Next Article in Journal
Development and Characterization of Polymorphic Microsatellite Markers (SSRs) for an Endemic Plant, Pseudolarix amabilis (Nelson) Rehd. (Pinaceae)
Previous Article in Journal
A Study of the Geo-Herbalism of Evodiae Fructus Based on a Flow-Injection Mass Spectrometric Fingerprinting Method Combined with Chemometrics
 
 
Font Type:
Arial Georgia Verdana
Font Size:
Aa Aa Aa
Line Spacing:
Column Width:
Background:
Article

Synthesis and Evaluation of New 1,5-Diaryl-3-[4-(methyl-sulfonyl)phenyl]-4,5-dihydro-1H-pyrazole Derivatives as Potential Antidepressant Agents

by
Ahmet Özdemir
1,*,
Mehlika Dilek Altıntop
1,2,
Zafer Asım Kaplancıklı
1,
Özgür Devrim Can
3,
Ümide Demir Özkay
3 and
Gülhan Turan-Zitouni
1
1
Department of Pharmaceutical Chemistry, Faculty of Pharmacy, Anadolu University, 26470 Eskişehir, Turkey
2
Graduate School of Health Sciences, Anadolu University, 26470 Eskişehir, Turkey
3
Department of Pharmacology, Faculty of Pharmacy, Anadolu University, 26470 Eskişehir, Turkey
*
Author to whom correspondence should be addressed.
Molecules 2015, 20(2), 2668-2684; https://doi.org/10.3390/molecules20022668
Submission received: 5 January 2015 / Revised: 28 January 2015 / Accepted: 30 January 2015 / Published: 4 February 2015
(This article belongs to the Section Medicinal Chemistry)

Abstract

:
In an effort to develop potent antidepressant agents, new pyrazoline derivatives 2as were synthesized and evaluated for their antidepressant-like activity by tail suspension test (TST) and modified forced swimming test (MFST). The effects of the compounds on spontaneous locomotor activity were also investigated using an activity cage apparatus. Among these derivatives, compounds 2b, 2d, 2f, 2o, and 2r decreased both horizontal and vertical activity number of the mice. On the other hand, compounds 2a, 2h, 2j, 2k, 2l, 2m, and 2n, which did not induce any significant change in the locomotor activity, significantly shortened the immobility time of mice in TST and MFST, representing the presence of the antidepressant-like effect. Additionally, the same compounds increased the swimming time of mice in MFST without any change in climbing duration, similar to the reference drug fluoxetine (10 mg/kg). In the light of previous papers examining the effects of pyrazolines on central nervous system, this study, once more, pointed out remarkable antidepressant activity potential of pyrazoline derivatives.

Graphical Abstract

1. Introduction

Major depressive disorder (MDD) is a multifactorial mood disorder affecting millions of people around the world. MDD typically arises in the third decade of life, with a high recurrence rate. Lifetime prevalence of MDD is around 13% and an incidence rate of 4%. Approximately 15% of patients with depression die as a consequence of the illness and MDD accounts for at least 90% of all suicides. The total cost of depression in Europe has been estimated at €118 billion [1].
According to the World Health Organization (WHO), depression is the second leading cause of disability (years of healthy life lost) in patients aged 15–44 years. For 2020, the WHO estimates that depression will become the second leading cause of disability for all age groups. By 2030, depression is expected to become the leading cause of disability in industrialized countries [1,2].
Antidepressant drugs, which increase the levels of one or more monoamines in the synaptic clefts, can be classified as tricyclic antidepressants (amitriptyline, nortriptyline, imipramine, etc.), monoamine oxidase inhibitors (phenelzine, moclobemide, etc.), selective serotonin reuptake inhibitors (fluoxetine, paroxetine, citalopram, etc.), selective noradrenaline reuptake inhibitors (reboxetine), and serotonin-noradrenaline reuptake inhibitors (venlafaxine, desvenlafaxine) [1,2,3,4,5,6].
The limited mechanistic understanding of depression pathogenesis and decreased antidepressant treatment response have resulted in the high rate of treatment failures. As a result, pharmaceutical industry has focused on delineating the mechanisms underlying depression as well as on the antidepressant drug discovery [3,4,5,6].
Hydrazine-based drugs still remain in clinical use for the treatment of depression. Due to their side effects, medicinal chemists have focused on the discovery of new antidepressant agents with enhanced pharmacological activity and limited toxicity via the structural modification of the hydrazine group [7].
In medicinal chemistry, pyrazoline scaffold has attracted a great deal of interest owing to its high synthetic accessibility and diverse therapeutic applications. In particular, pyrazolines are considered as the cyclic congeners of hydrazine group and therefore considerable research on them in relation to depression has been carried out [7,8,9,10,11,12,13,14,15,16,17]. Encouraged by the large number of papers regarding the antidepressant potential of pyrazoline scaffold [7,8,9,10,11,12,13,14,15,16,17], herein we describe the synthesis and in vivo evaluation of some new methylsulfonyl-substituted pyrazoline derivatives as potential antidepressant agents.

