Anti-Inflammatory Constituents from Bidens frondosa
Abstract
:1. Introduction
2. Results and Discussion
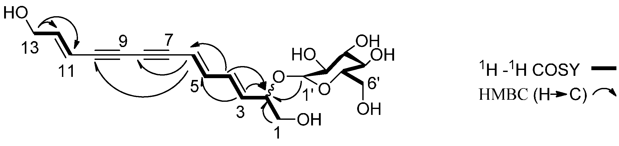
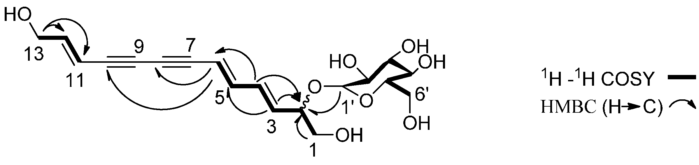
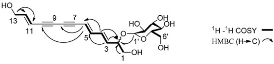
2.1. Structural Elucidation of Isolated Compounds



2.2. Anti-Inflammatory Activity





3. Experimental Section
3.1. General Procedures
3.2. Plant Material
3.3. Extraction and Isolation
3.4. Luciferase Assay
3.5. Measurement of TNF-α, IL-1β, IL-6, and IL-10
3.6. Characterization of Compounds
4. Conclusions
Supplementary Materials
Acknowledgments
Author Contributions
Conflicts of Interest
References
- Rahman, A.; Bajpai, V.K.; Dung, N.T.; Kang, S.C. Antibacterial and antioxidant activities of the essential oil and methanol extracts of Bidens frondosa Linn. Int. J. Food Sci. Tech. 2011, 46, 1238–1244. [Google Scholar] [CrossRef]
- Venkateswarlu, S.; Panchagnula, G.K.; Subbaraju, G.V. Synthesis and antioxidative activity of 3′,4′,6,7-tetrahydroxyaurone, a metabolite of Bidens frondosa. Biosci. Biotech. Bioch. 2004, 68, 2183–2185. [Google Scholar] [CrossRef]
- Brandao, M.G.; Krettli, A.U.; Soares, L.S.; Nery, C.G.; Marinuzzi, H.C. Antimalarial activity of extracts and fractions from Bidens pilosa and other Bidens species (Asteraceae) correlated with the presence of acetylene and flavonoid compounds. J. Ethnopharmacol. 1997, 57, 131–138. [Google Scholar] [CrossRef]
- Zhao, J.; Wang, C.G. Antidiarrheal activity of Bidens frondosa. J. Nanjing Univ. TCM 1999, 15, 299–300. [Google Scholar]
- Pagani, F.; Romussi, G. A new polyinic d-glucoside from Bidens frondosa flowers. Phytochemistry 1971, 10, 2233. [Google Scholar] [CrossRef]
- Pagani, F.; Romussi, G.; Bohhnann, F. Notiz uber die struktur des polyin-glucosids aus Bidens frondosa L. Chem. Ber. 1972, 10, 3126–3127. [Google Scholar] [CrossRef]
- Romussi, G.; Pagani, F. Constituents of Bidens frondosa L. Boll. Chim. Farm. 1970, 109, 467–475. [Google Scholar] [PubMed]
- Karikome, H.; Ogawa, K.; Sashida, Y. New acylated glucosides of chalcone from the leaves of Bidens frondosa. Chem. Pharm. Bull. 1992, 40, 689–691. [Google Scholar] [CrossRef]
- Le, J.M.; Wu, Z.J.; Xiong, X.J. Chemical constituents of Bidens frondosa L. Chin. Pharm. J. 2014, 49, 38–42. [Google Scholar]
- Xi, F.M.; Li, C.T.; Han, J.; Yu, S.S.; Wu, Z.J.; Chen, W.S. Thiophenes, polyacetylenes and terpenes from the aerial parts of Eclipata prostrata. Bioorgan. Med. Chem. 2014, 22, 6515–6522. [Google Scholar] [CrossRef] [PubMed]
- He, J.; Shen, Y.; Jiang, J.S.; Yang, Y.N.; Feng, Z.M.; Zhang, P.C.; Yuan, S.P.; Hou, Q. New polyacetylene glucosides from the florets of Carthamus tinctorius and their weak anti-inflammatory activities. Carbohyd. Res. 2011, 346, 1903–1908. [Google Scholar] [CrossRef] [PubMed]
