6), 55.7 (CH3O), 114.8 (2C-3′′), 115.5 (C-2), 117.9 (2C-2′′), 121.0 (C-2′), 122.8 (C-6), 125.9 (C-6′), 126.7 (C-4′), 127.4 (C-5), 128.0 (C-5′), 133.0 (C-3′), 133.4 (C-4), 135.1 (C-3), 136.6 (C-1′), 139.1 (C-1′′), 152.1 (C-1), 153.7 (C-4′′). HRMS (EI): m/z [M+] calcd for C21H20BrNO2S: 429.0398; found: 429.0386.
2-((4-Chlorophenyl)thio)-4-((4-methoxyphenyl)amino)-3,6-dimethylphenol (14c). The procedure for the preparation of 14a was followed using a mixture of 10b (0.146 g, 0.61 mmol), p-chlorobenzenethiol (13c) (0.088 g, 0.61 mmol) and DMAP (0.074 g, 0.61 mmol) to give 14c (0.232 g, 99%) as a purple oil. Rf 0.58 (hexane/EtOAc, 7:3). IR (film): νmax 3386, 2923, 1508, 1461, 1241, 1181, 1090, 1031, 1009, 816 cm−1. 1H-NMR (300 MHz, CDCl3): δ = 2.23 (s, 3H, CH3-C6), 2.25 (s, 3H, CH3-C3), 3.75 (s, 3H, CH3O), 5.02 (br s, 1H, HN), 5.26 (s, 1H, HO), 6.65–6.74 (m, 2H, H-2′′), 6.75–6.82 (m, 2H, H-3′′), 6.90–6.97 (m, 2H, H-2′), 7.04 (s, 1H, H-5), 7.13–7.22 (m, 2H, H-3′). 13C-NMR (75 MHz, CDCl3): δ = 15.9 (CH3-C6), 16.4 (CH3-C3), 55.6 (CH3O), 114.7 (C-3′′), 115.4 (Ar), 117.7 (C-2′′), 122.5 (Ar), 127.2 (C-5), 127.3 (2C-2′), 129.2 (2C-3′), 131.6 (Ar), 133.2 (Ar), 134.0 (Ar), 134.9 (Ar), 139.0 (C-1′′), 151.8 (C-1), 153.5 (C-4′′). HRMS (EI): m/z [M+] calcd for C21H20ClNO2S: 385.0903; found: 385.0900.
4-((4-Methoxyphenyl)amino)-3,6-dimethyl-3-((4-tolyl)thio)phenol (14d). The procedure for the preparation of 14a was followed using a mixture of 10b (0.200 g, 0.83 mmol), p-tolylthiol (13d) (0.103 g, 0.84 mmol) and DMAP (0.101 g, 0.83 mmol) to give 14d (0.274 g, 90%) as a purple oil. Rf 0.73 (hexane/EtOAc, 7:3). IR (film): νmax 3394, 2919, 1508, 1473, 1233, 1179, 1090, 1031, 1010, 819 cm−1. 1H-NMR (300 MHz, CDCl3): δ = 2.23 (s, 3H, CH3-C6), 2.26 (s, 3H, CH3Ar), 2.27 (s, 3H, CH3-C3), 3.74 (s, 3H, CH3O), 4.99 (br s, 1H, HN), 6.66–6.71 (m, 2H, H-2′′), 6.75–6.80 (m, 2H, H-3′′), 6.92–6.96 (m, 2H, H-3′), 7.01 (s, 1H, H-5), 7.00–7.04 (m, 2H, H-2′). 13C-NMR (75 MHz, CDCl3): δ = 15.9 (CH3-C3), 16.4 (CH3-C6), 20.8 (CH3Ar), 55.6 (CH3O), 114.7 (C-3′′), 116.6 (C-2), 117.5 (C-2′′), 122.2 (C-6), 126.5 (C-3′), 127.2 (C-5), 129.9 (C-2′), 131.8 (C-4′), 133.7 (C-3), 134.6 (C-4), 135.7 (C-1′), 139.5 (C-1′′), 152.1 (C-1), 153.4 (C-4′′). HRMS (EI): m/z [M+] calcd for C22H23NO2S: 365.1449; found: 365.1440.
2,4-Bis((4-Methoxyphenyl)amino)-3,6-dimethylphenol (15). A mixture of 7a (0.500 g, 2.82 mmol), 2b (0.694 g, 5.64 mmol) and AcOH (0.051 g, 0.85 mmol) in toluene (30 mL) was stirred at room temperature for 24 h. The crude mixture was concentrated under vacuum, and then Et2O (30 mL) and a saturated aqueous solution of sodium hydrosulfite (30 mL) were added, followed by stirring at room temperature for 12 h. The crude mixture was washed with CH2Cl2 (3 × 10 mL) and the organic layer dried (Na2SO4), concentrated under vacuum and purified by column chromatography over silica gel (10 g/g crude, hexane/EtOAc, 9:1) to give 11b (0.426 g, 62%) and 15 (0.278 g, 27%) as a purple solid.
Data of 15a: Rf 0.32 (hexane/EtOAc, 1:1); mp 70–71 °C. IR (KBr): νmax 3344, 2932, 1629, 1510, 1239, 1033, 825 cm−1. 1H-NMR (500 MHz, CDCl3): δ = 1.97 (s, 3H, CH3-C3), 2.24 (s, 3H, CH3-C6), 3.73 (s, 3H, CH3O), 3.75 (s, 3H, CH3O), 4.79 (br, 1H, NH), 4.95 (br, 1H, OH), 6.35 (br, 1H, NH), 6.54–6.58 (m, 2H, 2ArH), 6.65–6.69 (m, 2H, 2ArH), 6.74–6.79 (m, 4H, 4ArH), 6.88 (s, 1H, H-5). 13C-NMR (125 MHz, CDCl3): δ = 12.6 (CH3-C2), 15.8 (CH3-C5), 55.6 (CH3O), 55.7 (CH3O), 114.7 (2ArH), 114.9 (2ArH), 115.3 (2ArH), 117.3 (2ArH), 121.5 (Ar), 123.6 (C-5), 127.0 (Ar), 127.5 (Ar), 134.1 (Ar), 139.8 (Ar), 140.1 (Ar), 148.6 (C-4), 153.3 (ArO), 153.4 (ArO). MS (70 eV): m/z (%) 348 (M+, 100), 333 (68), 273 (70), 243 (44), 228 (60), 160 (36), 146 (18), 122 (16), 77 (14). HRMS (EI): m/z [M+] calcd for C22H24N2O3: 364.1787; found: 364.1786.
4-(Benzyloxy)-N,N′-bis(4-methoxyphenyl)-2,5-dimethylbenzene-1,2-diamine (16). A mixture of 7a (0.618 g, 3.49 mmol), 2b (1.073 g, 8.72 mmol) and AcOH (0.063 g, 1.05 mmol) in toluene (40 mL) was stirred at room temperature for 24 h, then concentrated under vacuum and suspended in Et2O (30 mL). A saturated aqueous solution of sodium hydrosulfite (30 mL) was added and the mixture was stirred at room temperature for 12 h. The crude mixture was washed with CH2Cl2 (3 × 10 mL) and the organic layer dried (Na2SO4) and concentrated under vacuum. The crude mixture was suspended in acetone (30 mL) and K2CO3 (0.723 g, 5.24 mmol), followed by the addition of benzyl bromide (0.718 g, 4.20 mmol) and stirring at reflux for 3 h. The mixture was filtered over Celite and concentrated under vacuum, then purified by column chromatography over silica gel (10 g/g crude, hexane/EtOAc, 8:2) to give 12a (0.640 g, 55%) and 16 (0.460 g, 29%) as a purple solid.
