TiO2 and Fe2O3 Films for Photoelectrochemical Water Splitting
Abstract
:1. Introduction
2. Results and Discussion
2.1. TiO2 Films



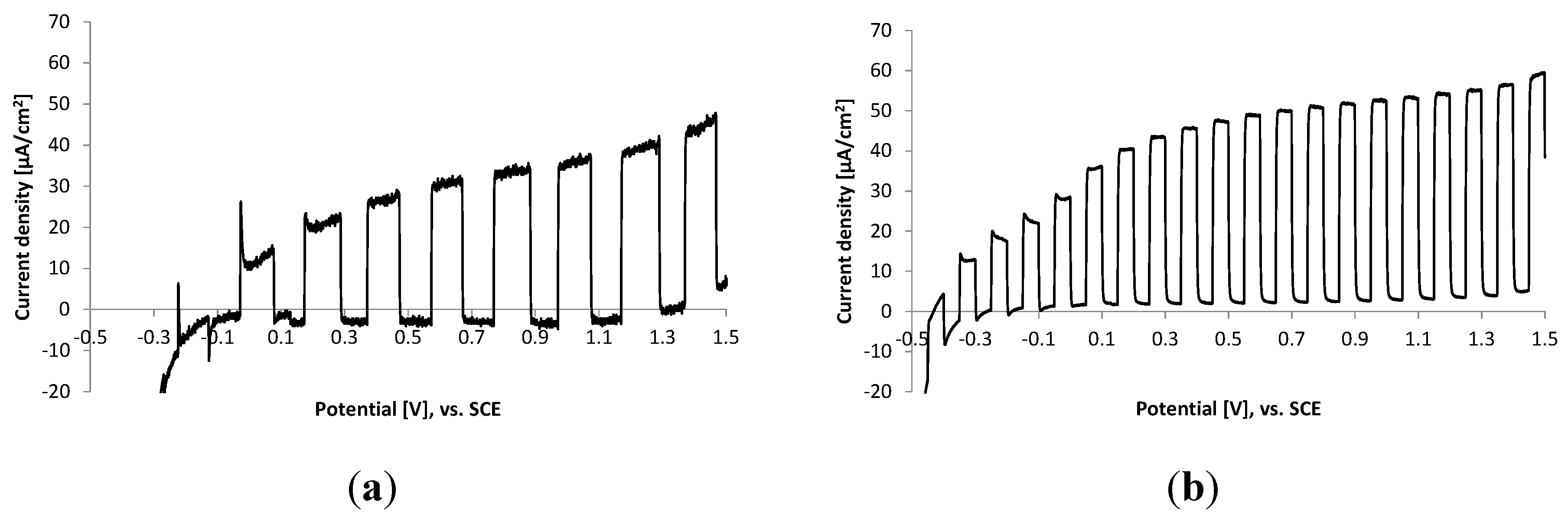
2.2. (α-Fe2O3) Hematite Films





2.3. Comparison of TiO2 and α-Fe2O3 Films
| Wavelength [nm] | jph (at 0.98 V vs. Ag/AgCl) | P [10-9 Einstein·s·cm2] | IPCE [%] | |
|---|---|---|---|---|
| TiO2 | ||||
| sol gel | 365 | 50.8 | 6.40 | 8.2 | 
| plasmatic | 365 | 37.1 | 5.79 | 6.6 | 
| jph (at 0.57 V vs. Ag/AgCl) | ||||
| Fe2O3 | ||||
| sol gel | 365 | 2.1 | 4.45 | 0.5 | 
| 404 | 11 | 20.6 | 0.6 | |
| plasmatic | 365 | 74.5 | 4.45 | 17.3 | 
| 404 | 186.7 | 20.6 | 9.4 | 
3. Experimental Section
3.1. Glass Substrates
3.2. Preparation of TiO2 Films
3.3. Preparation of Hematite Films
3.4. Film Characterisation
3.5. Photoelectrochemical Activity Measurement
4. Conclusions
Acknowledgments
Author Contributions
Conflicts of Interest
References
- Fujishima, A.; Honda, K. Electrochemical photolysis of water at a semiconductor electrode. Nature 1972, 238, 37–38. [Google Scholar] [CrossRef] [PubMed]
- Fujishima, A.; Rao, T.N.; Tryk, D.A. Titanium dioxide photocatalysis. J. Photochem. Photobiol. C Photochem. Rev. 2000, 1, 1–21. [Google Scholar] [CrossRef]
- Sivula, K.; Le Formal, F.; Gratzel, M. Solar Water Splitting: Progress Using Hematite (alpha-Fe2O3) Photoelectrodes. Chemsuschem 2011, 4, 432–449. [Google Scholar] [CrossRef] [PubMed]
- Liu, J.X.; Yang, D.Z.; Shi, F.; Cai, Y.J. Sol-gel deposited TiO2 film on NiTi surgical alloy for biocompatibility improvement. Thin Solid Films 2003, 429, 225–230. [Google Scholar] [CrossRef]
- Choi, S.Y.; Mamak, M.; Coombs, N.; Chopra, N.; Ozin, G.A. Thermally stable two-dimensional hexagonal mesoporous nanocrystalline anatase, meso-nc-TiO2: Bulk and crack-free thin film morphologies. Adv. Funct. Mater. 2004, 14, 335–344. [Google Scholar] [CrossRef]
- Krysa, J.; Baudys, M.; Zlamal, M.; Krysova, H.; Morozova, M.; Kluson, P. Photocatalytic and photoelectrochemical properties of sol-gel TiO2 films of controlled thickness and porosity. Catal. Today 2014, 230, 2–7. [Google Scholar] [CrossRef]
- Lundin, D.; Sarakinos, K. An introduction to thin film processing using high-power impulse magnetron sputtering. J. Mater. Res. 2012, 27, 780–792. [Google Scholar] [CrossRef]
- Kment, S.; Hubicka, Z.; Krysa, J.; Olejnicek, J.; Cada, M.; Gregora, I.; Zlamal, M.; Brunclikova, M.; Remes, Z.; Liu, N. High-power pulsed plasma deposition of hematite photoanode for PEC water splitting. Catal. Today 2014, 230, 8–14. [Google Scholar] [CrossRef]
