Isoleojaponin, a New Halimane Diterpene Isolated from Leonurus japonicus
Abstract
:1. Introduction

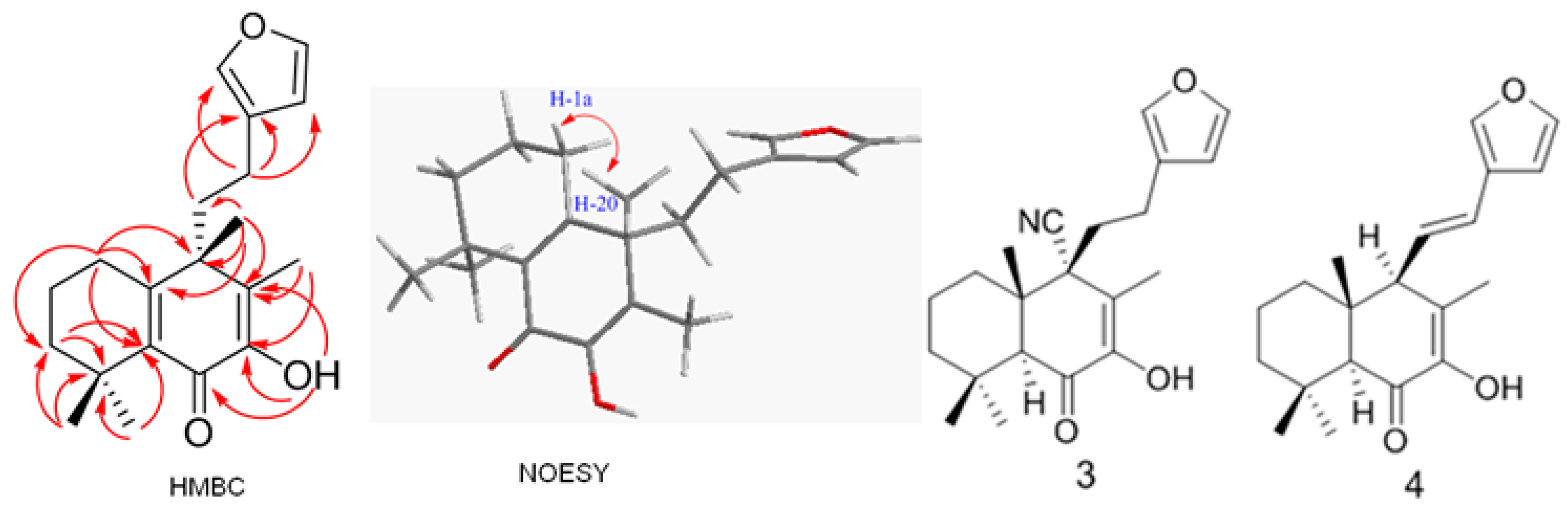
2. Results and Discussion

| Position | 1 | 2 | ||
| δC | δH | δC | δH | |
| 1 | 27.8 | 2.24 m; 2.40 m m | 29.4 | 1.55 m; 2.06 m |
| 2 | 19.0 | 1.67 m | 17.2 | 1.70 m; 1.88 m |
| 3 | 41.3 | 1.55 m | 37.2 | 1.42 m; 1.87 m |
| 4 | 33.8 | 35.6 | ||
| 5 | 138.5 | 138.6 | ||
| 6 | 180.1 | 143.1 | ||
| 7 | 145.0 | 181.6 | ||
| 8 | 128.7 | 127.3 | ||
| 9 | 45.7 | 165.8 | ||
| 10 | 161.9 | 43.8 | ||
| 11 | 37.7 | 1.92 m | 31.5 | 2.57 m; 2.66 m |
| 12 | 19.8 | 1.94 m | 23.7 | 2.57 m |
| 13 | 124.3 | 124.3 | ||
| 14 | 110.7 | 6.18, s | 110.5 | 6.34 s |
| 15 | 142.8 | 7.33 d (1.6) | 143.1 | 7.40 d (1.6) |
| 16 | 138.6 | 7.14 s | 138.6 | 7.30 s |
| 17 | 11.2 | 1.94 s | 11.5 | 1.94 s |
| 18 | 28.3 | 1.33 s | 28.0 | 1.35 s |
| 19 | 27.9 | 1.35 s | 27.6 | 1.36 s |
| 20 | 25.6 | 1.25 s | 27.9 | 1.32 s |
| OH | 6.86 s | 7.01 s | ||