2. Results and Discussion

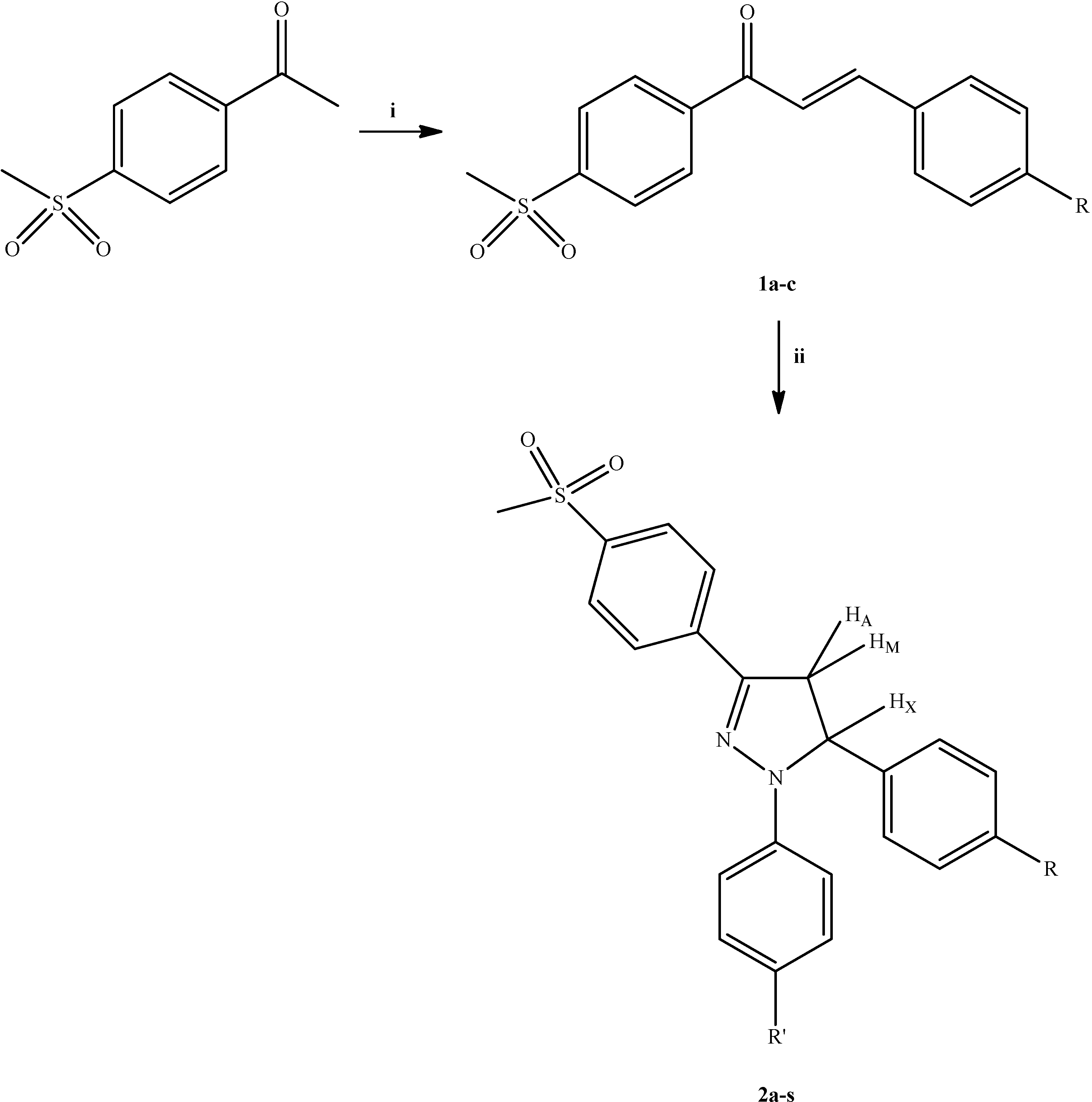
The synthesis of compounds 2as followed the general pathway outlined in Scheme 1. Methylsulfonyl-substituted chalcones 1ac were synthesized via the base-catalyzed Claisen-Schmidt condensation of 4'-(methylsulfonyl)acetophenone with appropriate aromatic aldehydes [18]. The ring closure reaction of chalcones 1ac with phenylhydrazine hydrochloride derivatives in hot acetic acid afforded 1,5-diaryl-3-[4-(methylsulfonyl)phenyl]-4,5-dihydro-1H-pyrazoles 2as.
Scheme 1. The synthetic route for the preparation of compounds 2as.
Scheme 1. The synthetic route for the preparation of compounds 2as.
Reagents and conditions: (i) aromatic aldehyde, 10% aqueous sodium hydroxide solution, ethanol, rt, 10 h; (ii) appropriate phenylhydrazine hydrochloride derivative, CH3COOH, reflux, 8 h.
The structures of the newly synthesized compounds were elucidated by FT-IR, 1H-NMR, 13C-NMR, mass spectral data, and elemental analyses. In the IR spectra of compounds 2as, C=N and C=C stretching bands were observed in the region 1596–1406 cm−1. In the 1H-NMR spectra of compounds 2as, the CH2 protons of the pyrazoline ring resonated as a pair of doublets of doublets at δ 3.13–3.20 ppm (JAM = 17.5–18.0 Hz, JAX = 6.0–7.5 Hz) and 3.89–3.96 ppm (JMA =16.5–18.0 Hz, JMX = 12.0–13.0 Hz). The CH proton appeared as doublet of doublets at δ 5.54–5.65 ppm (JMX =11.0–12.5 Hz, JAX = 5.5–7.0 Hz) due to the vicinal coupling with two magnetically non-equivalent protons of the methylene group at position 4 of the pyrazoline ring. All the other aromatic and aliphatic protons were observed at expected regions. The 13C-NMR chemical shift values of the carbon atoms at 43–44 ppm (C-4), 62–64 ppm (C-5) and 144–155 ppm (C-3) corroborate the 2-pyrazoline character deduced from the 1H-NMR data. In the mass spectra of compounds 2as, the M+1 peak is observed. All compounds gave satisfactory elemental analysis.
Tail suspension test (TST) and modified forced swimming test (MFST) were carried out to evaluate the antidepressant-like effects of the test compounds. Further, the effects of the test compounds on spontaneous locomotor activity of mice were assessed by activity cage measurements.
TST and MFST are the most common experimental models for antidepressant activity screening. Both of these two methods based on the observation that mice, after initial escape-oriented movements, develop an immobile posture when placed in a short-term inescapable stressful situation. This immobility, referred to as behavioral despair in animals, is believed to reproduce a condition similar to human depression. Thus, a reduction in the total duration of immobility indicates an antidepressant effect [19,20,21]. In this study, when assessed in TST and MFST, compounds 2a, 2h, 2j, 2k, 2l, 2m, and 2n decreased the immobility time of mice compared to the control group, indicating the antidepressant-like effects of these pyrazoline derivatives (100 mg/kg) (Figure 1 and Figure 2). In MFST, the same compounds increased the swimming time of the animals without any significant change in the climbing duration (Figure 3 and Figure 4). Shortened immobility and prolonged swimming duration, without any change in the climbing time, indicated that the antidepressant-like effects of the compounds may be related to serotonergic, rather than noradrenergic mechanisms in the central nervous system [22]. Nevertheless, involvement of serotonergic system in the observed antidepressant activity must be confirmed with further studies such as depleting neuronal serotonin by p-chlorophenylalanine pretreatment or measuring serotonin levels in limbic areas of brain etc. Fluoxetine (10 mg/kg), a selective serotonin reuptake inhibitor, also showed an antidepressant-like action in both of these tests, as expected.
Figure 1. Effects of test compounds (100 mg/kg) and fluoxetine (10 mg/kg) on immobility time of mice in TST. Significance against control values * p < 0.05, ** p < 0.01, *** p < 0.001. Values are given as mean ± SEM. One-way ANOVA, post-hoc Tukey’s test, n = 7.
Figure 1. Effects of test compounds (100 mg/kg) and fluoxetine (10 mg/kg) on immobility time of mice in TST. Significance against control values * p < 0.05, ** p < 0.01, *** p < 0.001. Values are given as mean ± SEM. One-way ANOVA, post-hoc Tukey’s test, n = 7.
Figure 2. Effects of test compounds (100 mg/kg) and fluoxetine (10 mg/kg) on immobility time of mice in MFST. Significance against control values * p < 0.05, ** p < 0.01, *** p < 0.001. Values are given as mean ± SEM. One-way ANOVA, post-hoc Tukey’s test, n = 7.
Figure 2. Effects of test compounds (100 mg/kg) and fluoxetine (10 mg/kg) on immobility time of mice in MFST. Significance against control values * p < 0.05, ** p < 0.01, *** p < 0.001. Values are given as mean ± SEM. One-way ANOVA, post-hoc Tukey’s test, n = 7.
Figure 3. Effects of test compounds (100 mg/kg) and fluoxetine (10 mg/kg) on swimming time of mice in MFST. Significance against control values * p < 0.05, ** p < 0.01, *** p < 0.001. Values are given as mean ± SEM. One-way ANOVA, post-hoc Tukey’s test, n = 7.
Figure 3. Effects of test compounds (100 mg/kg) and fluoxetine (10 mg/kg) on swimming time of mice in MFST. Significance against control values * p < 0.05, ** p < 0.01, *** p < 0.001. Values are given as mean ± SEM. One-way ANOVA, post-hoc Tukey’s test, n = 7.
Figure 4. Effects of test compounds (100 mg/kg) and fluoxetine (10 mg/kg) on climbing time of mice in MFST. Significance against control values * p < 0.05. Values are given as mean ± SEM. One-way ANOVA, post-hoc Tukey’s test, n = 7.
Figure 4. Effects of test compounds (100 mg/kg) and fluoxetine (10 mg/kg) on climbing time of mice in MFST. Significance against control values * p < 0.05. Values are given as mean ± SEM. One-way ANOVA, post-hoc Tukey’s test, n = 7.
In the activity cage test, compounds 2a, 2h, 2j, 2k, 2l, 2m, and 2n possessing antidepressant-like activity did not induce any significant alteration in the total number of spontaneous locomotor activities (Figure 5 and Figure 6). This means that the anti-immobility effect cannot be attributable to a stimulant activity. In other words, the observed antidepressant-like effect is specific. On the other hand, compounds 2b, 2d, 2f, and 2o, which did not induce any alteration in the immobility or the swimming time of the animals, significantly reduced the number of both horizontal and vertical locomotor activity (Figure 5 and Figure 6). This decrease in the spontaneous locomotor activity may be produced by neurosedative effect of these aforementioned compounds. Instead, the effects of these compounds on neuromuscular junction may also cause this situation. Further detailed studies will help to clarify this issue.
Among the tested pyrazoline derivatives, compound 2r was the only compound increasing the immobility time of the mice in TST (Figure 1). On the other hand, the same compound did not change the immobility time in MFST (Figure 2). Furthermore, in MFST, it decreased both swimming and climbing time of the mice (Figure 3 and Figure 4). Therefore, the prolongation of the immobility time in TST, may not be caused by a possible depressant-like activity of compound 2r; instead this compound probably affected motor activity/motor coordination of the mice. As a matter of fact, in the activity cage test, decrease in the number of spontaneous locomotor activity of 2r-treated animals (Figure 4 and Figure 5) confirmed this idea. However, examining motor coordination of the animals by a further experiment such as a Rota-rod test, may provide additional information about the unexpected immobility-inducing effect of compound 2r in the TST.
As well as their remarkable antidepressant-like activity, compounds 2a, 2h, 2j, 2k, 2l, 2m, and 2n exhibited negligible toxicity; incurred neither deaths nor undesirable side effects such as ataxia, paralysis, convulsions, and diarrhea, giving an idea about the safety of the compounds. However, the exact mechanism of action and probable side effects of these compounds should be clarify with further detailed studies.
Figure 5. Effects of test compounds (100 mg/kg) on the number of horizontal movement of mice in the activity cage test. Significance against control values * p < 0.05, ** p < 0.01, *** p < 0.001. Values are given as mean ± SEM. One-way ANOVA, post-hoc Tukey’s test, n = 7.
Figure 5. Effects of test compounds (100 mg/kg) on the number of horizontal movement of mice in the activity cage test. Significance against control values * p < 0.05, ** p < 0.01, *** p < 0.001. Values are given as mean ± SEM. One-way ANOVA, post-hoc Tukey’s test, n = 7.
Figure 6. Effects of test compounds (100 mg/kg) on the number of vertical movement of mice in the activity cage test. Significance against control values ** p < 0.01, *** p < 0.001. Values are given as mean ± SEM. One-way ANOVA, post-hoc Tukey’s test, n = 7.
Figure 6. Effects of test compounds (100 mg/kg) on the number of vertical movement of mice in the activity cage test. Significance against control values ** p < 0.01, *** p < 0.001. Values are given as mean ± SEM. One-way ANOVA, post-hoc Tukey’s test, n = 7.