- Yue, Z.G.; Qin, H.; Li, Y.H.; Sun, Y.; Wang, Z.P.; Yang, T.H.; Liu, L.; Wang, M.C.; Feng, F.; Mei, Q.B. Chemical Constituents of the Root of Jasminum giraldii. Molecules 2013, 18, 4766–4775. [Google Scholar] [CrossRef] [PubMed]
- Yang, X.W.; Huang, M.Z.; Jin, Y.S.; Sun, L.N.; Song, Y.; Chen, H.S. Phenolics from Bidens bipinnata and their amylase inhibitory properties. Fitoterapia 2012, 83, 1169–1175. [Google Scholar] [CrossRef] [PubMed]
- Dai, Z.; Wang, G.L.; Lin, R.C. Chemical constituents of Balanophora simaoensis (III). Chin. Tradit. Herb Drugs 2006, 37, 1608–1610. [Google Scholar]
- Shimoda, K.; Kondo, Y.; Nishida, T.; Hamada, H.; Nakajima, N.; Hamada, H. Biotransformation of thymol, carvacrol, and eugenol by cultured cells of Eucalyptus perriniana. Phytochemistry 2006, 67, 2256–2261. [Google Scholar] [CrossRef] [PubMed]
- Chen, Y.J.; Wang, H.T.; He, L.P.; Zhang, H.G.; Yin, J.L. Study on chemical constituents from bark of Fraxinus mandschurica Rupr. Chin. Pharm. J. 2009, 44, 1133–1136. [Google Scholar]
- Ishikawa, T.; Fujimatu, E.; Kitajima, J. Water-soluble constituents of anise: New glucosides of anethole glycol and its related compounds. Chem. Pharm. Bull. 2002, 50, 1460–1466. [Google Scholar] [CrossRef] [PubMed]
- Liu, Y.B.; Qin, J.J.; Cheng, X.R.; Zhu, J.X.; Zhang, F.; Jin, H.Z.; Zhang, W.D. Three new neolignans and one new phenylpropanoid from the leaves and stems of Toona ciliata var. Pubescen. Helv. Chim. Acta 2011, 94, 1685–1691. [Google Scholar] [CrossRef]
- Zhao, L.; Li, L.Z.; Peng, Y.; Song, S.J. Isolation and identification of chemical constituents from seeds of Crataegus pinnatifida Bge. J. Shenyang Pharm. Univ. 2012, 29, 9–11. [Google Scholar]
- Kikuzaki, H.; Hara, S.; Kawai, Y.; Nakatani, N. Antioxidative phenylpropanoids from berries of Pimenta dioica. Phytochemistry 1999, 52, 1307–1312. [Google Scholar] [CrossRef]
- Ouyang, M.A.; Chen, P.Q.; Wang, S.B. Water-soluble phenylpropanoid constituents from aerial roots of Ficus microcarpa. Nat. Prod. Res. 2007, 21, 769–774. [Google Scholar] [CrossRef] [PubMed]
- Wang, W.; Ding, Y.; Xing, D.M.; Wang, J.P.; Du, L.J. Studies on phenolic constituents from leaves of pineapple(Ananas comosus). Chin. J. Chin. Mater. Med. 2006, 31, 1242–1244. [Google Scholar]
- Machida, K.; Nakano, Y.; Kikuchi, M. Phenolic glycosides from Viburnum dilatatum. Phytochemistry 1991, 30, 2013–2014. [Google Scholar] [CrossRef]
- Ma, H.Y.; Sun, Y.; Zhou, Y.Z.; Hong, M.; Pei, Y.H. Two new constituents from Artemisia capillaris Thunb. Molecules 2008, 13, 267–271. [Google Scholar] [CrossRef] [PubMed]