Data of 16: Rf 0.26 (hexane/EtOAc, 8:2); mp 60–61 °C. IR (film): νmax 3377, 2930, 1508, 1457, 1235, 1178, 1034, 823 cm−1. 1H-NMR (300 MHz, CDCl3): δ = 1.99 (s, 3H, CH3-C2), 2.24 (s, 3H, CH3-C5), 3.77 (s, 3H, CH3O), 3.80 (s, 3H, CH3O), 4.61 (s, 2H, CH2Ph), 4.80–6.00 (br, 2H, NH), 6.59–6.64 (m, 2H, 2ArH), 6.70 (s, 1H, H-6), 6.77–6.80 (m, 2H, 2ArH), 6.82–6.89 (m, 2H, 2ArH), 6.93–6.99 (m, 2H, 2ArH), 7.23–7.34 (m, 5H, PhH). 13C-NMR (75 MHz, CDCl3): δ = 13.2 (CH3-C2), 16.3 (CH3-C5), 55.61 (CH3O), 55.62 (CH3O), 75.5 (CH2Ph), 114.5 (2ArH), 114.7 (C-6), 116.7 (2ArH), 120.6 (C-2), 120.8 (4ArH), 128.1 (PhH), 128.2 (2PhH), 128.5 (2PhH), 129.0 (C-5), 135.5 (C-3), 137.3 (Ar), 137.4 (Ar), 139.7 (Ar), 140.0 (Ar), 145.6 (C-4), 153.2 (ArO), 154.5 (ArO). HRMS (EI): m/z [M+] calcd for C29H30N2O3: 454.2257; found: 454.2221.
4-(Allyloxy)-N-(4-methoxyphenyl)-2,5-dimethylaniline (17a). A mixture of 11b (0.100 g, 0.41 mmol), potassium carbonate (0.062 g, 0.45 mmol) and allyl bromide (0.075 g, 0.62 mmol) in acetone (20 mL) was stirred at 60 °C for 24 h. The crude mixture was filtered over Celite, concentrated under vacuum and purified by column chromatography over silica gel (10 g/g crude, hexane/EtOAc, 95:5) to give 17a (0.102 g, 88%) as a pink solid. Rf 0.76 (hexane/EtOAc, 7:3); mp 89–90 °C. IR (film): νmax 1506, 1480, 1239, 1212, 1098, 1034, 1010, 947, 815 cm−1. 1H-NMR (300 MHz, CDCl3): δ = 2.17 (s, 3H, CH3-C5), 2.19 (s, 3H, CH3-C2), 3.77 (s, 3H, CH3O), 4.50 (dt, J = 5.0, 1.5 Hz, 2H, CH2CH=), 4.97 (br, 1H, NH), 5.27 (dq, J = 10.5, 1.5 Hz, 1H, CH2=), 5.43 (dq, J = 17.4, 1.5 Hz, 1H, CH2=), 6.01–6.15 (m, 1H, CH=), 6.68 (br s, 1H, H-3), 6.73–6.83 (m, 4H, Ar-H), 6.89 (br s, 1H, H-6). 13C-NMR (75 MHz, CDCl3): δ = 15.9 (CH3-C5), 17.9 (CH3-C2), 55.6 (CH3O), 60.3 (CH2CH=), 114.4 (C-3), 114.6 (C-3′), 116.8 (CH2=), 118.2 (C-2′), 123.2 (C-6), 125.2 (C-5), 127.7 (C-2), 133.8 (CH=), 134.9 (C-1), 139.1 (C-1′), 152.2 (C-4), 153.5 (C-4′). HRMS (EI): m/z [M+] calcd for C18H21NO2: 283.1572; found: 283.1570.
4-(Allyloxy)-2,5-dimethyl-N-(p-tolyl)aniline (17b). The procedure for the preparation of 17a was followed using a mixture of 11c (0.162 g, 0.71 mmol), potassium carbonate (0.108 g, 0.78 mmol) and allyl bromide (0.129 g, 1.07 mmol) in acetone (20 mL) to give 17b (0.137 g. 72%) as a pink solid. Rf 0.71 (hexane/EtOAc, 8:2); mp 59–60 °C. IR (film): νmax 3405, 2918, 1612, 1510, 1410, 1391, 1283, 1196, 1093, 1012, 997, 917, 814 cm−1. 1H-NMR (300 MHz, CDCl3): δ = 2.22 (s, 6H, CH3-C2, CH3-C5), 2.29 (s, 3H, CH3Ar), 4.53–4.62 (m, 2H, CH2CH=), 5.10 (br s, 1H, NH), 5.30 (dm, J = 10. 5 Hz, 1H, CH2=), 5.47 (dm, J = 17.3 Hz, 1H, CH2=), 6.05–6.21 (m, 1H, CH=), 6.67–6.75 (m, 2H, H-2′), 6.72 (br s, 1H, H-3), 7.01 (br s, 1H, H-6), 7.02–7.10 (m, 2H, H-3′). 13C-NMR (75 MHz, CDCl3): δ = 15.9 (CH3-C2 or CH3-C5), 17.9 (CH3-C5 or CH3-C2), 20.5 (CH3Ar), 69.2 (CH2CH=), 114.1 (C-3), 115.4 (C-2′), 116.8 (CH2=), 125.1 (C-5), 125.2 (C-6), 128.2 (C-2), 129.5 (C-4′), 129.7 (C-3′), 133.6 (CH=), 133.8 (C-1), 143.5 (C-1′), 152.9 (C-4). HRMS (EI): m/z [M+] Calcd for C18H21NO: 267.1623; found: 267.1627.
4-(Allyloxy)-3-((4-chlorophenyl)thio)-N-(4-methoxyphenyl)-2,5-dimethylaniline (17c). The procedure for the preparation of 17a was followed using a mixture of 14c (0.200 g, 0.52 mmol), potassium carbonate (0.079 g, 0.57 mmol) and allyl bromide (0.094 g, 0.78 mmol) in acetone (20 mL) to give 17c (0.179 g, 80%) as a pink oil; Rf 0.79 (hexane/EtOAc, 7:3). IR (film): νmax 2920, 1709, 1508, 1473, 1233, 1089, 1030, 1010, 816 cm−1. 1H-NMR (500 MHz, CDCl3): δ = 2.21 (s, 3H, CH3-C2), 2.26 (s, 3H, CH3-C5), 3.75 (s, 3H, CH3O), 4.33 (br d, J = 5.5 Hz, 2H, CH2CH=), 5.14 (br s, 1H, NH), 5.15 (br d, J = 11.0 Hz, 1H, CH2=), 5.28 (br d, J = 17.5 Hz, 1H, CH2=), 5.98–6.08 (m, 1H, CH=), 6.81–6.82 (m, 2H, H-3′), 6.86–6.88 (m, 2H, H-2′), 6.93–6.97 (m, 2H, H-2′′), 6.96 (br s, 1H, H-5), 7.09–7.13 (m, 2H, H-3′′). 13C-NMR (125 MHz, CDCl3): δ = 15.5 (CH3-C5), 16.7 (CH3-C2), 55.4 (CH3O), 74.3 (CH2CH=), 114.6 (2C-3′), 117.1 (CH2=), 120.8 (2C-2′), 121.5 (C-6), 125.8 (C-3), 127.3 (2C-2′′), 128.7 (2C-3′′), 130.0 (C-5), 130.3 (C-4′′), 130.4 (C-2), 133.9 (CH=), 136.9 (C-1′′), 137.1 (C-1′), 139.9 (C-1), 153.3 (C-4), 154.6 (C-4′). HRMS (EI): m/z [M+] calcd for C24H24ClNO2S: 425.1216; found: 425.1212.