- Kment, S.; Kluson, P.; Hubicka, Z.; Krysa, J.; Cada, M.; Gregora, I.; Deyneka, A.; Remes, Z.; Zabova, H.; Jastrabik, L. Double hollow cathode plasma jet-low temperature method for the TiO2-xNx photoresponding films. Electrochim. Acta 2010, 55, 1548–1556. [Google Scholar] [CrossRef]
- Sivula, K. Metal Oxide Photoelectrodes for Solar Fuel Production, Surface Traps, and Catalysis. J. Phys. Chem. Lett. 2013, 4, 1624–1633. [Google Scholar] [CrossRef]
- Sivula, K.; Zboril, R.; Le Formal, F.; Robert, R.; Weidenkaff, A.; Tucek, J.; Frydrych, J.; Gratzel, M. Photoelectrochemical Water Splitting with Mesoporous Hematite Prepared by a Solution-Based Colloidal Approach. J. Am. Chem. Soc. 2010, 132, 7436–7444. [Google Scholar] [CrossRef] [PubMed]
- Berger, T.; Monllor-Satoca, D.; Jankulovska, M.; Lana-Villarreal, T.; Gomez, R. The Electrochemistry of Nanostructured Titanium Dioxide Electrodes. ChemPhysChem 2012, 13, 2824–2875. [Google Scholar] [CrossRef] [PubMed]
- Dotan, H.; Sivula, K.; Gratzel, M.; Rothschild, A.; Warren, S.C. Probing the photoelectrochemical properties of hematite (alpha-Fe2O3) electrodes using hydrogen peroxide as a hole scavenger. Energy Environ. Sci. 2011, 4, 958–964. [Google Scholar] [CrossRef]
- Le Formal, F.; Tetreault, N.; Cornuz, M.; Moehl, T.; Gratzel, M.; Sivula, K. Passivating surface states on water splitting hematite photoanodes with alumina overlayers. Chem. Sci. 2011, 2, 737–743. [Google Scholar]
- Bohlmark, J.; Lattemann, M.; Gudmundsson, J.T.; Ehiasarian, A.P.; Gonzalvo, Y.A.; Brenning, N.; Helmersson, U. The ion energy distributions and ion flux composition from a high power impulse magnetron sputtering discharge. Thin Solid Films 2006, 515, 1522–1526. [Google Scholar] [CrossRef]
- Rioult, M.; Magnan, H.; Stanescu, D.; Barbier, A. Single Crystalline Hematite Films for Solar Water Splitting: Ti-Doping and Thickness Effects. J. Phys. Chem. C 2014, 118, 3007–3014. [Google Scholar] [CrossRef]
- Kim, J.Y.; Magesh, G.; Youn, D.H.; Jang, J.W.; Kubota, J.; Domen, K.; Lee, J.S. Single-crystalline, wormlike hematite photoanodes for efficient solar water splitting. Sci. Rep. UK 2013, 3. [Google Scholar] [CrossRef]
- Mao, A.; Shin, K.; Kim, J.K.; Wang, D.H.; Han, G.Y.; Park, J.H. Controlled Synthesis of Vertically Aligned Hematite on Conducting Substrate for Photoelectrochemical Cells: Nanorods versus Nanotubes. ACS Appl. Mater. Int. 2011, 3, 1852–1858. [Google Scholar] [CrossRef]
- Li, L.S.; Yu, Y.H.; Meng, F.; Tan, Y.Z.; Hamers, R.J.; Jin, S. Facile Solution Synthesis of α-FeF3·3H2O Nanowires and Their Conversion to α-Fe2O3 Nanowires for Photoelectrochemical Application. Nano Lett. 2012, 12, 724–731. [Google Scholar] [CrossRef] [PubMed]