- Cao, X.; Li, C.J.; Yang, J.Z.; Wei, B.X.; Yuan, S.P.; Luo, Y.M.; Hou, Q.; Zhang, D.M. Four new neolignans from the leaves of Tripterygium wilfordii. Fitoterapia 2012, 83, 343–347. [Google Scholar] [CrossRef] [PubMed]
- Aboul-Ela, M.A.; El-Lakany, A.M.; Abdel-Kader, M.S.; Alqasoumi, S.I.; Shams-El-Din, S.M.; Hammoda, H.M. New quinic acid derivatives from hepatoprotective Inula crithmoides root extract. Helv. Chim. Acta. 2012, 95, 61–66. [Google Scholar]
- Brandao, G.C.; Kroon, E.G.; Souza, D.E.; Souza Filho, J.D.; Oliveira, A.B. Chemistry and antiviral activity of Arrabidaea pulchra (Bignoniaceae). Molecules 2013, 18, 9919–9932. [Google Scholar] [CrossRef] [PubMed]
- Jiang, Z.H.; Hirose, Y.; Iwata, H.; Sakamoto, S.; Tanaka, T.; Kouno, I. Caffeoyl, coumaroyl, galloyl, and hexahydroxydiphenoyl glucoses from Balanophora japonica. Chem. Pharm. Bull. 2001, 49, 887–892. [Google Scholar] [CrossRef] [PubMed]
- Nishibe, S.; Tamayama, Y.; Sasahara, M.; Andary, C. A phenylethanoid glycoside from Plantago asiatica. Phytochemistry 1995, 38, 741–743. [Google Scholar] [CrossRef]
- Silva, D.B.; Okano, L.T.; Lopes, N.P.; de Oliveira, D.C. Flavanone glycosides from Bidens gardneri Bak. (Asteraceae). Phytochemistry 2013, 96, 418–422. [Google Scholar] [CrossRef]
- Wang, Y.J.; Yang, X.W.; Guo, Q.S. Studies on chemical constituents in Huangjuhua (flowers Chrysanthemum morifolium). Chin. J. Chin. Mater. Med. 2008, 33, 526–530. [Google Scholar]
- Xu, Y.; Wu, C.L.; Liu, Y.; Zhang, Z. Studies on chemical constituents of Saussurea tangutica Maxim. Chin. Tradit. Herb Drugs 2010, 41, 1957–1960. [Google Scholar]
- Saracoglu, I.; Varel, M.; Harput, U.S.; Nagatsu, A. Acylated flavonoids and phenol glycosides from Veronica thymoides subsp. Pseudocinerea. Phytochemistry 2004, 65, 2379–2385. [Google Scholar] [CrossRef] [PubMed]
- Zhou, Z.H.; Yang, C.R. Chemical constituents of crude green tea, the material of Pu-er tea in Yunnan. Acta Bot. Yunnanica 2000, 22, 343–350. [Google Scholar]
- Lu, Y.R.; Foo, L.Y. Flavonoid and phenolic glycosides from Salvia officinalis. Phytochemistry 2000, 55, 263–267. [Google Scholar] [CrossRef]
- Kraut, L.; Mues, R.; Sim-Sim, M. Acylated flavone and glycerol glucosides from two Frullania species. Phytochemistry 1993, 34, 211–218. [Google Scholar] [CrossRef]
- Jiang, R.Z.; Chen, Y.H.; Luo, H.M.; Xu, D.D.; Gao, Y.; Gao, Q.P. Isolation and structure identification of water soluble constituents from Ixeris Sonchifolia. Nat. Prod. Res. Dev. 2010, 22, 430–432. [Google Scholar]
- Zhao, A.H.; Zhao, Q.S.; Peng, L.Y.; Zhang, J.X.; Lin, Z.W.; Sun, H.D. A new chalcone glycoside from Bidens pilosa. Acta Bot. Yunnanica 2004, 26, 121–126. [Google Scholar]