3. Experimental Section

3.1. General Information

All reagents were purchased from commercial suppliers and were used without further purification. Melting points were determined on an Electrothermal 9100 melting point apparatus (Weiss-Gallenkamp, Loughborough, UK) and were uncorrected. IR spectra were recorded on a Shimadzu 8400 FT-IR spectrophotometer (Shimadzu, Tokyo, Japan). 1H-NMR and 13C-NMR spectra were recorded on a Bruker spectrometer (Bruker, Billerica, MA, USA). Mass spectra were recorded on an Agilent LC-MSD-Trap-SL Mass spectrometer (Agilent Technologies, Palo Alto, CA, USA). Elemental analyses were performed on a Perkin Elmer EAL 240 elemental analyzer (Perkin-Elmer, Norwalk, CT, USA). Thin Layer Chromatography (TLC) was performed on TLC Silica gel 60 F254 aluminium sheets (Merck, Darmstadt, Germany) using petroleum ether-ethyl acetate (3:1 v/v) as eluent.

3.2. Chemistry: General Procedures for the Synthesis of Compounds

3.2.1. 3-(4-Substituted phenyl)-1-[4-(methylsulfonyl)phenyl]-2-propen-1-ones 1ac

A mixture of 4'-(methylsulfonyl)acetophenone (0.05 mol), aromatic aldehyde (0.05 mol) and 10% aqueous sodium hydroxide (10 mL) in ethanol (30 mL) was stirred at room temperature for 10 h. The progress of the reaction was checked by TLC. Upon completion, the reaction mixture was poured into crushed ice. The precipitated solid was filtered, washed with water, and dried. The product was crystallized from ethanol [18].