- Zita, J.; Maixner, J.; Krysa, J. Multilayer TiO2/SiO2 thin sol–gel films: Effect of calcination temperature and Na+ diffusion. J. Photochem. Photobiol. Chem. 2010, 216, 194–200. [Google Scholar] [CrossRef]
- Park, C.D.; Magana, D.; Stiegman, A.E. High-quality Fe and gamma-Fe2O3 magnetic thin films from an epoxide-catalyzed sol–gel process. Chem. Mater. 2007, 19, 677–683. [Google Scholar] [CrossRef]
- Park, C.D.; Walker, J.; Tannenbaum, R.; Stiegman, A.E.; Frydrych, J.; Machala, L. Sol-Gel-Derived Iron Oxide Thin Films on Silicon: Surface Properties and Interfacial Chemistry. ACS Appl. Mater. Int. 2009, 1, 1843–1846. [Google Scholar] [CrossRef]
- Hubicka, Z.; Kment, S.; Olejnicek, J.; Cada, M.; Kubart, T.; Brunclikova, M.; Ksirova, P.; Adamek, P.; Remes, Z. Deposition of hematite Fe2O3 thin film by DC pulsed magnetron and DC pulsed hollow cathode sputtering system. Thin Solid Films 2013, 549, 184–191. [Google Scholar] [CrossRef]
- Morozova, M.; Kluson, P.; Krysa, J.; Zlamal, M.; Solcova, O.; Kment, S.; Steck, T. Role of the template molecular structure on the photo-electrochemical functionality of the sol-gel titania thin films. J. Sol Gel Sci. Technol. 2009, 52, 398–407. [Google Scholar] [CrossRef]
- Kment, S.; Hubicka, Z.; Kmentova, H.; Kluson, P.; Krysa, J.; Gregora, I.; Morozova, M.; Cada, M.; Petras, D.; Dytrych, P. Photoelectrochemical properties of hierarchical nanocomposite structure: Carbon nanofibers/TiO2/ZnO thin films. Catal. Today 2011, 161, 8–14. [Google Scholar] [CrossRef]
- Sample Availability: Samples of the compounds are not available from the authors.
© 2015 by the authors. Licensee MDPI, Basel, Switzerland. This article is an open access article distributed under the terms and conditions of the Creative Commons Attribution license ( http://creativecommons.org/licenses/by/4.0/).
Share and Cite
Krysa, J.; Zlamal, M.; Kment, S.; Brunclikova, M.; Hubicka, Z. TiO2 and Fe2O3 Films for Photoelectrochemical Water Splitting. Molecules 2015, 20, 1046-1058. https://doi.org/10.3390/molecules20011046
Krysa J, Zlamal M, Kment S, Brunclikova M, Hubicka Z. TiO2 and Fe2O3 Films for Photoelectrochemical Water Splitting. Molecules. 2015; 20(1):1046-1058. https://doi.org/10.3390/molecules20011046
Chicago/Turabian StyleKrysa, Josef, Martin Zlamal, Stepan Kment, Michaela Brunclikova, and Zdenek Hubicka. 2015. "TiO2 and Fe2O3 Films for Photoelectrochemical Water Splitting" Molecules 20, no. 1: 1046-1058. https://doi.org/10.3390/molecules20011046
APA StyleKrysa, J., Zlamal, M., Kment, S., Brunclikova, M., & Hubicka, Z. (2015). TiO2 and Fe2O3 Films for Photoelectrochemical Water Splitting. Molecules, 20(1), 1046-1058. https://doi.org/10.3390/molecules20011046
 
         
                                                

 
       