- Wang, J.; Wang, N.L.; Yao, X.S.; Kitanaka, S. Structures and anti-histamine activity of chalcones & aurones compounds from Bidens parviflora Willd. Asia. J. Tradit. Med. 2007, 2, 23–29. [Google Scholar]
- Cai, L.; Liu, C.S.; Fu, X.W.; Shen, X.J.; Yin, T.P.; Yang, Y.B.; Ding, Z.T. Two new glucosides from the pellicle of the walnut (Juglans regia). Nat. Prod. Bioprospect. 2012, 2, 150–153. [Google Scholar] [CrossRef]
- Jeong, D.M.; Jung, H.A.; Kang, H.S.; Choi, J.S. Peroxynitrite scavengers from Phellinus linteus. Nat. Prod. Sci. 2008, 14, 1–11. [Google Scholar]
- Wu, Z.J.; Ou-Yang, M.A.; Yang, C.R. Polyphenolic constituents of Salvia sonchifolia. Acta Bot. Yunnanica 1999, 21, 393–398. [Google Scholar]
- Huang, Y.; Chang, R.J.; Jin, H.Z.; Zhang, W.D. Phenolic constituents from Tsoongiodendron odorum Chun. Nat. Prod. Res. Dev. 2012, 24, 176–178. [Google Scholar]
- Duan, J.; Li, W.; Hu, X.J.; Koike, K.; Fu, H.Z. Constituents of Silene rubicunda Franch. Chin. Tradit. Herb Drugs 2009, 40, 528–530. [Google Scholar]
- Brown, G.D.; Liang, G.Y.; Sy, L.K. Terpenoids from the seeds of Artemisia annua. Phytochemistry 2003, 64, 303–323. [Google Scholar] [CrossRef]
- Zhang, X.; Lan, Z.; Dong, X.P.; Deng, Y.; Hu, X.M.; Peng, T.; Guo, P. Study on the active components of Nardostachys chinensis. Chin. Med. Mat. 2007, 30, 38–41. [Google Scholar]
- Guo, S.H.; Zhong, H.M.; Lin, W.H. Studies on the chemical constituents of the Marine Sponge (Xetospongia testudinaria) from the South China Sea. J. Qingdao Univ. Sci. Technol. 2007, 28, 502–504. [Google Scholar]
- Li, X.; Song, S.J.; Piao, S.J.; Dong, T.; Lin, H.W. Studies on chemical constituents of marine sponge Aplysinopsis sp. Chin. J. Mar. Drugs 2009, 28, 21–25. [Google Scholar]
- Shi, B.J.; Chou, G.X.; Wang, Z.T. Chemical constituents from Senecio nemorensis. J. Chin. Pharm. Univ. 2010, 41, 26–28. [Google Scholar]
- Cheng, J.; Bai, Y.J.; Zhao, Y.Y.; Wang, B.; Cheng, T.M. Studies on the phenylpropanoids from Eucommia ulmoides. Chin. J. Chin. Mater. Med. 2002, 27, 38–40. [Google Scholar]
- Ainiwaer, A.; Rena, K. Studies on the chemical constituents of seed from Nigella glandulifera. Chin. Med. Mat. 2007, 30, 1259–1261. [Google Scholar]
- Boukamcha, H.; Jannet, H.B.; Bouazizi, Y.; Mighri, Z. Isolation and structure determination of a novel furanic ester from the aerial part of Prasium Majus. Nat. Prod. Res. 2003, 17, 63–66. [Google Scholar] [CrossRef] [PubMed]
- Ai, F.W.; Zhang, S.; Li, Y.F.; Ma, Y.L. Studies on the chemical constituents of Typhonium giganteum. Chin. Tradit. Herb Drugs 2010, 41, 201–203. [Google Scholar]
- Kitajima, J.; Kimizuka, K.; Arai, M.; Tanaka, Y. Constituents of Ficus pumila leaves. Chem. Pharm. Bull. 1998, 46, 1647–1649. [Google Scholar] [CrossRef]