3.2.2. 1,5-Diaryl-3-[4-(methylsulfonyl)phenyl]-4,5-dihydro-1H-pyrazoles 2as

A mixture of the appropriate chalcone 1ac (10.0 mmol) and phenylhydrazine hydrochloride derivative (20.0 mmol) in the presence of acetic acid (50 mL) was refluxed for 8 h, then poured into crushed ice. The precipitate was separated by filtration, washed with water and crystallized from methanol.
1-(4-Chlorophenyl)-5-(4-fluorophenyl)-3-(4-(methylsulfonyl)phenyl)-4,5-dihydro-1H-pyrazole (2a): Yield: 93%; m.p. 193 °C. IR (KBr) νmax (cm−1): 3012.60 (Aromatic C-H), 2918.10 (Aliphatic C-H), 1585.38, 1490.87 (C=N and C=C), 1307.65, 1149.50, 1087.78 (SO2 and C-N), 835.12 (C-H out of plane deformation). 1H-NMR (500 MHz, DMSO-d6) δ (ppm): 3.19 (1H, dd, JAM = 17.5 Hz, JAX = 6.0 Hz, C4-HA pyrazoline), 3.23 (3H, s, SO2CH3), 3.96 (1H, dd, JMA = 17.5 Hz, JMX = 12.0 Hz, C4-HM pyrazoline), 5.65 (1H, dd, JMX = 12.5 Hz, JAX = 6.0 Hz, C5-HX pyrazoline), 7.04 (2H, d, J = 9.0 Hz, aromatic protons), 7.15–7.19 (2H, m, aromatic protons), 7.23 (2H, d, J = 9.0 Hz, aromatic protons), 7.29–7.32 (2H, m, aromatic protons), 7.94–8.02 (4H, m, 4-methylsulfonylphenyl protons). 13C-NMR (125 MHz, DMSO-d6) δ (ppm): 42.52 (CH3), 43.51 (CH2), 62.59 (CH), 114.74 (2CH), 115.78 (CH), 115.95 (CH), 126.28 (C), 127.33 (2CH), 127.98 (CH), 128.77 (2CH), 131.53 (CH), 136.72 (CH), 137.77 (CH), 140.12 (C), 142.19 (C), 144.05 (C), 146.46 (C), 152.05 (C), 160.46 (C). Anal. Calcd. for C22H18ClFN2O2S: C, 61.61; H, 4.23; N, 6.53; Found: C, 61.60; H, 4.25; N, 6.52. MS (ESI) (m/z): [M+1]+ 429.
1,5-Bis(4-fluorophenyl)-3-(4-(methylsulfonyl)phenyl)-4,5-dihydro-1H-pyrazole (2b): Yield: 85%; m.p. 221 °C. IR (KBr) νmax (cm−1): 1508.23 (C=N), 1305.72, 1228.57, 1151.42 (SO2 and C-N), 835.12 (C-H out of plane deformation). 1H-NMR (500 MHz, DMSO-d6) δ (ppm): 3.18 (1H, dd, JAM = 18.0 Hz, JAX = 7.0 Hz, C4-HA pyrazoline), 3.23 (3H, s, SO2CH3), 3.94 (1H, dd, JMA = 17.5 Hz, JMX = 12.5 Hz, C4-HM pyrazoline), 5.61 (1H, dd, JMX = 12.5 Hz, JAX = 6.5 Hz, C5-HX pyrazoline), 7.04 (4H, d, J = 6.5 Hz, aromatic protons), 7.15–7.19 (2H, m, aromatic protons), 7.31–7.34 (2H, m, aromatic protons), 7.93–7.97 (4H, m, 4-methylsulfonylphenyl protons). 13C-NMR (125 MHz, DMSO-d6) δ (ppm): 42.54 (CH3), 43.53 (CH2), 63.13 (CH), 114.54 (CH), 114.60 (CH), 115.46 (CH), 115.76 (CH), 115.93 (CH), 126.14 (2CH), 127.33 (2CH), 128.00 (CH), 128.07 (CH), 136.92 (CH), 138.01 (C), 139.92 (C), 140.25 (C), 145.75 (C), 155.34 (C), 160.45 (C), 162.39 (C). Anal. Calcd. for C22H18F2N2O2S: C, 64.06; H, 4.40; N, 6.79; Found: C, 64.05; H, 4.39; N, 6.80. MS (ESI) (m/z): [M+1]+ 413.
1-(4-Bromophenyl)-5-(4-fluorophenyl)-3-(4-(methylsulfonyl)phenyl)-4,5-dihydro-1H-pyrazole (2c): Yield: 77%; m.p. 169 °C. IR (KBr) νmax (cm−1): 3014.53 (Aromatic C-H), 1583.45, 1488.94 (C=N and C=C), 1307.65, 1151.42, 1085.85 (SO2 and C-N), 835.12 (C-H out of plane deformation). 1H-NMR (500 MHz, DMSO-d6) δ (ppm): 3.19 (1H, dd, JAM = 17.5 Hz, JAX = 6.0 Hz, C4-HA pyrazoline), 3.23 (3H, s, SO2CH3), 3.95 (1H, dd, JMA = 17.5 Hz, JMX = 12.5 Hz, C4-HM pyrazoline), 5.65 (1H, dd, JMX = 12.5 Hz, JAX = 6.0 Hz, C5-HX pyrazoline), 6.99 (2H, d, J = 9.0 Hz, aromatic protons), 7.15–7.19 (2H, m, aromatic protons), 7.29–7.32 (2H, m, aromatic protons), 7.33–7.36 (2H, m, aromatic protons), 7.94–7.98 (4H, m, 4-methylsulfonylphenyl protons). 13C-NMR (125 MHz, DMSO-d6) δ (ppm): 42.52 (CH3), 43.51 (CH2), 62.49 (CH), 115.22 (2CH), 115.80 (CH), 115.97 (CH), 125.98 (2CH), 127.35 (2CH), 127.97 (CH), 129.36 (C), 131.62 (2CH), 136.71 (CH), 137.73 (C), 140.14 (C), 142.52 (C), 146.56 (C), 160.47 (C), 162.41 (C). Anal. Calcd. for C22H18BrFN2O2S: C, 55.82; H, 3.83; N, 5.92. Found: C, 55.80; H, 3.81; N, 5.92. MS (ESI) (m/z): [M+1]+ 474.
1-(4-Methoxyphenyl)-5-(4-fluorophenyl)-3-(4-(methylsulfonyl)phenyl)-4,5-dihydro-1H-pyrazole (2d): Yield: 60%; m.p. 170 °C. IR (KBr) νmax (cm−1): 1510.16 (C=N), 1321.15, 1245.93, 1153.35, 1099.35 (SO2, C-N and C-O), 811.98 (C-H out of plane deformation). 1H-NMR (500 MHz, DMSO-d6) δ (ppm): 3.13 (1H, dd, JAM = 17.5 Hz, JAX = 7.0 Hz, C4-HA pyrazoline), 3.22 (3H, s, SO2CH3), 3.65 (3H, s, OCH3), 3.89 (1H, dd, JMA = 17.5 Hz, JMX = 12.5 Hz, C4-HM pyrazoline), 5.54 (1H, dd, JMX = 12.5 Hz, JAX = 7.0 Hz, C5-HX pyrazoline), 6.80 (2H, d, J = 7.0 Hz, aromatic protons), 6.99 (2H, d, J = 7.0 Hz, aromatic protons), 7.14–7.18 (2H, m, aromatic protons), 7.31–7.34 (2H, m, aromatic protons), 7.90–7.94 (4H, m, 4-methylsulfonylphenyl protons). 13C-NMR (125 MHz, DMSO-d6) δ (ppm): 42.35 (CH3), 43.56 (CH2), 55.16 (CH3), 63.54 (CH), 114.41 (2CH), 114.78 (2CH), 115.67 (CH), 115.84 (CH), 125.85 (2CH), 127.32 (2CH), 128.05 (CH), 128.11 (CH), 137.19 (C), 138.31 (C), 139.51 (C), 144.53 (C), 153.18 (C), 160.41 (C), 162.34 (C). Anal. Calcd. for C23H21FN2O3S: C, 65.08; H, 4.99; N, 6.60. Found: C, 65.10; H, 4.97; N, 6.59. MS (ESI) (m/z): [M+1]+ 425.
1-(4-Methylphenyl)-5-(4-fluorophenyl)-3-(4-(methylsulfonyl)phenyl)-4,5-dihydro-1H-pyrazole (2e): Yield: 76%; m.p. 186 °C. IR (KBr) νmax (cm−1): 3028.03 (Aromatic C-H), 2920.03 (Aliphatic C-H), 1585.38, 1510.16 (C=N and C=C), 1305.72, 1224.71, 1151.42, 1087.78 (SO2 and C-N), 835.12, 781.12 (C-H out of plane deformation). 1H-NMR (500 MHz, DMSO-d6) δ (ppm): 2.17 (3H, s, CH3), 3.14 (1H, dd, JAM = 17.5 Hz, JAX = 6.0 Hz, C4-HA pyrazoline), 3.22 (3H, s, SO2CH3), 3.91 (1H, dd, JMA = 17.5 Hz, JMX = 12.5 Hz, C4-HM pyrazoline), 5.60 (1H, dd, JMX = 12.0 Hz, JAX = 6.0 Hz, C5-HX pyrazoline), 6.95–7.00 (4H, m, aromatic protons), 7.13–7.18 (2H, m, aromatic protons), 7.28–7.35 (2H, m, aromatic protons), 7.91–7.94 (4H, m, 4-methylsulfonylphenyl protons). 13C-NMR (125 MHz, DMSO-d6) δ (ppm): 20.08 (CH3), 43.20 (CH3), 43.56 (CH2), 62.88 (CH), 113.45 (2CH), 115.68 (CH), 115.85 (CH), 115.91 (CH), 125.97 (2CH), 127.38 (2CH), 128.00 (CH), 128.22 (CH), 129.41 (CH), 131.55 (C), 137.11 (C), 139.66 (C), 144.07 (C), 144.89 (C), 160.39 (C), 162.33 (C). Anal. Calcd. for C23H21FN2O2S: C, 67.63; H, 5.18; N, 6.86. Found: C, 67.65; H, 5.17; N, 6.85. MS (ESI) (m/z): [M+1]+ 409.
1-(4-Methoxyphenyl)-5-(4-chlorophenyl)-3-(4-(methylsulfonyl)phenyl)-4,5-dihydro-1H-pyrazole (2f): Yield: 76%; m.p. 152 °C. IR (KBr) νmax (cm−1): 2925.81 (Aliphatic C-H asymmetric), 2833.24 (Aliphatic C-H symmetric), 1508.23 (C=N), 1307.65, 1242.07, 1151.42, 1087.78 (SO2, C-N and C-O), 825.48 (C-H out of plane deformation). 1H-NMR (500 MHz, DMSO-d6) δ (ppm): 3.14 (1H, dd, JAM = 18.0 Hz, JAX = 7.5 Hz, C4-HA pyrazoline), 3.22 (3H, s, SO2CH3), 3.65 (3H, s, OCH3), 3.90 (1H, dd, JMA = 17.0 Hz, JMX = 12.5 Hz, C4-HM pyrazoline), 5.55 (1H, dd, JMX = 12.5 Hz, JAX = 7.0 Hz, C5-HX pyrazoline), 6.80 (2H, d, J = 9.0 Hz, aromatic protons), 6.98 (2H, d, J = 9.0 Hz, aromatic protons), 7.30 (2H, d, J = 8.5 Hz, aromatic protons), 7.39 (2H, d, J = 8.5 Hz, aromatic protons), 7.90–7.94 (4H, m, 4-methylsulfonylphenyl protons). 13C-NMR (125 MHz, DMSO-d6) δ (ppm): 42.73 (CH3), 44.06 (CH2), 55.66 (CH3), 64.03 (CH), 114.95 (2CH), 115.25 (2CH), 126.37 (2CH), 127.82 (2CH), 128.49 (2CH), 129.46 (2CH), 131.76 (C), 138.10 (C), 140.05 (C), 141.59 (C), 145.09 (C), 153.70 (C), 160.40 (C). Anal. Calcd. for C23H21ClN2O3S: C, 62.65; H, 4.80; N, 6.35. Found: C, 62.63; H, 4.78; N, 6.34. MS (ESI) (m/z): [M+1]+ 441.