(E)-2-Allyl-4-((4-methoxyphenyl)imino)-3,6-dimethylcyclohexa-2,5-dienone (18a). A solution of 17a (0.050 g, 0.18 mmol) in decaline (1.0 mL) was stirred at 220 °C for 8 h. The crude mixture was concentrated by azeotropic distillation with toluene (3 × 20 mL) under vacuum, and purified by column chromatography over silica gel (10 g/g crude, hexane) to give 18a (0.032 g, 62%) as a red oil. Rf 0.77 (hexane/EtOAc, 7:3). IR (film): νmax 2922, 1627, 1601, 1498, 1464, 1440, 1288, 1243, 1035, 840, 723 cm−1. 1H-NMR (500 MHz, CDCl3): δ = 1.96 (s, 3H, CH3-C6), 2.29 (s, 3H, CH3-C3), 3.35 (br d, J = 6.0 Hz, 2H, CH2CH=), 3.85 (s, 3H, CH3O), 5.03 (br d, J = 10.0 Hz, 1H, CH2=), 5.08 (br d, J = 17.0 Hz, 1H, CH2=), 5.78–5.88 (m, 1H, CH=), 6.79–6.84 (m, 2H, H-2′), 6.87 (br s, 1H, H-5), 6.93–6.97 (m, 2H, H-3′). 13C-NMR (125 MHz, CDCl3): δ = 13.5 (CH3-C3), 16.3 (CH3-C6), 30.7 (CH2CH=), 55.5 (CH3O), 114.3 (C-3′), 115.6 (CH2=), 122.3 (C-2′), 125.1 (C-5), 134.4 (CH=), 138.1 (C-3), 140.2 (C-6), 143.5 (C-1′), 145.0 (C-2), 157.6 (C-4), 157.7 (C-4′), 187.2 (C-1). HRMS (EI): m/z [M+] calcd for C18H21NO2: 283.1572; found: 283.1576.
2-Allyl-3,6-dimethyl-4-(p-tolylamino)phenol (19b). The procedure for the preparation of 18a was followed using a mixture of 17b (0.300 g, 1.12 mmol) in decaline (2 mL) to give 19b (0.168 g. 56%) as a dark red oil. Rf 0.67 (hexane/EtOAc, 8:2). IR (film): νmax 3542, 3384, 2920, 1635, 1614, 1514, 1473, 1285, 1242, 1180, 910, 810 cm−1. 1H-NMR (300 MHz, CDCl3): δ = 2.13 (s, 3H, CH3-C3), 2.18 (s, 3H, CH3-C6), 2.25 (s, 3H, CH3Ar), 3.47 (dq, J = 5.7, 1.8 Hz, 2H, CH2CH=), 4.70 (br s, 1H, NH), 5.00–5.13 (m, 2H, CH2=), 5.98 (ddt, J = 17.1, 10.2, 5.7 Hz, 1H, CH=), 6.54–6.60 (m, 2H, H-2′), 6.88 (s, 1H, H-5), 6.95–7.01 (m, 2H, H-3′). 13C-NMR (75 MHz, CDCl3): δ = 13.8 (CH3-C3), 15.8 (CH3-C6), 20.4 (CH3Ar), 31.4 (CH2CH=), 114.8 (C-2′), 115.5 (CH2=), 121.7 (C-6), 124.3 (C-2), 125.0 (C-5), 127.7 (C-4′), 129.7 (C-3′), 130.5 (C-3), 133.5 (C-4), 135.5 (CH=), 144.3 (C-1′), 149.2 (C-1). HRMS (EI): m/z [M+] Calcd for C18H21NO: 267.1623; found: 267.1626.
N-Isopropyl-N′-(3-methoxyphenyl)-2,5-dimethylbenzene-1,4-diamine (20a). The procedure for the preparation of 10a was followed using a mixture of 8a (0.299 g, 1.37 mmol), m-anisidine (2d) (0.169 g, 1.37 mmol) and glacial acetic acid (1.419 g, 23.64 mmol) in toluene (40 mL) to give 20a (0.117 g, 30%) as a brown solid. Rf 0.54 (hexane/EtOAc, 8:2); mp 83–84 °C. IR (film): νmax 3381, 2963, 1614, 1598, 1519, 1500, 1462, 1410, 1219, 1156, 1041, 839, 756, 688 cm−1. 1H-NMR (300 MHz, CDCl3): δ = 1.25 (d, J = 6.0 Hz, 6H, (CH3)2CH), 2.06 (s, 3H, CH3-C5), 2.17 (s, 3H, CH3-C2), 3.66 (sept, J = 6.3 Hz, 1H, (CH3)2CH), 3.73 (s, 3H, CH3O), 5.14 (br s, 1H, NH), 6.17 (t, J = 2.1 Hz, 1H, H-2′), 6.22–6.30 (m, 2H, H-4′, H-6′), 6.49 (s, 1H, H-3), 6.91 (s, 1H, H-6), 7.05 (t, J = 8.3 Hz, 1H, H-5′). 13C-NMR (75 MHz, CDCl3): δ = 17.1 (CH3-C5), 18.0 (CH3-C2), 23.3 ((CH3)2CH), 44.3 ((CH3)2CH), 55.0 (CH3O), 99.6 (C-2′), 102.9 (C-6′), 106.8 (C-4′), 112.6 (C-3), 120.3 (C-5), 128.3 (C-6), 128.8 (C-1), 129.8 (C-5′), 132.8 (C-2), 143.0 (C-4), 149.0 (C-1′), 160.8 (C-3′). HRMS (EI): m/z [M+] calcd for C18H24N2O: 284.1889; found: 284.1886.
N-(4-Chlorophenyl)-N′-isopropyl-2,5-dimethylbenzene-1,4-diamine (20b). The procedure for the preparation of 10a was followed using a mixture of 8a (0.200 g, 0.92 mmol), p-chloroaniline (2e) (0.116 g, 0.91 mmol) and glacial acetic acid (0.943 g, 15.74 mmol) in toluene (40 mL) to give 20b (0.159 g, 60%) as a brown solid. Rf 0.53 (hexane/EtOAc, 9:1); mp 93–94 °C. IR (film): νmax 3401, 2965, 1596, 1519, 1492, 1303, 1250, 1215, 1171, 999, 818 cm−1. 1H-NMR (300 MHz, CDCl3): δ = 1.24 (d, J = 6.3 Hz, 6H, (CH3)2CH), 2.06 (s, 3H, CH3-C5), 2.14 (s, 3H, CH3-C2), 3.16 (br s, 1H, NH), 3.66 (sept, J = 6.3 Hz, 1H, (CH3)2CH), 5.10 (br s, 1H, NH), 6.49 (s, 1H, H-3), 6.48–6.54 (m, 2H, H-2′), 6.85 (s, 1H, H-6), 7.03–7.09 (m, 2H, H-3′). 13C-NMR (75 MHz, CDCl3): δ = 17.1 (CH3-C5), 17.9 (CH3-C2), 23.2 ((CH3)2CH), 44.2 ((CH3)2CH), 112.5 (C-3), 114.8 (2C-2′), 120.4 (C-5), 122.0 (C-4′), 128.3 (C-6), 128.4 (C-5), 128.9 (2C-3′), 132.9 (C-2), 143.2 (C-4), 146.2 (C-1′). HRMS (EI): m/z [M]+calcd for C17H21ClN2: 288.1393; found: 288.1401.
(E,E)-2,5-Dimethyl-N,N′-(diphenyl)cyclohexa-2,5-diene-1,4-diimine (21a). The procedure for the preparation of 10a was followed with a mixture of 8a (0.100 g, 0.46 mmol), 2a (0.093 g, 1.00 mmol) and glacial acetic acid (0.524 g, 8.74 mmol) in toluene (20 mL) to give 21a (0.050 g, 38%) as a red solid. Rf 0.79 (hexane/EtOAc, 8:2); mp 194-195 °C. IR (film): νmax 1594, 1573, 1481, 1384, 1268, 1164, 895, 821, 759, 697 cm−1. 1H-NMR (300 MHz, CDCl3): δ = 2.13 (d, J = 1.2 Hz, 6H, CH3-C2, CH3-C5), 6.64 (br d, J = 1.2 Hz, 2H, H-3, H-6), 6.58–6.74 (m, 4H, H-2′), 7.10–7.17 (m, 2H, H-4′), 7.33–7.42 (m, 4H, H-3′). 13C-NMR (75 MHz, CDCl3): δ = 17.9 (2CH3Ar), 120.1 (4C-2′), 122.8 (C-3, C-6), 124.2 (2C-4′), 128.9 (4C-3′), 143.8 (C-2, C-5), 150.7 (2C-1′), 158.9 (C-1, C-4). Anal. calcd for C20H18N2: C, 83.88; H, 6.34; N, 9.78. Found: C, 83.89; H, 6.33; N, 9.75.