- Yu, Z.X.; Wang, G.L.; Bian-Ba, C.R.; Lin, R.C. Studies on chemical constituents in root of Phlomis medicinalis I. Chin. J. Chin. Mater. Med. 2006, 31, 656–658. [Google Scholar]
- Chiang, Y.M.; Kuo, Y.H. Two novel α-tocopheroids from the aerial roots of Ficus microcarpa. Tetrahedron. Lett. 2003, 44, 5125–5128. [Google Scholar] [CrossRef]
- Chang, M.H.; Wang, G.J.; Kuo, Y.H.; Lee, C.K. The low polar constituents from Bidens Pilosa L. var. Minor (Blume) Sherff. J. Chin. Chem. Soc. 2000, 47, 1131–1136. [Google Scholar] [CrossRef]
- Retief, L.; Mckenzie, J.M.; Koch, K.R. A novel approach to the rapid assignment of 13C-NMR spectra of major components of vegetable oils such as avocado, mango kernel and macadamia nut oils. Magn. Reson. Chem. 2009, 47, 771–781. [Google Scholar] [CrossRef] [PubMed]
- Mannina, L.; Luchinat, C.; Patumi, M.; Emanuele, M.C.; Rossi, E.; Segre, A. Concentration dependence of 13C-NMR spectra of triglycerides: Implications for the NMR analysis of olive oils. Magn. Reson. Chem. 2000, 38, 886–890. [Google Scholar] [CrossRef]
- Zeng, N.; Shen, Y.; Li, L.Z.; Jiao, W.H.; Gao, P.Y.; Song, S.J.; Chen, W.S.; Lin, H.W. Anti-inflammatory triterpenes from the leaves of Rosa laevigata. J. Nat. Prod. 2011, 74, 732–738. [Google Scholar] [CrossRef] [PubMed]
- Gao, H.; Zhao, F.; Chen, G.D.; Chen, S.D.; Yu, Y.; Yao, Z.H.; Wang, Z.; Li, J.; Yao, X.S. Bidesmoside triterpenoid glycosides from Stauntonia chinensis and relationship to anti-inflammation. Phytochemistry 2009, 70, 795–806. [Google Scholar] [CrossRef] [PubMed]
- Sample Availability: Samples of the compounds 1–56 are available from the authors.
© 2015 by the authors. Licensee MDPI, Basel, Switzerland. This article is an open access article distributed under the terms and conditions of the Creative Commons Attribution license ( http://creativecommons.org/licenses/by/4.0/).
Share and Cite
Le, J.; Lu, W.; Xiong, X.; Wu, Z.; Chen, W. Anti-Inflammatory Constituents from Bidens frondosa. Molecules 2015, 20, 18496-18510. https://doi.org/10.3390/molecules201018496
Le J, Lu W, Xiong X, Wu Z, Chen W. Anti-Inflammatory Constituents from Bidens frondosa. Molecules. 2015; 20(10):18496-18510. https://doi.org/10.3390/molecules201018496
Chicago/Turabian StyleLe, Jiamei, Wenquan Lu, Xiaojuan Xiong, Zhijun Wu, and Wansheng Chen. 2015. "Anti-Inflammatory Constituents from Bidens frondosa" Molecules 20, no. 10: 18496-18510. https://doi.org/10.3390/molecules201018496
APA StyleLe, J., Lu, W., Xiong, X., Wu, Z., & Chen, W. (2015). Anti-Inflammatory Constituents from Bidens frondosa. Molecules, 20(10), 18496-18510. https://doi.org/10.3390/molecules201018496