1-(4-Fluorophenyl)-5-(4-chlorophenyl)-3-(4-(methylsulfonyl)phenyl)-4,5-dihydro-1H-pyrazole (2g): Yield: 87%; m.p. 203 °C. IR (KBr) νmax (cm−1): 2974.03 (Aliphatic C-H asymmetric), 2885.31 (Aliphatic C-H symmetric), 1577.66, 1504.37 (C=N and C=C), 1305.72, 1230.50, 1151.42, 1087.78 (SO2 and C-N), 825.48 (C-H out of plane deformation). 1H-NMR (500 MHz, DMSO-d6) δ (ppm): 3.18 (1H, dd, JAM = 17.5 Hz, JAX = 6.5 Hz, C4-HA pyrazoline), 3.23 (3H, s, SO2CH3), 3.95 (1H, dd, JMA = 17.5 Hz, JMX = 12.5 Hz, C4-HM pyrazoline), 5.61 (1H, dd, JMX = 12.5 Hz, JAX = 6.5 Hz, C5-HX pyrazoline), 7.02–7.07 (4H, m, aromatic protons), 7.30 (2H, d, J = 7.0 Hz, aromatic protons), 7.40 (2H, d, J = 6.5 Hz, aromatic protons), 7.93–7.96 (4H, m, 4-methylsulfonylphenyl protons). 13C-NMR (125 MHz, DMSO-d6) δ (ppm): 42.42 (CH3), 43.52 (CH2), 63.12 (CH), 114.51 (CH), 114.57 (CH), 115.50 (CH), 115.68 (CH), 126.16 (2CH), 127.34 (2CH), 127.93 (2CH), 129.04 (2CH), 132.13 (C), 136.85 (C), 139.95 (C), 140.78 (C), 145.81 (C), 155.36 (C), 160.41 (C). Anal. Calcd. for C22H18ClFN2O2S: C, 61.61; H, 4.23; N, 6.53. Found: C, 61.60; H, 4.22; N, 6.52. MS (ESI) (m/z): [M+1]+ 429
1-(4-Methylphenyl)-5-(4-chlorophenyl)-3-(4-(methylsulfonyl)phenyl)-4,5-dihydro-1H-pyrazole (2h): Yield: 83%; m.p. 230 °C. IR (KBr) νmax (cm−1): 2970.17 (Aliphatic C-H asymmetric), 2883.38 (Aliphatic C-H symmetric), 1510.16 (C=N), 1305.72, 1151.42, 1087.78 (SO2 and C-N), 825.48 (C-H out of plane deformation). 1H-NMR (500 MHz, DMSO-d6) δ (ppm): 2.17 (3H, s, CH3), 3.15 (1H, dd, JAM = 17.5 Hz, JAX = 6.0 Hz, C4-HA pyrazoline), 3.22 (3H, s, SO2CH3), 3.92 (1H, dd, JMA = 18.0 Hz, JMX = 12.0 Hz, C4-HM pyrazoline), 5.60 (1H, dd, JMX = 12.5 Hz, JAX = 6.0 Hz, C5-HX pyrazoline), 6.95 (2H, d, J = 7.0 Hz, aromatic protons), 6.99 (2H, d, J = 8.0 Hz, aromatic protons), 7.29 (2H, d, J = 7.0 Hz, aromatic protons), 7.39 (2H, d, J = 8.5 Hz, aromatic protons), 7.93 (4H, s, 4-methylsulfonylphenyl protons). 13C-NMR (125 MHz, DMSO-d6) δ (ppm): 20.07 (CH3), 42.15 (CH3), 43.55 (CH2), 62.87 (CH), 113.43 (2CH), 125.99 (2CH), 127.33 (2CH), 127.87 (2CH), 128.27 (CH), 128.96 (CH), 129.43 (CH), 132.00 (CH), 137.05 (C), 139.70 (C), 141.07 (C), 141.13 (2C), 144.96 (C), 160.43 (C). Anal. Calcd. for C23H21ClN2O2S: C, 65.01; H, 4.98; N, 6.59. Found: C, 65.00; H, 4.99; N, 6.58. MS (ESI) (m/z): [M+1]+ 425.
1-(4-Bromophenyl)-5-(4-chlorophenyl)-3-(4-(methylsulfonyl)phenyl)-4,5-dihydro-1H-pyrazole (2i): Yield: 83%; m.p. 204 °C. IR (KBr) νmax (cm−1): 2918.10 (Aliphatic C-H), 1583.45, 1487.01 (C=N and C=C), 1307.65, 1151.42, 1087.78 (SO2 and C-N), 819.69 (C-H out of plane deformation). 1H-NMR (500 MHz, DMSO-d6) δ (ppm): 3.20 (1H, dd, JAM = 18.0 Hz, JAX = 6.0 Hz, C4-HA pyrazoline), 3.23 (3H, s, SO2CH3), 3.96 (1H, dd, JMA = 17.5 Hz, JMX = 12.5 Hz, C4-HM pyrazoline), 5.65 (1H, dd, JMX = 12.5 Hz, JAX = 6.0 Hz, C5-HX pyrazoline), 6.99 (2H, d, J = 9.0 Hz, aromatic protons), 7.28 (2H, d, J = 8.5 Hz, aromatic protons), 7.35 (2H, d, J = 9.5 Hz, aromatic protons), 7.41 (2H, d, J = 8.5 Hz, aromatic protons), 7.94–7.98 (4H, m, 4-methylsulfonylphenyl protons). 13C-NMR (125 MHz, DMSO-d6) δ (ppm): 42.90 (CH3), 44.01 (CH2), 63.00 (CH), 115.70 (2CH), 126.84 (2CH), 127.86 (2CH), 128.33 (2CH), 129.59 (2CH), 132.16 (2CH), 132.69 (C), 137.16 (C), 140.68 (C), 141.00 (C), 142.97 (C), 147.13 (C), 160.45 (C). Anal. Calcd. For C22H18BrClN2O2S: C, 53.95; H, 3.70; N, 5.72. Found: C, 53.93; H, 3.69; N, 5.70. MS (ESI) (m/z): [M+1]+ 490.
1,5-Bis(4-chlorophenyl)-3-(4-(methylsulfonyl)phenyl)-4,5-dihydro-1H-pyrazole (2j): Yield: 73%; m.p. 209 °C. IR (KBr) νmax (cm−1): 2918.10 (Aliphatic C-H), 1583.45, 1488.94 (C=N and C=C), 1307.65, 1151.42, 1087.78 (SO2 and C-N), 821.62 (C-H out of plane deformation). 1H-NMR (500 MHz, DMSO-d6) δ (ppm): 3.20 (1H, dd, JAM = 17.5 Hz, JAX = 6.0 Hz, C4-HA pyrazoline), 3.23 (3H, s, SO2CH3), 3.96 (1H, dd, JMA = 18.0 Hz, JMX = 12.5 Hz, C4-HM pyrazoline), 5.65 (1H, dd, JMX = 12.5 Hz, JAX = 6.0 Hz, C5-HX pyrazoline), 7.03 (2H, d, J = 9.0 Hz, aromatic protons), 7.23 (2H, d, J = 9.0 Hz, aromatic protons), 7.29 (2H, d, J = 8.5 Hz, aromatic protons), 7.41 (2H, d, J = 8.5 Hz, aromatic protons), 7.94–7.98 (4H, m, 4-methylsulfonylphenyl protons). 13C-NMR (125 MHz, DMSO-d6) δ (ppm): 42.91 (CH3), 44.01 (CH2), 63.09 (CH), 115.23 (2CH), 126.82 (2CH), 127.86 (2CH), 128.34 (2CH), 129.32 (2CH), 129.90 (2CH), 132.69 (C), 137.18 (C), 140.66 (C), 141.05 (C), 142.64 (C), 147.04 (C), 160.48 (C). Anal. Calcd. for C22H18Cl2N2O2S: C, 59.33; H, 4.07; N, 6.29. Found: C, 59.32; H, 4.05; N, 6.30. MS (ESI) (m/z): [M+1]+ 446.
1-(4-Methoxyphenyl)-5-(4-bromophenyl)-3-(4-(methylsulfonyl)phenyl)-4,5-dihydro-1H-pyrazole (2k): Yield: 68%; m.p. 145 °C. IR (KBr) νmax (cm−1): 2927.74 (Aliphatic C-H asymmetric), 2827.45 (Aliphatic C-H symmetric), 1510.16, 1417.58 (C=N and C=C), 1313.43, 1242.07, 1151.42, 1087.78 (SO2, C-N and C-O), 813.90 (C-H out of plane deformation). 1H-NMR (500 MHz, DMSO-d6) δ (ppm): 6.97 (d, J = 3.6 Hz, 1H), 7.11 (d, J = 3.2 Hz, 1H), 7.43–7.49 (m, 3H), 7.83–7.89 (m, 3H), 7.93–7.95 (m, 2H), 8.13–8.14 (m, 1H), 12.37 (brs, 1H). 13C-NMR (125 MHz, DMSO-d6) δ (ppm): 42.17 (CH3), 43.56 (CH2), 55.16 (CH3), 63.56 (CH), 114.45 (2CH), 114.73 (2CH), 120.56 (C), 125.87 (2CH), 127.33 (2CH), 128.33 (2CH), 131.88 (2CH), 137.12 (C), 137.57 (C), 139.54 (C), 141.52 (C), 144.59 (C), 153.19 (C). Anal. Calcd. for C23H21BrN2O3S: C, 56.91; H, 4.36; N, 5.77. Found: C, 56.90; H, 4.35; N, 5.76. MS (ESI) (m/z): [M+1]+ 486.
1-(4-Fluorophenyl)-5-(4-bromophenyl)-3-(4-(methylsulfonyl)phenyl)-4,5-dihydro-1H-pyrazole (2l): Yield: 75%; m.p. 196 °C. IR (KBr) νmax (cm−1): 3031.89 (Aromatic C-H), 2918.10 (Aliphatic C-H), 1577.66, 1506.30, 1406.01 (C=N and C=C), 1307.65, 1218.93, 1151.42, 1010.63 (SO2 and C-N), 825.48 (C-H out of plane deformation). 1H-NMR (500 MHz, DMSO-d6) δ (ppm): 3.17 (1H, dd, JAM = 18.0 Hz, JAX = 7.0 Hz, C4-HA pyrazoline), 3.23 (3H, s, SO2CH3), 3.95 (1H, dd, JMA = 16.5 Hz, JMX = 12.5 Hz, C4-HM pyrazoline), 5.59 (1H, dd, JMX = 11.0 Hz, JAX = 6.0 Hz, C5-HX pyrazoline), 7.04 (4H, s, aromatic protons), 7.24–7.26 (2H, m, aromatic protons), 7.53–7.55 (2H, m, aromatic protons), 7.95 (4H, s, 4-methylsulfonylphenyl protons). 13C-NMR (125 MHz, DMSO-d6) δ (ppm): 42.36 (CH3), 43.52 (CH2), 63.17 (CH), 114.57 (CH), 115.50 (CH), 115.68 (2CH), 120.66 (CH), 126.16 (2CH), 127.34 (2CH), 128.26 (2CH), 131.96 (2C), 136.85 (CH), 139.96 (C), 140.17 (C), 141.20 (C), 145.82 (C), 155.37 (C). Anal. Calcd. for C22H18BrFN2O2S: C, 55.82; H, 3.83; N, 5.92. Found: C, 55.82; H, 3.81; N, 5.93. MS (ESI) (m/z): [M+1]+ 474.