(E,E)-N,N′-Bis(4-methoxyphenyl)-2,5-dimethylcyclohexa-2,5-diene-1,4-diimine (21b). The procedure for the preparation of 10a was followed with a mixture of 8a (0.100 g, 0.46 mmol), 2b (0.123 g, 1.00 mmol) and glacial acetic acid (0.524 g, 8.74 mmol) in toluene (20 mL) to give 21b (0.114 g, 72%) as a red solid. Rf 0.42 (hexane/EtOAc, 8:2); mp 144–145 °C. IR (KBr): νmax 2959, 1599, 1572, 1499, 1463, 1440, 1243, 1165, 1034, 844, 815, 764 cm−1. 1H-NMR (500 MHz, CDCl3): δ = 2.14 (d, J = 1.5 Hz, 6H, CH3-C2, CH3-C5), 3.84 (s, 6H, 2CH3O), 6.73 (br d, J = 1.5 Hz, 2H, H-3, H-6), 6.82–6.86 (m, 4H, H-2′), 6.92–6.96 (m, 4H, H-3′). 13C-NMR (125 MHz, CDCl3): δ = 18.1 (2CH3Ar), 55.5 (2CH3O), 114.2 (4C-3′), 122.0 (4C-2′), 122.5 (C-3, C-6), 143.5 (C-2, C-5), 144.0 (2C-1′), 157.0 (2C-4′), 159.0 (C-1, C-4). MS (70 eV): m/z (%) 346 (M+, 5), 284 (45), 194 (55), 150 (100), 123 (98), 108 (98), 77 (41). HRMS (EI): m/z [M+] calcd for C22H22N2O2: 346.1681; found: 346.1682.
(E,E)-N,N′-Bis(3-Methoxyphenyl)-2,5-dimethylcyclohexa-2,5-diene-1,4-diimine (21c). The procedure for the preparation of 10a was followed with a mixture of 8a (0.100 g, 0.46 mmol), 2d (0.123 g, 1.00 mmol) and glacial acetic acid (0.477 g, 7.94 mmol) in toluene (20 mL) to give 21c (0.064 g, 40%) as an orange oil; Rf 0.40 (hexane/EtOAc, 8:2). IR (film): νmax 2921, 1579, 1478, 1280, 1145, 1042, 856, 776, 697 cm−1. 1H-NMR (300 MHz, CDCl3): δ = 2.12 (d, J = 1.5 Hz, 6H, CH3-C2, CH3-C5), 3.82 (s, 6H, CH3O), 6.36–6.44 (m, 4H, H-2′, H-4′), 6.65 (br d, J = 1.3 Hz, 2H, H-3, H-6), 6.70 (ddd, J = 8.4, 2.4, 0.9 Hz, 2H, H-6′), 7.27 (t, J = 8.4 Hz, 2H, H-5′). 13C-NMR (75 MHz, CDCl3): δ = 17.9 (2CH3Ar), 55.3 (2CH3O), 105.5 (2C-2′), 109.9 (2C-6′), 112.2 (2C-4′), 123.0 (C-3, C-6), 129.7 (2C-5′), 143.7 (C-2, C-5), 152.1 (2C-1′), 159.0 (C-1, C-4), 160.1 (2C-3′). HRMS (EI): m/z [M+] calcd for C22H22N2O2: 346.1681; found: 346.1686.
N,N′-Bis(4-Methoxyphenyl)-2,5-dimethylbenzene-1,4-diamine (22a). The procedure for the preparation of 11a was followed using a mixture of 21b (0.121 g, 0.35 mmol) in Et2O (10 mL) to give 22a (0.113 g, 93%) as a dark brown solid. Rf 0.56 (hexane/EtOAc, 8:2); mp 145–146 °C. IR (KBr): νmax 3407, 1527, 1509, 1464, 1440, 1390, 1285, 1246, 1178, 1117, 1036, 1002, 825 cm−1. 1H-NMR (500 MHz, CDCl3): δ = 2.13 (s, 6H, 2CH3Ar), 3.78 (s, 6H, 2CH3O), 4.88 (br s, 2H, 2NH), 6.80-6.88 (m, 8H, 2H-2′, 2H-3′), 6.90 (br s, 2H, H-3, H-6). 13C-NMR (125 MHz, CDCl3): δ = 17.5 (2CH3Ar), 55.6 (2CH3O), 114.7 (4C-3′), 119.2 (4C-2′), 121.5 (C-3, C-6), 127.0 (C-2, C-5), 136.6 (2C-1′), 138.4 (C-1, C-4), 153.9 (2C-4′). MS (70 eV): m/z (%) 348 (M+, 5), 284 (100), 269 (98), 241 (98), 210 (27), 127 (20), 122 (53). HRMS (EI): m/z [M+] calcd for C22H24N2O2: 348.1838; found: 348.1846.
2,5-Dimethyl-N,N′-di-p-tolylbenzene-1,4-diamine (22b). A mixture of 8a (0.100 g, 0.46 mmol), p-toluidine (2c) (0.107 g, 1.00 mmol) and AcOH (0.477 g, 7.94 mmol) in toluene (20 mL) was stirred at room temperature for 24 h. The crude mixture was concentrated under vacuum and suspended in Et2O (30 mL). A saturated aqueous solution of sodium hydrosulfite (30 mL) was added and the mixture stirred at room temperature for 12 h. The crude mixture was washed with CH2Cl2 (3 × 10 mL), and the organic layer dried (Na2SO4) and concentrated under vacuum, before purifying by column chromatography over silica gel (10 g/g crude, hexane/EtOAc, 8:2) to give 22b (0.11 g, 71%) as a brown solid. Rf 0.83 (hexane/EtOAc, 8:2); mp 134-135 °C. IR (film): νmax 3406, 3053, 1613, 1510, 1459, 1265, 1126, 1039, 896, 813, 738, 704 cm−1. 1H-NMR (300 MHz, CDCl3): δ = 2.19 (s, 6H, CH3-C2, CH3-C5), 2.32 (s, 6H, 2CH3Ar), 4.90–5.30 (br, 2H, NH), 6.79–6.85 (m, 4H, 2H-2′), 7.06 (s, 2H, H-3, H-6), 7.05–7.10 (m, 4H, 2H-3′). 13C-NMR (75 MHz, CDCl3): δ = 17.6 (CH3-C2, CH3-C5), 20.5 (2CH3Ar), 116.7 (4C-2′), 122.8 (C-3, C-6), 128.1 (2C-4′), 129.0 (C-2, C-5), 129.8 (4C-3′), 136.1 (C-1, C-4), 142.6 (2C-1′). Anal. calcd for C22H24N2: C, 83.50; H, 7.64; N, 8.85. Found: C, 83.50; H, 7.68; N, 8.81.
N,N′-Bis(3-Methoxyphenyl)-2,5-dimethylbenzene-1,4-diamine (22c). The procedure for the preparation of 22b was followed using a mixture of 8a (0.100 g, 0.46 mmol) and 2d (0.123 g, 1.00 mmol) to give 22c (0.083 g, 52%) as a brown solid. Rf 0.66 (hexane/EtOAc, 8:2); mp 97–98 °C. IR (film): νmax 3381, 2956, 2924, 1599, 1497, 1215, 1156, 1042, 841, 763, 689 cm−1. 1H-NMR (500 MHz, CDCl3): δ = 2.17 (s, 6H, 2CH3Ar), 3.76 (s, 6H, 2CH3O), 4.70–5.60 (br, 2H, NH), 6.38-6.42 (m, 4H, H-2′, H-4′), 6.42–6.46 (m, 2H, H-6′), 7.09 (s, 2H, H-3, H-6), 7.12 (t, J = 9.0 Hz, 2H, H-5′). 13C-NMR (125 MHz, CDCl3): δ = 17.6 (2CH3Ar), 55.1 (2CH3O), 101.8 (2C-2′), 104.5 (2C-4′), 108.7 (2C-6′), 124.5 (C-3, C-6), 129.3 (C-2, C-5), 130.0 (2C-5′), 135.9 (C-1, C-4), 146.8 (2C-1′), 160.8 (2C-3′). HRMS (EI): m/z [M+] calcd for C22H24N2O2: 348.1838; found: 348.1840.