3. Experimental Section
3.1. General
3.2. Plant Material
3.3. Extraction and Isolation
4. Conclusions
Supplementary Materials
Acknowledgments
Author Contributions
Conflicts of Interest
References
- Liu, Z.K.; Wu, D.R.; Shi, Y.M.; Zeng, T.; Liu, S.H.; Du, X.; Dang, Y.J.; Xiao, W.L.; Sun, H.D. Three new diterpenoids from Leonurus japonicus. Chin. Chem. Lett. 2014, 25, 677–679. [Google Scholar] [CrossRef]
- Romero-González, R.R.; Avila-Núñez, J.L.; Aubert, L.; Alonso-Amelot, M.E. Labdane diterpenes from Leonurus japonicus leaves. Phytochemistry 2006, 67, 965–970. [Google Scholar] [CrossRef] [PubMed]
- Ye, M.; Xiong, J.; Zhu, J.J.; Hong, J.L.; Zhao, Y.; Fan, H.; Yang, G.X.; Xia, G.; Hu, J.F. Leonurusoleanolides E-J, minor spirocyclic triterpenoids from Leonurus japonicus fruits. J. Nat. Prod. 2014, 77, 178–182. [Google Scholar] [CrossRef] [PubMed]
- Fuchino, H.; Daikonya, A.; Kumagai, T.; Goda, Y.; Takahashi, Y.; Kawahara, N. Two new labdane diterpenes from fresh leaves of Leonurus japonicus and their degradation during drying. Chem. Pharm. Bull. 2013, 61, 497–503. [Google Scholar] [CrossRef] [PubMed]
- Chang, J.M.; Shen, C.C.; Huang, Y.L.; Shieh, B.J.; Chen, C.C. Two new glycosides from Leonurus japonicus. J. Asian Nat. Prod. Res. 2010, 12, 740–744. [Google Scholar] [CrossRef] [PubMed]
- Moon, H.I. Three diterpenes from Leonurus japonicus Houtt protect primary cultured rat cortical cells from glutamate-induced toxicity. Phytother. Res. 2010, 24, 1256–1259. [Google Scholar] [CrossRef] [PubMed]
- Xiong, L.; Peng, C.; Zhou, Q.-M.; Wan, F.; Xie, X.-F.; Guo, L.; Li, X.-H.; He, C.-J.; Dai, O. Chemical Composition and antibacterial activity of essential oils from different parts of Leonurus japonicas Houtt. Molecules 2013, 18, 963–973. [Google Scholar] [CrossRef] [PubMed]
- Zhang, Y.; Deng, S.; Qu, L.; An, Y.-T.; Wu, C.-H.; Han, L.-F.; Gao, X.-M.; Wang, T. Rare syringyl acylated flavonol glycosides from the aerial parts of Leonurus japonicas Houtt. Molecules 2013, 18, 2967–2977. [Google Scholar] [CrossRef] [PubMed]
- Xiong, L.; Zhou, Q.-M.; Peng, C.; Xie, X.-F.; Guo, L.; Li, X.-H.; Liu, J.; Liu, Z.-H.; Dai, O. Sesquiterpenoids from the herb of Leonurus japonicus. Molecules 2013, 18, 5051–5058. [Google Scholar] [CrossRef] [PubMed]
- Peng, F.; Xiong, L.; Zhao, X.-M. A bicyclic diterpenoid with a new 15,16-dinorlabdane carbon skeleton from Leonurus japonicas and its coagulant bioactivity. Molecules 2013, 18, 13904–13909. [Google Scholar] [CrossRef] [PubMed]
- Wu, H.; Li, J.; Fronczek, F.R.; Ferreira, D.; Burandt, C.L., Jr.; Setola, V.; Roth, B.L.; Zjawiony, J.K. Labdane diterpenoids from Leonotis leonurus. Phytochemistry 2013, 91, 229–235. [Google Scholar] [CrossRef] [PubMed]
- Wu, H.; Fronczek, F.R.; Ferreira, D.; Burandt, C.L., Jr.; Zjawiony, J.K. Labdane diterpenoids from Leonurus sibiricus. J. Nat. Prod. 2011, 74, 831–836. [Google Scholar] [CrossRef] [PubMed]
- Van Wyk, W.W.; Gray, C.A.; Keyzers, R.A.; Rivett, D.E.A.; Caira, M.R.; Nader, B.S.; Davis, G.E.; Werk, T.L.; Coleman, M.T.D. Transformations of hispanolone. Novel Michael adducts with in planta activity against rice blast. Tetrahedron 2005, 61, 8493–8498. [Google Scholar] [CrossRef]
- George, J.H.; McArdle, M.; Baldwin, J.E.; Adlington, R.M. Biomimetic rearrangements of simplified labdane diterpenoids. Tetrahedron 2010, 66, 6321–6330. [Google Scholar] [CrossRef]
- Sample Availability: Samples of the compounds 1 and 2 are available from the authors.
© 2015 by the authors. Licensee MDPI, Basel, Switzerland. This article is an open access article distributed under the terms and conditions of the Creative Commons Attribution license ( http://creativecommons.org/licenses/by/4.0/).
Share and Cite
Wu, H.; Wang, S.; Xu, Z.; Sun, S.; Liu, H.; Wang, J.; E, Y.; Lv, Y.; Dong, X.; Li, G.; et al. Isoleojaponin, a New Halimane Diterpene Isolated from Leonurus japonicus. Molecules 2015, 20, 839-845. https://doi.org/10.3390/molecules20010839
Wu H, Wang S, Xu Z, Sun S, Liu H, Wang J, E Y, Lv Y, Dong X, Li G, et al. Isoleojaponin, a New Halimane Diterpene Isolated from Leonurus japonicus. Molecules. 2015; 20(1):839-845. https://doi.org/10.3390/molecules20010839
Chicago/Turabian StyleWu, Hankui, Sensheng Wang, Zhiyong Xu, Shanshan Sun, Haijuan Liu, Jinjin Wang, Yan E, Yanyan Lv, Xuelin Dong, Gang Li, and et al. 2015. "Isoleojaponin, a New Halimane Diterpene Isolated from Leonurus japonicus" Molecules 20, no. 1: 839-845. https://doi.org/10.3390/molecules20010839
APA StyleWu, H., Wang, S., Xu, Z., Sun, S., Liu, H., Wang, J., E, Y., Lv, Y., Dong, X., Li, G., Zhang, L., & Shi, Y. (2015). Isoleojaponin, a New Halimane Diterpene Isolated from Leonurus japonicus. Molecules, 20(1), 839-845. https://doi.org/10.3390/molecules20010839