1-(4-Methylphenyl)-5-(4-bromophenyl)-3-(4-(methylsulfonyl)phenyl)-4,5-dihydro-1H-pyrazole (2m): Yield: 87%; m.p. 227 °C. IR (KBr) νmax (cm−1): 3016.46 (Aromatic C-H), 2918.10 (Aliphatic C-H), 1585.38, 1508.23, 1407.94 (C=N and C=C), 1294.15, 1242.07, 1151.42, 1085.85, 1010.63 (SO2 and C-N), 821.62 (C-H out of plane deformation). 1H-NMR (500 MHz, DMSO-d6) δ (ppm): 2.17 (3H, s, CH3), 3.15 (1H, dd, JAM = 17.5 Hz, JAX = 6.0 Hz, C4-HA pyrazoline), 3.22 (3H, s, SO2CH3), 3.92 (1H, dd, JMA = 17.5 Hz, JMX = 12.5 Hz, C4-HM pyrazoline), 5.59 (1H, dd, JMX = 12.5 Hz, JAX = 6.0 Hz, C5-HX pyrazoline), 6.94 (2H, d, J = 8.5 Hz), 6.99 (2H, d, J = 8.0 Hz), 7.22 (2H, d, J = 8.5 Hz, aromatic protons), 7.53 (2H, d, J = 8.5 Hz, aromatic protons), 7.93 (4H, s, 4-methylsulfonylphenyl protons). 13C-NMR (125 MHz, DMSO-d6) δ (ppm): 20.58 (CH3), 42.59 (CH3), 44.05 (CH2), 63.42 (CH), 113.92 (2CH), 121.02 (C), 126.50 (2CH), 127.83 (2CH), 128.73 (2CH), 128.77 (2CH), 129.94 (2CH), 132.38 (C), 137.54 (C), 140.20 (C), 141.62 (C), 142.00 (C), 145.47 (C). Anal. Calcd. for C23H21BrN2O2S: C, 58.85; H, 4.51; N, 5.97. Found: C, 58.85; H, 4.50; N, 5.95. MS (ESI) (m/z): [M+1]+ 470.
1,5-Bis(4-bromophenyl)-3-(4-(methylsulfonyl)phenyl)-4,5-dihydro-1H-pyrazole (2n): Yield: 94%; m.p. 225 °C. IR (KBr) νmax (cm−1): 3012.60 (Aromatic C-H), 2918.10 (Aliphatic C-H), 1583.45, 1487.01, 1409.87 (C=N and C=C), 1307.65, 1151.42, 1085.85, 1010.63 (SO2 and C-N), 819.69 (C-H out of plane deformation). 1H-NMR (500 MHz, DMSO-d6) δ (ppm): 3.20 (1H, dd, JAM = 18.0 Hz, JAX = 6.0 Hz, C4-HA pyrazoline), 3.23 (3H, s, SO2CH3), 3.96 (1H, dd, JMA = 17.5 Hz, JMX = 12.5 Hz, C4-HM pyrazoline), 5.63 (1H, dd, JMX = 12.0 Hz, JAX = 5.5 Hz, C5-HX pyrazoline), 6.98 (2H, d, J = 8.5 Hz), 7.21 (2H, d, J = 8.0 Hz, aromatic protons), 7.35 (2H, d, J = 9.0 Hz, aromatic protons), 7.54 (2H, d, J = 8.5 Hz, aromatic protons), 7.93–7.97 (4H, m, 4-methylsulfonylphenyl protons). 13C-NMR (125 MHz, DMSO-d6) δ (ppm): 42.34 (CH3), 43.51 (CH2), 62.54 (CH), 110.74 (2CH), 115.19 (C), 120.72 (C), 126.33 (2CH), 127.35 (2CH), 128.15 (2CH), 131.99 (2CH), 136.64 (2CH), 140.17 (C), 140.91 (C), 142.45 (C), 146.62 (C), 151.70 (C). Anal. Calcd. for C22H18Br2N2O2S: C, 49.46; H, 3.40; N, 5.24. Found: C, 49.44; H, 3.41; N, 5.25. MS (ESI) (m/z): [M+1]+ 535.
1-(4-Chlorophenyl)-5-(4-bromophenyl)-3-(4-(methylsulfonyl)phenyl)-4,5-dihydro-1H-pyrazole (2o): Yield: 95%; m.p. 222 °C. IR (KBr) νmax (cm−1): 3045.39 (Aromatic C-H), 2918.10 (Aliphatic C-H), 1583.45, 1488.94 (C=N and C=C), 1307.65, 1151.42, 1085.85 (SO2 and C-N), 819.69 (C-H out of plane deformation). 1H-NMR (500 MHz, DMSO-d6) δ (ppm): 3.20 (1H, dd, JAM = 18.0 Hz, JAX = 6.0 Hz, C4-HApyrazoline), 3.23 (3H, s, SO2CH3), 3.96 (1H, dd, JMA = 18.0 Hz, JMX = 12.5 Hz, C4-HM pyrazoline), 5.63 (1H, dd, JMX = 12.5 Hz, JAX = 6.0 Hz, C5-HX pyrazoline), 7.03 (2H, d, J = 9.0 Hz, aromatic protons), 7.22–7.24 (4H, m, aromatic protons), 7.54 (2H, d, J = 8.5 Hz, aromatic protons), 7.94–7.98 (4H, m, 4-methylsulfonylphenyl protons). 13C-NMR (125 MHz, DMSO-d6) δ (ppm): 42.35 (CH3), 43.51 (CH2), 62.64 (CH), 114.71 (2CH), 120.71 (C), 123.06 (CH), 126.31 (CH), 127.35 (2CH), 128.17 (2CH), 128.82 (2CH), 131.99 (2CH), 136.66 (C), 140.15 (2C), 140.96 (C), 142.12 (C), 146.53 (C). Anal. Calcd. for C22H18BrClN2O2S: C, 53.95; H, 3.70; N, 5.72. Found: C, 53.93; H, 3.69; N, 5.74. MS (ESI) (m/z): [M+1]+ 490.
1-Phenyl-5-(4-bromophenyl)-3-(4-(methylsulfonyl)phenyl)-4,5-dihydro-1H-pyrazole (2p): Yield: 86%; m.p. 205 °C. IR (KBr) νmax (cm−1): 3020.32 (Aromatic C-H), 2921.96 (Aliphatic C-H), 1595.02, 1485.09, 1407.94 (C=N and C=C), 1303.79, 1151.42, 1010.63 (SO2 and C-N), 821.62, 750.26 (C-H out of plane deformation). 1H-NMR (500 MHz, DMSO-d6) δ (ppm): 3.17 (1H, dd, JAM = 17.5 Hz, JAX = 6.0 Hz, C4-HA pyrazoline), 3.23 (3H, s, SO2CH3), 3.94 (1H, dd, JMA = 17.5 Hz, JMX = 12.5 Hz, C4-HM pyrazoline), 5.62 (1H, dd, JMX = 12.0 Hz, JAX = 6.0 Hz, C5-HX pyrazoline), 6.77 (1H, m, aromatic protons), 7.04 (2H, d, J = 8.0 Hz, aromatic protons), 7.17–7.20 (2H, m, aromatic protons), 7.24 (2H, d, J = 8.5 Hz, aromatic protons), 7.53 (2H, d, J = 8.5 Hz, aromatic protons), 7.93–7.97 (4H, m, 4-methylsulfonylphenyl protons). 13C-NMR (125 MHz, DMSO-d6) δ (ppm): 42.19 (CH3), 43.54 (CH2), 62.71 (CH), 113.28 (2CH), 119.47 (C), 120.57 (CH), 126.14 (2CH), 127.34 (2CH), 128.18 (2CH), 129.00 (2CH), 131.93 (2CH), 136.92 (C), 139.90 (C), 141.45 (C), 143.28 (C), 145.60 (C). Anal. Calcd. for C22H19BrN2O2S: C, 58.03; H, 4.21; N, 6.15. Found: C, 58.01; H, 4.20; N, 6.17. MS (ESI) (m/z): [M+1]+ 456.
1-Phenyl-5-(4-chlorophenyl)-3-(4-(methylsulfonyl)phenyl)-4,5-dihydro-1H-pyrazole (2r): Yield: 81%; m.p. 212 °C. IR (KBr) νmax (cm−1): 3020.32 (Aromatic C-H), 2921.96 (Aliphatic C-H), 1596.95, 1492.80, 1411.80 (C=N and C=C), 1303.79, 1151.42, 1087.78 (SO2 and C-N), 823.55, 750.26 (C-H out of plane deformation). 1H-NMR (500 MHz, DMSO-d6) δ (ppm): 3.17 (1H, dd, JAM = 17.5 Hz, JAX = 6.0 Hz, C4-HA pyrazoline), 3.23 (3H, s, SO2CH3), 3.94 (1H, dd, JMA = 18.0 Hz, JMX = 13.0 Hz, C4-HM pyrazoline), 5.63 (1H, dd, JMX = 12.0 Hz, JAX = 6.0 Hz, C5-HX pyrazoline), 6.76–6.79 (1H, m, aromatic protons), 7.04 (2H, d, J = 8.0 Hz, aromatic protons), 7.17–7.20 (2H, m, aromatic protons), 7.30 (2H, d, J = 8.5 Hz, aromatic protons), 7.40 (2H, d, J = 8.5 Hz, aromatic protons), 7.95–7.97 (4H, m, 4-methylsulfonylphenyl protons). 13C-NMR (125 MHz, DMSO-d6) δ (ppm): 42.24 (CH3), 43.53 (CH2), 62.67 (CH), 113.29 (2CH), 119.46 (CH), 126.13 (2CH), 127.33 (2CH), 127.82 (2CH), 129.00 (3CH), 132.05 (CH), 136.93 (C), 139.89 (C), 141.01 (2C), 143.29 (C), 145.57 (C). Anal. Calcd. for C22H19ClN2O2S: C, 64.30; H, 4.66; N, 6.82. Found: C, 64.31; H, 4.65; N, 6.80. MS (ESI) (m/z): [M+1]+ 411.
1-Phenyl-5-(4-fluorophenyl)-3-(4-(methylsulfonyl)phenyl)-4,5-dihydro-1H-pyrazole (2s): Yield: 78%; m.p. 219 °C. IR (KBr) νmax (cm−1): 3020.32 (Aromatic C-H), 2921.96 (Aliphatic C-H), 1595.02, 1492.80 (C=N and C=C), 1380.94, 1299.93, 1224.71, 1149.50, 1087.78 (SO2 and C-N), 837.05, 748.33 (C-H out of plane deformation). 1H-NMR (500 MHz, DMSO-d6) δ (ppm): 3.16 (1H, dd, JAM = 17.5 Hz, JAX = 6.0 Hz, C4-HA pyrazoline), 3.23 (3H, s, SO2CH3), 3.93 (1H, dd, JMA = 17.5 Hz, JMX = 12.5 Hz, C4-HM pyrazoline), 5.62 (1H, dd, JMX = 12.5 Hz, JAX = 6.5 Hz, C5-HX pyrazoline), 6.75–6.78 (1H, m, aromatic protons), 7.06 (2H, d, J = 8.0 Hz, aromatic protons), 7.15–7.20 (4H, m, aromatic protons), 7.31–7.34 (2H, m, aromatic protons), 7.94–7.96 (4H, m, 4-methylsulfonylphenyl protons). 13C-NMR (125 MHz, DMSO-d6) δ (ppm): 42.37 (CH3), 43.55 (CH2), 62.68 (CH), 113.32 (2CH), 115.72 (CH), 115.89 (CH), 119.42 (CH), 126.11 (2CH), 127.34 (2CH), 127.96 (CH), 128.96 (2CH), 137.00 (CH), 138.22 (C), 139.85 (C), 143.36 (C), 145.51 (C), 160.41 (C), 162.35 (C). Anal. Calcd. for C22H19FN2O2S: C, 66.99; H, 4.85; N, 7.10. Found: C, 66.98; H, 4.82; N, 7.12. MS (ESI) (m/z): [M+1]+ 395.