3.3. Single-Crystal X-ray Crystallography

bis-Iminoquinone 8a was obtained as yellow crystals (hexane), which were mounted on glass fibers. Crystallographic measurements were performed on an Oxford XCalibur diffractometer with Mo Kα radiation (λ= 0.71073 Å; graphite monochromator) at room temperature [66]. Two standard reflections were monitored periodically, showing no change during data collection. Unit cell parameters were obtained from least-squares refinement. Intensities were corrected for Lorentz and polarization effects. No absorption correction was applied. Anisotropic temperature factors were introduced for all non-hydrogen atoms. Hydrogen atoms were placed in idealized positions and their atomic coordinates refined. Unit weights were used in the refinement. After being solved using SHELX-97 [67], the structure was visualized and plotted with the MERCURY program package [68,69,70]. Data from 8a: Formula: C14H22N2; molecular weight: 218.34; cryst. syst.: monoclinic; space group: P 1 21/a 1; unit cell parameters: a, 9.3369(19), b, 7.7080(4), c, 15.920(3) (Å); α, 90°, β, 142.07 °, γ, 90°; temp. (°K): 292(2); Z: 3; no. of reflections collected: 7685; no. of independent reflections: 2391; no. of reflections observed: 1743; data collection range: 3.36 < 2θ <32.79; R: 0.059; GOF: 1.05 (for complete X-ray data, see Supplementary Material Tables S1–S6).

4. Conclusions

A series of new 2,5-dimethylbenzoquinone(alkylimines) 7ab, 2,5-dimethylbenzoquinone(bis-alkyldiimines) 8ac, and N,N′-dialkyl-2,5-dimethylbenzene-1,4-diamines 9ac were synthesized via condensation of diacetyl (1a) and α-branched primary amines 6ac. The scope of the method is limited to using this kind of amine. Substitution of the alkylamine of iminoquinone 7a by anilines 2ab followed by the aromatization of the iminoquinones 10 yielded a series of diarylamines 11 and 12. The addition of benzenethiols 13 to compounds 10 led to polysubstituted diarylamines 14ad. p-Aminodiarylamines and bis-diarylamines were also available through this methodology by carrying out substitution of both isopropylamino groups in the bis-iminoquinone 8a with one or two anilines. Interestingly, the Claisen rearrangement of the allyloxy analogue 17a unexpectedly yielded the iminoquinone 18a. In contrast, the Claisen rearrangement of 17b led to the expected ortho-allyl phenol 19b. Further studies of reactions with other α-diketones and amines and their potential use in synthesis are currently under investigation.

Supplementary Materials

Supplementary materials can be accessed at: https://www.mdpi.com/1420-3049/20/11/19716/s1.

Acknowledgments

We thank Bruce A. Larsen for proofreading the manuscript. J.T. acknowledges SIP/IPN (Grants 20130686, 20140858 and 20150917) and CONACYT (Grants 83446 and 178319) for financial support. C.E.-H., R.B., S.F.-P. and E.I.M.-M. thank CONACYT for awarding them graduate scholarships and also SIP/IPN (PIFI) for scholarship complements. V.P. is grateful to SNI-CONACYT and the Ludwig K. Hellweg Foundation for scholarships granted. F.D. and J.T. are fellows of the EDI-IPN and COFAA-IPN programs.

Author Contributions

C.E.-H. contributed with compound synthesis, performed NMR and HRMS spectra and crystallography study, and wrote the experimental section. R.B., S.F.-P., V.P. and E.I.M.-M. also carried out compound synthesis. R.B. and E.I.M.-M. performed some NMR spectra and elemental analyses. F.D. contributed with the literature research, analyzed results and reviewed the manuscript. J.T. planned the route of synthesis, designed the new compounds, discussed the results, and wrote and the manuscript.

Conflicts of Interest

The authors declare no conflict of interest.