3.3. Pharmacology

3.3.1. Animals

Adult Balb/c male mice (30–35 g), obtained from Anadolu University Research Center for Animal Experiments, were used for the experiments. The animals were housed at room temperature of 24 ± 1 °C with 12/12 h light/dark cycle (lights on at 08:00 h). Temperature, sound, and light conditions were not altered during the course of the experiments. 12 h before each experiment, animals received only water, in order to avoid food interference with substances absorption. The experimental protocols were approved by the Local Ethical Committee on Animal Experimentation of Anadolu University, Eskişehir, Turkey.

3.3.2. Assessment of Antidepressant Activity

Tail Suspension Test

TST was carried out by a method described earlier by Steru and co-workers [21]. The method was performed using an automatic TST apparatus (BioSeb, Vitrolles, France), as described previously [19]. The mice were taped by their tails on a metal hook in 3 test chambers (15 cm width × 19 cm height) constructed of white plastic walls and black plastic floors. Each hook was connected to a computerized strain gauge that was adjusted to detect all movements of the animals (Tail suspension software, Bioseb). Immobility time of mice was measured during the last 4 min of 6 min test duration [23].

Modified Forced Swimming Test

MFST was performed as described previously [15,24]. The mice were forced to swim individually in a glass cylinder (12 cm diameter × 30 cm height) containing 20 cm of water at 25 ± 1 °C. A 15-min pre-test was conducted 24 h before the 5-min swim test. During the test, time for swimming (horizontal movement on the surface of the water), climbing (upward-directed movements of the forepaws along the side of the cylinder), and immobility (movement required just to keep the head above the water) were recorded using a stopwatch.

3.3.3. Assessment of Locomotor Activity

Activity Cage Test

The horizontal and vertical locomotor activity of the mice were monitored using an activity cage apparatus (Ugo Basile, No. 7420, Varese, Italy), which contains two pairs of 16 photocells 3 cm and 12 cm above the floor. Interruptions of light beams to the photocells during horizontal and vertical movements of the animals were automatically recorded for 4 min [15].

3.3.4. Statistical Analyses

Statistical analyses were performed on data for seven animals (n = 7) from each group by using GraphPad Prism 3.0 software (GraphPad Software, San Diego, CA, USA). Comparisons between the experimental groups were performed by one-way ANOVA followed by Tukey’s test. The results were expressed as mean ± standard error of mean (SEM). Differences between the datasets were considered significant at p < 0.05.

4. Conclusions

In conclusion, this study supports the previous papers reporting the antidepressant-like activities of pyrazoline derivatives [7,8,9,10,11,12,13,14,15,16,17]. The antidepressant-like effects of compounds 2a, 2h, 2j, 2k, 2l, 2m, and 2n seem to be related with the serotonergic system rather than the noradrenergic system. However, involvement of the serotonergic system in the observed antidepressant activity needs to be confirmed with further detailed studies.

Supplementary Materials

Supplementary materials can be accessed at: https://www.mdpi.com/1420-3049/20/02/2668/s1.

Acknowledgments

This study was supported by Anadolu University Scientific Research Projects Commission under the grant no: 1406S315 and 1206S105.

Author Contributions

A.Ö., M.D.A., Z.A.K. and G.T.-Z. designed the research; A.Ö. and M.D.A. performed the synthetic work, Ö.D.C. and Ü.D.Ö. were responsible for the whole pharmacological part of the manuscript (animal experiments, statistical evaluation, writing and discussion of the pharmacological results). A.Ö. was also responsible for the correspondence of the manuscript, whereas M.D.A. mainly wrote the manuscript. All authors discussed, edited and approved the final version.

Conflicts of Interest

The authors declare no conflict of interest.