References and Notes

  1. Pripis-Nicolau, L.; de Revel, G.; Bertrand, A.; Maujean, A. Formation of flavor components by the reaction of amino acid and carbonyl compounds in mild conditions. J. Agric. Food Chem. 2000, 48, 3761–3766. [Google Scholar] [CrossRef] [PubMed]
  2. Haahr, A.-M.; Bredie, W.L.P.; Stahnke, L.H.; Jensen, B.; Refsgaard, H.H.F. Flavor release of aldehydes and diacetyl in oil/water systems. Food Chem. 2000, 71, 355–362. [Google Scholar] [CrossRef]
  3. Yamamoto, Y.; Kimachi, T.; Kanaoka, Y.; Kato, S.; Bessho, K. Synthesis and DNA binding properties of amide bond-modified analogues related to distamycin. Tetrahedron Lett. 1996, 37, 7801–7804. [Google Scholar] [CrossRef]
  4. Maurya, R.; Singh, R.; Deepak, M.; Handa, S.S.; Yadav, P.P.; Mishra, P.K. Constituents of Pterocarpus marsupium: An ayurvedic crude drug. Phytochemistry 2004, 65, 915–920. [Google Scholar] [CrossRef] [PubMed]
  5. Furusawa, T.; Kawano, M.; Fujita, M. The confined cavity of a coordination cage suppresses the photocleavage of α-diketones to give cyclization products through kinetically unfavorable pathways. Angew. Chem. Int. Ed. 2007, 46, 5717–5719. [Google Scholar] [CrossRef] [PubMed]
  6. Walsh, C.J.; Mandal, B.K. Improved synthesis of unsymmetrical heteroaromatic 1,2-diketones and the synthesis of carbazole ring substituted tetraaryl cyclopentadienenones. J. Org. Chem. 1999, 64, 6102–6105. [Google Scholar] [CrossRef]
  7. Xiang, A.X.; Watson, D.A.; Ling, T.; Theodorakis, E.A. Total synthesis of clerocidin via a novel enantioselective homoallenylboration methodology. J. Org. Chem. 1998, 63, 6774–6775. [Google Scholar] [CrossRef] [PubMed]
  8. El-Ballouli, A.O.; Zhang, Y.; Barlow, S.; Marder, S.R.; Al-Sayah, M.H.; Kaafarani, B.R. Fluorescent detection of anions by dibenzophenazine-based sensors. Tetrahedron Lett. 2012, 53, 661–665. [Google Scholar] [CrossRef]
  9. Wärnmark, K.; Thomas, J.A.; Heyke, O.; Lehn, J.-M. Stereoisomerically controlled inorganic architectures: Synthesis of enantio- and diastereo-merically pure ruthenium-palladium molecular rods from enantiopure building blocks. Chem. Commun. 1996, 701–702. [Google Scholar] [CrossRef]
  10. Ita, B.I.; Offiong, O.E. The study of the inhibitory properties of benzoin, benzil, benzoin-(4-phenylthiosemicarbazone) and benzil-(4-benzylthiosemicarbazone) on the corrosion of mild steel in hydrochloric acid. Mat. Chem. Phys. 2001, 70, 330–335. [Google Scholar] [CrossRef]
  11. McKenna, J.M.; Halley, F.; Souness, J.E.; McLay, I.M.; Pickett, S.D.; Collis, A.J.; Page, K.; Ahmed, I. An algorithm-directed two-component library synthesized via solid phase methodology yielding potent and orally bioavailable p38 MAP kinase inhibitors. J. Med. Chem. 2002, 45, 2173–2184. [Google Scholar] [CrossRef] [PubMed]
  12. Slee, D.H.; Romano, S.J.; Yu, J.; Nguyen, T.N.; John, J.K.; Raheja, N.K.; Axe, F.U.; Jones, T.K.; Ripka, W.C. Development of potent non-carbohydrate imidazole-based small molecule selectin inhibitors with antiinflammatory activity. J. Med. Chem. 2001, 44, 2094–2107. [Google Scholar] [CrossRef] [PubMed]
  13. Hui, X.; Desrivot, J.; Bories, C.; Loiseau, P.M.; Franck, X.; Hocquemiller, R.; Figadère, B. Synthesis and antiprotozoal activity of some new synthetic substituted quinoxalines. Bioorg. Med. Chem. Lett. 2006, 16, 815–820. [Google Scholar] [CrossRef] [PubMed]
  14. Corrales, T.; Catalina, F.; Peinado, C.; Allen, N.S. Free radical macrophotoinitiators: An overview on recent advances. J. Photochem. Photobiol. A: Chem. 2003, 159, 103–114. [Google Scholar] [CrossRef]
  15. Krzeszewski, M.; Thorsted, B.; Brewer, J.; Gryko, D.T. Tetraaryl-, pentaaryl-, and hexaaryl-1,4-dihydropyrrolo[3,2-b]pyrroles: Synthesis and optical properties. J. Org. Chem. 2014, 79, 3119–3128. [Google Scholar] [CrossRef] [PubMed]
  16. Kaur, N. Environmentally benign synthesis of five-membered 1,3-N,N-heterocycles by microwave irradiation. Synth. Commun. 2015, 45, 909–943. [Google Scholar] [CrossRef]
  17. Deng, X.; Mani, N.S. An efficient route to 4-aryl-5-pyrimidinylimidazoles via sequential functionalization of 2,4-dichloropyrimidine. Org. Lett. 2006, 8, 269–272. [Google Scholar] [CrossRef] [PubMed]
  18. Martínez, V.; Burgos, C.; Alvarez-Builla, J.; Fernández, G.; Domingo, A.; García-Nieto, R.; Gago, F.; Manzanares, I.; Cuevas, C.; Vaquero, J.J. Benzo[f]azino[2,1-a]phthalazinium cations: Novel DNA intercaling chromophores with antiproliferative activity. J. Med. Chem. 2004, 47, 1136–1148. [Google Scholar] [CrossRef] [PubMed]
  19. Wolkenberg, S.E.; Wisnoski, D.D.; Leister, W.H.; Wang, Y.; Zhao, A.; Lindsley, C.W. Efficient synthesis of imidazoles from aldehydes and 1,2-diketones using microwave irradiation. Org. Lett. 2004, 6, 1453–1456. [Google Scholar] [CrossRef] [PubMed]
  20. Ramarao, C.; Nandipati, R.; Navakoti, R.; Kottamasu, R. Synthesis and use of chiral substituted benzenes containing 1,2-diols protected as cyclic acetals. Tetrahedron Lett. 2012, 53, 637–640. [Google Scholar] [CrossRef]
  21. Hoyos, P.; Sinisterra, J.-V.; Molinari, F.; Alcántara, A.R.; María, P.D. Biocatalytic strategies for the asymmetric synthesis of α-hydroxy ketones. Acc. Chem. Res. 2010, 43, 288–299. [Google Scholar] [CrossRef] [PubMed]
  22. Koike, T.; Murata, K.; Ikariya, T. Stereoselective synthesis of optically active α-hydroxy ketones and anti-1,2-diols via asymmetric transfer hydrogenation of unsymmetrically substituted 1,2-diketones. Org. Lett. 2000, 2, 3833–3836. [Google Scholar] [CrossRef] [PubMed]
  23. Wright, M.W.; Welker, M.E. Transition metal mediated exo selective Diels-Alder reactions: Preparation of 2-cobalt-substituted 1,3-dienes containing C2 symmetric 2,3-dibenzobicyclo[2.2.2]octanedione dioxime equatorial ligands and their use in thermal and Lewis acid catalyzed 4+2 cycloadditions. J. Org. Chem. 1996, 61, 133–141. [Google Scholar] [CrossRef]
  24. Zárate-Zárate, D.; Aguilar, R.; Hernández-Benitez, R.I.; Labarrios, E.M.; Delgado, F.; Tamariz, J. Synthesis of α-ketols by functionalization of captodative alkenes and divergent preparation of heterocycles and natural products. Tetrahedron 2015, 71, 6961–6978. [Google Scholar] [CrossRef]
  25. Mandal, A.B.; Gómez, A.; Trujillo, G.; Méndez, F.; Jiménez, H.A.; Rosales, M.J.; Martínez, R.; Delgado, F.; Tamariz, J. One-pot synthesis and highly regio- and stereoselective Diels-Alder cycloadditions of novel exo-2-oxazolidinone dienes. J. Org. Chem. 1997, 62, 4105–4115. [Google Scholar] [CrossRef]
  26. Fuentes, A.; Martínez-Palou, R.; Jiménez-Vázquez, H.A.; Delgado, F.; Reyes, A.; Tamariz, J. Diels-Alder reactions of 2-oxazolidinone dienes in polar solvents using catalysis or non-conventional energy sources. Monatsh. Chem. 2005, 136, 177–192. [Google Scholar] [CrossRef]
  27. Bautista, R.; Bernal, P.; Herrera, R.; Santoyo, B.M.; Lazcano-Seres, J.M.; Delgado, F.; Tamariz, J. Synthesis and Diels-Alder cycloadditions of exo-imidazolidin-2-one dienes. J. Org. Chem. 2011, 76, 7901–7911. [Google Scholar] [CrossRef] [PubMed]
  28. Nagarajan, A.; Zepeda, G.; Tamariz, J. Highly selective 1,3-dipolar cycloadditions of captodative olefins 1-acetylvinyl carboxylates to diverse dipoles. Tetrahedron Lett. 1996, 37, 6835–6838. [Google Scholar] [CrossRef]
  29. Herrera, R.; Mendoza, J.A.; Morales, M.A.; Méndez, F.; Jiménez-Vázquez, H.A.; Delgado, F.; Tamariz, J. Selectivity in 1,3-dipolar cycloadditions of β-substituted captodative olefins—An experimental and DFT transition state study. Eur. J. Org. Chem. 2007, 2352–2364. [Google Scholar] [CrossRef]
  30. Herrera, R.; Nagarajan, A.; Morales, M.A.; Méndez, F.; Jiménez-Vázquez, H.A.; Zepeda, L.G.; Tamariz, J. Regio- and stereoselectivity of captodative olefins in 1,3-dipolar cycloadditions. A DFT/HSAB theory rational for the observed regiochemistry of nitrones. J. Org. Chem. 2001, 66, 1252–1263. [Google Scholar] [CrossRef] [PubMed]
  31. Villar, L.; Bullock, J.P.; Khan, M.M.; Nagarajan, A.; Bates, R.W.; Bott, S.G.; Zepeda, G.; Delgado, F.; Tamariz, J. Highly stereoselective palladium-catalyzed coupling reactions of captodative olefins acetylvinyl arenecarboxylates. J. Organomet. Chem. 1996, 517, 9–17. [Google Scholar] [CrossRef]