References

  1. Alvarez, E.; Perez, V.; Artigas, F. Pharmacology and clinical potential of vortioxetine in the treatment of major depressive disorder. Neuropsychiatr. Dis. Treat. 2014, 10, 1297–1307. [Google Scholar] [CrossRef] [PubMed]
  2. Mathers, C.D.; Loncar, D. Projections of global mortality and burden of disease from 2002 to 2030. PLoS Med. 2006, 3, e442. [Google Scholar] [CrossRef] [PubMed]
  3. Perez-Caballero, L.; Torres-Sanchez, S.; Bravo, L.; Mico, J.A.; Berrocoso, E. Fluoxetine: A case history of its discovery and preclinical development. Expert Opin. Drug Discov. 2014, 9, 567–578. [Google Scholar] [CrossRef] [PubMed]
  4. Anacker, C. Fresh approaches to antidepressant drug discovery. Expert Opin. Drug Discov. 2014, 9, 407–421. [Google Scholar] [CrossRef] [PubMed]
  5. Immadisetty, K.; Geffert, L.M.; Surratt, C.K.; Madura, J.D. New design strategies for antidepressant drugs. Expert Opin. Drug Discov. 2013, 8, 1399–1414. [Google Scholar] [CrossRef] [PubMed]
  6. Artigas, F. Future directions for serotonin and antidepressants. ACS Chem. Neurosci. 2013, 4, 5–8. [Google Scholar] [CrossRef] [PubMed]
  7. Secci, D.; Bolasco, A.; Chimenti, P.; Carradori, S. The state of the art of pyrazole derivatives as monoamine oxidase inhibitors and antidepressant/anticonvulsant agents. Curr. Med. Chem. 2011, 18, 5114–5144. [Google Scholar] [CrossRef] [PubMed]
  8. Marella, A.; Ali, R.; Alam, T.; Saha, R.; Tanwar, O.; Akhter, M.; Shaquiquzzaman, M.; Alam, M.M. Pyrazolines: A biological review. Mini-Rev. Med. Chem. 2013, 13, 921–931. [Google Scholar] [CrossRef] [PubMed]
  9. Shaaban, M.R.; Mayhoub, A.S.; Farag, A.M. Recent advances in the therapeutic applications of pyrazolines. Expert Opin. Ther. Pat. 2012, 22, 253–291. [Google Scholar] [CrossRef] [PubMed]
  10. Alex, J.M.; Kumar, R. 4,5-Dihydro-1H-pyrazole: an indispensable scaffold. J. Enzym. Inhib. Med. Chem. 2014, 29, 427–442. [Google Scholar] [CrossRef]
  11. Mathew, B.; Suresh, J.; Anbazhagan, S.; Mathew, G.E. Pyrazoline: A promising scaffold for the inhibition of monoamine oxidase. Cent. Nerv. Syst. Agents Med. Chem. 2013, 13, 195–206. [Google Scholar] [CrossRef] [PubMed]
  12. Rajendra Prasad, Y.; Lakshmana Rao, A.; Prasoona, L.; Murali, K.; Ravi Kumar, P. Synthesis and antidepressant activity of some 1,3,5-triphenyl-2-pyrazolines and 3-(2''-hydroxy naphthalen-1''-yl)-1,5-diphenyl-2-pyrazolines. Bioorg. Med. Chem. Lett. 2005, 15, 5030–5034. [Google Scholar]
  13. Özdemir, Z.; Kandilci, H.B.; Gümüşel, B.; Çalış, Ü.; Bilgin, A.A. Synthesis and studies on antidepressant and anticonvulsant activities of some 3-(2-furyl)-pyrazoline derivatives. Eur. J. Med. Chem. 2007, 42, 373–379. [Google Scholar] [CrossRef]
  14. Gökhan-Kelekçi, N.; Koyunoğlu, S.; Yabanoğlu, S.; Yelekçi, K.; Ozgen, O.; Uçar, G.; Erol, K.; Kendi, E.; Yeşilada, A. New pyrazoline bearing 4(3H)-quinazolinone inhibitors of monoamine oxidase: Synthesis, biological evaluation, and structural determinants of MAO-A and MAO-B selectivity. Bioorg. Med. Chem. 2009, 17, 675–689. [Google Scholar] [CrossRef] [PubMed]
  15. Can, Ö.D.; Demir Özkay, Ü.; Kaplancıklı, Z.A.; Öztürk, Y. Effects of some 1,3,5-trisubstitued-2-pyrazoline derivatives on depression and anxiety parameters of mice. Arch. Pharm. Res. 2009, 32, 1293–1299. [Google Scholar]
  16. Gök, S.; Demet, M.M.; Özdemir, A.; Turan-Zitouni, G. Evaluation of antidepressant-like effect of 2-pyrazoline derivatives. Med. Chem. Res. 2010, 19, 94–101. [Google Scholar] [CrossRef]
  17. Kaplancıklı, Z.A.; Özdemir, A.; Turan-Zitouni, G.; Altintop, M.D.; Can, Ö.D. New pyrazoline derivatives and their antidepressant activity. Eur. J. Med. Chem. 2010, 45, 4383–4387. [Google Scholar]
  18. Zarghi, A.; Arfaee, S.; Rao, P.N.; Knaus, E.E. Design, synthesis, and biological evaluation of 1,3-diarylprop-2-en-1-ones: A novel class of cyclooxygenase-2 inhibitors. Bioorg. Med. Chem. 2006, 14, 2600–2605. [Google Scholar] [CrossRef] [PubMed]
  19. Can, Ö.D.; Demir Özkay, Ü.; Üçel, U.İ. Anti-depressant-like effect of vitexin in BALB/c mice and evidence for the involvement of monoaminergic mechanisms. Eur. J. Pharmacol. 2013, 699, 250–257. [Google Scholar] [CrossRef]
  20. Cryan, J.F.; Mombereau, C.; Vassout, A. The tail suspension test as a model for assessing antidepressant activity: Review of pharmacological and genetic studies in mice. Neurosci. Biobehav. Rev. 2005, 29, 571–625. [Google Scholar] [CrossRef] [PubMed]
  21. Steru, L.; Chermat, R.; Thierry, B.; Simon, P. The tail suspension test: a new method for screening antidepressants in mice. Psychopharmacology 1985, 85, 367–370. [Google Scholar] [CrossRef] [PubMed]
  22. Cryan, J.F.; Markou, A.; Lucki, I. Assessing antidepressant activity in rodents: Recent developments and future needs. Trends Pharmacol. Sci. 2002, 23, 238–245. [Google Scholar] [CrossRef] [PubMed]
  23. Müller, L.G.; Salles, L.A.; Stein, A.C.; Betti, A.H.; Sakamoto, S.; Cassel, E.; Vargas, R.F.; Von Poser, G.L.; Rates, S.M. Antidepressant-like effect of Valeriana glechomifolia Meyer (Valerianaceae) in mice. Prog. Neuropsychopharmacol. Biol. Psychiatry 2012, 36, 101–109. [Google Scholar] [CrossRef] [PubMed]
  24. Tanaka, M.; Telegdy, G. Involvement of adrenergic and serotonergic receptors in antidepressant-like effect of urocortin 3 in a modified forced swimming test in mice. Brain Res. Bull. 2008, 77, 301–305. [Google Scholar] [CrossRef] [PubMed]
  • Sample Availability: Samples of the compounds 2as are available from the authors.

Share and Cite

MDPI and ACS Style

Özdemir, A.; Altıntop, M.D.; Kaplancıklı, Z.A.; Can, Ö.D.; Demir Özkay, Ü.; Turan-Zitouni, G. Synthesis and Evaluation of New 1,5-Diaryl-3-[4-(methyl-sulfonyl)phenyl]-4,5-dihydro-1H-pyrazole Derivatives as Potential Antidepressant Agents. Molecules 2015, 20, 2668-2684. https://doi.org/10.3390/molecules20022668

AMA Style

Özdemir A, Altıntop MD, Kaplancıklı ZA, Can ÖD, Demir Özkay Ü, Turan-Zitouni G. Synthesis and Evaluation of New 1,5-Diaryl-3-[4-(methyl-sulfonyl)phenyl]-4,5-dihydro-1H-pyrazole Derivatives as Potential Antidepressant Agents. Molecules. 2015; 20(2):2668-2684. https://doi.org/10.3390/molecules20022668

Chicago/Turabian Style

Özdemir, Ahmet, Mehlika Dilek Altıntop, Zafer Asım Kaplancıklı, Özgür Devrim Can, Ümide Demir Özkay, and Gülhan Turan-Zitouni. 2015. "Synthesis and Evaluation of New 1,5-Diaryl-3-[4-(methyl-sulfonyl)phenyl]-4,5-dihydro-1H-pyrazole Derivatives as Potential Antidepressant Agents" Molecules 20, no. 2: 2668-2684. https://doi.org/10.3390/molecules20022668

APA Style

Özdemir, A., Altıntop, M. D., Kaplancıklı, Z. A., Can, Ö. D., Demir Özkay, Ü., & Turan-Zitouni, G. (2015). Synthesis and Evaluation of New 1,5-Diaryl-3-[4-(methyl-sulfonyl)phenyl]-4,5-dihydro-1H-pyrazole Derivatives as Potential Antidepressant Agents. Molecules, 20(2), 2668-2684. https://doi.org/10.3390/molecules20022668

Article Metrics

Back to TopTop