  32. Ortega-Jiménez, F.; Benavides, A.; Delgado, F.; Jiménez-Vázquez, H.A.; Tamariz, J. Synthesis and reactivity of η4-diene-Fe(CO)3 complexes from exo-2-oxazolidinone dienes. A facile generation of stable conjugates enol-enamido species. Organometallics 2010, 29, 149–159. [Google Scholar] [CrossRef]
  33. Carson, J.F. Reaction of diacetyl and cyclohexylamine. J. Am. Chem. Soc. 1953, 75, 4300–4302. [Google Scholar] [CrossRef]
  34. Corbett, J.F. Benzoquinone imines. Part VII. The mechanism and kinetics of the reaction of p-benzoquinone di-imines with monohydric phenols and the ultraviolet, infrared, and nuclear magnetic resonance spectra of the resulting indoanilines. J. Chem. Soc. B 1970, 1418–1427. [Google Scholar] [CrossRef]
  35. Corbett, J.F. Benzoquinone imines. Part VIII. Mechanism and kinetics of the reaction of p-benzoquinone monoimines with monohydric phenols. J. Chem. Soc. B 1970, 1502–1509. [Google Scholar] [CrossRef]
  36. El Muslemany, K.M.; Twite, A.A.; ElSohly, A.M.; Obermeyer, A.C.; Mathies, R.A.; Francis, M.B. Photoactivated bioconjugation between ortho-azidophenols and anilines: A facile approach to biomolecular photopatterning. J. Am. Chem. Soc. 2014, 136, 12600–12606. [Google Scholar] [CrossRef] [PubMed]
  37. ElSohly, A.M.; Francis, M.B. Development of oxidative coupling strategies for site-selective protein modification. Acc. Chem. Res. 2015, 48, 1971–1978. [Google Scholar] [CrossRef] [PubMed]
  38. Belfield, A.J.; Brown, G.R.; Foubister, A.J. Recent synthetic advances in the nucleophilic amination of benzenes. Tetrahedron 1999, 55, 11399–11428. [Google Scholar] [CrossRef]
  39. Ricci, A. Amino Group Chemistry: From Synthesis to the Life Sciences; Wiley-VCH: Weinheim, Germany, 2008. [Google Scholar]
  40. Amer, B.; Juvik, O.J.; Dupont, F.; Francis, G.W.; Fossen, T. Novel aminoalkaloids from European mistletoe (Viscum album L.). Phytochem. Lett. 2012, 5, 677–681. [Google Scholar] [CrossRef]
  41. Knölker, H.-J.; Reddy, K.R. Chemistry and Biology of Carbazole Alkaloids. In The Alkaloids Chemistry and Biology; Cordell, G.A., Ed.; Academic Press: Amsterdam, NL, USA, 2008; Volume 65. [Google Scholar]
  42. Schmidt, A.W.; Reddy, K.R.; Knölker, H.-J. Occurrence, biogenesis, and synthesis of biologically active carbazole alkaloids. Chem. Rev. 2012, 112, 3193–3328. [Google Scholar] [CrossRef] [PubMed]
  43. Bautista, R.; Bernal, P.; Montiel, L.E.; Delgado, F.; Tamariz, J. Total synthesis of the natural carbazoles glycozolicine, mukoline, and mukolidine, starting from 4,5-dimethyleneoxazolidin-2-ones. Synthesis 2011, 929–933. [Google Scholar]
  44. Bautista, R.; Jerezano, A.V.; Tamariz, J. Synthetic approach for constructing the 1-oxygenated carbazole core and its application to the preparation of natural alkaloids. Synthesis 2012, 44, 3327–3336. [Google Scholar] [CrossRef]
  45. Bautista, R.; Montoya, P.A.; Rebollar, A.; Burgueño, E.; Tamariz, J. Palladium-catalyzed synthesis of natural and unnatural 2-, 5-, and 7-oxygenated carbazole alkaloids from N-arylcyclohexane enaminones. Molecules 2013, 18, 10334–10351. [Google Scholar] [CrossRef] [PubMed]
  46. Xie, Y.; Liu, S.; Liu, Y.; Wen, Y.; Deng, G.-J. Palladium-catalyzed one-pot diarylamine formation from nitroarenes and cyclohexanones. Org. Lett. 2012, 14, 1692–1695. [Google Scholar] [CrossRef] [PubMed]
  47. Ricci, A. Modern Amination Methods; Wiley-VCH: Weinheim, Germany, 2000. [Google Scholar]
  48. Collet, F.; Dodd, R.H.; Dauban, P. Catalytic C-H amination: Recent progress and future directions. Chem. Commun. 2009, 5061–5074. [Google Scholar] [CrossRef] [PubMed]
  49. Zhu, L.; Ye, Y.-M.; Shao, L.-X. Well-defined NHC-Pd(II)-Im(NHC=N-heterocyclic carbene; Im=1-methylimidazole) complex catalyzed C-N coupling of primary amines and aryl chlorides. Tetrahedron 2012, 68, 2414–2420. [Google Scholar] [CrossRef]
  50. Hartwig, J.F. Palladium-catalyzed amination of aryl halides: Mechanism and rational catalyst design. Synlett 1997, 329–340. [Google Scholar] [CrossRef]
  51. Hartwig, J.F. Transition metal catalyzed synthesis of arylamines and aryl ethers from aryl halides and triflates: Scope and mechanism. Angew. Chem. Int. Ed. 1998, 37, 2046–2067. [Google Scholar] [CrossRef]
  52. Wolfe, J.P.; Wagaw, S.; Marcoux, J.-F.; Buchwald, S.L. Rational development of practical catalysts for aromatic carbon-nitrogen bond formation. Acc. Chem. Res. 1998, 31, 805–818. [Google Scholar] [CrossRef]
  53. Hartwig, J.F. Evolution of a fourth generation catalyst for the amination an thioetherification of aryl halides. Acc. Chem. Res. 2008, 41, 1534–1544. [Google Scholar] [CrossRef] [PubMed]
  54. Surry, D.S.; Buchwald, S.L. Biaryl phosphine ligands in palladium-catalyzed amination. Angew. Chem. Int. Ed. 2008, 47, 6338–6361. [Google Scholar] [CrossRef] [PubMed]
  55. Kunz, K.; Scholz, U.; Ganzer, D. Renaissance of Ullmann and Goldberg reactions: Progress in copper catalyzed C–N, C–O and C–S coupling. Synlett 2003, 2428–2439. [Google Scholar] [CrossRef]
  56. Ley, S.V.; Thomas, A.W. Modern synthetic methods for copper-mediated C(aryl)-O, C(aryl)-N and C(aryl)-S bond formation. Angew. Chem. Int. Ed. 2003, 42, 5400–5449. [Google Scholar] [CrossRef] [PubMed]
  57. Fleming, I. Molecular Orbitals and Organic Chemical Reactions, Reference Edition; Wiley: Chichester, UK, 2010. [Google Scholar]
  58. Konovalova, S.A.; Avdeenko, A.P.; Santalove, A.A.; D′yakonenko, V.V.; Palamarchuk, G.V.; Shishkin, O.V. Reaction of N-aryl-1,4-benzoquinone imines with sodium arenesulfinates. Russian J. Org. Chem. 2014, 50, 1757–1762. [Google Scholar] [CrossRef]
  59. Boone, H.W.; Bryce, J.; Lindgren, T.; Padias, A.B.; Hall, H.K., Jr. Stereoregular poly(benzoquinone imines) from methyl-substituted benzoquinones. Macromolecules 1997, 30, 2797–2799. [Google Scholar] [CrossRef]
  60. Jian, F.-F.; Zhuang, R.-R.; Wang, K.-F.; Wang, J. (6E)-N-[(4Z)-2,5-Dimethyl-4-(p-tolylimino)cyclohexa-2,5-diphenylidene]-4-methylaniline. Acta Cryst. 2008, E64, o78. [Google Scholar] [CrossRef]
  61. Martín Castro, A.M. Claisen rearrangement over the past nine decades. Chem. Rev. 2004, 104, 2939–3002. [Google Scholar] [CrossRef] [PubMed]
  62. Ganem, B. The mechanism of the Claisen rearrangement: Déjà vu all over again. Angew. Chem. Int. Ed. Engl. 1996, 35, 936–945. [Google Scholar] [CrossRef]
  63. Li, X.-G.; Huang, M.-R.; Duan, W.; Yang, Y.-L. Novel multifunctional polymers from aromatic diamines by oxidative polymerizations. Chem. Rev. 2002, 102, 2925–3030. [Google Scholar] [CrossRef] [PubMed]
  64. Nishiumi, T.; Nomura, Y.; Chimoto, Y.; Higuchi, M.; Yamamoto, K. The class II/III transition electron transfer on an infrared vibrational time scale for N,N′-diphenyl-1,4-phenylenediamine structures. J. Phys. Chem. B 2004, 108, 7992–8000. [Google Scholar] [CrossRef]
  65. Nishiumi, T.; Chimoto, Y.; Hagiwara, Y.; Higuchi, M.; Yamamoto, K. First redox polymer bearing one-step successive two-electron transfer process based on redox potential inversion. Macromolecules 2004, 37, 2661–2664. [Google Scholar] [CrossRef]
  66. CCDC 1429959 contains the supplementary crystallographic data for this paper. These data can be obtained free of charge via http://www.ccdc.cam.ac.uk/conts/retrieving.html (or from the CCDC, 12 Union Road, Cambridge CB2 1EZ, UK; Fax: +44 1223 336033; E-mail: deposit@ccdc.cam.ac.uk).
  67. Sheldrick, G.M. SHELXL-97, Program for Crystal Structure Refinement; University of Goettingen: Goettingen, Germany, 1997. [Google Scholar]
  68. Bruno, I.J.; Cole, J.C.; Edgington, P.R.; Kessler, M.; Macrae, C.F.; McCabe, P.; Pearson, J.; Taylor, R. New software for searching the Cambridge Structural Database and visualizing crystal structures. Acta Cryst. 2002, B58, 389–397. [Google Scholar] [CrossRef]
  69. Macrae, C.F.; Edgington, P.R.; McCabe, P.; Pidcock, E.; Shields, G.P.; Taylor, R.; Towler, M.; van de Streek, J. Mercury: Visualization and analysis of crystal structures. J. Appl. Cryst. 2006, 39, 453–457. [Google Scholar] [CrossRef]
  70. Macrae, C.F.; Bruno, I.J.; Chisholm, J.A.; Edgington, P.R.; McCabe, P.; Pidcock, E.; Rodriguez-Monge, L.; Taylor, R.; van de Streek, J.; Wood, P.A. Mercury CSD 2.0—New features for the visualization and investigation of crystal structures. J. Appl. Cryst. 2008, 41, 466–470. [Google Scholar] [CrossRef]
  • Sample Availability: Samples of the compounds 10b, 10c, 11b, 11c, 12a, 14a, 14d, 17c, 20a, 20b, 21b and 22b are available from the authors.

Share and Cite

MDPI and ACS Style

Espinoza-Hicks, C.; Bautista, R.; Frias-Puente, S.; Pelayo, V.; Martínez-Mora, E.I.; Delgado, F.; Tamariz, J. Condensation of Diacetyl with Alkyl Amines: Synthesis and Reactivity of p-Iminobenzoquinones and p-Diiminobenzoquinones. Molecules 2015, 20, 20719-20740. https://doi.org/10.3390/molecules201119716

AMA Style

Espinoza-Hicks C, Bautista R, Frias-Puente S, Pelayo V, Martínez-Mora EI, Delgado F, Tamariz J. Condensation of Diacetyl with Alkyl Amines: Synthesis and Reactivity of p-Iminobenzoquinones and p-Diiminobenzoquinones. Molecules. 2015; 20(11):20719-20740. https://doi.org/10.3390/molecules201119716

Chicago/Turabian Style

Espinoza-Hicks, Carlos, Rafael Bautista, Saúl Frias-Puente, Vanessa Pelayo, Eder I. Martínez-Mora, Francisco Delgado, and Joaquín Tamariz. 2015. "Condensation of Diacetyl with Alkyl Amines: Synthesis and Reactivity of p-Iminobenzoquinones and p-Diiminobenzoquinones" Molecules 20, no. 11: 20719-20740. https://doi.org/10.3390/molecules201119716

APA Style

Espinoza-Hicks, C., Bautista, R., Frias-Puente, S., Pelayo, V., Martínez-Mora, E. I., Delgado, F., & Tamariz, J. (2015). Condensation of Diacetyl with Alkyl Amines: Synthesis and Reactivity of p-Iminobenzoquinones and p-Diiminobenzoquinones. Molecules, 20(11), 20719-20740. https://doi.org/10.3390/molecules201119716

Article Metrics

Back to TopTop